Изменение товарной и географической структуры мировой торговли на рубеже ХХ-ХХI веков
КУРСОВАЯ РАБОТА
По предмету: Мировая экономика
Изменение товарной и географической структуры мировой торговли на рубеже ХХ - ХХI веков
Содержание
Введение
1. Товарная и географическая структуры мировой торговли на рубеже ХХ - ХХI веков
1.1 Тенденции товарной и географической структуры мировой торговли
1.2 Особенности динамики товарной структуры международной торговли
2. Особенности изменений географической и товарной структуры мировой торговли на примере стран СНГ
2.1 Эволюция структур международной торговли в странах СНГ
2.2 Диверсификация товарной и географической структур стран СНГ
Заключение
Список использованной литературы
Введение
Международная торговля является формой связи между товаропроизводителями разных стран, возникающей на основе международного разделения труда, и выражает их взаимную экономическую зависимость. В литературе часто дается следующее определение: Международная торговля представляет собой процесс купли и продажи, осуществляемый между покупателями, продавцами и посредниками в разных странах.
Международная торговля включает экспорт и импорт товаров, соотношение между которыми называют торговым балансом. В статистических справочниках ООН приводятся данные об объеме и динамике мировой торговли как сумм стоимости экспорта всех стран мира.
Под термином «внешняя торговля» понимается торговля какой-либо страны с другими странами, состоящая из оплачиваемого ввоза (импорта) и оплачиваемого вывоза (экспорта) товаров.
Международной торговлей называется оплачиваемый совокупный товарооборот между всеми странами мира. Однако понятие «международная торговля» употребляется и в более узком значении: например, совокупный товарооборот промышленно развитых стран, совокупный товарооборот развивающихся стран, совокупный товарооборот стран какого-либо континента, региона, например, стран Восточной Европы и т. п.
Национальные производственные различия определяются разной наделенностью факторами производства - трудом, землей, капиталом, а также разной внутренней потребностью в тех или иных товарах. Эффект, который оказывает внешняя торговля на динамику роста национального дохода, потребление и инвестиционную активность, характеризуется для каждой страны вполне определенными количественными зависимостями.
Также мировая торговля подразделяется на два ответвления, которые можно назвать географической и товарной структурами. Надо отметить, что, как и любым другим организационным направлениям, данным структурам присуще постоянная эволюция, тенденции которой наиболее сильно стали видны на рубеже ХХ - ХХI веков. Это и предопределило актуальность данной темы.
Следовательно, целью данной работы ставится рассмотрение изменение товарной и географической структуры мировой торговли на рубеже ХХ - ХХI веков
Для достижения поставленной цели необходимо решить следующие задачи:
рассмотреть тенденции товарной и географической структуры мировой торговли;
выделить особенности динамики товарной структуры международной торговли;
проанализировать особенности изменений географической и товарной структуры мировой торговли на примере стран СНГ.
Теоретическую основу исследования составляют научные положения, содержащиеся в трудах ведущих отечественных учёных и специалистов в области мировой экономики и международной торговли.
Объектом исследования в данной работе является товарная и географическая структуры мировой торговли, а предметом – особенности изменений товарной и географической структуры мировой торговли на рубеже ХХ - ХХI веков
В данной работе используются сравнительно – аналитический и статистический методы исследования.
Практическая значимость работы состоит в рассмотрении особенностей изменения товарной и географической структуры мировой торговли на рубеже ХХ - ХХI веков
Данная курсовая работа состоит из введения, двух глав, заключения и списка использованной литературы.
1. Товарная и географическая структуры мировой торговли на рубеже ХХ - ХХI веков
1.1 Тенденции товарной и географической структуры мировой торговли
Международная торговля (МТ) – это сфера товарно-денежных отношений, представляющая собой совокупность внешней торговли всех стран мира.
Внешняя торговля – это обмен товарами и услугами между государственно-оформленными национальными хозяйствами. Термин «внешняя торговля» применим только к отдельно взятой стране.
Международную или внешнюю торговлю характеризуют три важных характеристики: общий объем (товарооборот), товарная и географическая структура.
Общий объем международной торговли (товарооборот) подразделяется на стоимостной и физический объем. Стоимостной объем, который исчисляется за определенный период времени в текущих ценах соответствующих лет с использованием текущих валютных курсов. Различают номинальный и реальный стоимостные объемы международной торговли. Номинальный – обычно выражается в долларах США в текущих ценах и поэтому сильно зависит от динамики обменного курса доллара к другим валютам. Реальный – представляет собой номинальный объем, конвертированный в постоянные цены с помощью дефлятора.
Физический объем исчисляется в постоянных ценах и позволяет производить необходимые сопоставления и определять реальную динамику международной торговли.
Эти показатели рассчитывается всеми странами в национальной валюте и переводится в доллары США в целях международного сопоставления.
Товарная структура представляет собой соотношение товарных групп в мировом экспорте (существует более 20 млн. видов выпускаемых изделий производственного и потребительского назначения, огромное число промежуточных изделий и более 600 видов услуг)1.
Характеризуется:
1. Снижением доли сырья и минерального топлива (конец 90-х гг. 40%, а в 2000-х - 12%. Экспорт сырья - на индустриальные страны -60,5%, развивающиеся страны - 33,4%, страны с переходной экономикой - 6.1%. Развитые страны являются как импортерами, так и экспортерами сырья в мире).
2. Диверсификация товарного потока - широкая номенклатура выпускаемых товаров (Германия – 180 позиций, США, Великобритания, ФРГ – 175 позиций, Япония - менее 160 позиций).
3. Высокий удельный вес готовых изделий – (80% торговли в мире, 40% - машино-технической продукции из них: развитые страны: экспорт – 77%, импорт – 70%; развивающиеся страны: экспорт – 22%, импорт – 28%).
4. Снижение удельного веса продовольствии (аграрный сектор): крупные экспортеры продовольствия – развитые страны, более 60%. - увеличение доли торговли текстилем и одеждой (развивающиеся страны (экспорт): текстиль – 48,3%, одежда- 60%; развитые страны (экспорт): текстиль – 49,3%, одежда – 35,4%).
5. Повышается «китайский фактор» в международной торговле, быстро растет торгово-экономический потенциал Индии, более значимыми становятся страны Латинской Америки (Бразилия, Мексика, Аргентина, Чили).
Географическая структура представляет собой распределение торговых потоков между отдельными странами и их группами, выделяемыми либо по территориальному, либо по организационному признаку.
