Зовнішньоекономічні операції між українськими та французькими суб’єктами підприємницької діяльності (на прикладі експорту соняшника)
Міністерство освіти та науки України
Дніпропетровський національний університет
Факультет міжнародної економіки
Кафедра міжнародного менеджменту
КУРСОВА РОБОТА
з дисципліни «Менеджмент зовнішньоекономічної діяльності»
Тема №11: «Зовнішньоекономічні операції між українськими та французькими суб’єктами підприємницької діяльності (на прикладі експорту соняшника)»
Виконавець,
студент (ка) групи
ВЗ _ХХ_ХХ ______________________
(особистий підпис) (розшифровка ПІБ)
Керівник
(посада, вчений ступінь) ______________________
(особистий підпис) (розшифровка ПІБ)
Допускається до захисту:
Керівник
(посада, вчений ступінь) ______________________
(особистий підпис) (розшифровка ПІБ)
Дніпропетровськ – 2009
РЕФЕРАТ
Курсова робота, 51 стор, 4 рис.,8 табл., список посилань з 50 джерел, 4 додатки на 25 стор.
Предметом курсової роботи є - дослідження зовнішньоекономічних операцій експорту та імпорту товарів між українськими та французськими суб’єктами підприємницької діяльності (на прикладі експорту соняшника) на протязі 2007 року та кінця 2008 року (після вступу України в СОТ у 2008 році).
Об’єктом дослідження курсової роботи є – українське підприємство ТОВ «Заготзерно» (Межівський район, Дніпропетровської області) та його експортні операції з французькою фірмою при поставці насіння соняшнику.
Мета курсової роботи – оцінка обсягів зовнішньоекономічних зв’язків між Україною та Францією, а також аналіз доцільності та ефективності експорту насіння соняшника із Україну у Францію.
Як показав аналіз, у листопаді 2008 року при різькому зниженні світових цін на насіння соняшнику прибутковість ЗЕД операцій по експорту насіння соняшника та їх рентабельність на рівні 33,4% виникає тільки при внутрішній закупівельній ціні не вище 1200 грн./тону та курсі долару 8,0 грн./1 долар США з врахуванням експортного відщкодування ПДВ (20% від суми митної вартості товарів при експорті). При підвищенні закупівельної ціни до 1900 грн./тону (внутрішні витрати виробників України у 2008 році становлять не менше 1600 грн. за 1тону) – ефективність експорту дорівнює нулю. Тому внутрішні закупівельні ціни трейдерів на насіння соняшнику в Україні в листопаді впали до 1100 - 1200 грн./тону, що робить виробників соняшнику в Україні збитковими у 2008 році та веде до нереалізованих надлишків 50% урожаю-2008 соняшника (біля 3 млн.тон).
ЕКСПОРТ, СОНЯШНИК, ФРАНЦІЯ, ЕКСПОРТНІ КВОТИ, ІНДИКАТИВНІ ЦІНІ, СОТ, ЕКСПОРТНЕ МИТО, СВІТОВА КОН’ЮНКТУРА, ФІТОСАНІТАРНИЙ КОНТРОЛЬ ЕКСПОРТУ ХАРЧОВИХ ПРОДУКТІВ, ЗОВНІШНЬОЕКОНОМІЧНИЙ КОНТРАКТ.
ЗМІСТ
ВСТУП
ДОСЛІДНИЦЬКО – АНАЛІТИЧНИЙ РОЗДІЛ 1. Загальна характеристика Франції та торгово-економічних відносин Франції з Україною
1.1 Коротка загальна характеристика Франції
1.2 Характеристика державного устрою та політичного стану Франції
1.3 Аналіз соціально-економічних процесів Франції протягом 2004 – 2008 років
1.4 Аналіз економічних можливостей та потреб для активізації зовнішньоекономічної діяльності Франції
1.5 Аналіз зовнішньоекономічних та торговельних відносин Франції та України
1.6 Характеристика основних виробників продукції, що експортується з України до Франції, та продукції, що імпортується Україною з Франції
1.7 Обґрунтування вибору об’єкта дослідження - насіння соняшника, як експортного товару з України у Францію, та зустрічного експорту насіння соняшника з Франції в Україну
ПРОЕКТНИЙ РОЗДІЛ 2. Обґрунтування доцільності експортних операцій по торгівлі насінням соняшника між Україною та Францією
2.1. Складання плану проведення експортної операції
2.2. Розробка організаційної структури підрозділу підприємства ТОВ «Заготзерно», що займається проведенням зовнішньоекономічних операцій
2.3. Мотивація персоналу підприємства ТОВ «Заготзерно», який займається проведенням зовнішньоекономічних операцій
2.4. Складання кошторису витрат на проведення зовнішньоекономічної операції
2.5. Визначення прибутковості, ефективності, доцільності проведення зовнішньоекономічної операції. Розробка пропозицій щодо підвищення ефективності операції
2.6. Розробка проекту (контракту) із зовнішньоекономічним партнером – суб’єктом зовнішньоекономічної діяльності Франції
ВИСНОВКИ
ПЕРЕЛІК ПОСИЛАНЬ
ДОДАТКИ
ВСТУП
Зовнішньоекономічна діяльність - це діяльність суб'єктів господарської діяльності України та іноземних суб'єктів господарської діяльності, побудована на взаємовідносинах між ними, що має місце як на території України, так і за її межами.
Згідно з Законом України «Про зовнішньоекономічну діяльність» - суб'єкти господарської діяльності України та іноземні суб'єкти господарської діяльності при здійсненні зовнішньоекономічної діяльності керуються принципами:
1. Принципом свободи зовнішньоекономічного підприємництва, що полягає у:
- праві суб'єктів зовнішньоекономічної діяльності добровільно вступати у зовнішньоекономічні зв'язки;
- праві суб'єктів зовнішньоекономічної діяльності здійснювати її в будь-яких формах, які прямо не заборонені чинними законами України;
- обов'язку додержувати при здійсненні зовнішньоекономічної діяльності порядку, встановленого законами України;
- виключному праві власності суб'єктів зовнішньоекономічної діяльності на всі одержані ними результати зовнішньоекономічної діяльності;
2. Принципом юридичної рівності і недискримінації, що полягає у:
- рівності перед законом всіх суб'єктів зовнішньоекономічної діяльності, незалежно від форм власності, в тому числі держави, при здійсненні зовнішньоекономічної діяльності;
- забороні будь-яких, крім передбачених цим Законом, дій держави, результатом яких є обмеження прав і дискримінація суб'єктів зовнішньоекономічної діяльності, а також іноземних суб'єктів господарської діяльності за формами власності, місцем розташування та іншими ознаками;
- неприпустимості обмежувальної діяльності з боку будь-яких її суб'єктів, крім випадків, передбачених цим Законом;
З 1996 року на протязі 12 років зовнішньоекономічна діяльність в Україні регулювалась Указом Президента України «Про заходи щодо вдосконалення кон'юнктурно-цінової політики у сфері зовнішньоекономічної діяльності» від 10 лютого 1996 року N 124/96, згідно якому Міністерство зовнішніх економічних зв'язків і торгівлі України запроваджувало індикативні ціни на товари:
щодо експорту яких застосовано антидемпінговані заходи або розпочато антидемпінгові розслідування чи процедури в Україні або за її межами;
щодо яких застосовуються спеціальні імпортні процедури відповідно до статті 19 Закону України "Про зовнішньоекономічну діяльність";
щодо експорту яких встановлено режим квотування, ліцензування;
щодо експорту яких встановлено спеціальні режими;
експорт яких здійснюється у порядку, передбаченому статтею 20 Закону України "Про зовнішньоекономічну діяльність";
в інших випадках на виконання міжнародних зобов'язань України.
В зв’язку з вступом у 2008 році України в СОТ та прийняттям Закону України «Про ратифікацію Протоколу про вступ України до Світової організації торгівлі» від 10 квітня 2008 року N 250-VІ, Указом Президента України від 05.08.2008 N 686/2008 "Про визнання таким, що втратив чинність, Указу Президента України від 10 лютого 1996 року N 124" режим індикативного обмеження цін в зовнішньоекономічній діяльності скасований.
Відповідно, міністерство економіки України наказом від 15 серпня 2008 року N 359 скасувало дію та визнало такими, що втратили чинність:
наказ Міністерства економіки України від 12.05.2006 N 167 "Щодо індикативних цін";
наказ Міністерства економіки України від 31.07.2006 N 263 "Про затвердження мінімальних рівнів індикативних цін на електроенергію, що експортується з України";
наказ Міністерства економіки України від 28.08.2006 N 281 "Про внесення змін до наказу Мінекономіки від 31.07.2006 N 263";
наказ Міністерства економіки України від 31.07.2008 N 317 "Про затвердження переліку мінімальних рівнів індикативних цін на деякі види продукції, що експортується з України у серпні 2008 року".
Таким чином, з 15 серпня 2008 року Україна в зовнішньоекономічній діяльності вступила в нову фазу регулювання цін в ЗЕД кон’юнктурою попиту та пропозиції вільного світового торгового ринку.
Предметом курсової роботи є - дослідження зовнішньоекономічних операцій експорту та імпорту товарів між українськими та французськими суб’єктами підприємницької діяльності (на прикладі експорту соняшника) на протязі 2007 року та кінця 2008 року (після формального та фактичного вступу України в СОТ).
Експорт (експорт товарів) – це продаж товарів українськими суб'єктами зовнішньоекономічної діяльності іноземним суб'єктам господарської діяльності (у тому числі з оплатою в негрошовій формі) з вивезенням або без вивезення цих товарів через митний кордон України, включаючи реекспорт товарів. При цьому термін реекспорт (реекспорт товарів) означає продаж іноземним суб'єктам господарської діяльності та вивезення за межі України товарів, що були раніше імпортовані на територію України;
Імпорт (імпорт товарів) – це купівля (у тому числі з оплатою в негрошовій формі) українськими суб'єктами зовнішньоекономічної діяльності в іноземних суб'єктів господарської діяльності товарів з ввезенням або без ввезення цих товарів на територію України, включаючи купівлю товарів, призначених для власного споживання установами та організаціями України, розташованими за її межами;
Об’єктом дослідження курсової роботи є – українське підприємство ТОВ «Заготзерно» (Межівський район, Дніпропетровської області) та його експортні операції з французькою фірмою при поставці насіння соняшнику.
Мета курсової роботи – оцінка обсягів зовнішньоекономічних зв’язків між Україною та Францією, а також аналіз доцільності та ефективності експорту насіння соняшника із Україну у Францію.
Тематика курсової роботи відповідає завданню варіанта № 11 методичних вказівок по виконанню курсових робіт кафедри міжнародного менеджменту ДНУ.
ДОСЛІДНИЦЬКО – АНАЛІТИЧНИЙ РОЗДІЛ 1. Загальна характеристика Франції та торгово-економічних відносин Франції з Україною
1.1 Коротка загальна характеристика Франції
Франція сприймається у світі як своєрідний еталон європейської культури, демократії і поваги до людини-творця. Такий імідж країни обумовлений тривалими зусиллями її видатних особистостей і народу утвердити в собі та у світі ідеали свободи і рівності [45].

