Целиакия. Методы диагностики
МУЗ «Первая городская клиническая больница скорой медицинской помощи»
Северный государственный медицинский университет
Курс клинической лабораторной диагностики
Руководитель курса проф. Воробьёва Н.А.
Целиакия. Методы диагностики.
Выполнила врач-интерн
Петрова Л.В.
г. Архангельск 2008 г.
Оглавление
Введение
1. История открытия и распространенность целиакии в мире
1.1 История
1.2 Распространенность
2. Генетические аспекты целиакии, этиология и патогенез
2.1 Генетика
2.2 Этиология
2.3 Патогенез
3. Клиническая картина целиакии
3.1 Симптомами целиакии являются
3.2 Клинические формы целиакии
4. Диагностика целиакии
4.1 Основные этапы диагностики целиакии
4.2 Клинико-лабораторные критерии целиакии
4.3 Лабораторные методы диагностики
4.4 Серологические методы диагностики целиакии
4.5 Эндоскопические признаки целиакии
4.6 Морфологические методы диагностики целиакии
5. Новая схема скрининга
6. Лечение
Список использованных источников
Введение
По современным данным наиболее распространенным представителем синдрома мальабсорбции является целиакия – хроническое полисиндромное заболевание, характеризующееся неспецифическими повреждениями слизистой оболочки тонкой кишки глютеном, нарушающими пищевую абсорбцию на поврежденном участке, и исчезновением повреждения при устранении из пищи глиадина пшеницы и аналогичных ему фракций ржи, ячменя, овса. Синонимами термина “целиакия” являются кишечный инфантилизм, глютеновая энтеропатия, непереносимость глютена, идиопатическая стеаторея, нетропическая спру.
Термина “синдром целиакии” или “вторичная целиакия” не существует.
Известно, что возникновение целиакии обусловлено непереносимостью одного из компонентов белка злаковых – проламина. Белки злаков имеют в своем составе 4 фракции: альбумины, глобулины, проламины и глютенины. Две последние фракции носят название “глютен”. В различных злаках проламины имеют различное название: в пшенице – глиадины, во ржи – секалинины, в ячмене – гордеины, в овсе – авенины и т.д. Наиболее высокая концентрация проламинов определяется в пшенице, ячмене, ржи.
Давайте подробнее разберёмся с данным заболеванием и методами его диагностики.
1. История открытия и распространенность целиакии в мире
История
В 1888 году Samuel Gee подробно описал клинические черты целиакии, а в 1921 году Howland впервые рекомендовал исключение комплекса углеводов из диеты детей, больных целиакией, и ни один из 30 детей не погиб, благодаря диете. В это же время в Англии при тех же симптомах врачи предпочитали назначение безжировой диете, но летальность при ее соблюдении сохранялась на прежнем уровне, составляя 10-30%, включая и взрослых больных. Только в 1950 году голландским педиатром Dicke было сделано предположение, что ведущая роль в патогенезе целиакии принадлежит пшенице и ржи, а уже в 1952-1953 годах Anderson и Dicke и соавт. Идентифицировали повреждающий фактор, которым оказался глютен, то есть белок злаковых. После введения в практику безглютеновой диеты летальность в странах Европы снизилась практически до нуля.
1.2 Распространенность
Частота заболевания от 1:1000 до 1:3000 детского населения.
Целиакия до недавнего времени традиционно считалась в России одним из редких заболеваний с частотой встречаемости 1 случай на 5-10 тысяч детей.
По данным зарубежных авторов, частота целиакии колеблется от 1 случая на 300 человек в Швеции и Ирландии, до 1 случая на 500 человек в Израиле. Например, в Швеции на 9 млн. населения имеется 28 тыс. больных целиакией, в Финляндии на 5 млн. – 10 тыс. больных. Последняя международная конференция по целиакии, проходившая в Неаполе 19 - 24 апреля 1999 г. определила официальную частоту больных целиакией в мире (в соответствии со скрининговым обследованием 28 тыс. человек) – 1 больной целиакией на 184 человека.
2. Генетические аспекты целиакии, этиология и патогенез
2.1 Генетика
Это аутоиммунная T-клеточноопосредованная энтеропатия, индуцированная глютеном у генетически предрасположенных индивидуумов с характерным поражением тонкого кишечника.