Территориальная географическая структура – это данные о международной торговле стран, принадлежащих к одной части света, либо к одной группе.
Со второй половины XX века заметно проявилась неравномерность динамики внешней торговли, это повлияло на соотношение сил между странами на мировом рынке (промышленно развитые страны - 70-75% международной торговли, развивающиеся - 20%, бывшие соцстраны - 10%).
Географическая конфигурация международной торговли (менее 70% экспорта):
Промышленно развитые страны - менее 70% экспорта, 75% импорта (США, ЕС, Япония менее 60% экспорта и импорта; «Большая семерка» 50% мирового товарооборота). В середине 90-х гг. - лидер Западная Германия, США, Япония. В 2000-х гг. США занимает 1 место.
Развивающиеся страны (тенденции роста в международной торговле) 90-е гг. – 22 %, 2000-е гг. – 32 %.
Высокий удельный вес новых индустриальных стран - Юго-Восточная Азия (Ю. Корея, Индонезия, Таиланд, Индонезия, Малайзия). Растет доля Китая (сегодня он входит в 10 крупнейших торговых держав мира).
Десятка ведущих мировых экспортеров: Китай, США, Германия, Япония, Франция, Великобритания, Италия, Канада, Нидерланды, Индия.
Три четверти экспорта промышленно развитых стран идет в другие развитые страны. При этом 4/5 экспорта - непродовольственные товары2.
Поскольку в экспорте промышленно развитых стран преобладает сложная техника, большинство развивающихся стран представляют для них сравнительно меньший интерес как рынки сбыта такой продукции. Сложная техника часто бывает не нужна развивающимся странам, поскольку не вписывается в сложившийся производственный цикл. Иногда же она им просто не по карману.
Свои позиции на мировом рынке экспортеры из Азии усиливают в основном за счет стран Западной Европы. Это происходит как на традиционных для развивающихся стран рынках (текстиль, товары массового спроса), так и на рынках сложных изделий, включая средства производства. С 2001 по 2007 г. доля ЕС в мировом товарообороте снизилась с 44% до 36% по разным позициям, а доля стран Азиатско-Тихоокеанского региона поднялась с 38 % до 42 %. В международной торговле заметно выросла роль Китая.
Организационная географическая структура – это данные о международной торговле между странами, принадлежащими к отдельным интеграционным и др. торгово-политическим группировкам, либо выделенными в определенную группу по тем или иным критериям (например страны-экспортеры нефти ОПЕК).
Субъектами международной торговли выступают: страны мира; ТНК; региональные интеграционные группировки.
Объектами международной торговли могут быть продукты труда человека – товары и услуги.
В зависимости от объекта международной торговли выделяют две ее формы:
1. Международная торговля товарами (МТТ) – это форма связи между товаропроизводителями разных стран, возникающая на основе международного разделения труда и выражающая их взаимную экономическую зависимость;
2. Международная торговля услугами (МТУ) – это специфическая форма мирохозяйственных связей по обмену услугами между продавцами и покупателями разных стран.
Международная торговля товарами является первой и наиболее развитой формой международных экономических отношений. На ее стабильный и устойчивый рост оказали влияние следующие факторы:
развитие МРТ и интернационализация производства;
НТР, способствующая обновлению основного капитала, созданию новых отраслей экономики, ускоряющая реконструкцию старых;
активная деятельность ТНК на мировом рынке;
либерализация международной торговли посредством мероприятий, проводимых ГАТТ/ВТО;
развитие процессов торгово-экономической интеграции: устранение региональных барьеров, формирование общих рынков, зон свободной торговли.
Преимущественный рост внешней торговли по сравнению с общими темпами хозяйственного развития стран (например, за 2000-2005 гг. ВВП США вырос на 31,4%, в то время как экспорт – на 48,8%, импорт – на 50,5%; в Японии рост ВВП составил 13,2%. Экспорта – 53,1%, импорта – 37,1%).
Решающее влияние на развитие международной торговли оказывают факторы, действующие в сфере производства: структурные сдвиги и циклические колебания мирового хозяйства3.
Рост экспортной квоты, свидетельствующий о возрастающем вовлечении стран в мировую экономику, т.к. экспортная квота показывает какая доля всей произведенной продукции реализуется на мировом рынке. У некоторых стран этот показатель превышает общемировой (17%) – например, Германия, Франция, Великобритания. В условиях усиления интернационализации хозяйственной жизни проявляется тенденция и к росту импортной квоты, что свидетельствует о растущем влиянии на национальные хозяйства происходящих на мировом рынке процессов.
Значительные изменения географической структуры международной торговли под влиянием экономических и политических изменений в мире в 90-х годах. Ведущая роль по-прежнему принадлежит промышленно развитым странам.
В группе развивающихся стран также наблюдается ярко выраженная неравномерность степени участия в международной торговле товарами. Снижается удельный вес международной торговле товарами стран Ближнего Востока, что объясняется нестабильностью цен на нефть и обострением противоречий между государствами ОПЕК. Нестабильно внешнеторговое положение многих стран Африки, входящих в группу наименее развитых. ЮАР обеспечивает 1/3 африканского экспорта. Недостаточно устойчиво и положение стран Латинской Америки, т.к. сохраняется их сырьевая экспортная ориентация (2/3 экспортных доходов им приносят сырьевые товары). Повышение удельного веса стран Азии в международной торговли было обеспечено высокими темпами роста экономики (в среднем 6% в год) и переориентацией ее экспорта на готовые изделия (2/3 стоимости экспорта). Таким образом, увеличение общей доли развивающихся стран в международной торговле товарами обеспечивается за счет НИС ЮВА и Китая.
Расширение торговли в рамках развивающихся стран, которая в настоящее время растет быстрее, чем между промышленно развитыми странами. Увеличивается товарооборот между развивающимися странами и промышленно развитыми странами, а также между промышленно развитыми странами и странами с переходной экономикой. Страны Юго-Восточной Азии стали крупнейшими торговыми партнерами США, Японии, Западной Европы. Страны ЕС увеличивают торговый оборот со странами Восточной Европы. Соотношение групп стран в мировом экспорте:
70 – 72 % – индустриальные страны;
24 – 26% – развивающиеся страны (в конце 80-х гг. – 22%);
3,7% – страны с переходной экономикой, в т.ч. страны СНГ – 2,3% (в конце 80-х доля социалистических стран составляла 6–8%).
