Организм и внешняя среда
Содержание
1. Организм как биологическая система 2
2. Источники энергии жизнедеятельности 4
3. Строение белков и их роль в организме 6
4. Нуклеиновые кислоты и синтез белков 9
5. Взаимоотношения организма со средой 12
1. Организм как биологическая система
Основные структурные единицы организма — клетки, которые вместе с межклеточным веществом складываются в ткани и органы. Органы объединяются в функциональные системы (пищеварения, дыхания, кровообращения и др.) и образуют организм, вся жизнедеятельность которого у человека и животных (за исключением наиболее примитивных) интегрируется и координируется нервной системой. От внешней среды организм отграничен наружными покровами, внутренней поверхностью дыхательных путей и легких, слизистыми оболочками органов пищеварения и выделения, воспринимающими воздействия внешней среды.
Клетки — основные «кирпичики», из которых построен организм. Они тоже имеют весьма сложное строение и окружены мембранами, состоящими из белков и жироподобных веществ — фосфолипидов. Мембраны могут пропускать одни вещества и закрывать вход для проникновения других или осуществлять транспорт веществ только в одну сторону, препятствуя обратному движению.
Поэтому клеточные мембраны называют полупроницаемыми.
Такие же мембраны разделяют клетку на отдельные «отсеки», или компартменты, и окружают различные клеточные органоиды. К числу таких «органов» клетки принадлежит прежде всего ядро, где хранится наследственный фонд клетки, ее генный аппарат, и где происходит начальный этап синтеза белков. Не менее важными органоидами являются митохондрии — «энергетические станции» клетки, освобождающие энергию из окисляемых веществ и превращающие ее в легкоутилизируемую форму, позволяющую клетке использовать эту энергию в своей жизнедеятельности. Митохондрии представляют собой округлые или слегка вытянутые образования, состоящие из двух мембран: внешней и внутренней. На складках, или гребнях, внутренней мембраны в строго определенном порядке встроены ферменты биологического окисления и компоненты дыхательной цепи.
К органоидам клетки относятся также лизосомы — маленькие пузырьки, содержащие ферменты, осуществляющие внутриклеточное переваривание и расщепляющие сложные биологические соединения (белки, нуклеиновые кислоты и др.), внутриплазматическая сеть (ретикулум) и пластинчатый комплекс — мембранные образования, участвующие в ионном транспорте, процессах секреции и многих биологических синтезах. На мембранах митохондрий и других органоидов жестко встроены, а в полужидком внутреннем белковом содержимом клетки (цито-золе) растворены различные ферменты — белковые биологические катализаторы, при помощи которых в клетке происходят все химические реакции.
Однако жизнь — в первую очередь не структура, а процесс. Это постоянное обновление всех структур клетки и организма в целом. Все вещества, из которых построен организм и которые он вырабатывает, постоянно обновляются. Так, полупериод жизни некоторых выделяемых железами внутренней секреции гормонов составляет 1 — 5 мин, сахара в крови — 19 мин, гликогена в печени — 20—24 ч, гликогена в мышцах — 3—4 сут, белка в печени — 4—10, резервного жира — 16—20, а сократительных белков мышц — около 30 сут. Относительно стабильной является лишь хранящая наследственную информацию ДНК.
Обмен веществ — основное свойство и условие существования живой материи — заключается в непрерывном поступлении в организм веществ, служащих источниками энергии и пластическим материалом, в усвоении (ассимиляции) этих веществ и в использовании их с последующим выделением из организма продуктов их расщепления. Таким образом, живой организм представляет собой «открытую химическую систему», через которую постоянно проходит поток веществ и энергии.
Все это принципиально отличает живые организмы от любых самых сложных и «умных» машин, которые представляют собой статичные системы с фиксированной конструкцией. Машины можно разобрать на детали, четко отграничив их друг от друга. Машины нуждаются в энергии лишь тогда, когда работают. Живые организмы не разделены на «детали», в них все тесно связано в единую систему, все взаимозависимо. В них нельзя даже четко различить структурные материалы и источники энергии: то, что образует структуру, может быть и источником энергии, а источники энергии могут входить в состав структур. Наконец, живые организмы нуждаются в энергии не только тогда, когда они выполняют внешнюю работу; их структуры могут поддерживаться лишь при непрерывной затрате энергии. Перерыв в снабжении ею приводит к необратимой утрате структуры и к смерти. Живой организм сам себя строит, поддерживает в «рабочем состоянии», ремонтирует, регулирует и воспроизводит.
