Экономическое развитие стран за послдение 5 лет (на примере Украины, Белоруссии, Казахстана и Узбекистана)
МИНИСТЕРСТВО ОБРАЗОВАНИЯ И НАУКИ РОССЙИСКОЙ ФЕДЕРАЦИИ
ФЕДЕРАЛЬНОЕ АГЕНТСТВО ПО ОБРАЗОВАНИЮ
ГОУВПО «РОССИЙСКАЯ ЭКОНОМИЧЕСКАЯ АКАДЕМИЯ им. Г.В. ПЛЕХАНОВА»
ФАКУЛЬТЕТ МЕЖДУНАРОДНЫХ ЭКОНОМИЧЕСКИХ ОТНОШЕНИЙ
Концептуально-теоретическая кафедра
Специализированная кафедра
кафедра мировой экономики кафедра статистики
Комплексная междисциплинарная курсовая работа
на тему: 5. Экономическое развитие стран за последние пять лет ( на примере Казахстана, Украины, Белоруссии и Узбекистана)
Проверили: Выполнили:
Москва 2007
Содержание
Введение
Экономическое развитие стран на примере Украины, Белоруссии, Казахстана и Узбекистана за последние 5 лет.
Общая характеристика экономического развития стран-участниц СНГ
Экономика Казахстана
Общая характеристика страны
Экономико-теоретический анализ развития страны за последние 5 лет
Экономика Украины
Общая характеристика страны
Экономико-теоретический анализ развития страны за последние 5 лет
Экономика Белоруссии
Общая характеристика страны
Экономико-теоретический анализ развития страны за последние 5 лет
Экономика Узбекистана
Общая характеристика страны
Экономико-теоретический анализ развития страны за последние 5 лет
Статистический анализ развития всех 4 стран за последние 5 лет.
Актуальность статистического анализа
Статистический анализ экономического развития Казахстана за последние 5 лет
Статистический анализ экономического развития Украины за последние 5 лет
Статистический анализ экономического развития Белоруссии за последние 5 лет
Статистический анализ экономического развития Узбекистана за последние 5 лет
Сравнительный статистический анализ экономики всех 4 стран
Выводы и заключение по полученным результатам статистического анализа
Заключение
Список использованной литературы
Введение
Пятнадцать лет назад, 25 декабря 1991 года, на карте мира появилось 15 новых независимых государств и новое межгосударственное образование - Содружество Независимых Государств, куда вошли 12 бывших советских республик, за исключением трех стран Прибалтики.
Лишившись государственного и хозяйственного каркаса, части еще недавно единой страны начали стремительно обособляться – под флаги более или менее откровенного национализма, ища поддержку со стороны более могущественных государств.
В последние 5-8 лет жизнь бывших республик стала проясняться. Одни страны встали на активный путь экономического развития и стабильности, другие же – до сих пор не определили верную стратегию своего развития. Но перед всеми государствами стали актуальными одни и те же проблемы поиска союзников, дополнительных источников роста и масштабных инвестиций на постсоветском пространстве. В результате объективно возник вопрос на лидерство – как региональное, так и глобальное (евразийское). Некоторые страны в качестве достойного консенсусного лидера видят только Россию и только с ней связывают надежды на урегулирование застарелых конфликтов в Приднестровье и Закавказье, другие же очень четко нацелились на Европейский Союз и Ближний Восток. Однако следует отметить тот факт, что старая советская имперская идеология, основанная на глобальном противостоянии двух систем, разрушилась, а новая идейная основа реинтеграции евразийского пространства пока не выработана.
А так как кризисы, периодически обрушивающиеся на отдельные страны или в целом на мировое сообщество,- неизбежная плата за недостаток внутренней и внешней интеграции и интернационализация хозяйственной жизни, включая ее составную часть – регионализацию (степень участия любой страны или группы стран в международных интеграционных процессах), является тем фактором, который определит будущую судьбу страны, то в полной мере можно предположить, что сегодня Россия заинтересована в максимальном усилении своих соседей, в их отказе от иждивенчества на российские ресурсы, взятии на себя максимальной ответственности за свои страны и безопасность своих регионов.
По словам президента Российской Федерации В. В. Путина «экономические интеграционные процессы в рамках СНГ должны идти исключительно на добровольной основе в соответствии с принципом суверенитета и при понимании полной и абсолютной выгоды для себя принимаемых решений».
Подтверждением этого стало формирование Таможенного союза России, Белоруссии, Казахстана и Киргизии. 6 января 1995 г. Развернулась работа по созданию союза, предусматривающего полное снятие ограничений во взаимной торговле, единые торговый режим и таможенный тариф, а также согласованные меры нетарифного регулирования в отношении третьих стран. Решением Межгосударственного Совета четырех стран (Беларусь, Казахстан, Кыргызстан, Россия) в феврале 1999 года Республика Таджикистан признана полноправным участником Таможенного Союза. В октябре 2000 года участники Таможенного Союза подписали Договор об учреждении Евразийского экономического сообщества. 25 декабря 2005 года к этой организации присоединился Узбекистан. В сентябре 2003 года четырьмя странами - Белоруссией, Казахстаном, Россией и Украиной было подписано соглашение о формировании ЕЭП (Единого экономического пространства).
С точки зрения общепринятой международной методологии статистики участники СНГ являются группой стран, которая идентифицирована как страны Центральной и Восточной Европы и Азии, и обычно делящаяся на группы:
Россия, Украина, Белоруссия, Казахстан, Узбекистан
Азербайджан, Грузия , Армения
Таджикистан, Туркменистан Киргизия, Молдавия
Мы рассмотрим первую группу, являющуюся ядром Содружества на примере четырех наиболее активных участников СНГ, активно участвующих в развитии стратегических отношений с Россией.
В связи с этим задачами данной курсовой работы являются:
Дать общую характеристику 4 стран-участниц СНГ
Рассмотреть экономическое состояние каждой из стран и ее положение на мировой арене.
Проанализировать динамику экономического роста стран за последние пять лет и показать достигнутый уровень развития
Рассмотреть тенденции дальнейшего развития стран.
Общая характеристика экономического развития стран-участниц СНГ.
Первое десятилетие независимости исключительно тяжело далось практически всем бывшим советским странам – усилилось отставание от развитых стран по эффективности производства, замедлились темпы экономического роста, и катастрофически снизился уровень материального благосостояния населения всех стран. Однако уже в 2000-2005 гг. страны-члены СНГ добились лучших сначала переходного периода коллективных экономических результатов. Впервые за прошедшее десятилетие во всех странах-членах СНГ был зарегистрирован положительный рост, что объяснялось главным образом повышением цен на газ и нефть. Согласно данным ЕБРР, по итогам 2005 года 6 стран (Эстония, Узбекистан, Белоруссия, Казахстан, Армения и Латвия) полностью преодолели трансформационный спад 90х гг, т.е. превысили уровень ВВП предкризисного 1989 года.
Как говорится в докладе ООН под названием «Мировое экономическое положение и перспективы, 2007 год» СНГ является одним из самых быстроразвивающихся экономических регионов мира. Причем это обусловлено не только увеличением мировых цен на энергоносители, но и ростом российской экономики, увеличением спроса на внутренние и импортные товары в России, что, в свою очередь, привело к расширению межгосударственной торговли в регионе. Экономика Содружества Независимых Государств опережает по темпам роста Евросоюз и Североамериканскую зону свободной торговли. По подсчетам, в 2006 году СНГ стал международной региональной организацией с самыми высокими темпами экономического развития.
В последние годы в странах Содружества наблюдалось дальнейшее закрепление тенденции относительной стабилизации, наметившейся в 2000 году. Это нашло свое отражение в росте основных макроэкономических показателей в 2006 году: ВВП, агрегированный темп роста которого составил 7,5%, выпуска промышленной и сельскохозяйственной продукции примерно на 9%, розничного товарооборота – на 15%, инвестиций в основной капитал на 19%, оборота внешней торговли на 12%. В большинстве стран отличалось относительной стабильностью и финансовое положение. Государственные бюджеты сводились либо с профицитом, либо с небольшим дефицитом. Для ряда стран была характерна умеренная инфляция, поддержание достаточно устойчивых курсов национальных валют к доллару США, рост золотовалютных резервов. Макроэкономическая ситуация в государствах-участниках СНГ в настоящее время находится на довольно стабильном уровне, продолжается восстановительный рост.
Экономика Казахстана
Общая характеристика страны
Казахстан расположен на стыке двух континентов - Европы и Азии и является географическим центром европейско-азиатского субконтинента. Казахстан занимает площадь, равную 2 728 тыс. кв. км, и превышает по данному показателю Францию, Германию, Саудовскую Аравию и сопоставим с Аргентиной. На севере и западе граничит с Россией, на востоке с Китаем, на юге с Киргизией, Узбекистаном и Туркменистаном; на юго-западе омывается водами Каспийского моря. Более четверти территории страны занимают степи, половину - пустыни и полупустыни, остальную четверть - горы, моря, озера и реки. Численность населения страны на 1 января 2007 г. составила 15 млн 395 тыс. человек. В республике проживают представители более 120 национальностей, из которых 58% составляют казахи, 30% - русских, до 3,7% - украинцев, немцев до 2,4%, узбеков - 2,5%. Столица республики – Астана (с 10 декабря 1997).
Республика Казахстан – унитарное государство с президентской формой правления. Президент республики, являясь главой государства, избирается путем прямого, всеобщего, тайного голосования населения сроком на 7 лет. Высший законодательный орган страны – Парламент – состоит из двух палат - Сената (47 мест) и Мажилиса (77 мест, из которых 67 заполняются по мажоритарной системе и 10 - по партийным спискам). Выборы в нижнюю палату проводятся путем прямого, тайного и всеобщего голосования, а в Сенат - непрямого тайного голосования. Срок полномочий Сената - 6 лет, Мажилиса - 5 лет. Главой исполнительной власти в республике является Правительство. Важнейшие политические решения в государстве могут быть одобрены Президентом, Правительством и Парламентом республики. Основные принципы независимости и политического строя Казахстана были провозглашены в первой Конституции , принятой в январе 1993 г., и закреплены в новой Конституции, одобренной всенародным референдумом в августе 1995 г.В целях обеспечения неукоснительного выполнения Конституции Республики Казахстан создан Конституционный Совет. Верховный суд - высший юридический орган Республики по гражданским, уголовным и хозяйственным делам.