По статистике МВФ в группу крупнейших экспортеров (более 100 млрд. долл. в год) входят США, Германия, Япония, Франция, Великобритания, Италия, Канада, Нидерланды, Гонконг, Бельгия/Люксембург, Китай, Корея, Сингапур, Тайвань, Испания.
Основной поток международной торговли приходится на промышленно развитые страны – 55%; 27% международной торговли ведется между промышленно развитыми странами и развивающимися странами; 7% – между развивающимися странами; 5% – между СПЭ и всеми другими странами4.
1.2 Особенности динамики товарной структуры международной торговли
По оценкам экспертов ООН в настоящее время в мировом экспорте:
75% составляет продукция обрабатывающей промышленности, причем половина этого показателя приходится на технически сложные товары и машины;
8% составляют продовольственные товары (в т.ч. напитки и табак);
12% составляет минеральное сырье и топливо.
В последние годы на мировом рынке отмечается тенденция роста доли в мировом экспорте текстильной продукции и готовой продукции обрабатывающей промышленности до 77%.
Основной тенденцией современного этапа развития международной торговли товарами является увеличение удельного веса продукции обрабатывающей промышленности (3/4 мирового экспорта) и сокращение доли сырьевых товаров. Кроме того динамика международной торговли товарами имеет следующие особенности:
Почти 40% стоимости мирового экспорта приходится на технически сложную, дифференцированную продукцию – машины и транспортное оборудование. Увеличение экспорта продукции машиностроения сопровождается одновременным ростом торговли компонентами, узлами, деталями, полуфабрикатами. Увеличилась роль химической промышленности.
Общий рост экспорта машин и оборудования и химической продукции увеличился за первую половину 90-х гг. в 1,6 раза, а общий объем мирового экспорта – в 1,4 раза. В результате укрепляется тенденция к повышению в международной торговле товарами наукоемких, технически сложных изделий5.
Объем экспорта минерального топлива за последние 10 лет сократился более чем в 2,5 раза, что во многом объясняется политической нестабильностью в регионе его основной добычи (Ближнего Востока) и значительными колебаниями мировых цен.
Незначительно, но устойчиво сокращается доля продовольственных товаров в мировом экспорте, что свидетельствует о стремлении стран к продовольственной самообеспеченности.
Структурные кризисы послевоенного времени в текстильной, обувной, швейной промышленности привели к ослаблению этих позиций в мировом экспорте, но с начала 90-х гг. наблюдается тенденция к стабилизации их доли.
Основной объем торговли готовыми изделиями приходится на промышленно развитые страны, их удельный вес в экспорте машин и транспортного оборудования составляет почти 77%, в импорте – 66%. Ведущие позиции занимают Германия – 14,2%, США – 13% и Япония – 12,9%. На долю развивающихся стран приходится 21,8% мирового экспорта машин и транспортного оборудования и 30,9% мирового импорта (в т.ч. 9% экспорта обеспечили НИС ЮВА первой волны). Доля стран с переходной экономикой – 1,4% и 3,1% соответственно. Таким образом, наиболее наукоемкая и высокотехнологичная продукция обращается между промышленно развитыми странами, но на современном этапе развивающиеся страны составляют серьезную конкуренцию промышленно развитым странам.
В мировом экспорте химической продукции ведущие позиции занимают также промышленно развитые страны – 80,5%. На долю развивающихся стран приходится 15,9 %, стран с переходной экономикой – 3,6%. Одновременно промышленно развитые страны являются и основными импортерами химических товаров – 64,6%. Развивающиеся страны импортируют 30,5%.
На мировом рынке сырья и минерального топлива ситуация складывается под воздействием двух тенденций:
По мере прогресса в развитии производительных сил снижается роль сырьевых товаров в материальном производстве (например, стоимость автомобиля 20-х гг. состояла на 60% из стоимости сырья и энергии, стоимость современного полупроводникового микрочипа – менее чем на 2%).
В результате происходит сокращение удельного веса этих позиций в международной торговле. На долю промышленно развитых стран приходится 60,5% стоимости мирового экспорта сырья, на развивающиеся страны – 33,4%, на страны с переходной экономикой - 6,1%. В импорте сырья на промышленно развитые страны приходится 60,5%, на развивающиеся страны – 32,1%, на страны с переходной экономикой – 5,1%6.
Удельный вес промышленно развитых стран в экспорте минерального топлива составляет 32,1%, развивающихся стран – 5,3%, стран с переходной экономикой – 11,6%. Характерно, что с начала 90-х гг. доля промышленно развитых стран как экспортеров топлива увеличилась за счет превращения Великобритании, Нидерландов, Норвегии и Канады в крупнейших экспортеров нефти. В импорте промышленно развитых стран потребляют 61,7% топлива, развивающихся стран - 25,5 %, стран с переходной экономикой – 12,8 %. В основном, производимое в промышленно развитых странах топливо поставляется в другие промышленно развитые страны. Но не менее высока их зависимость и от поставок из развивающихся стран (53%)7.
Среди важнейших структурных сдвигов в международной торговле товарами следует отметить также снижение удельного веса продовольствия, что связано с относительно медленным ростом сельскохозяйственного производства по сравнению с промышленным и падение доли аграрного сектора в ВВП во всех группах стран. Но абсолютные показатели роста товарооборота на этом рынке достаточно высоки (мировой экспорт за первую половину 90-х гг. по стоимости возрос в 1,4 раза). Характерной чертой торговли продовольствием является укрепление позиций промышленно развитых стран и рост продовольственной зависимости развивающихся стран от ведущих центров мирового хозяйства. Вследствие увеличения самообеспеченности продовольствием сокращается удельный вес промышленно развитых стран в его импорте (с 78,1% в 1960 г. до 68,8% в в 2005 г.).
Причем наибольшее сокращение наблюдается в странах ЕС. На долю развивающихся стран приходится в экспорте продовольствия – 29,6 %, в импорте – 24,8 %, на долю стран с переходной экономикой соответственно 3,1% и 5,1. По направлениям торговли продовольствием: преобладает обмен между промышленно развитыми странами – 74,1% экспорта, из развивающихся стран в промышленно развитые страны поступает 59,1%. Соответственно из промышленно развитых стран в развивающиеся страны экспортируется 20% стоимостного объема продовольствия, между развивающимися странами – 36,6%. Такая закономерность обусловлена в основном более высокой покупательной способностью населения промышленно развитых стран.