Целиакия наследуется по аутосомно-доминантному типу и является полигенным заболеванием. Выявлена основная ассоциация целиакии с локусами гена главного комплекса гистосовместимости, расположенного на 6 хромосоме. Для глютеновой болезни характерно наличие гаплотипов HLA-A1-B8-DR3 и HLA-B44-DR7. Проводится дальнейшая детализация ассоциации глютеновой энтеропатии с антигенами HLA и определением фрагментов антигенов этой системы. Наиболее часто встречающимися ассоциированными с целиакией аллелями являются DQA1*0501, DQB1*0201 и DRB1*04.
2.2 Этиология
Значительную роль в возникновении заболевания играют наследственный фактор и внешняя среда. В 10% случаев заболевание встречается у ближайших родственников и в 70% — у монозиготных близнецов. Целиакия практически не встречается в азиатских странах, где основные продукты питания — рис и соя.
Нередко болезнь начинается на втором году жизни, а иногда и значительно позже под действием факторов, способствующих реализации генетических дефектов (кишечные инфекции или другие острые заболевания, стрессовые ситуации и т.п.). Ранее такую целиакию называли вторичной, ошибочно считая, что она носит приобретенный характер. По некоторым утверждениям, все случаи целиакии имеют врожденную основу, а сроки манифестации связаны со степенью выраженности основного дефекта, и, следовательно, с компенсаторными возможностями кишечника. Кишечная инфекция в таком случае является не причиной, а провоцирующим фактором.
Очень часто внешним провоцирующим фактором является введение в рацион манной каши, которую обычно вводят в питание в возрасте 4-6 месяцев, поэтому в классическом случае манифестация целиакии происходит на 6 - 8-м месяце жизни.
Провоцировать болезнь могут беременность и роды.
2.3 Патогенез
Несмотря на многочисленные исследования, патогенез целиакии до конца не выяснен. Основную схему можно представить следующим образом:
в начале заболевания глютен связывается со специфическими рецепторами эпителиоцитов, детерминированными генами HLA и/или поврежденными вирусами.
В ответ на действие глютена происходит атрофия ворсинок тонкой кишки, в процесс активно вовлекается лимфоидная ткань кишки: в собственной пластинке слизистой оболочки отмечается увеличение числа лимфоидных и плазматических клеток, вырабатывающих в том числе антиглиадиновые антитела, а также эозинофилов и лимфоцитов, несущих гамма-дельта Т-клеточный рецептор.
Нарушается проницаемость вследствие проникновения белков глютена в энтероцит и повреждения лизосом клетки.
При прогрессировании процесса запускается аутоиммунный механизм, результатом которого является выработка аутоантител, в том числе антиретикулиновых и антиэндомизийных.
Повреждение слизистой двенадцатиперстной кишки, являющейся эндокринным органом, вызывает торможение соматомедийной системы с дальнейшим подавлением секреции гастрина, глюкагона, холецистокинина, вазоактивного интестинального пептида, панкреатического пептида, секретина, мотилина, а также подавление экзокринной секреции ЖКТ.
Таким образом, комплекс изменений в слизистой оболочке тонкой кишки может обозначаться как гиперрегенераторная атрофия. В кишечнике отчетливо снижается активность пристеночных ферментов, особенно лактазы и аланинпролиновой пептидазы. Проницаемость слизистой кишечника повышается. Развивается синдром мальабсорбции.
3. Клиническая картина целиакии
Ранее считалось, что целиакия – это сугубо детская болезнь и что к подростковому возрасту она проходит. Действительно, достаточно часто симптомы сглаживаются и проходят, что создает видимость выздоровления, вызывающее протест пациентов против соблюдения диеты. В этот период относительного благополучия серологические реакции могут не превышать нормальный уровень, однако повреждения кишки сохраняются, и никто не гарантирован от возникновения тяжелых осложнений при несоблюдении диеты.
Течение характеризуется чередованием периодов обострения и ремиссии. Продолжительность самопроизвольной ремиссии может быть от нескольких лет до нескольких десятков лет. Чаще всего периоды клинической ремиссии охватывают возраст 4 - 7 лет и подростковый. Обострения могут протекать с прогрессирующим вовлечением новых органов и систем.
3.1 Симптомами целиакии являются
обильный, зловонный, светлый или “разноцветный”, рыхлый, пенистый или глинистый, плохо отмывающийся стул 2 и более раз в сутки (80%). Подобный стул может отмечаться периодически в течение жизни, причем периоды нормализации стула могут длиться годами (чаще эти периоды охватывают дошкольный и подростковый возрастные периоды).
увеличение окружности живота (77%), определяемое по индексу Андронеску: отношение окружности живота к росту, выраженное в процентах. Нормальные значения составляют 41 - 42% после 2 лет и 50 - 52% у детей до 1,5 лет.