2. Источники энергии жизнедеятельности
Каким же образом черпает организм необходимую ему энергию? Энергия освобождается в митохондриях клеток при окислении различных органических веществ, но используется не сразу, а накапливается в легкоутилизируемой форме в виде макроэргических (высокоэнергетических) соединений. При их расщеплении без промежуточного образования тепла химическая энергия их внутримолекулярных связей преобразуется в другие формы энергии: механическую, электрическую, световую и т. п.
Основным и главнейшим макроэргом является АТФ, состоящая из азотистого (пуринового) основания — аденина, пятиуглеродного сахара — рибозы и трех, последовательно присоединенных к ней молекул фосфорной кислоты. Отщепление от АТФ концевой и второй фосфатных групп приводит к освобождению по 30 кДж энергии на каждый моль: АТФ+Н>2>О->АДФ+Ф+30 кДж; АДФ+ Н>2>О->АМФ+Ф+30 кДж, где Ц — неорганический фосфат.
АТФ — источник энергии всех биологических процессов: движения, теплообразования, биоэлектрических явлений, различных биологических синтезов и даже нервной деятельности (схема 1). Расщепление АТФ необратимо: энергия макроэргической связи используется на внешнюю работу и уходит из сферы реакции. А так как потребность организма в АТФ исключительно велика, необходимо постоянное регенерирование этого вещества, образование новых молекул АТФ. Происходит это в процессе аэробного (с участием кислорода) или анаэробного (без него) окисления, сопряженного с фосфорилированием АДФ, а также путем креатинкиназной реакции.
В ходе аэробного и анаэробного (гликолитического) окисления образуются промежуточные макроэргические фосфорные соединения, фосфатная группа которых соответствующими ферментами «пересаживается» со всем запасом энергии на АДФ. Эти так называемые фосфо-трансферазные реакции происходят таким образом, что фермент сближает образовавшийся макроэрг и АДФ настолько, что между ними становятся возможными обмен электронами и возникновение связи фосфата с АДФ при одновременном отщеплении первого от исходного макроэрга (рис. 1).
В принципе так же протекает и креатинкиназная реакция. КФ содержится в клетках как источник макро-эргических фосфатов для регенерации АТФ в экстренных случаях. Реакция эта происходит очень быстро: она не требует ни кислорода, ни расщепления каких-либо органических веществ, так как макроэргическая связь фосфата КФ обладает таким же запасом энергии, как и макроэргические связи в молекуле АТФ: КФ +АДФ креатин + АТФ.
Реакция эта обратима в зависимости от концентраций КФ и АТФ: когда концентрация КФ высока, а АТФ низка, она идет вправо, а при обратных соотношениях — влево. Таким образом, в ходе этой реакции избыток АТФ создает предпосылки для собственной ее экстренной регенерации. Естественно, что вследствие большого и непрерывного расходования АТФ она чрезвычайно быстро обменивается: полупериод жизни ее менее 1 мин, и за 1 сут каждая молекула ее обновляется (расщепляется и вновь регенерируется) 2400 раз!

Расходование и генерирование АТФ: І — освобождение энергии, ІІ — преобразование энергии и совершаемая работа

Реакция перефосфорилирования (фосфотрансферазная)
Итак, жизнь — постоянное обновление белковых структур организма. Как же происходит этот процесс?
3. Строение белков и их роль в организме
Полное или частичное расщепление белков осуществляется особыми ферментами — внутриклеточными протеиназами и пептидазами — путем гидролиза, т. е. расщепления с присоединением воды по месту разрыва связи: AB + HOH -> АН - ВОН. А вот синтез белков намного сложнее.
