Мембранные белки
Мембранные белки: характеристика и структурные принципы
1. Структура мембранных белков
Основная роль липидов в составе мембран заключается в стабилизации бислойной структуры, а белки являются активными компонентами биомембран. Мы обсудим некоторые принципы, оказавшиеся полезными для выяснения структурных особенностей мембранных белков. Мы приведем примеры, иллюстрирующие эти принципы.
На заре развития мембранологии полагали, что мембранные белки по своей структуре довольно гомогенны и уложены в виде 3-слоев по поверхности бислоя. Сейчас скорее склонны считать, что по крайней мере у трансмембранных белков те их участки, которые погружены в мембрану, содержат а-спирали. Конечно, очень хотелось бы сделать какие-то однозначные выводы по этому поводу, но они должны основываться на фактических данных. Перед лицом огромного структурного разнообразия растворимых белков приходишь к заключению, что интегральные мембранные белки могут оказаться гораздо сложнее, чем мы сейчас представляем. Классификация растворимых белков по типам структур была проведена только после того, как установили с высоким разрешением структуру более 100 различных белков. Что касается трансмембранных белков, то это удалось сделать только в одном случае — для белка фотосинтетического реакционного центра бактерий. Вместе с электронно-микроскопическими данными низкого разрешения о структуре бактериородопсина это единственный источник, на котором может основываться построение моделей для большинства других трансмембранных белков.
Еще один важный момент — способы прикрепления белков к мембране. Они схематически представлены на рис. 3.1.
1. Связывание с белками, погруженными в бислой. В качестве примеров можно привести Fi-часть Н +-АТРазы, которая связывает ся с Fo-частью, погруженной в мембрану; можно упомянуть также некоторые белки цитоскелета.

2. Связывание с поверхностью бислоя. Это взаимодействие имеет в первую очередь электростатическую природу или гидрофобную. На поверхности некоторых мембранных белков имеются гидрофобные домены, образующиеся благодаря особеностям вторичной или третичной структуры. Указанные поверхностные взаимодействия могут использоваться как дополнение к другим взаимодействиям, например к трансмембранному заякориванию.
Связывание с помощью гидрофобного «якоря»; эта структура обычно выявляется как последовательность неполярных аминокислотных остатков. Некоторые мембранные белки используют в качестве якоря кова-лентно связанные с ними жирные кислоты или фосфолипиды.
Трансмембранные белки. Одни из них пересекают мембрану только один раз, другие — несколько раз.
Различиями между наружными и внутренними мембранными белками не задается однозначно способ их прикрепления к бисЛою; эти различия определяют лишь относительную силу их связывания.
2. Очистка мембранных белков
Для очистки интегральных мембранных белков и получения их в биохимически активной форме необходимы детергенты, позволяющие солюбилизировать белки и сохранить их в растворе. Соответствующие требования к детергентам и правилам обращения с ними создают дополнительные проблемы помимо тех, с которыми обычно сталкиваются при очистке белков. Для выделения интегральных мембранных белков разработано много специальных методов, однако большинство схем очистки основано на тех же хроматографических и гидродинамических методиках, которые используются для растворимых белков. Это хроматография на ДЭАЭ-целлюлозе, сефарозе или гидроксила-патите, гель-фильтрация, центрифугирование в градиенте плотности сахарозы и т. д. Очень важен правильный выбор детергента, поскольку именно детергент разрушает биомембрану, занимая место липидов, окружающих тот или иной белок, и определяет стабильность белка в растворе. Механизмы действия детергентов рассмотрены в обзоре.
2.1. ДЕТЕРГЕНТЫ
В течение последних двух десятилетий появилось очень много детергентов, пригодных для очистки интегральных мембранных белков. В принципе нужно пытаться найти такой детергент, который не нарушал бы вторичную и третичную структуры мембранных белков, а лишь замещал бы большинство или все мембранные липиды, контактирующие с гидрофобными участками белковой молекулы. Конечной целью солюбилизации является встраивание белка в детергентиую мицеллу; последующая стратегия очистки состоит в разделении таких белково-детергентных комплексов.
