Эксперименты с ЯМР-спектрометром
Реферат
на тему:
"Эксперименты с ЯМР-спектрометром"
2009
Введение
Проанализируем экспериментальные методы и принципиальную схему ЯМР-спектрометра. Исторически более ранняя версия 5ШР - непрерывный 5ШР - в настоящее время в значительной степени вытеснена фурье-спектроскопией. Следует отметить, однако, что непрерывный ЯМР существенно проще для понимания, поскольку здесь, как в классической спектроскопии, поглощение электромагнитных квантов является функцией их частоты. В противоположность этому в импульсной спектроскопии ЯМР-сигнал зависит от времени и детектируется как спад свободной индукции. Только математическая процедура - преобразование Фурье - превращает этот сигнал во временном представлении в сигнал в частотном представлении, т.е. в частотный спектр, который, по крайней мере в простых случаях, эквивалентен спектру, получаемому при непрерывной регистрации. Однако фурье-спектроскопия по сравнению с методами непрерывной регистрации значительно превосходит их по своей чувствительности и гибкости. Как увидим в дальнейшем, ЯМР-спектрометры имеют много общих свойств, несмотря на то что, например, ЯМР-томограф по своему пространственному разрешению, очевидно, отличается от спектрометра высокого разрешения.
1. Непрерывный ЯМР
В простейшем варианте ЯМР-спектроскопии, который применялся первые двадцать лет с момента открытия этого метода для измерения спектров ЯМР высокого разрешения, образец помещается в однородное магнитное поле и подвергается непрерывному воздействию РЧ поля, которое варьируется по частоте в области существования линий поглощения ЯМР для данного образца. Этот метод называется cw-ЯМР.
В общем случае частота - во вращающейся системе координат - равны нулю):



Для очень
слабых РЧ полей
>
>сигнал поглощения описывается
лоренцевой кривой. Сигналы поглощения
и дисперсии представлены на рис. 1.12.
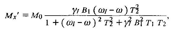
Если скорость поглощения энергии поля Bi сравнима по величине или превышает скорость спин-решеточной релаксации \1Т\, то амплитуда сигнала поглощения уменьшается, так как разность населенностей энергетических уровней N+ - N убывает в сравнении с равновесной, определенной законом распределения Больцмана. Одновременно возрастает ширина линии. Этот эффект называется насыщением. Конечно, степень насыщения зависит, с одной стороны, от времен релаксации Т] и Тг, а с другой - от величины поля В.
Количественно
степень насыщения в резонансе:
может быть измерена через коэффициент
насыщения s:

Вследствие насыщения амплитуда наблюдаемого сигнала поглощения при значении

выше Biopt убывает, где значение B/opt дается выражением
Значение Јiopt
ограничивает область линейной зависимости
амплитуды сигнала от поля В\). С ростом
В\ возникающее уширение линий требует
введения коэффициента
сигнала поглощения представлены на
рис.

2. Импульсный ЯМР
В простейшем
случае схема проведения импульсного
ЯМР-эксперимента выглядит следующим
образом: 90°-ный импульс поворачивает
вектор намагниченности М в плоскость
ху и затем проводится наблюдение спада
свободной индукции. На экране осциллографа
спад свободной индукции имеет вид
функции времени f. Если
проводится регистрация одиночного
сигнала ЯМР, например, сигнала водорода
воды, и значение ш в точности совпадает
с резонансной частотой
- просто убывающая экспоненциальная
функция. Этой экспоненциально убывающей
функции можно поставить в соответствие
функцию
в
частотном пространстве. Форма линии
при этом является лоренцевой. Обе эти
функции - во временной и частотной
областях - связаны между собой
преобразованиями


Эти преобразования по имени французского математика Жана Батиста де Фурье называются фурье-преобразованиями.
Типичное
значение длительности 90°-ного импульса
для ЯМР-спектроскопии высокого разрешения
по порядку величины равно 10~5 с. В
отличие от непрерывного РЧ излучения,
спектр такого импульса не будет
монохроматическим, он включает в себя
определенную частотную область слева
и справа от частоты заполнения импульса
О). Соответствующий частотный спектр
получают в результате фурье-преобразования
этого импульса, который для прямоугольного
импульса шириной
может
быть описан функцией следующего вида:

