Решения домашних заданий по математике 5 класс Петерсон Л., Дорофеев Г.В. 454 упражнение


Дисциплина: Математика
Класс: 5 класс
Автор: Петерсон Л., Дорофеев Г.В. Год издания: 2011

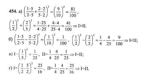
Упражнение 454