Первая проблема — это подбор оптимальных условий солюбили-зации изучаемого белка. Детергенты, денатурирующие белки, не подходят для решения такой деликатной задачи. С другой стороны, многие детергенты недостаточно эффективно разрушают мембраны и образуют белоксодержащие смешанные мицеллы. Такие детергенты могут быть либо слишком гидрофобными, либо слишком гидрофильными для эффективного смешивания с мембранными липидами и — при достаточно высокой их концентрации — для превращения бислоя в глобулярные смешанные мицеллы. Сначала надеялись, что выбор необходимого детергента удастся систематизировать с помощью одного параметра, называемого гидро-фильно-липофильным балансом. Этот параметр, изменяющийся от 1 до 20, используется при получении сурфактантов в качестве меры относительной гидрофобности. Действительно, получены некие корреляции, из которых следует, что значение ГЛБ детергента может использоваться для предсказания его поведения в биологических системах. Вообще говоря, можно сказать, что детергенты со значением ГЛБ в диапазоне от 12,5 до 14,5 являются наиболее эффективными растворителями интегральных мембранных белков. Однако впоследствии выяснилось, что поиск оптимальных детергентов для определенного мембранного белка требует учета многих факторов и всегда должен сопровождаться эмпирической проверкой. Необходимо учитывать следующее.
Максимальная солюбилизация исследуемого белка. Критерием является переход белка в супернатант после центрифугирования, при котором происходит осаждение мембраны.
Солюбилизация белка в нужной форме. Обычно речь идет о сохранении его ферментативной активности, но иногда используются определенные спектральные характеристики или наличие конкретных белковых ассоциатов. Кроме того, необходимым условием является стабильность белка после солюбилизации. В некоторых случаях для поддержания биохимической активности вместе с детергентом добавляют экзогенные фосфолипиды. В качестве примера можно привести получение лактозопермеазы Е. coli и белка натриевого канала. Иногда для стабилизации белка после солюбилизации добавляют глицерол или другой полиол. Имеет смысл использовать также ингибиторы протеаз и проводить солюбилизацию в условиях, сводящих к минимуму вероятность их протеолитического расщепления.
Возможность использования детергента в данной методике. Необходимо прежде всего учитывать заряд детергента, поведение при данном значении рН, ККМ и размер мицелл детергента. Последние свойства особенно важны. Детергенты с низкой ККМ, образующие крупные мицеллы, не удаляются при диализе или ультрафильтрации из-за слишком низкой концентрации мономеров детергента. С практической точки зрения это означает, что если концентрировать белок с помощью ультрафильтрации, то будет возрастать и концентрация детергента с низкой ККМ, а это может привести к денатурации белка. По этой причине многие исследователи предпочитают использовать детергенты с высокими ККМ, например октилглюкозид, соли желчных кислот или более современные цвиттерионные детергенты. Весьма ценными являются полистиреновые смолы, такие, как биобидз SM-2. Они избирательно связываются с детергентами типа тритон Х-100, удаляют их из раствора и позволяют обойтись вообще без диализа. Еще один фактор, который необходимо учитывать, — это поглощение света детергентом. Некоторые детергенты, например тритон Х-100, поглощают в ближней УФ-области, что делает невозможным определение концентрации белка по измерению оптической плотности при длине волны 280 нм.
С учетом всех этих факторов становится понятно, почему во многих случаях при выделении интегральных мембранных белков приходится использовать разные детергенты. Например, для солюбилизации можно применять тритон Х-100, а разделение с помощью ДЭАЭ-целлюлозы лучше проводить в присутствии октилглюкозида. Детергенты можно менять на стадии хроматографии, во время центрифугирования в градиенте плотности, а в некоторых случаях — с помощью диализа. Следует иметь в виду, что детергент, непригодный для солюбилизации определенного белка, может быть очень эффективным для сохранения белка в растворе после замены детергента. Очистку почти всегда следует проводить при избытке детергента в растворе, в противном случае равновесие будет сдвинуто в сторону агрегации мембранных белков, а не в сторону образования белково-детергентных комплексов. В некоторых случаях подобная агрегация может быть даже желательна, и последняя стадия очистки может состоять в удалении детергента. Но, как правило, при недостатке детергента происходят необратимое осаждение и потеря белка.