Весьма неравномерно развивается международная торговля текстилем и одеждой. На этом рынке развивается тенденция сближения позиций промышленно развитых стран и развивающихся стран (удельный вес промышленно развитых стран – 49,3%, развивающихся стран – 48,3%). Особенностью рынка текстиля является его регионализация: 69,2% его экспорта из промышленно развитых стран было направлено в другие промышленно развитые страны и также 68,8% экспорта развивающихся стран приходилось на другие развивающиеся страны. На мировом рынке одежды ведущие позиции занимают развивающиеся страны, осуществляющие 60 % мирового экспорта, на промышленно развитые страны приходится 35,4%, на страны с переходной экономикой – 4,6%. В мировом импорте одежды преобладают промышленно развитые страны – 79%, на развивающиеся страны приходится 16,8%, на страны с переходной экономикой – 4,2%. Причем товаропотоки на мировом рынке одежды формируются т.о., что в промышленно развитые страны поступает 80,2% одежды, экспортируемой из промышленно развитых стран, и 78% - вывозимой из развивающихся стран8.
Таким образом, мировой рынок товаров на современном этапе значительно диверсифицирован, а товарный ассортимент внешнеторгового оборота чрезвычайно широк, что связано с углублением МРТ и огромным разнообразием потребностей в товарах производственного и потребительского назначения.
На основании вышеизложенного можно выделить тенденции, характерные для развития международной торговли товарами и международной торговли услугами на современном этапе. Новые тенденции связаны, прежде всего, с НТП, изменением объекта торговли, субъектов товарного обращения и его организационно-экономических форм. Среди них:
быстрое обновление товарной номенклатуры международной торговли, которое отражается в появлении на мировых рынках большого числа принципиально новых товаров, преимущественно продукции новых отраслей, сферы высоких технологий;
рост обмена узлами, деталями, компонентами;
относительное падение значения торговли сырьем и топливом;
приоритетное присутствие ТНК, для которых внутрифирменная передача оборудования, комплектующих, а также информации, технологии, финансов выступает в форме международной продажи товаров и услуг;
отказ от личного контакта продавца и покупателя в сфере услуг за счет появления новых форм и средств спутниковой связи и видеотехники;
увеличение степени мобильности производителей и потребителей услуг за счет снижения доли транспортных издержек9.
Одной из важнейших характеристик, отличающих мировой рынок от национального, является функционирование на нем своеобразной системы цен. Особенности процесса ценообразования на мировом рынке связаны с тем, что участники международной торговли сталкиваются на рынке с большим количеством конкурентов, чем на внутреннем, поэтому они должны постоянно работать в режиме сравнения своих издержек производства не только с внутренними рыночными ценами, но и мировыми. При этом мировые цены базируются на национальных и выступают как их модификация.
Мировой рынок характеризуется множественностью цен, что объясняется действием различных коммерческих и торгово-политических факторов.
Множественность цен – наличие ряда цен на один и тот же товар или товары одинакового качества в одной и той же сфере обращения на одинаковой транспортной базе (например, цены по клиринговым соглашениям, цены по программам государственной помощи…). Т.о., мировые цены являются одним из подвидов из этого множества.
Мировые цены – это цены, по которым проводятся крупные экспортно-импортные операции, достаточно полно характеризующие состояние международной торговли конкретным товаром.
Мировые цены отличаются от внутренних по следующим признакам:
регулярность, т.е. внутренние цены сделок носят случайный, эпизодический характер, что не характерно для мировых цен;
раздельность коммерческого характера, т.е. исключаются товарообменные операции, поставки товаров в рамках государственной помощи и т.п., так как эти сделки предусматривают особые взаимоотношения между партнерами. Цены в этих условиях могут существенно отклоняться в ту или иную сторону от уровня цен раздельных сделок;
открытость торгово-политического режима, т.е. в качестве мировых цен не могут служить цены в рамках замкнутых экономических группировок, т.к. эти цены за счет субсидирования национальных производителей со стороны государства могут быть выше цен других крупных поставщиков данной продукции на мировой рынок;
свободная конвертируемость валюты платежа.
В международной торговле применяется два вида цен:
расчетные цены – индивидуально определяются фирмами-экспортерами на конкретные виды промышленных товаров;
публикуемые цены – это цены, сообщаемые в специальных и фирменных источниках информации.
К ним относятся:
справочные цены – это цены товаров во внутренней оптовой и внешней торговле промышленно развитых стран. Наиболее широко применяются в международной торговле и представляют собой так называемые базисные цены, т.е. цены товара определенного количества и качества в том или ином заранее установленном географическом пункте. Базисные цены устанавливаются в соответствии с базисными условиями поставок, определяющими, включаются ли расходы по доставке в цену товара или нет. Базисные условия поставок изложены в «Международных правилах толкования торговых терминов» (Инкотермс-2000), разработанных Международной торговой палатой;
биржевые котировки – отражают реальные цены сделок на бирже;
цены аукционов;
цены торгов;
цены фактических сделок;
цены предложения крупных фирм10.
Учитывая, что в современном мировом хозяйстве ТНК являются основными субъектами и контролируют 2/3 международной торговли, внутрифирменная торговля ТНК осуществляется по особой категории мировых цен – трансфертным ценам, которые обычно на 30% ниже мировых. Трансфертные цены являются коммерческой тайной, имеют в большей степени, искусственный характер и образуются не под действием спроса и предложения, а исходя из внутрифирменной политики.
Мировые цены меняются под воздействием рыночной конъюнктуры. В то же время изменение стоимостных пропорций товарообмена оказывает значительное влияние на развитие международной торговли, ее товарную структуру и результаты. Характерной чертой структуры мировых цен является разнонаправленное движение цен на промышленные товары, с одной стороны, и на сырье, топливо и продовольственные товары, – с другой. В то же время способы определения мировых цен на различную продукцию также различны:
Цены сырьевых товаров определяются как экспортные цены основных поставщиков конкретного товара и импортные цены в важнейших центрах импорта этого товара (например, на пшеницу мировыми являются экспортные цены Канады, нефть – цены стран членов ОПЕК, на пушнину – цены Лондонского и Санкт-Петербургского аукционов и т.д.).
Цены продукции обрабатывающей промышленности определяются как экспортные цены крупных компаний-производителей и экспортеров этой продукции.
В целом и те и другие цены в мировом хозяйстве имеют тенденцию к росту, но это происходит не постоянно и на разные группы товаров цены растут по-разному. Резкие колебания цен характерны для рынка продовольствия. А на рынках сырья и готовой продукции не было серьезных скачков цен с 70-х годов.