боли в животе (77%) локализуются в околопупочной области, чаще нарастание болевого синдрома происходит через 3 - 5 часов после приёма пищи, характер болей от тупых разлитых до острых. Боли проходят самостоятельно или после дефекации.
рвоты (47%) - от редких до ежедневных.
снижение аппетита, повышение его или смена периодов полного отсутствия до резкого повышения (89%).
отставание массы тела и роста от возрастных показателей (60%).
проявления сопутствующей пищевой аллергии – атопический дерматит (60%), респираторный аллергоз (33%), бронхиальная астма (10%). При строгом соблюдении безглютеновой диеты через 2 - 6 месяцев купируются проявления атопического дерматита, смягчается течение тяжелой бронхиальной астмы, урежаются, а иногда и совсем проходят приступы астмы среднетяжелого и легкого течения.
проявления фосфорно-кальциевой недостаточности: боли в костях ночные и при физической нагрузке, переломы костей при неадекватной травме, поражение зубной эмали, кариес зубов (50%).
раздражительность, агрессивное поведение, неспокойный сон (63%).
Практически не имеется ни одного симптома, который бы встречался у 100% больных целиакией, а симптомы, которые имеются, выражены в разной степени, что ведет к множеству диагностических ошибок.
3.2 Клинические формы целиакии
Типичная (классическая) — чаще развивается в раннем детстве, с синдромом нарушенного всасывания II-й или III-й степени (у 38-57% больных).
Торпидная — характерны тяжелое течение, неэффективность обычного лечения (до 13% больных).
Стертая форма — выявлена у 35% больных, ее отличает внекишечная манифестация, при этом клинические признаки нарушения всасывания могут отсутствовать: часто единственный признак — железодефицитная или фолатдефицитная анемия, геморрагический синдром, остеомаляции, полиартралгии и эндокринные нарушения, проявления остеопороза, бесплодие и неврологические расстройства.
Латентная — протекает субклинически, впервые выявляется во взрослом состоянии. По некоторым сообщениям, у 43% больных обнаруживают в субклинической форме.
4. Диагностика целиакии
Диагностика больных целиакией затруднена и может приводить к постановке ошибочных диагнозов. Особые сложности для диагностики вызывают стертые и атипичные случаи. Выраженность патологических сдвигов, а отсюда и симптомов заболевания может колебаться в широких пределах, и в практике встречаются ситуации, когда дети оказываются в критическом положении уже через 2 месяца после манифестации. С другой стороны, известны случаи, когда дети с манифестацией заболевания на 1-2-м году жизни доживали без лечения до 9-10 лет. В последнем случае развиваются тяжелые вторичные метаболические нарушения, которые могут выходить на первый план и маскировать симптомы основного заболевания. Диарея как основной симптом может отсутствовать.
4.1 Основные этапы диагностики целиакии
Клинико-лабораторный: сочетание 3 основных симптомов или 2 основных и 2 и более дополнительных – подозрение на целиакию.
Серологический: повышение уровня АГА A и/или G, АЭМА, антител к ТТГ определяемых до назначения диеты (а не на ее фоне) - целиакия возможна с большой степенью вероятности.
Инструментальный: выявление атрофии слизистой двенадцатиперстной кишки визуально и характерные морфологические признаки в биоптате двенадцатиперстной кишки - целиакия подтверждена.
В исключительных случаях при невозможности проведения второго или третьего этапов – пробная строжайшая безглютеновая диета не менее 6 месяцев, а при снижении весоростовых показателей как доминирующем симптоме – не менее года. При хорошем эффекте диеты ее отмена не показана.
4.2 Клинико-лабораторные критерии целиакии
Основные:
обильный зловонный светлый стул 2 и более раз в день
увеличение окружности живота
боли в животе
рвоты от редких до ежедневных
снижение аппетита и/или повышение аппетита
отставание массы тела и роста
боли в костях, кариес зубов, переломы костей более 2 раз
раздражительность, агрессивность
неспокойный сон, сноговорения, снохождения, бессонница
атопический дерматит
герпетиформный дерматит
анемия
наличие жирных кислот, мыл в серии копрограмм
дисбактериоз кишечника
повышение АГА IgA, АЭМА IgA, тТГ IgA.