Рис.1.1. Географічне розташування Франції в Європі
Франція межує з Бельгією, Люксембургом, Німеччиною, Швейцарією, Італією та Іспанією. Це найбільша країна зарубіжної Європи. Її площа вдвічі більша від території Великобританії, але становить 1/4 території США (без Аляски). Франція займає крайню західну частину Європейського материка. За формою її територія вписується в шестигранник (французи так і називають свою країну - l'Hexagone - шестикутник). Морські кордони країни мають більшу довжину, ніж сухопутні. На сході країна омивається Атлантичним океаном, на півдні – Серед-земним морем, на півночі - протокою Ла-Манш.
Офіційна назва - Французька Республіка - Republіque Francaіse. Територія - 551,6 тис. кв. км. Адміністративний поділ: 95 департаментів (departement), включаючи особливу територіально-адміністративну одиницю Корсику , 22 області (regіon), комуни (commune). Існує також поділ на З7 історичних провінцій. Володіння: 6 заморських департаментів: в Америці - Гваделупа, Гвіана Французька, Мартініка (Центральна Америка), Сен-П'єр і Мікелон (поблизу південно-східного узбережжя Ньюфаундленду); в Африці - Реюньйон (біля південно-східного узбережжя); 5 заморських територій: в Океанії - Нова Каледонія, Полінезія Французька, до складу якої входять острови Суспільства, Маркізькі острови, архіпелаг Туамоту, Французькі південні та антарктичні території; острови Уолліс і Футуна, розташовані на екваторі, в південно-західній частині Тихого океану між Фіджі і Самоа; острів Майотта ; Французькі південно-антарктичні території. Завдяки цьому Франція є третьою державою світу (після США і Великобританії) за розмірами заморських володінь.
Населення - 60,1 млн. осіб (2006 р.). Близько 4,5 мільйона з них – іноземці: алжирці, португальці, італійці, іспанці, вірмени тощо. Щороку приблизно 10 тис. осіб отримують французьке громадянство.
Релігія. Майже все населення країни - католики. Але з огляду на історичні причини у Франції співіснують багато різних релігій. На другому місці - іслам. Його сповідують вихідці з країн Північної Африки, колишніх французьких колоній. Є також прибічники іудаїзму, православ'я, протестантизму та англіканства.
Столиця - Париж (Parіs) - 2,116 млн. жителів (1999 р.). З передмістям – близько 10 млн. жителів. Інші великі міста - Марсель (801 тис.), Ліон (415 тис.), Тулуза (359 тис.), Ніцца (342 тис.), Страсбург (252 тис.), Нант (245 тис.), Бордо (210 тис.).
Офіційна мова - французька, належить до романської групи мов.
Грошова одиниця - EURO. 1 EUR = 1.36 USD курс на 03.07.2008.
Ландшафт - 2/3 території Франції - рівнини і пагорби. Найбільші гірські масиви - Альпи, Піренеї і Центральний Французький масив. Найвища точка - гора Монблан в Альпах (4807 м.). Найбільші річки - Сена (найдовша річка країни, 1012 км), Луара, Гаронна, Рона.
Національний склад Франції порівняно однорідний, понад 90% жителів -французи. До національних меншин, які населяють деякі околичні області, належать: на Сході - ельзасці і лотарингці (близько 1,4 млн. осіб), на Півночі – бретонці (1,25 млн.), на Сході - фламандці (300 тис.), на Півдні - каталонці (250 тис.) і баски (140 тис.), на острові Корсика - корсиканці (280 тис. осіб); у великих містах живуть євреї (близько 500 тис. осіб). Близько 4 млн. іноземців - італійці, португальці, іспанці, поляки, алжирці, марокканці та інші.
Природний приріст населення становить 12 осіб на 1000 жителів. Франція - високоурбанізована країна: частка міського населення - близько 80 відсотків.
Середня тривалість життя (на 1992 рік) становила 74 роки у чоловіків і 82 роки у жінок. Рівень народжуваності (на 1000 людей) - 13. Рівень смертності (на 1000) - 9. 26,4% населення перебуває у віковому інтервалі 0-19 років, 58,9% - від 20 до 64 років, у продуктивному віці - понад 40% французів, а безробітних - 12%.
Офіційною мовою є французька, однак на околицях країни розмовляють баскською (Піренеї), каталонською (Руссільон), німецькою (Ельзас), бретонською (Західна Бретань), фламандською (район Дюнкерка) і корсиканською (діалект італійського на Корсиці). Французи, як правило, вчать і знають іноземні мови, але дуже неохоче розмовляють ними з іноземцями.
Париж - найелегантніша столиця Європи, серце адміністративного, культурного і політичного життя Франції, де проживає п'ята частина її населення, вона настільки не схожа на іншу частину країни, що її часто називають "містом-державою зі своїми законами".
Франція розташована в Західній Європі. На північному сході межує з Бельгією, Люксембургом і Німеччиною, на сході - з Німеччиною, Швейцарією та Італією, на південному сході - з Монако, на півдні - з Іспанією та Андоррою. На півночі омивається Північним морем, протоками Па-де-Кале і Ла-Манш, на південному сході - Середземним морем, на заході - Біскайською затокою. Морські береги, що простяглися на 3120 км, включають в себе скелі Бретані, довгі гряди дюн з боку Атлантики, чудові піщані пляжі і бухти Середземномор'я. Південно-східне узбережжя Франції носить назву Блакитний берег.
Головними фізіографічними рисами Франції є її природні кордони на сході і півдні, нагір'я в південній частині центрального регіону та обширні рівнини. Альпи і Юра є природними кордонами з Італією і Швейцарією. Багато з вершин Французьких Альп піднімаються на висоту більше ніж 4000 м. Гори Юра, висота яких сягає 1700 м, поступово знижуються в напрямку долини річки Рона до Белфортської западини.
На північний схід від Белфортської западини франко-німецький кордон проходить по Рейну. У цьому регіоні знаходиться також гірський ланцюг Вогезів, що піднімаються до 1424 м. Піренеї, які формують природний кордон між Францією та Іспанією, піднімаються на французькому боці до 3298 м (гора Пік-де-Вінемаль). Нагір'я у південній частині центрального регіону, назване Центральний масив, відділене від гірського регіону долиною Рони.
Регіон рівнин, найбільша за територією частина Франції, є частиною Великої європейської рівнини. Окремі пагорби не перевищують висоти 200 м над рівнем моря. До цього регіону належать долини рік Сена, Луара, Гарона і Рона. Практично всі з 200 річок Франції судноплавні в якійсь частині течії. Озер у Франції небагато, а головне - Женевське озеро (відоме також як озеро Леман) переважно знаходиться на території Швейцарії.
Франція знаходиться в помірних широтах і є єдиною європейською країною, яка має чотири кліматичні зони: атлантична (на заході), континентальна (в центрі і на сході), альпійська і середземноморська (на півдні). Клімат Франції в основному помірний, хоча на середземноморському узбережжі він субтропічний, а на сході в горах і на нагір'ї - континентальний. Середня температура січня в Парижі - від 1° до 6° С, середня температура липня - від 15° до 25° С. В Марселі на середземноморському узбережжі - від 2° до 10° С в січні та від 17° до 29° С в липні.
З корисних копалин Франції найбільші запаси: залізняку, бокситів, калійних солей, природного газу, кам'яного вугілля та урану. Родовища залізняку (Мец - Тіонвіль, Лонгві, Бріє, Нансі) із загальними запасами 4 млрд. т належать юрському відкладенню Лотарингзького басейну. Великі родовища бокситів (загальні запаси 100 млн. т) пов'язані з мезозойськими вапняками Провансу (департамент Вар). Поклади калійних солей, достовірні і вірогідні запаси яких становлять 300 млн. т (в перерахунку на K2O), зосереджені в Ельзасі (Мюлуз). Найбільші родовища природного газу (Лак) з запасами 150 млрд. м3 і невеликі - нафти (Парантіс-ан-Борн) із запасами 12,1 млн. т розташовані в Аквітанському басейні.
Основні кам’яновугільні басейни - Валансьєнн (Нір - Па-де-Кале) і Лотарингзький із загальними запасами 9,5 млрд. т - пов'язані зі складчастим підмурком епігерцинської платформи. Родовища уранових руд (Лімузен, Форез, Морван) належать до герцинських гранітів Центрального Французького та Арморіканського масивів (загальні запаси 43 тис. т U3O8). Є також родовища вольфраму (12 тис. т WO3) і сурми (40 тис. т) в Центральному Французькому масиві, плавикового шпату (7 млн. т) і високоякісної талькової сировини (247 тис. т) в Східних Піренеях, свинцю (630 тис. т) і цинку (800 тис. т), олова (4 тис. т), срібла і золота (разом з поліметалічними рудами), сірки і сіркового колчедану, різних будматеріалів.
1.2 Характеристика державного устрою та політичного стану Франції
Франція - республіка. Діє Конституція П'ятої республіки - "Конституція Республіки і Співтовариства" від 28 вересня 1958 року із змінами, внесеними у 1962 році., 196З р., 1974 р., 1976 р., 1985 р., 1986 р. і 1993 р., 1995 і 2000 роках.
Глава держави – Президент. Президент обирається абсолютною більшістю голосів. Якщо цієї більшості не набрано в першому турі голосування, проводиться другий тур. Президент призначає прем'єр-міністра і за поданням останнього - міністрів без затвердження їх парламентом, має право розпускати Національні збори, після попередніх консультацій з головою Національних зборів призначати нові вибори, може вживати будь-яких надзвичайних заходів, які "диктуються обставинами".
Законодавча влада здійснюється парламентом, який складається з двох палат: Національних зборів і Сенату. Національні збори обираються за мажоритарною системою у 2 тури строком на 5 років.
Сенат обирається шляхом непрямого голосування за мажоритарною системою строком на 9 років. Кожні З роки склад Сенату оновлюється на третину. Сенатори обираються не загальним голосуванням, а лише голосами виборщиків-депутатів, членів обласних і генеральних рад департаментів, а також муніципальних рад.
Виконавча влада здійснюється Президентом і Радою Міністрів (урядом).
Президент призначає прем'єр-міністра і за його поданням - міністрів. Член парламенту не може бути одночасно членом уряду. Уряду не потрібний вотум довіри, однак він може бути відправлений у відставку через вотум недовіри, оголошений більшістю в Національній асамблеї.
У березні 1982 року ухвалено закон про децентралізацію, згідно з яким Франція поділяється на 95 департаментів, 22 області та особливу адміністративну одиницю Корсику.
1.3 Аналіз соціально-економічних процесів Франції протягом 2004 – 2008 років
Франція - високорозвинута індустріально-аграрна країна, яка посідає одне з провідних місць у світі за обсягами промислового виробництва. Валовий національний продукт на душу населення – 22 320 доларів на рік [49].
Частка у ВВП (1991, %): промисловість - 18,4, сільське господарство - 5,7. Видобуток (1993, млн. т) кам'яного вугілля - 10,1, нафти - 2,7, залізняку - 7, природного газу - 4,85 млрд. куб. м. Виробництво електроенергії - 454,7 млрд. кВт.ч (193), у тому числі понад 2/3 на АЕС. Чорна (виплавка, млн. т. у 1985: чавуну - 15,5, сталі - 19,4) і кольорова (алюміній, цинк, свинець, мідь та інші) металургія.
Провідна галузь промисловості - машинобудування. Розвинуті автобудування, суднобудування, тракторо- і авіабудування, електротехнічна і радіоелектронна промисловість, а також хімічна (виробництво соди, добрив, хімічних волокон, пластмас), нафтопереробна і нафтохімічна промисловість. Експортне значення мають виробництво текстилю, одягу, галантереї. Розвинуті харчова промисловість і виноробство. Головна галузь сільського господарства – тваринництво. Поголів'я (1992, млн.) великої рогатої худоби - 20,9, овець - 11,5, свиней - 12,3; птахівництво. Посіви зернових (урожай пшениці - 32,6 млн. т у 1992; ячмінь, кукурудза), цукрового буряка. Виноградарство, овочівництво, плодівництво і квітництво. Морське рибальство і розведення устриць.
Франція - один з найбільших у світі виробників хімічної і нафтохімічної продукції (у тому числі каустичної соди, синтетичного каучуку, пластмас, мінеральних добрив, фармацевтичних товарів та іншого), чорних і кольорових (алюміній, свинець і цинк) металів. Великою популярністю на світовому ринку користуються французький одяг, взуття, ювелірні вироби, парфуми і косметика, коньяки, сири (виробляється близько 400 сортів).
Експорт: машинобудівна продукція, у тому числі транспортне обладнання (близько 14% вартості), автомобілі (7%), сільськогосподарські і продовольчі товари (17%; один з провідних європейських експортерів), хімічні товари і напівфабрикати тощо.
Площа сільськогосподарських угідь становить 2/3 території Франції (35,5 млн. га); все більше зменшується частка ріллі і збільшується площа, вкрита травами, що пов'язано з посиленням тваринницької спеціалізації сільського господарства. Рілля займає 16,8 млн. га, багаторічні насадження - 2,2 млн. га (виноградники і сади), пасовища і сінокоси - 13,9 млн. га, під лісом - 14,5 млн. га.
Структура сільського господарства за вартістю продукції у %: рослинництво - 43,3, у тому числі зернові - 16,0, овочі і фрукти - 9,0, виноград (на вино) - 8,5; тваринництво - 56,7, в тому числі виробництво м'яса - 26,1, молока - 18,6, птиці та яєць - 7,7. Рослинництво середньоєвропейского і середземноморсько-субтропічного типів. За збиранням зернових Франція поступається тільки США, Росії, Індії та Канаді. Основна зернова культура - пшениця (близько 1/2 всього врожаю зерна), основний район її виробництва - низовина на Заході країни.
Головний район лову - Атлантичний океан. Улов риби - 806 тис. т (1994). Головні риболовецькі порти - Булонь і Лор'ян, Ла-Рошель. Устричний промисел (близько 70% світового збору устриць).
Приєднання Франції до міжнародних організацій та інтеграційних угрупувань - Франція є членом ООН і більшості спеціалізованих агентств цієї організації, ОБСЄ, ЄС, НАТО, Організації економічного співробітництва і розвитку.
1.4 Аналіз економічних можливостей та потреб для активізації зовнішньоекономічної діяльності Франції
Обсяги зовнішньоторговельного обороту Франції за роки після 2-ї світової війни істотно збільшилися; за розмірами експорту й імпорту Франція поступається лише США, ФРН і Японії. В експорті частка Франції становить понад 6,9%, імпорті - понад 6,7% [50].
Основні статті імпорту: машини та обладнання, нафта, кам'яне вугілля, кольорові метали, целюлоза, бавовна, вовна, деревина хвойних і тропічних порід.
Близько 1/2 зовнішньоторговельного обороту Франції припадає на країни ЄС; головний торговий партнер - ФРН, торгівля з якою, як і з США, здійснюється з великим пасивом.
В економіці Франції держава відіграє більшу роль, ніж в інших розвинених країнах. Під її контролем перебувають банки і страхові компанії, енергетика (вугільна, газова і електроенергетична галузі), залізничний транспорт, великі підприємства, наукові дослідження в атомній та аерокосмічній промисловості. Держава визначає пріоритетні напрямки і планує їх розвиток.
У Франції розвинені всі галузі господарства. Частка зайнятих у сільському господарстві і рибальстві становить 6 % і вони створюють 4 % ВНП, у промисловості й будівництві, відповідно, 28 % і 28 %, у нематеріальних галузях — 66 % і 68 %.
Країна є великим експортером як промислової, так і сільськогосподарської продукції. Процвітає туристичний бізнес. У зовнішньоекономічних стосунках головними партнерами Франції завжди були країни Західної Європи. Зараз 3/5 її торгового обігу припадає на країни ЄС. Серед інших значна частка Швейцарії, США, Японії та Алжиру. Найбільшим торговим партнером Франції є Німеччина. Частка Франції в зовнішньому торговому обігу України в 1995 р. становила 0,5 %.
Найважливішою особливістю господарства Франції є дефіцит власних енергоресурсів та їх значний імпорт. Видобуток вугілля в країні становить менше 10 млн т (у 50-ті роки понад 60 млн т), нафти — З млн т і природного газу — 5 млрд м куб на рік. Франція належить до найбільших імпортерів енергоресурсів, особливо нафти. Імпортуються також природний газ і вугілля. Імпорт нафти (до 90 млн т на рік, переважно з Алжиру і країн Перської затоки) здійснюється морським шляхом. Головними пунктами приймання нафти та її переробки є Гавр і Марсель. Трубопроводами Гавр зв'язаний з Парижем, Марсель — з Німеччиною через Ліон і Страсбург. Природний газ надходить з Нідерландів, Росії та з Алжиру.
З дефіцитом мінерального палива пов'язана велика увага до розвитку гідро- і атомної енергетики. Навіть перед другою світовою війною частка ГЕС і ТЕС у виробництві електроенергії була однаковою. Понад 2/3 потужностей ГЕС зосереджено в Альпах (річки Рона, Ізер, Дюранс), решта — на заході Центрального масиву і в Піренеях.
Франція сама виробляє ядерне паливо. За потужністю АЕС (60 млн кВт) вона поступається лише США. На атомну енергетику припадає 50 % виробленої електроенергії. Місцями розташування АЕС стали долини Рони і Луари та узбережжя Ла-Маншу. Першу в світі припливну електростанцію (ПЕС) збудовано в Бретані у гирлі річки Ране на березі Ла-Маншу, де висота припливів досягає 13 м. Річне виробництво електроенергії становить 450 млрд кВт год; частину її Франція передає своїм східним сусідам.
Обробна промисловість Франції представлена всіма сучасними галузями. За виплавкою сталі (14 млн т на рік; у 50-х роках — 30 млн т) і алюмінію (460 тис. т) Франція входить до першої десятки країн світу. Є дві групи металургійних центрів: старі, які виникли в XІX ст. у вугільних басейнах Півночі й Лотарингії, і нові — комбінати, побудовані в 60-70-х роках у Дюнкерку та поблизу Марселя у Фосі. Найбільший у Західній Європі Лотаринзький залізорудний басейн нині став економічно невигідним як через умови залягання руди, так і через її якість і технологію збагачення. У 50-х роках видобували 60 млн т руди щороку, тепер тільки 10 млн. Все більше залізної руди імпортується морем, що надає перевагу комбінатам, розташованим на узбережжі. Виплавляння алюмінію сконцентроване в передгір'ях Альп, поруч з покладами сировини і джерелами дешевої енергії ГЕС.
Головною галуззю обробної промисловості є машинобудування (38 % зайнятих). Найсильніші позиції країни в автомобільному, атомному та аерокосмічному машинобудуванні, в яких вона має солідні традиції, кваліфіковані кадри і наукові досягнення.
Автомашин, в основному марки «Рено» і «Пежо», виготовляється до 4 млн на рік. Майже половина з них експортується. Автомобільні заводи розкидані в двох з половиною десятках міст, у тому числі в метрополітенах Парижа і Ліона-Сент-Єтьєна, в містах Сошо (Мон-бельяр), Ле-Ман, Рен, Дує. Наукові інститути атомної енергії існують У конурбації Парижа і в Ґреноблі. Франція є провідним експортером атомної технології і технології зберігання радіоактивних відходів. Центрами аерокосмічного машинобудування стали Париж, Тулуза, Бордо, Байонна. Франція була третьою країною світу, яка запустила власний супутник Землі. Вона має широку космічну програму і космодром Кру в Ґвіані.
На французьких заводах виготовляють також обладнання для хімічної промисловості, сільськогосподарські машини, офісну техніку електронні вироби і засоби зв'язку, рухомий склад залізниць, найсучасніше озброєння. Країна є піонером волоконної оптики.
Добре розвинена у Франції хімічна промисловість, особливо її нові галузі та «верхні поверхи». Після другої світової війни ця галузь розвивалася найшвидшими темпами, її підприємства є в усіх регіонах. Франція — великий виробник синтетичних волокон і синтетичного каучуку, а як експортер хімічної продукції посідає третє місце в світі. Значним є виробництво паперу і картону (7 млн т на рік). Розвинені легка і харчова промисловість. Заслужену славу традиційно зберігає Франція як виробник і експортер таких споживчих товарів: одяг, ювелірні вироби, парфуми, косметика, вина, коньяк, книжкова продукція тощо.
Франція – провідна сільськогосподарська країна в Європейському союзі. Вона має найбільшу площу орних земель (понад 30 млн. га) і найвищу їх продуктивність (врожайність зернових 60 ц/га). На частку Франції припадає понад 21% сільськогосподарської продукції країн ЄС (у вартісному вираженні). Франція – найбільший в Європі експортер сільськогосподарської продукції. Особливо велика роль Франції в поставках зернових (50 млн. т в рік, переважно пшениці і кукурудзи) на світовий ринок. Вона експортує також м'ясо (яловичину, свинину і баранину), молочні продукти, овочі, фрукти і вино.
Загальний високий рівень розвитку країни також позитивно позначився на сільськогосподарському виробництві — воно належить до інтенсивних і високопродуктивних. У сільському господарстві працює 1,2 млн чол., середній розмір ферм становить 28 га. У виробництві кращі показники характерні для Північної Франції, гірші — для південних районів.
На рослинництво доводиться трохи більше половини доходів сільськогосподарського сектора. Зернові культури й до тепер лідирують як по обсягу виробництва, так і по експорт у . Виробляючи 36 млн. т пшениці, Франція займає по цьому показнику четверте місце у світі й перше - у Європейському Союзі.
Вирощуванню пшениці сприяють родючі ґрунти Паризького басейну, районів Берр і й Тулузи. Виробництво кукурудзи, що склало в 1997 р. 17 млн. т, у цей час перевищило виробництво ячменя, що зберігається протягом останнього десятиліття на одному рівні (10 млн. т). Протягом тривалого періоду кукурудза вирощувалася тільки на південно-заході країни, однак тепер завдяки дощувальному зрошенню й виведенню гібридних сортів вона поширилася й на Паризький басейн. Виробництво інших злаків, зокрема вівса й жита, швидко скорочується.
Навпроти, посіви олійних і білкових культур, на які існує стійкий і значний промисловий попит, за останні 15 років розширилися. Рапс, вирощуваний головним чином до півночі від Луари, і соняшник, який культивується на південно-за-ході й у Паризькому басейні, забезпечують основну частину поставок. З недавніх пор на півдні країни й у долині Рони почалося вирощування сої.
Вирощуваний найчастіше разом із зерновими продовольчими культурами цукровий буряк, збір якого в 1997 р. склав 34,2 млн. т, забезпечує Франції, що випередила щодо цього Німеччину, перше місце у світі. Поряд із цим цукор виробляється також із цукрової тростини, що надходить із Мартиніки, Гваделупи й Реюньона . Що стосується картоплі як технічної культури, то площі під нею скорочуються, незважаючи на різноманіття її використання в харчовій промисловості.
Спеціалізовані культури займають порівняно менші площі, але вони найчастіше приносять досить високий прибуток з гектару. Насамперед це виноград. В 1997 р. загальне виробництво вина склало 56 млн. гл і перевищило рівень Італії (54 млн. гл). Франція займає також провідне місце по виробництву марочних вин. Ці вина виробляються в строго певних районах, причому їхнє виробництво захищається за допомогою системи контролю, що підтверджує відповідність марочних вин їхній назві. Мова йде в першу чергу про такі райони, як Шампань , Бордо, Бургундія, долини Луари й Рони. Що стосується інших виноградників, зокрема в районах Арманьяку й Коньяку, їхня продукція служить для виробництва прославлених міцних напоїв. У Лангедоке , звідки поставляються головним чином столові вина, почата великомасштабна реорганізація з орієнтацією на підвищення якості продукції шляхом заміни сортів винограду й скорочення обсягів виробництва.
По збору фруктів і овочів Франція посідає третє місце в Європі, поступаючись Італії й Іспанії. Їхнє виробництво зосереджене головним чином у средземноморських районах, таких як Руссільон і Конта-Венессен , у долинах Гаронни й Луари, а також в "городньому поясі" навколо великих міст. Квітництво поширене переважно в прибережних зонах і в долинах Провансу.
1.5 Аналіз зовнішньоекономічних та торговельних відносин Франції та України
Франція визнала незалежність України 27 грудня 1991 року. Дипломатичні відносини між двома країнами були встановлені 24 січня 1992 року. В Парижі і Києві діють посольства України та Франції. Посольство України працює в Парижі з 1993 р. [50].
В рамках українсько-французьких взаємовідносин відбувається поступове залучення широких кіл громадськості до їх подальшого розвитку, чому значною мірою сприяли проведені вперше в історії двосторонніх зв'язків Дні української культури у Франції (вересень-грудень 1999р.) та початок роботи Форуму українсько-французького діалогу, покликаного надавати підтримку поширенню феномена т.зв. народної дипломатії. З української сторони Форум очолив академік І.Ф.Курас, з французької - керуючий Банку Франції Ж.-К.Тріше.
Двосторонні торговельно-економічні зв'язки між двома країнами ще не відповідають їх економічному потенціалові.
Динаміка показників зовнішньої торгівлі України з Францією у 1996 – 2001 роках за даними Держкомстату України (млн. дол. США) представлена в табл.1.1:
Таблиця 1.1
Динаміка обсягів зовнішньоекономічної торгівлі України та Франції у 1996 -2001 роках [48]
|
1996 р. |
1997 р. |
1998 р. |
1999 р. |
2000 р. |
2001 р. |
|
|
Експорт |
123,2 |
121,2 |
145,6 |
111,4 |
137,4 |
128,5 |
|
Імпорт |
248,4 |
332,4 |
295,9 |
249,6 |
248,1 |
317,1 |
|
Товарооборот |
371,6 |
453,6 |
441,5 |
361 |
385,5 |
445,6 |
|
Сальдо |
-125,2 |
-211,2 |
-150,3 |
-138,2 |
-110,7 |
-188,6 |
В табл.1.2 наведені результати аналізу зростання обсягів зовнішньоекономічної торгівлі України з всім світом та питома вага торгівлі з Францією у 2005 -2008 роках.
Таблиця 1.2
Показники міжнародної торгівлі України в цілому з всіма країнами світу та з Францією за 2005 – 2008 роки [48], [49]

