Зовнішньоекономічна діяльність та її вплив на ефективність діяльності підприємств харчової промисловості на прикладі рибопереробного підприємства АТЗТ компанія "Бастіон"
Міністерство освіти та науки України
Дніпропетровській національний університет
Факультет заочної та дистанційної освіти
Кафедра менеджменту
ДИПЛОМНА РОБОТА
на тему
«Зовнішньоекономічна діяльність та її вплив на ефективність діяльності підприємств харчової промисловості»
(на прикладі рибопереробного підприємства АКЦІОНЕРНЕ ТОВАРИСТВО ЗАКРИТОГО ТИПУ КОМПАНІЯ "БАСТІОН", м. Дніпропетровськ)
Дніпропетровськ -2008
РЕФЕРАТ
Дипломна робота на тему «Зовнішньоекономічна діяльність та її вплив на ефективність діяльності підприємств харчової промисловості» (на прикладі рибопереробного підприємства АКЦІОНЕРНЕ ТОВАРИСТВО ЗАКРИТОГО ТИПУ КОМПАНІЯ "БАСТІОН", м.Дніпропетровськ) – на 120 с., 26 рис., 9 табл., 107 джерел літератури, 6 додатків на 53 с.
ЕКСПОРТ, ІМПОРТ, ЗОВНІШНЬОЕКОНОМІЧНА ДІЯЛЬНІСТЬ, ІМПОРТНИЙ ПДВ, ЕКСПОРТНЕ ВІДШКОДУВАННЯ ПДВ, ПОДАТКОВИЙ ІМПОРТНИЙ ВЕКСЕЛЬ
Об’єкт дослідження – підприємство рибопереробної підгалузі харчової промисловості АТЗТ компанія "Бастіон" (м.Дніпропетровськ)
Мета досліджень - вивчення закономірностей та принципів діяльності підприємства в галузі міжнародної торгівлі рибною продукції – імпорт океанічної риби для переробки та реалізації на території України та експорт морожено-вакуумованої прісноводної та прибрежно-морської риби, вирощеної за допомогою аквакультури в Україні, оцінка ефективності зовнішньоекономічної діяльності підприємства, побудова та обгрунтування пропозицій по оптимізації схем зовнішньоекономічних розрахунків підприємства.
Методи досліджень: історичний метод, метод порівнянь та аналогій, дедуктивний метод, метод вертикально-горизонтальних розрізів фінансово-балансової звітності підприємства.
Інформаційно-методологічна база досліджень дипломної роботи — звітні документи АТЗТ компанія "Бастіон" за 2002 - 2007 роки.
Практична цінність отриманих результатів дипломного дослідження полягає в ідентифікації при економічному аналізі діяльності АТЗТ компанія “Бастіон” причин зниження ефективності його зовнішньоекономічної діяльності за рахунок неоптимальної схеми грошових розрахунків та обґрунтуванні пропозицій антикризових заходів по виведенню підприємства з зони збитковості та низької платоспроможності.
ANNOTATION
The graduation research « Foreign trade activities and its influence on efficiency of activity the enterprises from a food-processing industry » (On an example fhe fish-processing enterprise JOINT-STOCK COMPANY of the CLOSED TYPE the COMPANY "BASTION", Dnepropetrovsk) - on 120 pg., 26 fig., 9 tab., 107 sources of the literature, 6 applications on 53 pg..
EXPORT, IMPORT, FOREIGN TRADE ACTIVITIES, IMPORT VAT, EXPORT COMPENSATION of the VAT, TAX IMPORT BILL
The practical value of the received results of degree research consists in identification at the economic analysis of activity the company “BASTION” of the reasons the decrease of efficiency in its foreign trade activities at the expense of the not optimum circuit of money accounts and sub>stantiation of the offers the anticrisis measures on a conclusion of the enterprise from a zone of unprofitability and low payments.
Object of research - fhe fish-processing enterprise of a food-processing industry the COMPANY "BASTION" (Dnepropetrovsk)
sub>ject of research - export and import activity of the enterprise the COMPANY "BASTION".
Methods of researches: a historical method, method of comparisons and analogies, deductive method, method of realization analysis of parameters of export - import of production and its realization on a home market, finance of the balance reporting of the enterprise, construction of algorithms and programs of accounts on EXCEL.
The base of researches is the accounting documents the COMPANY "BASTION" for 2002 - 2007.