Необходимость поддержания концентрации детергента на определенном уровне создает дополнительнее трудности помимо тех, с которыми обычно сталкиваются при очистке белков; о некоторых из них мы уже говорили. Проблемы возникают и при использовании стандартного метода высаливания при высокой концентрации сульфата аммония: во многих случаях белок осаждается в комплексе с детергентом и липидом. Поскольку солевой раствор имеет высокую плотность, а детергент в агрегате — относительно низкую, то при центрифугировании преципитат будет оставаться на поверхности. Важно помнить, что очистке подвергаются белково-детергентные комплексы, нередко со значительным количеством связанного фосфолипида. Это сказывается на качестве разделения при хроматографировании, а также на результатах характеристики конечного прорастворимых белков, нужно определить число и молекулярную массу полипептидных субъединиц, их стехиометрию, размер и, возможно, форму молекулы, а также, если это необходимо, биохимическую активность.
|
Детергент 1 В табл. 1 и 2 перечислены наиболее широко используемые детергенты и указаны их свойства, важные для обсуждаемых нами вопросов. Эмпирически наиболее эффективными являются: 1) неионные детергенты (тритон Х-100, октилглюкозид); 2) соли желчных кислот (холат, дезоксихолат); 3) цвиттерионные детергенты (CHAPS, цвнттергент). Но выбор детергента, наиболее приемлемого для солюбилизации и очистки определенного мембранного фермента, по-прежнему осуществляется методом проб и ошибок. |
ККМ, мМ |
Мол.масса |
1 Размер А мнцеллы |
.грегационис число |
х Удельный объем, мл/г |
Ссылки |
|
Долецилсульфат |
1,33 |
288 |
24 500 |
85 |
0,864 |
|
|
натрия |
||||||
|
Холат натрия " |
3 |
408 |
2100 |
5 |
0,778 |
(612, 1383] |
|
Дезоксихолат |
0,91 |
392 |
23 000 |
55 |
0,771 |
|
|
натрия " |
||||||
|
0,11 |
538 |
68 000 |
12 |
0,973 |
||
|
Тритои Х-100 2) |
0,24 |
628 |
90 000 |
140 |
0,908 |
|
|
Твин 80 2) |
0,012 |
1300 |
76 000 |
60 |
0,8% |
|
|
Лаурилдиметил- |
2,2 |
229 |
17 000 |
75 |
1,112 |
|612] |
|
аминоксид |
||||||
|
^-D-Октил- |
25 |
293 |
8000 |
27 |
0,820 |
[1242, 1213 |
|
глюкозид |
612] |
|||||
|
^-D-Лаурил- |
0,16 |
510 |
50 000 |
98 |
0,820 |
|
|
мальтозид |
||||||
|
CHAPS |
8 |
615 |
6150 |
10 |
0,802 |
|
|
Цвиттергеит |
3,6 |
335 |
— |
— |
0,957 |
3. ХАРАКТЕРИСТИКА ОЧИЩЕННЫХ ИНТЕГРАЛЬНЫХ МЕМБРАННЫХ БЕЛКОВ
Характеристика очищенных мембранных белков, даже самых простых, может составлять определенные трудности. Как и в случае
3.1 МОЛЕКУЛЯРНАЯ МАССА СУБЪЕДИНИЦ
Электрофорез в полиакриламидном геле в присутствии додецил-сульфата натрия — это обычная методика, но в случае интегральных мембранных белков при ее применении возникают особые проблемы. В этом методе додецилсульфат связывается с полипептидными цепями, и комплексы белок—ДНС разделяются в полиакриламидном геле в соответствии с их стоксовыми радиусами, которые в большинстве случаев зависят от молекулярной массы. Молекулярную массу определяют, сравнивая электрофоретическую подвижность данного комплекса и известного стандарта. Однако связывание ДСН с неизвестным белком может качественно отличаться от связывания со стандартами, и тогда будет получен неправильный результат. Подобная ситуация наблюдается для интегральных мембранных белков с высоким содержанием неполярных аминокислотных остатков. С большинством растворимых белков ДСН образует комплексы в соотношении 1,4 г ДСН на 1 г белка, а с белками, содержащими большой процент неполярных остатков, может связываться больше детергента. Возникающий при этом дополнительный отрицательный заряд приводит к аномальному повышению электрофоретической подвижности, и определяемая молекулярная масса оказывается меньше, чем на самом деле. Возможна и другая ситуация. Связывающийся с ДСН мембранный белок может находиться в не полностью развернутом состоянии, что тоже приведет к аномальному повышению электрофоретической подвижности из-за образования более компактного комплекса белок—ДСН. Все эти эффекты весьма существенны. Например, лактозопермеаза имеет кажущуюся мол. массу 33 ООО, если измерять ее с помощью электрофореза в ПААГ в присутствии ДСН; в действительности же, как показывают результаты генетического анализа, ее мол. масса равна 46 ООО. Во многих случаях удается оценить молекулярную массу более точно, если построить график Фергюсона, представляющий собой зависимость электрофоретической подвижности от содержания акриламида как для стандартных белков, так и для исследуемого белка. Этот график зависит от радиуса Стокса и в меньшей степени — от заряда комплекса. Например, по результатам электрофореза в 12%-ном акриламидном геле одна из субъединиц цитохромно-го комплекса Е. coli имеет кажущуюся мол. массу 28 ООО, а из графика Фергюсона получается величина 43 ООО, что совпадает с мол. массой, рассчитанной по данным о секвенировании соответствующей ДНК.