Основными «кирпичиками» белков служат аминокислоты — органические соединения, содержащие щелочную аминогруппу (— NH>2>) и кислотную — карбоксил (—СООН), т.е. являющиеся одновременно и основаниями, и кислотами:

В образовании белков участвует до 20 различных аминокислот, соединяющихся в разной последовательности в длинные цепи, называемые полипептидными. Аминокислоты в них связаны друг с другом группами —NH>2 >и —COOH так, что к аминогруппе одной аминокислоты присоединяется карбоксил другой и т. д. Такую связь называют пептидной:

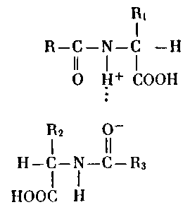
Рассмотрим строение белков подробнее. Эти сведения понадобятся нам в дальнейшем, так как основные приспособительные изменения организма на молекулярном уровне прежде всего и главным образом касаются структуры и свойств клеточных белков. Белки — макромолекулы, в состав которых входит от 100 до нескольких тысяч аминокислотных остатков, что обусловливает их большую ММ, измеряемую десятками и сотнями тысяч атомных единиц массы, диаметром от 5 до 100 нм. Более короткие цепи (от 2 до 10) называют пептидами, а от 10 до 100 аминокислотных остатков — полипептидами. Пептидная цепь — лишь первичная структура белка, способная образовывать высшие структуры: свертывание цепи в клубок (глобулярные белки) или принятие ею нитчатой формы (фибриллярные белки). Связи между атомами, составляющими белковую молекулу, могут быть различными и обладать неодинаковой прочностью. Наиболее npo4Hbf ковалентные связи, т. е. такие, в которых пара электронов находится во владении двух смежных атомов. В белках такими связями соединены остатки аминокислот и атомы, их составляющие. Иначе говоря, первичная структура белка достаточно прочна, так как пептидная цепь построена с помощью ковалентных связей. Но есть связи и другого типа, например водородные, возникающие между двумя атомами с помощью водорода (чаще всего между атомами кислорода и азота). Дело в том, что у кислорода в местах соединения аминокислот друг с другом (т. е. в пептидной связи) имеется небольшой отрицательный заряд, а у азота — небольшой положительный, так как у ядер атома кислорода больше сродство с электронами, чем у ядер азота. Вследствие этого ковалентная пара электронов, связывающая водород с азотом, смещается — и атом водорода оказывается между двумя заряженными центрами:

С помощью этих связей образуется вторичная структура белковой молекулы, например спирализация ее, появляются складчатые и нитчатые структуры. При образовании третичной структуры, т. е. пространственной упаковки спирализованных и неспирализованных участков белковой модекулы (например, в шарообразных, глобулярных белках), большое значение имеет возникновение мостиков за счет двух атомов восстановленной серы (R—S —S-Ri, где R и Ri — два участка полипептидной цепи). Кроме того, здесь принимают участие и электростатические (ионные) связи, появляющиеся между двумя ионизированными атомами (опять же, как правило, между азотом и кислородом):

Наконец, четвертичная (наиболее сложная) структура — связь между несколькими одинаковыми или различными белками (называемыми протомерами), объединяющая их в одно целое (олигомер). Такая структура поддерживается ионными или водородными связями. Существуют и другие связи, менее прочные, чем кова-лентные, например взаимодействие свободных групп ОН и СООН, неполярных углеводородных радикалов и др.
Разрыв нековалентных связей приводит к нарушению высших белковых структур, называемому денатурацией белков. При этом белки утрачивают ряд своих функциональных свойств, становятся более доступными действию расщепляющих их ферментов. Денатурация в зависимости от степени ее и условий может быть и обратимой, и необратимой.
4. Нуклеиновые кислоты и синтез белков
Чем же обусловлена строго определенная последовательность аминокислот в белках? Как показали многочисленные исследования, информация об этом закодирована в генном аппарате клеток (геноме), т. е. в ДНК хроматина клеточного ядра. Для каждого синтезируемого в организме белка имеется своя ДНК (или участок цепи ДНК), и синтезированы могут быть только те белки, структура которых закодирована в геноме. ДНК —- сложные макромолекулы (с MM от 10000 до миллионов атомных единиц), представляющие собой цепи соединенных друг с другом нуклеотидов (от 2000 до IO8 ед.) и образующие двойную спираль.
Каждый нуклеотид состоит из азотистого (пуринового или пиримидинового) основания, пятиуглеродного сахара дезоксирибозы и остатка фосфорной кислоты. Из азотистых оснований в состав ДНК входят аденин, гуанин, цитозин и тимин,2 причем двойная цепь ДНК построена так, что против аденина одной цепи находится тимин другой, а против гуанина располагается цитозин. Между этими парами (так называемыми комплементарными) и образуются связи между двумя цепями ДНК. Каждой входящей в состав того или иного белка аминокислоте соответствует тройка (триплет, или кодон) последовательно соединенных оснований; порядок же аминокислот в белке определяется соответствующим расположением триплетов.
Синтез белка начинается с образования иРНК. РНК отличаются от ДНК тем, что в них вместо тимина присутствует азотистое основание — урацил, вместо дезоксирибозы — рибоза, а также тем, что они одноцепочечные. Синтезируется иРНК в клеточном ядое по образцу соответственной ДНК, как бы считывая часть содержащейся в ней информации, копируя последовательность оснований в ДНК, определяющую структуру синтезируемого белка. Это процесс транскрипции, который можно сравнить с раскроем ткани по выкройке. Затем иРНК покидает ядро и передает полученную информацию в место синтеза — рибосомы, построенные из особой рРНК, т. е. происходит процесс трансляции. При помощи иРНК рибосомы объединяются в комплексы — полирибосомы. Одновременно активируются необходимые аминокислоты и при затрате энергии АТФ соединяются с третьим видом РНК — тРНК, т.е. совершается процесс рекогниции, или узнавания. Активированные аминокислоты транспортируются к рибосомам. Предполагается, что рибосомы движутся вдоль молекулы иРНК и как бы считывают принесенную ею информацию, по мере продвижения синтезируя полипептидную цепь. При этом иРНК расщепляется — и остатки ее используются для синтеза новых иРНК.