Официальный государственный язык – казахский, был провозглашен Конституцией 1993 года, однако русскому языку был придан статус языка межнационального общения. Это одна из единственных бывших советских республик, где все говорят на русском языке, но никто не посягает на казахское доминирование или суверенитет, где русским и другим нетитульным национальностям живется достаточно комфортно. Религия: Казахи традиционно являются приверженцами ханафитской школы суннитской ветви ислама, а русские исповедуют православие. Национальная валюта – тенге. Административно-территориальное деление: 14 областей и 3 города республиканского значение (Астана, Алма-Ата и Байконыр).
Экономико-теоретический анализ развития страны за последние 5 лет.
Во времена Советского Союза экономика Казахстана являлась индустриально-сырьевым придатком России, поэтому после распада СССР Казахстану досталась развитая промышленность (крупнейшая в России угольная ГРЭС-1, крупнейший медный комбинат, свинцово-цинковый комбинат, сталелитейный завод и т.д.), два десятка отстроенных крупных городов, транспортная инфраструктура, действующий космодромом Байконур и разведанные запасы меди, цинка, нефти и прочих полезных ископаемых. Но вся эта индустриально-инфраструктурная система совсем не была похожа на интегрированное хозяйство самостоятельной страны, т.к. потоки сырья и товаров шли главным образом в Россию, 80% предприятий были Союзного подчинения, а конечной обрабатывающей промышленности в Казахстане вообще было совсем мало. Резкое снижение спроса на традиционную продукцию тяжелой промышленности привели, начиная с 1991 г., к острому экономическому кризису, спад продолжался до 1994 г. Поэтому основной задачей Правительства в начале 90-х стало правильным образом распорядиться своим богатством. И у страны было несколько легких и весьма рискованных путей развития: стать средней руки нефтяным государством и в конечном итоге получить полную зависимость от транснациональных нефтяных компаний и США; либо путь экономики-сателлита, как сделали страны Прибалтики и Восточной Европы, но перспективных соседей у Казахстана не оказалось, учитывая собственный экономический потенциал. Итак, Казахстану удалось создать почти единственную на всем постсоветском пространстве внутренне непротиворечивую и целостную модель независимого экономического развития экономики – экономику сервисно-изотропного типа. Где изотропность означает, что в партнерских отношениях со своими соседями, особенно со странами, обладающими суверенными экономиками (Россией, Турцией и Китаем) никому не отдается предпочтение. Сырьевые ресурсы доступны всем – на правах конкуренции. Сервисность же такой экономики означает нацеленность не только на торговлю ресурсами, а на квалифицированное обслуживание крупных суверенных экономик. Сначала по линии тяжелой индустрии, потом, по мере накопления внутренних инвестиций, по линии более технологичных отраслей.
С точки зрения структурных реформ, Казахстан выбрал сингапурский вариант развития: быстрые экономические реформы, но неспешные реформы политические. Осуществление в 1995-1997 гг. правительством страны ряда экономических реформ и ускорение приватизации позволило в основном стабилизировать экономическое положение. Таким образом ключевые промышленные активы были приватизированы, и появился мощный индустриальный каптал. Для поддержания стабильного конкурентоспособного государства был необходим консенсус элит. Был выстроен «жесткий треугольник»: сильные финансово-промышленные группы, сильный президент и сильное государство.
Таким образом уже в 1996 году темп роста ВВП стал положительным и к концу 90х гг экономическая ситуация стабилизировалась. Основная ставка была сделана на резкое увеличение добычи нефти и ее экспорта за рубеж. Для этого у страны были все условия – разведанные еще в советское время крупные нефтяные месторождения и подкрепленные гигантскими финансовыми ресурсами предложения со стороны грандов мирового нефтедобывающего бизнеса. При этом, Казахстан не стал делать ставку на представителей какой-то одной страны, наоборот сейчас на казахстанских месторождениях работают как американские, британские, французские, китайские специалисты, так и российские.
Таким образом, проведенные жесткие, но результативные реформы позволили придать экономике страны поступательный характер. Если в 1995 году ВВП на душу населения составлял 1 052 доллара США, то уже по итогам 2005 году этот показатель составил 3 620 долларов. Средний темп роста ВВП за 200-2004 гг составил 10,3%. По итогам 2005 года – 9,4%. Трансформационный спад казахстанской экономики после развала СССР составил, как и в России, примерно 40%. А в 2004 году ВВП Казахстана превысил уровень ВВП 1991 года. В рейтинге экономической свободы, опубликованном в январе 2006 г., страна занимает 113 место, опередив Россию (122 место). Тем не менее, в обозримом будущем экономика Казахстана сохранит зависимость от работы топливно-энергетического сектора. Если в 2001 году доля ТЭКа в ВВП составляла 25,4%, то уже в 2005 году она превысила 50%. Поэтому, еще в 2002 году была поставлена задача сменить приоритеты в экономической политике и принять активные меры по диверсификации экономики, развитию производств с высокой добавленной стоимостью. Была разработана Стратегия индустриально-инновационного развития, которая выбрала 23 наиболее перспективных сектора экономики: нефтехимия, нефтегазовое машиностроение, переработка сельхозпродукции; планируется создание металлургические кластеров, центров переработки хлопка и других инновационных проектов.
Что же касается отношений Казахстана с Россией, то для России особенно важным оказывается вписаться в выбранную Казахстаном экономическую модель развития. Поэтому экономически оправданные инвестиции России в экономику Казахстана вполне оправданны. Тем более, что у России есть все шансы повлиять на развитие экономики Казахстана и изменить ее характер изотропного на анизотропный, в котором России будет отдано предпочтение. Первые шаги на встречу уже сделаны: Казахстан и Россия подписали учредительные документы о создании трёх совместных предприятий в области атомной энергии. Достигнуты договоренности об условиях закупки «Газпромом» казахстанского газа. Недавно в ходе официального визита Владимира Путина в Казахстан 9-10 мая 2007 года были обсуждены варианты транспортировки среднеазиатского газа в Европу. Москву не устраивает проект транскаспийского газопровода (импорт нефти и газа из юго-восточной зоны, в том числе из Казахстана и Азербайджана через Украину в Польшу и дальше в направлении Германии), который минует территорию России. Если Путин убедит коллег рассмотреть альтернативный вариант трубопровода, Москва существенно усилит геополитические позиции в регионе. В Астане также был подписан российско-казахстанский план действий на 2007-2008 гг., соглашения о создании международного ядерного центра и о создании в регионах торговых представительств двух стран. Были также обсуждены и вопросы, связанные с расширением казахской газотранспортной системы, совместные проекты по оптимизации маршрутов транспортировки природного газа. В РАО ЕЭС твердят о грядущем дефиците электроэнергии в России, компания анонсирует феноменальные инвестиционные планы по строительству новых станций. Но ведь у нас «под боком» - 2 ГВт свободной мощности экибастузской ГРЭС-1 и недостроенная ГРЭС-2 проектной мощностью в 4ГВт. Поэтому у России есть все мотивы и перспективы для развития стратегически партнерских отношений с Казахстаном.
Экономика Украины
Общая характеристика страны
Украина – государство Восточной Европы. Граничит с Россией, Белоруссией, Румынией, Молдовой, Польшей, Венгрией, Словакией. После принятия 24 августа Акта провозглашения независимости Украина стала самостоятельным государством. Государственный строй Украины – республика, с 28 июня 1996 года действует Конституция. Государственная власть в Украине осуществляется по принципу ее деления на законодательную, исполнительную и судебную. Главой государства является Президент, избираемый всеобщим голосованием сроком на 5 лет. Единым органом законодательной власти в Украине является парламент – Верховная рада Украины, кабинет Министров Украины является высшим органом в системе исполнительной власти, высшим судебным органом является высший Конституционный Суд Украины. Территория Украины делится на отдельные части - административно-территориальные единицы. Такими единицами являются 24 области, Автономная Республика Крым и два города центрального подчинения Киев и Севастополь с численностью населения около 2.7 миллионов человек и 390.1 тысяч человек соответственно. Киев является столицей Украины. Государственный язык – украинский, национальная валюта – гривна. Общая численность населения Украины составляет около 46 миллионов 590.4 тысяч человек, территория Украины - 603.7 тыс. кв. км. 80% жителей Украины составляют украинцы, остальные – русские, белорусы, евреи, крымские татары, молдаване, поляки и др. Основной религией является христианство, но исповедуются также иудаизм и мусульманство.
Экономико-теоретичекий анализ развития страны за последние 5 лет
Во времена существования Советского Союза Украина обладала мощным промышленным потенциалом, основу которого составляли хорошо развитые машиностроение, металлургия и металлообработка, а также ряд других отраслей. В период с 1992-1999 в украинской экономике наблюдалось падение производства во всех отраслях, а реальный ВВП страны сократился на 55.4%. И только в конце 1999 года был отмечен положительный рост экономики и с этого момента экономика Украины демонстрирует устойчивый рост. В 2000 году ВВП возрос на 5.9%, в 2001 году – на 9.2%, в 2002 году – на 5.2%. По мнению руководства Минэкономики Украины, динамика основных макроэкономических показателей в 2002 году замедлилась почти вдвое по сравнению с предшествующим годом. Это обусловлено в первую очередь неблагоприятной внешнеэкономической конъюнктурой рынка и низкими темпами модернизации экономики. В Украине были проведены экономические реформы либерального характера, но они не дали ожидавшихся позитивных результатов. Либерализация, приватизация, финансовая стабилизация в части монетарных и бюджетных ограничений не привели к повышению украинской экономики, к появлению новых факторов эффективного роста. Прирост промышленного производства в 2002 году составил около 7.0% (в 2001 году – 14.2%). При этом около 60% общего роста промышленности обеспечили отрасли, ориентированные на внутренний рынок. Так, наибольший рост наблюдается на предприятиях по производству кокса и продуктов нефтепереработки, что обусловлено стабильной работой нефтезаводов после продажи пакетов акций инвесторов, в частности российским. Далее следует деревообрабатывающая промышленность и машиностроение. На последнем месте металлургическая и легкая промышленность. Начиная со второго полугодия 2002 года улучшилась ситуация на внешних рынках. Украинские экспортеры получили конкурентные преимущества на мировых рынках ввиду девальвации гривны в условиях дефляции в Украине при значительном росте цен в странах – торговых партнерах. Кроме того, продолжался процесс диверсификации внешней торговли Украины и переориентации рынков сбыта. В частности, доля США и России в украинском экспорте сократилась, в то время как страны Азии, Африки и ЕС увеличили свою часть в структуре экспорта. Прирост экспорта товаров составил 7.9%, данное увеличение осуществлялось за счет улучшения внешних условий на рынках металлов и увеличения экспорта зерновых. В 2002 году практически не поднимались тарифы на электроэнергию, газ и коммунальные услуги, что стало одной из причин дефляции, которая составила 0.6%, несмотря на то, что в 2001 году инфляция составила 6.1%. Одной из основных причин дефляции Минэкономики Украины считали снижение цен на продовольственные товары на 2.3%, что было вызвано административным влиянием в начале года на местные органы для контроля за динамикой цен и ростом цен на сельскохозяйственную продукцию на 10%.