Як показує аналіз даних, наведених в табл.1.2, при обсягу території Україна на 10% більше, ніж територія Франції, ВВП Франції за 2007 рік практично в 15 разів більше , ніж ВВП України, а населення Франції більше за населення України тільки на 25%. Таким чином, середньодушовий дохід ВВП на одного жителя Франції за результатами 2007 року був в 11 раз вище ніж середньодушовий дохід на одного жителя України.
Частка експорту у Францію станом на кінець 2007 року становить 0,7% від загального обсягу експорту України у всі країни світу, частка імпорту із Франції становить 2,0% від обсягу імпорту в Україну з всіх країн світу. Тобто, фактично, рівень зовнішньоекономічних відносин є дуже обмежений, при цьому інтерес Франції до продукції з України є мінімальним.
За рівнем інвестицій в економіку України з 1991 року станом на 01.10.2008 року Франція займає 8 місце у світі, слідом за США (табл.1.3), тобто політика прямих інвестицій за нестабільності політичних обставин в Україні є обережною.
Таблиця 1.3
Прямі іноземні інвестиції в економіку України станом на 01.10.2008 року [48]

1.6 Характеристика основних виробників продукції, що експортується з України до Франції, та продукції, що імпортується Україною з Франції
Постійне негативне торгове сальдо (перевищення імпорту над експортом) і обмеженість торгових зовнішньоекономічних відносин між Україною та Францією показує детальний аналіз товарообороту у розрізі статей УКТЗД, згідно статистичним даним митної служби за 9 місяців 2008 року [48].
Україна постачає на французький ринок чорні метали та вироби з них, руди та уранові концентрати, продукцію хімічної промисловості, зокрема мінеральні добрива, текстиль, а також зерно.
У свою чергу, Франція експортує в Україну машини та механізми, лікарські засоби, продукцію сільського господарства та хімічної промисловості, різноманітне технічне обладнання, ТШВ.
Аналіз вибірок, наведених в табл.Б.1 -Б.4 Додатку Б показує, що як експортний товар України у Франції великим попитом користується з продовольчої групи товарів насіння соняшника та соняшникова олія, це єдина з експортних груп товарів України, в якій частка Франції становить 4,5-5,0% від світового обсягу експорту.
Тому в дійсній курсовій роботі детально проаналізуємо операції по експорту у Францію соняшника з України.
1.7 Обґрунтування вибору об’єкта дослідження - насіння соняшника,як експортного товару з України у Францію
Соняшник є основною олійною культурою як в Україні, так і у більшості країн Європи. Соняшникова олія - цінний продукт харчової промисловості. Вона відрізняється високими смаковими якостями, використовується у їжу, для виробництва кондитерських виробів, консервів, маргарину. Із соняшникової олії виробляють оліфу та олеїнову кислоту, яка використовується у шерстяної промисловості.
За останні роки Україна пережила збільшення виробництва соняшнику за рахунок росту посівної площі, що було викликано високою закупною ціною на нього в зв'язку з високим попитом у країнах Західної Європи. Однак час показав недоцільність такого підходу, бо при низькій культурі землеробства і недотриманні сівозмін у зв'язку з високим відсотком розміщення соняшнику, його врожайність як і врожайність інших культур, різко впала. За останній рік положення вирівнялось за рахунок підвищення експортного мита на вивіз соняшнику, а також підвищення цін на зернові. Однак соняшник залишається привабливою в економічному плані культурою для вирощування в нашому регіоні.
Соняшник - провідна олійна культура в Україні, яка порівняно з іншими дає найбільше олії з одиниці площі.
Насіння районованих сортів і гібридів містять понад 48-50 % жиру, 16-19 % білку, а вихід олії при переробці на заводах становить майже 47 %. Соняшникова олія - висококалорійний харчовий продукт. Калорійність 100 г соняшникової олії дорівнює 929 кілокалоріям, тоді як вершкового масла -780.
Цінними є ненасичені жирні кислоти, вміст яких в олії в середньому досягає 90 %, а з них біологічно найкорисніша для людини - лінолева (55-60 %).
Олія широко використовується для виготовлення маргарину, консервів, хлібних і кондитерських виробів, а також застосовується в миловарній, лакофарбовій та інших галузях промисловості.
Соняшникова олія містить ряд інших важливих для людини компонентів: фосфатидів, вітамінів -А, Д, Е, К.
Французькі спеціалісти з харчування вважають, що соняшниковій олії належить майбутнє в нормальному харчуванні людини.
При переробці насіння, крім олії, одержують макуху або шрот, відповідно 33 і 35 %, які є цінним кормом для худоби. На один кілограм шроту чи макухи припадає 1,4; 1,03 кормової одиниці і 0,332; 0,257кг перетравного протеїну. З насіння соняшнику можна виробити білкове борошно для кондитерської промисловості. З лушпиння одержують етиловий спирт, кормові дріжджі, фурфурол для виробництва пластмас.
З серцевини соняшникових стебел виробляють папір і штучний шовк. Соняшник використовується як лікарська рослина. Він є медоносною рослиною, з 1 га одержують 35-40 кг меду.
Соняшник вирощують також як кормову культуру, згодовуючи зелену масу тваринам у свіжому або засилосованому вигляді. Стебла соняшнику містять багато калію і фосфору. При збиранні врожаю їх подрібнюють, а потім приорюють. Кошики використовують на корм худобі.
Урожайність соняшнику у виробництві за останні 35 років на Україні залежно від агрометеорологічних умов вегетації коливається від 9 до18 ц/га. За останні п'ять років посівні площі соняшнику в Україні порівняно з 1986-1990 рр. зросли майже в два рази, при цьому урожайність знизилася з 16-17 ц/га в 1986-1990 рр. до 10-11 ц/га. Така ситуація склалася внаслідок нехтування біологічними особливостями культури, необґрунтованого розширення площ посіву та порушення елементарних вимог агротехніки.
Збільшення посівних площ соняшнику призвело до повернення його на попереднє місце у сівозміні не через 7-8 років, як цього вимагає агротехніка, а через 4-5 років, що призводить до поширення хвороб (сіра гниль, фомопсис та ін.), погіршення загального стану орних земель, збільшення площ, які треба відводити під чисті пари. При цьому виробництво соняшнику із високорентабельного для більшості господарств стає збитковим, оскільки доходи при продуктивності менше 10 ц/га не покривають витрати на його вирощування. Основним регіоном вирощування культури на Україні є Степ, де посівна площа становить 75-79 %, в Лісостепу - до 20 %.
Таблиця 1.4
|
Найбільші виробники соняшникового насіння у світі – 2005 (мільйонів метричних тон) [49] |
|
|
|
6.3 |
|
|
4.7 |
|
|
3.7 |
|
|
1.9 |
|
|
1.9 |
|
|
1.8 |
|
|
1.0 |
|
|
0.9 |
|
|
0.7 |
|
|
0.5 |
|
Світ загалом |
31.1 |
|
Джерело: UN Food & Agrіculture Organіsatіon (FAO) |
У загальному обсязі виробництва олійних культур в Україні соняшник займає більше 90%, а в структурі посівних площ не менше 10%. Соняшник – культура вигідна, він може дати прибуток до 89%, менше залежить від погодних умов, хоча дощове літо зменшує вміст олії в насінні. Але якщо в наприкінці 80-х років урожайність соняшнику в нашій країні була на рівні європейських країн, то зараз спостерігається щорічний її спад, в середньому на 7% за рік. Це відбувається з двох причин: внаслідок порушення агротехнології та виснаження земель.
Унікальні природно-кліматичні умови України дозволяють вирощувати соняшник практично на всій території України (окрім Волинської, Львівської та Рівненської областей). Але найбільш сприятливі землі степової зони, куди входить Кримська АР, Херсонська, Одеська, Запорізька, Миколаївська, Луганська, Донецька, Дніпропетровська та Кіровоградська області. Соняшник потребує певної кількості сонячних днів протягом року, для того, щоб відбувся ферментативний процес утворення олії в насінні. У дощове літо в насінні соняшнику збільшується вміст крохмалю. Найбільші посівні площі в Україні займають гібриди "Одеський-122», -123, -128, -249, -504. Олійність харківських сортів складає 52-55%, одеських і запорізьких – 50-52%.
Українська олієжирова галузь представлена підприємствами, які входять в асоціацію "Укроліяпром", а також крупними компаніями ЗАТ "Каргіл", ТОВ "Топфер", ДП "Сантрейд", ПГ «КМТ», «Бунге». Всі компанії працюють на базі крупних українських заводів. Нині в секторі працюють 17 великих підприємств. Існуючі потужності олієжирових підприємств України дозволяють за рік перероблять до 4,5 млн. тонн насіння олійних культур (як правило соняшнику та рапсу), при цьому можна отримати 1,5 млн. тонн соняшникової олії, 380 тис. тонн маргарину, 105 тис. тонн майонезу.
Споживання соняшникової олії власного виробництва в Україні збільшилось за останні роки з 7,5 кг в 1998 році до 12 кг в 2005-му, при рекомендованій нормі споживання 13 кг на особу, що пов’язано зі збільшенням купівельної спроможності населення. Під дією збільшення споживчого попиту і збільшення обсягів виробництва в кондитерській та хлібопекарній галузях, збільшується також виробництво маргарину та майонезу всередині країни, і нині на це йде 1/5 сумарного виробництва соняшникової олії.
Обсяг ринку олії становить 1,7 млн. тонн за рік. Вагома частка виробленої соняшникової олії йде на експорт. .
Варто зазначити, що в світовій структурі споживання серед 17 олійних культур соняшнику належить лише 6,6%. При тому, що олія рапсова займає 9,9%, пальмова – 22,4% і соєва – 26% споживання.
Відсутність мита на вивезення насіння соняшнику впливало на власну олієжирову галузь України. Насіння йшло на експорт. Заводи стояли, соняшникова олія потрапляла до нас із-за кордону. Для захисту галузі в жовтні 1999 року уряд ввів 23% податок на експорт насіння соняшнику.
Однак давальницька схема дозволяла вивозити насіння й далі. Лише після заборони на давальницькі операції, олієжировий комплекс України нарешті почав відновлювати свої позиції. У липні 2001 року був прийнятий новий закон, відповідно до якого експортний податок знижувався до 17% митних витрат на умовах FOB. Цей закон скасував також безмитний статус, який раніше надавався експорту, що здійснювався відповідно до давальницьких контрактів. Після того, як безмитний статус було відмінено, нове 17% експортне мито істотно скоротило експорт українського насіння соняшнику. Із соняшникової олії та макухи експортні мита не стягуються.
На рис.1.1 - 1.3 наведені результати проведеного в курсовій роботі аналізу обсягів вирощування та внутрішньої переробки в олію сімян соняшника в Україні, внутрішня цінова політика закупки сімян соняшника та обсяги його експорту, ефективність індикативного регулювання цін експорту соняшнику до вступлення України в СОТ.
Аналіз графіків рис.1.3 показує, що з другої половини 2008 року, в зв’язку з світовою фінансовою кризою, на зовнішньому ринку різко впав попит на соняшник і, відповідно, ціни. Аналогічно, різко знизилися внутрішні ціни в Україні (рис.1.2). Враховуючи самий великий врожай соняшника в Україні у 2008 році (рис.1.1), склалася ситуація надлишку до 3 млн.т зібраного соняшнику, який не може бути використаний в Україні.
13.11.2008 року Уряд України запропонував парламенту тимчасово скасувати 17% мито на експорт соняшнику для підтримки цін на внутрішньому ринку.

