Цитрамон плюс и его получение
Содержание
Раздел 1. Информация о предприятии.
1.1. Описание предприятия, особенности его работы
1.2. Ассортимент продукции.
Раздел 2. Цитрамон Плюс.
2.1. Состав и описание препарата.
2.2. Предназначение препарата.
2.3. Фармакологическое действие препарата.
2.4. Противопоказания.
2.5. Особенности лечения осложнений и отравлений.
3. Получение составных частей препарата.
3.1. Получение парацетамола.
3.2. Получение ацетилсалициловой кислоты.
3.3. Получение кофеина.
3.4. Получение аскорбиновой кислоты.
4. Изготовление цитрамона.
Раздел 1. Информация о предприятии
Наша практика проходили на одном из старейших фармацевтических предприятий России – открытом акционерном обществе «Уралбиофарм». За время практики было изучено получение фармацевтических препаратов, технологическую базу предприятия, особенности контроля качества продукции.
Адрес предприятия:
ОАО "УРАЛБИОФАРМ"
620026, Россия, г. Екатеринбург, ул. Куйбышева, 60
E-mail: ubf@ubf.ru
Описание предприятия, особенности его работы.
Предприятие, где нам посчастливилось проходить практику, имеет долгую историю, свои традиции.
Свою историю, тогда еще, завод начинает с 1 октября 1930 года и в 2000-м году отметил свой 70-летний юбилей.
ОАО «Уралбиофарм» - старейшее на Урале фармацевтическое предприятие - имеет славную историю, всегда считался и считается сильнейшим в регионе по производству лекарственных препаратов.
1 октября 1930 года на базе акционерного общества "Уралмедторг", которое занималось преимущественно торговлей готовыми медицинскими товарами, а не их изготовлением, было создано предприятие – Свердловский фармацевтический завод. До 1940 года завод выпускал мази, настойки, порошки, таблетки, медицинский инструментарий, стеклянные изделия, бинты, салфетки и аптечки. С 1940 года начато освоение выпуска сульфамидных препаратов. Под руководством доктора химических наук, академика, члена-корреспондента АН СССР И.Я. Постовского и доктора химических наук профессора З.В. Пушкаревой впервые в мире были получены сульфамидные препараты – сульфидин, белый и красный стрептоцид, выпуск которых был начат на заводе в начале 1941 года.
Незаменимую роль для фронта сыграл завод в годы Великой Отечественной войны. Он поставлял на фронт, кроме перечисленной продукции, тысячи упаковок антибиотиков грамицидина, рентгеновские экраны, настойку йода и многое другое. Эффективная и бесперебойна работа завода спасла не одну солдатскую жизнь. После войны завод перешел на выпуск пуриновых препаратов. Был освоен выпуск ряда новых препаратов: теофиллина, кофеина, эуфиллина, норсульфазола, винилина и др.
В 1947 году по приказу Совнаркома СССР на Банковском переулке началось строительство пенициллинового завода. В 1948 году была пущена опытная установка, а в сентябре 1948 года выпущен первый промышленный пенициллин отечественного производства. В 1949 году на заводе создан цех по производству препаратов микробиологического синтеза. Еще одна знаменательная дата в жизни завода – это 1960 год, когда начат выпуск нового антибиотика – эритромицина.
В 1962 году оба завода были объединены в один – Свердловский завод медицинских препаратов. С 1972 года на заводе начат выпуск каротина микробиологического (провитамина А).
С 1978 года Свердловский завод становится головным предприятием производственного химико-фармацевтического объединения "Уралсинтез". В состав объединения вошли Ирбитский и Тюменский химико-фармацевтические заводы.
В 1996 году завод переименован в ОАО "УРАЛБИОФАРМ".
В настоящее время завод специализируется на выпуске готовых лекарственных форм, значительную часть которых составляют социально значимые, входящие в "Перечень основных жизненно важных лекарственных средств" Минздрава РФ.
ОАО «Уралбиофарм» занимает ведущее место в России по производству аллохола. Кроме таблетированного производства на заводе работает витаминное производство, линия по производству и расфасовке нафтизина.
ОАО «Уралбиофарм» постоянно увеличивает объемы производства. Вводятся в действие новые производственные мощности. Недавно проводилась модернизация витаминного производства, установлена новая линия фасовки витаминов. Введена в эксплуатацию современная установка для нанесения пленочных покрытий. Установлена капсульная линия для производства готовых лекурственных составов в форме мягких желатиновых капсул. Вводится в действие очередной участок с сушилкой –гранулятором фирмы Glatt. Внедрение передовых технологий позволило не только увеличить объемы, но и снизить себестоимость продукции.
Центральная заводская лаборатория имеет большой опыт научно-исследовательской работы. Основным направлением в работе ЦЗЛ является разработка технологий производства готовых лекарственных форм и новых препаратов. На предприятии действует опытно-экспериментальный участок, где внедряются в производство новые препараты (антибиотики нового поколения), осваиваются новые технологии.
Предприятие активно участвует в областной программе «Доступные лекарства».
1.2. Ассортимент продукции.
В 1992 году в ассортименте завода было всего 7 наименований таблетированных форм препаратов. В 2000 году количество наименований продукции завода составляет до 60 препаратов двадцати фармако-терапевтических групп.
