Тенденції та перспективи розвитку товарної структури зовнішньої торгівлі України
Тенденції та перспективи розвитку товарної структури зовнішньої торгівлі України.
ПЛАН
Вступ 3
Розділ 1. Теоретичні аспекти торгової політики України 6
1.1. Система показників розвитку міжнародної торгівлі 6
1.2 Поняття та методи торгової політики 11
Розділ 2. Особливості товарної структури зовнішньої торгівлі України 18
2.1 Аналіз міжнародних торгових взаємовідносин України 18
2.2 Зовнішньоторговельна стратегія України 22
Розділ 3. Тенденції і суперечності розвитку зовнішньої торгівлі України 29
3.1 Перспективні економічні аспекти торгової політики 29
3.2 Напрямки удосконалення експортно-імпортного потенціалу України 32
Висновок 39
Список використаної літератури 41
Вступ
В даний час з'явилися реальні перспективи створення дійсно відкритої економіки в нашій країні, її ефективної інтеграції у світове господарство. Активне використання зовнішньоекономічного фактора сприяє подоланню негативних процесів в економіці і подальшому розвитку ринкових відносин.
Розвиток зовнішньої торгівлі, зокрема нарощування експорту країни на світовому ринку, збільшення або, принаймні, збереження його питомої ваги у світовій торгівлі є надзвичайно важливим чинником функціонування національної економіки будь-якої держави.
Експортний потенціал України визначається обсягами товарів і послуг, які можуть бути вироблені в економічній та соціальній сферах і реалізовані на світовому ринку з максимальною користю для країни. Як відомо, Україна завжди мала досить значний експортний потенціал. Маючи площу, що становить 0,4% світової суші, і чисельність населення близько 0,8% загальної його кількості, Україна виробляла у 1990 році 5% світової мінеральної сировини та продуктів її переробки. Розвідані запаси корисних копалин України оцінюються приблизно в 7 трильйонів, а за деякими даними – в 12-14 трильйонів доларів США. Участь України у світовому видобутку марганцевої руди становила 32 відсотки. Україна має також розвинену базу алюмінієвої сировини й експортувала свого часу до 30% глиноземів та 18% каолінів, що видобуваються у світі. Виробничі потужності металургійного комплексу становлять: у виробництві сталі – 54 млн т, чавуну – 52 млн т, готового прокату – 41,5 млн т. За цими показниками Україна посідає п’яте місце в світі після Японії, США, Китаю та Російської Федерації. На жаль, нині ці потужності сповна не використовуються, але відповідний потенціал поки що зберігся.
Крім того, Україна має конкурентоспроможні технології аерокосмічної галузі, суднобудування, виробництва нових матеріалів, біотехнології, регулювання хімічних, біохімічних та біофізичних процесів. Великий експортний потенціал мають також агропромисловий та енергетичний комплекси країни.
Вищенаведені факти дають підстави стверджувати, що Україна має можливості для поліпшення своїх позицій на світовій господарській арені і тому постає гостра необхідність вивчення основ зовнішньоторговельної діяльності діяльність. Практична затребуваність такого роду наукових досліджень, не розробленість окремих, але в сучасних умовах дуже важливих питань теорії, методології і практики проведення зовнішньоекономічних операцій свідчить про актуальність даної проблеми, що й обумовило вибір теми курсової роботи.
Мета і завдання дослідження. Основною метою курсової роботи є дослідження особливостей товарної структури зовнішньої торгівлі України.
Поставлена мета обумовила необхідність вирішення ряду взаємозалежних завдань:
розкрити сутність і зміст міжнародної торгівлі та торгової політики;
виявити вплив інструментів торгової політики на економічну ефективність її здійснення;
розглянути тенденції та суперечності розвитку зовнішньої торгівлі України.
Предмет дослідження. Предметом дослідження є теоретико-методологічні і прикладні проблеми формування торгової політики країни.
Об'єкт дослідження. Об'єктом дослідження є торгова політика держави.
Теоретичною методологічною основою курсової роботи являються основні положення і висновки, сформульовані в наукових фундаментальних працях вітчизняних і закордонних економістів в області теорії міжнародної торгівлі
В якості емпіричної бази дослідження використані законодавчі і нормативні документи регулюючі проведення зовнішньоекономічної діяльності.
Інформативною основою є праці українських і закордонних фахівців в області теорії міжнародної торгівлі; матеріали наукових конференцій; періодичної преси.
У ході дослідження використовувалися загальнонаукові методи, методи порівнянь, угруповань, спостереження, обстеження, комплексної оцінки, аналітичні процедури й ін.
Робота складається із вступу, трьох глав, висновку, списку використаної літератури, додатків в яких послідовно розкриваються основні завдання дослідження.
Розділ 1. Теоретичні аспекти торгової політики України
1.1. Система показників розвитку міжнародної торгівлі
Основою системи показників розвитку міжнародної торгівлі є група обсягових індикаторів, до складу якої входять експорт, реекспорт, імпорт, реімпорт, зовнішньоторговельний обіг, генеральна торгівля, спеціальна торгівля та фізичний обсяг торгівлі.
Експорт (від. лат. exportare — вивозити) — вивезення товарів, робіт, послуг, результатів інтелектуальної діяльності, в т. ч. виключних прав на них, з митної території країни за кордон без зобов'язання їх зворотного ввезення.
За визначенням статистичної комісії ООН, експорт — це вивезення з країни товарів:
1) вироблених, вирощених або добутих у країні;
2) раніше ввезених з-за кордону та:
перероблених на митній території;
перероблених під митним контролем;
Імпорт (від лат. importare — ввозити) — ввезення товарів, робіт, послуг, результатів інтелектуальної діяльності, в т. ч. виняткових прав на них, на митну територію країни з-за кордону без зобов'язання про зворотне вивезення. Цей процес характеризує показник «імпорт», який розраховується у вартісних одиницях за певний період, найчастіше, за рік. Обсяги імпорту однорідних, порівняних товарів можуть розраховуватись у кількісних, одиницях (цукор, пшениця, цемент тощо).
Уряд кожної країни встановлює кордони митної території, а також вирішує питання щодо виокремлення з неї вільних зон, які не підлягають митному контролю.[12]
Зовнішньоторговельний обіг — сума вартості експорту і імпорту країни або груп країн за певний період: рік, квартал, місяць. Зовнішньоторговельний обіг показує загальні обсяги зовнішньоторговельної діяльності, тобто експорту та імпорту в цілому:
ЗТО = Е + І, де
ЗТО — зовнішньоторговельний обіг;
Е — обсяг експорту (у вартісних одиницях);
I—обсяг імпорту (у вартісних одиницях).[15]
Світовий товарообіг — сума вартості експорту та імпорту всіх країн світу (вартість усіх товарів, що перетинають державні кордони). Вартість світового експорту завжди менша (приблизно на 3—6 %) за вартість імпорту на суму фрахту на страхування внаслідок того, що майже всі країни оцінюють експорт за цінами ФОБ, а імпорт більшості країн обліковується за цінами СІФ (FOB < GIF).
Генеральна (загальна) торгівля — прийняте у міжнародній статистиці позначення зовнішньоторговельного обігу з урахуванням вартості транзитних товарів. Показує загальне зовнішньоторговельне «навантаження» на країну, включаючи обсяги ввезення, вивезення та транзиту товарів:
ГТ = Е + І + Т,
де ГТ— генеральна (загальна) торгівля;
Е — вартість експорту;
I—вартість імпорту;
Т— вартість транзитних товарів, перевезених через територію країни.[12]
Спеціальна торгівля — експорт та імпорт, зумовлені існуванням двох систем обліку товарів у статистиці зовнішньої торгівлі:
спеціальної системи обліку для деяких видів товарів;
загальної системи, що застосовується до всіх товарів. Спеціальний експорт включає: » національний експорт;
вивезення товарів після переробки під митним контролем;
націоналізовані товари.
Фізичний обсяг зовнішньої торгівлі — оцінка експорту або імпорту товарів у незмінних цінах одного періоду (як правило, року) для отримання інформації щодо руху товарної маси без впливу коливання цін.
Індекс фізичного обсягу розраховується за формулою:

І ф.о — індекс фізичного обсягу;
Р0 — ціна товару в базисному періоді;
q1 -— кількість товару в періоді, що вивчається;
q0 — кількість товару в базисному періоді.[12]
Результуючі показники, до яких належать сальдо торговельного балансу, сальдо балансу послуг, сальдо балансу поточних операцій, індекси стану платіжного балансу, індекс «умови торгівлі», індекс концентрації експорту, коефіцієнт імпортної залежності країни, у сукупності характеризують стан зовнішньої торгівлі за критерієм збалансованості експорту та імпорту, ефективності та місця країни в світовій торгівлі.
