Решения домашних заданий по математике 5 класс Петерсон Л., Дорофеев Г.В. 793 упражнение
|
| Дисциплина: Математика |
| Класс: 5 класс |
Автор: Петерсон Л., Дорофеев Г.В.
Год издания: 2011
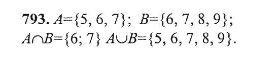
Упражнение 793 |
|