Президентские выборы, состоявшиеся в октябре — декабре 2004 года на Украине, несмотря на наличие многочисленных кандидатов, в принципе стали политической битвой между действующим (на момент выборов) премьер-министром Виктором Януковичем и бывшим премьер-министром и лидером оппозиции Виктором Ющенко. Выборы проходили в крайне тяжелой обстановке, характеризовавшейся массовыми нарушениями избирательного законодательства, обвинениями в подлогах и фальсификациях, запугиванием избирателей, крайней предвзятостью СМИ и даже попыткой отравления одного из основных кандидатов — Виктора Ющенко.
Согласно официальным данным второго тура, объявленным 23 ноября, выборы выиграл Янукович, однако Ющенко и его сторонники, как и многие западные наблюдатели, заявили о фальсификации результатов. Это привело к серьёзному политическому кризису и массовым акциям гражданского неповиновения, получившим название «Оранжевая революция». В результате Верховный суд Украины аннулировал результаты выборов и постановил провести повторно второй тур выборов в котором победил Виктор Ющенко. Янукович, занимавший пост премьер-министра Украины с 2002, пользовался поддержкой действующего президента Леонида Кучмы, а также Российской Федерации и её Президента Владимира Путина. Ющенко же считали прозападным кандидатом, которого поддерживали Евросоюз и США. Осень-зиму 2004 года связывают с политическим кризисом в Украине, в который были вовлечены не только ведущие политические и общественные деятели, политические партии и все ветви законодательной, исполнительной и судебной власти, но и также практически все население страны. Также в это время была проведена политическая реформа: внесение изменений в конституцию, которые ограничивали полномочия президента и передавали их парламенту с 1 января 2006 года. На протяжении всего 2005 года Украина испытала ряд шоков: помимо политического также имели место бензиновый, мясной, сахарный, реприватизационный. Вследствие этого в 2005 году отмечался спад в промышленности Украины, замедление темпов роста экономики, ухудшилась ситуация почти во всех отраслях промышленности. ВВП составил только 2.6% а промышленный рост только 3%. Ухудшилась ситуация с экспортом металлургической промышленности. Усилилась переориентация импорта с инвестиционных товаров на товары потребительского назначения. Но, несмотря на это, в 2006 году тенденции стали обратными. Усилился внешний спрос на мировых рынках, ускорился приток иностранных инвестиций. ВВП составил 7%, а промышленный рост 6%. Важно отметить, что с 1 февраля 2006 года, по решению США, Украина является страной с рыночной экономикой, что благоприятно повлияет на ее внешнеэкономические связи с другими странами. Черная металлургия – одна из стратегических отраслей для Украины, обеспечивающая наполнение торгового баланса. В последние годы черная металлургия демонстрирует рост, за последние 5 лет выручка в среднем на металлургических предприятиях увеличилась на 158%. На это в первую очередь повлиял рост цен на мировом рынке. Необходимо заметить, что в СНГ цены не всегда следуют за мировыми. Динамика цен в Украине не показательна и часто реагирует не на экономические, а на политические события в стране. В металлургическом секторе работают 14 металлургических комбинатов и заводов. Несмотря на огромное значение для страны, черная металлургия еще не раскрыла свой потенциал. В итоге в 2005 году металлургические предприятия заработали около 1 млрд. $ и эта цифра растет с каждым годом. Интересно также отметить, что Украина имеет огромный потенциал практически всех видов возобновляемых источников энергии. При желании в ближайшие 10 лет можно решить вопросы электроэнергии и теплоснабжения за счет энергии солнца, ветра, гидроэнергетических ресурсов и т. д.
В 2007 году за период с января по март реальный ВВП составил 8%, а номинальный ВВП – около 132252 млн. грн. ВВП на душу населения на конец 2006 года составил 6810$ США. Наибольший прирост валовой добавленной стоимости наблюдался в перерабатывающей промышленности – на 14.4%, строительстве – на 14.2%, торговле – на 14.1%. В первом квартале 2007 года прирост производства в промышленности составил 12.5%. Объем экспорта внешней торговли за январь-март составил 6618.2 млн. $ США . Среди главных торговых партнеров экспортные поставки больше всего выросли к Российской Федерации, Венгрии, Турции, Беларуси, Италии, Польше и Германии. Основу товарной структуры внешней торговли Украины составляют недрагоценные металлы и изделия из них, минеральные продукты, продукция химической отрасли, механическое и электрическое оборудование, транспортные средства и путевое оборудование. Объем импорта за январь-март 2007 года составил 7998.2 млн. $ США. К странам СНГ был экспортирован 34% всех товаров, к другим странам 66%, в том числе к странам ЕС – свыше 31%. Из стран СНГ импортирован 49% всех товаров, из других стран – 51%, в том числе из стран ЕС – почти треть. Российская Федерация остается наибольшим торговым партнером Украины. На 21 мая 2007 года курс официальный гривны к доллару США составляет 505.00 гривен за 100 долларов, к евро – 680.5885 гривен за 100 евро, к российскому рублю – 1.9536 гривен за 10 рублей.
Существующая экономическая модель обеспечивала в течение последних 5 лет динамичный экономический рост, однако во многом была сориентирована на использование имеющихся резервов, прежде всего свободных производственных мощностей, ценовой конкурентоспособности, особенно на протяжении 2004 года, и мировой экономической конъюнктуры. Однако эти резервы в настоящее время уже в основном исчерпаны. На пути дальнейшей трансформации Украине необходимо преодолеть долговой характер экономики, как во внутренних, так и во внешних экономических отношениях. В особенности неблагоприятным фактором является большая долговая зависимость Украины от внешних кредиторов (по состоянию на 31 декабря 2006 года общий объем государственного долга составил 66,897 миллиарда гривен), проведение таких политических реформ, которые позволят достичь стабильных темпов экономического роста в среднесрочной перспективе. Основной стратегической задачей на 2006-2010 года является восстановление основных показателей человеческого развития путем повышения занятости, оплаты труда, увеличения затрат на образование, здравоохранение. Также на период 2010-2020 года общество должно обеспечить выравнивание показателей социально-экономического развития Украины и стран Европейского Союза, а по некоторым показателям, в том числе показателям научно-технического развития, вполне возможно и опережение, поскольку сегодня по некоторым из них Украина отстает почти незначительно. Основными целями внешнеэкономической политики Украины являются вступление в ближайшее время в ВТО, а затем и в ЕС.
В 1990-е годы Россия, по существу, оказалась в зависимости от Украины с точки зрения своего энергоэкспорта, поскольку именно через украинскую территорию пролегал единственный газопровод из России в Западную Европу. Компания «Нафтогаз Украины», осуществлявшая транзит российского газа через украинскую территорию, накопила гигантскую задолженность перед «Газпромом» и занималась несанкционированным отбором российского газа. Для того, чтобы избавиться от транзитной зависимости от Украины, был осуществлён проект строительства газопровода Ямал — Европа в обход Украины — через Белоруссию и Польшу. В конце 1999 он был открыт. Российско-Украинские отношения осложнились тем фактом, что В декабре 2005 разгорелся конфликт в отношении цен на газ на 2006 для Украины. Россия потребовала с 1 января 2006 повысить цену с 50 долларов за 1 тыс. куб. м до 160 долларов, а затем, поскольку переговоры не привели ни к каким результатам, — до 230 долларов. Соглашение о поставках газа в 2006 году (по цене 95 долл.) было подписано лишь 4 января 2006. Новому премьер-министру Виктору Януковичу удалось договориться о сохранении этой цены до конца 2006 года, что он считал своей главной политической и экономической победой.
Недавно был согласован план действий межгосударственной комиссии Путин-Ющенко на 2007-2008 года, где стратегической задачей в отношениях дух стран было и остается обновление так называемого Большого Договора о сотрудничестве Украины и России, подписанный десять лет тому назад, в 1997 году. За истекший период накопились некоторые проблемы. В рамках комиссии Путин-Ющенко существует Экономический комитет, который, собственно, и должен заниматься подобными проблемами.
Также было обращено внимание на то, что российско-украинский товарооборот сегодня смотрится достаточно скромно на фоне общих для каждой страны показателей: 5,95% в 2005 году и 5,5% в 2006-м. Это связано с проблемой продажи мясомолочной продукции Украины в Россию, но несмотря на это Россия все равно остается главным торговым партнером Украины.
Экономика Белоруссии
Общая характеристика страны
Республика Беларусь расположена в центральной части Восточной Европы, в западной части Восточно-Европейской равнины. Граничит на северо-западе с Литвой, на северо-востоке – с Латвией, на северо-востоке и востоке – с Россией, на юге- с Украиной, на западе – с Польшей. Общая длина границ около 2969 км. Выхода к морю страна не имеет. Общая площадь Белоруссии составляет 207,6 тыс. кв. км. Столицей Белоруссии является Минск. Белоруссия—унитарное демократическое социальное правовое государство. Глава государства — президент. избираемый на пять лет непосредственно народом Республики Беларусь на основе всеобщего, свободного, равного и прямого избирательного права при тайном голосовании Государственная власть в стране осуществляется на основе разделёния её на законодательную, исполнительную и судебную. Законодательную власть осуществляет двухпалатный Парламент — Национальное собрание. Нижняя палата – Палата Представителей (110 депутатов), верхняя - Совет Республики (64 члена). Исполнительную власть осуществляет Правительство — Совет министров Белоруссии. Судебная власть принадлежит судам, судебная система строится на принципах территориальности и специализации. Конституция — основной закон Белоруссии. Ныне действующая конституция была принята Верховным Советом Республики Беларусь 15 марта 1994 года. В дальнейшем изменения и дополнения в Конституцию вносились три раза, путем референдума. На 1 января 2007 года в стране проживало 9.714.200 человек. 81% жителей Белоруссии – белорусы, 19% населения представляют более 140 национальностей, в том числе: 11%-русские; 3,9%-поляки; 2.,45-украинцы; 0,3%-евреи. Окол 80% населения исповедуют православие, 14% - католики, 2% - протестанты. Административно- территориальное деление: Беларусь имеет 6 областей с центрами в Минске, Бресте, Витебске, Гомеле, Гродно и Могилеве. Каждая область делится на районы, города и другие территориальные и административно-хозяйстве нные единицы.