Розрахунковий баланс — це співвідношення вимог і зобов'язань даної країни щодо інших країн на певну дату, незалежно від термінів надходження платежів. Розрахунковий баланс за певний період характеризує лише динаміку вимог і зобов'язань однієї країни стосовно інших, але не може використовуватись для оцінки результативності, збалансованості міжнародних економічних, в т. ч. торговельних відносин. Цю функцію виконує платіжний баланс.
Платіжний баланс — це співвідношення суми платежів, здійснених даною країною за кордоном, і надходжень, отриманих нею з-за кордону, за певний період (рік, квартал, місяць).
За методологією Міжнародного Валютного Фонду, платіжний баланс — це систематичний перелік усіх економічних операцій, що були здійснені за певний проміжок часу між резидентами даної країни та нерезидентами (резидентами всіх інших країн світу).
Сальдо (від італ. saldo — розрахунок, залишок) — різниця між грошовими надходженнями і витратами за певний проміжок часу.
Сальдо балансу поточних операцій:
Г = F - 1 Cп -Eпо -Iпо
де Спо — сальдо балансу поточних операцій;
Епо — надходження за статтями балансу поточних операцій;
Iпо — платежі за статтями балансу поточних операцій.
Сальдо, розраховані за даними статей балансу поточних операцій, показують результат зовнішньоторговельних операцій (перевищення експорту або імпорту) та абсолютний розмір різниці між експортом та імпортом.[15]
Індекс «умови торгівлі» — відношення експортних цін країни до її імпортних цін.
Якщо індекс розраховується щодо великої сукупності товарів, то він визначається як співвідношення індексів експортних та імпортних цін. Для цього розраховується індекс експортних цін (в одиницях національної або іншої валюти):
Остаточно індекс «умови торгівлі» розраховується як співвідношення двох індексів:

де І у.т. — індекс «умови торгівлі»;
Рх — індекс експортних цін (в одиницях національної або іншої валюти);
Рт — індекс імпортних цін.
Індекс «умови торгівлі» дає важливу інформацію для оцінки змін у зовнішній торгівлі країн, але використовувати його доцільно тільки в сукупності з даними щодо обсягів торгівлі та причин коливання (зменшення або збільшення) експортних та імпортних цін.[12]
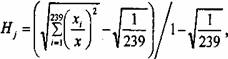
Індекс концентрації експорту (індекс Хіршмана) — застосовується у світових зіставленнях і показує, наскільки широкий спектр товарів експортує країна. При 239 класифікованих видах продукції (за методологією ООН), він має вигляд:

Нj — індекс концентрації експорту країни/ (j — індекс країни); 239 — кількість видів продукції за класифікацією ООН;
i — індекс товару (від 1 до 239); хі — вартість експортованих товарів країною. [2]
Коефіцієнт імпортної залежності країни — відношення обсягу імпорту певного товару до обсягу його споживання в країні. Імпортну залежність можна охарактеризувати як залежність країни від зовнішнього ринку в яких-небудь товарах або їх групах внаслідок відсутності в країні необхідних для виробництва потужностей, сировини, кваліфікованих кадрів або через причини економічного та політичного характеру.
Структурні показники розвитку міжнародної торгівлі характеризують експортні та імпортні товарні потоки за такими ознаками, як товарний склад і регіональна спрямованість.
Індекс диверсифікації експорту — це індекс відхилення товарної структури експорту країни від структури світового експорту. Використовується, як правило, для визначення розбіжностей У структурі зовнішньої торгівлі країн, експорт яких є достатньо різнобічним. Розраховується на базі абсолютного відхилення частки або іншого товару в експорті країни від його частки у світовому експорті. Для цього використовується формула:

Sj — індекс диверсифікації експорту країни;
hj — частка товару в загальному експорті країни у';
hij. — частка товару в загальному світовому експорті.
Хоча індекс і характеризує кількісну відмінність товарної структури експорту країни від структури світового чи регіонального експорту, але на його підставі не можна засвідчувати, що структура експорту однієї країни краща або гірша за іншу.
Недоліком даного показника є його значна залежність від кон'юнктури світових товарних ринків і насамперед від коливання цін на сировину. Навіть незначна їх зміна на окремі товари може суттєво вплинути на рівень індексу диверсифікації експорту країни.[12]
1.2 Поняття та методи торгової політики
Розвиток економічної політики визначається перетинанням об'єктивних закономірностей з економічними інтересами і цінностями на національному рівні. В останні десятиліття в цю орбіту усе більше утягують колективні інтереси економічних блоків. Слід зазначити, що тут може мати місце визначена протидія з боку окремих держав чи їхнього блоку, оскільки та чи інша національна, політика може ущемляти конкретні економічні інтереси. У такій ситуації необхідно орієнтуватися на баланс інтересів держав, що досягається шляхом компромісу чи взаємних поступок. Це визначає наявність альтернативних варіантів зовнішньоекономічної політики, серед яких центральне місце займають важелі тиску чи опору, а у випадку відсутності таких погроз - вибір інструментів, що дозволяють враховувати національні інтереси держав при проведенні зовнішньоторговельної політики.
В основу торгової політики, здійснюваної країнами світового співтовариства, покладені три основних напрямки: „Північ-Північ”, „Північ-Південь”, „Південь-Південь”. Торгова політика системи „Північ-Південь” являє собою вертикальну модель міжнародного поділу праці, де країна що розвивається здійснює вивіз усіх видів ресурсів, а ввозить техніку, продовольство і товари тривалого користування. Така модель взаємин відрізняється відсутністю взаємодоповнюваності економіки, що не властиво взаєминам країн системи „Північ-Північ” [15].
У будь-якому випадку, якщо мова йде про торгову політику Півночі чи Півдня, то варто мати на увазі, що вона проводиться в руслі зовнішньоторговельної чи міжнародний політики. При цьому перша з них являє собою цілеспрямований вплив держави на торгові відносини з іншими країнами. В другому ж випадку одержують відображень колективні інтереси груп країн, монополій, фінансово-торгових і інших угруповань. Світовий досвід здійснення такої політики заснований на принципах вільної торгівлі і протекціонізму.
Дослідження при цьому показують, що по тимчасовому параметрі підключення мір протекціонізму чи лібералізації торгівлі всі держави відрізняються одна від одної. Так, наприклад, ряд держав свої реформи починають із твердого курсу на керування політикою імпорту інші ж - з повної її лібералізації. Так, наприклад Південна Корея, Бразилія й інші країни спочатку створювали умови і надали ряд пільг для ввозу тих товарів, що використовувалися винятково для виробництва експортної продукції, а непричетний до експортного виробництва імпорт тих чи інших товарів або обмежувався, або заборонявся. Подібну методику використовував у своїй політиці Тайвань, де проводилася політика імпортозаміщення. Більш диференційовані прийоми спостерігалися в досвіді Малайзії, де обмеження встановлювалися в залежності від кількісних параметрів експорту тієї чи іншої продукції, що випускається фірмами чи виробленим підприємствами галузі.
Тим часом для ефективності торгової політики принципово важливий вибір шляху здійснення імпортозаміщення. Так, багато країн не рахували потрібним збільшити ступінь обробки експорту і вибрали екстенсивний шлях розвитку (Аргентина). Інші країни, наприклад Бразилія, пішли по шляху збільшення ступеня глибокої обробки власних товарів. В умовах мінливої кон'юнктури світового ринку аргентинський варіант став гальмом розвитку економіки, тоді як бразильський - локомотивом росту, оскільки із самого початку був націлений на застосування інтенсивного, а не екстенсивного способу розвитку народного господарства. Це означає, що результатом торгової політики, що проводиться з використанням першого чи другого методу, будуть різні наслідки в економіці в залежності від виборі цілей другого і третього порядку, точного визначена "точок росту" і вибору витратного або економічного варіанта реалізації реформи. Однак слід зазначити що в порівнянні з початковим етапом реформування економіки, сучасний період характеризується тим, що відкрито шлюзи для розвитку економіки, створені передумови для вступу в міжнародні економічні організації, підсилилися принципи регіоналізму. Вибір інструментів державного регулювання різними країнами може бути різний, часом обмежений. З цим стикаються в даний час і всі пострадянські держави на шляху вступу у Всесвітню Торгову Організацію (ВТО) під вагою тих зобов'язань, що були прийняті в рамках митних та інших угод [10].