Белки в организме синтезируются практически все время, но далеко не с полным использованием потенциальных возможностей. Некоторые участки генома могут быть на то или иное время репрессированы, т. е. выключены присоединением к ДНК различных веществ (в частности, щелочных белков гистонов). Для того чтобы данный участок опять включился в работу, необходимо отщепление этих веществ, т. е. дерепрессия. Кроме того, для начала синтеза белка должна произойти индукция его, которая также осуществляется присоединением к ДНК различных веществ. При этом дерепрессорами и индукторами могут быть самые различные вещества: гормоны, продукты обмена веществ и др. Природа их до конца еще не изучена.
Состав генома строго стабилен и практически не изменяется под влиянием внешних и внутренних воздействий. Тем не менее в ряде случаев возможно и изменение состава ДНК, замена одного основания другим. Такое явление называют мутацией. В этом случае закодированный на данном участке ДНК белок уже не может синтезироваться с прежней последовательностью аминокислот. Он или совсем перестает образовываться, или создается с измененной структурой. При этом он или теряет свои функциональные свойства, или приобретает новые. Мутации могут наносить вред организму, иногда они приводят его даже к гибели (так называемые летальные мутации). Но они могут и совпадать с интересами организма, сообщая ему новые свойства, способствующие лучшему приспособлению его к условиям среды. В настоящее время мутации осуществляются и искусственно, что открывает широкие перспективы для преобразования живых организмов.
5. Взаимоотношения организма со средой
Ни один живой организм нельзя представить вне окружающей среды и вне взаимодействия с нею. Из среды организм получает питательные вещества и кислород, в нее отдает конечные продукты обмена веществ. Среда воздействует на него рядом своих факторов: лучистой энергией (световой, ультрафиолетовой, радиоактивной), электромагнитными полями, атмосферным и гидростатическим (для ведущих водный образ жизни) давлением, температурой, различными химическими веществами. Она же неизбежно предполагает взаимодействие с другими живыми организмами.
От окружающей среды организм непрерывно получает информацию, на которую реагирует в виде ответных действий: движения, речи (у животных — издания тех или иных звуков), мимики, поедания пищи и т. п. Таким образом, живой организм непрерывно пропускает через себя не только вещества и энергию, но и поток информации.
Воспринимается информация специальными рецеп-торными аппаратами — органами чувств, затем передается центральной нервной системе, где происходит «узнавание» сигнала и формирование ответной реакции. Информация проходит по каналам связи либо в виде электрических импульсов по нервным волокнам в ту или другую сторону (нервная связь), либо с помощью химических веществ по кровяному руслу (гуморальная связь). При этом нервная связь четко направлена на определенный участок (центр) нервной системы или орган, а гуморальная связь более генерализованная, т. е. направлена не на одну мишень, а сразу на несколько. Воспринимающая возможность различных рецепторов и пропускная способность каналов связи неодинаковы, поэтому поток информации, получаемый рецептором, передаваемый от него к центру и сохраняющийся в памяти, тоже различен.
Количество информации принято измерять в двоичных знаках — битах. У человека поток информации через зрительный рецептор равен 108-109 бит/с. Нервные пути пропускают 2 · 106 бит/с. До сознания доходит около 50 бит/с, а в памяти прочно задерживается только 1 бит/с. Таким образом, за 80 лет жизни память удерживает информацию порядка 109 бит. Следовательно, мозгом оценивается не вся, а наиболее важная информация. На пути к нему все несущественное устраняется, отфильтровывается.
Получаемая от среды информация определяет работу функциональных систем организма и поведение человека или животного, регулируя их: усиливая или ослабляя.
Для управления поведением человека и активностью его функциональных систем (т. е. выходной информацией, идущей из мозга) достаточно около 107 бит/с при подключении программ, содержащихся в памяти.