Дополнительные:
частые ОРВИ – более 3 раз в год
утомляемость
плохая память
стойкие запоры
мышечная слабость
повторяющиеся мышечные судороги
обмороки
повторяющиеся парестезии
частые кровотечения из носа, ювенильные маточные и другие кровотечения
нарушения менструального цикла
фолликулярный гиперкератоз
нарушение сумеречного зрения
кожный зуд
выпадение волос вплоть до алопеции
витилиго
рецидивирующие стоматиты
гипопротеинемические отеки
выпадение прямой кишки (обследовать на муковисцидоз!)
наличие у родственников сахарного диабета первого типа, полиэндокринопатий, заболеваний соединительной ткани, опухолей кишечника и других органов
снижение в крови альбумина, холестерина, липидов, макро- и микроэлементов, витаминов
повышение уровня АГА IgG.
4.3 Лабораторные методы диагностики
Данные лабораторных исследований так же, как и клиническая симптоматика, имеют выраженные различия и зависят от обширности поражения тонкой кишки.
В биохимической картине крови для целиакии типична гипохолестеринемия и нарушение толерантности к глюкозе. Часто бывает снижена концентрация витамина B>12> без сопутствующей пернициозной анемии, что может быть одним из проявлений болезни. Для тяжелых форм не леченной целиакии характерны анемия, снижение уровней электролитов, витаминов, бикарбонатов, альбумина, холестерина, липидов в крови. Для более легких форм вышеназванные изменения избирательны.
У всех пациентов снижено содержание T- и B-лимфоцитов. Высокие значения антител к глиадину IgA и IgG коррелируют с тяжестью нарушений функции слизистой тонкого кишечника.
При копрологическом исследовании выявляются как макроскопические изменения кала (кал желто-коричневый или серо-желтый, редко – оформленный, с не переваренными остатками пищи), так и микроскопические изменения, характерные для стеатореи 2 типа (жирные кислоты непостоянно, мыла), наличие зерен крахмала, йодофильной флоры.
Микробиологическое исследование кала выявляет дисбактериоз различной степени выраженности. Интестинальная микрофлора характеризуется уменьшением доли защитных штаммов E. coli и ростом гемолитической флоры, лактонегативных энтеробактерий и протея.
Широко распространенные оральные тесты на толерантность являются вспомогательными низкочувствительными методами определения расстройства всасывательной функции. Основные пробы проводят с d-ксилозой и глюкозой. Зарубежные исследователи отдают предпочтение сукрозе, применяя ее для контроля терапии безглютеновой диетой.
4.4 Серологические методы диагностики целиакии
Наиболее доказательными для постановки диагноза целиакии являются тесты определения уровней антиэндомизийных (АЭМА) антител и антител к тканевой трансглутаминазе вследствие их высокой чувствительности, специфичности и относительной дешевизне. Определение уровней антиглиадиновых антител (АГА) классов A и G являются все же больше скрининг-исследованием.
Учитывая известную стойкую ассоциацию целиакии с селективным дефицитом IgA (выявляемому у 10% больных), всем пациентам проводится параллельное определение АГА IgA и IgG, а также - общего IgA и его секреторного компонента. Специфичность теста (при параллельном измерении IgA и IgG) составляет 80%, а чувствительность – 95%. В основе действия тест-системы лежит иммуноферментный метод.
Основное количество показателей IgA приходит к норме в течение первого или второго месяца с момента диеты, в то время как IgG могут оставаться повышенными более года с момента лечения. Это объясняется, по-видимому, тем обстоятельством, что АГА обладают характерными для соответствующих классов иммуноглобулинов свойствами, а именно: IgA не участвует в реакциях агглютинации, преципитации, лизиса антигена и обеспечивают местный иммунитет на уровне слизистых оболочек, отражая изменения, происходящие на слизистой оболочке тонкой кишки. В связи с перечисленными свойствами IgA являются более специфичными, быстрее реагируют на изменения в слизистой оболочке и быстрее приходят к норме при нормализации её состояния.
IgG способны, в отличие от IgA, связываться с макрофагами, моноцитами, нейтрофилами, Т- и В-лимфоцитами, которые имеют рецептор, специфически связывающий IgG. Они обусловливают преципитацию, агглютинацию, лизис корпускулярных антигенов и при целиакии, по-видимому, отражают дистрофические изменения оболочки тонкой кишки, связанные с иммунным поражением, участвуя в сложной и многоэтапной иммунологической реакции. Этим можно объяснить инертность и медленное снижение Ig G.
4.5 Эндоскопические признаки целиакии
По данным эндоскопической картины преобладают проявления субатрофического дуоденита, который наблюдается у 93,7% детей.