Основные группы выпускаемых препаратов ГЛС (готовые лекарственные средства):
Антибиотики широкого спектра действия;
Антибактериальные препараты;
Противовоспалительные, жаропонижающие и болеутоляющие средства;
Желчегонные препараты;
Спазмолитические препараты и коронарорасширяющие средства;
Метаболитные препараты;
Ранозаживляющие средства;
Средства, влияющие на тканевой обмен;
Вяжущие средства;
Средства, улучшающие периферическое и церебральное кровообращение;
Витамины, поливитамины и профилактические средства;
Транквилизирующие средства;
Антигистаминные препараты;
Седативные препараты;
Антисептические средства;
Слабительные средства;
Сосудосуживающие средства;
Каротин микробиологический и препараты на его основе;
Ветеринарные препараты;
В приведенной ниже таблице указаны большинство из выпускаемых предприятием фармацевтических препаратов, приведены их дозировки, формы выпуска.
Таблица 1. Перечень продукции производимой ОАО"Уралбиофарм"
|
№ |
Наименование |
Дозировки |
Оригинал |
Лекарственная форма |
Единицы измерения |
|
|
Аекол |
100 мл |
28 |
Раствор |
Флакон |
|
|
Аллахол |
№10 |
110/1100 |
Таблетки |
Упаковка |
|
|
Ампициллина тригидрат |
0,25 №20 |
200/1200 |
Таблетки |
Упаковка |
|
|
Анальгин |
0,5 №10 |
160/960 |
Таблетки |
Упаковка |
|
|
Аскорбиновая кислота |
0,05 №200 |
105 |
Драже |
Упаковка |
|
|
Аскорутин |
0,1 №10 |
200/1200 |
Таблетки |
Упаковка |
|
|
Аскорутин |
0,1 №50 |
36 |
Таблетки |
Упаковка |
|
|
Аспаркам |
№ 10 |
160/190 |
Таблетки |
Упаковка |
|
|
Атенолол |
0,1 №30 |
Таблетки |
Упаковка |
|
|
|
Ацетилсалициловая кислота |
0,5 №10 |
160/960 |
Таблетки |
Упаковка |
|
|
Бромгексин |
0,008 №10 |
200/2000 |
Таблетки |
Упаковка |
|
|
Винилин |
50г |
64 |
Раствор |
Флакон |
|
|
Витамин Е в масле |
10% 20 мл |
36 |
Раствор |
Флакон |
|
|
Гексавит |
№50 |
105 |
Драже |
Упаковка |
|
|
Дибазол |
0,02 №10 |
300/1800 |
Таблетки |
Упаковка |
|
|
Димедрол |
0,05 №10 |
300/1800 |
Таблетки |
Упаковка |
|
|
Драже В-каротина |
№50 |
36 |
Драже |
Упаковка |
|
|
Дротаверина гидрохлорид |
0,04 №10 |
220/2200 |
Таблетки |
Упаковка |
|
|
Дротаверина гидрохлорид |
0,04 №50 |
408 |
Таблетки |
Упаковка |
|
|
Кальция глюконат |
0,5 №10 |
160/960 |
Таблетки |
Упаковка |
|
|
Каротинил |
100 мл |
28 |
Раствор |
Флакон |
|
|
Кофицил-плюс |
№10 |
160/960 |
Таблетки |
Упаковка |
|
|
Корвалол |
25 мл |
48 |
Раствор |
Флакон |
|
|
Ксант. никотинат |
0,15 №10 |
300/1800 |
Таблетки |
Упаковка |
|
|
Левомицитин |
0,5 №10 |
160/960 |
Таблетки |
Упаковка |
|
|
Нитроксолин |
0,05 №10 |
200/2500 |
Таблетки |
Упаковка |
|
|
Нитроксолин |
0,05 №50 |
408 |
Таблетки |
Упаковка |
|
|
Нитросорбид |
0,01 №10 |
250/2500 |
Таблетки |
Упаковка |
|
|
Нитросорбид |
0,01 №50 |
408 |
Таблетки |
Упаковка |
|
|
Нафтизин |
0,1% 10мл |
294 |
Раствор |
Флакон |
|
|
Ортофен |
0,025 №30 |
408 |
Таблетки |
Упаковка |
|
|
Панкренорм |
0,2 №60 |
36 |
Таблетки |
Упаковка |
|
|
Папазол |
0,25 №10 |
300/1800 |
Таблетки |
Упаковка |
|
|
Парацетамол |
0,5 №10 |
160/960 |
Таблетки |
Упаковка |
|
|
Пентафлуцин |
№5 |
Упаковка |
||
|
|
Пентафлуцин |
№10 |
Упаковка |
||
|
|
Пентоксифилин |
0,1 №10 |
Таблетки |
Упаковка |
|
|
|
Ревит |
№100 105 |
Драже |
Упаковка |
|
|
|
Спирт этиловый 90% |
100 мл |
28 |
Раствор |
Флакон |
|
|
Уголь активированный |
0,25 №10 |
150/900 |
Таблетки |
Упаковка |
|
|
Ундевит |
№50 |
105 |
Драже |
Упаковка |
|
|
Цитрамон П |
№6 |
260/1560 |
Таблетки |
Упаковка |
|
|
Цитрамон П |
№10 |
160/960 |
Таблетки |
Упаковка |
|
|
Эритромицин |
0,25 №20 |
252 |
Таблетки |
Упаковка |
Перечень выпускаемых предприятием готовых лекарственных форм все время пополняется новыми препаратами, осваивается новая продукция, расширяется география сбыта.