Рис.1.1. - Динаміка збору соняшнику, вироблення соняшникової олій та експортування соняшнику і олії з України у 2003 -2008 роках [48]

Рис.1.2. - Динаміка внутрішніх цін України на закупку насіння соняшнику у 2004 -2008 роках [48]

Рис.1.3. - Динаміка світових ринкових цін та індикативних мінімальних цін на експорт з України сімян соняшнику у 2003 -2008 роках [48], [49]
Таблиця 1.5
Порівняльні показники експорту /імпорту соняшника, пшениці та кави з України/в Україну) з Франції та інших країн світу у 2006 -2008 роках [48]

Згідно з документом, мито не стягуватиметься до 1 вересня 2009 р. для виробників соняшнику і трейдерів, які купили продукцію безпосередньо у фермерів по цінах, не нижче встановлених урядом.
«Значно знизилися ціни на соняшник і соняшникову олію. Ціна на соняшник на внутрішньому ринку знизилася на більш ніж 40% до 700 грн за т (121 дол.). Потрібно зробити дійові заходи з активізації ринку соняшнику і соняшникової олії", - йдеться в записці-пояснення до законопроекту [47].
Україна - один із провідних світових виробників і експортерів соняшникової олії, ввела 23% мито на експорт соняшнику у 1999 році для підтримки вітчизняних виробників олії. У 2001 році мито було знижено до 17%.
2008 року урожай соняшнику зріс до 6 млн т з 4,9 млн в 2007 р. Експорт соняшнику не перевищував 100 тис. т останні роки.
ТОВ «Укрзернопром Агро» і ряд інших великих українських сільгоспвиробників звернулися до уряду України з проханням про тимчасове скасування експортного мита на насіння соняшнику.
Зокрема, скасування експортних квот змусить переробників соняшника значно підвищити закупівельні ціни на цю культуру. Якщо виходити зі звичайної арифметичної логіки, ціна на соняшникову олію сьогодні на світових ринках, ф'ючерси на грудень - $1130, на січень - $1300 за тонну, отже, ціна на соняшник повинна бути понад 2 тис. гривень. На сьогодні ціна на соняшник становить, максимум, 1630 грн за тонну.
У переробників зараз у наявності запаси соняшнику минулого сезону - за ціною від 3,5 до 4 тис. грн за тонну. Масло з такого соняшнику на експорт - абсолютно нерентабельне, тому вони прагнули різко збити ціни для того, щоб підняти свою рентабельність і знизити собівартість на масло нового врожаю.
Зниження ціни на соняшник переробники пояснюють падінням ціни на соняшникову олію на світових ринках. На той момент, коли минулого року наприкінці сезону ціна на масло на світових ринках була понад $2 тис. /за тонну, ціна в Україні на соняшник у цей же час була близько 4 тис. Грн./тону (рис.1.2).
Одним з основних чинників, які вплинули на «обвал» цін на соняшник у 20078 році було повідомлення про підвищення прогнозного рівня врожаю соняшнику в Україні на 2-3 млн тонн. Якщо на початку сезону давали 2100, 1900, 1700 грн за тонну, то восени 2008 року ціна різко впала до 1300-1400 грн. за тону (рис.1.2).
Вирощування соняшнику в 2008 р. було збитковим для українських сільгоспвиробників. За даними Української зернової асоціації середня собівартість 1 т соняшнику в 2008 р. склала 1500 грн/т, тоді як середня закупівельна ціна склала 1100-1200 грн/т. станом на листопад 2008 року [48].
ПРОЕКТНИЙ РОЗДІЛ 2. Обґрунтування доцільності експортних операцій по торгівлі насінням соняшника між Україною та Францією
2.1 Складання плану проведення експортної операції
Згідно з «Положенням про порядок видачі ліцензій на експорт олії соняшникової та насіння соняшнику» [18] у 2008 році планування експортної операції потрібно розпочинати з отримання ліцензій на експорт олії соняшникової та насіння соняшнику згідно з постановою Кабінету Міністрів України від 12.03.2008 N 189 "Про затвердження обсягів квот на олію соняшникову та насіння соняшнику, експорт яких підлягає ліцензуванню до 1 липня 2008 р., та порядку видачі ліцензій" [19].
Для одержання ліцензії заявником - суб'єктом господарської діяльності подаються такі документи:
заявка за формою згідно з додатком до цього Положення;
лист-звернення про видачу ліцензії з гарантією сплати збору за її видачу;
копія зовнішньоекономічного контракту з додатками та специфікаціями до нього;
копія свідоцтва про державну реєстрацію;
довідка Мінагрополітики про наявність обсягів олії соняшникової та/або забезпеченості сировиною для її виробництва або обсягів насіння соняшнику, заявлених на експорт (оригінал);
оригінал довідки Мінагрополітики (для суб'єктів господарської діяльності, які здійснювали реалізацію на внутрішньому ринку фасованої олії соняшникової у період з 1 вересня 2007 року по 1 березня 2008 року).
ТОВ "ЗАГОТЗЕРНО" (Межівський район, Дніпропетровської області), маючи власний елеватор в Петропавлівському районі Дніпропетровської області, скупає та проводить товарну обробку насіння соняшнику, який вирощують та збирають господарства Дніпропетровської області.
З власного елеватору насіння загружається насипом в морські контейнери, чи насипом в сухогрузні вагони залізнизі , та перевозиться на транзитні елеватори морських портів м.Бердянська та м.Миколайова, де загружається на борт кафрахтованих французьким покупцем морських суден, які доставляють насіння соняшнику в морський порт покупця – м. Марсель, Франція.
Перед погодженням ЗЕД – договору зовнішньоекономічний відділ підприємства ТОВ "ЗАГОТЗЕРНО" направляє оферту (пропозицію) французькій стороні та проводить всі операції по погодженню ЗЕД-договору.
Формою оплати договору сторони погоджують безвідзивний покритий ділимий акредитив, який розкривається наступними етапами:
- оплата авансової частини в 20% на протязі 10 днів після погодження договору;
- оплата другої авансової частини в 30% після транспортування ТОВ «Заготзерно» насіння в порт та його загрузки в режимі FOB [11] (на протязі 10 днів з моменту оплати 1-го авансу);
- оплата залишку в 50% після прибуття судна з насінням в порт Марсель, його розмитнення, перевірки та приймання за актами французською стороною.
Згідно листа Міністерства охорони здоров'я України від 10.07.2008 N 05.01.02-01/840 щодо експорту соняшникової олії до Європейського Союзу та постанову Головного державного санітарного лікаря України від 19 травня 2008 р. N 11 "Про затвердження Порядку видачі санітарних сертифікатів на вантажі з харчовими продуктами, призначеними для експорту" [27], відповідно до статей 53, 54 Закону України "Про безпечність та якість харчових продуктів", спеціальною умовою експорту до Європейського Союзу соняшникової олії є подання при її митному оформленні санітарного сертифіката на вантажі з харчовими продуктами, призначеними для експорту, виданого на підставі результатів досліджень, проведених в акредитованих лабораторіях (такою лабораторією, узгодженою з Європейським Союзом, є ДП "Укрметртестстандарт").
З метою дотримання вимог Закону України "Про безпечність та якість харчових продуктів" [7] начальники митних органів забезпечують здійснення митного оформлення експорту соняшникової олії та соняшнику до Європейського Союзу за наявності санітарного сертифіката на вантажі з харчовими продуктами, призначеними для експорту, виданого на підставі результатів досліджень акредитованою лабораторією, узгодженою з Європейським Союзом.
Відповідно до Закону України "Про зовнішньоекономічну діяльність" [5] ліцензування експорту товарів запроваджується в Україні в разі, зокрема, значного порушення рівноваги щодо певних товарів на внутрішньому ринку, що мають вагоме значення для життєдіяльності в Україні, особливо сільськогосподарської продукції (стаття 16).
Постановою КМУ від 12 березня 2008 року N 189 [19] затверджено обсяг квоти на олію соняшникову, експорт якої підлягає ліцензуванню до 1 липня 2008 року, в розмірі 300 тис. тонн. Таке рішення прийнято без урахування ринкової ситуації в Україні, оскільки, як свідчить баланс попиту та пропозиції олії соняшникової, на даний час на внутрішньому ринку є надлишок олії. Так, за даними Міністерства аграрної політики України та експертів, наявні ресурси олії в Україні до кінця маркетингового року становлять близько 750 тис. тонн. Щомісячна потреба в олії в Україні - близько 40 тис. тонн, тому до кінця маркетингового року для задоволення попиту внутрішнього ринку потрібно 160 тис. тонн олії соняшникової. Для створення ж перехідних залишків необхідно 40 - 80 тис. тонн олії. Таким чином, Україна може експортувати до кінця маркетингового року (до 31 серпня 2008 року) близько 500 тис. тонн олії.
2.2 Розробка організаційної структури підрозділу підприємства ТОВ "Заготзерно", що займається проведенням зовнішньоекономічних операцій з експортом соняшника
Обсяги персоналу підприємства ТОВ «Заготзерно» (до 75 працівників) та невеликий асортимент виробляємої продукції і його стабільність дозволили використати найбільш просту функціональну структуру управління підприємством, наведену в табл.2.1.
Таблиця 2.1
Структура виробничого та невиробничого персоналу ТОВ «Заготзерно» у 2004 - 2007 роках