Эдоскопическая картина: изменение рельефа слизистой, ее бледность, хаотичность расположения складок, уплощение вплоть до их отсутствия, когда вид кишки приобретает вид гладкой трубки. Эндоскопия всегда предполагает биопсию не менее двух кусочков слизистой оболочки тонкой кишки для гистологического исследования. Результаты морфологического исследования остаются одним из основных критериев установления указанного диагноза.
Основными морфологическими критериями глютеновой энтеропатии являются следующие изменения, наблюдаемые в слизистой оболочке двенадцатиперстной кишки:
а) уплощение клеток всасывательного эпителия, покрывающих ворсинки, с нарушением полярности их ядер, истончение их щеточной каемки;
б) атрофия слизистой оболочки с умеренным ее истончением и выраженным в различной степени (у некоторых больных – до субтотального) укорочением ее ворсинок;
в) углубление крипт (признак так называемой гиперрегенераторной атрофии);
г) за счет выраженных укорочения ворсинок и углубления крипт резко изменяется величина соотношения “длина ворсинок : глубина крипт” (имеются сообщения об уменьшении этого показателя с 3,4 в контроле до 0,22 при целиакии);
д) увеличивается (иногда значительно) количество межэпителиальных лимфоцитов, среди которых, чаще чем обычно, можно наблюдать появление клеток с фигурами митоза; в строме собственной пластины слизистой оболочки кишки наблюдается выраженная лимфоцитарно-плазмоцитарная инфильтрация с наличием значительного количества эозинофильных лейкоцитов.
4.6 Морфологические методы диагностики целиакии
Несмотря на беспрестанные поиски неинвазивных методов диагностики целиакии и явный прогресс в этом направлении, значительное большинство случаев требует гистологического исследования биоптатов слизистой оболочки тонкой (чаще двенадцатиперстной) кишки. Результаты морфологического исследования остаются одним из основных критериев установления указанного диагноза.
Даже “рутинное” морфологическое, на уровне световой микроскопии, исследование биоптатов слизистой оболочки постбульбарного отдела двенадцатиперстной кишки (с применением обычных в повседневной патологоанатомической практике методов окраски гистологических срезов), дополненное морфометрическими подсчетами, позволяет если и не поставить безапелляционно и окончательно диагноз “целиакия”, то, по крайней мере, дать достаточно полное представление о состоянии слизистой оболочки кишки, охарактеризовать степень выраженности структурных изменений в ней, а с применением повторной биопсии на фоне безглютеновой диеты - оценить эффективность проводимых лечебных мероприятий.
Для гистологической диагностики целиакии во время эндоскопического исследования берется биоптат слизистой оболочки тонкой кишки. У детей в связи со сложностью прохождения эндоскопа в тонкую кишку дистальнее связки Трейтца, удобнее всего брать биоптат из слизистой оболочки постбульбарного отдела двенадцатиперстной кишки. При этом важно свести к минимуму повреждения (фрагментацию, сдавление и т. п.) извлекаемого материала, поскольку возникающие в такой ситуации артефициальные изменения в биоптате не позволяют провести полноценное гистологическое (и тем более – морфометрическое) исследование, а иногда и вовсе исключают всякую возможность морфологической диагностики. Не следует производить взятие материала из слизистой оболочки луковицы двенадцатиперстной кишки, так как по своим структурным особенностям она значительно отличается от слизистой оболочки других отделов тонкой кишки и поэтому может быть источником ошибочной информации. В ней нередко наблюдается атрофия ворсинок другой этиологии; оценку состояния крипт может затруднять наличие дуоденальных (бруннеровых) желез.
Врачу-эндоскописту, направляющему биоптаты на гистологическое исследование, следует помнить о тщательной маркировке материала (с указанием на пробирке фамилии больного и номера истории болезни). Также необходимо правильно заполнять бланк направления материала на гистологическое исследование: помимо паспортных данных больного, номера истории болезни, предполагаемого или установленного диагноза, следует сообщать клинические данные, длительной соблюдаемой безглютеновой диеты, локализацию места взятия биоптата, а также результаты эндоскопического исследования.
Полученный биоптат (или биоптаты) следует сразу же поместить в емкость с фиксатором. По мнению большинства исследователей, для “рутинной” обработки материала более всего подходит 10% процентный раствор нейтрального формалина. Материал в нем фиксируется на протяжении 24 ч.