Это частотное распределение всегда будет тем шире, чем меньше 2 А г, т.е. в предельном случае имеем бесконечно узкий импульс, в частотной области и функция f во временной области должны в равной степени содержать такую информацию. Однако человеческий глаз и мозг могут гораздо лучше различать спектральные линии в частотной области. На рис.1.14 в качестве примера приведен такой спектр во временной и частотной областях, состоящий из двух линий.
Успехи импульсной спекроскопии ЯМР по сравнению с непрерывными методами в основном связаны с ее большей чувствительностью. В cw-спектроскопии в каждый данный момент времени излучается одна частота, и соответственно возбуждаются только те ядерные спины, для которых эта частота является резонансной. Очевидно, что такой метод регистрации с точки зрения затрат времени является мало эффективным, так как сигналы детектируются при прохождении резонансной линии. В отличие от этого в ЯМР с фурье-преобразованием одновременно возбуждается и детектируется весь спектр. Это позволяет также улучшить значение отношения сигнал/шум, поскольку при этом складывается большое число спектров.
Как и в любом физическом эксперименте, сигнал прямо пропорционален числу п накапливаемых процессов измерения, а статистический шум пропорционален п1^2, так что отношение сигнал/шум при увеличении п возрастает пропорционально п1^2:


Так как для
отдельной последовательности, состоящей
из РЧ импульса и спада свободной индукции,
необходимо примерно 1 с, то за 10 ООО с
можно зарегистрировать 10 ООО накоплений
и после фурье-преобразования иметь
100-кратное улучшение отношения сигнал/шум
по сравнению с тем, которое достигается
при одном накоплении. Правда, выигрыш
в отношении сигнал/шум, если речь идет
о регистрации большого числа отдельных
линий и на регистрацию затрачивается
время Та, будет не столь велик, как
следовало бы ожидать из приведенных
выше рассуждений. При медленном накоплении
можно работать с передатчиком при
небольшой полосе пропускания, а в
фурье-спектроскопии ширина полосы
пропускания задается полной шириной
спектра в частотной области. Однако
выигрыш в чувствительности все еще
будет значительным. Количественно он
определяется отношением ширины полосы
пропускания в частотной области к ширине
отдельной резонансной линии

Для оценки оптимальной величины отношения сигнал/шум мы должны еще учесть явление насыщения. Как уже отмечалось, в cw-эксперименте амплитуда сигнала при низком уровне РЧ излучения пропорциональна величине поля Bi. Однако с ростом поля Bi вследствие уменьшения разности населенностей зеемановских уровней наблюдается все большее отклонение от линейного роста, причем это сопровождается дополнительным уширением спектральных линий, и в предельном случае, когда мощность РЧ излучения максимальна, сигнал вообще не наблюдается.
Аналогичный эффект насыщения необходимо учитывать и в импульсном ЯМР. Для того чтобы разность между населенностями двух зеемановских уровней восстановилась до значения, приближенно равного исходному, т.е. до значения, соответствующего распределению Больцмана, необходимо выждать интервал времени, превышающий в 3-4 раза значение времени спин-решеточной релаксации Т\. При решении задач, связанных с установлением структуры биологических молекул, типичным значением Ti является 3-5 с. Следует отметить, однако, что в фурье-спектроскопии отсутствует эффект уширения при насыщении, который наблюдается в cw-ЯМР. Это преимущество фурье-спектроскопии не поддается прямой оценке и потому не столь очевидно.
Если нужно из величины относительной интенсивности резонансных линий оценить число ядер, дающих вклад в наблюдаемую линию, то необходимо поддерживать постоянным значение интервала времени между двумя возбуждающими импульсами. Если желательно получить достаточно хорошо разрешенный спектр, с хорошим отношением сигнал/шум, причем за достаточно короткое время, то за счет сокращения длительности импульса можно существенно сократить время проведения эксперимента. Эта оптимизация эксперимента основана на свойствах функций sin и cos.

Перед началом проведения измерений M>Z>/M>Q> - 1 и М>у>> - 0, после 90°-ного импульса с B>t> I \х M>z> - 0, М>у>'/М>0> - 1. Если мы используем импульс меньшей длительности, например 30°-ный, то исходя из свойств тригонометрических функций М>у>> /М>0> - 0,5, т.е. составляет ровно половину того значения, которое будет достигнуто после воздействия на систему 90°-ного импульса. В то же время значение М>2> уменьшается незначительно, от 1 до 0,87, и соответственно после 15°-ного импульса М>у>> - 0,26 М>0>, a M>z> - 0,97 М>0>.
Если проводится эксперимент по измерению времени продольной релаксации Tj, и интервал между отдельными импульсами задан заранее и равен T>R>, то можно подобрать длительность импульса таким образом, чтобы угол отклонения вектора намагниченности обеспечил максимальное значение амплитуды сигнала. После воздействия такого импульса в системе устанавливается динамическое равновесие. Этот угол, определяющий также оптимальное значение отношения сигнал/шум, называют углом Эрнста, будет подвергнут обработке, он должен быть оцифрован. Для этого в определенный момент времени измеряется значение наведенного напряжения, и этому значению ставится в соответствие число. Интервал A t времени между измерениями определяется по теореме Найквиста и зависит от значения наивысшей наблюдаемой частоты V>max>:

формулу можно понимать следующим образом: для того чтобы иметь возможность различать каждую частоту колебания, необходимо производить по крайней мере два измерения за период колебаний.