Экономико-теоретичекий анализ развития страны за последние 5 лет
Белорусская экономика со времен СССР зиждилась на крупных специализированных предприятиях, которые выпускали в основном конечную продукцию и тесно зависели от кооперационных связей с предприятиями , расположенными в других регионах Советского Союза. После распада СССР у них была чрезвычайно высокая зависимость от импорта топливно-энергетических ресурсов, узость национального рынка, проблемы конверсии ВПК, занимающего высокую долю в промышленном производстве.
Но помимо проблем есть и факторы благоприятствующие динамичному развитию экономики страны. Это ее выгодное геоэкономическое положение, поскольку через Белоруссию проходят сухопутные транзитные пути, связывающие Россию, страны Центральной Азии и Закавказья с Европой. Кроме того, в республике сохранились относительно развитая коммуникационная инфраструктура, квалифицированная и относительно дешевая рабочая сила, достаточно высокий научный потенциал. Также у них развитый агропромышленный сектор. Наибольшее развитие получили такие отрасли промышленности как автомобилестроение, тракторостроение и сельскохозяйственное машиностроение, станкостроение и производство подшипников, электротехническая промышленность, добыча и переработка нефти, производство синтетических волокон, минеральных удобрений, фармацевтическая промышленность, производство строительных материалов, легкая и пищевая промышленности. Характерной чертой национальной индустрии является производство готовой продукции, большая часть которой поставляется на экспорт.
В 1993 году Белоруссия столкнулась с экономическим кризисом. После некоторых реформ и политических расчетов экономическое взаимодействие с Россией приносит свои первые плоды. В 1996-1997 гг. начался процесс стабилизации ситуации в белорусской промышленности, когда впервые после 1991 года был отмечен положительный прирост ВВП, что способствовало общему экономическому росту страны.
Особенно впечатляют результаты экономического развития Белоруссии в 1997 году. Помимо 10-процентного роста валового внутреннего продукта рост промышленного производства составил почти 18%, капитальных вложений - 19,5%, жилищного строительства - 26,6%. На треть снизилась безработица, госбюджет практически бездефицитен, обеспечена почти полная собираемость налогов, незначителен внутренний долг, а внешнего почти нет. В целом макроэкономические показатели Белоруссии в 1997 году оказались самыми благоприятными из всех стран СНГ. В результате объем промышленного производства в Белоруссии в 1997 году составил 76%.
Макроэкономическая политика страны после 2001 года оказалась более здоровой и благоприятной для устойчивого роста, чем когда-либо прежде. Этот период сопровождался более высоким уровнем инвестиций и чуть большим элементом реструктуризации предприятий. Однако изменение политики в области оплаты труда и доходов — переход от сдерживания доходов и заработной платы к активному стимулированию внутреннего спроса, который стал существенным фактором экономического роста, — имеет и негативную сторону. По словам старшего экономиста Всемирного Банка Льва Фрейнкмана, рост зарплаты и других затрат подрывает конкурентоспособность экономики.
По мнению известного белорусского экономиста Валерия Дашкевича, один из факторов экономического роста в Белоруссии заключается в том, что республика не спешила с реформами и смогла нарастить спрос на свои товары на крупных рынках России, Украины, Казахстана. По оценке ЕБРР, Белоруссия занимает последнее место среди 29 стран с переходной экономикой по глубине проведенных рыночных реформ.
Таким образом, уже в 2003 году по данным Международного Валютного Фонда ВВП на душу населения Белоруссии почти вдвое превышал показатели Украины и на 15—20% опережал Казахстан и Россию.
Благодаря экономической интеграции с Россией экономика Белоруссии в 2004 году выросла на 6,4%, а в 2005 году - на 7,8%. В настоящее время 12-18% ВВП Белоруссии обеспечивает Россия посредством низких цен на энергоносители, реэкспорта нефти, таможенного союза и т.п.
По данным Министерства статистики и анализа Республики Беларусь за 2005 год, на Россию приходится более 80% экспорта товаров из Белоруссии и более 90% импорта среди стран СНГ и 36% экспорта и 61% импорта от внешней торговли со всеми странами.
На 2005 год рост промышленной продукции составил 11%. Однако прогнозируется снижение данного показателя из-за возникающих проблем со сбытом у белорусских предприятий. Причиной этому стала чрезмерная государственная поддержка, протекционизм, преференции российско-белорусского союза, которые не способствовали адекватной адаптации предприятий к условиям рыночной экономики. Ведь 80% экономики принадлежит госсектору.
Удвоив за 10 лет (1996—2005 гг.) свой ВВП, Белоруссия ставит задачу утроить его к 2010 году. 2005 год для Беларуси начался благоприятно. По сравнению с началом 2004 года валовой внутренний продукт увеличился на 8,9%; производство промышленной продукции на 10,5%; производство сельскохозяйственной продукции – на 10,1%; производство потребительских товаров на 10,2%; рост инвестиций в основной капитал составил 119,1%; объем внешней торговли товарами и услугами увеличился на 10,6%, в том числе экспорт товаров и услуг возрос на 19,5%. Впервые за последние годы Беларусь достигла положительного сальдо во внешней торговле товарами в размере 294,4 млн. долларов США.
ВВП на душу населения в 2006 году составил 7 903 доллара США и, согласно официальным данным, на 2007 год планируется рост ВВП на 9% при инфляции 6-8%.
Главными задачами развития являются повышение уровня конкурентоспособности на основе модернизации экономики, выравнивание показателей человеческого развития со странами ЕС.
В 1996 году был создан Договора о Сообществе Беларуси и России. А уже через год, в 1997 году был подписан всеми известный Договор о Союзе Беларуси и России. для объединения гуманитарного, экономического и военного пространства. С 8 декабря 1999 официальное название Союза — Союзное Государство России и Белоруссии.
Среди основных программ сотрудничества России и Белоруссии можно выделить следующие направления:
Развитие дизельного автомобилестроения на период до 2008 года;
Повышение эффективности производства и переработки плодоовощной продукции на основе прогрессивных технологий и техники;
Совершенствование и развитие единой технологии получения, сбора, анализа и прогноза, хранения и распространения гидрометеорологической информации и данных о загрязнении природной среды (второй этап) на 2003-2006 годы;
Развитие швейного машиностроения
Развитие производства телеаппаратуры на предприятиях Республики Беларусь и Российской Федерации;
Развитие дизельного автомобилестроения;
Разработка и освоение в серийном производстве семейства высокопроизводительных вычислительных систем с параллельной архитектурой (суперкомпьютеров) и создание программно-прикладных комплексов на их основе;
Наукоёмкие компоненты общемашиностроительного применения;
Организация серийного производства оборудования для выпуска химических волокон;
Экономика Узбекистана
Общая характеристика страны.
Республика Узбекистан, государство в Центральной Азии, граничит с Казахстаном на севере и северо-востоке, с Туркменистаном на юго-западе, Афганистаном на юге, Таджикистаном на юго-востоке и Киргизией на северо-востоке, на северо-западе омывается Аральским морем. Узбекистан занимает площадь, равную 448,900 кв. км. На конец 2006 г, население Узбекистана составило 26,4 млн. человек. Валюта: узбекский сом (UKS). Узбекистан - многонациональная страна, 74,5% населения составляют узбеки, на долю русских приходится менее 6,5%, казахи - 4,1%, таджики - 4,8 и другие национальности. Почти все узбеки и другие среднеазиатские народы – мусульмане-сунниты. Русские и другие славянские группы населения принадлежат к православию. Имеются также небольшие еврейские общины.
В качестве основных административных единиц в границах Узбекистана выделены 12 областей, город Ташкент и Каракалпакская автономная республика (Каракалпакстан). Во главе администрации каждой из этих единиц стоит губернатор (хаким), которого назначает президент страны. Самый крупный город Узбекистана – Ташкент, столица страны, с населением 2,3 млн. человек.
В соответствии с Конституцией, принятой 8 декабря 1992 года, Узбекистан - суверенная демократическая республика. После провозглашения независимости началась перестройка государственного аппарата и формирование новой государственной системы. Высший государственный представительный орган – Олий Мажлис (Верховный Совет)–, осуществляющий законодательную власть, включающий 250 членов, избираемых по одномандатным округам. Олий Мажлис состоит из двух палат – Законодательной палаты (нижняя палата) и Сената (верхняя палата). Срок полномочий Законодательной палаты и Сената Олий Мажлиса– пять лет.
Исполнительная власть сосредоточена в руках главы государства- президента, избираемого всеобщим голосованием на семь лет, глава правительства - премьер-министр.Законодательная власть: однопалатное Верховное Собрание (250 мест; члены избираются всеобщим голосованием на пять лет).Судебная власть: Верховный суд, судьи назначаются президентом и утверждаются парламентом.
Экономико-теоретичекий анализ развития страны за последние 5 лет
На момент обретения независимости экономика республики обладала рядом благоприятных факторов и условий. Помимо высоколиквидного на мировом рынке хлопка (чье производство было хорошо развито в годы СССР), страна занимала четырнадцатое место в мире по запасам природного газа, занимала седьмое место в мире по запасам урана (разведанные запасы – 55-80 тыс. тонн, прогнозные ресурсы, по данным МАГАТЭ, - 230 тыс тонн), имела значительные запасы золота, месторождения серебра, меди, свинца, цинка, вольфрама, угля и нефти. Поэтому вопреки ожиданиям., результаты экономического роста в Узбекистане в 1992-2001 гг., несмотря на проводимую в стране политику поэтапных преобразований, были лучшими по сравнению с результатами реформ в странах бывшего Советского Союза. В частности, первоначальный спад в экономике Узбекистана был наименьшим среди стран бывшего Советского Союза (18% к уровню предреформенного 1991 года), который закончился довольно рано, а, начиная с 1996 г., рост ВВП составлял в среднем 4% в год.