Раздел 2. Цитрамон Плюс
При прохождении практики на фармацевтическом производстве нашим заданием было детально ознакомится с технологией изготовления одного из фармацевтических препаратов из ассортимента предприятия. Для изучения был выбран довольно распространенный и известный препарат – цитрамон П.
История препарата «Цитрамон» довольно долгая. Раньше, еще во времена СССР выпускался препарат под таким названием. В его состав входили: кислота ацетилсалициловая – 0,24 г, фенацетин – 0,18 г, кофеин – 0,03 г, какао в порошке – 0,015 г, лимонная кислота – 0,02 г, сахар в порошке – 0,5 г. 1-этокси-4-ацетаминбензол (фенацетин) является производным анилина и наряду с анальгезирующими и жаропонижающими свойствами имеет довольно высокую токсичность. При его приеме возможны метгемоглобинемия, анемия, гемоглобинурия, цианоз, сонливость, аллергические кожные реакции. При длительном его приеме развивается нефрит. Поэтому был разработан препарат «Цитрамон П» или «Цитрамон Плюс», в котором фенацетин был заменен на парацетамол, который менее токсичен. Существуют и другие модификации цитрамона, например «Цитрамон Экстра», в котором значительно увеличено количество парацетамола по сравнению с таблетками «Цитрамон П». в состав таблетки «Цитрамона П» входит 0,18 г парацетамола, тогда как в состав «Цитрамона Экстра» его входит 0,5 г. На территории Украины выпускают также «Цитрамон Дарница» в состав которого входит лимонная кислота, а не аскорбиновая кислота.
2.1. Состав и описание препарата
Выпускаемые ОАО «Уралбиофарм» таблетки «Цитрамон П» содержат: ацетилсалициловую кислоту, парацетамол, кофеин, аскорбиновую кислоту, (Acetylsalicylic acid+Paracetamol+Caffeine+Ascorbic acid).
Их содержание:
Ацетилсалициловая кислота - 0,24 г.
Парацетамол – 0,18 г.
Кофеин – 0,03 г.
Аскорбиновая кислота - 0,006 г.
Цитрамон П выпускают в виде таблеток. В стандартной упаковке их бывает 6 или 10, в зависимости от формы выпуска. Внешний вид упаковки изображен на рисунке 1. Кроме перечисленных выше веществ в состав цитрамона П входят также наполнители, это
Рис. 1. может
быть крахмал картофельный, кальция
стеарат, повидон низкомолекулярный
медицинский. Они не имеют никакого
фармакологического действия, увеличивая
массу таблетки до установленного
стандартом 1 грамма.
Цитрамон П принадлежит к анальгетическим средствам. Не имеет наркотических свойств.
2.2. Предназначение препарата.
Цитрамон П применяют при болевом синдроме (умеренно или слабовыраженном, различного генеза): головной и зубной боли, миалгии, артралгии, невралгиях, альгодисменоре, мигрени, лихорадочном синдроме при "простудных" заболеваниях и ОРВИ.
Способ применения и дозы:
Внутрь, по 1 таблетке 2-3 раза в день. Максимальная разовая доза – 2 таблетки, суточная – 4 таблетки. Доза для детей старше 6 лет – не более половины таблетки, 2-3 раза в день.
Препарат рекомендуется запивать водой или молоком в количестве не менее 100 мл. Продолжительность приема в качестве анальгезирующего ЛС должна не превышать 5 дней, как жаропонижающего – не более 3 дней. Увеличение дозы препарата или продолжительности лечения требует тщательного врачебного контроля.
2.3. Фармакологическое действие препарата.
Цитрамон П – это комбинированный препарат, действие которого обусловлено входящими в его состав компонентами: ацетилсалициловой кислотой, парацетамолом, кофеином, аскорбиновой кислотой. Оказывает анальгезирующее, жаропонижающее и психостимулирующее действие, обладает противовоспалительным, жаропонижающим и анальгезирующим действием, тормозит агрегацию тромбоцитов. Аскорбиновая кислота (витамин С) участвует в регуляции окислительно-восстановительных процессов, углеводного обмена, свертываемости крови, регенерации тканей, в синтезе стероидных гормонов; повышает устойчивость организма к инфекциям, уменьшает сосудистую проницаемость, снижает потребность в витаминах B>1>, B>2>, А, Е, фолиевой кислоте, пантотеновой кислоте. Удовлетворяет повышенные потребности организма в витамине С при заболеваниях, сопровождающихся лихорадкой. Кофеин повышает рефлекторную возбудимость спинного мозга, возбуждает дыхательный и сосудодвигательный центры, расширяет кровеносные сосуды скелетных мышц, головного мозга, сердца, почек, снижает агрегацию тромбоцитов; уменьшает сонливость, чувство усталости, повышает умственную и физическую работоспособность, повышает концентрацию анальгетиков в центральной нервной системе. Парацетамол обладает анальгезирующим, жаропонижающим, слабым противовоспалительным действием, что связано с его влиянием на центр терморегуляции в гипоталамусе и способностью ингибировать синтез Pg.
2.4. Противопоказания.
Цитрамон П нежелательно применять при гиперчувствительности, эрозивно-язвенных поражениях желудочно-кишечного тракта, особенно в фазе обострения, желудочно-кишечных кровотечениях, "аспириновой" астме, гемофилии, геморрагическом диатезе, гипопротромбинемии, портальной гипертензии, авитаминозе, дефиците глюкозо-6-фосфатдегидрогеназы. Не желательно применение цитрамона П при применении других ненаркотических анальгетиков, при хирургических вмешательствах, при беременности (I и III триместры), периоде лактации. В детском возрасте, до 15 лет применение цитрамона П ведет к риску развития синдрома Рейе у детей с гипертермией на фоне вирусных заболеваний.