Перед тем как начать приготовление блока для получения гистологических срезов, очень важно правильно ориентировать биоптат - в противном случае неправильное положение плоскости среза будет причиной возникновения больших трудностей в оценке состояния слизистой оболочки двенадцатиперстной кишки. Так, тангенциальный срез может исказить представление о наличии или отсутствии атрофии ворсинок, создать ошибочное представление о величине соотношения длины ворсинки и глубины крипты. Продольное направление среза вообще не даст возможности оценки большинства морфологических характеристик исследуемой ткани.
Из полученного блока приготавливаются гистологические срезы толщиной 5-6 мкм. После срезы можно окрашивать различными способами. Основной обзорной (и морфометрической) является окраска гематоксилином и эозином. По методу, предложенному Ван Гизон, производится окраска коллагеновых волокон – метод позволяет более точно определять степень выраженности фиброза стромы собственной пластины. Бокаловидные клетки очень хорошо выявляются с помощью окрашивания гистологических срезов альциановым синим. Для определения возможной бактериальной инвазии и лучшей визуализации некоторых отдельных тканевых и структурных компонентов слизистой, удобно применять окраску тканей азуром и эозином (например, по Романовского-Гимза).
Окрашенные препараты, заключенные в полистирол и покрытые покровными стеклами, можно исследовать в световом бинокулярном микроскопе при различном увеличении (комбинации окуляров х7, х10, х15 и объективов х10, х40, х90 МИ создают возможность увеличения от х70 до х1350 - соответственно отдельным комбинациям).
Для определения метрических характеристик исследуемого материала используется стандартная микроскопическая окулярная шкала (100 делений в окуляре х7). Для вычисления площадей применяется квадратная морфометрическая сетка (большой квадрат, разделенный на 256 /16х16/ малых квадратов; в окуляре х10). Подсчет клеток (стромальных и клеток инфильтрата) производится в специальном морфометрическом квадрате с “опорными” точками (встроенном в окуляр х15). Относительная цена деления окулярной шкалы и параметры морфометрических сетки и квадрата при различных увеличениях определялись с помощью объект-микрометра проходящего света (ОМП). Действительная длина шкалы ОМП равняется 1 мм и разделена на 100 делений (с действительной ценой одного деления, равной 0,01 мм).
При гистологическом исследовании и морфометрических подсчетах определяются (в мкм):
а) толщина слизистой оболочки (от собственной мышечной пластинки слизистой оболочки до верхнего края клеток всасывательного эпителия верхушек ворсинок),
б) длина ворсинки (от ее основания до верхнего края),
в) максимальная толщина ворсинки (по верхним краям эпителиоцитов боковых поверхностей ворсинки),
г) глубина крипты (от наружного края устья, до ее дна – по базальной мембране),
д.) ширина крипты (по верхним краям эпителиоцитов).
Указанные измерения производятся в нескольких местах (от 5 до 15, в среднем на 6-7 участках), определяются максимальные и минимальные параметры с последующим вычислением средних величин. Подсчитываются соотношения “средняя длина ворсинки: средняя глубина крипты” и “средняя длина ворсинки: средняя толщина ворсинки”. Обращается внимание на наличие ворсинок необычной формы, крупных уплощенных участков вместо ворсинок, а также на ширину промежутков между ворсинками.
В собственной пластинке в нескольких местах на стандартной площадке (морфометрический квадрат с “опорными” точками) подсчитывается количество:
а) лимфоцитов,
б) плазматических клеток,
в) эозинофильных лейкоцитов,
г) нейтрофильных лейкоцитов,
д.) клеток стромы (фибробластов и фиброцитов) с последующим вычислением средних показателей и пересчетом определяемых величин на стандартную площадь, равную 1 мм2.
Количество межэпителиальных лимфоцитов и бокаловидных клеток подсчитывается среди клеток покровного эпителия ворсинок и отдельно среди эпителиоцитов крипт на различном протяжении их поверхности, с последующим пересчетом на единицу длины поверхности, равную 1 мм.
Измеряется минимальная, максимальная и средняя высота (в мкм) клеток всасывательного эпителия ворсинок, эпителиоцитов крипт, клеток эпителия дуоденальных желез.
Учитывается наличие в строме собственной пластинки слизистой лимфоидных фолликулов и их количество, их величина и состояние светлого (герминативного) центра.
Обращается внимание на состояние стромы слизистой оболочки: оценивается степень выраженности полнокровия сосудов микроциркуляторного русла, лимфатических сосудов, отек, а также наличие или отсутствие кровоизлияний.