После распада Советского Союза стало очевидным стремление Узбекистана критически осмыслить мировой опыт и общепринятые рекомендации международных финансовых институтов в экономической политике для стран с переходной экономикой, Рассматривая их в контексте внутренних условий и потребностей, правительство Узбекистана избрало политику постепенных преобразований экономики. Несмотря на то, что приватизация жилья и малых предприятий была завершена в короткие сроки, а либерализация цен произошла в течение нескольких лет, государство все еще сохраняло контроль за распределением основных видов ресурсов в экономике и внешнеэкономическими связями. Приватизация крупных предприятий проводилась поэтапно, причем государство зачастую продолжало играть активную роль в регулировании деятельности крупных предприятий даже после их формальной приватизации.
Результаты экономических преобразований обусловили формирование так называемой «загадки экономического роста Узбекистана», что было использовано даже в названии исследования МВФ в 1999 г (Zettelmeyer, 1999). К 2001 году ВВП Узбекистана превышал уровень 1989 года на 3%. Это позволило Узбекистану первой из бывших союзных республик преодолеть трансформационный спад и восстановить дореформенный уровень производства.
Согласно официальным статистическим данным к 2000 г негосударственный сектор экономики производил 72,6% ВВП и обеспечивал 76% занятости (Министерство экономики Республики Узбекистан, 2002 г.). Однако правительство, по-прежнему сохраняло значительный контроль над крупными предприятиями, как государственными, так и формально приватизированными, а также производством хлопка и зерна, К концу 2001 года Узбекистан, имея рыночно-ориентированный частный сектор, все еще продолжал следовать стратегии развития, основанного на государственном регулировании.
В 2004 году произошел скачок темпов роста – с 4 до 7,7%. Фактором ускорения стала отмена административного нерыночного курса сума, вызвавшая вместе с конъюнктурным подъемом мировых цен на основные экспортные товары страны (золото, медь, хлопок) быстрый рост экспорта.
В 2006 г. ВВП вырос на 7.3% . В основном экономический рост поддерживается за счет потребительского бума. Спрос потребителей растет почти вдвое большим темпом, чем экономика в целом. Вклад государственного потребления и чистого экспорта в номинальном выражении очень высок.
Узбекская республика исторически является агроиндустриальной страной. Доля сельского хозяйства в ВВП (28%) превышает долю промышленности (21%). Хотя и говорится, что данное соотношение постоянно меняется: доля промышленного производства и транспорта постоянно увеличивается, сельского хозяйства – сокращается..
Узбекистан занимает пятое-шестое место в мире по производству (1,15 млн. тонн в год) и второе место в мире (после США) по экспорту хлопка-волокна. Сейчас ставится задача стимулирования текстильного производства внутри страны с тем, чтобы перейти к преимущественному экспорту готовой текстильной продукции, а не сырья. Помимо стимулирования производства с большей добавленной стоимостью это позволило бы частично решить проблему занятости, так как это весьма трудоемкая отрасль. Основные экспортные рынки для узбекского хлопка находятся в Азии, в Россию направляется не более 10%.
При добыче природного газа примерно 60 млрд кубометров в год более 80% используется на внутренние нужды, экспортируя более 11 млрд кубометров. Сказывается и наличие серьезной промышленности (в частности химической) и мощного сектора ЖКХ – главных внутренних потребителей газа. Кроме того, расширение экспортных поставок газа Узбекистаном, а следовательно, и инвестиции в добычу в расчете на экспорт серьезно ограничены дефицитом траснпортных мощностей. Для кардинального наращивания экпорта газа надо строить новые газопроводы, а это требует многомиллиардных инвестиций. Однако же в конце 2006 года наметилось и заметное ускорение роста инвестиций: они увеличились на 10% по сравнению с 6.9% годом ранее, в частности, за счет роста объемов строительных работ. Рост инвестиций связан с завершением ряда ключевых проектов в цветной металлургии. В частности завершено строительство комплекса золотодобычи «Тигр» с технологией интенсивной гравитации, налажено производство рулонной полосы из меди и ее сплавов на АПО «Узметкомбинат», электрифицирован железнодорожный участок Арысь-Узбекистан. Завершен ряд проектов в текстильной промышленности (в том числе «Рамэл текстиль» в г. Ташкенте, СП «Маргилан-текс», ООО «Асртекс» в Бухарской области и др.).
Вся пятнадцатилетняя экономическая история Узбекистана есть образчик активной импортозамещающей промышленной политики государства с очень высокими таможенными тарифами. За 2006 г темпы роста выпуска промышленной продукции выросли на 9.2%. Наиболее высокие темпы роста наблюдались в пищевой промышленности (29.8% г/г), а также в машиностроении и металлообработке (24.6%) за счет увеличения выпуска автомобилей (32.7%). Хотя даже этот факт не скроет того, что продавать машины за 4-5 тыс. долларов при себестоимости в 10-11 тыс. долларов долгое время нельзя. Поэтому сейчас сохраняются лишь крайне ограниченные точечные государственные инвестиции в химическую и добывающую отрасли. В то же время важные с точки зрения доли в совокупном объеме выпуска отрасли промышленности – топливная промышленность (при росте производства сжиженного газа на 7.2%) и цветная металлургия – остаются в ряду «аутсайдеров». Увеличение добычи в связи с высоким уровнем мировых цен должно стимулировать рост в этих отраслях.
В 2006 г. в структуре экспорта наибольший удельный вес занимал экспорт хлопка (около 26.7%), энергетических товаров (11.7%), металлов (10.1%), машин и оборудования (7.7%) и продуктов питания (3.8%). Почти четверть экспорта составляет статья «другие товары». В структуре импорта наибольший удельный вес у машин и оборудования (41.6%). В основном в структуре экспорта и импорта предприятий с иностранным участием преобладают машины и оборудование.
В Узбекистане сохраняется значительное регулирование внешнеэкономической деятельности. В частности, сохраняется регистрация экспортно-импортных контрактов в Министерстве внешнеэкономических связей. В Законе о внешнеэкономической деятельности устанавливается возможность государственной монополии на торговлю отдельными видами товаров, а также запрета на экспорт-импорт товаров, в частности, в целях поддержания платежного баланса.
В последние годы состояние платежного баланса позволяет постоянно наращивать валютные резервы Центрального банка примерно на USD 400 млн в год. Около 65% притока прямых иностранных инвестиций приходится на покрытие дефицита по торговле предприятий с иностранным участием, которое в основном формируется за счет ввоза импортных машин и оборудования. Одновременно с этим почти половина положительного сальдо от торговых операций идет на погашение внешнего долга, который оценивается в 45–50% ВВП. По оценке, по итогам 2006 г. в силу роста положительного сальдо торгового сальдо резервы могут увеличиться на USD 600 млн.
Ожидается, что в Узбекистане рост экономики составит около 7% с 2007 по 2008 год на основе благоприятных цен на природный газ и экспорта неуглеводородных товаров. В 2006 году рост ВВП в Узбекистане составил 7,3% на основе увеличения экспорта, денежных переводов от лиц, работающих за рубежом и роста производительности в сельском хозяйстве. Данный показатель гораздо выше среднего уровня роста в 5,2% в 2000–2005 годах.
Кроме того, отмечалось, что проводимая взвешенная бюджетно-налоговая политика обеспечила сбалансированность доходной и расходной частей бюджета, при одновременном сокращении налогового бремени на хозяйствующие субъекты, экономический рост, развитие предпринимательства расширило налогооблагаемую базу, что позволило обеспечить рост доходов госбюджета по сравнению с прогнозными параметрами текущего года.1.
Однако, необходимо понимать реальное положение в Узбекистане. Так называемый рост – это фикция, известная в истории многократно. Так, еще в древнем Китае, шелк давал деньги верхушке и шел на роскошь, при этом ВВП рос, а люди беднели. Узбекистан в этом отношении – классическая иллюстрация неравенства меджу социально-экономическим потенциалом и уровнем жизни: восточная «элита» с дворцами, и 72 % населения, живущих менее чем на 2 доллара в день (в России – 8 %).
Статистический анализ развития всех 4 стран за последние 5 лет
Актуальность статистического анализа
Страны СНГ обладают большим природным и экономическим потенциалом, который дает им значительные конкурентные преимущества и позволяет занять достойное место в международном разделении труда. По данным ООН в 2006 году в СНГ – самый быстро развивающийся регион в мире. Поэтому является актуальным изучение экономического состояния и тенденций дальнейшего развития ближайших «соседей» - стратегических партнеров Российской Федерации. Для анализа показателей развития стран применим различные статистические показатели и методы.
Статистический анализ экономического развития Казахстана за последние 5 лет
Для статистического анализа возьмем основные показатели социально-экономического развития (в % к предыдущему году), отражающие развитие экономики Казахстана за период с 1995-2006 года.
Таблица
12.
На основе таблицы 2 рассчитаем динамику по каждому из шести показателей.
Как видно из расчетов темпов темп прироста ВВП Казахстана (см. Таблицу 2), с 1998 года наблюдается положительный рост. В 2001 году рост достиг 13.5%, что явилось наибольшим показателем за период. Дальше заметно небольшое снижение и в 2006 году: прирост составил 10.6%. Продукция промышленности также демонстрирует положительный рост с 1998 года, наиболее высокий рост приходится на период с 2000-2002 года, а в последующие 4 года рост нестабилен, что связано с низкой конъюнктурой внешнего рынка и с сильным давлением государства на промышленный сектор экономики. Сельское хозяйство в Казахстане развивалось неравномерно, о чем свидетельствуют сначала высокий темп прироста в 1999 году (28%), затем была отмечена отрицательная динамика в 2000 и 2004 годах на 4.0% и 0.5% соответственно. Максимальный прирост инвестиций в основной капитал был зафиксирован в 2000 году и составил 49.0%, чему способствовало установление стабильной экономической и политической ситуации в стране, а также интенсивное развитие промышленности Казахстана в этот период.
Таблица 2.
Розничный товарооборот – это объем продажи товаров и оказания услуг населению для личного, семейного, домашнего использования. Динамика этого показателя была положительная с 1995 года, только в период с 1999-2000 года было отмечен снижение темпов прироста, что связано с увеличением цен на товары и услуги. Индекс потребительских цен (далее ИПЦ) – это отношение стоимости определенного набора товаров или услуг в денежных единицах в данном периоде к стоимости того же самого набора в определенном базовом периоде. В Казахстане максимальный ИПЦ был в 1995 году. А минимальный прирост отмечен в периоде с 2001-2002 года.