2.5. Особенности лечения осложнений и отравлений.
При отравлении цитрамоном наблюдаются следующие симптомы: со стороны пищеварительной системы: снижение аппетита, тошнота, рвота, гастралгия, диарея, эрозивно-язвенные поражения желудочно-кишечного тракта, желудочно-кишечные кровотечения, печеночная или почечная недостаточность.
Возможны также и аллергические реакции: кожная сыпь, ангионевротический отек, бронхоспазм. При длительном применении возможны также и головокружение, головная боль, нарушение зрения, шум в ушах, тромбоцитопения, гипокоагуляция, кровотечения.
Детям нельзя назначать лекарственные средства, которые содержат ацетилсалициловую кислоту, поскольку в случае вирусной инфекции они способны увеличить риск возникновения синдрома Рейе. Симптомами синдрома Рейе являются продолжительная рвота, острая энцефалопатия, увеличение печени. При продолжительном применении препарата необходим контроль периферической крови и функционального состояния печени. Поскольку ацетилсалициловая кислота замедляет свертывание крови, то пациент, если ему предстоит хирургическое вмешательство, должен заранее предупредить врача о приеме препарата. Пациентам с повышенной чувствительностью, либо с астмоидными реакциями на салицилаты или их производные ацетилсалициловую кислоту можно назначать только с соблюдением специальных мер предосторожности. Ацетилсалициловая кислота в низких дозах уменьшает выведение мочевой кислоты. У пациентов с соответствующей предрасположенностью это может в ряде случаев спровоцировать приступ подагры. Во время лечения следует отказаться от употребления этанола (повышение риска желудочно-кишечного кровотечения и развития гепатотоксичности). Ацетилсалициловая кислота обладает тератогенным влиянием; при применении в I триместре приводит к пороку развития – расщеплению верхнего неба у младенца; в III триместре – к торможению родовой деятельности (ингибирование синтеза Pg), к закрытию артериального протока у плода, что вызывает гиперплазию легочных сосудов и гипертензию в сосудах малого круга кровообращения. Выделяется с грудным молоком, что повышает риск возникновения кровотечений у ребенка вследствие нарушения функции тромбоцитов.
При отравлении цитрамоном П для первой помощи применяют промывание желудка содовым раствором или применить рвотное. Можно применить слабительные препараты. Как антидот используют метионина гидрохлорид.
3. Получение составных частей препарата
Рассмотрим получение составных частей цитрамона П. надо отметить, что в последнее время ОАО «Уралбиофарм» все в большей мере переходит на использование мпортируемых фармацевтических полуфабрикатов. У предприятия есть и собственные мощности для изготовления, например парацетамола (ацетаминофенола). Но довольно высокая цена энергоносителей, дорогие исходные материалы делают, на данное время, собственное производство не слишком рентабельным.
Переход на импорт полуфабрикатов ведет к значительному удешевлению изготавливаемых препаратов.
Основным поставщиком фармацевтических полуфабрикатов для ОАО «Уралбиофарм» выступает китайская фирма «Zhejiang Kangle Pharmaceutical Co. Ltd». Она поставляет ацетаминофенол, ацетилсалициловую кислоту, некоторые другие вещества. «Zhejiang Kangle Pharmaceutical Co. Ltd» отличается широким выбором производимых фармацевтических веществ, их высокой чистотой, использует новейшее оборудование европейского и американского производства.
3.1. Получение парацетамола.
Ацетаминофенол относится к производным аналина. Анилин проявляет жаропонижающие свойства, однако он слишком токсичен для использования в медицине. Введение различных заместителей в бензольное ядро и в аминогруппу приводит к получению соединений с широким спектром фармакологического действия.
Парацетамол (панадол, ацетаминофенол) обладает свойствами антипиретика (жаропонижающего), рекомендуется при невралгии, головной боли, воспалительных процессах. Его синтезируют из п-нитрохлорбензола (5), который действием этанола в присутствии щелочи и диоксида марганца превращают в нитроэфир (6). Для получения парацетамола (8) нитроэфир (7) сначала гидролизируют, а затем избирательно N-ацетилируют образовавшийся аминофенол:

Из этих же продуктов получают и фенацетин, от использования котрого в медицинской практике отказались из-за его высокой токсичности.
3.2. Получение ацетилсалициловой кислоты.
о-Гидроксибензойная (салициловая) кислота является природным веществом, содержащимся в виде эфира уксусной кислоты - о-ацетилсалициловой кислоты в цветах растений вида спиреи (spiraea ulmaria). Этот эфир был введен в медицинскую практику лечения острого суставного ревматизма еще в 1874 году, а как синтетическое лекарственное вещество стал выпускаться в промышленных масштабах в конце прошлого века под названием аспирин (приставка "а" означала, что данное лекарственное вещество не добывается из спиреи, а делается химическим путем). Аспирин называют лекарством 20-го столетия, и в настоящее время его производят в мире в количестве, превышающем 100 тыс. т в год. Известны его противовоспалительные, жаропонижающие и болеутоляющие свойства. Обнаружено также, что он препятствует образованию тромбов, оказывает сосудорасширяющее действие и начинает применяться даже для профилактики и лечения инфарктов и инсультов. Считают, что весь потенциал лечебных свойств этого вещества еще не исчерпан. В то же время аспирин раздражает слизистую оболочку желудочно-кишечного тракта, что может вызывать кровотечения. Возможны также аллергические реакции. Аспирин в организме влияет на синтез простагландинов (контролирующих, в частности, образование тромбов) и гормона гистамина (расширяющего сосуды и вызывающего приток иммунных клеток к месту воспаления; кроме того, он может препятствовать при воспалительных процессах биосинтезу болевых веществ).