Еще одна проблема — возможное наличие четвертичной структуры. Некоторые мембранные белки агрегируют даже в присутствии ДСН. Например, гликофорин А или белок оболочки бактериофага М13 при электрофорезе в полиакриламидных гелях с ДСН находятся в основном в виде димеров. Иногда агрегация еще более усиливается при нагревании смеси белок—ДСН. Такая картина наблюдается, например, для субъединиц как митохондри-альной, так и бактериальной терминальных оксидаз. Чтобы оценить способность белка к необратимой агрегации, следует провести сравнительный анализ результатов электрофореза в полиакрила-мидном геле с ДСН для прогретых и непрогретых проб. Сходная проблема иногда возникает из-за присутствия детергента, использованного при очистке мембранного белка. Этот детергент необходимо удалить и заменить на ДСН, поскольку в некоторых случаях наблюдается четкая зависимость электрофоретической подвижности от присутствия детергента, с помощью которого солюбилизнровали фермент.
Итак, есть основания думать, что оценка молекулярной массы субъединиц сильно неполярных интегральных мембранных белков, определенная с помощью электрофореза в ПААГ с ДСН, может оказаться неверной. К несчастью, простая альтернатива этому методу отсутствует, и правильную величину часто получают либо по данным о полной первичной последовательности, либо с помощью точного гидродинамического анализа.
3.2 ОПРЕДЕЛЕНИЕ МОЛЕКУЛЯРНОЙ МАССЫ НАТИВНОГО БЕЛКА С ПОМОЩЬЮ ГИДРОДИНАМИЧЕСКИХ МЕТОДОВ
Применение этих методов для мембранных белков может быть сопряжено с большими трудностями, вызванными связыванием детергента. Чтобы оценить это в полной мере, рассмотрим вначале простой растворимый белок, для которого установлена мол. масса субъединиц с помощью электрофореза в ПААГ с ДСН и необходимо узнать, чем он является в неденатурированной, активной форме — мономером, димером или олигомером более высокого порядка. Для определения молекулярной массы белков часто используется гель-фильтрация, включающая сравнение со стандартными белками; здесь возникают проблемы, связанные с тем, что все стандартные белки имеют глобулярную форму, а исследуемый белок может быть не глобулярным, а слегка удлиненным. Такой белок с мол. массой 50 000 может элюировать со скоростью, соответствующей мол. мае
се 100 ООО. В связи с этим колонка для гель-фильтрации должна быть прокалибрована в соответствии со значениями радиуса Стокса, т. е. с размерами «эквивалентной гидродинамической сферы», а кроме того, параллельно необходимо использовать какой-либо другой метод. Обычно измеряют скорость седиментации с помощью либо аналитического ультрацентрнфугирования, либо центрифугирования в градиенте плотности сахарозы. Коэффициент седиментации равен

где м — молекулярная масса белка,
v — его парциальный удельный объем, ij — вязкость раствора, б — плотность раствора.
Поскольку е и Ч известны, a Rc можно определить с помощью гель-фильтрации, остаются только две неизвестные величины — v и м. Для водорастворимых белков v можно вычислить исходя из аминокислотного состава или непосредственно измерить либо просто принять равным 0,72—0,75 мл/г. Таким образом, измерив S0, можно найти м.
Рассмотрим теперь ситуацию с мембранным белком. Здесь возникают дополнительные проблемы, поскольку гидродинамическая частица — это белково-детергентный комплекс, поэтому м и v в данном случае являются молекулярной массой и удельным объемом комплекса, М>к> и К,. К сожалению, К, нельзя оценить, не зная ничего о составе комплекса. В этом случае для нахождения молекулярной массы белка используют два метода.