Аналіз зовнішньоекономічної політики різних держав показує, що країни, які розвиваються, повинні йти по шляху раціонального включення національної економіки в складну систему мирогосподарських зв'язків. У зв'язку з цим їхня експортна політика повинна передбачати:
створення умов для розвитку експортних галузей чи орієнтацію галузей на експортне виробництво;
оцінку доцільності розвитку тих чи інших галузей і прийняття програми згортання тих, котрі не можуть конкурувати з імпортним виробництвом;
митний захист, фінансове і фіскальне стимулювання; створення інших зручних умов і надання пільг для їхнього функціонування, якщо та чи інша галузь має потенціал, що забезпечує в перспективі ту чи іншу нішу на світовому ринку, але до дійсного часу в неї немає можливості для її реалізації.
Це викликає необхідність оптимізації промислової політики: захистити галузі, що переживають інтенсивну модернізацію; налагодити випуск таких товарів, що не виробляються в даній країні; стимулювати імпорт товарів, без яких не можуть функціонувати пріоритетні галузі виробництва.
Методичні прийоми при здійсненні експортно-імпортної політики повинні ретельно відбиратися в залежності від конкретного товару; ситуації, що склалася в його виробництві; місця його в структурі внутрішнього національного ринку й експортних постачань країни; перспектив у міжнародному поділі праці. При цьому той чи інший обраний інструмент служить або протекціоністському режиму, або режиму лібералізації. Перший з названих режимів у своїй життєдіяльності обмежений тимчасовими параметрами і в міру досягнення мети може бути ослаблений, або цілком припинений.
Галузі з постійно зростаючими експортними позиціями, як правило, є об'єктами пріоритетів в інвестиційній політиці. При цьому протекціоністські режими з боку міжнародних економічних організацій і розвитих держав можуть випробувати стосовно себе протидію. Відповідно, відзначена вище процедура виконання тих чи інших операцій повинна установити баланс інтересів шляхом застосування взаємних поступок. Оскільки будь-яка держава, що розвивається, буде зазнавати утиску істотних важелів, то як відповідні міри повинна мати у своєму розпорядженні достатні варіанти для їхнього маневрування. Така постановка концепції інтеграції в мирогосподарські зв'язки може забезпечувати послідовні зміни статусу сировинного придатка на повноправного партнера.
При здійсненні імпортної політики, як правило, використовується наступна методика: аналізується національний потенціал у виробництві товарів; визначається місце його в структурі національної економіки; аналізуються тенденції світового ринку.
У випадках розбалансованості платіжного балансу, зниження ефективності експорту, необхідно використовувати широкий арсенал інструментів, що забезпечують протекціоністський режим. При досягненні тієї чи іншої конкретної мети і ступеня захищеності цей інструментарій заміняється іншими мірами і регуляторами, що переслідують наслідки іншого якісного порядку, зокрема, "знаходження точок росту". Такий приклад широко відомий і має місце як у Латинській Америці, так і в Східній Азії, коли усвідомлення необхідності підвищення економічного розвитку націлювало держави на прийняття довгострокових програм розвитку перспективних секторів економіки. Необхідність структурної реконструкції обумовлювала пріоритетність інтенсивної модернізації в ряді галузей, що мали потребу в протекціоністському захисті держави. Однак використання таких регуляторів повинно застосовуватися в розумних межах. Багато держав забезпечували лібералізацію імпорту не всіх товарів, а лише стратегічно важливих для розвитку пріоритетних галузей.
Слід зазначити, що міри, використовувані в торговій політиці, синхронно повинні підключити регулятори інвестиційної, митної, валютної й іншої політики [7].
Серед засобів торгової політики особливу роль відіграють торгові регулятори, що контролюють процес ввозу, вивозу товарів із країни і транзитні потоки, що слідують по даній території. З врахуванням цього держава стягує непрямі податки, іменовані митом. Основним засобом митного протекціонізму при цьому служать ввізні мита, називані фіскальними, котрі переслідують такі цілі, як поповнення доходів держбюджету (споживчі товари); створення бар'єрів для проникнення іноземних товарів і запобігання експансії на ринках. Ці мита, іменовані протекціоністськими, сприяють підвищенню цін на внутрішньому ринку і можуть використовуватися для захисту незміцнілих галузей народного господарства, фінансування демпінгу, в інтересах монополій, а іноді як резерв для поступок при одержанні пільг для свого експорту. Вивізні мита стягуються державами з місцевих товарів при вивозі їх за кордон у двох випадках: а) коли держава прагне обмежити їхній вивіз із країни; б) в умовах злету цін на світових ринках, куди експортуються дані групи товарів.
Транзитні мита стягуються при русі іноземних товарів через митну територію і можуть мати наступні форми: дозвільні, гербові, пломбіровочні, статистичні й ін.
По способах обкладання мита підрозділяються на специфічні (у залежності від ваги, обсягу товару); мита з ціни; мита змішаного типу. Необхідно відзначити і широкий розподіл їх по способі встановлення: державною владою самостійно (автономні) і укладання торгових угод з іншими країнами (конвенційні чи договірні).
У своїй практиці багато держав можуть використовувати пільгові мита (преференційні) для деяких товарів чи всіх визначених країн, що не можуть поширюватися в торговій політиці з іншими країнами. Поряд з ними в досвіді торгової політики можуть бути використані мита антидемпінгові і каральні. Перші застосовують як протидіючу міру по форсуванню експорту шляхом торгового і валютного демпінгу, коли країна вводить спеціальні компенсаційні й антидемпінгові мита понад звичайні мита. В другому випадку має місце репресивна мотивація за ту чи іншу дискримінацію, недружні акти у відношенні тієї чи іншої держави.
Систематизоване зведення ставок мита на товари, що підлягають обкладанню, безмитно ввезені чи що вивозяться, іменується митним тарифом. При цьому слід зазначити, що в межах одного і того ж різновиду товару використовується значна кількість різних оподатковуваних позицій, що і складає поле діяльності для ведення переговорів між країнами. Найчастіше та чи інша країна по тим чи іншим позиціям робить поступки замість зустрічних пільг, не торкаючи інші позиції. Це привело до необхідності виділення простих і складних тарифів [14].
У залежності від торгово-політичних ситуацій мають місце і нетарифні інструменти. Ці міри можуть бути класифіковані в наступні групи:
спрямовані на пряме обмеження імпорту (квоти, ліцензії, компенсаційні збори, імпортні депозити, антидемпінгові мита);
адміністративного типу, опосередковуючі процес обмежень у зовнішній торгівлі (митні формальності, технічні, санітарні норми, стандарти, вимоги до упакування, маркуванню) та інші.
Вищевикладене дозволяє ці бар'єри підрозділити на економічні, адміністративні і валютно-фінансові. Зокрема, до бар'єрів економічного характеру відносяться антидемпінгові міри (антидемпінгове мито), компенсаційне мито (наявність фактів субсидування експорту), компенсаційні збори, що дорівнюють різниці між низькою ціною даного товару за кордоном і високою ціною на внутрішньому ринку.
До бар'єрів адміністративного характеру можна віднести ембарго - заборона імпорту (пряма чи непряма заборона), кількісні обмеження (квоти), ліцензування, що вимагає одержання спеціальних дозволів на постачання товарів. У світовій практиці існує різний режим увозу тих самих товарів з різних країн у силу того, що квоти можуть носити в собі елемент дискримінації і при цьому бути індивідуальними, тарифними, сезонними чи глобальними. Їхнє використання переслідує різні цілі, у тому числі організацію контролю за рухом того чи іншого товару, захист національного виробництва, для стримування безробіття, поліпшення платіжного балансу. Особливе місце в систем квотування можуть мати угоди про „добровільне” обмеження експорту, що застосовуються до галузей які знаходяться в кризовій ситуації. Крім того, варто мати на увазі, що квоти можна підрозділяти по способу формування, по вибірковості товарів і країн, сезонності і т.д. Звичайно вони розподіляються на основі ліцензій, що дозволяють безперешкодний ввіз чи вивіз товару протягом тривалого періоду часу чи може носити характер одноразового дозволу [10].
У ряді випадків багатьма державами деякі компанії наділяються виключними правами здійснювати імпортно-експортні операції, що створює умови для формування державних монополій. До адміністративних бар'єрів, крім того, варто віднести технічні міри і спеціальні вимоги (стандарти, система специфікації, техніка безпеки, інспекція якості товарів і т.д.).
Розділ 2. Особливості товарної структури зовнішньої торгівлі України
2.1 Аналіз міжнародних торгових взаємовідносин України
Україна належить до країн із високою експортною квотою у валовому внутрішньому продукті (ВВП). В середньому кожний третій український продукт або послуга реалізуються за допомогою зовнішніх економічних зв'язків, що відіграють помітну роль у національній економіці та істотно впливають на темпи і пропорції економічного зростання, на створення конкурентного ринкового середовища і на весь системний трансформаційний процес.