Перед проведением фурье-преобразования массив экспериментальных данных подвергается фильтрации путем умножения на соответствующие функции. При этом преследуются две цели: с одной стороны, уменьшается шум, а с другой - повышается разрешение за счет изменения формы резонансной линии. Наиболее простой и часто используемой функцией является убывающая экспонента, умножение на которую приводит к небольшому уширению линий и одновременно к уменьшению шумов. Форма линии остается лоренцевой, поскольку умножение двух экспоненциальных функций вновь будет экспонентой. Для сужения линий зачастую используется лоренц-гауссово преобразование. Лоренцевы линии преобразуются в более узкие линии, а гауссовы - подобно.
Накопленный спад свободной индукции после оцифровки не будет полностью соответствовать невозмущенному спаду свободной индукции, так как он содержит дискретный набор значений. Соответственно, фурье-преобразование спада свободной индукции, проводимое ЭВМ по алгоритму быстрого фурье-преобразования, переводит эти данные в дискретную форму.
Несмотря на то что непрерывное фурье-преобразование может перевести полный спад свободной индукции в идеальный частотный спектр, в последнее время все чаще обсуждается возможность подбора наилучших способов преобразования временного сигнала в частотное представление. Это связано с тем, что в реальном эксперименте мы наблюдаем спад свободной индукции в течение конечного интервала времени Причем число повторений определяется тем значением отношения сигнал/шум, которое нужно получить. Таким образом, в силу конечности интервала Tag в нашем распоряжении имеется только эта дискретная информация и в результате фурье-преобразования получаем частотный спектр, который в точности соответствует этому усеченному спаду свободной индукции и лишь приближенно соответствует истинному спектру.
В настоящее время развиты следующие две группы методов, позволяющие более эффективно использовать имеющуюся информацию за счет того, что спад свободной индукции продолжается за пределы интервала Т>а>д. Один из этих методов называется методом максимальной энтропии. Первоначально метод ММЭ был развит для оценки данных геологоразведки, однако в дальнейшем активно использовался при обработке изображений, и с его помощью были достигнуты значительные результаты. Вторая группа методов основана на линейном прогнозировании. Методы ЛП исходят из того, что идеальный сигнал ЯМР может быть представлен в виде произведения затухающей экспоненты и косинуса. Если нам удается найти функцию, которая могла бы задать наблюдаемый спад свободной индукции, то можно было бы предсказать поведение его в любой точке на временной оси. Оба метода обладают тем существенным недостатком, что требуют больших затрат машинного времени, и именно этим объясняется тот факт, что в настоящее время они используются только для решения специальных задач.
3. Спектрометр ЯМР
Конструкция всех ЯМР-спектрометров, как правило, достаточно проста, и конструктивные особенности отражают требования, предъявляемые к ЯМР-эксперименту. На рис. схематически представлена конструкция cw-спектрометра, а на рис - импульсного спектрометра. Конструкция ЯМР-томографа принципиально совпадает с конструкцией импульсного спектрометра. Далее подробно рассмотрим отдельные компоненты спектрометра и опишем принцип их действия.
Основной компонентой ЯМР-спектрометра является магнит, который должен создавать максимально однородное постоянное поле В>0>, стабильное во времени. Поле В>0> вызывает расщепление уровней энергии, между которыми индуцируются ЯМР-переходы. Для создания статического магнитного поля могут использоваться три типа магнитов: электромагниты, постоянные магниты и сверхпроводящие магниты.