Жизнедеятельность организма регулируется прежде всего на субклеточном и молекулярном уровнях. Это химическая авторегуляция реакций обмена веществ. Она решает местные задачи и является основой всех видов регуляции. Осуществляется она путем изменения концентраций метаболитов, повышения или снижения активности и количественного содержания ферментов, т. е. усиления или угнетения их синтеза, структурных изменений их и других функциональных белков. Но регуляция происходит и на более высоких уровнях: клетки в целом, ткани, органа, функциональной системы, организма. Чем на более высокий уровень передаются управляющие выходные сигналы, тем более обобщенный характер они носят. У человека и животных высшим центром, управляющим вегетативными функциями (кровообращением, дыханием, движением, выделением гормонов и т.п.), является гипоталамус, расположенный в нижней части промежуточного мозга, имеющий связи с системой желез внутренней секреции, другими частями мозга и центром сознания — его корой. Поступающие сигналы могут осознаваться или не осознаваться. Управляющие ответы на неосознанные сигналы среды могут осуществляться гипоталамусом и без участия высшего отдела головного мозга — его коры.
В обычных, привычных для организма условиях среды он находится в уравновешенном с ней состоянии. Он сохраняет постоянство как уровня активности функциональных систем, так и состава своей внутренней среды. Но условия среды могут изменяться в неблагоприятную для организма сторону. Нередко эти изменения происходят очень быстро, а порой несут тревожную информацию. Но организм далеко не всегда может сразу настроиться так, чтобы без существенного вреда перенести новые условия. Так, оказавшись на высоте, где снижено парциальное давление кислорода и углекислоты, под влиянием получаемой информации организм перестраивает свою функциональную активность на изменившиеся уровни: возрастают частота и минутный объем дыхания, частота сердечных сокращений, увеличивается объем циркулирующей крови, но степень насыщения артериальной крови кислородом все равно снижается.
Влияние пониженного барометрического давления на некоторые функции организма человека
|
Давление, кПа |
Высота над уровнем моря, M |
Парциальное давление в альвеолярном воздухе, кПа |
Частота в 1 мин |
Минутный объем дыхания, л/мин |
Объем циркулирующей крови, мл/кг |
Насыщение артериальной крови кислородом,% |
||
|
O2 |
CO2 |
дыхания |
сердечных сокращений |
|||||
|
99.1 |
0 |
13.3 |
5.0 |
12 |
70 |
8.8 |
38 |
98 |
|
64.2 |
3658 |
6.3 |
4.9 |
14 |
103 |
9.1 |
60 |
85 |
|
54.8 |
4877 |
5.5 |
4.1 |
12 |
103 |
9.5 |
70 |
80 |
|
50.4 |
5486 |
5.0 |
3.4 |
12 |
108 |
11.1 |
70 |
77 |
|
46.4 |
6009 |
4.5 |
3.3 |
13 |
107 |
13.0 |
70 |
76 |
|
42.7 |
6705 |
4.0 |
3.2 |
15 |
124 |
15.0 |
70 |
64 |
Если человек впервые попал в горы и не подготовлен к таким условиям, у него вследствие недостатка кислорода (гипоксии) и повышенной отдачи возбуждающей дыхательный центр углекислоты (гипокапнии) может развиться горная болезнь. Сначала появляются общая слабость и головная боль, нарушается восприятие вкуса и запахов (например, начинает казаться, что колбаса пахнет рыбой, а хлеб горек), угнетается психика, затем присоединяются слуховые и зрительные галлюцинации, и человек теряет сознание. Дыхание то останавливается, то (по мере накопления в крови углекислоты) возобновляется, потом (в связи с удалением СО>2> из крови) снова прекращается и т. д. Если человеку при этом не дать кислородный аппарат или не спустить его на более низкий уровень, он может погибнуть. Так было, например, в прошлом веке с экипажем французского воздушного шара «Зенит», занесенного на большую высоту, в результате чего все три человека, находившиеся в гондоле, умерли. Трагически окончилось и восхождение альпинистов одной зарубежной команды, которые, будучи на высоте 6000 м без кислородных приборов, оказались вследствие неожиданного изменения погоды в условиях барометрического минимума циклона, соответствующего высоте более 10 ООО м.
Значит, к пребыванию на высотах, к условиям гипоксии, организм должен адаптироваться постепенно, так как экстренное приспособление организма, не подготовленного к пребыванию в гипоксичееких условиях, не является полным и при большой силе воздействия среды оказывается недостаточным. В наше время ни один альпинист не пойдет на восхождение без предварительной горной акклиматизации.