Ключові проблеми розвитку зовнішньої торгівлі України пов'язані з диверсифікацією її геополітичних або регіональних пріоритетів, з оптимізацією структури експорту й імпорту, з гармонізацією національного законодавства відповідно до вимог і норм СОТ.
Стратегічна мета полягає в реалізації у світовій економіці порівняльних і конкурентних переваг України, що об'єктивно існують у різних галузях її господарства і можуть знайти практичне втілення в діяльності українських підприємств і фірм на міжнародній арені.
Важливого значення набуває також необхідність враховувати різну фактороінтенсивність українських товарів і послуг порівняно з закордонними, цінові та інші відмінності, що формують конкурентні переваги національних економік у міжнародній торгівлі.
Зовнішньоторговельний обіг товарів та послуг у 2004 р. становив 33,4 млрд дол. США, збільшившись порівняно з 2003 р. на 18,5 %. Експорт зріс на 18,8 %, імпорт - на 18,2 %, їх обсяги становили відповідно 18,1 та 15,3 млрд дол. США.
Таблиця 2.1
Зовнішньоторговельний баланс (млн.. дол. США)
|
Показник |
2002 |
2001 |
2002 |
2003 |
2004 |
|
Експорт |
19147,4 |
18970,3 |
16457,2 |
15195,5 |
18059,3 |
|
У тому числі: |
|||||
|
товари |
14400,8 |
14231,9 |
12637,4 |
11581,6 |
14572,5 |
|
послуги |
4746,6 |
4738,4 |
3819,8 |
3613,9 |
3486,8 |
|
Імпорт |
18807,9 |
18546,3 |
16106,5 |
12959,3 |
15106,9 |
|
У тому числі: |
|||||
|
товари |
17603,4 |
17128,0 |
14675,6 |
11846,1 |
13956,0 |
|
послуги |
1204,5 |
1418,3 |
1430,9 |
1113,2 |
1150,9 |
У таблицях 2.2, 2.3, 2.4 наведено деякі дані, що характеризують динаміку розвитку зовнішньої торгівлі та її структуру.
Таблиця 2.2
Динаміка розвитку зовнішньої торгівлі (2004р., у % до 2003)
|
Показник |
Експорт |
Імпорт |
|
Усього товарів і послуг |
118,8 |
116,6 |
|
Країни СНД |
120,6 |
118,3 |
|
Інші країни світу |
117,8 |
114,6 |
|
Товари |
125,8 |
117,8 |
|
Країни СНД |
138,3 |
119,2 |
|
Інші країни світу |
121,0 |
115,9 |
|
Послуги |
96,5 |
103,4 |
|
Країни СНД |
95,1 |
91,2 |
|
Інші країни світу |
98,7 |
106,7 |
Таблиця 2.3
Структура зовнішньої торгівлі України (%)
|
Показник |
Експорт |
Імпорт |
||||
|
2000 |
2003 |
2004 |
2000 |
2003 |
2004 |
|
|
Усього |
100 |
100 |
100 |
100 |
100 |
100 |
|
У тому числі: |
||||||
|
країни СНД |
56,8 |
36,2 |
36,8 |
61,3 |
53,9 |
53,9 |
|
інші країни |
43,2 |
63,8 |
63,2 |
38,7 |
46,1 |
46,1 |
|
Товари |
100 |
100 |
100 |
100 |
100 |
100 |
|
У тому числі: |
||||||
|
країни СНД |
51,4 |
28,1 |
30,9 |
63,5 |
56,9 |
57,6 |
|
інші країни |
48,6 |
71,9 |
69,1 |
36,5 |
43,1 |
42,4 |
|
Послуги |
100 |
100 |
100 |
100 |
100 |
100 |
|
У тому числі: |
||||||
|
країни СНД |
73,2 |
62,3 |
61,4 |
28,6 |
21,2 |
18,7 |
|
інші країни |
26,8 |
37,7 |
38,6 |
71,4 |
78,8 |
81,3 |
Таблиця 2.4
Товарна структура зовнішньої торгівлі (%)
|
Показники |
Експорт |
Імпорт |
||||
|
2000 |
2003 |
2004 |
2000 |
2003 |
2004 |
|
|
Усього |
100 |
100 |
100 |
100 |
100 |
100 |
|
З них: |
||||||
|
живі продукти та продукція тваринництва |
4,1 |
2,4 |
2,5 |
1,8 |
1,6 |
0,8 |
|
продукція рослинного походження |
6,0 |
6,2 |
2,5 |
1,4 |
1,6 |
2,2 |
|
жири і масла тваринного та рослинного походження |
1,3 |
1,0 |
1,7 |
0,2 |
0,6 |
0,4 |
|
продукція харчової промисловості |
9,7 |
2,7 |
2,8 |
4,8 |
3,7 |
3,1 |
|
мінеральні продукти |
8,6 |
10,1 |
9,6 |
49,9 |
47,3 |
46,9 |
|
продукція хімічної галузі |
11,6 |
9,3 |
10,6 |
5,8 |
6,7 |
6,4 |
|
пластмаси і каучук |
2,8 |
1,6 |
1,7 |
4,4 |
4,3 |
4,5 |
|
текстиль та текстильні вироби |
2,7 |
3,9 |
3,7 |
2,8 |
4,0 |
4,0 |
|
неблагородні метали та вироби з них |
33,1 |
42,1 |
44,4 |
4,5 |
3,5 |
4,9 |
|
машини, устаткування, телеапаратура |
9,8 |
7,9 |
9,3 |
13,7 |
13,0 |
13,9 |
|
засоби наземного, повітряного та водного транспорту |
4,4 |
3,6 |
3,0 |
3,2 |
4,5 |
3,6 |
Покращання показників зовнішньої торгівлі у 2004 р. пов'язане, у першу чергу, зі збільшенням обсягів торгівлі з основним торговельним партнером - Російською Федерацією, обсяги торгівлі товарами та послугами з якою у відношенні до 2003 р. зросли на 11,7 %, у тому числі експорту - на 21,9 %.
За даними Держкомстату України, в І півріччі 2005 р. обсяг експортних поставок в Росію становив 27,2 % від загального об'єму експорту, в Італію - 5,2 %, Туреччину - 4,4 %, Німеччину - 4,3 %, Китай - 3,6 %, США - 3,2 %, Польщу -3,1 %..
Найбільші імпортні надходження виконувались з РФ - 38 %, Тур-кменістану - 10,8 %, Німеччини - 8,2 %, Казахстану - 4,6 %, Білорусі - 3,1%, США - 2,9 %, Італії - 2,6 %.
Загальний обсяг зовнішньої торгівлі товарами в І півріччі 2005 р. становив 15 426,2 млн дол. США та збільшився порівняно з І півріччям 2004 р. на 14,4 %, в тому числі експорт, який становив 8009,8 млн. дол.. США (збільшився на 21,7 %), імпорт - 7416,4 млн. дол. США (збільшився на 7,4 %).
В загальному обсязі експорту товарів за І півріччя 2005 p., порівняно з І півріччям 2004 p., збільшилась частка виробів з чорних металів з 3,5 % до 4,9 %, молока та молочних продуктів - з 0,6 % до 1,8 %, механічних машин та обладнання - з 5,3 до 8,2 %, інструментів - з 0,1 % до 1,4 %, масляних насінь та плодів - з 1,1 % до 1,5 %. Разом з тим, зменшилась частка чорних металів - з 37,5 % до 31,4 %, продуктів неорганічної хімії - з 4,7% до 3,8 %.
У загальному обсязі імпорту товарів збільшилась частка механічних машин та обладнання з 9,2% до 10,9%, фармацевтичних продуктів, включаючи медикаменти - з 1,4 % до 2,1 %, чорних металів - з 1,4 % до 2 %, засобів наземного транспорту, крім залізничного - з 3 % до 3,4 %, паперу та картону - з 2 % до 2,6 %. Зменшилась частка мінерального палива, нафти та продуктів її переробки - з 45,4 % до 40,2 %, руди, шлаків та золи - з 3,1 % до 2 %.
Україна здійснювала у 2005 р. зовнішньоторговельні угоди послугами зі 175 країнами-партнерами. Найбільшу частку в загальному обсязі українського експорту займали транспортні послуги (84,6 %), імпорту - державні послуги (45,4 %), послуги транспорту (17,8 %), ділові, професійні та технічні послуги (12 %) та послуги зв'язку (8,9 %).