ЗМІСТ
ВСТУП
РОЗДІЛ 1. ТЕОРЕТИЧНІ ЗАСАДИ ЗОВНІШНЬОЕКОНОМІЧНОЇ ДІЯЛЬНОСТІ ПІДПРИЄМСТВ В УКРАЇНІ
Сутність та законодавче поле зовнішньоекономічної діяльності підприємств в України
Світовий досвід основних форм ЗЕД
Вплив вступу України до СОТ на ЗЕД підприємств, в тому числі на рибопереробну галузь
Висновки до розділу 1
РОЗДІЛ 2. АНАЛІЗ СУЧАСНОГО СТАНУ ЗЕД ПІДПРИЄМСТВ УКРАЇНИ
2.1 Загальна оцінка динаміки розвитку ЗЕД підприємств України за останні 5 років (2003 – 2007 роки)
2.2 Характеристики сучасного стану, проблем та перспектив розвитку ЗЕД підприємств рибопереробної підгалузі харчової галузі економіки України
2.2.1 Характеристика макроекономічних заходів створення умов росту рибопереробної галузі в Україні на рівні виконавчої влади
2.2.2 Характеристика макроекономічних заходів створення умов росту рибопереробної галузі в Україні на рівні законодавчої влади
2.3 Світові тенденції розвитку рибопереробної підгалузі харчової промисловості
Висновки до розділу 2
РОЗДІЛ 3. АНАЛІЗ ВПЛИВУ ЗОВНІШНЬОЕКОНОМІЧНИХ ОПЕРАЦІЙ НА ЕФЕКТИВНІСТЬ ДІЯЛЬНОСТІ ПІДПРИЄМСТВА АТЗТ КОМПАНІЯ "БАСТІОН" ЗА 2002 - 2007 РОКИ
3.1 Характеристика підприємства АТЗТ компанія "Бастіон" та його зовнішньоекономічної діяльності
3.2 Аналіз ефективності ЗЕД на підприємстві АТЗТ компанія "Бастіон"
3.2.1 Економічна діагностика фінансового стану підприємства АТЗТ компанія "Бастіон" та оцінка ефективності впливу ЗЕД на результати господарської діяльності
3.2.2 SWOT–аналіз внутрішніх проблем розвитку та зовнішніх факторів конкурентного впливу на діяльність АТЗТ компанія "Бастіон"
3.2.3 PEST – аналіз зовнішніх умов впливу на діяльність АТЗТ компанія "Бастіон"
3.3 Питома вага ЗЕД в діяльності підприємства АТЗТ компанія "Бастіон", проблеми розвитку та напрямки їх подолання
Висновки до розділу 3
РОЗДІЛ 4. ШЛЯХИ ПІДВИЩЕННЯ ЕФЕКТИВНОСТІ ЗЕД ПІДПРИЄМСТВА АТЗТ КОМПАНІЯ "БАСТІОН"
4.1 Заходи щодо удосконалення ЗЕД та їх вплив на ефективність діяльності підприємства АТЗТ компанія "Бастіон"
4.2 Ефективність механізму вексельно-форфейтингової розрахункової схеми при імпортних операціях підприємства АТЗТ компанія "Бастіон"
4.3. Ефективність механізму вексельно-форфейтингової розрахункової схеми при експортних операціях підприємства АТЗТ компанія "Бастіон"
Висновки до розділу 4
ВИСНОВКИ
СПИСОК ВИКОРИСТАНИХ ДЖЕРЕЛ
ДОДАТКИ
ВСТУП
Харчова промисловість до середини XX ст. розвивалася не тільки досить нерівномірно, але й відрізнялася суттєвими національними особливостями, зумовленими традиціями споживання продуктів харчування, які відбивали певні смаки та уподобання населення різних країн світу. За технологічним та економічним змістом харчова промисловість є високоінтегрованою з сільським господарством галуззю виробництва і природньо, що неврожаї, кон’юнктурні коливання цін на сировину та матеріали призводять до коливання попиту та пропозиції на окремі види продукції. Це зумовлює цінову “недоступність” споживання навіть найдешевших продуктів в найбідніших державах, які мали б забезпечувати мінімальні фізіологічні потреби людини. Це викликало цілком зрозуміле бажання людства, а також урядів та наднаціональних структур забезпечити відносну цінову стабільність виробництва, що неминуче призводило до протекціонізму галузі. Однак, якщо раніше такі дії торкалися лише сільського господарства, то на рубежі тисячоліть під захист власного продовольчого ринку підпадало все більше підгалузей харчової промисловості.
Разом з тим, обсяги та масштаби системної допомоги аграрному сектору завжди викликали суттєві претензії як з боку учасників ГАТТ/СОТ, так і з боку самих членів Євросоюзу, які вважають несправедливим та невиправданим домінуючий на користь АПК розподіл бюджетних коштів цього інтеграційного угруповання.
Природньо, що Україна, не може залишитися осторонь суттєвих змін на глобальному та європейському ринках продовольства, а коливання кон’юнктури та поява нових європейських пріоритетів (доступність у споживанні, підтримка низького рівня цін тощо) у розвитку харчової промисловості й у подальшому відіграватимуть домінуючу роль у визначенні оптимальної структури виробництва та експорту вітчизняної продукції за кордон. Разом з тим, сучасний аналіз тенденцій обміну продовольством у глобальній економіці переконливо доводить, що перспективним напрямом підвищення галузевої, а відтак і країнової конкурентоспроможності має стати інвестиційно-інноваційний, завдяки якому вдасться максимально диверсифікувати у першу чергу інноваційну частину власного виробництва, що врешті-решт сприятиме забезпеченню сталого розвитку усієї національної економіки.