Прямо измеряют количество связанного детергента на 1 г белка. Для этого используют спектральные методы или радиоактивно меченный детергент, а для выделения комплексов применяют различные методы, например гель-фильтрацию. Установив относительное содержание белка и детергента в комплексе, значение К, получают как средневзвешенное соответствующих величин для чистого белка и чистого детергента. После этого без труда находят м„ а поскольку соотношение между белком и детергентом в комплексе известно, находят молекулярную массу белка.
Измеряют S0 в средах с разными значениями плотности раствора д. Такие среды обычно получают, используя смеси НгО и D2O. Из графика зависимости S° от q находят как Л/„ так и v>t>. При этом предполагается, что К, — это средневзвешенное соответствующих величин для чистого белка и чистого детергента.

ОцеНИВ Квело* и взяв детергент из таблиц, получают молекулярную массу белковой составляющей м,.
Для построения графика зависимости 5° от q проводят аналитическое центрифугирование. Можно проводить центрифугирование и в градиенте плотности сахарозы, используя смеси Н2О и D2O, но анализ результатов в этом случае гораздо сложнее, хотя принципиально не отличается от предыдущего случая.
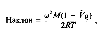
Альтернативный способ определения молекулярной массы нативной формы мембранного белка состоит в равновесном ультрацентрифугировании. Распределение вещества в состоянии равновесия таково, что наклон графика зависимости логарифма концентрации от г2 равен

где г — расстояние от центра ротора до данной точки в центрифужной пробирке, W — частота вращения.
Если величина У известна или ее легко оценить, как для большинства растворимых белков, эта задача решается достаточно просто. Что касается мембранных белков, то в этом случае определяют на-
Таблица 3. Связывание детергентов с некоторыми мембранными белками
|
Белок Na + /К * -АТРаза |
Детергент Тритон Х-100 |
Количество связанного детергента, мг на 1 мг белка 0,28 |
Ссылки |
|
Са2 + -АТРаза |
Тритон Х-100 |
0,20 |
|
|
Белок полосы 3 |
Тритон Х-100 |
0,77 |
|
|
Ацетилхолиновый |
Тритон Х-100 |
0,70 |
|
|
рецептор |
|||
|
Родопсин |
Тритон Х-100 |
1,10 |
|
|
Переносчик |
Тритои Х-100 |
1,5 |
|
|
ADP/ATP |
|||
|
Инсулииовый |
Тритон Х-100 |
0,15; 0,31; 0,54 |
|
|
рецептор |
|||
|
Инсулииовый |
Дезоксихолат |
0,01; 0,03 |
|
|
рецептор |
|||
|
Цитохром |
Тритон Х-100 |
0,6 |
|
|
с-оксидаза |
|||
|
Цитохром |
Лаурилмальтозид |
0,55 |
клон указанной прямой при разных значениях q, получаемых смешиванием НгО и D2O. Как и ранее, одновременно находят М>к> и К, и далее определяют молекулярную массу белка.
Если в комплексе присутствует третий компонент, возникают дополнительные проблемы. В любом случае все описанные процедуры весьма сложны и могут давать ошибочные результаты. Количество детергента, связанного с очищенными интегральными мембранными белками, может быть весьма существенным — от 0,3 до 1,5 от массы белка, и даже небольшие ошибки в этой величине приведут к значительному искажению молекулярной массы белка. В табл. 3.3 приведены данные о количестве детергентов, присутствующих в некоторых белковых препаратах. Заметим, что растворимые белки с этими детергентами не связываются; это опять свидетельствует о том, что за связывание с детергентом ответственна именно неполярная часть белка, обычно контактирующая с мембранными липидами.