В настоящее время в ЯМР-спектроскопии высокого разрешения в основном используются сверхпроводящие магнитные системы, поскольку лишь они могут удовлетворить высоким требованиям, предъявляемым к спектрам ЯМР. В спектроскопии ЯМР неизменно сохраняется тенденция к увеличению напряженности магнитного поля, поскольку увеличение этого параметра обеспечивает возрастание разрешающей способности и выигрыш в чувствительности. В томографии наряду со сверхпроводящими магнитами используются также и электромагниты, так как здесь вопрос о целесообразности выбора того или иного магнитного поля не является столь очевидным и экономические соображения не всегда являются определяющими. Постоянные магниты в настоящее время почти не находят применения как для спектроскопии, так и для томографии.
Достижимая на практике напряженность магнитного поля зависит от размеров исследуемого образца, которые варьируются в широких пределах: в ЯМР высокого разрешения диаметр образца варьируется от 0,5 до 2,5 см, а в ЯМР-томографии размеры исследуемого образца определяются размерами человеческого тела. Для образцов малых размеров типичное значение магнитного поля электромагнита - 2,5 Тл, а для больших - 0,3 Тл. Для современного уровня развития технологии напряженность поля сверхпроводящего магнита, предназначенного для исследования образца малого объема, достигает 14 Т, а для образцов большого объема - 4 Тл.
Независимо от типа магнита при использовании ЯМР высокого разрешения для решения задач структурной химии к однородности поля предъявляются чрезвычайно высокие требования. Так, для ЯМР-спектрометра высокого разрешения с рабочей частотой 600 МГц и разрешением 0,1 Гц эта величина составляет 2 • 10~10. Теоретически такое разрешение может быть достигнуто при использовании сверхпроводящего магнита, однако на практике такая однородность не может быть достигнута, так как магнитная восприимчивость изменяется от образца к образцу. С помощью дополнительных резистивных катушек, которые устанавливаются между основной сверхпроводящей катушкой и образцом, удается провести коррекцию поля в ограниченных пределах, что позволяет достичь однородности поля до 10"9 по объему образца. Остаточную небольшую неоднородность поля в плоскости, перпендикулярной В>0>, можно устранить путем механического вращения образца вдоль оси.
В cw-спектроскопии величина поля В>0> периодически модулируется, что позволяет наблюдать зависимость амплитуды сигнала ЯМР от времени. Эта зависимость от времени является условием реализации метода детектирования с помощью фазочувствительного детектора. Однако для фурье-спектроскопии необходимость в этом отсутствует, так как здесь спад свободной индукции уже промодулирован во времени. Для ЯМР-томографии необходимо создавать дополнительные градиентные поля. Они создаются с помощью специальных градиентных катушек и воздействуют на исследуемый объект одновременно с постоянным магнитным полем.
Для индуцирования Я MP-переходов необходимо дополнительно подавать на образец еще и РЧ поле Bi, которое поляризовано перпендикулярно полю В>0> - статическому магнитному полю. РЧ поле создается передатчиком и через катушку-резонатор подается на образец. При этом в импульсном ЯМР передатчик создает мощные импульсы малой длительности, а в cw-спектроскопии на образец непрерывно подается сигнал малой мощности. СигналЯМР детектируется либо той же катушкой, либо приемной. Этот слабый сигнал, как правило, от 10"6 до 10"1 В, перед обработкой должен быть усилен, прежде чем будет проведена его регистрация с помощью фазочувствительного детектора. В cw-спектроскопии сигнал непосредственно подается на самописец, а в фурье-спектроскопии - на аналого-цифровой преобразователь в ЭВМ. Этот изменяющийся во времени сигнал подвергается фурье-преобразованию и вновь подается на устройство вывода информации - самописец или экран графического дисплея.
В каждом импульсном спектрометре ЯМР ЭВМ используется для управления спектрометром, а также для накопления экспериментальных данных. Для последующей обработки экспериментальных данных необходима мощная ЭВМ. В дальнейшем мы приведем некоторые технические характеристики, которые обеспечивают удобство эксплуатации при условии удовлетворения современным требованиям, предъявляемым к ЯМР-эксперименту.
Центральный процессор 32-х разрядный компьютер с быстродействием не менее 2-4 млн. операций в 1 с и памятью 8 Мбайт. Процессор соединен с жестким диском, объем хранения информации которого составляет до 150 Мбайт. Для хранения спектральной информации может быть использована магнитная лента или кассета емкостью до 40 Мбайт. В перспективе будут использоваться оптические устройства хранения информации - оптические диски с гораздо более высокой емкостью. При этом существует возможность проведения параллельной обработки данных с помощью спецпроцессора ЭВМ, который должен иметь прямой доступ к основной памяти и к жесткому диску, что позволяет на два порядка ускорить процесс обработки данных. Поскольку существует несколько блоков памяти, необходимо осуществлять быструю связь между спектрометром и ЭВМ. Кроме того, необходим цветной графический дисплей с высоким разрешением, а также быстрая связь с ЭВМ.
Существует альтернатива спецпроцессору. Многие фирмы предлагают вместо него специальный быстродействующий процессор с плавающей запятой, поскольку для одного из основных применений, а именно, для построения двумерных спектров ЯМР мощности спецпроцессора не хватает.
Программное обеспечение, необходимое для сбора и обработки спектральной информации, как правило, предоставляется фирмой-изготовителем. Однако если предполагается, что одновременно к ЭВМ обращаются несколько пользователей, например, при обработке спектральной информации одновременно несколькими операторами, то здесь необходимо подключение специального устройства - многоканальной рабочей станции. Это устройство предусмотрено практически для каждой операционной системы, если возникает необходимость трансляции на соответствующий язык программирования.