Теоретичні аспекти умов та факторів розвитку промислового виробництва в процесі поглиблення глобалізації світового господарства, а також природа та особливості його регулювання в європейській інтеграційній моделі, ґрунтовно розглядалися у працях вітчизняних дослідників В. Андрійчука, О. Білоруса, В. Будкіна, І. Бураковського, О. Власюка, А. Гальчинського, Б. Губського, М. Дудченка, Т. Кальченка, Л. Кістерського, А. Кредісова, Д. Лук’яненка, В. Новицького, Ю. Макогона, Є. Панченка, Б. Панасюка, Ю. Пахомова, А. Поручника, О. Рогача, О. Рокочої, А. Рум’янцева, Є. Савельєва, В. Савчука, В. Сіденка, С. Сіденко, С. Соколенка, А. Філіпенка та багатьох інших. Проблеми трансформації вітчизняного аграрного комплексу та харчової промисловості зокрема, а також можливості їх адаптації до європейського ринку, знайшли висвітлення у працях Б. Борщевського, А. Гайдуцького, С. Дем’яненка, С. Кваши, І. Кириленка, О. Луки, О. Могильного, Б. Пасхавера, П. Саблука, М. Хорунжого, В. Юрчишина та інших. У світовій економічній літературі суттєвий внесок в розробку проблеми диверсифікації продовольчого комплексу зробили Ш. Крамон-Таубадель, Л. Штріве, Е. Ковальов, Г. Йоффе, Ч. Баррет, Дж. Робін, Б. Хагес, Ш. МакКічен та ін.
Актуальність теми дипломного дослідження полягає в тому, що провідним напрямком світогосподарського розвитку останніх десятиліть (особливо останнього) є поступовий перехід багатьох країн до економіки відкритого типу. Він передбачає ліквідацію державної монополії зовнішньої торгівлі, використання різних форм спільного підприємництва, організацію зон вільного підприємництва, інтеграцію господарського комплексу в світове господарство та світовий ринок. Одним з найважливіших критеріїв цього переходу є сприятливий інвестиційний клімат країн, що стимулює приплив капіталовкладень, технології , товарів. Внутрішній ринок доступний для таких надходжень, але водночас відкрита економіка не допускає безконтрольності у зовнішньоекономічних зв ' язках. Вона вимагає активного державного регулювання структури експорту та імпорту, руху капіталів, митної, валютної, податкової, кредитної та інвестиційної політики тощо, щоб не допустити одностороннього переважання економічно розвинених країн
Об’єкт дослідження – підприємство рибопереробної підгалузі харчової промисловості АТЗТ компанія "Бастіон" (м.Дніпропетровськ)
Предмет дослідження – експортна та імпортна діяльність підприємства АТЗТ компанія "Бастіон" по виготовленню на експорт в США та Європу морожено-вакуумованого філе судака та окуня (добутого в внутрішніх водах України, Росії та Білорусії) та виготовленню для споживання в Україні продукції з імпортованих морожених тушок мінтая, хека, мерлузи з Китаю та Аргентини.
Мета досліджень дипломної роботи - вивчення закономірностей та принципів діяльності підприємства в галузі міжнародної торгівлі рибною продукції – імпорт океанічної риби для переробки та реалізації на території України та експорт морожено-вакуумованої прісноводної та прибрежно-морської риби, вирощеної за допомогою аквакультури в Україні, оцінка ефективності зовнішньоекономічної діяльності підприємства, побудова та обгрунтування пропозицій по оптимізації схем зовнішньоекономічних розрахунків підприємства.
Для досягнення мети дослідження потрібно вирішити такі завдання:
1. Дослідити сутність та законодавче поле зовнішньоекономічної діяльності (ЗЕД) підприємств в України;
2. Провести аналіз світового досвіду основних форм ЗЕД та впливу вступу України до СОТ на ЗЕД підприємств, в тому числі на рибопереробну галузь;
3. Дослідити загальні оцінки динаміки розвитку ЗЕД підприємств України за останні 5 років (2003 – 2007 роки);
4. Дослідити характеристики сучасного стану, проблем та перспектив розвитку ЗЕД підприємств рибопереробної підгалузі харчової галузі економіки України;
5. Дослідити світові тенденції розвитку рибопереробної підгалузі харчової промисловості
6. Провести економічну діагностику та аналіз зовнішньоекономічної діяльності підприємства АТЗТ компанія “Бастіон”;
7. Виконати SWOT – аналіз внутрішніх проблем розвитку та зовнішніх факторів конкурентного впливу на діяльність АТЗТ компанія "Бастіон";
8. Виконати PEST – аналіз зовнішніх умов впливу на діяльність АТЗТ компанія "Бастіон";
9. Ідентифікувати основні проблеми в діяльності підприємства АТЗТ компанія "Бастіон" та дати оцінку основних напрямків їх вирішення;
10. Розробити заходи підвищення ефективності ЗЕД підприємства АТЗТ компанія "Бастіон".
Методи досліджень: історичний метод, метод порівнянь та аналогій, дедуктивний метод, метод проведення горизонтального (індексно-хронологічного) та вертикального (структурно-хронологічного) аналізу показників експорту імпорту продукції та її реалізації на внутрішньому ринку, фінансово- балансової звітності підприємства, побудування алгоритмів та програм розрахунків на ПЕОМ(EXCEL).
Інформаційно-методологічна база досліджень дипломної роботи — звітні документи АТЗТ компанія "Бастіон" за 2002 - 2007 роки.