По данным таблицы 3 проведем корреляционно-регрессионный анализ и выявим зависимость между двумя показателями – экспортом и ВВП Казахстана. За факторный признак Х возьмем экспорт, а за результативный У - ВВП. И рассмотрим, как объем экспорта влияет на объем ВВП.
Показатели экспорта и ВВП Казахстана ( в млн. $ США)3
|
Года |
Экспорт |
ВВП |
|
1995 |
5250.2 |
20546.87 |
|
1996 |
5911 |
21035.36 |
|
1997 |
6497 |
22165.93 |
|
1998 |
5334.1 |
22135.25 |
|
1999 |
5871.6 |
16870.82 |
|
2000 |
8812.2 |
18291.99 |
|
2001 |
8639.1 |
22152.69 |
|
2002 |
9670.3 |
24636.60 |
|
2003 |
12926.7 |
30833.69 |
|
2004 |
20096.2 |
40743.19 |
|
2005 |
27849 |
57123.7 |
|
2006 |
38250.3 |
80414.80 |
Таблица 3.
График
1
На основе построенного нами корреляционного поля зависимости можно сделать первоначальное предположение о существовании связи между ВВП и экспортом Казахстана.
|
r(ху)-парный коэффициент корреляции |
0.987135528 |
|
tнабл-наблюдаемое значения критерия |
19.523922 |
|
tкрит. |
2.228138842 |
Так как tнабл>tкр, то значит коэффициент корреляции признается значимым, т.е. между экспортом и ВВП существует линейная корреляционная связь.
С помощью инструмента программы MS EXCEL «Анализ данных—Регрессия» измерим тесноту корреляционной связи ВВП и экспорта и выявим характер этой связи.
|
F набл. |
381.1835305 |
|
F крит. |
4.964602701 |
Так как полученное при наблюдении значение F>набл >> F>кр>, то, следовательно, уравнение парной линейной регрессии ВВП от экспорта при уровне значимости 0,05 является статистически достоверным.
Множественный коэффициент корреляции равен 0,987135528, что означает, 99% вариации результативного признака У (ВВП) определяется вариацией факторного признака Х (экспорта). Следовательно, уравнение линейной регрессии у=1,802617105х+8112,591029 признается значимым и означает, что изменение экспорта на единицу ведет к увеличению ВВП на 1,802617105 в абсолютном выражении.

График 2
Данный график еще раз подтверждает, что между экспортом и ВВП Казахстана существует сильная зависимость. С увеличением объема экспорта увеличивается объем ВВП.
Важнейшими показателями экономического развития страны, как известно, является валовой внутренний продукт – это стоимость всего объема конечного производства товаров и услуг за определенный период (год, месяц, квартал). Поэтому построим линию Тренда, чтобы предсказать объем ВВП и тенденцию его развития в следующие 2 года.
|
ВВП (млн. $ США) |
|
|
Года |
ВВП |
|
1995 |
20546,87 |
|
1996 |
21035,36 |
|
1997 |
22165,93 |
|
1998 |
22135,25 |
|
1999 |
16870,82 |
|
2000 |
18291,99 |
|
2001 |
22152,69 |
|
2002 |
24636,60 |
|
2003 |
30833,69 |
|
2004 |
40743,19 |
|
2005 |
57123,7 |
|
2006 |
80414,80 |
-
ТИП линии Тренда
R^2
Линейный
0,6033
Логарифмический
0,3491
Полиномиальный 2
0,9395
Полиномиальный 3
0,9958
Полиномиальный 4
0,996
Полиномиальный 5
0,9967
Полиномиальный 6
0,9969
Степенная
0,3951
Экспоненциальная
0,665
Таблица 4
Как видно из вышеприведенных таблиц, мы построим полиномиальный тип линии Тренда 6 степени, т.к. чем ближе полученные коэффициенты R2 к единице (0,9395), тем точнее линия тренда отображает динамику изменения наших показателей. Но т.к. полином – это все-таки парабола, мы сочли нужным для сбалансированного результата построить также линейный тип.

График 3
По графику можно предположить, что объем ВВП Казахстана будет расти в следующие 2 года по прогнозу как полиномиального, так и линейного типа Тренда. Экономическая и политическая ситуации благоприятствуют экономическому росту экономики. Но мы не можем с полной уверенностью утверждать, что наши предсказания по линии тренда достаточно точно спрогнозируют реальный уровень ВВП через 2 года, так как линия Тренда не учитывает многие посторонние факторы, оказывающие существенное влияние на его изменение. Политическая ситуация в стране, изменение мировых цен на энергоносители могут существенно изменить объем ВВП страны, учитывая также тот факт, что ВВП Казахстана на 58% зависит от экспорта топливно-энергетического комплекса.
Статистический анализ экономического развития Украины за последние 5 лет.
Основные показатели социально-экономического развития (в % к пред. году)4
Таблица
5.
На основе таблицы 5 рассчитаем динамику по каждому из шести показателей.
Как видно из расчетов темпов прироста ВВП Украины (см. Таблицу 2) с 2000 года наблюдается устойчивый рост. Именно с 2000 года экономика Украины начала стабилизироваться после почти 10 лет глубокого спада. Наибольший темп прироста ВВП был в 2004 году и составил 12.1%.Затем за период с 2005-2006 гг. наблюдается, что вызвано политическим кризисом в стране. Продукция промышленности начала расти с 1999 года. За период с 1999-2006 года рост был крайне нестабильный, что было вызвано рядом шоков, которые испытала Украина в период с 2001-2005 гг. Наибольший прирост в промышленности был в 2003 году и составил 16%. Продукция сельского хозяйства развивается неравномерно. В последние несколько лет украинские аграрии сокращают площади под сахарной свеклой, что объясняется в первую очередь недостаточностью финансовых средств для приобретения различных удобрений, а также низким качеством сельхозтехники. Наибольший прирост инвестиций в основной капитал был отмечен в 2003 году и темп прироста составил 31%.

Таблица 6.
Объем розничного товарооборота демонстрирует рост с 2000 года. Начиная с 2003 года темпы прироста довольно высокие, что было вызвано снижением цен на продовольственные товары в условиях дефляции в Украине в 2002 году. ИПЦ имеет тенденцию к снижению, так как цены на потребительские товары, на продовольственные товары снизились.
По данным таблицы 6 проведем корреляционно-регрессионный анализ и выявим зависимость между двумя показателями – факторным признаком Х (промышленность) и результативным признаком У (ВВП)Украины.
Показатели промышленности и ВВП Украины (в % к предыдущему году) по табл.6
|
Года |
Продукция промышленности |
ВВП |
|
1995 |
88.00 |
87.80 |
|
1996 |
95.00 |
90.00 |
|
1997 |
99.70 |
97.00 |
|
1998 |
99.00 |
98.10 |
|
1999 |
104.00 |
99.80 |
|
2000 |
112.00 |
105.90 |
|
2001 |
114.00 |
109.20 |
|
2002 |
107.00 |
105.20 |
|
2003 |
116.00 |
109.60 |
|
2004 |
112.00 |
112.10 |
|
2005 |
103.00 |
102.60 |
|
2006 |
106.00 |
107.00 |
Таблица 7
Построим корреляционное поле зависимости, чтобы сделать первоначальное предположение о существовании связи между ВВП и промышленностью Украины.

График 4
|
r(ху)-парный коэффициент корреляции |
0.950319491 |
|
tнабл-наблюдаемое значения критерия |
9.654365553 |
|
tкрит. |
2.228138842 |
Так как tнабл>tкр, то значит коэффициент корреляции признается значимым, т.е. между промышленностью и ВВП существует линейная корреляционная связь.
С помощью инструмента программы MS EXCEL «Анализ данных—Регрессия» измерим тесноту корреляционной связи ВВП и промышленностью и выявим характер этой связи.
|
F набл. |
93.2068 |
|
F крит. |
4.9646 |
Так как полученное при наблюдении значение F>набл >> F>кр>, то, следовательно, уравнение парной линейной регрессии ВВП от промышленности при уровне значимости 0,05 является статистически достоверным.
Множественный коэффициент корреляции равен 0,950319491, что означает, 95% вариации результативного признака У (ВВП) определяется вариацией факторного признака Х (промышленность). Следовательно, уравнение линейной регрессии у=0.880058083х+9.934255394 признается значимым и означает, что увеличение промышленности на 1% ведет к увеличению ВВП на 0,880058083%.

График 5
Данный график говорит о том, что между промышленностью и ВВП существует сильная зависимость. С увеличением объема промышленности увеличивается объем ВВП.
Важнейшими показателями экономического развития страны, как известно, является валовой внутренний продукт – это стоимость всего объема конечного производства товаров и услуг за определенный период (год, месяц, квартал). Поэтому построим линию Тренда, чтобы предсказать объем ВВП Украины и тенденцию его развития в следующие 2 года.

График 6
Для построения линии Тренда нами был выбраны два типа линии: полиноминальный шестой степени (как наиболее точный с достоверностью аппроксимации 0.9770) и линейный (для более сбалансированного анализа).
По графику можно предположить, что объем ВВП Украины будет расти в следующие 2 года по прогнозу как полиномиального, так и линейного типа Тренда. Но мы не можем с полной уверенностью утверждать, что наши предсказания по линии тренда достаточно точно предскажут реальный уровень ВВП через 2 года, так как линия тренда не учитывает многие посторонние факторы, оказывающие существенное влияние на их изменение. В настоящее время в Украине довольно нестабильная политическая ситуация, а это очень важный фактор, влияющий на объем ВВП.
Статистический анализ развития Белоруссии за последние 5 лет
Основные показатели социально-экономического развития, отражающие развитие экономики Белоруссии за период с 1995-2006 года (в % к предыдущему году). 5
Таблица
8
На основе таблицы 8 рассчитаем динамику по каждому из шести показателей.

Таблица 9.
Из расчетов ВВП Белоруссии видно, что ВВП не снижался на протяжении всего исследуемого периода. Это связано с тем, что Белоруссия пережила кризис распада СССР довольно быстро и очень вернула положение 1990 года. Промышленность в Белоруссии развивается не очень активно, темпы прироста довольно низкие. Все темпы прироста показателей растут с каждым годом. Белоруссия пользуется огромной поддержкой со стороны России. Белоруссия также обладает выгодным географическим положением. ИПЦ показывает высокие показатели темпов прироста за период с 1999-2003 года, что связано с тем, что произошло изменение политики в области оплаты труда и доходов — переход от сдерживания доходов и заработной платы к активному стимулированию внутреннего спроса, который стал существенным фактором экономического роста.