С 1990 г. стала заметны тенденция снижения цен на минеральное сырье, включая нефть, руды, алюминий, черные металлы, золото. На продовольственные товары колебания цен различны: на продовольствие, производимое промышленно развитыми странами – пшеницу, кукурузу, шерсть, - цены выросли в 1,5 раза, а на продовольствие, производимое в развивающиеся страны (кроме кофе), цены падали. В период 1990-2006 гг. только цены на пшеницу имели тенденцию к значительному росту (на 52,8%). Причина этого – снижение мировых запасов зерна, объясняющееся сокращением посевов (в Западной Европе), уменьшением субсидий и неблагоприятными погодными условиями (в США), снижением урожаев (в Центральной и Восточной Европе), а также увеличением потребления зерна в странах Восточной Азии.
Цены на промышленные товары имеют незначительные колебания в обе стороны и нередко растут даже в периоды циклических спадов производства. Вместе с тем ослабление инфляции в промышленно развитых странах в 90-е годы привело к некоторому снижению цен на промышленные товары.
Выявление тенденций динамики мировых цен сырьевых товаров производится Статистическим бюро ООН, которое рассчитывает индексы мировых цен сырьевых товаров. Эти индексы по широте информации, по регулярности и оперативности отличаются от индексов мировых цен продукции обрабатывающей промышленности. Так, они публикуют индексы мировых цен продукции обрабатывающей промышленности по трем основным группам промышленных товаров – машины и оборудование, химические товары и прочая продукция обрабатывающей промышленности. Индексы же мировых цен сырьевых товаров более дифференцированы (энергетические ресурсы, в т.ч. нефть, уголь; минеральное сырье, в т.ч. железная руда, алюминий; сельскохозяйственные продовольственные и непродовольственные продукты, в т.ч. пшеница, кофе, шерсть и т.д.)11.
2. Особенности изменений географической и товарной структуры мировой торговли на примере стран СНГ
2.1 Эволюция структур международной торговли в странах СНГ
Пережившее период дезинтеграции сообщество бывших советских республик стремится к объединению, о чем свидетельствует целый ряд интеграционных инициатив на постсоветском пространстве: Содружество независимых государств (СНГ) (1991 г.), ГУАМ (1997 г.), Евразийское экономическое сообщество (ЕврАзЭС) (2000 г.), Центральноазиатское сотрудничество (ЦАС) (2002 г.), Единое экономическое пространство (ЕЭП) (2003 г.). Однако из всех перечисленных проектов только СНГ нотифицировано в качестве зоны свободной торговли (1994 г.) в списке региональных торговых соглашений (РТС), который ведется в рамках Генерального соглашения по тарифам и торговле/Всемирной торговой организации (ГАТТ/ВТО). В него включены также двусторонние соглашения бывших советских республик.
Благодаря многосторонним и двусторонним соглашениям, удалось ликвидировать некоторые барьеры между торговыми партнерами, однако пока еще сохраняются значительные препятствия и разногласия в интеграционных проектах, что, как указывается в документе Европейской экономической комиссии ООН (ЕЭК ООН) «Развитие партнерских связей в торговле в регионе СНГ», «породило определенный скептицизм относительно искренности стремления их участников к региональной интеграции, и дебаты по вопросу о ее возможных формах и направлениях продолжаются и по сей день».
К концу 2008 года в мире число нотифицированных РТС достигло 367. Стремительный рост региональной интеграции в мировой экономике начался в 90-е годы. Если в период с 1948 по 1995 годы было зарегистрировано 124 соглашения, то за последние 10 лет – 243. Экономическая интеграция обладает известным потенциалом в увеличении эффективности экономики и благосостояния стран, объединяющихся в региональные блоки, однако далеко не всем удается реализовать его в полной мере: всего 214 РТС признаны реально действующими.
Региональная интеграция развивается под влиянием политических и экономических факторов. Цель данной статьи заключается в том, чтобы исследовать экономические особенности региональной торговли СНГ, выявить изменения в географической и товарной структуре внешней торговли товарами государств-участников, а также тенденции в торговой интеграции СНГ.
Несмотря на сложность и неоднозначность отношений между бывшими советскими республиками, в мировом сообществе СНГ признано как объединение государств, занимающее определенное место в мировой экономике, наряду с такими региональными блоками, как Европейский союз (ЕС), Северо-Американское соглашение о свободной торговле (НАФТА), Общий рынок стран Южного конуса (МЕРКОСУР), Ассоциация стран Юго-Восточной Азии (АСЕАН) и др. На территории СНГ преодолен глубокий трансформационный кризис 90-х годов. С 1999 года наблюдается устойчивый положительный прирост валового внутреннего продукта (ВВП) (см. рисунок 1). В настоящее время, ВВП СНГ, исчисленный по паритету покупательной способности (ППС) и в сопоставимых ценах, превысил уровень докризисного 1991 года, а по текущему курсу и в текущих ценах – превышает ВВП бывшего СССР, который составлял $ 928.4 млрд в 1980 году и $ 776.9 млрд. в 1990 году.

Рисунок 1 – Темпы прироста ВВП в странах СНГ
Улучшились также и социально-экономические показатели: снизился уровень безработицы, доход на душу населения увеличился практически во всех государствах СНГ. В 2008 году средний по Содружеству доход на душу населения, исчисленный по ППС в ценах 2005 года, составил $ 9122 и превысил показатель 1991 года – $ 8871.
Однако после глубокого экономического кризиса, имевшего системный характер, пока не всем республикам удалось достигнуть показателей, сопоставимых с уровнем дохода в бывшем СССР, который на душу населения составлял $ 3498 в 1980 году и $ 2685 в 1990 году (по текущему курсу и в текущих ценах). В настоящее время отрицательное влияние на экономику Содружества может оказать мировой финансовый кризис: по прогнозам ООН темп прироста ВВП СНГ может сократиться с 8.5% в 2007 году до 4.9% в 2009 году. Особенно сильное сокращение ожидается в крупных экономиках Содружества в связи с падением мировых цен на их основные экспортные товары (минеральное сырье и металлы): в Казахстане с 8.9 до 4%, в России – с 8.1 до 4.8% в Украине – с 7.6 до 2.1%12.