Приведем пример действия высоких и низких температур. Жизненные процессы возможны только в строго ограниченных рамках температуры тела, например для обезьян это от 13-14 до 43-45°С. Температуры выше и ниже этих границ несовместимы с жизнью. Но и в пределах допустимого диапазона температуры тела в организме возможен ряд неблагоприятных изменений. От температуры тела зависит кинетическая энергия атомов и молекул организма. Если она будет слишком велика (при высоких температурах) или слишком мала (при температурах низких), это неблагоприятно скажется на обмене веществ, на скорости, с которой протекают жизненные процессы, и на клеточных структурах, от которых зависит жизнь. Дело в том, что все ферменты организма имеют определенный температурный оптимум действия, при котором они проявляют наибольшую активность. Этот оптимум близок к температуре тела. При отклонении температуры от оптимума (и в ту, и в другую сторону) активность ферментов снижается. При сдвигах температуры тела изменяются высшие структуры белков и РНК. Так, низкие температуры приводят к нарушению третичной и четвертичной структур многих белков. Если это белок-фермент, то активность его снижается. Высокие температуры так влияют на тРНК, что они теряют способность присоединять и транспортировать аминокислоты, необходимые для синтеза белка. Под влиянием изменений температуры нарушается и взаимодействие гормонов с рецепторными белками тканей, а следовательно, и гормональная регуляция функций организма и его обмена веществ.
Естественно, что все эти изменения приводят к нарушению ряда функций организма. В процессе обмена веществ во всяком организме происходит образование тепла. Источником его является АТФ (см. схем. 1), если она гидролитически расщепляется без трансформации ее химической энергии в энергию какой-либо физиологической работы (движения, электрофизиологических процессов, осмотической работы и пр.). Но не все организмы могут сохранять это тепло, поддерживая постоянство температуры тела. Этой способностью обладают лишь птицы и млекопитающие (как животные, так, естественно, и человек). Их называют гомойотермными организмами. Температура тела беспозвоночных, рыб, амфибий и рептилий зависит от температуры окружающей среды и практически равна ей. Это пойкилотермные организмы. Поэтому термический оптимум, в котором особь ведет активную жизнь, у гомойотермных значительно шире, чем у пойкилотермных, хотя границы выживаемости в условиях температурного максимум- и минимум-пессимума практически одинаковы (рис. 3).
При низких температурах (но совместимых с жизнью) пойкилотермные животные впадают в спячку или крайне малоактивны. Например, муха цеце при температуре среды 21 0C активно летает, с 20 до 140C взлетает лишь тогда, когда чем-то обеспокоена, при 10 0G способна только бегать, а при 8 0C и ниже неподвижна. Не имея возможности регулировать температуру тела и поддерживать ее на постоянном уровне, пойкилотермные при изменении термических условий стараются активно избегать крайних температур. Например, рыбы, живущие в прибрежной зоне тропических морей, во время отлива, когда вода сильно прогревается, уходят в более глубокие места, где вода прохладнее, а рыбы замерзающих рек зимой тоже уплывают в глубину, где вода теплее, чем в местах соприкосновения ее со льдом. Амфибии и рептилии в прохладное время греются на солнце, а в жаркое время прячутся в тень или укрываются в норах. Наконец, некоторому поддержанию температуры тела у пойкило-термных помогает то, что они близко располагаются между собой. В летнее время пчелы в улье находятся вдали друг от друга и при этом вентилируют пространство взмахами крыльев, что способствует лучшему испарению влаги и охлаждению. Зимой же они собираются вместе, образуя плотную массу, ограничивая тем отдачу своего тепла. По данным японских исследователей, температура в улье поддерживается на уровне 18-—22 0C при внешней температуре от 11 до —7 °С. Все это помогает уклоняться от вредоносного действия термического фактора, но не делает животных менее чувствительными к нему.
Иное дело гомойотермные организмы, у которых наряду с мощными возможностями теплопродукции существует и весьма совершенная система терморегуляции. Образование тепла у них, как и у всех животных, происходит за счет окислительных процессов и расщепления АТФ, а отдача его — тремя путями: конвекцией, т. е. проведением от более теплого организма к более холодной среде (30%), излучением (45%) и испарением воды, способствующим охлаждению (25%). При этом 82% тепла отдается через кожу, 13% — через органы дыхания, 1.3% — с мочой и испражнениями, 3.7% идет на согревание съеденной пищи и выпитой воды. При повышении внешней температуры теплопродукция уменьшается, а теплоотдача увеличивается; при понижении же ее возрастает теплопродукция и падает теплоотдача. Это основное отличие гомойотермных от пойкилотермных: с повышением внешней температуры интенсивность обмена веществ у последних становится больше, а при понижении ее резко уменьшается.