Основными морфологическими критериями глютеновой энтеропатии являются следующие изменения, наблюдаемые в слизистой оболочке двенадцатиперстной кишки:
а) уплощение клеток всасывательного эпителия, покрывающих ворсинки, с нарушением полярности их ядер, истончение их щеточной каемки; подобные изменения эпителиоцитов одни из первых исчезают при проведении курса безглютеновой диеты при действительно имевшейся целиакии;
б) атрофия слизистой оболочки с умеренным ее истончением и выраженным в различной степени (у некоторых больных – до субтотального) укорочением ее ворсинок;
в) углубление крипт (признак гиперрегенераторной атрофии);
г) за счет выраженных укорочения ворсинок и углубления крипт резко изменяется величина соотношения “длина ворсинок : глубина крипт”;
д.) увеличивается количество межэпителиальных лимфоцитов (МЭЛ), среди которых, чаще чем обычно, можно наблюдать появление клеток с фигурами митоза; в строме собственной пластины слизистой оболочки кишки наблюдается выраженная лимфоцитарно-плазмоцитарная инфильтрация с наличием значительного количества эозинофильных лейкоцитов
Диагноз целиакии и стадия глютеновой энтеропатии устанавливаются в соответствии с классификацией M. Marsh (1995), который выделил 4 типа изменений слизистой оболочки тонкой кишки при этом заболевании.
I стадия – инфильтративная, характеризуется выраженной инфильтрацией эпителия; строение слизистой оболочки полностью сохранено и мальабсорбция отсутствует; подобные картины могут наблюдаться также у некоторых больных герпетиформным дерматитом и у 25% родственников 1-й степени больных целиакией.
II стадия – гиперпластическая; к лимфоцитарной инфильтрации эпителия ворсинок и крипт присоединяется заметное удлинение крипт.
III стадия – деструктивная, соответствует классической картине целиакии.
IV стадия – гипопластическая или атрофическая; в этой стадии, в отличие от других, морфологические изменения кишки являются необратимыми; их находят при рефракторной целиакии и при энтеропатии, ассоциированной с лимфомой.
Несмотря на то, что гиперрегенераторная атрофия различной степени выраженности, значительная инфильтрация стромы и многочисленные межэпителиальные лимфоциты (МЭЛ) почти всегда свидетельствуют о наличии целиакии, после проведения светооптического исследования в патологоанатомическом заключении все же правильнее говорить о “хроническом (атрофическом) дуодените (или еюните)” и о том, что “наблюдаемая морфологическая картина может иметь место при (или соответствует, или не исключает наличия той или иной стадии) целиакии”; в подобных ситуациях надо рекомендовать повторную биопсию после проведенной терапии безглютеновой диетой. Если в повторном биоптате появятся ворсинки, приближающиеся по строению к нормальным, или хотя бы уплощенный эпителий ворсинок становится высоким, морфолог вправе в своем заключении называть уже более конкретизированный диагноз (“целиакия”).
Более точной морфологической диагностике глютеновой энтеропатии способствуют современные иммуногистохимические (ИГХ) методики (с использованием ИГХ наборов, выпускаемых зарубежными фирмами-изготовителями лабораторных реактивов: “DAKO”, “SIGMA” и т. д.), позволяющие с высокой степенью точности определять в исследуемых тканях клетки инфильтрата стромы и МЭЛ разных клонов, степень созревания и дифференцировки тканевых элементов, интенсивность пролиферации клеток, наличие различных факторов, антигенов и т. п.
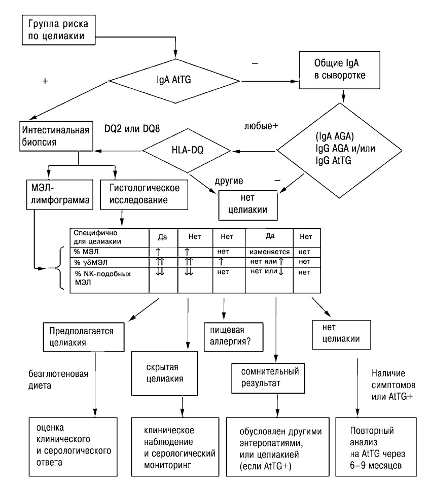
5. Новая схема скрининга
Предложена новая схема скрининга, основанная на определении IgA-AtTG, если имеется IgA-дефицит, определяется только IgG-AtTG. В скрининг включена МЭЛ-лимфограмма, которая учитывает и клинический результат исключения глютена и глютеновую нагрузку после гистологического подтверждения глютеновой энтеропатии. Если МЭЛ-лимфограмма показывает нормальные значения для γδ-межэпителиальных Т-лимфоцитов и межэпителиальных NK-лимфоцитов, это имеет высокую отрицательную прогнозирующую ценность — 95% против наличия целиакии. Единственная биопсия теперь считается достаточной для подтверждения диагноза. Учитывая большую распространенность целиакии в популяции в целом и огромное количество больных целиакия-ассоциированными заболеваниями, такими как инсулинозависимый сахарный диабет, остеопороз, анемия, различные дефекты развития, эндокринные нарушения т.д., можно говорить о высокой социальной значимости своевременной диагностики целиакии. Кроме того, целиакия, даже клинически не выраженная, предрасполагает к другим аутоиммунным заболеваниям. Риск интестинальной лимфомы и других гастроинтестинальных новообразований возрастает, если болезнь не лечится. На безглютеновой диете активность ассоциированных заболеваний снижается. Подводя итог вышесказанному, для широкого скрининга групп риска, диагностики и контроля лечения целиакии рекомендуются тесты определения антител классов А и G к тканевой трансглутаминазе и глиадину фирмы «ORGENTEC».