В социально-экономическом положении государств-участников СНГ имеются различия. По классификации Всемирного банка большинство из них – это страны, в которых валовой национальный доход (ВНД) на душу населения ниже среднего уровня (Армения, Азербайджан, Беларусь, Грузия, Молдова, Туркменистан, Украина). Три страны: Кыргызстан, Таджикистан, Узбекистан, – остаются в группе стран с низким уровнем дохода. Более благоприятное социально-экономическое положение имеют Россия и Казахстан: за последние два-три года они значительно улучшили свои позиции в мировой экономике и перешли в группу стран с доходом выше среднего уровня.
Наиболее заметной особенностью экономики СНГ является наличие крупного участника, который значительно превосходит по своему экономическому масштабу партнеров по блоку: на долю России приходится 77-78% ВВП регионального блока. Это объясняет ее существенное влияние на экономику СНГ, в том числе на внешнюю торговлю.
Сокращение внешней торговли бывших советских республик, имевшее место в начале 90-х годов, сменилось устойчивым ростом их экспорта и импорта. В результате положительной динамики, доля СНГ в мировом экспорте товаров возросла с 1.5 в 1993 году до 3.6% в 2006 году, а в импорте – с 1.2 до 2.3% соответственно. Для сравнения следует отметить, что в 1983 году доля СССР составляла 5% мирового экспорта и 4.3% мирового импорта товаров. Ожидалось, что к 2009 году внешнеторговый оборот СНГ, включающий экспорт и импорт товаров, составит $ 1.4 трлн., а его доля в мировом товарообороте увеличится до 4.2%. Однако мировой кризис заставляет пересматривать прогнозы: в 2009 году экспорт СНГ может сократиться на 4.2% на фоне снижения мирового экспорта на 4.4 %13.
СНГ – это региональный блок, который характеризуется высокой степенью неоднородности и асимметриями в торговле, что обусловлено присутствием участника, имеющего крупномасштабную экономику, превышающую размеры экономики партнеров по блоку. Как правило, крупный размер экономики сопровождается сравнительно меньшим участием страны в региональной торговле. Во внешнеторговом обороте России торговля со странами СНГ составляет 14-15%, в то время как в ряде стран, например, Белоруссии, Грузии, Молдове, Кыргызстане – около 40%.
Аналогичная ситуация характерна и для других РТС, включающих в свой состав крупную экономику, например, для НАФТА: во внешнеторговом обороте США региональная торговля составляет около 30%, а Канады и Мексики – более 70%.
В тех региональных блоках, где отсутствует ярко выраженный лидер, например в ЕС, взаимная торговля имеет более равномерный характер.
Для измерения однородности торгового блока используется сравнение двух показателей: агрегированной доли взаимной региональной торговли в совокупном внешнеторговом обороте блока, с одной стороны, и средней доли, рассчитанной как среднее арифметическое значение долей государств-участников, – с другой. Превышение второго показателя над первым указывает на неоднородность торгового блока, связанную с присутствием крупного участника. В 2007 году средняя доля региональной торговли СНГ во внешнеторговом обороте СНГ составила 36%, в то время как агрегированная – 24%.
Содружество идет по пути интеграции в глобальную экономику. В результате либерализации экономических отношений заметно возросла открытость экономики государств-участников. Наиболее распространенным индикатором открытости экономики и ее интеграции в международную торговлю и мировую экономику является отношение внешнеторгового оборота страны (региона) к ВВП, характеризующее торговую интеграцию в глобальную экономику. Все страны СНГ имеют значительное увеличение этого показателя. В настоящее время для Содружества в целом он составляет 50%, что соответствует среднему мировому уровню и опережает некоторые региональные блоки.

Рисунок 2 – Отношение внешнеторгового оборота к ВВП, %
В период экономического подъема быстрый рост внешней торговли государств-участников СНГ сопровождался увеличением их взаимной торговли. Товарооборот между партнерами возрос с $ 60 млрд. в 1995 году до 192 – в 2008 году. Однако на фоне подъема абсолютных показателей происходило устойчивое снижение относительного показателя региональной торговли – ее доли в совокупном внешнеторговом обороте СНГ. В 1990 году на товарный обмен между советскими республиками приходилось 77% всей торговли, к 1994 году его доля сократилась до 34%, а к 2007 году – до 24%. Это объясняется изменениями в географической структуре внешней торговли государств-участников СНГ. Расширяя свое участие в международной торговле, многие из них формируют торговые отношения за пределами Содружества14.
2.2 Диверсификация товарной и географической структур стран СНГ
Для большинства партнеров сохраняет свою значимость региональный импорт, в то время как в экспорте возрастает роль партнеров из дальнего зарубежья. Для многих государств-участников СНГ главным торговым партнером становится ЕС, имеющий большую долю в экспорте Армении (45%), Азербайджана (57%), Беларуси (46%), Казахстана (45%), Молдовы (51%), России (59%), Украины (32%) (WTO, 2008b).
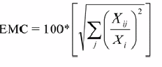
В результате расширения круга экспортных рынков происходит диверсификация географической структуры экспорта государств-участников СНГ. На это указывает изменение индекса концентрации экспортного рынка. Он рассчитывается следующим образом:

где EMCij – индекс концентрации экспортного рынка;
Xij – экспорт страны i в страну j;
Xi – совокупный экспорт страны i.
Индекс может принимать значения от 0 до 100, – максимума, характеризующего наличие одного единственного торгового партнера. Показатель подвержен влиянию циклических колебаний и изменению относительных цен на мировых рынках, поэтому для анализа динамики показателя, как правило, используются усредненные значения за определенный период.
Для большинства участников СНГ за время рыночных реформ концентрация экспортных рынков заметно снизилась, за исключением Азербайджана, Кыргызстана, России и Узбекистана.
Доля региональной торговли в совокупном внешнеторговом обороте является важным, но не единственным показателем торговой интеграции на региональном уровне. Еще один количественный измеритель – индекс интенсивности региональной торговли, основу которого составляет сопоставление доли региональной торговли в совокупном внешнеторговом обороте, с одной стороны, и доли данного региона в мировой торговле – с другой. Показатель рассчитывается следующим образом:

где RTI – индекс интенсивности региональной торговли;
Х>АА> и М>АА> – региональный экспорт и импорт региона А;
Х>А> и М>А> – совокупный экспорт и импорт региона А;
X>W> и M>W> – мировой экспорт и импорт.
Индекс принимает значение, равное 1, в том случае, если страны региональной группы торгуют друг с другом с такой же интенсивностью, что и с другими странами мира. Превышение порогового значения свидетельствует о наличии региональных предпочтений и их влиянии на географическую структуру внешней торговли.