По внешнему виду ацетилсалициловая кислота – это кристаллический порошок белого цвета или бесцветные кристаллы.
Ацетилсалициловая кислота мало растворима в воде, легко растворима в 96 % спирте, растворима в эфире. Плавится при температуре около 143 0С.
Хорошо растворима в растворах щелочей, мало в воде (1:300), этаноле (1:7), хлороформе (1:17), диэтиловом эфире (1:20). Получают ацетилированием салициловой кислоты уксусным ангидридом.
Схема синтеза аспирина включает
карбоксилирование сухого
фенолята
натрия (1) при нагревании под давлением
(до 5 атмосфер). После выделения 0-салицилата
натрия (2) его превращают действием НСІ
в
свободную салициловую кислоту (3), которую
затем ацетилируют уксусным ангидридом
или кетеном.

Анализ на содержание ацетилсалициловой кислоты производят следующим образом: 1.00 г субстанции помещают в колбу с притертой стеклянной пробкой, растворяют в 10 мл 96 % спирта. Прибавляют 50.0 мл 0.5 М раствора натрия гидроксида, колбу закрывают и выдерживают в течение 1 ч. Полученный раствор титруют 0.5 М раствором кислоты хлористоводородной, используя в качестве индикатора 0.2 мл раствора фенолфталеина.
Параллельно проводят контрольный опыт: 1 мл 0.5 М раствора натрия гидроксида соответствует 45.04 мг C>9>H>8>O>4>.
В ацетилсалициловой кислоте при ее неправильном хранении, образовуются примеси:

4- гидроксибензойная кислота;

4-гидроксибензен-1.3-дикарбоксильная кислота(4-гидроксиизофталевая кислота).

2-[[2-(ацетокси)бензоил]окси]бензойная кислота.
3.3. Получение кофеина.
Кофеин – алкалоид, обладающий наркотическими свойствами и содержащийся в таких растениях, как кофейное дерево, чай, мате, гуарана, кола, и некоторых других. Также производится синтетически. Содержится в различных напитках (значительнее всего в чае), оказывает стимулирующее действие на нервную систему.
Химическое название кофеина – 1,3,7-триметилксантин. Соединяясь с водой, даёт кофеидин C>7>H>12>N>4>O. По строению и фармакологическим свойствам кофеин близок к теобромину и теофиллину; все три алкалоида относятся к группе метилксантинов. Кофеин лучше действует на центральную нервную систему, а теофиллин и теобромин – в качестве стимуляторов сердечной деятельности и лёгких мочегонных средств.
Ф
изические
свойства кофеина: белые шелковистые
игольчатые кристаллы или белый
кристаллический порошок горьковатого
вкуса, без запаха. Плохо растворим в
воде (1:60), легко – в горячей (1:2), трудно
растворим в спирте (1:50). Растворы имеют
нейтральную реакцию; стерилизуют при
+100 °С в течение 30 мин. Т>пл>
=234 °C.
Кофеин экстрагируют из отходов чая ( содержание алкалоида до 5 %), кофейных бобов (до 1.5 %) . В промышленности кофеин синтезируют из мочевой кислоты и ксантина. Ниже приведена схема синтеза кофеина из мочевой кислоты:



Качественной реакцией на кофеин служит образование соединений темно-коричневой окраски под действием концентрированной соляной кислоты на аммиачный раствор анализируемого образца.
Наличие примесей в кофеине проводят методом тонкослойной хроматографии, используя в качестве тонкого слоя силикагель GF >254>.
Для приготовления испытуемого раствора 0,2 г субстанции кофеина растворяют в смеси растворителей: метанол + хлороформ в соотношении 4:6 и доводят объем раствора той же смесью растворителей до 10 мл.
Раствор сравнения: 0,5 мл испытуемого раствора доводят смесью растворителей метанол + хлороформ в соотношении 4:6 до объема 100 мл.
На линию старта хроматографической пластинки наносят 10 мкл (200 мкг) испытуемого раствора и 10 мкл (1 мкг) раствора сравнения. Пластинку помещают в камеру со смесью растворителей: раствор аммиака концентрированный NH>4>OH + ацетон (CH>3>)>2>=O + хлороформ CHCl>3> + бутанол C>4>H>9>OH в соотношении 10:30:30:40. Когда фронт растворителей пройдет 15 см от линии старта, пластинку вынимают из камеры, сушат на воздухе и просматривают в УФ-свете при длине волны 254 нм.
На хроматограмме испытуемого раствора любое пятно, кроме основного, не должно быть интенсивнее пятна на хроматограмме раствора сравнения.
На наличие в растворе сульфатов, которых не должно быть больше 0.05 % (500 ppm), 15 мл раствора должны выдерживать испытание на сульфаты. Эталон готовят с использованием смеси 7.5 мл эталонного раствора сульфата (10 ppm SO>4>) и 7.5 мл воды дистиллированной.