По данным таблицы 10 проведем корреляционно-регрессионный анализ и выявим зависимость между двумя показателями –промышленностью и ВВП Белоруссии. За признак Х возьмем промышленность, а за У - ВВП. И рассмотрим, как промышленность влияет на ВВП.
Показатели промышленности и ВВП Белоруссии (в % к предыдущему году).6

Таблица 10
Построим корреляционное поле зависимости, чтобы сделать первоначальное предположение о существовании связи между ВВП и промышленностью Белоруссии.
График
7
|
r(ху)-парный коэффициент корреляции |
0.95313777 |
|
tнабл-наблюдаемое значения критерия |
9.962716342 |
|
tкрит. |
2.228138842 |
Так как tнабл>tкр, то значит коэффициент корреляции признается значимым, т.е. между промышленностью и ВВП существует линейная корреляционная связь.
С помощью инструмента программы MS EXCEL «Анализ данных—Регрессия» измерим тесноту корреляционной связи ВВП и промышленностью и выявим характер этой связи.
|
F набл. |
99.25571692 |
|
F крит. |
4.964602701 |
Так как полученное при наблюдении значение F>набл >> F>кр>, то, следовательно, мы можем утверждать, что уравнение парной линейной регрессии ВВП от промышленности при уровне значимости 0.05 является статистически достоверным.
Множественный коэффициент корреляции равен 0.953137770099381, что свидетельствует о том, что около 95,3% вариации результативного признака У (ВВП) определяется вариацией факторного признака Х (промышленность). Следовательно, уравнение линейной регрессии имеет вид: у=0.726841098х+27.1739247. Данное уравнение означает, что увеличение промышленности на 1% приводит к увеличению ВВП на 0,726841098%.

График 8
Данный график говорит о том, что между промышленностью и ВВП Белоруссии существует сильная зависимость. С увеличением объема промышленности увеличивается объемВВП.
Важнейшими показателями экономического развития страны, как известно, является валовой внутренний продукт – это стоимость всего объема конечного производства товаров и услуг за определенный период (год, месяц, квартал). Поэтому построим линию Тренда, чтобы предсказать объем ВВП Белоруссии и тенденцию его развития в следующие 2 года.
График
9
Для построения линии Тренда нами был выбраны два типа линии: полиноминальный шестой степени (как наиболее точный с достоверностью аппроксимации0.9195) и линейный (для более сбалансированного анализа).
По графику мы можем сказать, что объем ВВП Белоруссии в последующие 2 года будет расти. Именно благодаря тому, что республика не спешила с реформами и смогла нарастить спрос на свои товары на крупных рынках России, Украины, Казахстана. В настоящее время 12-18% ВВП Белоруссии обеспечивает Россия посредством низких цен на энергоносители, реэкспорта нефти, таможенного союза и т.п.
Статистический анализ экономического развития Узбекистана за последние 5 лет
Основные социально-экономические показатели развития страны
(в % к пред. году)7
|
Показатель |
1995 |
1996 |
1997 |
1998 |
1999 |
2000 |
2001 |
2002 |
2003 |
2004 |
2005 |
2006 |
|
ВВП |
99,1 |
101,7 |
105,2 |
104,3 |
104,3 |
103,8 |
104,2 |
104,0 |
104,4 |
107,7 |
107,0 |
107,3 |
|
Продукция промышленности |
100,1 |
103 |
104 |
104 |
106 |
106 |
108 |
108 |
106 |
109 |
107 |
110 |
|
Продукция с\х |
102 |
94 |
106 |
104 |
106 |
103 |
105 |
106 |
106 |
110 |
106 |
107 |
|
Инвестиции в основной капитал |
104 |
107 |
117 |
115 |
102 |
101 |
104 |
104 |
105 |
105 |
107 |
110 |
|
Розничный товарооборот |
96 |
122 |
113 |
114 |
110 |
108 |
110 |
102 |
105 |
105 |
108 |
112 |
|
Индекс потребительских цен |
416 |
... |
... |
... |
... |
... |
127 |
122 |
104 |
104 |
108 |
... |
Таблица 11
По данной таблице рассчитаем динамику всех 6 показателей:

Таблица 12
Таким образом, мы видим, что ВВП Узбекистана имело положительный прирост уже с 1996 года. Что подтверждается еще и тем, что эта страна имела наименьшую среди бывших советских республик глубину трансформационного спада экономики. Максимальный прирост ВВП приходится на 2004 год – 7,7%, чему поспособствовала отмена административного нерыночного курса сума и в дальнейшем резкое увеличение экспорта. Что касается продукции промышленности, то она показывает стабильные темпы прироста на протяжении всех 10 лет. Это связано с жесткой политикой протекционизма государства, ограждающего промышленность от импортных товаров высокими таможенными тарифами, и высокими государственными инвестициями. Продукция сельского хозяйства развивается неравномерно: в 2000 г. произошел небольшой спад темпов прироста, однако из-за преобладания планового подхода в сельском хозяйстве страны данный сектор экономики все же имеет хорошие положительные темпы прироста. Максимальный прирост инвестиций в основной капитал составил 17% в 1997 г. и продолжает расти, т.к., закрепив свои структурные и рыночные реформы страна, обретает стабильность и становится перспективным объектом инвестиций. Розничный товарооборот имел нестабильный прирост: резкое уменьшение с 10% к 2% в 2002 году, что объясняется высоким наличием «черных рынков» в стране и резко введенными в 2002 г. высокими таможенные тарифы на ввоз импортных товаров. К сожалению, у нас не так много данных по индексу потребительских цен, но по данным за последние 5 лет, мы наблюдаем резкие скачки данного показателя. Это объясняется распространенным на постсоветском пространстве явлением, инфляцией, которая существенно влияет на уровень цен в стране.
Проведем корреляционно-регрессионный анализ и выявим зависимость между двумя показателями – экспортом и ВВП Узбекистана. За признак Х возьмем экспорт, а за У -ВВП.
Показатели экспорта и ВВП Узбекистана (в млн. $ США).8
Таблица
13
Построим корреляционное поле зависимости, чтобы сделать первоначальное предположение о существовании связи между ВВП и экспортом Узбекистана.
График
10
Так как tнабл>tкр, то значит коэффициент корреляции признается значимым, т.е. между экспортом и ВВП существует линейная корреляционная связь.
|
r(ху)-парный коэффициент корреляции |
0.982272142 |
|
tнабл-наблюдаемое значения критерия |
9.075753204 |
|
tкрит. |
3.182446305 |
С помощью инструмента программы MS EXCEL «Анализ данных—Регрессия» измерим тесноту корреляционной связи ВВП и экспортом и выявим характер этой связи.
|
F набл. |
82.36929622 |
|
F крит. |
10.12796448 |
Так как полученное при наблюдении значение Fнабл>Fкритич., то значит, уравнение парной линейной регрессии ВВП от экспорта при уровне значимости 0.05 является статистически достоверным.
Коэффициент множественной линейной регрессии равен 0.982272141523431, что означает, что 98% вариации результативного признака У (ВВП) определяется вариацией факторного признака Х (экспорт). Следовательно, уравнение линейной регрессии у=1.171249356х+6089.487329 признается значимым и означает, что увеличение экспорта на единицу ведет к увеличению ВВП на 1,171249356 млн. $ США.

График 11
Одним из важнейших показателей развития экономики страны является ВВП. Поэтому для выявления тенденции дальнейшего развития построим линию Тренда по данному показателю.

График 12
Из данного графика видно, что объем ВВП Узбекистана в ближайшие 2 года будет падать. Предстоящие выборы президента и зависимость ВВП страны от экспорта золота, меди и хлопка только подтверждают прогнозы линии Тренда. Однако точно определить предполагаемый уровень ВВП через 2 года мы не можем, т.к. для этого надо рассматривать и другие факторы, формирующие ВВП страны.
Сравнительный статистический анализ экономик Казахстана, Украины, Белоруссии и Узбекистана:
|
|
ВВП Казахстана |
Кпрц |
Кпрб |
ВВП Украины |
Кпрц |
Кпрб |
ВВП Белоруссии |
Кпрц |
Кпрб |
ВВП Узбекистана |
Кпрц |
Кпрб |
|
2002 |
24636,60 |
|
|
42392,70 |
|
|
14594,93 |
|
|
9902,16 |
|
|
|
2003 |
30833,69 |
0,25 |
0,25 |
50133,06 |
0,18 |
0,18 |
17825,46 |
0,22 |
0,22 |
9975,42 |
0,01 |
0,01 |
|
2004 |
40743,19 |
0,32 |
0,65 |
65036,90 |
0,30 |
0,53 |
22908,96 |
0,29 |
0,57 |
11788,31 |
0,18 |
0,19 |
|
2005 |
57123,7 |
0,40 |
1,32 |
78700,00 |
0,21 |
0,86 |
25062,40 |
0,09 |
0,72 |
12613,50 |
0,07 |
0,27 |
|
2006 |
80414,80 |
0,41 |
2,26 |
84209,00 |
0,07 |
0,99 |
27543,58 |
0,10 |
0,89 |
13534,28 |
0,07 |
0,37 |
|
СУММА |
233752,0 |
1,38 |
4,49 |
320471,7 |
0,76 |
2,56 |
107935,3 |
0,70 |
2,40 |
57813,7 |
0,33 |
0,84 |
|
средние |
46750,4 |
0,35 |
1,12 |
64094,3 |
0,19 |
0,64 |
21587,1 |
0,17 |
0,60 |
11562,7 |
0,08 |
0,21 |
|
медиана |
40743,2 |
0,36 |
0,99 |
65036,9 |
0,20 |
0,70 |
22909,0 |
0,16 |
0,64 |
11788,3 |
0,07 |
0,23 |
|
квартиль1 |
30833,69283 |
0,30 |
0,55 |
50133,06297 |
0,15 |
0,45 |
17825,45991 |
0,10 |
0,48 |
9975,42469 |
0,05 |
0,14 |
|
квартиль2 |
57123,7 |
0,40 |
1,55 |
78700 |
0,23 |
0,89 |
25062,4 |
0,24 |
0,76 |
12613,5 |
0,10 |
0,30 |
|
дециль1 |
27115,43628 |
0,27 |
0,37 |
45488,84342 |
0,10 |
0,29 |
15887,1415 |
0,10 |
0,33 |
9931,46722 |
0,03 |
0,06 |
|
дециль9 |
71098,36 |
0,41 |
1,98 |
82005,4 |
0,27 |
0,95 |
26551,1068 |
0,27 |
0,84 |
13165,968 |
0,15 |
0,34 |
|
дисперсии |
273519250,66 |
0,00 |
0,36 |
215193757,58 |
0,00 |
0,06 |
17018180,59 |
0,00 |
0,03 |
1777356,46 |
0,00 |
0,01 |
|
станд.откл |
16538,42 |
0,05 |
0,60 |
14669,48 |
0,06 |
0,25 |
4125,31 |
0,07 |
0,19 |
1333,18 |
0,04 |
0,10 |
|
размах.вар |
55778,2 |
0,2 |
2,0 |
41816,3 |
0,2 |
0,8 |
12948,6 |
0,2 |
0,7 |
3632,1 |
0,2 |
0,4 |
|
коэфф.вар |
0,3538 |
0,1546 |
0,5383 |
0,2289 |
0,3075 |
0,3955 |
0,1911 |
0,4013 |
0,3095 |
0,1153 |
0,5057 |
0,4802 |
|
ассиметрия |
0,89 |
|
|
-0,12 |
|
|
-0,39 |
|
|
0,03 |
|
|
|
эксцесс |
-0,15 |
|
|
-2,32 |
|
|
-1,66 |
|
|
-2,31 |
|
|
Проведем сравнительный анализ динамики ВВП всех четырех стран по имеющимся данным за последние пять лет:
Суммарный объем ВВП за 5 лет отражает достигнутые результаты деятельности стран в двух сферах народного хозяйства – материального производства и оказания услуг. Самый высокий суммарный объем ВВП за 5 лет у Украины (320471,7 млн. $ США). На последнем месте – Узбекистан, 57813,7 млн. $ США.