3.3 МЕТОД РАДИАЦИОННОЙ ИНАКТИВАЦИИ
Метод радиационной инактивации для определения размера мишени все чаще применяется при исследовании мембранных белков. Изучать можно как очищенные белки, так и неочищенные препараты, в том числе интактные биомембраны. Суть метода состоит в определении доли белковых молекул, получающих повреждения при облучении. Для этого используют ферментативные методы связывания гормонов или других лигандов или спектральные методы. Процедура состоит в следующем. Образец, обычно замороженный, подвергают высокоэнергетическому облучению. Через разные промежутки времени отбирают пробы, размораживают их и проводят измерения. Повреждения белка под действием излучения выявляют, например, с помощью электрофореза в ПААГ с ДСН. Как показывает опыт, некоторые субъединицы полностью утрачивают биологическую активность при внесении радиационного повреждения в любое место полипептидной цепи. Ключевым моментом является то, что, чем крупнее белковая молекула, тем больше вероятность ее повреждения и, следовательно, вероятность инактивации. Эта вероятность зависит не от формы молекулы, а от ее массы. Обычно для того, чтобы облегчить интерпретацию результатов, параллельно облучают белок с известной молекулярной массой. Если исследуемый белок содержит более одной субъединицы, возникают определенные трудности при анализе результатов. Повреждение одной субъединицы не обязательно сопровождается разрывом ковалентных связей в других субъединицах. Поэтому для ферментов, состоящих из разных субъединиц, обладающих неодинаковыми активностями, могут быть получены разные размеры мишени в зависимости от метода определения степени инактивации.
Примечательной особенностью метода является то, что его можно использовать для изучения интегральных мембранных белков in situ. Возникающие при этом артефакты и проблемы рассмотрены в работе. Одна из очевидных проблем — необходимость использования высокоэнергетического излучения. В связи с этим большинство работ приходится проводить в сотрудничестве с лабораториями, в которых имеются соответствующие источники и освоены специальные методы анализа.
3.4 СПЕКТРАЛЬНЫЕ МЕТОДЫ И ВТОРИЧНАЯ СТРУКТУРА
Для определения содержания а-спиралей и /3-слоев в мембранных белках используют несколько методов. В отсутствие трехмерной организации на их основе можно попытаться построить соответствующие модели. Чаще всего используется метод кругового дихроизма. Все более широкое применение находят инфракрасная и рамановская спектроскопия, а также ЯМР.
1. Метод кругового дихроизма основан на измерении разности поглощения лево- и правополяризованного света; эта оптическая активность является мерой хиральности молекул, или мерой их асимметрии. В дальней ультрафиолетовой области КД определяется в основном поглощением амидов карбонильных групп полипептидного остова. При наличии участков вторичной структуры, например а-спиралей, спектр КД имеет вполне определенные особенности, связанные с особенностями электронного окружения амидиых групп в этих структурах. Анализизуя спектр КД белков, его обычно представляют как сумму компоиеитов, отвечающих поглощению разных участков белковой молекулы: а-спиралей, /3-слоев и случайных клубков. Определив тем или иным способом спектры каждой из этих структур, производят их суммирование, подбирая соответствующие коэффициенты таким образом, чтобы было достигнуто наилучшее соответствие измеренному спектру. Подобранные весовые коэффициенты представляют собой ту долю, которая приходится в молекуле на каждый из типов вторичной структуры.
Эти методы были разработаны для растворимых белков, но нет никаких оснований сомневаться, что их можно с успехом применять и для мембранных белков. Скорее всего у последних имеются участки с такими же типами вторичной структуры, как и у растворимых белков, и при их изучении возникнут такие же трудности. Некоторые белки можно изучать in situ, используя суспензии мембран. Примерами такого рода являются бактериородопсин из пурпурной мембраны Halobacterium halobium и Са2 + -АТРаза из мембраны саркоплазмати-ческого ретикулума. Очищенные мембранные белки можно исследовать с помощью КД и в присутствии детергентов, если поглощение последних в дальней УФ-области не слишком велико, или в составе реконструированных везикул. Здесь возникают две проблемы: 1) дифференциальное светорассеяние, когда размер мембранных частиц гораздо больше длины волны света; 2) выравнивание поглощения из-за концентрирования белка в мембранах или везикулах, т. е. из-за негомогенности его распределения в растворе. Эти артефакты могут быть весьма существенными, однако их можно учесть с помощью соответствующих методов.
