Хронопатология обмена железа в развитии анемического синдрома
Федеральное агентство по здравоохранению и социальному развитию
Волгоградский государственный медицинский университет
Кафедра патологической физиологии
Реферат
на тему
«Хронопатология обмена железа в развитии анемического синдрома»
Выполнил:
студент 1 группы III курса
педиатрического ф-та
Денисов А.Г.
Волгоград, 2010
Введение
Фундаментальным свойством всех живых систем является биологическая ритмичность, которая обеспечивает приспособление организма к внешней среде. Под влиянием постоянно повторяющихся воздействий факторов внешней среды, формирующих экзогенные ритмы, в процессе эволюции в живых системах возникли структурно-функциональные организации, осуществляющие эндогенные ритмы. Учитывая эволюцию развития живых существ, можно предположить, что первоначально сформировались клеточные, метаболические биоритмы, «базовые» по своей сущности. В дальнейшем, в ходе эволюционного развития, усложнения организмов формировались «надстроечные» биоритмы, связанные с поэтапным включением регуляторных систем: иммунной, эндокринной, нервной. В результате естественного отбора эндогенные биоритмы закрепились в гене.
Благодаря биоритмам обеспечивается внутреннее движение, развитие организма, его устойчивость к воздействию факторов окружающей среды. Это осуществляется за счет ритмичного чередования процессов анаболизма и катаболизма. Борьба противоположностей, обуславливающая движение (развитие), лежит в основе адаптационных процессов, обеспечивающих синхронизацию физиологических функций организма с разнообразными изменениями окружающей среды. Исследование биоритмов позволяет оценивать реактивность, функциональное состояние и адаптационные возможности организма.
Биоритмы характеризуются широким диапазоном периодов — от миллисекунды до нескольких лет. В связи с этим различают низко-, средне- и высокочастотные биоритмы. К низкочастотным относятся биоритмы с периодами больше 3 суток: циркасептанные (7±3 сут.), циркадисептанные (14±3 сут.), циркавигинтанные (21±3 сут.), циркатригинтанные (30±5 сут.), цирканнуальные (1 год±2 месяца). В эту группу можно включить макроритмы, обусловленные циклами солнечной активности с периодами 2 года, 3 года, 5 лет, 8 лет, 11 лет, 22 года, 35 лет. Среднечастотные ритмы — это ритмы от 0,5 часов до 3 суток. Они делятся на ультрадианные (от 0,5ч. до 20 ч.), циркадиан-ные (от 24 ч. до 28 ч.), инфрадианные (от 28 ч. до 3 суток). К высокочастотным относятся биоритмы с периодами меньше 0,5 ч. (ЧСС, ЭКГ, ЭЭГ и т. д.).
Ведущее место среди биоритмов занимают циркадианные (лат. circa — около, dies — день) — суточный ритм с периодом около 24 ч.
Актуальность проблемы
Дефицит железа - одна из актуальных проблем современной медицины. Занимая первое место среди основных заболеваний, железодефицитная анемия и другие анемические синдромы охватывают 30% населения планеты. В таких группах риска как беременные и кормящие женщины, дети раннего возраста и подростки частота распространения железодефицитной анемии достигает 80%. За последние 10 лет в среднем по России заболеваемость с дефицитом железа и его латентными формами среди беременных женщин возросла в 7,3 раза и составила 39,7%, в некоторых областях - в 7,7 раза (39,4%).
Осложняя течение гестационного периода и родов, железодефицитная анемия - часто в сочетании с гестозами (40%) - занимает ведущее место среди факторов риска перинатальной, неонатальной и младенческой смертности. У беременных с анемическим синдромом каждый третий ребенок рождается в асфиксии и с дефицитом массы тела, а каждый второй - с явлениями внутриутробного инфицирования.
При дефиците железа, еще до возникновения анемии, развиваются клинические проявления тканевого гипосидероза. Замедление умственного и психомоторного развития — типичное проявления сидеропении в раннем детском возрасте. Несмотря на лечение и коррекцию железодефицитных состояний, эти нарушения сохраняются довольно долго: в пятилетнем возрасте дети по-прежнему имеют низкие показатели умственного и психомоторного развития.