Поддержание постоянства температуры тела у гомойотермных осуществляется как на органном уровне, так и на субклеточном — молекулярном. Регуляция теплоотдачи проведением и излучением основана на изменении кожного кровообращения. При высоких внешних температурах сосуды внутренних органов суживаются, а кожные расширяются, что усиливает теплоотдачу; при низких температурах — наоборот, и теплоотдача резко сокращается. Отдача тепла испарением обеспечивается потоотделением, так как испарение пота охлаждает организм. Испарение 1 г пота отнимает у организма около 2.0 кДж тепла. При повышении внешней температуры потоотделение резко увеличивается: до 0.5 — 1.0 л/ч, т. е. доходит до 24 л/сут. У животных, не имеющих потовых желез (например, у собак), местом испарения влаги является слизистая оболочка языка и полости рта. Всем известно, что во время жары собака раскрывает пасть, высовывает язык и учащенно дышит: вместо испарения пота происходит испарение слюны.
Все эти механизмы теплоотдачи регулируются центральной нервной системой — тепловым центром, расположенным в гипоталамусе. Если мозг перерезать ниже гипоталамуса, то гомойотермное животное становится пойкилотермным. Тепловой центр состоит из двух центров: теплопродукции и теплоотдачи. Раздражение первого приводит к повышению температуры, увеличению газообмена, сужению кожных сосудов и ознобу, усиливающему теплообразование в мышцах; раздражение второго — к одышке, потоотделению, расширению кожных сосудов и падению температуры тела. Возбуждение обоих центров происходит и рефлекторно: в результате сигналов от кожных рецепторов — термочувствительных нервных окончаний, и химическим путем: при транспортировке кровью гормонов и некоторых других химических веществ.
Однако, несмотря на все свойственные гомойотермным механизмы терморегуляции, резкие и значительные изменения температуры среды могут быть гибельными для организма. При высоких температурах резко сокращается отдача тепла конвекцией. Уже при 30 0C она затруднена, а при температуре выше 37 0C невозможна. В условиях высокой влажности затрудняется и теплоотдача испарением пота. При одинаковой внешней температуре во влажном климате субтропиков и тропиков организм переносит высокую температуру среды труднее, чем в сухом (например, в Средней Азии или Египте). В парной бане, где влажность доходит до 90—97%, человек еле выдерживает температуру 45—50 °С, а в сауне, где воздух сухой, при 100 и даже 120 0C испытывает удовольствие. Длительное пребывание в условиях высокой температуры при недостаточной теплоотдаче приводит к перегреванию организма, повышению температуры тела выше 40 °С, нарастанию слабости, нарушению деятельности сердца и центральной нервной системы, сгущению и резкому повышению вязкости крови (из-за большой отдачи воды организмом), потере сознания, судорогам. Если не оказать срочную помощь, человек может погибнуть от теплового удара.
Кратковременное действие как холода (например, обтирание тела снегом, окунание в прорубь после жаркой бани, «моржевание»), так и высокой температуры не вызывает расстройства терморегуляции и даже не только полезно, но и приятно. Однако при длительном действии холода, не компенсируемом усилением теплопродукции и уменьшением теплоотдачи, наступает переохлаждение организма, снижается температура тела — и организм замерзает.
При уменьшении температуры тела до 31 —27 0C поглощение кислорода и обмен веществ возрастают, наблюдается сильная дрожь. При падении температуры ниже 19—20 0C поглощение кислорода прогрессивно снижается, меньшей становится интенсивность обмена веществ, дрожь прекращается, исчезает реакция на боль, дыхание ослабляется, теряется сознание. При таких степенях охлаждения гомойотермный организм становится пойкилотермным, температура его теперь уже зависит от температуры окружающей среды и при падении ее ниже О 0C он замерзает. Если замерзание происходит медленно и постепенно, то оно может быть обратимым, но быстрое замерзание всегда необратимо, так как при этом в клетках образуются кристаллы льда, разрушающие клеточные структуры. Вместе с тем даже весьма значительное снижение температуры тела, проведенное осторожно в клинических условиях, не представляет смертельной опасности и в настоящее время практикуется при хирургических операциях на сердце, когда приходится останавливать кровообращение. Устойчивость организма к температурным влияниям, расширение оптимальной зоны температур, как и повышение сопротивляемости организма гипоксии, может быть достигнуто постепенным приспособлением его к изменениям температурных условий.