2.3 Мотивація персоналу підприємства ТОВ «Заготзерно», який займається проведенням зовнішньоекономічних операцій
Майже всі сфери діяльності менеджера ЗЕД регламентовані правилами; стиль його керівництва складається в процесі взаємопогоджених дій, в основу яких покладено професійне спілкування.
Ефективність професійної діяльності менеджера даної галузі тісно пов’язана із комунікативною компетентністю, яка включає мовну та риторичну, і є основою культури спілкування. Перепоною успішному виконанню функціональних обов’язків можуть бути бар’єри спілкування, серед яких виділяють: семантичні, організаційні, фізичні, невербальні, перцептивні, мотиваційні, емоційні, культурологічні, лінгвістичні.
Формування особистісно-професійної комунікативної компетентності відбувається в ситуаціях міжособистісного спілкування, а тому адекватне сприйняття ситуації, об’єктивний вибір способів реагування, здатність прогнозувати очікуваний результат і спрямовано досягати його, засвідчує професіоналізм менеджера ЗЕД.
На формування професійних якостей в ЗЕД суттєво впливатимуть мотиви вибору професії, здатність успішно адаптуватись у постійно змінюваних умовах ринкової економіки, сформованість комунікативних умінь, вільне володіння рідною та іноземними мовами. Сукупність професійних якостей менеджера ЗЕД розкривається через обґрунтування специфіки діяльності, її змісту, умов реалізації цілей і завдань, методів, засобів і функцій управління.
На основі аналізу функцій, особливостей професійної діяльності менеджерів ЗЕД виділяються такі групи професійних якостей:
комунікативні (комунікативна обізнаність, впливовість, толерантність, винахідливість, злагідливість, лаконічність, переконливість),
управлінські (діловитість, ініціативність, організованість, гнучкість, здатність виправдано ризикувати та класифікувати фахову інформацію),
фахові (аналітичність, прогностичність, конкурентоспроможність, координаційна здатність, комп‘ютерна грамотність, вільне володіння рідною та іноземною мовами),
особистісні (професійна відповідальність, гуманність та самостійність, рефлексивна, емпатійна схильність, адекватність самооцінювання та способів реагування в конфліктних ситуаціях, емоційна стабільність та адаптивність, впевненість у власних діях).
Зовнішньоекономічна діяльність, маючи свою специфіку, висуває особливі вимоги до ділових якостей управлінського персоналу і його професійній підготовці. До питань керування персоналом і, зокрема, у зовнішньоекономічній сфері, можна виділити наступні вимоги до управлінського персоналу організації з ЗЕД:
- дотримання партнерами міжнародних і національних морально-етичних принципів ділової практики;
- врахування соціально-економічної доцільності співробітництва;
- вивчення й аналіз зовнішнього середовища міжнародного бізнесу;
- аналіз культурного слою країн-партнерів і використання його можливостей при виробленні стратегічних, тактичних і оперативних рішень;
- формування й розвиток полікультурного колективу.
Відомі п'ять варіантів підходів керівників організацій з ЗЕД до керування персоналом [ ]:
- домінуючий стиль штаб-квартири, і перенесення його елементів на філії;
- пристосування до умов країни перебування (домінують так звані «домашні» підходи);
- «сплав» (відбувається своєрідний синтез різних управлінських і культурних аспектів діяльності штаб-квартири й філій);
- універсалізм (установлюється якийсь нейтральний стиль, прийнятий різними культурами);
- комбінований підхід (являє собою сполучення всіх перерахованих вище підходів стосовно до регіональних або глобальних умов діяльності міжнародної фірми).
Аналіз стратегії мотивації персоналу в ТОВ «Заготзерно» показав, що у 2007 -2008 роках на підприємстві продовжувалася підготовка до впровадження “Інтегрованої системи керування оплатою праці за методикою HAY GROUP. Основними задачами нової системи були: підвищення ефективності виробництва шляхом зміни системи керування персоналом в сегменті, зв'язаному з оплатою праці, і мотивування співробітників на досягнення поставлених перед ними задач.
Матеріальна мотивація персоналу виражається у встановленні індивідуальних окладів кожному працівникові в залежності від оцінки посади, вартості даної посади на ринку праці, індивідуальної оцінки конкретного працівника й у введенні суттєвої перемінної винагороди (премії).
Основою для визначення розмірів індивідуальної винагороди (окладу) працівника є періодична оцінка персоналу за встановленими критеріями (ефективність, професіоналізм, відношення до роботи). Періодична оцінка є основою і для формування індивідуальних програм навчання, розвитку персоналу і планування професійного росту (нематеріальна мотивація).
Значно піднята роль керівників відділу ЗЕД убік виконання менеджерських функцій, тому що саме безпосередній керівник ставить перед підлеглим йому персоналом мети і задачі не тільки виробничого характеру, але і, з огляду на здатності і недоліки кожного, задачі по розвитку тих або інших компетенцій, з яких найбільш важливими є загалькорпоративні, такі як прагнення до професійного росту, самостійність і ініціатива, командна робота. Зараз велика увага приділяється підвищенню якості продукції, задоволенню потреб клієнта, і від уміння середнього управлінського персоналу правильно організувати роботу команди і правильно мотивувати персонал залежить дуже багато чого.
За результатами періодичної оцінки проводилася процедура ранжирування, тобто розподіл працівників на три групи: А-20% кращих співробітників, В-60% середніх працівників і С-20% співробітників, що одержали найнижчі оцінки. У 2007 році ранжирування працівників проводилося двічі – у квітні і жовтні. За підсумками роботи в 2007 році 10,2% працівників двічі потрапили в групу А, підтвердивши свою оцінку, у той же час 6,9% працівників двічі потрапили в групу С. Оклади працівників, що двічі потрапили в групу А були підвищені в більш значному ступені, ніж працівникам групи В. Оклади працівників групи С залишилися незмінними, при цьому вони попали до групи звільнених працівників при скороченні обсягів роботи підприємства у 2007 році.
Розміри перемінної винагороди (премії) працівникам установлюються відповідно до прийнятої на підприємстві “Політики перемінної винагороди” у залежності від рівня посади і функцій і задач, що вирішуються працівниками даної посади. Так, для посад керівників, фахівців і робітників з функцією “Виробництво” встановлений середній розмір премії на рівні 25%, максимальний - 75%.
Преміювання працівників виконується по групових і індивідуальних показниках, які враховують результати роботи підприємства, цеху, ділянки, бригади і конкретного працівника.
Для робітників як груповий показник обраний показник виконання плану по відвантаженню по підприємству(цеху), у якості індивідуальних - виконання планів, графіків бригадою, показники якості продукції, виконання норм виробітку й ін.
Робота з удосконалювання нової системи оплати праці на підприємстві ведеться безупинно. З метою підвищення ефективності праці працівників введений показник оцінки якості праці безпосереднім керівником, що дозволило підвищити, з одного боку, роль безпосереднього керівника, з іншого боку, - відповідальність працівника за результати своєї праці. На підставі аналізу дії шкал преміювання переглядався їхній діапазон, при досягненні максимальних їхніх величин посилювалися шкали преміювання, вводилися більш важливі на даний момент показники.
У системі мотивації персоналу основним є вибір критеріїв оцінки ефективності праці. Протягом року для преміювання керівників і фахівців була введена велика кількість економічних показників. Так, крім показника “Виконання бюджетного завдання по виробничій собівартості по підприємству”, введені показники, що дозволяють мотивувати персонал, відповідальний за виконання відповідних статей бюджету, за зниження наднормативних залишків, за досягнення кращих результатів, що в остаточному підсумку сприяє росту ефективності роботи не тільки окремих співробітників, але і підприємства в цілому.
Робота відділу маркетингу та організації зовнішньоекономічної діяльності чітко регламентована розробленими вимогами в посадових інструкціях до компетенцій працівників відділу (Додаток В), що дозволяє виконувати мінімальним составом відділу (1 - 3) працівника весь обсяг зовнішньоекономічної діяльності підприємства.
2.4 Складання кошторису витрат на проведення зовнішньоекономічної операції
В курсовій роботі при складанні кошторису витрат та аналізі прибутковості та рентабельності операцій ЗЕД по експорту насіння соняшнику прийняті наступні умови, характерні для експортуючого підприємства ТОВ "ЗАГОТЗЕРНО" (31761993, Межівський район, Дніпропетровської області) при поставці у Францію у 2007 році насіння соняшнику:
Закупівельна ціна на соняшник – дорівнює середній внутрішній ціні по Україні;
Ціна реалізації насіння соняшнику у Францію на митному кордоні (FOB на борті судна в порту України) дорівнює рівню мінімальних індикативних цін, встановлених КМУ України до введення в 2008 році в дію протоколів СОТ;
Витрати на прогрузку, транспортування та страховку насіння до порту погрузки по території України становить 5% від внутрішньої закупівельної ціни;
Експортне мито становить 17% від митної (продажної вартості) насіння соняшнику, митні збори становлять 0,2% від митної (продажної вартості) насіння соняшнику;
Витрати на ліцензії, квоти , санітарний та фітоконтроль становлять - 3% від внутрішньої ціни закупки соняшнику;
Накладні витрати (оплата праці та витрати підприємства на ЗЕД –угоди) становлять 25% від внутрішньої ціни закупки соняшника;
Податок на прибуток становить 25% від валового прибутку (різниці валових доходів та валових витрат);
В чистий прибуток додається експортне відшкодування по ПДВ – 20% від митної вартості експорту.
2.5 Визначення прибутковості, ефективності, доцільності проведення зовнішньоекономічної операції. Розробка пропозицій щодо підвищення ефективності операції
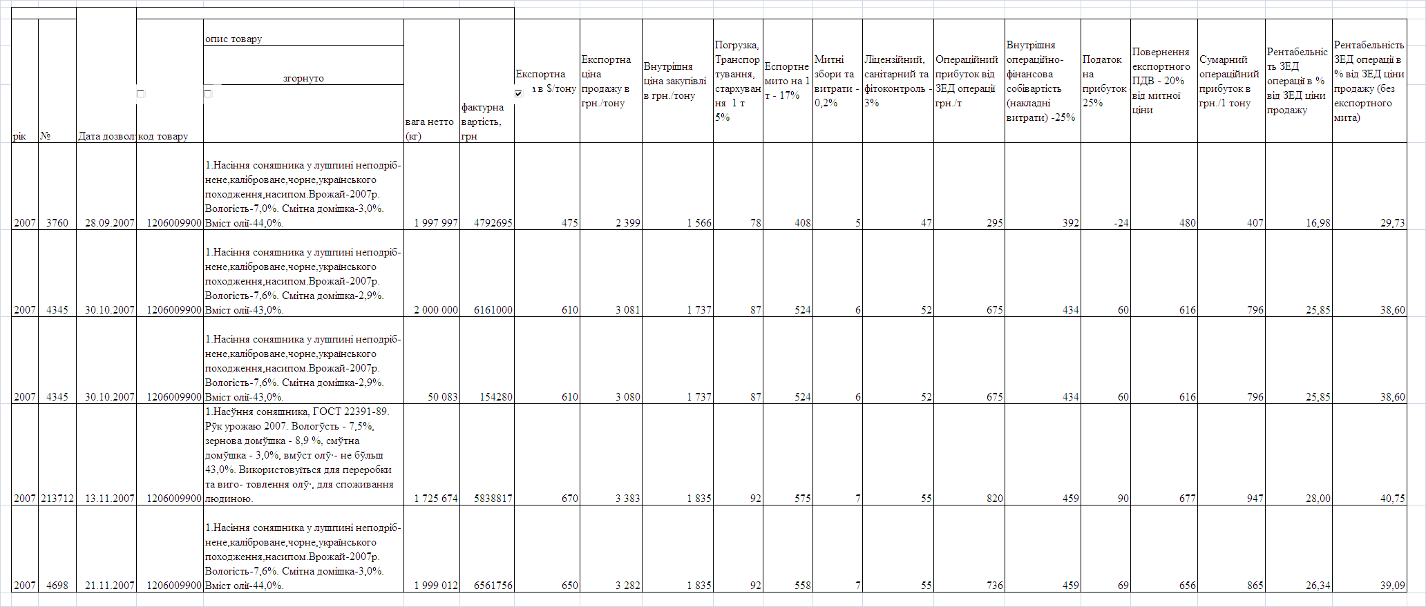
В таблиці 2.2 наведені результати розрахунків прибутковості та ефективності експорту насіння соняшнику для реальних контрактів 2007 року (додаток А) при світових та внутрішніх цінах жовтня – листопада 2007 року.
Одночасно в табл.2.2 наведені результати прогнозних зміні прибутковості та рентабельності ЗЕД операцій по експорту насіння соняшника при скачування 17% експортного мита.
В таблиці 2.3 наведені результати розрахунків прибутковості та ефективності експорту насіння соняшнику для реальних контрактів 2007 року (додаток А) при світових та внутрішніх цінах жовтня – листопада 2008 року, які є оцінкою доцільності експорту в умовах «розвалу» світового ринку.
Одночасно в табл.2.2 наведені результати прогнозних зміні прибутковості та рентабельності ЗЕД операцій по експорту насіння соняшника у 2008 році при скачування 17% експортного мита.
Як показує аналіз результатів розрахунків, наведених в табл.2.2, прибутковість ЗЕД операцій по експорту насіння соняшника та їх рентабельність на рівні 25,0 – 28,0% у 2007 році виникала тільки з врахуванням експортного відщкодування ПДВ (20% від суми митної вартості товарів при експорті). При знятті 17% експортного мита на насіння соняшнику рентабельність ЗЕД операцій зростає до 38,0 -41,0%, тобто на 13,0%.
Рівень рентабельності ЗЕД операцій по експорту насіння соняшнику у 2007 році перевищував альтернативну ставку банківського депозитного відсотку у 16% (2007 рік), тобто вкладення коштів в фінансування експорту соняшника було інвестиційно привабливе.
Таблиця 2.2
Результати розрахунків прибутковості та ефективності експорту насіння соняшнику для реальних контрактів 2007 року (додаток А) при світових та внутрішніх цінах жовтня – листопада 2007 року

Таблиця 2.3
Результати розрахунків прибутковості та ефективності експорту насіння соняшнику для реальних контрактів 2007 року (додаток А) при світових та внутрішніх цінах жовтня – листопада 2008 року, які є оцінкою доцільності експорту в умовах «розвалу» світового ринку