Порівняно з І півріччям 2004 р. експорт послуг скоротився на 12,9 млн. дол. через зменшення обсягів ділових, професійних і технічних послуг - на 18,7 млн дол. (на 17,8 %) та будівничих послуг - на 8,0 млн дол. (на 44,9 %). Одночасно зросли на 7,1 млн дол. (на 32,5 %) послуги турфірм, на 2,2 млн дол. (на 23,2 %) - фінансові послуги, на 1,6 млн дол. - транспортні послуги (0,1 %), зокрема повітряного транспорту на 13,9 млн дол. (на 14,3 %), залізничного транспорту на 16,7 млн дол. (на 11,6 %), річкового транспорту та допоміжних транспортних послуг на 20,8 млн дол. (на 25,2%).
Майже дві третини експорту послуг (1056,7 млн дол.) припадає на країни СНД, у тому числі 96,5 % - на РФ. Обсяги послуг, наданих країнам СНД, в І півріччі 2001 р. зменшились на 2,7 млн дол. (на 0,3 %), в тому числі Туркменістану - на 7,6 млн дол. (81,3 %), Азербайджану - на 1,8 млн дол. (на 51,3 %). Одночасно зросли обсяги наданих послуг Російській Федерації - на 6,1 млн дол. (на 0,6 %), Казахстану - на 1,3 млн дол. (на 58,7 %).
2.2 Зовнішньоторговельна стратегія України
Стратегічна програма розвитку зовнішньоекономічних відносин України має базуватися на забезпеченні її суверенітету в світогосподарських зв'язках, гарантуванні її національної зовнішньоекономічної безпеки. Вся розгалужена сукупність зовнішньоекономічних зв'язків повинна ґрунтуватися на еквівалентному, взаємовигідному обміні, міжнародному поділі й кооперації праці. Взаємодія зі світовим господарством має спиратися на комплексну, гнучку і динамічну державну зовнішньоекономічну політику, в основі якої - максимальна господарська свобода безпосередніх виробників, експортерів товарів і послуг. Не менш важлива відкритість економіки для широкої і взаємовигідної участі в регіональних та світових господарських і валютно-фінансових системах і структурах.
На підставі цього можна сформулювати головні елементи системи зовнішньоекономічної стратегії України, яка, на наш погляд, має містити:
створення потужного експортного сектору;
зміцнення і забезпечення конвертованості національної валюти;
залучення іноземних інвестицій на основі створення СП, вільних економічних зон, інших форм спільного підприємництва з іноземним капіталом;
лібералізацію імпорту;
здійснення закордонної підприємницької діяльності;
формування розгалуженої системи зовнішньоекономічного менеджменту (банки, біржа, страхові компанії, консалтинг, аудит, лізинг і т.д.);
гнучку податкову, цінову, депозитну, кредитну, фінансову і валютну політику, що стимулює диверсифікацію експортно-імпортних операцій;
поступову інтеграцію економіки в європейські і світові господарські об'єднання та організації;
кадрове забезпечення зовнішньоекономічної діяльності. Головне завдання полягає в тому, щоб визначити етапи, напрямки, форми і способи реалізації зовнішньоекономічної стратегії.
Серед пріоритетів у розвитку експортного сектору варто назвати, в першу чергу, високотехнологічні, наукомісткі галузі машинобудування (верстати, літаки, ракети, судна, прилади, побутову техніку), порошкову металургію, надтверді матеріали, кераміку, електрозварювальне виробництво. Техніка і технологія в цих і деяких інших галузях досягають світового рівня, що значно полегшує проблему пошуку й освоєння власної ніші на світових товарних ринках.
Другу групу пріоритетних галузей може скласти агропромисловий комплекс, спрямований, у першу чергу, на країни СНД і партнерів із числа країн, що розвиваються. Серйозні соціально-економічні й структурні перетворення на селі спроможні перевести сільське господарство і виробництво продовольства в розряд високоефективних галузей, що будуть визначати, поряд з іншими, експортний профіль країни в системі міжнародного поділу праці [5, 10].
Патентно-ліцензійна торгівля, ноу-хау, інжиніринг, різноманітні послуги, особливо туризм, можуть стати третім напрямком при формуванні експортного сектору України. За умови створення належної виробничої, соціальної і зовнішньоекономічної інфраструктури Україна може реально і стабільно підключатися до найбільш динамічних і вигідних позицій світової торгівлі.
Видобувна і металургійна галузі промисловості формують четвертий пріоритетний блок експортного сектору. Кольорові метали, уран, вугілля, сталь і прокат користуються постійним попитом на світових ринках і спроможні при кардинальній реконструкції металургійних заводів, рудників і шахт підсилити експортний потенціал України.
Зокрема, важливим є експортний потенціал чорної металургії. Сьогодні Україна не тільки входить до першої п'ятірки країн - виробників сталі, але й виробляє її більше за всіх на душу населення. Потужна металургійна база, очевидно буде залишатися однією з головних складових експортного сектору України, надаючи можливість реалізувати на світовому ринку наявні переваги кваліфікованої, відносно дешевої робочої сили, власних природних ресурсів, розміщення виробництва, ефект масштабу, ліквідувати технологічний розрив у торгівлі з розвиненими країнами.
Нарешті, п'ятий пріоритетний напрямок пов'язаний із надзвичайно вигідним географічним положенням нашої держави. Транзитні перевезення вантажів, нафти, газу з євроазіатської частини на захід і з півночі на південь Європи і далі на Близький Схід аж до Африканського континенту можуть перетворитися на важливий канал валютних надходжень, що вимагає серйозних структурних перетворень у транспортній сфері, щоб підняти її до рівня світових стандартів.
Серйозною передумовою виходу України на світові ринки є забезпечення внутрішньоекономічної стабілізації (фінансової, бюджетної, цінової та ін.). Як показує досвід "старих" і "нових" індустріальних держав, в умовах демонетизації золота головною гарантією введення і підтримки валютної конвертованості є товарна конвертованість. Тільки за наявності потужного і всезростаючого потоку на світові ринки конкурентоспроможних товарів і послуг, що користуються постійним попитом, буде і відповідний попит на національну валюту, а значить і її конвертованість у валюти інших держав. Золотовалютні резерви відіграють допоміжну роль як чинник стабілізації національної валюти і регулювання її поточного курсу. Вирішальне значення має товарна інтервенція, завоювання надійних ніш на світових ринках товарів і послуг, технологій і капіталів. Важливе значення має залучення іноземних інвестицій - важливий додатковий чинник економічного відродження України, створення розвинутого експортного сектору. Основні принципи імпорту іноземного капіталу - надання закордонним інвесторам прав і можливостей, адекватних тим, якими користуються національні суб'єкти господарської діяльності, за винятком стартового періоду (2- 5 років), а також пільг, що надаються в спеціальних економічних зонах або у випадку включення СП у державні програми, що допускають відповідні пільги [7,11, 15].
Серед пріоритетів державної імпортної політики на перше місце необхідно твердо і однозначно поставити ввезення сучасної техніки і технології, ноу-хау, інжинірингових послуг. За умови об'єднання новітньої технологи з досить високим загальноосвітнім і фаховим рівнем українських працівників саме такий підхід дасть бажаний результат. Доцільною була б розробка державної програми технологічної модернізації виробництва на базі закордонних технологій із зазначенням джерел фінансування (внутрішніх і зовнішніх) та виділенням головних галузей економіки, що є визначальними в системі науково-технічного прогресу.
Другий важливий напрямок імпортної політики - охорона здоров'я, розвиток медичної промисловості, медичних закладів. Розвиток за участю закордонних галузей охорони здоров'я набуває першочергового економічного і соціального значення.
Третій напрямок містить у собі сукупність галузей продовольчого комплексу, харчової промисловості країни. Оснащення галузей харчової промисловості новітньою технікою і технологією, забезпечення умов надійного збереження сільськогосподарської продукції лежить в основі рішення продовольчої проблеми і створення необхідних експортних ресурсів продовольства.
Активізація закордонної підприємницької діяльності і створення розгалуженої системи зовнішньоекономічного менеджменту також сприяють активізації зовнішньоекономічних потоків. Теперішня зовнішньоекономічна політика України по суті є пасивною, тимчасовою, перехідною. Закордонна підприємницька діяльність може здійснюватися за наявності вільних капіталів, досвіду, підготовлених кадрів. Починати доведеться практично з нуля - зі створення за кордоном спільних підприємств і фірм за участю українського капіталу, відкриття філій банків, розвитку інших структур, що сприяли б просуванню товарів і послуг на світові ринки.
Заснуванням експортно-імпортного банку України покладено початок формуванню системи зовнішньоекономічної інфраструктури, її необхідно доповнити за рахунок комерційних банків, міжнародної фондової і товарної бірж, транснаціональних банків, консалтингових і аудиторських фірм, лізингових і венчурних підприємств тощо.