Физиологические особенности действия кофеина на центральную нервную систему были изучены И. П. Павловым и его сотрудниками, показавшими, что кофеин усиливает и регулирует процессы возбуждения в коре головного мозга; в соответствующих дозах он усиливает положительные условные рефлексы и повышает двигательную активность. Стимулирующее действие приводит к повышению умственной и физической работоспособности, уменьшению усталости и сонливости. Большие дозы могут, однако, привести к истощению нервных клеток. Действие кофеина (как и других психостимулирующих средств) в значительной степени зависит от типа высшей нервной деятельности; дозирование кофеина должно поэтому производиться с учётом индивидуальных особенностей нервной деятельности. Кофеин ослабляет действие снотворных и наркотических средств, повышает рефлекторную возбудимость спинного мозга, возбуждает дыхательный и сосудодвигательный центры. Сердечная деятельность под влиянием кофеина усиливается, сокращения миокарда становятся более интенсивными и учащаются. При коллаптоидных и шоковых состояниях артериальное давление под влиянием кофеина повышается, при нормальном артериальном давлении существенных изменений не наблюдается, так как одновременно с возбуждением сосудодвигательного центра и сердца под влиянием кофеина расширяются кровеносные сосуды скелетных мышц и других областей тела (сосуды головного мозга, сердца, почек), однако сосуды органов брюшной полости (кроме почек) сужаются. Диурез под влиянием кофеина несколько усиливается, главным образом в связи с уменьшением реабсорбции электролитов в почечных канальцах.
Под влиянием кофеина происходит стимуляция секреторной деятельности желудка.
По современным данным, в механизме действия кофеина существенную роль играет его угнетающее влияние на фермент фосфодиэстеразу, что ведёт к внутриклеточному накоплению циклического аденозинмонофосфата. Циклический АМФ рассматривается как медиаторное вещество (вторичный медиатор), при помощи которого осуществляются физиологические эффекты различных биогенных лекарственных веществ. Под влиянием циклического АМФ усиливаются процессы гликогенолиза, стимулируются метаболические процессы в разных органах и тканях, в том числе в мышечной ткани и в ЦНС. Полагают, что стимуляция кофеином желудочной секреции тоже связана с увеличением содержания циклического АМФ в слизистой оболочке желудка.
В нейрохимическом механизме стимулирующего действия кофеина важную роль играет его способность связываться со специфическими («пуриновыми», или аденозиновыми) рецепторами мозга, эндогенным лигандом для которых является пуриновый нуклеозид – аденозин. Структурное сходство молекулы кофеина и аденозина способствует этому. Поскольку аденозин рассматривается как фактор, уменьшающий процессы возбуждения в мозге, замещение его кофеином приводит к стимулирующему эффекту. При длительном применении кофеина возможно образование в клетках мозга новых аденозиновых рецепторов и действие кофеина постепенно уменьшается. Вместе с тем при внезапном прекращении введения кофеина аденозин занимает все доступные рецепторы, что может привести к усилению торможения с явлениями утомления, сонливости, депрессии и др.
В медицине кофеин (и кофеин-бензоат натрия) применяют при инфекционных и других заболеваниях, сопровождающихся угнетением функций ЦНС и сердечно-сосудистой системы, при отравлениях наркотиками и другими ядами, угнетающими ЦНС, при спазмах сосудов головного мозга (при мигрени и др.), для повышения психической и физической работоспособности, для устранения сонливости. Применяют также кофеин при энурезе у детей.
Средняя доза медицинского кофеина для взрослых 0,05 – 0,1 г на приём 2 – 3 раза в день. Детям старше 2 лет назначают по 0,03 – 0,075 г на приём в зависимости от возраста (до 2 лет не назначают). Высшие дозы для взрослых внутрь: разовая 0,3 г, суточная 1 г.
Противопоказания
Кофеин, как и другие стимуляторы ЦНС, противопоказан при повышенной возбудимости, бессоннице, выраженной гипертензии и атеросклерозе, при органических заболеваниях сердечно-сосудистой системы, в старческом возрасте, при глаукоме.
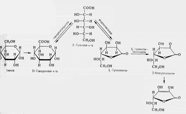
3.4. Получение аскорбиновой кислоты.
Химическая формкда аскорбинговой кислоты C>6>H>8>0>6>, ее молярная масса 176.1 г/моль.
Кислота аскорбиновая, ее химическое название (R)-5-[(S)-1,2-дигидроксиэтил]-3,4-дигидрокси-5Н-фуран-2-он.
Кристаллический порошок белого или почти белого цвета или бесцветные кристаллы, изменяющие цвет под действием воздуха и влаги. Легко растворима в воде, растворима в 96 % спирте, практически не растворима в эфире. Плавится при температуре около 190 0С с разложением.
Для количественного определения аскорбиновой кислоты используют метод титрования. Раствор аскорбиновой кислоты готовят растворяя 1.0 г субстанции в воде, свободной от углерода диоксида, и доводят объем раствора тем же растворителем (водой) до 20 мл. процесс титрования проводят следующим образом: 0.150 г субстанции растворяют в смеси 10 мл кислоты серной разведенной и 80 мл воды, свободной от углерода диоксида. Прибавляют 1 мл раствора крахмала и титруют 0.05 М раствором йода до получения устойчивого сине-фиолетового окрашивания. 1 мл 0.05 М раствора йода соответствует 8.81 мг C>6>H>8>0>6>.