Як показує аналіз результатів розрахунків, наведених в табл.2.3, у листопаді 2008 року при ризькому зниженні світових цін на насіння соняшнику прибутковість ЗЕД операцій по експорту насіння соняшника та їх рентабельність на рівні 23,4% виникає тільки при внутрішній закупівельній ціні не вище 1500 грн./тону та курсі долару 8,0 грн./1 долар США з врахуванням експортного відшкодування ПДВ (20% від суми митної вартості товарів при експорті). При підвищенні закупівельної ціни до 1900 грн./тону (внутрішні витрати виробників України у 2008 році становлять не менше 1600 грн.за 1тону) – ефективність експорту дорівнює нулю. Тому внутрішні закупівельні ціни трейдерів на насіння соняшнику в Україні в листопаді впали до 1100 - 1200 грн./тону, що робить виробників соняшнику – збитковими у 2008 році.
При знятті 17% експортного мита на насіння соняшнику рентабельність ЗЕД операцій у 2008 році залишається при ціні закупки 1900 грн./тону на рівні 10,0%, тобто мінімально доцільною для проведення цих операцій.
Рівень рентабельності ЗЕД операцій по експорту насіння соняшнику у 2008 році нижче альтернативної ставку банківського депозитного відсотку у 19% (2008 рік), тобто вкладення коштів в фінансування експорту соняшника у 2008 році стало інвестиційно непривабливим, якщо внутрішня ціна закупки насіння соняшнику буде регулюватися державою на рівня не менше 1900 грн./тону (умови зняття експортного мита 17% на насіння соняшнику).
Встановлення на ринку України закупівельних цін на врожай соняшнику 2008 року на рівні 1100 – 1200 грн./тому фактично приведе до банкрутства виробників у сільському господарстві України. При цьому, при наявності надлишку врожаю 2008 року в 3 млн.тон насіння соняшнику, який би можна було експортувати, ситуація для сільського господарства України з врахуванням кризи світової кон’юнктури є катастрофічною і потребує антикризової програми уряду по переработці соняшника та створенню державних стратегічних запасів соняшникової олії.
2.6 Розробка проекту (контракту) із зовнішньоекономічним партнером - суб’єктом зовнішньоекономічної діяльності Франції
Згідно «ПОЛОЖЕННЯ про форму зовнішньоекономічних договорів (контрактів)» [24], зовнішньоекономічний договір (контракт) – це матеріально оформлена угода двох або більше суб'єктів зовнішньоекономічної діяльності та їх іноземних контрагентів, та спрямована на встановлення, зміну або припинення їх взаємних прав та обов'язків у зовнішньоекономічній діяльності.
Договір (контракт) укладається відповідно до Закону України "Про зовнішньоекономічну діяльність" [5]та інших законів України з урахуванням міжнародних договорів України. Суб'єкти підприємницької діяльності при складанні тексту договору (контракту) мають право використовувати відомі міжнародні звичаї, рекомендації міжнародних органів та організацій, якщо це не заборонено прямо та у виключній формі Законом України "Про зовнішньоекономічну діяльність" та іншими законами України.
Зовнішньоекономічний договір (контракт) укладається суб'єктом зовнішньоекономічної діяльності або його представником у простій письмовій формі, якщо інше не передбачено міжнародним договором України чи законом. Повноваження представника на укладення зовнішньоекономічного договору (контракту) може випливати з доручення, статутних документів, договорів та інших підстав, які не суперечать Закону України "Про зовнішньоекономічну діяльність" [5].
Права та обов'язки сторін зовнішньоекономічної угоди визначаються матеріальним та процесуальним правом місця її укладання, якщо сторони не погодили інше, і відображаються в умовах договору (контракту).
В Додатку Г наведений розроблений в курсовій роботі проект контракту на поставку насіння соняшнику на експорт з України у Францію
ВИСНОВКИ
В дійсній курсовій роботі, згідно завданню варіанта № 11, проведений аналіз експортування з Україну у Францію насіння соняшнику у 2007 році і прогноз ефективності експортування у 2008 році після вступу України в СОТ та зняття державного регулювання експортних цін на соняшник та соняшникову олію.
Як показав загальний аналіз Франції, як зовнішньоекономічного партнера, при обсягу території Україна на 10% більше, ніж територія Франції, ВВП Франції за 2007 рік практично в 15 разів більше , ніж ВВП України, а населення Франції більше за населення України тільки на 25%. Таким чином, середньодушовий дохід ВВП на одного жителя Франції за результатами 2007 року був в 11 раз вище ніж середньодушовий дохід на одного жителя України.
Частка експорту у Францію станом на кінець 2007 року становить 0,7% від загального обсягу експорту України у всі країни світу, частка імпорту із Франції становить 2,0% від обсягу імпорту в Україну з всіх країн світу. Тобто, фактично, рівень зовнішньоекономічних відносин є дуже обмежений, при цьому інтерес Франції до продукції з України є мінімальним.
За рівнем інвестицій в економіку України з 1991 року станом на 01.10.2008 року Франція займає 8 місце у світі, слідом за США, тобто політика прямих інвестицій за нестабільності політичних обставин в Україні є обережною.
Обмеженість торгових зовнішньоекономічних відносин між Україною та Францією показав і детальний аналіз товарообороту у розрізі статей УКТЗД, згідно статистичним даним митної служби за 9 місяців 2008 року.
Україна постачає на французький ринок чорні метали та вироби з них, руди та уранові концентрати, продукцію хімічної промисловості, зокрема мінеральні добрива, текстиль, а також зерно.
У свою чергу, Франція експортує в Україну машини та механізми, лікарські засоби, продукцію сільського господарства та хімічної промисловості, різноманітне технічне обладнання, ТШВ.
Аналіз вибірок експорту у 2008 році показав, що як експортний товар України у Франції великим попитом користується з продовольчої групи товарів насіння соняшника та соняшникова олія, це єдина з експортних груп товарів України, в якій частка Франції становить 4,5-5,0% від світового обсягу експорту.
У структурі світового виробництва олійних культур соняшник займає 8%, у Європі зосереджено понад 60% його посівів. Україна входить до числа світових лідерів (разом Аргентиною і Росією) з виробництва й експорту соняшнику та продуктів його переробки. Насіння соняшнику відноситься до найліквідніших видів продукції, рентабельність виробництва якої за 1998-2008 рр. зросла з 20 до 90%, а валовий збір збільшився з 2,7 до 6,2 млн т (або 2,3 рази) переважно за рахунок екстенсивного ведення сільськогосподарського виробництва. Урожайність насіння в 2-3 рази менша, ніж в основних країнах-продуцентах. Це підтверджує потенційні можливості збільшення обсягів виробництва. Попит на насіння соняшнику зберігається як на внутрішньому, так і зовнішньому ринках і ціни на нього постійно зростають. Так, за останні роки внутрішні закупівельні ціни збільшилися з 105 до 250 USD/т або майже у 2,5 рази.
Дослідженнями встановлено, що за умови переробки навіть всього одержаного врожаю соняшнику вироблятиметься 1,7-1,8 млн т олії, з якої 1,1-1,2 млн т вигідно експортувати. Розраховано, що первинна переробка соняшнику створює додану вартість у розмірі 30 USD/т, а економічні переваги експорту продуктів переробки соняшнику складають 73,5 USD/т тільки за рахунок різниці експортних цін. Перспективи експорту соняшникової олії для України досить оптимістичні з огляду на постійне збільшення населення планети та пріоритетність вирощування альтернативних олійних культур за рахунок скорочення виробництва соняшнику в основних країнах-продуцентах. За прогнозними даними існує потенціал до збільшення обсягів виробництва насіння соняшнику в Україні, що дасть можливість довести виробництво соняшникової олії до 2 млн т, забезпечити споживання її населенням і здійснювати експорт на постійному рівні більш, ніж 1,5 млн тонн. У свою чергу, світовий ринок спроможний прийняти надлишкову пропозицію української олії, проте, можливо, географія українського експорту олії потребує змін.
Як показав проведений аналіз результатів розрахунків по доходності експорту у 2007 році насіння соняшнику реальним підприємством Дніпропетровської області, прибутковість ЗЕД операцій по експорту насіння соняшника та їх рентабельність на рівні 25,0 – 28,0% у 2007 році виникала тільки з врахуванням експортного відшкодування ПДВ (20% від суми митної вартості товарів при експорті). При знятті 17% експортного мита на насіння соняшнику рентабельність ЗЕД операцій зростає до 38,0 -41,0%, тобто на 13,0%.
Рівень рентабельності ЗЕД операцій по експорту насіння соняшнику у 2007 році перевищував альтернативну ставку банківського депозитного відсотку у 16% (2007 рік), тобто вкладення коштів в фінансування експорту соняшника було інвестиційно привабливе.
Як показав аналіз прогнозних результатів розрахунків, у листопаді 2008 року при різкому зниженні світових цін на насіння соняшнику прибутковість ЗЕД операцій по експорту насіння соняшника та їх рентабельність на рівні 23,4% виникає тільки при внутрішній закупівельній ціні не вище 1500 грн./тону та курсі долару 8,0 грн./1 долар США з врахуванням експортного відшкодування ПДВ (20% від суми митної вартості товарів при експорті). При підвищенні закупівельної ціни до 1900 грн./тону (внутрішні витрати виробників України у 2008 році становлять не менше 1600 грн.за 1тону) – ефективність експорту дорівнює нулю. Тому внутрішні закупівельні ціни трейдерів на насіння соняшнику в Україні в листопаді впали до 1100 - 1200 грн./тону, що робить виробників соняшнику – збитковими у 2008 році.
При знятті 17% експортного мита на насіння соняшнику рентабельність ЗЕД операцій у 2008 році залишається при ціні закупки 1900 грн./тону на рівні 10,0%, тобто мінімально доцільною для проведення цих операцій.
Рівень рентабельності ЗЕД операцій по експорту насіння соняшнику у 2008 році нижче альтернативної ставку банківського депозитного відсотку у 19% (2008 рік), тобто вкладення коштів в фінансування експорту соняшника у 2008 році стало інвестиційно непривабливим, якщо внутрішня ціна закупки насіння соняшнику буде регулюватися державою на рівня не менше 1900 грн./тону (умови зняття експортного мита 17% на насіння соняшнику).
Встановлення на ринку України закупівельних цін на врожай соняшнику 2008 року на рівні 1100 – 1200 грн./тому фактично приведе до банкрутства виробників у сільському господарстві України. При цьому, при наявності надлишку врожаю 2008 року в 3 млн.тон насіння соняшнику, який би можна було експортувати, ситуація для сільського господарства України з врахуванням кризи світової кон’юнктури є катастрофічною і потребує антикризової програми уряду по переробці соняшника та створенню державних стратегічних запасів соняшникової олії.
ПЕРЕЛІК ПОСИЛАНЬ
1. Митний Кодекс України від 11 липня 2002 року N 92-ІV // Із змінами і доповненнями, внесеними Законами України станом від 16 листопада 2006 року N 359-V
2. Господарський кодекс України від 16 січня 2003 року N 436-ІV(діє з 01.01.2004)
3. ЗАКОН УКРАЇНИ « Про ратифікацію Протоколу про вступ України до Світової організації торгівлі» від 10 квітня 2008 року N 250-VІ
4. Закон України “Про Митний тариф України” N 2371-ІІІ від 5 квітня 2001 року // Із змінами і доповненнями, внесеними Законами України станом від 31 травня 2007 року N 1109-V
5. Закон України “ Про зовнішньоекономічну діяльність” від 16 квітня 1991року N 959-XІІ /Із змінами і доповненнями, внесеними Законами Украї-ни станом від 10 квітня 2008 року N 253-VІ
6. Закон України «Про ліцензування певних видів господарської діяльності» від 1 червня 2000 року N 1775-ІІІ // Із змінами і доповненнями, внесеними Законами України станом від 27 квітня 2007 року N 994-V
7. Закон України “Про безпечність та якість харчових продуктів” від 23 грудня 1997 року N 771/97-ВР // Із змінами і доповненнями, внесеними Законами України станом від 31 травня 2007 року N 1104-V
8. Закон України “Про оподаткування прибутку підприємств” від 28 грудня 1994 року N 334/94-ВР // Із змінами і доповненнями, внесеними Законами України станом від 27 квітня 2007 року N 997-V
9. Закон України “Про податок на додану вартість” від 3 квітня 1997 року N 168/97-ВР // Із змінами і доповненнями, внесеними Законами України станом від від 22 грудня 2006 року N 535-V
10. Закон України “Про Єдиний митний тариф” від 5 лютого 1992 року N 2097-XІІ //Із змінами і доповненнями, внесеними Законами України станом від 17 січня 2006 року N 3351-ІV
11. Міжнародна Торгівельна палата - “ІНКОТЕРМС - Офіційні правила тлумачення торговельних термінів” (редакція 2000 року) - Видання МТП N 560, Введені в дію з 01.01.2000 р. // "Урядовий кур'єр", N 63, 3 квітня 2000 р., "Урядовий кур'єр", N 68, 10 квітня 2002 р.
12. Про затвердження Положення про вантажну митну декларацію // Кабінет Міністрів України, Постанова від 9 червня 1997 р. N 574 (Із змінами і доповненнями, внесеними постановами Кабінету Міністрів України станом від 26 травня 2004 року N 675)
13. Перелік документів, необхідних для здійснення митного контролю та митного оформлення товарів і транспортних засобів, що переміщуються через митний кордон України // Постанова Кабінету Міністрів України від 01 лютого 2006 р. № 80
14. Про затвердження Інструкції про порядок заповнення вантажної митної декларації // Наказ Державної митної служби України від 9 липня 1997 року N 307 ( Із змінами і доповненнями, внесеними наказами Державної митної служби України станом від 3 липня 2006 року N 550)
15. Інструкція про порядок здійснення розрахунків з Державним бюджетом України за митом, податком на додану вартість, акцизним збором та іншими платежами, доходами і зборами , Наказ Державної митної служби України, Міністерства фінансів України, 30 червня 2000 р. N 368/149
16. Інструкція про організацію митного контролю та митного оформлення суден і товарів, що переміщуються ними //Наказ Державної митної служби України від 17 вересня 2004 року N 678
17. ІНСТРУКЦІЯ про заповнення заявки на одержання ліцензії на експорт олії соняшникової та насіння соняшнику // Наказ Міністерства економіки України від 28 березня 2008 р. N 98
18. Про порядок ліцензування експорту олії соняшникової та насіння соняшнику // Наказ Міністерства економіки України від 28 березня 2008 року N 98
19. Про затвердження обсягів квот на олію соняшникову та насіння соняшнику, експорт яких підлягає ліцензуванню до 1 липня 2008 р., та порядку видачі ліцензій // постанова КМУ від 12 березня 2008 р. N 189 (Дію постанови продовжено до 1 вересня 2008 року у частині ліцензування експорту олії соняшникової та насіння соняшнику (згідно з постановою Кабінету Міністрів України від 23 квітня 2008 року N 488))
20. Порядок проведення митного оформлення товарів, що вивозяться залізничним транспортом, з використанням загальної вантажної митної декларації //Наказ Державної митної служби України від 2 червня 2003 року N 380 (Із змінами і доповненнями, внесеними наказами Державної митної служби України станом від 15 липня 2004 року N 522)
21. Правила здійснення транспортно-експедиційної діяльності під час перевезення зовнішньоторговельних і транзитних вантажів // постанова Кабінету Міністрів України від 21 вересня 1993 р. N 770 /станом змін від 18 жовтня 1999 року N 1919)
22. Порядок митного оформлення автотранспортних засобів, що здійснюють міжнародні перевезення // Наказ Державної митної служби України від 10 листопада 2000 року N 637 / від 19 вересня 2001 року N 619
23. Про затвердження Порядку підтвердження відомостей про фактичне вивезення товарів за межі митної території України // Державна митна служба, Державна податкова адміністрація Наказ / Порядок, від 21.03.2002р. № 163/121
24. Про затвердження Положення про форму зовнішньоекономічних договорів (контрактів) // Наказ Мінекономіки та з питань європейської інтеграції від 06.09.2001. №201
25. Про затвердження переліку мінімальних рівнів індикативних цін на деякі види продукції, що експортується з України у червні 2008 року //МІНІСТЕРСТВО ЕКОНОМІКИ УКРАЇНИ, НАКАЗ від 30 травня 2008 року N 189
26."Про затвердження переліку мінімальних рівнів індикативних цін на деякі види продукції, що експортується з України у серпні 2008 року" // Наказ Міністерства економіки України від 31.07.2008 N 317
27. Щодо експорту до Європейського Союзу олії соняшникової // ДЕР-ЖАВНА МИТНА СЛУЖБА УКРАЇНИ, ЛИСТ від 10.09.2008 р. N 11/5-18/10009-ЕП
28. Про затвердження Порядку видачі санітарних сертифікатів на вантажі з харчовими продуктами, призначеними для експорту // МІНІСТЕРСТВО ОХОРОНИ ЗДОРОВ'Я УКРАЇНИ, ДЕРЖАВНА САНІТАРНО-ЕПІДЕМІОЛО-ГІЧНА СЛУЖБА УКРАЇНИ, ГОЛОВНИЙ ДЕРЖАВНИЙ САНІТАРНИЙ ЛІКАР УКРАЇНИ , ПОСТАНОВА від 19 травня 2008 року N 11
29. Про затвердження обсягів квот на окремі види сільськогосподарської продукції, експорт якої підлягає ліцензуванню до 1 липня 2008 р., та порядку видачі ліцензії // Постанова КМУ від 26 вересня 2007 р. N 1179 (Із змінами і доповненнями, внесеними постановами Кабінету Міністрів України від 23 квітня 2008 року N 418)
30. Бойко С.М. Екологічні аспекти вирощування насіння соняшнику та виробництва продуктів його переробки в Україні // Вісник Дніпропетровського державного аграрного університету. – 2003. – №1. – С. 47-49.
31. Бойко С.М. Політика ЄС в сфері виробництва і переробки олійних культур // Аграрна наука і освіта. – 2003. – №1-2. – С. 153-155.
32. Бойко С.М. Ринок соняшнику та ріпаку в Україні // Вісник аграрної науки. – 2003. – №7. – С. 72-73.
33. Бойко С.М. Стан олійно-жирової галузі України, проблеми і перспективи розвитку // Вісник Державного агроекологічного університету. – 2003. – Вип. 1. – С. 281-285.
34. Бойко С.М. Аналіз українського ринку насіння соняшнику та соняшникової олії у 2000/2001 маркетинговому році // Організаційно-економічні проблеми розвитку АПК. Ч. 4: Ціноутворення, інфраструктура аграрного ринку та виробничий потенціал АПК /За ред. П.Т. Саблука. – К.: ІАЕ, 2001. – С. 91-96.
35. ЗАМКОВА Н. Л. Формування професійних якостей майбутніх менеджерів зовнішньоекономічної діяльності у процесі вивчення іноземних мов // Автореферат дисертації на здобуття наукового ступеня кандидата педагогічних наук, Інститут вищої освіти Академії педагогічних наук України,Київ - 2005
36. Зовнішньоекономічна діяльність : Навчальний посібник для студ. вищих навчальних закладів/ Ред. І.І. Дахно. - К.: Центр навчальної літератури, 2006. - 360 с
37. Козик В. В. Міжнародні економічні відносини: Навчальний посібник/ В.В. Козик, Л.А. Панкова, Н.Б. Даниленко. - 6-те вид., стер. . - К.: Знання, 2006. - 407 с. - (Вища освіта XXІ століття)
38. Крамаренко Г.О., Чорна О.Є. Фінансовий менеджмент.- Киів: Центр навчальної літератури, 2006р. -520с.
39. Крамаренко Г. О. Фінансовий аналіз і планування. – Київ: Центр навчальної літератури, 2003. – 224 с.
40. Крисоватий А.І., Десятнюк О.М. Податкова система. Посібник. – Тернопіль, Видавництво: Карт-бланш, 2004, - 331 с.
41. Логистика, эффективность и риски внешнеэкономических операций/ К.В. Захаров, В.П. Бочарников, В.В. Липовский. - 2-е изд., доп.. - К.: Эльга: Ника-Центр, 2004. - 260 с
42. Менеджмент зовнішньоекономічної діяльності. Підручник / За ред. О.А. Кириченка. — К.: Знання, 2005. — 493 с.
43. Міжнародний менеджмент: Навчальний посібник для студ. вищих навчальних закладів/ В.С. Білозубенко, О.В. Озаріна, А.А. Семенов; Ред. О.Б. Чернега. - К.: Центр навчальної літератури, 2006. - 592 с
44. Митний кодекс України та нормативно-правові акти, що регулюють його застосування: Збірник документів/ Упоряд. П.В. Пашко. - К.: Знання, 2004. - 1173 с. - (Митна справа в Україні)
45. Філіпенко А. С. Світова економіка. – К.: Либідь, 2001. – 582 с.
46. http://WWW MD Offіce - довідковий Інтернет-сайт по зовнішньоекономічній діяльності "НПО Поверхность", 1999-2007
47. http://www.customs.gov.ua - офіційний Інтернет-сайт Державної митної служби України
48. http://www.UKRstat.gov.ua - Офіційний сайт Державного комітета статистики України
49. http:// WWW.CІA.COM – Офіційний Інтернет-сайт «Економіка країн світу» Центрального розвідувального управління США,2008
50. http://www.france.com.ua – Офіційний Інтернет-сайт посольства Франції в Україні, 2008
ДОДАТОК А
Таблиця А.1
Експортні операції підприємства ТОВ "ЗАГОТЗЕРНО" (31761993, Межівський район, Дніпропетровської області) по поставці у Францію у 2007 році насіння соняшнику