Практична цінність отриманих результатів дипломного дослідження полягає в ідентифікації при економічному аналізі діяльності АТЗТ компанія “Бастіон” причин зниження ефективності його зовнішньоекономічної діяльності за рахунок неоптимальної схеми грошових розрахунків та обґрунтуванні пропозицій антикризових заходів по виведенню підприємства з зони збитковості та низької платоспроможності, що фактично привело до передачі 40% статутного капіталу у вигляді банківських відсотків за кредити.
РОЗДІЛ 1 ТЕОРЕТИЧНІ ЗАСАДИ ЗОВНІШНЬОЕКОНОМІЧНОЇ ДІЯЛЬНОСТІ ПІДПРИЄМСТВ В УКРАЇНІ
Сутність та законодавче поле зовнішньоекономічної діяльності підприємств в України
Для сучасного періоду міжнародного економічного розвитку характерне широке залучення країн у міжнародні взаємозв'язки. Це пов'язане з тим, що масштаби сучасного виробництва переросли національні рамки. У міжнародних масштабах переміщуються не лише товари, а й фактори виробництва, насамперед капітал та робоча сила. Охопленою сферою стала не лише сфера обігу, а й сфера виробництва. Для нормального підтримання і розвитку національного виробництва стає необхідним взаємодія з іншими країнами, участь у міжнародному поділі праці та обміні. Посилюється інтернаціоналізація виробництва й усього господарського життя, що стало основою формування світового господарства [97].
Наведені вище міркування відображені у понятті світове господарство :
світове (всесвітнє) господарство – це сукупність національних господарств, взаємозв'язаних міжнародним поділом праці, міжнародними економічними відносинами;
світове господарство – сукупність національних економік країн світу, поєднане мобільними факторами виробництва;
сучасне світове господарство - це сукупність національних економік, що перебувають у тісній взаємодії і взаємозалежності, глобальний економічний організм, підпорядкований об'єктивним законам ринкової економіки;
світове господарство - це сукупність міжнародних відносин у взаємозв'язку з продуктивними силами та відповідним механізмом регулювання та управління;
Світове господарство є складною комплексною системою з досить чіткими межами, якісними і кількісними параметрами. Його не треба ототожнювати зі світовою економікою, яка стосується здебільшого продуктивних сил, їхніх національних та регіональних особливостей. Відмінність світового господарства від світового ринку полягає в тому, що воно проявляється насамперед через міжнародний рух факторів виробництва та товарів(меншою мірою). Для світового ринку переважно характерне міжнародне переміщення товарів, міжнародна торгівля. Світове господарство поєднує усі основні параметри світового ринку і доповнює його новими суттєвими рисами, пов'язаними з міжнародною мобільністю факторів виробництва.
Характерними рисами сучасного світового господарства є [97] :
розвиток міжнародного переміщення факторів виробництва, передовсім у формах ввезення – вивезення капіталу, робочої сили, технології;
зростання на цій основі міжнародних форм виробництва на підприємствах, розташованих в декількох країнах, насамперед у рамках транснаціональних корпорацій (ТНК);
економічна політика держав у підтримці міжнародного руху товарів і факторів виробництва на двосторонній та багатосторонній основах;
- виникнення економіки відкритого типу в рамках багатьох держав та міждержавних об ' єднань.
Сьогодні в Україні суб'єкти господарювання мають можливість активно брати участь в міжнародному економічному співробітництві.
Нормами Закону Україні від 16.04.91 № 959-ХІІ “Про зовнішньоекономічну діяльність” [4] (далі – Закон №959) визначено, що зовнішньоекономічна діяльність - діяльність суб'єктів господарської діяльності України та іноземних суб'єктів господарської діяльності, побудована на взаємовідносинах між ними, що має місце як на території України, так і за її межами.
У загальному вигляді міжнародна торгівля є засобом, за допомогою якого країни можуть розвивати спеціалізацію, підвищувати продуктивність своїх ресурсів і таким чином збільшувати загальний об'єм виробництва. Суверенні держави, як і окремі особи і регіони країни, можуть виграти за рахунок спеціалізації на виробах, які вони можуть виробляти з найбільшою відносною ефективністю, і подальшого їх обміну на товари, які вони не в змозі самі ефективно виробляти. У основі вивчення питання "Чому країни торгують?" лежать дві обставини. По-перше, економічні ресурси - природні, людські, інвестиційні - розподіляються між країнами світу надто не рівномірно; країни істотно відрізняються по своїй забезпеченості економічними ресурсами. По-друге, ефективне виробництво різних товарів вимагає різних технологій або комбінації ресурсів.
До головних видів зовнішньоекономічної діяльності належать 16 основних видів, наведених на рис.1.1.
Майже усі види ЗЕД відображені в експорті та імпорті товарів і послуг.
Державне регулювання зовнішньоекономічної діяльності забезпечує :
- захист економічних інтересів України та законних інтересів суб'єктів зовнішньоекономічної діяльності;
- створення рівних можливостей для суб'єктів зовнішньоекономічної діяльності розвивати всі види підприємницької діяльності незалежно від форм власності та всі напрями використання доходів і здійснення інвестицій;
- заохочення конкуренції та ліквідацію монополізму в сфері зовнішньоекономічної діяльності.