Необходимость хронобиологического подхода к разработке проблемы мотивирована не только отсутствием данных о временной организации метаболизма железа и функции фагоцитов, но и важностью выяснения механизмов нарушения обмена микроэлемента у взрослых и детей.
Исследования и результаты
Известно, что наибольшей чувствительностью к действию экзо- и эндогенных факторов обладает циркадианная организация функциональной системы. Исследование пространственно-временной организации (ПВО) функциональных систем в норме и патологии - наиболее современное направление, открывающее перспективы для разработки критериев донозологической диагностики различных патологических состояний.
Доказательства циркадианной организации эритропоэза и обмена железа и обнаружение инверсии ритма сидеремии при анемических состояниях позволили обосновать информативность биоритмологических критериев ранней диагностики нарушения обмена железа.
В настоящее время работами ряда учёных доказано, что многие процессы обмена веществ имеют чётко выраженные суточные (циркадные) колебания, которые можно выявить по изменению в суточном цикле ряда ингредиентов, содержащихся в крови. Так, например, содержание белка в сыворотке крови может колебаться с максимумом в 20 часов и значительным снижением к 2-м часам ночи. В сыворотке крови здоровых людей значительно повышается днём содержание общего холестерина с последующим снижением в ночные и ранние утренние часы.
Непостоянно в течение суток и содержание неорганических компонентов, в частности, уровень натрия у человека велик в 16 часов и значительно снижается к 4-м часам ночи. Сведения о суточном ритме обмена железа в организме человека и, как отражении этого ритма, суточном изменении (динамике) содержания железа в сыворотке крови, в литературе практически отсутствуют или очень краткие.
Вместе с тем, сывороточное железо – это важный клинический показатель, низкий уровень которого (ниже 8,1 ммоль/л) свидетельствует о снижении запасов этого микроэлемента в организме и недостаточности процессов кроветворения.
Таблица. Суточная динамика содержания железа в сыворотке крови (n = 7, p<0,05)
-
Время суток, ч
Содержание железа, ммоль/л
7
14,9 ± 0,6
11
16,2 ± 0,5
15
11,1 ± 0,6
19
9,3 ± 0,5
23
10,8 ± 0,45
3
13,3 ± 0,65
В исследовании циркадной динамики содержания железа в сыворотке крови принимали участие 7 человек.
Все испытуемые – юноши 18 – 20-ти лет. Кровь брали из локтевой вены в объёме 5 мл, через каждые 4 часа в течение суток.
Железо в сыворотке крови определялось с использованием батофенантролина, который образует с ионами двухвалентного железа цветной комплекс, пригодный к фотометрическому определению.
Результаты проведённого исследования представлены в таблице и отражены в виде диаграммы на рисунке:

Как видно из таблицы и рисунка, содержание железа в сыворотке крови значительно изменяется в течение суток. Амплитуда между наибольшим и наименьшим значением составила 42,5 %.
Содержание железа в сыворотке было наибольшим в утренние часы (между 6-ю и 12-ю часами); в течение дня (между 13-ю и 19-ю часами) происходило снижение его содержания до минимального значения, а начиная с 19-ти часов вечера и всю ночь, уровень железа в сыворотке крови постепенно повышался.
Такой ритм был характерен для всех испытуемых.
Так как обмен железа тесно связан с эритропоэзом – образованием гемоглобина и эритроцитов, то можно предположить, что суточный ритм его обмена определяется суточными изменениями интенсивности процессов кроветворения.
Так, например, известно, что содержание эритроцитов в крови также значительно колеблется в течение суток. Механизмы, регулирующие эти процессы, недостаточно изучены.
В то же время является очевидным, что регуляция ритмов кроветворения ритмом света и темноты происходит через эндокринные железы, которым принадлежит ведущее значение в регуляции нормальных функций многих систем организма, в том числе и кроветворения.