ДОДАТОК Б
Таблиця Б.1
Обсягі товарообороту між Україною, всім світом та Францією за товарами групи 02 УКТЗД за січень- вересень 2008 року [ ]

Продовження табл.Б.1

Продовження табл.Б.1

Таблиця Б.2
Обсягі товарообороту між Україною, всім світом та Францією за товарами групи 03 УКТЗД за січень- вересень 2008 року [ ]

Таблиця Б.3
Обсягі товарообороту між Україною, всім світом та Францією за товарами групи 15 УКТЗД за січень- вересень 2008 року [ ]

Таблиця Б.4
Обсягі товарообороту між Україною, всім світом та Францією за товарами групи 04 УКТЗД за січень- вересень 2008 року [ ]

Продовження табл.Б.4

Продовження табл.Б.4

ДОДАТОК В
Посадові інструкції відділу ЗЕД підприємства ТОВ «Заготзерно»
Начальник відділу ЗЕД підпорядковується безпосередньо директору, здійснює керівництво розробкою пропозицій і заходів щодо розвитку прогресивних форм зовнішньоекономічних зв'язків, співробітництв із закордонними країнами. Кваліфікаційні вимоги: вища економічна освіта й досвід роботи в галузі не менш десяти років.
Начальник відділу ЗЕД повинен знати:
- Нормативні правові акти, що регулюють зовнішньоекономічну й господарську діяльність суб'єктів господарювання, методичні, нормативні й інші керівні матеріали з питань організації ЗЕД;
- Матеріали по організації переміщення товарів через митний кордон;
- Порядок і умови заключення й виконання договорів, процедуру митного оформлення;
- Заходи державного регулювання зовнішньоекономічної діяльності;
- Товарну номенклатуру ЗЕД;
- Митні режими, пільги, платежі, податки й збори, методи визначення митної вартості товарів;
- Правила ведення звітності;
- Основи трудового законодавства;
- Політику підприємства в області якості;
- Вимоги стандартів.
На підприємстві ТОВ «Заготзерно» начальник відділу ЗЕД виконує наступні
посадові обов'язки:
Організує встановлення міцних виробничих і економічних зв'язків з підприємствами й фірмами інших країн.
Здійснює підготовку й бере участь у переговорах з інофірмами.
Розробляє рекомендації з розвитку нових форм зовнішньоекономічного співробітництва.
Організує роботу зі збільшення обсягу експортних поставок.
Контролює виконання договорів із зовнішньоторговельними організаціями по поставках продукції на експорт і поставками продукції по імпорту.
Виконує роботи з митного оформлення й пред'явлення до митного оформлення товарів, переміщуваних через митний кордон.
Перевіряє вірогідність товаросупроводжувальних документів і відповідність переміщуваних товарів відомостям про них.
Розробляє і заповнює митні декларації; визначає код товару по ТН ВЭД, митний режим, надання товарів до митного контролю; організує взаємозаліки між власниками переміщуваних товарів і митними органами; консультує власників (власників) з питань митного оформлення товарів.
Веде діловодство й звітність із всіх питань зовнішньоекономічних зв'язків і митного оформлення документів.
Бере участь у реалізації Політики підприємства в області якості.
Бере участь у реалізації вимог документів СМЯ (системи менеджменту якості).
Бере участь у розробці коригувальних і попереджуючих дій за результатами перевірок і сприяє їх реалізації.
Начальник відділу ЗЕД ТОВ «Заготзерно» відповідає за:
Порядок і умови заключення й виконання договорів.
Впровадження досвіду передових вітчизняних і закордонних підприємств в області організації й удосконалювання зовнішньоекономічної діяльності.
Методи ведення переговорів і спілкування з людьми, основи етики й психології.
Якість і своєчасність виконання покладених на нього посадовою інструкцією обов'язків.
Виконання вимог документів системи менеджменту якості.
На посаду менеджера відділу по зовнішньоекономічних зв'язках призначається особа, що має вище економічну або інженерно-економічну освіту й стаж роботи в області зовнішньоекономічної діяльності не менш 5 років.
Менеджер по зовнішньоекономічних зв'язках повинен знати:
- чинне законодавство, постанови, розпорядження, накази вищих органів, що регулюють зовнішньоекономічну й господарську діяльність, методичні, нормативні й інші керівні матеріали з питань організації зовнішньоекономічної діяльності: напрямки й перспективи технічного, економічного й соціального розвитку галузі й підприємства;
- порядок і умови заключення й виконання договорів;
- методи аналізу й систему збору, обробки й передачі інформації;
- номенклатуру й асортименти продукції, що випускається підприємством;
- стандарти й технічні умови, щодо випускаємої продукції, її основні властивості, якісні й споживчі характеристики;
- основи організації рекламної діяльності й види реклами;
- основи технології виробництва, досвід передових вітчизняних і закордонних підприємств в області організації й удосконалювання зовнішньоекономічної діяльності;
- прийоми й методи ведення переговорів і спілкування з людьми;
- маркетинг;
- економіку й основи організації виробництва, праці й керування;
- основи етики й психології;
- правила й норми охорони праці й протипожежної безпеки.
Менеджер відділу по зовнішньоекономічних зв'язках в ТОВ «Заготзерно» повинен виконувати наступні посадові обов'язки:
Здійснювати керівництво розробкою пропозицій і заходів щодо розвитку прогресивних форм зовнішньоекономічних зв'язків, науково-технічного й економічного співробітництва із закордонними країнами.
Організовувати встановлення прямих виробничих і економічних зв'язків, рішення питань виробничо-технічної кооперації з підприємствами й фірмами інших країн.
Розробляти техніко-економічне обґрунтування по встановленню прямих виробничих зв'язків, створенню спільних підприємств.
Здійснювати підготовку й брати участь у переговорах з інофірмами.
Організовувати у встановленому порядку прийом представників закордонних і вітчизняних підприємств (фірм), що прибули для рішення питань по зовнішньоекономічній діяльності.
Розробляти рекомендації з розвитку нових форм зовнішньоекономічного співробітництва.
Організовувати збір, систематизацію, вивчення й узагальнення інформаційних матеріалів по маркетингу; про економічну, збутову й іншу діяльність підприємств (фірм), з якими укладені договори про співробітництво; складання рефератів і анотацій, тематичних оглядів про конкурентоспроможність випускаємої підприємством продукції й вимогам до аналогічної продукції на світовому ринку.
Організовувати роботу зі збільшення обсягу експортних поставок, залученню в експорт інших видів товарів і ресурсів.
Контролювати виконання договорів із зовнішньоторговельними організаціями по поставках продукції на експорт і поставках інофірмами продукції по імпорті.
Здійснювати узгодження роботи підприємства в області зовнішньоекономічної діяльності з відповідними державними відомствами,підготовляти для керівництва інформацію із всіх питань зовнішньоекономічних зв'язків.
ДОДАТОК Г
КОНТРАКТ № 122 /16 -2008/ЗЕД
НА ПОСТАВКУ НАСІННЯ СОНЯШНИКУ
м. Петропавлівка
"_10_" _жовтня__ 2008 р.
ТОВ "ЗАГОТЗЕРНО" (31761993, Межівський район, Дніпропетровської області, Україна), іменоване надалі "Продавець", з одного боку, і ТОВ "Батойл" (Марсель, Франція), іменоване надалі "Покупець",
з іншого боку, уклали даний контракт про нижченаведене:
1. ПРЕДМЕТ КОНТРАКТУ, КІЛЬКІСТЬ, СТРОК І БАЗИС ПОСТАВКИ
Продавець продав, а Покупець купив 2 000 (дві тисячі) тисячі метричних тонн, 2% плюс або мінус, за контрактною ціною й на вибір Покупця
Товар - Насіння соняшника у лушпині неподрібнене, каліброване, чорне,українського походження,насипом (Врожай-2008р. Вологість-7,0%. Смітна домішка-3,0%. Вміст олії-44,0%) на умовах ФОБ порти Азовського або Чорного морів України з поставкою протягом 1 місяця з дня підписання договору приблизно рівними місячними партіями, якщо не буде іншої домовленості.
Ціль придбання товару: Семенний матеріал, Виготовлення соняшникової олії.
2. ЯКІСТЬ ТОВАРУ
Насіння соняшника врожаю 2008 року, Вологість-7,0%. Смітна домішка-3,0%. Вміст олії-44,0%) .
Інші якісні й всі інші показники - згідно офіційним державним зерновим стандартам, що діють в Україні в момент відвантаження. Фактично вищевказані якісні показники підтверджуються офіційними державними організаціями й тільки у випадку, якщо це неможливо, видається сертифікат першокласної незалежної компетентної й визнаної контролюючої організації.
Кожний якісний сертифікат повинен ясно підтверджувати всі фактичні якісні показники, передбачені за справжнім контрактом.
Насіння, що поставляється за справжнім контрактом, повинне бути профуміговане, природного й / або штучного сушіння, здорової гарної товарної якості, придатно для продовольчого споживання, вільно від будь-яких сторонніх примисів, включаючи солодовий і пліснявіло-затхлий, і від яких-небудь живих шкідників, карантинних і санітарних об'єктів, шкідливих домішок і пестицидів, важких металів і мікотоксинов, що повинне задовольнятися для кожного відвантаження офіційною організацією країни походження товару. Насіння повинне відлежуватися не менше 24 годин до початку навантаження на судно.
Список карантинних і санітарних об'єктів, припустиме зміст шкідливих домішок, важких металів, пестицидів, мікотоксинов і радіоактивних залишків, а також ветеринарні вимоги застережені в додатках 4,5, які є невід'ємною частиною дійсного контракту.
Дві копії коносамента, остаточні сертифікати фактичної якості, фіто-санітарний, карантинний, сертифікат про фумігацію, оригінал ветеринарного сертифіката на кожну партію, разом з перекладом на французьку мову висилаються в окремому конверті капітанською поштою на адресу Покупця у відповідний порт вивантаження. У противному випадку Продавець є відповідальним за простій судна в порту вивантаження доти, поки копії всіх цих сертифікатів не будуть в розпорядженні Покупця , Продавець вважається відповідальним за будь-яку втрату часу вивантаження, викликаного затримкою висилки документів.
Оригінали всіх необхідних сертифікатів і дублікат ветеринарного сертифіката висилаються разом з рахунком-фактурою Продавця, при цьому Продавець повинен забезпечити видачу цих сертифікатів за свій рахунок.
Продавець зобов'язаний надавати допомогу фрахтувальникові в огляді трюмів судів до початку: навантаження для визначення їхньої придатності до прийняття й зберігання насіння в час транспортування без усякого ризику погіршення якості й стани насіння, звертаючи особливу увагу на те, щоб не було окалини, іржі, домішок скла і інших санітарних об'єктів, і щоб всі трюми були вільні від живих шкідників насіння і без сторонніх домішок, також сприяти наданню відповідних сертифікатів, що підтверджують вищевказані вимоги, що входять у комплект відвантажувальних документів, необхідних для оплати.
У випадку, якщо в порту вивантаження буде встановлена наявність у насінні будь-яких живих шкідників, Продавець оплачує Покупцеві 125 доларів США за метричну тонну такого насіннязерна проти подання Покупцем Продавцеві відповідних актів, що підтверджують наявність у насінні зазначених шкідників.
Якщо в порту вивантаження буде встановлено, що зерно засмічене сторонніми об'єктами, такими як стекло іноземного походження й т.д., що зажадає спеціального очищення й підробітку зерна перед його вживанням. Продавець зобов'язаний оплатити Покупцеві 50 доларів США за метричну тонну засміченого зерна проти подання Покупцем Продавцеві відповідних актів,сторонніх об'єктів, що свідчать про наявність у зерні цих.
Якщо в порту вивантаження буде виявлено, що зерно засмічене карантинними об'єктами й насіннями, наявність яких заборонено відповідно до додатка N 1 до дійсного контракту, Продавець зобов'язаний оплатити Покупцеві 120 доларів США за метричну тонну засміченого зерна проти подання Покупцем Продавцеві відповідних актів, що свідчать про наявність цих карантинних об'єктів і насінь.
Платежі за наявність у насінні шкідників, за засміченість насіннями карантинних бур'янів і рослин або сторонніх предметів здійснюються Продавцем банківським переказом протягом 10 днів після одержання телекса Покупця з вимогою такого переказу й повідомлення, що відповідний протокол висилаються Продавцеві. Продавець сплачує Покупцеві штраф у розмірі 0,1% від загальної суми, що належить Покупцеві, за кожний день затримки зазначених платежів.
Зерно повинне бути фуміговано й дегазоване під час навантаження, ісертифікати; посвідчуючі про таку фумігацію до або після навантаження в порту навантаження, повинні включати такі дані як тип пестициду, дозу, експозицію, повноту дегазації, час і місце фумігації й максимальна залишкова кількість фуміганта в насінні, що не повинне перевищувати припустимих норм, зазначених в додатку N 3.
Насіння, що відвантажується на судах іноземного прапора, повинне фуміговатися фосфінними препаратами в трюмах кожного судна з використанням дози в 45г активно діючої речовини фосфіну на 1000 кубофутов шляхом їх заглубления на глибину 2 і 6 метрів за допомогою рукавів/трубок.
Продавець через фумігаторну компанію повинен забезпечити відправлення з кожним судном у розпорядження капітана судна письмових інструкцій для команди судна, 4- х респіраторів, 2-х фільтрів, 2-х насосів для вловлювання газу, 2-х упакувань клейкої стрічки й 40 детекторних трубок, які повинні передаватися в кожному порту вивантаження представникам фумігаційних загонів.