Міжнародне економічне співробітництво є одним із головних факторів розвитку економіки кожної країни . Економічні та правові основи зовнішньо-економічної діяльності в Україні регламентовані Законом “Про зовнішньоекономічну діяльність” [4].

Рис.1.1. - Головні види зовнішньоекономічної діяльності [4]
Незважаючи на на всю переконливість аргументів на користь вільної торгівлі, у дійсності на цьому шляху існує велика кількість державних регулюючих бар'єрів [1] , [3]:
- Мито. Мито є акцизним податком на імпортні товари; воно може вводитися з метою одержання доходів чи для захисту внутрішнього ринку. Фіскальні мита, як правило, застосовуються у відношенні виробів, що не виробляються усередині країни. Ставки фіскального мита в основному невеликі, їхньою метою є забезпечення бюджету податковими надходженнями. Протекціоністські мита призначені для захисту місцевих виробників від іноземної конкуренції. Хоча протекціоністські мита, як правило, недостатньо високі для припинення імпорту іноземних товарів, вони все-таки ставлять іноземного виробника в невигідне конкурентне положення при торгівлі на внутрішньому ринку.
- Імпортні квоти. За допомогою імпортних квот встановлюються максимальні обсяги товарів, що можуть бути імпортовані за якийсь період часу. Часто імпортні квоти виступають більш ефективним засобом стримування міжнародної торгівлі, ніж мита. Незважаючи на високі мита, визначений товар може імпортуватися у відносно великих кількостях. Низькі ж імпортні квоти цілком забороняють імпорт товару понад визначену кількість.
- Нетарифні бар'єри. Під нетарифними бар'єрами розуміється система ліцензування, створення невиправданих стандартів якості продукції і його безпеки чи просто бюрократичні заборони в митних процедурах. Так, Японія і європейські країни жадають від імпортерів одержання ліцензій. Обмежуючи випуск ліцензій, можна ефективно обмежувати імпорт. Саме так зробила Великобританія, заборонивши імпорт вугілля.
- Добровільні експортні обмеження. Вони є дещо новою формою торгових бар'єрів. Так, японські автомобілебудівники під погрозою введення Сполученими Штатами більш високих тарифів чи низьких імпортних квот погодилися на введення добровільних експортних обмежень на свій експорт у США.
Обкладення митом товарів та інших предметів, що переміщуються через митний кордон України, здійснюється відповідно до Закону України "Про Митний тариф України" [3], який встановлює систематизований звід ставок мита, яким обкладаються товари та інші предмети, що ввозяться на митну територію України або вивозяться за межі цієї території.
Митний тариф України базується на міжнародно визнаних нормах і розвивається у напрямі максимальної відповідності до загальноприйнятих у міжнародній практиці принципів і правил митної справи.
Ставки Митного тарифу України є єдиними для всіх суб'єктів зовнішньо-економічної діяльності незалежно від форм власності, організації господарської діяльності та територіального розташування, за винятком випадків, передбачених законами України та її міжнародними договорами.
Мито, що стягується митницею, являє собою податок на товари та інші предмети, які переміщуються через митний кордон України.
В Україні застосовуються такі види мита:
- адвалерне, що нараховується у відсотках до митної вартості товарів та інших предметів, які обкладаються митом;
- специфічне, що нараховується у встановленому грошовому розмірі на одиницю товарів та інших предметів, які обкладаються митом;
- комбіноване, що поєднує обидва ці види митного обкладення.
Встановлення пільг та зміна ставок мита, в тому числі на предмети особистого користування, здійснюються Верховною Радою України за поданням Кабінету Міністрів України.
Ввізне (імпортне) мито - нараховується на товари та інші предмети при їх ввезенні на митну територію України.
Вивізне (експортне) мито - нараховується на товари та інші предмети при їх вивезенні за межі митної території України.
Сезонне мито - на окремі товари та інші предмети може встановлюватися сезонне ввізне і вивізне мито на строк не більше чотирьох місяців з моменту їх встановлення.
Особливі види мита - з метою захисту економічних інтересів України, українських виробників та у випадках, передбачених законами України, у разі ввезення на митну територію України і вивезення за межі цієї території товарів незалежно від інших видів мита можуть застосовуватися особливі види мита:
- спеціальне мито; - антидемпінгове мито; - компенсаційне мито.
Нарахування мита на товари та інші предмети, що підлягають митному обкладенню, провадиться на базі їх митної вартості, тобто ціни, яка фактично сплачена або підлягає сплаті за них на момент перетину митного кордону України. При визначенні митної вартості до неї включаються ціна товару, зазначена в рахунку-фактурі, а також такі фактичні витрати, якщо їх не включено до рахунку-фактури:
- на транспортування, навантаження, розвантаження, перевантаження та страхування до пункту перетину митного кордону України;
- комісійні та брокерські;
- плата за використання об'єктів інтелектуальної власності, що належить до даних товарів та інших предметів і яка повинна бути оплачена імпортером (експортером) прямо чи побічно як умова їх ввезення (вивезення).