Более детальное изучение этих процессов и механизмов, их регулирующих, поможет с высокой степенью достоверности проводить клиническое определение различных гематологических показателей и с наибольшей эффективностью применять лекарственные препараты при лечении железодефицитных состояний.
Возрастзависимая характеристика красной крови у больных с анемическим синдромом (2009 г.)
M
CV
– средний объем эритроцита
MCH – среднее содержание Hb в эритроците
MCHC – средняя концентрация Hb в эритроците
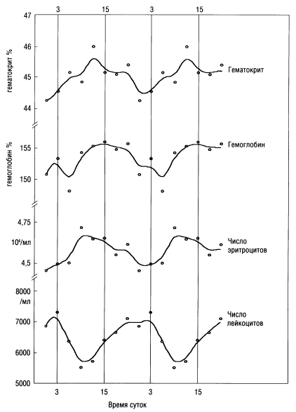
При железодефицитной анемии у детей максимальное количество эритроцитов определяется в 6 ч., минимальное — в 18 ч., наиболее высокий уровень гемоглобина, ретикулоцитов и сывороточного железа отмечается также в 6 ч., наиболее низкий — ночью. Установлено, что в утренние часы резко снижена биосинтетическая активность эритроидных клеток костного мозга. В связи с этим железо плохо усваивается для образования гемоглобина и амплитуда его содержания в крови увеличивается. Вечером (в 21-24 ч.) концентрация сывороточного железа на 16-30% ниже, чем утром (в 8-12 ч.). Железо лучше всего всасывается и усваивается в вечерние часы. Железо, абсорбируемое в первую половину дня не утилизируется, а способствует развитию побочных эффектов. Препараты железа, применяемые для лечения железодефицитной анемии, должны назначаться только во второй половине дня, а мясо, из которого хорошо усваивается железо — в первой.
Было также изучено, что гормоны
коры надпочечников оказывают значительное
влияние на показатели гемограммы: при
повышении уровня глюкокортикоидов
возникают лейкоцитоз, нейтрофилез,
моноцитоз; при увеличении концентрации
минералокортикоидов — лимфоцитоз,
эозинофилия. Ма
ксимальное
количество лейкоцитов в крови у здоровых
детей отмечается с 9 до 12 ч, а минимальное
— в 21-22 ч. Содержание гемоглобина наиболее
высокое в интервале времени от 15 до 18ч,
а наиболее низкое — 9ч. Количество
эритроцитов минимально с 15 до 18 ч,
максимально в 3-6 ч. Содержание ретикулоцитов
наибольшее в 6 ч, наименьшее в 9 ч.
Количество тромбоцитов уменьшается в
вечернее и ночное время, особенно с 3 до
6 ч., а максимально увеличивается в 9-12
ч, т.е. процесс образования тромбоцитов
наиболее активен в утренние часы, а
процесс их разрушения — в ночное время.
Следовательно, с помощью показателей
гемограммы можно косвенно судить не
только о динамике кроветворения, но и
о функции коры надпочечников, о состоянии
адаптационно-компенсаторных реакций
организма.
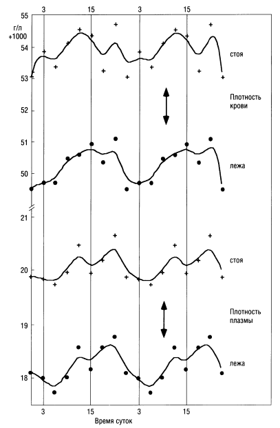
С помощью денситометра были изучены плотность крови и плазмы, а также гематокрит и гемоглобин у 6 здоровых подростков в возрасте 16 лет. Содержание эритроцитов, концентрация гемоглобина и гематокрит в первой половине дня характеризуются повышением и достигают максимума между 9 и 15 часами. Эти три параметра снижаются во второй половине дня и достигают минимума в конце трофофазы около 3 часов ночи. А суточные колебания лейкоцитов характеризуются обратным движением: снижение в середине эргофазы около 9 часов утра и максимальный рост в трофофазе.