Средние показатели отражают типичный уровень варьирующегося признака в расчёте на единицу всей совокупности на данном временном интервале. Таким образом, средний объем ВВП Казахстана за 5 лет составил 46750,4 млн. $ США в год, Украины - 64094,3, Белоруссии - 21587,1, Узбекистана - 11562,7.
Медиана показывает значение, которое приходится на середину всей совокупности. Поэтому данный показатель показывает значение ВВП, приходящееся на середину изучаемого периода времени (среднее значение между 2002 и 2006 гг.).
Первый квартиль показывает значение признака, делящего наш временной промежуток в соотношении ¼ и ¾., т.е. показывают значения ВВП стран в период с 2002 -2003 гг. А второй квартиль показывает значение ВВП за 2003-2004.
Дециль - параметр, характеризующий распределение ВВП, т.е. первый дециль будет означать, что ниже данной величины лежат 10% значений ВВП, а девятый дециль – величина, ниже которой будут лежать 90% значений ВВП.
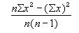
Дисперсия рассчитывается по следующей формуле:
и используется для дальнейшего
определения стандартного отклонения
– меры разброса значений случайной
переменной относительно ее среднего
значения. Данный показатель характеризует
степень однородности совокупности.Размах вариации – мера разброса максимального и минималного значений ВВП за 5 лет. Коэффициент вариации показывает дисперсию для номинальных переменных.
Ассиметрия характеризует степень несимметричности распределения относительно среднего значения. Рассчитанные показатели по Казахстану и Узбекистану показывают, что отклонение распределения произошло в сторону положительных значений, а по Украине и Белоруссии – в сторону отрицательных значений.
Эксцесс характеризует пикообразность динамики ВВП. Т.к. значения данного показателя для всех стран отрицательные, это означает, что рост ВВП за последние 5 лет во всех странах имел плавный поступательный характер.
Рассчитанные выше показатели говорят о том, что Казахстан и Украина являются наиболее быстроразвивающимися странами в своей подгруппе СНГ и имеют высокие положительные коэффициенты прироста, Казахстан – главным образом за счет экспорта ресурсов, а Украина - хорошо развитой промышленности. Однако, Белоруссия и Узбекистан также довольно активно развиваются, благодаря поддержки Россией Белоруссии и выгодному геополитическому расположению Узбекистана.
Выводы и заключение по полученным результатам статистического анализа
В статистической части нами были использованы различные методы и показатели, отображающие экономическое развитие стран за определенный период; такие, как показатели динамики (коэффициенты роста, темпы прироста), показатели вариации (медиана, дисперсия, стандартное отклонение, квартили, децили и т.д.), еще был применен корреляционно-регрессионный анализ (с помощью программы MS Excel), а также метод прогнозирования при помощи линии Тренда.
Исходя из приведенных выше расчетов, можно с уверенностью сказать, что за последние десять лет первая подгруппа стран-участников СНГ полностью преодолела трансформационный кризис и встала на путь экономического развития, о чем свидетельствуют растущие положительные темпы прироста основных социально-экономических показателей стран. В Казахстане и Узбекистане данный рост экономики объясняется увеличением экспорта ресурсов, и как показывает регрессионный анализ, ВВП стран более чем на 90% зависит от вариации экспорта. А в Украине и Белоруссии рост промышленности способствовал выходу из кризиса, т.к. более чем 90% ВВП зависит от продукции промышленности. Линии Тренда показали положительные тенденции развития почти у всех стран, кроме Узбекистана, однако, результат этот на данный момент полностью зависит от государственной политики каждой страны. Какой путь дальнейшего развития выберет каждая страна, и как точно она будет следовать своим планам. Очевидно, что переход на инновационно-индустриальный путь должен происходить, и темпы роста будут напрямую зависеть от этого, а модель экспортно-ориентированной страны не принесет никаких плюсов в долгосрочном плане.
Заключение
В данной работе была рассмотрена первая подгруппа стран Центральной и Восточной Европы и Азии, четыре государства – наиболее активных стратегических партнера России, их экономическое развитие за последние пять лет и тенденции дальнейшего развития. На основании выше проведенного теоретического и статистического анализа можем сказать, что за последнее десятилетие в национальных экономиках стран СНГ изменились системы внутренних условий хозяйствования, ныне основывающиеся на преимущественно либеральных рыночных отношениях. Существенно увеличилась мера открытости экономики. Однако, хозяйственные связи новых независимых государств пока еще замкнуты на внутренних рынках. Под влиянием мирового рынка экспорт играет большую роль в формировании ВВП стран и базируется в основном на продукции ресурсопроизводящих отраслей – топливно-энергетических и минерально-сырьевых, что делает эти страны еще более уязвимыми к мировому уровню цен на энергоносители. В таких условиях возможный экономический рост в этих странах будет все больше зависеть от внешних источников финансирования, а структурная перестройка экономики практически окажется невозможной.
Новая модель интеграции стран-членов СНГ должна строиться на принципах экономического прагматизма и развитии экономических связей, необходимых для успешного взаимодействия хозяйствующих субъектов и формировании транснациональных бизнес-структур. Очевидно, что переход к инновационно-индустриальному типу экономику нужен все выше рассмотренным странам, также как и России. Поэтому, мы считаем вдвойне необходимым укрепить интегрированность национальных экономик и общий потенциал региона. Однако, СНГ не следует считать геополитической или гоеэкономической альтернативой ЕС или АТЭС. Напротив, успех нашего развития будет зависеть от того, насколько объединительные тенденции на постсоветском пространстве смогут влиться в мировой интеграционный процесс и стать его органичной частью.
Список использованной литературы
Геец В. Трансформационные преобразования в Украине: переосмысливая пройденное и думая о будущем. Общество и экономика. 2006 №3, стр. 23-53.
Джованни А. Корниа. Загадки роста в Узбекистане и Вашингтонский консенсус. Проблемы теории и практики управления. 2004, №6,стр. 31-37
Зиядуллаев Н. СНГ: Выбор стратегии развития. Мировая экономика и международные отношения. 2000 №3, стр. 80-84.
Зиядуллаев Н. Современная экономическая ситуация в СНГ. Вопросы экономики. 2006, №5 стр. 80-91
Киреев А. Международная экономика. – М.: Международные отношения, 2006.
Конеченков А. Е. Возобновляемая энергетика Украины. Энергия. 2006 №11, стр. 15-19.
Мировая экономика и международные экономические отношения / Под ред. проф. Хасбулатова Р. И. В 2-х т. – М.: Гардарики, 2006.
Шапран В. Металлургический сектор Украины: тенденции развития. Рынок ценных бумаг. 2006 №18 ,стр. 70-74.
Щуриков А. Украина: тенденции развития экономики и государственный долг. Рынок ценных бумаг. 2003 №20, стр. 75-79.
Эксперт. Под ред. Фадеева В. Специальный выпуск от 25-31 декабря 2006.
International Trade Statistics 2006. – Switzerland. World Trade Organization.
UNCTAD Handbook of Statistics 2005. – New York and Geneva. United Nation.
World Economic Situation and Prospects Report 2007. – NY and Geneva. United Nation.
www.cisstat.com. Сайт комитета статистики СНГ.
www.belstat.gov.by. Сайт комитета статистики Белоруссии.
www.easttime.ru./countries/. «Время Востока» система обмена информацией
www.econedlink.org National Council on Economic Education.
www.eduworld.ru Межвузовская коллекция рефератов.
www.gov.uz. Сайт правительства Узбекистана.
www.kazembassy.ru Посольство Казахстана в РФ.
www.stat.kz. Сайт комитета по статистике Казахстана.
www.stat.uz. Сайт комитета по статистике Узбекистана.
www.ukrstat.gov.ua. Сайт комитета по статистике Украины.
www.unctad.org.United Nation Conference ion Trade and Development.
www.uzembassy.ru/uzb_rus.htm Посольство Узбекистана в РФ.
www.wikipedia.com. Википедия – Свободная энциклопедия.
www.wto.org World Trade Organization.
1 http://www.easttime.ru/news/1/1/225.html
2 Источник: Сайт комитета статистики СНГ www.cisstat.com
3 Источник: Агентство по статистике Казахстана www.stat.kz и Handbook of statistics www.unctad.org
4 Источник: Сайт комитета статистики СНГ www.cisstat.com
5 Источник: Сайт комитета статистики СНГ www.cisstat.com
6 Источник: Сайт комитета статистики СНГ www.cisstat.com.
7 Источник:www.cisstat.com Комитет статистики СНГ
8 Источники: www.unctad.org. Handbook of Statistics, www.stat.uz. Сайт комитета статистики Узбекистана.
1