Основні методи митного нетарифного регулювання зовнішньоеконо-мічної діяльності :
1) Ліцензування і квотування експорту та імпорту запроваджуються в Україні самостійно в особі її державних органів у таких випадках [1]:
- в разі різкого погіршення розрахункового балансу України, якщо негативне сальдо його перевищує на відповідну дату 25 процентів від загальної суми валютних вимог України;
- в разі досягнення встановленого Верховною Радою України рівня зовнішньої заборгованості;
- в разі значного порушення рівноваги по певних товарах на внутрішньому ринку України, особливо по сільськогосподарській продукції, продуктах рибальства, продукції харчової промисловості та промислових товарах народного споживання першої потреби;
- при необхідності забезпечити певні пропорції між імпортною та вітчизняною сировиною у виробництві;
- при необхідності здійснення заходів у відповідь на дискримінаційні дії інших держав;
- в разі порушення суб'єктом зовнішньоекономічної діяльності правових норм цієї діяльності, встановлених цим Законом (запроваджується як санкція режим ліцензування);
- відповідно до міжнародних товарних угод, які укладає або до яких приєднується Україна (запроваджується режим квотування).
2) Квотування здійснюється шляхом встановлення режиму видачі індивідуальних ліцензій , причому загальний обсяг експорту (імпорту) за цими ліцензіями не повинен перевищувати обсягу встановленої квоти. В Україні запроваджуються такі види експортних (імпортних) квот (контингентів):
- глобальні; - групові; - індивідуальні; - антидемпінгові;
- компенсаційні; - спеціальні.
По кожному виду товару може встановлюватись лише один вид квоти.
3) Ліцензії. В Україні запроваджуються такі види експортних (імпортних) ліцензій:
- генеральна; - разова (індивідуальна); - відкрита (індивідуальна);
- антидемпінгова (індивідуальна); - компенсаційна (індивідуальна);
- спеціальна (індивідуальна).
По кожному виду товару встановлюється лише один вид ліцензії.
4) Митні пільги.
5) Заборона окремих видів експорту та імпорту
6) Встановлення державної монополії на деякі види експорту-імпорту товарів.
7) Заходи у відповідь на дискримінаційні та/або недружні дії інших держав, митних союзів або економічних угруповань.
8) Обмеження реекспорту
9) Спеціальні економічні зони
1.2 Світовий досвід основних видів ЗЕД
Роль міжнародної торгівлі в розвитку національної економіки полягає в тому, що вона є засобом розвитку спеціалізації і концентрації виробництва, підвищення продуктивності ресурсів, збільшення обсягів національного виробництва і добробуту населення. Міжнародна торгівля дає змогу [65]:
- одержувати природні, інвестиційні та інші ресурси, яких не вистачає в країні;
- отримувати з інших країн сучасну техніку і нові технології ;
- урізноманітнювати асортимент споживчих товарів і краще задовольняти потреби населення.
Світовий досвід доцільності розвитку зовнішньоекономічної діяльності підприємств на сучасному етапі світового економічного розвитку знаходить своє віддзеркалення у процесі світової економічної глобалізації.
Глобалізацією звичайно називають процес зростання економічної взаємозалежності країн миру внаслідок усе більше тісної інтеграції (зрощування) їхніх національних ринків товарів, послуг і капіталів. Розвиток міжнародної торгівлі й ріст іноземних інвестицій є основного складового цього процесу, що містить у собі також розвиток науково-технічного й культурного співробітництва між країнами, розвиток міжнародного туризму й багато інших аспектів зближення народів різних країн [65].
Також під глобалізацією можна розуміти поступове перетворення світового простору в єдину зону, де безперешкодно переміщаються капітали, товари, послуги, де вільно поширюються ідеї й пересуваються їхні носії, стимулюючи розвиток сучасних інститутів і шліфуючи механізми їхньої взаємодії.
Глобалізація, таким чином, має на увазі утворення міжнародного правового й культурно-інформаційного поля, свого роду інфраструктури міжрегіональних обмінів, новий рівень економічно свободи зовнішньоекономічної діяльності підприємств.
Основні види зовнішньоекономічної діяльності виробничих підприємств зосереджені на [76]:
експортних операціях;
імпортних операціях;
- операціях з давальницькою сировиною;
- бартерних контрактах;
- контрактах комісії (консигнація);
- міжнародних лізингових операціях.
1. Експортні операції
Експорт товарів - це продаж товарів іноземним суб'єктам господарської діяльності (в тому числі з оплатою не в грошовій формі) з вивозом або без вивозу цих товарів через митний кордон, включаючи реекспорт.
Реекспорт товарів означає продаж нерезидентам і вивіз за межі України товарів, які були раніше імпортовані експортером на її територію.
Експорт капіталу - це вивіз капіталу в якій-небудь формі: у вигляді валютних коштів, продукції, послуг, прав інтелектуальної власності і інших немайнових прав.
Метою експортних операцій є отримання прибутку від виробничої та інших форм господарської діяльності.
Розділення поняття “експорт” в залежності від об'єкта експортної операції покладено в основу обліку таких операцій.
2. Імпортні операції.
Імпорт товарів - це покупка (в тому числі з оплатою не в грошовій формі) у іноземних суб'єктів господарської діяльності товарів з ввезенням або без ввезення цих товарів на територію України, включаючи покупку товарів для особистого споживання установами і організаціями України, розташованими за її межами.