Неблагоприятной для организма может быть и чрезмерная (слишком интенсивная или длительная) мышечная деятельность. Всем известен пример с афинским воином, которого полководец Мильтиад послал с Марафонского поля сражения в Афины сообщить о победе над персами. Воин пробежал 42 км 195 м, успел сказать на городской агоре: «Мы победили» — и упал замертво. А сколько происходит трагических случаев в повседневной жизни! Побежал один немолодой человек за транспортом, чтобы успеть сесть в трамвай или автобус, «задохнулся» на полпути, появившиеся одышка и слабость заставили его остановиться или перейти на спокойный шаг, а другой при таком беге и упал с инфарктом миокарда. Или поднял человек большую тяжесть, перенапрягся, и у него произошло острое расширение сердца и нарушилось кровообращение. А тренированный спортсмен и марафонскую дистанцию пробегает, не падая замертво на финише, и развивает при беге скорость, недоступную для неспортсмена, и поднимает большие тяжести, которые нетренированному организму не под силу. Дело в том, что интенсивная или длительная мышечная деятельность сопровождается резким возрастанием расхода энергии. Если в состоянии постельного покоя человек расходует 0.067 кДж/с, то при марафонском беге — 1.0, а при беге на 100 м — 10.0 кДж/с. Естественно, что это требует и очень большого расходования источников энергии, и увеличения поглощения кислорода, необходимого для их окисления, и значительного усиления сердечной деятельности для транспортировки поступившего в организм кислорода от легких к мышцам. Степени возрастания этих физиологических параметров, доступные тренированному спортсмену, не может осилить человек, должным образом физически не подготовленный. Значит, и к интенсивной или длительной мышечной деятельности организм может (и должен) приспособиться, но с помощью соответствующей тренировки.
Встречаясь с болезнетворными микробами, один человек не заболевает, другой заболевает, но переносит болезнь или легко, или в тяжелой форме, а третий умирает от нее. Чем же определяется устойчивость организма к инфекциям? На этот вопрос отвечает активно развивающаяся отрасль медицины — иммунология. Основой иммунитета являются синтезируемые организмом антитела — особые белки, относящиеся к группе высокомолекулярных глобулярных белков — иммуноглобулинов. Причиной заболевания являются болезнетворные микробы или продукты их жизнедеятельности — токсины, имеющие белковую природу. Антитела, присоединяясь к ним, или обезвреживают их, или обрекают на переваривание особыми клетками — фагоцитами (т. е. «пожирающими» клетками). Этот процесс далеко не так прост. Что стимулирует выработку антител? Где они вырабатываются? Почему они специфичны в отношении одних инфекций и неактивны против других? Почему, например, прививка против брюшного тифа или оспы не создает иммунитета против холеры или чумы?
Выработку антител стимулирует само болезнетворное начало — микроб, имеющий, как все живое, белковую природу. Микробный и всякий другой чужеродный белок в иммунологии называют антигеном. Иммунные тела (антитела) вырабатываются специфически направленно против каждого конкретного антигена. Но в крови содержится определенное количество и неспецифических антител, менее эффективных, но способных вступать во взаимодействие с разными антигенами. Это неспецифические иммуноглобулины крови, обусловливающие общую устойчивость организма к инфекциям. Именно этим неспецифическим иммунитетом объясняется, почему, встретившись с одной и той же инфекцией, один человек заболевает и болезнь у него протекает в тяжелой форме, другой заболевает, но переносит болезнь даже на ногах, а третий вовсе не заболевает. Чем же объяснить это? Образование специфических антител — синтез новых белков, нужных организму лишь при встрече с инфекцией, а вне этого не принимающих участия ни в обмене веществ, ни в построении клеточных структур.
Мы уже знаем, что организм синтезирует лишь те белки, структура которых закодирована в геноме клеток. Ведь не могут же быть предусмотрены в нем структуры антител против всех возможных, несвойственных организму чужеродных белков. Этот вопрос «узнавания» антигенов и синтез специфических антител против них — один из актуальнейших и «горячих» вопросов иммунологии, и к нему мы еще вернемся. Пока же констатируем, что для противостояния инфекциям существует специфический и неспецифический иммунитет, зависящий от выработки специфических и неспецифических иммуноглобулинов. Он может усиливаться вследствие перенесенного инфекционного заболевания или ослабляться под влиянием повреждающих факторов среды; его можно получить и искусственно путем прививок, т. е. введением в организм белка убитых микробов (вакцин), не вызывающего заболевания, но приводящего к выработке специфических антител.
Но есть факторы среды, против которых у организма человека и животных нет специфической защиты. Это проникающая радиация и различные химические агенты, которые могут попадать в организм с вдыхаемым воздухом, водой и пищей. Химические вещества весьма разнообразны, и трудно предусмотреть, какие «сюрпризы» в этом плане принесет дальнейшее развитие науки и техники. Но, как мы увидим, и к ним организм может в какой-то степени приспособиться.