Таблица 1
Торговая интеграция региональных блоков в 2008 году

В 2008 году взаимная торговля стран-участников СНГ составила около 24% совокупного внешнеторгового оборота, а доля в мировом товарообороте – 3.6%. Несмотря на относительное сокращение, региональная торговля СНГ сохраняет высокий уровень интенсивности, сопоставимый с другими региональными блоками.
Заметные изменения происходят в товарной структуре внешней торговли государств-участников СНГ. Сокращается число товаров, произведенных в СНГ, выдерживающих международную конкуренцию на внешних рынках. Это проявляется в росте концентрации товарного экспорта. На основе индекса Герфиндаля-Хиршмана определяется следующий показатель:

где EPC – индекс концентрации товарного экспорта;
Xij – экспорт продукта i страной j;
Xj – совокупный экспорт страны j;
n – совокупное число экспортируемых продуктов на трехразрядном уровне
Международной стандартной торговой классификации (МСТК), составляющее согласно номенклатуре МСТК не более 261. В расчет для отдельной страны включаются только те товары, экспорт которых превышает $ 100 тыс. или 0.3% ее экспорта.
Максимальное значение показателя, равное 100, характеризует ситуацию полной моноспециализации, когда весь экспорт страны состоит из одного единственного продукта. Этот показатель, так же как и показатель концентрации экспортного рынка, подвержен влиянию циклических колебаний, поэтому для анализа используются усредненные значения.
За время рыночных реформ, концентрация товарного экспорта государств-участников СНГ, за исключением Молдовы и Узбекистана, заметно возросла. Особенно высокий уровень имеют Азербайджан, Казахстан, Таджикистан, Туркменистан.
Другая неблагоприятная тенденция заключается в том, что в экспорте СНГ преобладают сырьевые продукты и изделия с низкой добавленной стоимостью. Основную долю товарного экспорта государств-участников СНГ составляют следующие товары:
Армения: ферросплавы (31%), алмазы (27%), спиртные напитки (10%), медь (6%), ювелирные изделия (4%);
Азербайджан: нефть (82%), орехи (2%), фрукты (1%), хлопок (1%), полиэтилен (1%);
Беларусь: удобрения (19%), тракторы (5%), древесина (4%), грузовые автомобили (3%), железные прутки (3%);
Грузия: железный лом (15%), нефть (11 %), вино (8%), безалкогольные напитки (7%), ферросплавы (6%);
Казахстан: нефть (56%), медь (6%), ферросплавы (5%), уголь (2%), железная руда (2%);
Кыргызстан: железный лом (11 %), хлопок (9%), стекло (7%), электроэнергия (7%), цветные металлы (4%);
Молдова: вино (20%), железные прутки (13%), железная проволока (8%), обувь (4%), спиртные напитки (3%);
Россия: нефть (44%), газ (6%), алюминий (3%), уголь (3%), изделия из стали (2%);
Таджикистан: алюминий (64%), хлопок (19%), фрукты (3%), мужская одежда (2%), хлопчатобумажные ткани (2%);
Туркменистан: газ (84%), нефть (5%), хлопок (2%), хлопчатобумажная пряжа (2%), полипропилен (1%);
Узбекистан: хлопок (20%), газ (16%), автомобили (9%), медь (9%), золото (6%);
Украина: заготовки из стали (10%), железный прокат (5%), листовая сталь (4%), ферросплавы (3%), удобрения (3%).
Товарная структура внешней торговли СНГ носит несбалансированный характер: в экспорте преобладают сырьевые продукты, а в импорте – изделия обрабатывающей промышленности. Структура экспорта, в которой около 56% приходится на минеральное топливо, сильно отличается от структуры мировой торговли, где большую часть экспорта (импорта), – более 70%, – составляют промышленные товары, а на минеральное топливо приходится всего 15%. Это дает основание утверждать, что минеральное топливо является областью специализации СНГ в международной торговле, так как именно в этой области региональный блок обладает выявленным сравнительным преимуществом.
В настоящее время в составе СНГ выделяют две группы стран: во-первых, чистые экспортеры (Азербайджан, Казахстан, Россия, Туркменистан, Узбекистан), и, во-вторых, чистые импортеры нефти (Армения, Беларусь, Грузия, Кыргызстан, Молдова, Таджикистан, Украина).
Страны первой группы имеют устойчивое положительное сальдо, в то время как большинство государств – чистых импортеров нефти, наоборот, – хронический дефицит торгового баланса. Тем не менее, во внешней торговле товарами Содружество в целом имеет устойчивое положительное сальдо, в 2008 году составившее $141.7 млрд. (43% совокупного импорта СНГ). Это создает объективные предпосылки для углубления региональной интеграции, в частности для формирования зоны региональной резервной валюты.
Накануне мирового финансового кризиса Содружеству независимых государств удалось преодолеть экономический спад, вызванный рыночными преобразованиями, и восстановить основные макроэкономические показатели (ВВП, ВВП на душу населения), а также позиции в международной торговле. В результате рыночных реформ, значительно возросла открытость экономики и торговая интеграция государств-участников СНГ в глобальную экономику. Они расширяют торговые связи за пределами Содружества, что проявляется в диверсификации географической структуры их внешней торговли и относительном снижении доли региональной торговли, однако не ведет к сокращению регионального товарооборота.
Сохраняется высокая интенсивность взаимной региональной торговли, это дает основание рассматривать СНГ как торговый блок государств, вовлеченных и в региональную, и в глобальную интеграцию. Однако следует выделить некоторые его особенности и противоречия. Прежде всего, это неоднородный характер торгового блока и заметное влияние России (обладающей крупномасштабной экономикой) на макроэкономические и торговые показатели Содружества. В условиях экономического подъема оно имеет благоприятный характер, в частности, устойчивый торговый профицит во внешней торговле способствует укреплению позиций регионального блока в мировой экономике. В кризисных условиях снижением темпов экономического роста в России может усилить рецессию в государствах-участниках СНГ. Несмотря на положительные результаты, достигнутые бывшими советскими республиками в восстановлении дореформенных позиций в экономике, мировой кризис указывает на главную проблему торгового блока – сырьевую специализацию в международной торговле15.