Імпорт капіталу - це ввезення із-за меж України капіталу в будь-якій формі, в тому числі у вигляді валютних коштів, продукції, послуг, робіт, прав інтелектуальної власності і інших немайнових прав.
Мета імпортних операцій - отримання прибутку від виробничої і інших форм господарської діяльності.
3. Операції з давальницькою сировиною
3.1. Ввезення давальницької сировини на територію України
а) Переробка давальницької сировини з подальшим вивозом готової продукції.
У ситуації, яка винесена в заголовок цього підрозділу, власником давальницької сировини є нерезидент. У зовнішньоекономічному контракті на переробку давальницької сировини він виступає замовником. Виконавець за контрактом (резидент) є імпортером давальницької сировини, при цьому він несе відповідальність за своєчасний вивіз виробленої готової продукції за межі митної території України [5].
Готова продукція, яка вивозиться за межі України, не обкладається вивізним митом і іншими податками і зборами (крім митних зборів).
Вартість послуг по переробці обкладається ПДВ по нульовій ставці згідно з підпунктом 6.2.2 Закону про ПДВ, оскільки послуги по переробці надаються нерезиденту для їх споживання за межами митних кордонів України (це підтверджується ВМД, оформленої при вивозі готової продукції).
б) Переробка давальницької сировини з подальшою реалізацією готової продукції на території України.
Реалізація готової продукції на території України здійснюється на основі контракту, укладеного між замовником-нерезидентом і покупцем. Фактично передачу готової продукції здійснює постійне представництво, воно ж оформляє акт прийому-передачі. При цьому, якщо постійне представництво зареєстроване платником ПДВ, податок нараховується по ставці 20%, тому що продаж готової продукції проводиться на території України.
3.2 Вивіз давальницької сировини за межі України
а) Вивіз давальницької сировини з подальшим ввезенням готової продукції.
Замовник-резидент вивозить давальницьку сировину для переробки за межі митної території України на основі зовнішньоекономічного контракту, укладеного з виконавцем-нерезидентом. Оформлення вивозу давальницької сировини залежить від того, чи обкладається сировина, що вивозиться вивізним (експортної) митом, податками і зборами або ж на нього розповсюджуються пільги. Якщо обкладається, то український замовник видає митниці вексель на суму вивізного мита, податків і зборів. Якщо не обкладається - письмове зобов'язання про повернення в Україну готової продукції, проведеної з цієї сировини.
б) Вивіз давальницької сировини з подальшою реалізацією готової продукції за межами України.
Готова продукція, проведена з давальницької сировини українського замовника, може бути реалізована в країні виконавця або в якій-небудь іншій країні за межами України. Така умова може бути передбачено зовнішньоекономічним контрактом. У цьому випадку український замовник сплачує вивізне мито, податки і збори під час митного оформлення давальницької сировини, що вивозиться. ПДВ на імпорт послуг не нараховується, оскільки результат отриманих послуг споживається за межами України.
4. Бартерний контракт
Товарообмінні (бартерні) операції в сфері зовнішньоекономічної діяльності регулюються Законом № 351 [4]. Згідно з статтею 1 цього Закону
товарообмінна (бартерна) операція в сфері зовнішньоекономічної діяльності - це один з видів експортно-імпортних операцій між суб'єктами ЗЕД України і іноземними суб'єктами господарювання. Її проведення оформляється бартерним контрактом або контрактом зі змішаною формою оплати, по якому оплата експортного (імпортних) постачання передбачена частково в натуральній формі.
Бартерний контракт передбачає збалансований по вартості обмін товарами, роботою, послугами в будь-якому поєднанні, не опосередковані рухом грошових коштів в готівковій або безготівковій формі. Як бачимо, предметом бартерного контракту може бути не тільки майно, але і послуги, робота.
Оскільки бартерний контракт передбачає збалансований по вартості обмін товарами, то у випадку коли загальна ціна експортної частини товару вказана в бартерному договорі нижче індикативних цін на такий товар (наприклад, індикативні ціни введені після висновку контракту), подальший експорт товарів повинен здійснюватися по затверджених індикативних цінах. При цьому український експортер зобов'язаний скласти додаткову угоду до бартерного договору про зміну умови визначення вартості товарів, що поставляються відповідно до індикативних цін. Це необхідне для того, щоб зустрічне постачання товару від зарубіжного партнера відповідало вартості фактично імпортованого ним товару. У іншому випадку на різницю між вартістю і товарів, що експортуються за бартерним договором, що імпортуються буде нарахована пеня.
У бартерному договорі (контракті) вказується загальна вартість товарів (робіт, послуг), що експортуються і загальна вартість товарів (робіт, послуг), що імпортуються за цим контрактом, з обов'язковим вираженням у іноземній валюті, віднесеній НБУ до першої групи Класифікатора іноземних валют.
5. Контракт комісії (консигнація)
Суб'єкт підприємницької діяльності в Україні, вирішивши продати або закупити товар за кордоном за договором комісії, може скористатися, послугами як комісіонера-резидента, так і комісіонера-нерезидента. У першому випадку укладається звичайний договір комісії, який проте має свої особливості, у другому випадку - зовнішньоекономічний договір (контракт) комісії.