Ключовою ланкою зовнішньоекономічної стратегії є податкова, депозитна, цінова, кредитна, фінансова і валютна політика. Ніякі постанови і рішення не додадуть бажаної активності і господарської енергії ні внутрішнім товаровиробникам і експортерам, ні закордонним інвесторам і банкірам без створення в Україні сучасної системи оподаткування експорту, імпорту, прибутку спільних підприємств і т.д.
З огляду на досвід закордонних країн у стимулюванні експортних галузей, доцільно було б експортно орієнтованим виробництвам компенсувати податок на додану вартість при перетинанні товарами митних кордонів України, а також впровадити пільгові умови кредитування інвестиційних програм і проектів. Цінова політика вже зараз має орієнтуватися на зближення внутрішніх і світових цін, депозитна - на світові грошові ринки.
Зовнішньоекономічна стратегія передбачає вибір географічного середовища, в якому найбільш органічно досягається реалізація економічних інтересів. Найкращим економічним регіоном для України є європейський. Територіальна спільність, наявність зручних транспортних комунікацій, майже однакові історичні і духовні традиції, близькі рівні економічного і науково-технічного розвитку роблять його головним на цьому етапі формування і диверсифікації зовнішньоекономічних зв'язків України. На двосторонні зв'язки з окремими країнами Європи необхідні значно сильніші стимули з боку держави. Необхідно також наполегливіше шукати шлях до розвитку багатостороннього співробітництва з Європейським Союзом, Чорноморською економічною зоною. Не варто ігнорувати і багатосторонні структури, що створюються на принципово новій основі в країнах Східної Європи і СНД.
Варто враховувати, що механічне поновлення зв'язків із цими державами, подальше перебування в кризовому економічному просторі СНД, що перебуває в стані стагнації, здатне ще більше загострити економічні проблеми нашої держави, загальмувати процес подолання кризових явищ, уповільнити і так невисокі темпи радикальних економічних перетворень. Орієнтація на невимогливі, економічно, технологічно й інфраструктурно нерозвинені ринки СНД, рівень яких значно поступається ринкам індустріальне розвинених держав, призведе до консервації нашої економічної і технологічної відсталості, низької якості й невисокої конкурентоздатності українських товарів і послуг. Тому необхідний ретельний перегляд всієї сукупності економічних зв'язків із країнами СНД, оптимізація на основі критеріїв доцільності й ефективності, відповідності національним економічним інтересам України. Аналогічні вимоги мають стати підґрунтям економічного співробітництва України з переважною більшістю країн, що розвиваються [8].
Однією з головних рушійних сил ринкових перетворень в Україні є тісне співробітництво з індустріальне розвиненими державами. По-перше, саме в цих країнах накопичено великий досвід ринкового господарювання, що може бути використаний в Україні, пристосований, адаптований до її специфічних умов і реалій. По-друге, налагодження економічного співробітництва з цими країнами виводить українські товари і послуги на потужні, вимогливі й жорсткі сучасні ринки, конкуренція на яких змусить наших підприємців прагнути до якісно нового рівня виробництва з урахуванням витрат, якості, фактороінтенсивності, дизайну, маркетингу і т.ін. На цих ринках виробництво і зовнішня торгівля України в цілому мають перед собою світові орієнтири, що повинні сприяти прискоренню процесу органічного включення її економіки в господарські процеси і структури. Розширення і поглиблення контактів з індустріальне розвиненими державами, їхніми підприємцями і бізнесменами буде стимулювати поглиблення економічних реформ в Україні. По-третє, взаємодія із західними державами створює можливості одержання і прямої (цільової) фінансової підтримки для формування ринкової інфраструктури в Україні (мала приватизація, розвиток придатного підприємництва, підготовка і перепідготовка кадрів і т.ін.) та іноземних інвестицій, технологій, сучасного менеджменту, що вкрай необхідні в умовах ринкової трансформації економіки. Слід зазначити, що всі перераховані форми економічного спілкування тією чи іншою мірою знайшли своє втілення у практиці зовнішньоекономічних зв'язків України з розвиненими державами. Але це тільки перші кроки, і Україна потребує істотного посилення взаємодії з західним світом, помітного кількісного нарощування і якісного вдосконалення економічних взаємовідносин.
Розділ 3. Тенденції і суперечності розвитку зовнішньої торгівлі України
3.1 Перспективні економічні аспекти торгової політики
Активна зовнішньоторговельна політика може стати дієвим інструментом структурної перебудови економіки, підвищуючи ефективність і конкурентну спроможність національного виробництва. Більше того, сьогодні ми не бачимо альтернативи послідовної лібералізації зовнішньоекономічних зв’язків, якщо ми дійсно хочемо реформувати нашу економіку і зробити її складовою міжнародного розподілу праці. Саме лібералізація включить механізми ринкового ціноутворення, визначаючи структуру та обсяги виробництва. Важливим інструментом реструктуризації виробництва має стати конкуренція між національними та іноземними виробниками на українському ринку. Недосконалість українського законодавства (складність процедур відкриття та реєстрації нових підприємств, наявність значної кількості суперечливих нормативних документів з питань оподаткування, непрозорість процедури сертифікації), низький технологічний рівень підприємств, домінування політичних популістських гасел – виступають додатковими протекціоністськими бар’єрами як розвитку ділового співробітництва, так і впливу світового господарства на економіку України. Існуючий і підсилюючий захист внутрішніх виробників від зовнішньої та внутрішньої конкуренції в свою чергу консервує існуючу структуру економіки, а наявність бартерних та не грошових схем спотворює дію цінового механізму, що гальмує темпи реформувань. Тому лібералізація є необхідною умовою макро- і мікроекономічної стабілізації в Україні [14,15].
Зазначимо, що ціллю лібералізації зовнішньої торгівлі є розвиток наступних аспектів нового ринкового середовища:
реалізація економічної самостійності підприємств шляхом зниження ступеня економічного втручання держави;
встановлення зв’язку між внутрішніми та світовими цінами, що націлена на надання виробникам цінових сигналів, котрі дозволяють ефективно розподіляти ресурси і скористатись порівняльними перевагами країни;
включення вітчизняних виробників у конкурентну боротьбу на зовнішніх ринках, розвиток ринкових конкурентних середовищ.
Підкреслимо, що лібералізація зовнішньої торгівлі зовсім не означає відмову від участі держави у формуванні зовнішньоекономічної сфери. Навпаки, роль держави виходить на сучасний рівень, притаманний переважній більшості країн. Нова роль держави полягає у встановленні необхідної нормативної бази та інституційної структури, котра б підтримувала і гарантувала розвиток підприємництва та встановлення надійних партнерських зв’язків.
Очевидно, для того, щоб подолати успадковану та існуючу економічну та технологічну відсталість, необхідний перехід до нової моделі зовнішньоекономічної діяльності – виробничо-інвестиційної, тобто не просто розвитку торгівельного обміну, а швидше взаємодії з іноземними партнерами на всіх стадіях виробничого процесу. Український бізнес сьогодні міг б запропонувати Європі свої відносні переваги у первинній чи проміжній переробці, зміцнюючи співробітництво і покращуючи рівень інтеграції у світові та європейські потоки товарів, капіталу, технологій.
Проте, навіть у існуючій моделі експорт та імпорт сьогодні суттєво обтяжуються, крім тарифних, передусім нетарифними заходами, причому цей тягар зростає:
Індикативні ціни. Після того, як у 1996 році було скасовано більшість експортних квот, було зроблено спробу знову поставити експорт під адміністративний контроль за допомогою так званих індикативних цін (мінімальних експортних цін).
Валютний контроль. Адміністративний валютний контроль за виручкою був посилений після економічної кризи влітку 1998 року, що суттєво обмежило можливості експортерів використовувати свої валютні кошти, а для імпортерів введені обмеження доступу до придбання валюти.
Стандартизація та сертифікація. Імпортні товари підлягають складним і дорогим процедурам стандартизації та сертифікації, котрі не стільки захищають українського споживача, скільки створюють перешкоди на шляху торгівлі.
Внутрішні кордони. Навіть кордони між областями утворюють перешкоди для перевезення товарів. Ці “кордони” не мають ніяких правових підстав і створюють безліч торгівельних перешкод та сприяють поширенню корупції.
Нестабільність. У тарифному та нетарифному регулюванні в Україні часто проводяться зміни із зворотною силою, що примушує бізнес закладати підвищені ризики у ціну товару та послуг.