Аскорбиновую кислоту получают с помощью биосинтеза из глюкозы или галактозы. Схема синтеза наведена ниже.

Синтез производят в реакторах биологического синтеза.
4. Изготовление цитрамона
Цитрамон П изготовляют из смеси ацетилсалициловой кислоты, парацетамола, кофеина, аскорбиновой кислоты и медицинских наполнителей, таких как повидон, крахмал медицинский, глюкоза. Схема изготовления препарата наведена на рисунке 2.
Рассмотрим основные этапы производства и аппараты, которые используют при этом.
Для измельчения исходных продуктов используют роторную мельницу 1. Измельченные продукты попадают в смеситель 2, где их перемешивают до получения однородной смеси. С помощью вакуумных насосов 3 и 6 производится перемещение полуфабрикатов от одного аппарата к другому. После смесителя полученная однородная смесь попадает в гранулятор 4, в который попадает также вода, раствор желатина или 5 % раствор крохмала для увлажнения смеси и получения гранул. Полученные гранулы сушатся в сушилке 5. Наиболее часто сушка гранул происходит потоком сухого подогретого воздуха, гранулы с помощью вакуумного насоса или транспортера поступают в сушилку, где они рассыпаются тонким слоем по поверхности сит, снизу с помощью компрессора вдувается поток теплого воздуха. Высушеные гранулы с помощью транспортера или вакумного насоса подаются в пресс-автомат (7) для прессования в таблетки. После пресс-автомата готовые таблетки поступают по транспортеру (8) в упаковочный автомат (9), который упаковывает таблетки в бумажную обертку.
Такова упрощенная схема изготовления цитрамона.
Далее мы более детально рассмотрим изготовление таблеток цитрамона, рассмотрим характеристики технологического оборудования, которое используется для этого, отметим некоторые нюансы процесса изготовления.

Первым этапом изготовления таблеток данного препарата будет измельчение веществ для изготовления таблеток. Его производят на мельницах, потом просеивают полученный порошок через сита определенного диаметра для отделения комков большой массы. После подготовки составляющие таблеточную смесь лекарственные и вспомогательные вещества необходимо тщательно смешивать для равномерного распределения их в общей массе. Получение однородной по составу таблеточной смеси является очень важной и довольно сложной технологической операцией. В связи с тем, что порошки обладают различными физико-химическими свойствами: дисперсностью, насыпной плотностью, влажностью, текучестью и др. На этой стадии используют смесители периодического действия лопастного типа, форма лопастей может быть различной, но чаще всего червячная или зетобразная.
На предприятии используется смеситель универсальный, технические параметры наведены ниже:
Объем бункера 10 литров
Скорость вращения S-образной лопасти 24 об/мин.
Габаритные размеры 800 мм Ч 350мм Ч 400 мм
Электромотор 0,55 кВт, 220 V
Вес 40 кг
Смеситель изготовлен из нержавеющей стали. Через подвижный бункер проходит вал с закрепленными на нем S-образными лопастями. Лопасти перемешивают порошок наилучшим образом избегая "мертвых зон". После окончания перемешивания бункер наклоняется под углом 120 градусов для выгрузки порошка. На сам бункер одевается крышка из нержавеющей стали, которая предотвращает образование пыли.
Следующим этапом получения таблеток цитрам она будет процесс грануляции полученной массы. Для грануляции используют грануляторы. Для производства цитрамона используется влажная грануляция.
Влажное гранулирование состоит из следующих операций:
1) измельчения веществ в тонкий порошок;
2) овлажнение порошка раствором связывающих веществ;
3) протирание полученной массы через сито;
4) высушивание и обработки гранулята.
Измельчение обычно проводят в шаровых мельницах, порошок просеивают через сито № 38.
Для связывания при производстве цитрамона используют раствор желатина или 5% крахмальный клейстер. Увлажнение проводят в смесителе с S– образными лопастями, которые вращаются с различной скоростью: передняя – со скоростью 17 – 24 об/мин, а задняя – 8 – 11об/мин, лопасти могут вращаться в обратную сторону. Для опорожнения смесителя корпус его опрокидывают и массу выталкивают с помощью лопастей.
Гранулирование производят путем протирания полученной массы через сито 3 – 5мм (№ 20, 40 и 50) Применяют пробивные сита из нержавеющей стали, латуни или бронзы. Протирание производят с помощью специальных протирочных машин – грануляторов. В вертикальный перфорированный цилиндр насыпают гранулируемую массу и протирают через отверстия с помощью пружинящих лопастей.
Полученные гранулы рассыпают тонким слоем на поддонах и подсушивают иногда на воздухе при комнатной температуре, но чаще при температуре 30 – 40 єC в сушильных шкафах или сушильных помещениях. Остаточная влажность в гранулах не должна превышать 2 %.
После высушивания гранулят не представляет собой равномерной массы и часто содержит комки из слипшихся гранул. Поэтому гранулят повторно поступает в протирочную машину. После этого от гранулята отсеивают образовавшуюся пыль.
Поскольку гранулы, полученные после сухой грануляции, имеют шероховатую поверхность, что затрудняет в дальнейшем их высыпание из загрузочной воронки в процессе таблетирования, а кроме этого, гранулы могут прилипать к матрице и пуансонам таблет-пресса, что вызывает, помимо нарушения веса, изъяны в таблетках, прибегают к операции «опудривания» гранулята. Эта операция осуществляется свободным нанесением тонко измельченных веществ на поверхность гранул. Путем опудривания в таблетмассу вводят скользящие и разрыхляющие вещества.