Насіня, що відвантажується на судах, непридатних для фумігації в шляху, повинне оброблятися малатіоном або іншими дозволеними пестицидами до навантаження зерна за умови, що максимальні залишкові кількості не перевищують допусків, зазначених у додатку N 3.
Покупець по обопільній згоді із Продавцем має право направляти своїх фахівців і / або представників першокласної незалежної компетентної контролюючої організації в порти навантаження для контролю за якістю й станом насіння, як для навантаження на складі Продавця, а також для перевірки придатності судна для перевезення насіння насипом.
Якість і стан насіння є остаточними при відвантаженні згідно сертифікату, виданому офіційною компетентною державною організацією.
3. ПОСТАВКА ТОВАРУ
Товар вважається поставленим у момент переходу зерна з відпускного пристрою елеватора в трюм судна або при перетинанні товаром рейлинга судна (умови FOB згідно Інкотермс -2000). В цей момент переходять і ризики від Продавця до Покупця.
Доставка товару до судна, готовому до навантаження, виконується Продавцем.
Дата коносамента, вважається датою відвантаження товару. Дані, зазначені в коносаментах повинні підтверджуватися офіційним ваговим сертифікатом.
4. ЗВАЖУВАННЯ НАСІННЯ
Зважування в портах навантаження повинне виконуватися з використанням електронних або автоматичних елеваторних ваг. В офіційному ваговому сертифікаті повинні вказуватися марка ваг, рік їхнього виготовлення й тип ваг.
Продавець повинен забезпечити надання Покупцеві по кожному судну бункерних схилів і сертифікатів інспекції Української зернової інспекційної служби Мінсельхоза України, а також на вимогу Покупця офіційного сертифіката про періодичну перевірку цих елеваторних ваг.
Остаточна вага зерна встановлюється при вивантаженні і є остаточною відповідно до даних, зазначеними в Генеральному акті й / або Акті - повідомленні, складеному для кожного судна в порту вивантаження.
Зважування товару в порту вивантаження повинне виконуватися відповідно до правил й звичаїв портів Покупця. У випадку, якщо трохи відправників вантажу занурять зерно без сепарування на одному судні, надлишки й/або недостача розподіляються між відправниками вантажу пропорційно зануреній вазі.
Остаточний розрахунок за зерно виконується на підставі фактичної ваги, вивантаженого у відповідних портах Покупця, відповідно до даних Генерального акту й / або Акту-Повідомлення.
Якщо вага, установлена при вивантаженні, перевищує вагу, зазначену в коносаменті, надлишки оплачуються Покупцем, у той час як вся недостача ваги, якщо така виявиться, оплачується Продавцем. Надлишки ваги оплачуються Покупцем Продавцеві за контрактною ціною банківським переказом протягом тижня після одержання Покупцем Генеральних актів і / або Актів-Повідомлень, складених у відповідному(них) порту(ах) вивантаження.
Платіж за недостачу по кожному судну здійснюється Продавцем банківським переказом протягом одного тижня від дня одержання телекса Покупця з вимогою такого переказу й повідомлення, що відповідні документи висилаються Продавцеві. У випадку затримки оплати по остаточних розрахунках. Продавець сплачує Покупцеві штраф у розмірі 0,1% від загальної суми, що належить Покупцеві, за кожний день затримки платежу.
Продавець не має права передавати кому-небудь своїх вимог по страхуванню насіння при розрахунках по вивантаженій вазі.
5. ЦІНА Й РАЙОН НАВАНТАЖЕННЯ
Ціна на насіння соняшнику встановлюється 690 доларів США за метричну тонну ( 1000 кг) на базисі ФОБ (FOB).
Ціна встановлюється на відвантаження насіння з безпечних портів Азовського (порт Бердянськ, Україна) або Чорного (порт Миколаїв, Україна) морів на вибір Продавця, які повинні бути вчасно номіновані.
Ціна розуміється при поставці зерна в момент переходу з відпускного пристрою елеватора в трюм судна без штивки й без укладання.
6. ТРАНСПОРТНІ УМОВИ
Транспортування здійснюється відповідно до проформи чартеру "Норгрейн" і на наступних основних умовах:
- Фактична назва судна повинна бути номінована протягом 10 днів мінімум до очікуваного прибуття кожного судна.
- Покупець або агент судновласника дає по радіо, або по телефону, або по електронній пошті, або по телеграфу 10-ти, 7-денні ноти очікуваного прибуття судна й 3- денну остаточну ноту. Для судів понад 35000 метричних тон зануреного вантажу в 7-денній ноті капітан включає такі дані як передбачуване завантаження, довжину й ширину судна, висоту від ватерлінії до верхнього комінгса трюму або рейтингу, залежно від того, що вище. Після одержання 10-денного попереднього нотіса Продавець повідомляє район навантаження, і після одержання 7- денного попереднього нотіса Продавець повинен номінувати порт навантаження в цьому районі навантаження протягом 48 годин. У випадку, якщо пізніше номіноване порту навантаження викличе затримку судна або його девіацию, витрати, пов'язані з цією затримкою або девіацией, сплачуються за рахунок Продавця.
Після прибуття в порт навантаження й після проходження формальностей капітан судна дає Продавцеві або його агентові ноту про готовність судна до навантаження в першому або єдиному порту навантаження в письмовій формі або по радіо, або по телефону, або по телексу (через свого агента) про те, що судно готове у всіх відносинах до навантаження. Цей нотіс про готовність судна повинен супроводжуватися поданням сертифікатів зерновому інспектору Національного Карго Бюро Мінсельхоза України в портах україни, що підтверджують готовність всіх трюмів судна.
7. ПОРТИ НАВАНТАЖЕННЯ
Продавець номінує 1-2 безпечних причали для навантаження насіння в одному безпечному порту у вищевказаному районі навантаження.
Продавець має право робити навантаження судна більш ніж з двох причалів в межах одного порту, однак у цьому випадку час, використаний для перешвартування після другого причалу, включається в час погрузки, а витрати по перешвартуванню, включаючи використане паливо, оплачуються Продавцем.
У випадку, якщо судно приділяється із причалу або буксирується уздовж причалу для зручності елеватора на вимогу Продавця з можливою зворотною постановкою на той же або інший причал, те це вважається додатковим причалом.
8. ВИДАЧА ДОКУМЕНТІВ
Покупець забезпечує видачу Продавцеві трьох оригіналів і трьох копій коносамента протягом трьох робочих днів після закінчення навантаження кожного судна в кожному порту.
9. ПОВІДОМЛЕННЯ ПРО НАВАНТАЖЕННЯ
Продавець або відправник вантажу від імені Продавця протягом двох робочих днів після закінчення навантаження повідомляє по телеграфу або по телексу назву судна, дату коносамента, порт і елеватор навантаження, кількість і вид насіння на борті, з вказівкою виконання кількості за контрактом.
10. СТРАХУВАННЯ
Страхування від морських ризиків виконується Покупцем і підтверджується Продавцем на першу вимогу принаймні за 5 днів до початку навантаження.
11. УМОВИ ПЛАТЕЖУ
Платіж за відгружене насіння здійснюється готівкою в доларах США банківським перказом протягом 7 робочих днів від дня одержання Банком Покупця через банк Продавця, що вчасно номінується Продавцем за згодою
Покупця, оригіналів наступних оформлених відвантажувальних документів:
- рахунок-фактура в 3-х екземплярах;
- повний комплект чистих бортових коносаментів, виданих за наказом відправників вантажу із бланковим передатним написом;
- карантинний/фітосанітарний сертифікат, що підтверджує відсутність карантинних об'єктів і відповідність нормам по радіоактивним залишкам, згідно Додатку N 3;
- сертифікат, що підтверджує, що відсутність шкідливих і отрутних домішок - не перевищує меж, передбачених Додатком N 3;
- сертифікат, що підтверджує, що насіння не містить більше припустимих меж пестицидів, зазначених у Додатку N 3, всі три додатки є частиною контракту;
- сертифікати) якості, видані державною організацією, утримуючою всі якісні показники за контрактом і підтверджені, якщо потрібно, сертифікатом першокласної незалежної компетентної й визнаної контролюючої організації;
- ваговий сертифікат державної або першокласної незалежної контролюючої організації;
- сертифікати огляду суднових трюмів на придатність їх у всіх відносинах до прийняття й зберігання зерна на час транспортування й підтверджені, якщо буде потрібно, сертифікатом першокласного незалежного компетентного й визнаного інспектора;
- дублікат ветеринарного сертифіката, що підтверджує відповідність нормам по важким металам і мікротоксинам, викладеним у Додатку N 3, що є складовою частиною контракту;
- сертифікат походження, виданий державною організацією;
- сертифікат про фумігацію, якщо дані про фумігацію не включені в карантинний/фітосанітарний сертифікат;
- капітанська розписка, що підтверджує одержання капітаном окремим пакетом двох копій коносамента, остаточних сертифікатів фактичної якості, фітосанітарного/карантинного, сертифіката про фумігацію й оригінал ветеринарного сертифіката по кожному відвантаженню.
Рахунки-Фактури Продавця оплачуються повністю. Покупець не повинен робити ніяких знижок із суми рахунку-фактури без згоди Продавця. Претензії, якщо такі будуть, повинні бути врегульовані окремо.
12. САНКЦІЇ
1. У випадку невиконання або неналежного виконання Продавцем своїх зобов'язань за контрактом Покупець має право пред'явити Продавцеві претензії, які повинні бути розглянуті Продавцем по суті (тобто задоволені або відмовлені) у строк, що не перевищує 15 днів з дати одержання Продавцем відповідної претензії.
2. За кожний день прострочення з відповіддю на претензію або затримки в переказі визнаної суми по претензії Продавець зобов'язаний сплатити штраф у розмірі 0,1 % від суми претензії, однак не більше суми претензії.
3. У тому випадку, якщо Продавець не надасть до навантаження необхідної кількості насіння до моменту фактичного прибуття судів у межах спочатку номинированої позиції в рахунок погодженої місячної програми, він відшкодовує Покупцеві всі можливі збитки, які понесе внаслідок цього Покупець.
13. ВИРІШЕННЯ СУПЕРЕЧОК
Усе суперечки й розбіжності, які можуть виникнути з дійсного контракту або у зв'язку з ним, підлягають, з виключенням підсудності загальним судам, дозволу в м.Марселі, Франція . Рішення Марсельського транспортно-морського господарськовго суду вважається остаточним і обов'язковим для обох сторін.
14. ФОРС-МАЖОР
1. Жодна із сторін не буде відповідати за повне або часткове невиконання кожного зі своїх зобов'язань, якщо невиконання буде наслідком таких обставин, як повінь, пожежа, землетрус і інші явища природи, а також війна або воєнні дії, що виникли після погодження контракту.
Якщо такі обставини прямо вплинули на виконання зобов'язань у строки, передбачені контрактом, строк їхнього виконання відповідно до відсувається на час дії таких обставин.
2. Сторона, для якої створилася неможливість виконання зобов'язань, сповістить іншу сторону про настання, передбачуваному терміну дії й припинення вищевказаних обставин негайно в письмовій формі, однак не пізніше 30 днів з моменту настання зазначених обставин.
Відомості, що включаються в повідомлення, повинні підтверджуватися Торговельної (торгово-промислової) палатою або іншим компетентним органом або організацією відповідної країни.
Неповідомлення або несвоєчасне повідомлення позбавляють Продавця права посилатися на які-небудь із вищевказаних обставин як на підставу, звільняючу від відповідальності за невиконання кожного із зобов'язань.
3. Якщо неможливість повного або часткового виконання зобов'язань Продавцем буде існувати понад 2 місяців. Покупець після попереднього повідомлення має право розірвати контракт повністю або частково без обов'язку по відшкодуванню можливих збитків (включаючи понесені витрати) Продавця.
15. ІНШІ УМОВИ
Всі податки й збори, мита, банківські витрати, пов'язані з погодженням і виконанням дійсного контракту, що стягуються на території країни Продавця й країни походження, оплачуються Продавцем, а на території країни Покупця або в країні призначення оплачуються Покупцем.
Якщо буде потреба Продавець повинен вчасно одержати експортну ліцензію, а Покупець імпортну ліцензію, щоб забезпечити виконання контракту.
Дійсний контракт є дійсним лише в тому випадку, якщо він укладений у письмовій формі й підписаний уповноваженими на те особами. Всі зміни й доповнення до нього відбуваються в такий же спосіб.
Після підписання дійсного контракту всі попередні переговори й переписка, пов'язані з його погодженням, втрачають силу.
Жодна йз сторін не вправі передавати свої права й обов'язки по даному контракту третій стороні без попередньої письмової згоди на те інший сторони, причому розуміється, що будь-яка філія зі сторін, чия діяльність нею гарантується, не повинна вважатися "третьою стороною" з погляду сьогодення контракту.
Дійсний контракт складений на український та французькій мовах у двох екземплярах:
один - для Продавця, інший - для Покупця.
16. ЮРИДИЧНІ АДРЕСИ СТОРІН
ПРОДАВЕЦЬ ПОКУПЕЦЬ
___________________________ ____________________________
___________________________ ____________________________
___________________________ ____________________________
___________________________ ____________________________
___________________________ ____________________________
___________________________ ____________________________
___________________________ ____________________________
Росія
Україна
Аргентина
КНР
Індія
США
Туреччина
Болгарія
Південно-Африканська
Республіка
Сербія