Заключение
Традиционной и наиболее развитой формой международных экономических отношений является внешняя торговля. На долю торговли приходится около 80 процентов всего нынешнего объема международных экономических отношений. Ещё ни одной стране мира не удалось создать экономику, без участия в международной торговле. В современных условиях активное участие страны в мировой торговле связано со значительными преимуществами: оно позволяет более эффективно использовать имеющиеся в стране ресурсы, приобщиться к мировым достижениям науки и техники, в более сжатые сроки осуществить структурную перестройку своей экономики, а также более полно и разнообразно удовлетворять потребности населения.
Международная торговля является следствием международного разделения труда и международной специализации. Это закрепляет за ней серьёзные перспективы развития. Кроме того, мировая торговля способствует углублению интернационализации производства, международной экономической интеграции и глобализации. Исходя из этого изучение её современного положения и рассмотрение перспектив её развития необходимо для построения внешнеэкономической стратегии как на макро-, так и на микроуровне. Это означает, что не только государства должны иметь свою программу поведения на международном рынке товаров и услуг, но и сами предприятия и организации, работающие на этом рынке должны иметь стратегические концепции функционирования и поведения в меняющихся условиях.
Динамика развития международной торговли характеризуется стремительным ростом объёмов товарооборота в последнее десятилетие. Это обусловлено как ростом экономического, так и научно-технического потенциала большинства государств. При этом важно отметить тенденцию, согласно которой растёт доля торговли готовой продукцией по отношению к доле торговли сырьём и материалами. В том числе повышаются и объёмы торговли полуфабрикатами. В растущем многообразии форм международной торговли весомое положение начинает занимать внутрикорпоративная торговля ТНК. Это объясняется, прежде всего, укреплением позиции на международном уровне самих ТНК, а так же естественным благоприятным положением связанных, но находящихся в разных странах подразделений.
Более того, как видно из данной работы, происходит достаточно резкая смена географической и товарной структуры мировой торговли, которому способствовали многие факторы.
На примере СНГ была рассмотрена эволюция географической и товарной структур мировой торговли.
Таким образом, все задачи выполнены, а цель – достигнута.
Список использованной литературы
Алдонин, Е.Ф. Мировая экономика / Е.Ф. Алдонин. – М.: Юристъ, 2006. – 322 с.
Багиев, Л. Ю. Мировая экономика: учебник для ВУЗов / Л. Ю. Багиев. – СПб.: Питер, 2007. – 297 с.
Винник, Я. М. Изменение структуры международной торговли / Я.М. Винник // Международная торговля. – 2008. - № 5. – С. 19 – 22.
Выхин, О.С. Мировая экономика / О.С. Выхин. – М.: Финансы и статистика, 2007. – 379 с.
Гаркалина, И.Н. Мировая экономика / И.Н. Гаркалина. – М.: Юнити, 2006. – 247 с.
Гиппиус, Ю.Б. Мировая экономика / Ю. Б. Гиппиус. – М.: Высшая школа, 2007. – 509 с.
Гурина, Л. Ф. Географическая и товарная структура торговли стран СНГ / Л.Ф. Гурина // Российский экономический журнал. – 2007. - № 2. – С. 37 – 39.
Кауфман, М. И. Эволюция международной торговли на рубеже 20 – 21 вв. / М.И. Кауфман // Мировая экономика. – 2006. - № 7. – С. 24 – 27.
Минасян, А. Р. Проблемы международной торговли / А.Р. Минасян // Внешнеэкономическая деятельность. – 2007. - № 4. – С. 31 – 33.
Наумов, А.И. Мировая экономика / А.И. Наумов. – М.: Гардарика, 2006. – 266 с.
Осипова, О. Н. Структура и сдвиги в международной торговле / О.Н. Осипова // Внешнеэкономическая деятельность. – 2007. - № 1. – С. 26 – 28.
Паршин, А.Г. Мировая экономика: учебник для ВУЗов / А.Г. Паршин. – М.: Инфра-М, 2007. – 406 с.
Титова, В.А. Мировая экономика / В.А. Титова. – М.: Высшая школа, 2008. – 273 с.
Третьяков, Р. А. Формы изменений в международной торговле / Р.А. Третьяков // Мировая экономика. – 2009. - № 9. – С. 49 – 51.
Трофимов, И. М. Новый базис региональной торговли стран СНГ / И.М. Трофимов // Вопросы экономики. – 2006. - № 7. – С. 31 – 35.
1 Гиппиус, Ю.Б. Мировая экономика / Ю. Б. Гиппиус. – М.: Высшая школа, 2007. – С. 312
2 Кауфман, М. И. Эволюция международной торговли на рубеже 20 – 21 вв. / М.И. Кауфман // Мировая экономика. – 2006. - № 7. – С. 24 – 27.
3 Багиев, Л. Ю. Мировая экономика: учебник для ВУЗов / Л. Ю. Багиев. – СПб.: Питер, 2007. – С. 73
4 Осипова, О. Н. Структура и сдвиги в международной торговле / О.Н. Осипова // Внешнеэкономическая деятельность. – 2007. - № 1. – С. 26 – 28.
5 Наумов, А.И. Мировая экономика / А.И. Наумов. – М.: Гардарика, 2006. – С. 139
6 Минасян, А. Р. Проблемы международной торговли / А.Р. Минасян // Внешнеэкономическая деятельность. – 2007. - № 4. – С. 31 – 33.
7 Паршин, А.Г. Мировая экономика: учебник для ВУЗов / А.Г. Паршин. – М.: Инфра-М, 2007. – С. 267
8 Выхин, О.С. Мировая экономика / О.С. Выхин. – М.: Финансы и статистика, 2007. – С. 175
9 Титова, В.А. Мировая экономика / В.А. Титова. – М.: Высшая школа, 2008. – С. 81
10 Алдонин, Е.Ф. Мировая экономика / Е.Ф. Алдонин. – М.: Юристъ, 2006. – С. 219
11 Гаркалина, И.Н. Мировая экономика / И.Н. Гаркалина. – М.: Юнити, 2006. – С. 127
12 Трофимов, И. М. Новый базис региональной торговли стран СНГ / И.М. Трофимов // Вопросы экономики. – 2006. - № 7. – С. 31 – 35.
13 Винник, Я. М. Изменение структуры международной торговли / Я.М. Винник // Международная торговля. – 2008. - № 5. – С. 19 – 22.
14 Третьяков, Р. А. Формы изменений в международной торговле / Р.А. Третьяков // Мировая экономика. – 2009. - № 9. – С. 49 – 51.
15 Гурина, Л. Ф. Географическая и товарная структура торговли стран СНГ / Л.Ф. Гурина // Российский экономический журнал. – 2007. - № 2. – С. 37 – 39.