К сожалению, для внутренних мембранных белков отсутствуют структурные данные высокого разрешения, поэтому точная интерпретация спектров КД невозможна. За исключением нескольких случаев, разные спектральные методы не использовались для изучения одного и того же белка и количественное сравнение результатов не проводилось. Интересно, что для бактериородопсина, который исследовали методами КД, ИК и ЯМР, во всех трех случаях были получены одинаковые результаты, свидетельствующие о значительном содержании в этом белке 3-слоев. Тем не менее у каждого метода имеются существенные недостатки. Так, данные о высоком содержании в бактериородопсине Д-слоев в значительной мере зависят от способа учета оптических артефактов. Судя по данным электронно-микроскопической реконструкции, харатеризующимся относительно низким разрешением, в бактериородопсине 80% приходится на долю а-спира-лей, а 0-слои отсутствуют совсем. Чтобы понять причину этих несоответствий, необходимо провести структурный анализ белка с атомным разрешением. Имеются еще два белка, пронизывающие мембрану, с высоким содержанием, и а-токсин Staphylococcus aureus. Оба этих белка участвуют в образовании пор в бислое.
2. Инфракрасная спектроскопия и спектроскопия комбинационного рассеяния. Эти методы не только позволяют получить сведения о конформации мембранных липидов, но и могут использоваться для исследования вторичной структуры белков. Колебательный спектр полипептидного остова зависит от типа вторичной структуры и дает информацию о содержании в молекуле а-и /3-структур. Этими методами можно исследовать высушенные на воздухе пленки, водные суспензии мембран, а также очищенные белки как в присутствии детергента, так и в составе реконструированных везикул. Например, по данным ИК-спектроскопии с преобразованием Фурье комплекс Са2 + -АТРазы в мембране состоит в основном из а-спиральных участков и участков, имеющих кон-формацию статистического клубка, а гидрофобный белок миелин в реконструированных везикулах имеет как а-, так и /3-участки.
3. ЯМР-спектроскопия также может использоваться для изучения мембранных белков. Однако возможности метода в этом случае ограничены, что связано главным образом с относительно медленными движениями интегральных мембранных белков in situ и в комплексах с детергентом. Поэтому такой мощный метод, как двумерный ЯМР, который может дать детальную картину конформацион-ного состояния сравнительно небольших белков в растворе, пока непригоден для изучения мембранных белков. Более приемлем метод ЯМР твердых образцов. Большими возможностями обладают методы 2Н- и |3С-ЯМР, хотя до сих пор они применялись не очень широко. Получены данные об усредненной конформации остова и динамике боковых цепей. Следует отметить, что методы ЯМР твердого состояния не только не используются широко, но в большинстве случаев их и нельзя использовать. Тем не менее в тех редких ситуациях, когда их применение оказывается возможным, они являются очень ценными.
3.5 ФЕРМЕНТАТИВНАЯ АКТИВНОСТЬ
Одним из наиболее важных методов характеристики очищенных мембранных белков несомненно является определение биохимической активности. При этом используются в основном такие же критерии, как и для растворимых белков, но могут возникать и свои трудности. Первая из них связана с тем, что биохимическая активность мембранных белков часто очень сильно зависит от связывания с белком липидов и детергентов. Потеря активности может быть как обратимой, так и необратимой. Целесообразно иметь какую-то оценку удельной активности исследуемого белка in vivo или в составе мембран до солюбилизации. Избыток детергента может оказывать ингибирующий эффект, например за счет разбавления неполярных субстратов в популяции мицелл и уменьшения ферментативной активности. Измеряя активность любого мембранного белка, необходимо иметь в виду, что in situ он находится в окружении липидов, обеспечивающих оптимальную активность. Вторая проблема связана с белками, обладающими «трансбислойной» активностью; примерами могут служить белки, образующие каналы, и транспортные белки. В этих случаях необходимо учитывать перемещение растворенных веществ из одного компартмента в другой.
3.6 ЧЕТВЕРТИЧНАЯ СТРУКТУРА И ХИМИЧЕСКОЕ СШИВАНИЕ
Многие мембранные ферменты представляют собой комплексы, состоящие из нескольких субъединиц. В качестве примера можно привести Н + -АТРазу, Na + /К +-АТРазу, митохондриальные комплексы электронного транспорта и фотосинтетические реакционные центры. Некоторые интегральные мембранные белки прочно связаны с растворимыми белками с помощью нековалентных взаимодействий. В Е. coli Fo-компонент, содержащий по данным электрофореза в ПААГ-ДСН три типа субъединиц, образует протонный канал, a Fi, состоящий из пяти типов субъединиц, содержит активный центр, участвующий в гидролизе АТР. Для таких белков очень важно определить характер субъединиц, стехиометрию комплекса и ближайшие взаимодействия его компонентов. Это весьма непростая задача даже тогда, когда белковый комплекс уже изолирован. Возникающие здесь проблемы по существу не отличаются от таковых для растворимых белковых комплексов, но имеются и свои дополнительные сложности.