Одним із найактуальніших завдань на сьогоднішньому етапі розвитку України є припинення вивозу національного капіталу за її межі при здійсненні різноманітних експортно-імпортних операцій. За їхньою допомогою під виглядом міжбанківських міжнародних розрахункових операцій здійснюється розкрадання валютних коштів, ухилення від сплати податків, приховування валютної виручки тощо.
Найчастіше мають місце такі механізми експорту капіталів:
завищення контрактної ціни при імпорті товарів, техніки, технологій і послуг з виведенням різниці між контрактною і реальною ціною на зарубіжні рахунки учасників угоди;
заниження контрактної ціни при експорті продукції і послуг з виведенням різниці між реальною ціною купівлі і вказаною в контракті на зарубіжні рахунки експортерів;
вивіз капіталів шляхом організації фіктивної закупівлі імпорту чи неповернення коштів за експортовану продукцію;
проведення розрахунків за здійснювані в Україні угоди на зарубіжні рахунки учасників і посередників цих угод;
незаконний (контрабандний) вивіз за кордон валютних і матеріальних цінностей, технологічної і воєнно-стратегічної інформації.
Більшість країн світу, в тому числі - й високорозвинені, вживають протекціоністські заходи для захисту національної економіки. Зокрема, імпортне мито на тверді сири у Франції сягає понад 260 %, тоді як середньозважений рівень тарифів по всіх товарах - лише 7 %. Серед найбільш вдалих стратегій протекціонізму треба відзначити приклади Японії, Китаю [10].
Тарифне регулювання потребує дуже виважених підходів, бо повинно збалансувати взаємо протилежні принципи:
захисту вітчизняного виробника;
захисту вітчизняного споживача;
відкритості країни для імпорту з метою інтегрування її у міжнародний поділ праці.
При цьому воно не повинне руйнувати ринкового конкурентного середовища, яке стимулює науково-технічний прогрес і розвиток виробництва. Недостатня підтримка вітчизняних товаровиробників не дає змоги витримати напружену конкуренцію ззовні, а надмірний протекціонізм ставить виробника поза конкуренцією, не стимулює удосконалення та підвищення ефективності виробництва.
3.2 Напрямки удосконалення експортно-імпортного потенціалу України
В комплексі економічних заходів щодо стимулювання зовнішньої торгівлі України найбільш ефективним засобом є фінансове сприяння держави вітчизняним експортерам, в тому числі із залученням коштів державного бюджету, яке передбачає використання механізмів кредитування експорту, страхування експортних кредитів, надання державних гарантій. При цьому заходи щодо стимулювання експорту за рахунок коштів держбюджету повинні відповідати нормам і вимогам СОТ, що визначають прийнятий в світовій практиці порядок надання державної підтримки експорту, а також враховувати узгоджені умови майбутнього приєднання України до цієї авторитетної світової організації.
Враховуючи сучасний стан української економіки і актуальність проблем розвитку зовнішньоторговельного потенціалу країни, домінантними завданнями в галузі фінансового сприяння експорту є:
надання державою гарантійних зобов’язань щодо кредитних ресурсів, які залучаються уповноваженими банками для забезпечення обіговими коштами виробництв і організацій, орієнтованих на експорт своєї продукції;
надання державних гарантійних зобов’язань і страхування експортних кредитів від комерційних та політичних ризиків для забезпечення захисту експортерів.
В рамках подальшого розвитку і удосконалення механізму фінансової підтримки вітчизняних експортерів доцільно вивчити питання щодо можливості кредитування за участю держави орієнтованих на експорт науково-дослідних та експериментальних робіт, освоєння наукоємної і високотехнологічної продукції, закупівлі обладнання для розвитку експортного виробництва (кредити та тривалий період в залежності від терміну окупності проектів), а також кредитування виробництва експортної продукції з тривалим циклом виготовлення, включаючи закупівлю сировини і матеріалів, які не виробляються в Україні [15].
Серед інших напрямків фінансового сприяння, що можуть спричинити значний стимулюючий вплив на вітчизняний експорт, доцільно розглянути можливість застосування на практиці наступних заходів:
надання державних гарантій банкам, що фінансують експортні поставки на основі комерційного кредиту;
забезпечення гарантій щодо кредитів для участі в міжнародних тендерах та торгах;
страхування операцій з освоєння зовнішніх ринків;
надання зв’язаних кредитів країнам-імпортерам української продукції (як це практикують Ексімбанки Німеччини, Японії та інших країн).
Враховуючи хронічний дефіцит держбюджету, найбільш доцільним на сучасному етапі, на нашу думку, є здійснення, насамперед, заходів із стимулювання вітчизняного машинотехнічного експорту.
З метою організації системи страхування експортних кредитів і надання державних гарантій назріла потреба створення в країні спеціального експортно-імпортного товариства. Такі товариства з допомогою механізму перерозподілу ризиків серед страхових компаній (в т.ч. і закордонних) змогли б підвищити вірогідність повернення державних експортних кредитів, а також забезпечити поповнення власних коштів, які в майбутньому можна було б використати для експортного страхування в умовах обмеженої державної підтримки, а потім і взагалі без неї.
Одним із найважливіших напрямків підтримки експорту, особливо товарів з високим ступенем обробки, є використання важелів податкового регулювання. В зв’язку з цим в процесі удосконалення діючої податкової системи України в напрямку підсилення її стимулюючого впливу на вітчизняних продуцентів доцільно вивчити та апробувати можливі форми податкового заохочення експортерів для внесення відповідних коректив у існуючі законодавчі акти, в тому числі:
відміна ПДВ на вироби, що виготовляються з ліцензіями як для зовнішнього, так і внутрішнього ринку. Без цього, як правило, ліцензійна продукція машинобудування не стане конкурентоспроможною (в порівнянні з витратами виробництва у ліцензіара українське підприємство - ліцензіат несе додаткові витрати по сплаті ПДВ та мита на імпортні комплектуючі);
розробка комплексу заходів щодо зниження непрямого оподаткування експорту послуг і приведення механізму регулювання його у відповідність з вимогами СОТ;
звільнення експортерів від сплати податку на рекламу експортних товарів;
зниження розмірів державного мита при розгляданні в арбітражних судах позовів, пов’язаних з виробництвом та наступним експортом товарів і послуг.
В подальшому в міру покращання економічної ситуації в країні, з’явиться можливість вжиття ряд заходів, спрямованих на укріплення закордонної інфраструктури по збуту та обслуговуванню експортного устаткування (створення збутових фірм, ділерської мережі, сервісних центрів тощо).
Крім того, доцільно дослідити можливості стимулювання використання промислового устаткування для виробництва експортної продукції шляхом зниження ставки податку на майно чи за допомогою його часткової компенсації через зменшення інших обов’язкових платежів.
Враховуючи, що до вартості закордонних поставок обладнання та матеріалів входять значні транспортні витрати, які істотно перевищують міжнародні показники і призводять до зниження конкурентоспроможності української експортної продукції, необхідно продовжувати роботу щодо удосконалення існуючої системи транспортних тарифів [10, 15].
На сучасному етапі економічних перетворень важливого значення набувають цілеспрямовані зусилля держави щодо удосконалення нормативної бази, організаційного та іншого забезпечення експортної діяльності українських продуцентів.
З послабленням втручання держави у підприємницьку діяльність, в тому числі в сферу зовнішньої торгівлі, істотно збільшується роль посередницьких (неадміністративних) форм її участі в реалізації загальнонаціональних цілей і задач в цій галузі.
Проблема розвитку та реалізації зовнішньоторговельного потенціалу України вимагає також докорінного поліпшення інформаційного забезпечення зовнішньоторговельної діяльності. Першочерговим завданням в цьому напрямку є створення системи зовнішньоторговельної інформації. Для ефективного функціонування даної системи буде потрібно сформувати розгалужену мережу інформаційно-консультативних служб, які змогли б забезпечити оперативне надання зовнішньоторговельної інформації у зручній для клієнта формі.
Серед найбільш актуальних і перспективних проектів в галузі інформаційного забезпечення експорту можна виділити наступні:
створення Українського інформаційно-консалтингового центру сприяння експорту, в якому концентрувалася б повна база даних українських підприємств та їх торгових партнерів з питань комерційних заявок і пропозицій, нормативно-правових та законодавчих актів, з метою надання послуг суб’єктам господарської діяльності в сфері експорту;
створення Українського інформаційного центру СОТ щодо стандартизації, сертифікації і технічних бар’єрів у торгівлі;
створення і розвиток системи інформатизації щодо сучасних досягнень української та закордонної науки і техніки, передового виробничого і підприємницького досвіду з використанням можливостей науково-дослідних центрів та українських закордонних установ;
створення автоматизованої системи інформаційно-аналітичного забезпечення з питань зовнішньоторговельних зв’язків України з іншими країнами на основі запровадження аналітичних програмних систем нової генерації, які можна охарактеризувати як системи інтелектуального аналізу даних для підтримки аналітичних розробок.