Физические
характеристики
крови также подвержены выраженным
суточным колебаниям. Оба параметра
(плотность крови и плазмы) увеличиваются
в первой половине дня в эргофазе, снижаясь
в трофофазе ранним утром, проявляя
хорошо известную ночную гидремию крови.
Обращает на себя внимание выраженная
корреляция суточных ритмов с периодикой
измерений в положении стоя.
При изучении хронопатологии обмена железа были проведены исследования суточной динамики концентрации ферритина, сывороточного железа, МДА, популяций неэффективного, нормального и терминального типов кинетики эритрона у здоровых детей в возрасте 7-9 лет и страдающих хроническим пиелонефритом. Было обнаружено, что в фазу ремиссии пиелонефрита увеличена продукция высокоактивной популяции макроцитов — потомков терминального эритропоэза, что обусловливает снижение концентрации сывороточного железа в утренние часы и нивелирование ее циркадианного ритма вследствие повышенной утилизации микроэлемента. В активную фазу пиелонефрита прогрессирующее снижение содержания эритроцитов и гемоглобина коррелирует с ростом популяции микроцитов с низкой активностью глюкозо-6-фосфатдегидрогеназы и укороченной продолжительностью жизни на фоне значительного повышения концентрации ферритина и МДА в вечерние часы. В их основе лежит стимуляция альтернативных типов кинетики эритрона — терминального и неэффективного.
Заключение
Анемия стала насущной проблемой для большого числа людей по всему миру. Она поражает особенно уязвимые слои населения – детей младшего возраста, беременных женщин, пожилых людей и лиц, страдающих серьезными хроническими заболеваниями. Однако с этим аномальным состоянием можно и нужно бороться. Хрономедицина ставит целью использовать закономерности биоритмов для улучшения профилактики, диагностики и лечения болезней человека, в том числе анемических синдромов. Исключительно важная роль принадлежит методологии и методическим подходам, основывающимся на представлении о живом организме и текущих в нем процессах (как в норме, так и при патологии) в плане изменений всех функций во времени.
Список литературы
Хильдебрандт Г., Мозер М., Лехофер М. Хронобиология и хрономедицина. Пер. с нем. М.: «Арнебия», 2006. - 144 с
Таболин В.А., Неудахин Е.В. Хронофармакологический принцип терапии заболеваний у детей. М.: «МОЛГМИ», 2002
Баркова З.Н. Патофизиологическое обоснование хронодиагностики и хронотерапии дефицита железа. //Патогенез и фармакокоррекция экстремальных и терминальных состояний. Омск, 1995. - с. 11-14
Ашихмина Е.П., Лебедева Биоритмы эритропоэза и обмена железа у детей с хроническим пиелонефритом. //Бюллетень экспериментальной биологии и медицины, 2008.- N. 9.- с. 271-274
Бреус Т.К., Чибисов С.М. Хроноструктура биоритмов сердца и факторы внешней среды. М.: «Полиграф сервис», 2002. - 230 с
Грабовская Н.И. Циркадный ритм содержания железа в сыворотке крови. //Сборник научных работ, Томск, 2004
Новиков Д.С. Анемический синдром — патофизиологические аспекты формирования, моделирования и прогноза. // Автореферат. - Саратов, 2008
Назаренко Е.В. Десинхроноз обмена железа при лактации как фактор риска дефицита железа у грудных детей. //Автореферат. - Тюмень, 2004
Комаров Ф.И., Рапопорт С.И. Хронобиология и хрономедицина. М.: «Триада-Х», 2000. - 488 с
Хетагурова Л.Г. Хронопатология: экспериментальные и клинические аспекты. М.: «Наука-М», 2004. - 355 с
Рожина И.Л. Биоритмы эритропоэза и обмена железа у подростков. // Актуальные проблемы патофизиологии. — С.-П., 1998. - с. 56-57
http://www.chronobiology.ru