Прежде всего следует иметь в виду, что взаимодействие между субъеднницами очень сильно зависит от типа липидов и детергентов, с которыми связаны белки. Например, сукцинатде-гидрогеназа Е. coli при солюбилизации ее с помощью луброла РХ представляется состоящей из четырех субъединиц, а при солюбилизации большинством других детергентов, в том числе тритоном Х-100, — только из двух. Известно, что оперон sdh кодирует все четыре полипептида, а форма из двух субъединиц имеет аномальный спектр ЭПР. Таким образом, ясно, что in vivo фермент состоит из четырех субъединиц. Однако сукцинатдегидрогеназной активностью обладают обе формы, поэтому используемые биохимические критерии важны для заключения, была ли солюбилизирована правильная форма.
Еще одна проблема связана с тем, что в бислое мембранные белки могут образовывать комплексы из-за высокой их локальной концентрации. При солюбилизации же независимо от используемого детергента может произойти разбавление мембранных белков и их разъединение. По закону действующих масс это приведет к диссоциации комплексов, в которых взаимодействие между компонентами не очень сильное. Часто бывает трудно определить, какой комплекс образуется in situ, а какой — прн солюбилизации и очистке. Подобные проблемы возникают при исследовании многих сложных систем, например системы /3-адренергетический рецептор—адеиилатци-клаза, цепи электронного транспорта у митохондрий, системы мик-Росомных цитохромов Р450 и b$.
Для изучения стехиометрии субъединиц и их ассоциации в очищенном комплексе используется всего несколько методов: 1) химичес кое сшивание; 2) количественный анализ N-концевых аминокислот; 3) определение отношения массы субъединиц в ДСН-полиакриламидных гелях путем определения интенсивности окрашивания, с помощью радиоавтографии или иммуноблоттинга. Каждый метод имеет свои ограничения, но все они использовались на практике. Например, стехиометрию пяти субъединиц никотинового ацетил-холииового рецептора определяли с помощью количественного анализа N-коицевых аминокислот, а трех субъедиииц Fo-компоиента Н + -АТРазы Е. coli — с помощью разделения в ДСН-полиакриламидных гелях. Заметим, что кумасси бриллиантовый синий, обычно используемый для окрашивания белков после разделения в ПААГ-ДСН, связывается предпочтительнее с белками, содержащими основные аминокислотные остатки, и существуют примеры сильно неполярных внутренних мембранных белков, которые лишь едва окрашиваются.
Химическое сшивание применялось для определения ближних взаимодействий как в очищенных белковых комплексах, так и в комплексах in situ. Для анализа ближних взаимодействий в мембранных белках используется несколько специфических гидрофобных сшивающих агентов. Некоторые из них представлены в табл. 3.4. Применяемые методы не отличаются от таковых для растворимых систем. Продукты сшивания обычно анализируют с помощью электрофореза в ПААГ, часто с использованием расщепляемых сшивающих агентов, что позволяет анализировать полипептиды. Применяют также антитела к индивидуальным полипептидам для иммуноблоттинга после электрофореза в ПААГ-ДСН, чтобы идентифицировать компоненты каждого из образовавшихся продуктов. Можно было бы предположить, что при относительно большом времени жизни реагентов белки в биомембранах будут сшиваться в результате простой диффузии в бислое. Однако, по данным нескольких работ, это не так: продукты сшивания представляют собой специфические белковые ассоциаты, а не случайные образования. Так, в фотосинтетической мембране Rhodobacter capsulata образуются сшивки лишь между субъединицами компонентов реакционного центра, а также между реакционным центром и «антенным» комплексом В870, участвующим в передаче энергии реакционному центру.
И наконец, отметим, что химическое сшивание часто использовалось для идентификации интегральных мембранных белков, которые связываются с известными растворимыми компонентами. В качестве примера можно привести сшивание 1) а- и b-субъединиц Fo-kom-понента Н + -АТРазы с /3-субъединицей растворимого компонента Fi; 2) цитохрома с с субъединицами митохондриальной цитохром с-оксидазы; 3) пептидных гормонов с рецепторами гормонов.
Таблица 4. Некоторые сшивающие реагенты, использовавшиеся для определения четвертичной структуры мембранных белков "