Для підвищення конкурентоспроможності вітчизняної продукції на зовнішніх ринках великого значення набуває організація в країні ефективної системи сертифікації експортної продукції. Наприклад, як варіант, можна рекомендувати створення в країні державної інспекції з якості експортних товарів. Ця установа змогла б не тільки служити бар’єром на шляху проникнення недоброякісної продукції на зовнішні ринки, але і сприяла б випуску конкурентноспроможної продукції з урахуванням сучасних вимог іноземних споживачів до її якості. Важливим аспектом цієї діяльності є участь України в роботі міжнародних та регіональних організацій із сертифікації з метою взаємного визнання результатів іспитів експортованої продукції.
Очікуване приєднання України до СОТ буде сприяти створенню умов передбачуваності доступу вітчизняної продукції на зовнішні ринки, усуненню торгової дискримінації і застосуванню загально прийнятої правової бази для захисту інтересів українських експортерів за рубежем. Однак закордонні торговельні представництва України повинні різко активізувати свою роботу у напрямку моніторингу поточної ринкової кон’юнктури щодо українських експортних товарів на зовнішніх ринках з метою уникнення ускладнень торговельно-політичного характеру, а у випадках виникнення загрози застосування країнами-імпортерами захисних заходів - у посередництві та прямій участі в подоланні конфліктної ситуації з мінімальними втратами, в використанні дипломатичних каналів для захисту інтересів українських експортерів в разі дискримінації, в сприянні та врегулюванні торговельних суперечок.
При значній кількості антидемпінгових розслідувань відносно українських експортерів (як це сьогодні має місце з хімічною та металургійною продукцією) доцільно встановлювати тісні робочі контакти уповноважених державних структур конфліктуючих сторін, які дозволять запобігти ескалації конфлікту і введенню компенсаційних мит. При цьому в сучасних умовах потрібно активізувати діяльність щодо роз’яснення, переконання, а за необхідності і примушення вітчизняних експортерів додержуватися загальноприйнятих правил поведінки на світовому ринку і тим самим уникати багатьох торговельних суперечок та протидій українському експорту [9].
Крім того, назріла потреба створення в країні Центру сприяння доступу українських експортерів на зовнішні ринки, який виконував би юридично-консультативні функції і тим самим сприяв би українським експортерам в вирішенні проблем, з якими вони стикаються в роботі на зовнішніх ринках (антидемпінгові процедури, захисні та інші заходи), аналізував би умови угод та контрактів економічних операторів, що мають намір отримати доступ до національної системи кредитування і страхування експорту.
Ефективний захист національних виробників повинен ґрунтуватися на підтримці, у першу чергу, конкурентоспроможних вітчизняних підприємств обробної промисловості для накопичення ними фінансових ресурсів, навиків маркетингу й інших матеріальних і нематеріальних активів, важливих для виходу на зовнішні ринки. При такому підході захист внутрішнього ринку України виступає як важливий елемент національної експортної стратегії. У свою чергу, розвиток експортного потенціалу створює довгострокові стимули до модернізації і підвищення конкурентоспроможності національної економіки, що закономірно стає менш сприйнятливим до тиску імпорту.
Для реалізації запропонованого комплексу заходів щодо розвитку і реалізації зовнішньоторговельного потенціалу України будуть потрібні щорічні бюджетні асигнування, об’єми котрих доцільно визначати виходячи з існуючої світової практики, відкоригувавши їх з урахуванням сучасного стану української економіки і сформованої структури українського експорту.
Висновок
У сучасних умовах рішення проблеми розвитку й особливо ефективної реалізації можливостей зовнішньоторговельного потенціалу України залежить не тільки від економічної ситуації в країні, але і тісно пов'язано зі змінами, що відбуваються в світогосподарському середовищі. У цьому зв'язку при розробці експортної політики країни необхідно враховувати об'єктивні зміни в геоекономічній і геополітичній ситуації у світі, інтереси окремих країн-партнерів по зовнішньоекономічних зв'язках, міжнародні правові норми і правила торгівлі, конкурентні переваги своєї країни і її провідних підприємств, які активно беруть участь (або здатні брати участь) у світовому торгово-економічному співробітництві. Таким чином, успіх у реалізації експортного потенціалу може бути досягнутий лише при орієнтації галузевих комплексів і підприємств на випуск тих видів конкурентоспроможної продукції, особливо високих технологій і послуг, що зможуть знайти свої "ніші" на зовнішніх ринках. Останнє, по суті, обумовлює необхідність корінного відновлення основних фондів у стислі терміни, стимулювання розвитку наукоємних технологій, превалюючого випуску товарів із високим ступенем обробки. Зокрема, для випуску високоякісної конкурентоспроможної продукції, яка дозволить Україні хоча б "засвітитися" на світовому ринку, буде потрібно впровадити на початку ХХІ століття як мінімум 10-12 макротехнологій, що визначають у даний час потенціал 7-ми головних розвинутих країн. Без цього неминучі подальше старіння і деградація виробничого потенціалу країни, технологічний застій, а в кінцевому рахунку, - повна втрата конкурентоспроможності української продукції і сповзання України на периферію світового господарського розвитку.
Формування ефективного механізму розвитку і реалізації зовнішньоторговельного потенціалу країни потребує рішення ряду превентивних задач, а саме:
забезпечення функціонування механізмів кредитування і страхування експорту за участю держави, а також надання державних гарантійних зобов’язань щодо експортних кредитів;
погодження заходів, що приймаються в сфері зовнішньоекономічної діяльності, з цілями і задачами Національної програми, а при потребі проведення експертизи проектів законів та інших нормативних актів, виходячи з їх впливу на розвиток вітчизняного експортного потенціалу;
широке залучення українських ділових кіл до проведення спільних заходів щодо стимулювання експорту;
створення системи зовнішньоторговельної інформації і інформаційно-консультативних служб, що включали б їх регіональні і закордонні представництва;
організація оперативної роботи державних органів щодо активного просування української експортної продукції на зовнішні ринки та захист інтересів вітчизняних експортерів за рубежем.
Список використаної літератури
Буковинский А.Е „Теория международной торговли”. – М.:Дело, 2004. – 327с.
Бункина М.К. Национальная экономика: Учеб. пособие. – М.: Дело, 2003. – 272 с.
Власюк О.С. Модельний аналіз динаміки міжгалузевих цінових пропорцій в економіці України. – К.: НІСД, 2004. – 80 с. – (Сер. “Екон. стратегії”; Вип. 5).
Власюк О.С., Ямпольська І.Л. Зовнішня торгівля України: стан та прогноз. – К.: НІСД, 2004 – 63 с. – (Сер. “Наук. доповіді”; Вип. 49)
Гаджиев К.С. Геополитика. – М.: Междунар. отношения, 2002. – 384с.
Климко Г., Нестеренко В. та ін. Основи економічної теорії / Київ. Вища школа., 2002р.-328с.
Кокорін В. Конкурентоспроможність економіки України // Бізнес & Економіка – 2003 - №5.- с.9-11
Мадиярова Д.М. Стратегия формирования внешнеэкономической деятельности.- Алматы: Экономика, 2002. – 184с.
Михно І., Сіренко В. До питання про ефективність міжнародного товарообміну України з країнами СНД // Економіка України. – 2004. – № 2. – С. 80.
Новицький В.Є. Міжнародна економічна діяльність України. Підручник. Київ: КНЕУ, 2003. – 465с.
Паламарчук В. Важлива умова економічного зростання// Економіка України.- 2000.- №6, с.21-23
Ревенко А. Проблемы формирования национальной экономической безопасности Украины //Экономика Украины. – 2004. – № 11. – С. 15.
Ревенчук К. Проблеми іноземних інвестицій //Економіка України.- 2003.- №1, с.8-10
Розвиток зовнішньої торгівлі України та її економічна безпека /В.Г. Андрійчук, О.С. Власюк, А.І. Мокій, В.П.Титаренко; За ред. В.Г. Андрійчука: Моногр. – К.: НІСД, 2005. – 148 с. – (сер. “Екон. стратегії”; Вип. 4).
Філіпенко А., Шнирков О. Новий етап зовнішньоекономічних зв’язків України// Економіка України.- 2002.- №1, с.11-14
Хэрис, Дж. Мэнвилл. Международные финансы /Пер. с англ. – М.: Информ.-издат. дом “Филингъ”, 1999. – 296 с. – (Сер. “Экономика для практиков”).
www.uaie.com.ua - інформаційний сайт Української асоціації імпортерів і експортерів.