После скрининга анти-tTG и учете высокой отрицательной прогнозирующей ценности HLA-типирования, в изучение обязательной интестинальной биопсии включено фенотипирование МЭЛ. Пропорция «общее количество МЭЛ» рассчитана относительно количества клеток эпителия, в то время как число «γδ-МЭЛ» и «NK-подобные МЭЛ» (метод проточной цитометрии) рассчитывается относительно общего количества МЭЛ. Комплексный анализ патологии и «МЭЛ-лимфограмма» диагностируют правильно более 95% пациентов после первой биопсии, сокращая необходимость последующих инвазивных процедур.
МЭЛ — межэпителиальные лимфоциты, N — нормальные значения.
Рис. 1. Новый алгоритм диагностики целиакии
6. Лечение
Основным методом лечения является пожизненная диета с полным исключением всех продуктов, содержащих глютен: ячменя, овса, пшеницы, ржи, хлеб белый и черный, макаронные изделия, торты, печенье, пряники, вафли, сушки, мороженое, некоторые йогурты, импортные сыры, сосиски, сардельки, колбасные изделия, консервы, соусы, кетчуп, уксус, майонез, конфеты с начинкой, карамели, некоторые сорта шоколада, кукурузные хлопья, растворимый кофе, красители, консерванты. Взрослым больным запрещены ячменное и пшеничное пиво, пшеничная водка. Недопустимыми для больных целиакией являются продукты с содержанием глютена более 1 мг на 100г продукта.
Разрешаются изделия из рисовой, кукурузной муки, картофельного крахмала: рисовая, кукурузная, пшенная, гречневая каши, причем крупы необходимо тщательно перебирать и промывать из-за возможности загрязнения пшеницей при выращивании, транспортировке, хранении, фасовке и загрязнении при продаже. В начале лечения молоко либо исключается, либо ограничивается. Остальные продукты разрешаются по переносимости, причем со временем нахождения больного на безглютеновой диете у большинства больных расширяется спектр запрещенных ранее продуктов. У некоторых больных возвращения клинических симптомов не происходит в течение 3-6 месяцев, что не говорит об отсутствии целиакии.
Помимо безглютеновой диеты проводится курсовая коррекция витаминно-минеральной недостаточности, отдельно назначаются препараты кальция и витамина D>3>, проводится терапия, направленная на оптимизацию полостного пищеварения, устранения поражений желчного пузыря, панкреатопатий и дисбиоценоза кишечника. И если ранее подобное лечение было неэффективно, или отмечался его кратковременный эффект, то при назначении диеты происходит быстрая коррекция патологических состояний. Необходимо обратить внимание на недопустимость назначения таблеток и пилюль в оболочке (мезим-форте, фестал, аллохол, комплевит и др.), так как в состав оболочки входит глютен. Также запрещены жидкие лекарственные формы, содержащие солод (новопассит и др.).
Список использованных источников
М.О. Ревнова «Учебно-методическое пособие для врачей и студентов медицинских факультетов. » СПб. -. 2002.;
М.А. Смирнова Новый алгоритм диагностики целиакии.// ЗАО «БиоХимМак», Москва. - 2002г.;
Е. Цаликова, Л. Принцепесса, Ф. Скалерто, Ф. Мартино, О. Бедурт. Новое в диагностике целиакии.// «Лечащий врач» №08 – 1999;
Парфенов А.И. Коварство глютеновой энтеропатии и успехи ее иммунологической диагностики. // Рос.Журн. гастроэнтерол., гепатол., колопроктол.– 1999.– №5.– С. 42-48.