В современном фармацевтическом производстве таблетирование осуществляется на специальных прессах – роторных таблеточных машинах (РТМ). Прессование на таблеточных машинах осуществляется пресс – инструментом, состоящим из матрицы и двух пуансонов.
Технологический цикл таблетирования на РТМ складывается из ряда последовательных операций: дозирование материала, прессование (образование таблетки), ее выталкивание и сбрасывание. Все перечисленные операции осуществляются автоматически одна за другой при помощи соответствующих исполнительных механизмов. Для удаления с поверхности таблеток, выходящих из пресса, пылевых фракций применяются обеспыливатели. Таблетки проходят через вращающийся перфорированный барабан и очищаются от пыли, которая отсасывается пылесосом.
Для изготовления таблеток на предприятии используется роторный таблет-пресс серии ZP 35 A. Роторный таблет-пресс серии ZP 35 A является устройством для непрерывного прессования таблеток из гранулированного сырья, оснащенная двумя роторами. Роторный таблет-пресс серии ZP 35 A соответствует стандартам GMP. Контроль за работой удобен, благодаря рациональному расположению панели управления. Используя преобразователь частоты, можно регулировать скорость вращения, обеспечивая удобство работы, стабильность вращения и полную безопасность. При неполадках срабатывает защитное устройство, в случае увеличения давления предусмотрена автоматическая остановка работы. Контроль осуществляются с помощью клавиатуры и экрана. Вращающиеся части загерметизированы в станине пресса в смазочном ящике, полностью отделены от других частей , что позволяет избежать взаимного загрязнения и обеспечить отвод избыточного тепла и повысить износостойкость трущихся деталей. Камера прессовки оборудована специальным пылесосом, обеспечивающим чистоту.
Технические характеристики рторный таблет-пресс серии ZP 35 A:
Количество прессовок: 35
Максимальная сила прессования: 60 кН
Максимальный диаметр прессованной таблетки:
Овальная форма: 13 мм 17 мм
Максимальная глубина заполнения : 16 мм
Максимальная толщина таблетки: 6 мм
Скорость вращения вращающей плоскости: 14-36 оборот / мин
Максимальная производительность: 150000 таблеток/ час
Мотор: 4 кВт,
1440 оборот /мин,
380 В / 50 Гц
Размеры: 980х1240х1890 мм
Вес: 1850 кг
Готовые таблетки по транспортеру подпадают в упаковочную машину, которая упаковывает их в бумагу. На предприятии для упаковки используют многофункциональный автоматический упаковщик таблеток АУТ-180. Установка для упаковки таблеток из двух рулонных лент. При работе установки используется непрерывное запечатывание таблеток. В установке применен цифровой контроль температуры нагрева и скорости упаковки. Включен блок для печати срока годности и номера партии таблеток. Производительность установки около 1400 упаковок по 10 таблеток в час. Предусмотрена возможность варьирования количества таблеток в упаковке.
Технические параметры упаковочной машины следующие:
Упаковочные материалы: комбинированные фольга/фольга, лам.
бумага/лам.бумага, фольга/пластик,
пластик/пластик
Ширина ленты до: 190 мм
Толщина: 0.03~0.07 мм
Виды упаковки: таблетки , капсулы , драже
Производительность: 50,000~14,000 таблеток в час
Габаритные размеры: 1200мм x850мм x1500мм
Вес установки: 270 кг.
На предприятии для транспортировки сухих сыпучих веществ используют вакуумные транспортеры, с их помощью достигается высота транспортирования до 35 метров и по горизонтальный плоскости – 95 метров.
Транспортируемые материалы: декстроза, ацетилсалициловая кислота, порошок желатина, крахмал, аскорбиновая кислота, порошок какао.
Вакуумный наполнитель является вакуумным наполняющим аппаратом, с использованием в качестве источника вакуума пневматического вакуумного насоса. С помощью вакуума наполнители могут подаваться прямо из контейнера в миксер (смеситель), бункер, плоский пресс, паковочное устройство, вибрирующее сито.
Вакуумный наполнитель снабжен автоматическим контролем уровня подаваемого материала. Когда уровень материала выше, чем порция в бункере устройства, поставляющего материал, вакуумный наполнитель прекращает наполнение, но когда уровень материала ниже, вакуумный наполнитель начинает работать автоматически.
Использованная литература
Яхонтов Л. Н., Глушков Р. Г. Синтетические лекарственные средства. Под редакцией д. ф. н. Натрадзе А. Г. Москва.: Медицина, 1983, 272 с.
Тринус Ф. Т. Фармако-терапевтический справочник. К.: Здоровье, 1988. 640 с.
Дайсон Г. Мей П. Химия синтетических лекарственных веществ. Пер. с англ. Москва, Мир, 1963, 289 с.
Халецкий А. М. Фармацевтическая химия. Ленинград, Медицина, 1968, 707 с.
Гитис С. С., Глаз А. И., Иванов А. В. Практикум по органической химии. Органический синтез. М.: Высшая школа. 1991, 312 с.
Мелентьева А. Г., Антонова Л. А. Фармацевтическая химия. М.: Медицина, 1985, 470 с.
www.ubf.ru (материалы официального сайта ЗАО «Уралбиофарм»).
1