При здійсненні експортно-імпортних операцій по закупівлі або продажу товару на посередницьких умовах, в яких комітентом і комісіонером виступають резиденти, статус зовнішньоекономічного має контракт купівлі-продажу (комісіонера з нерезидентом), а не договір комісії. Проте договір комісії, укладений між резидентами на здійснення зовнішньоекономічної угоди за кордоном, регулюється не тільки Цивільним кодексом України, але і нормативними актами в сфері зовнішньоекономічної діяльності.
Особливості контракту комісії - згідно з статтею 395 Цивільного кодексу комісіонер здійснює угоди від свого імені, за дорученням комітента і за його рахунок. Цим і зумовлені особливості договорів комісії - комісіонер придбаває права і обов'язки сторони договору, укладеного ним з третьою особою. Разом з тим право власності на майно, що поступило комісіонеру від комітента або придбане комісіонером за рахунок комітента, до комісіонера не переходить. Рівно як і грошові суми, отримані комісіонером за проданий товар або що поступили йому для покупки товару, не є його власністю (ст. 398 Цивільного кодексу).
Цей момент вельми важливий з точки зору валютного регулювання посередницьких операцій, зокрема при здійсненні розрахунків в інвалюті між комітентом і комісіонером - резидентами за договором комісії, укладеним в рамках зовнішньоекономічної операції по купівлі-продажу. Перерахування комісіонером іноземної валюти резиденту-комітенту не вимагає ліцензії НБУ.
Митне оформлення - як правило, в обов'язку комісіонера, який за дорученням комітента-резидента придбає або продає товар за кордоном, входить і митне оформлення товару. При наявності свідчення на право здійснення декларування комісіонер займається цим безпосередньо, при відсутності такого свідчення він за дорученням комітента укладає договір на проведення митного декларування з третьою особою - митним брокером. Все це повинне бути передбачене в контракті комісії.
6. Міжнародний лізинг
Згідно з Законом України “Про оподаткування прибутку підприємства” [7]:
1.Лізингова (орендна) операція - господарська операція (крім операцій з фрахтування (чартеру) морських суден та інших транспортних засобів) фізичної чи юридичної особи (орендодавця), що передбачає надання основних фондів або землі у користування іншим фізичним чи юридичним особам (орендарям) за орендну плату та на визначений строк. Операції з лізингу (оренди) цілісних майнових комплексів державних підприємств регулюються відповідним законодавством.
Лізингові (орендні) операції здійснюються у вигляді оперативного лізингу (оренди), фінансового лізингу (оренди), зворотного лізингу (оренди), оренди землі та оренди жилих приміщень.
«Конвенція УНІДРУА про міжнародний фінансовий лізинг» [6] застосовується у тому випадку, коли місця здійснення підприємницької діяльності лізингодавця й лізингоодержувача знаходяться в різних державах і:
(a) ці держави й держава, в якій знаходиться місце здійснення підприємницької діяльності постачальника, є Договірними державами; або
(b) як договір поставки, так і договір лізингу регулюються законодавством Договірної держави.
Операція фінансового лізингу, згадана в попередньому пункті, є операцією, яка включає такі характерні риси:
(a) лізингоодержувач визначає обладнання й вибирає постачальника, здебільшого не покладаючись на досвід і думку лізингодавця;
(b) обладнання, придбане лізингодавцем у зв'язку з договором лізингу, який, наскільки відомо постачальнику, або укладений, або повинен бути укладений між лізингодавцем і лізингоодержувачем; та
(c) лізингові платежі, належні до сплати за договором лізингу, обчислюються таким чином, щоб урахувати, зокрема, амортизацію всієї або значної частини вартості обладнання.
Конвенція застосовується незалежно від того, має лізингоодержувач чи він у подальшому отримує можливість придбати обладнання чи орендувати його й надалі, і незалежно від того, придбає він обладнання за номінальною ціною чи він орендує обладнання за лізингові платежі.
1.3 Вплив вступу України до СОТ на ЗЕД підприємств, в тому числі на рибопереробну галузь
Світова організація торгівлі (СОТ) — це міжнародна економічна організація, членами якої вже нині є 148 країн, частка яких в обсягах світової торгівлі становить близько 95%. Після приєднання низки країн, які нині є кандидатами на вступ, СОТ здійснюватиме майже весь світовий торговельний оборот товарів та послуг [100].
За останні роки значно розширилася сфера діяльності СОТ, яка нині далеко виходить за межі власне торговельних операцій. Вона є потужною і впливовою міжнародною структурою, здатною виконувати функції міжнародного економічного регулювання. Членство у СОТ стало практично обов'язковою умовою для будь-якої країни, що прагне інтегруватися у світове господарство.
Приєднання до СОТ має для України стратегічне значення з точки зору двох важливих факторів: це умова для подальшої поступової, інтеграції України у європейські та світові процеси і структури, і системного реформування національної економіки згідно з принципами лібералізації та відкритості ринку. Крім того, інтеграції до СОТ — це ознака сталого розвитку країни — економічного, політичного, соціального.
Вступ України до СОТ означатиме подальшу лібералізацію зовнішньої торгівлі, що матиме як позитивні, так і можливі негативні наслідки для економіки України. Набуття Україною членства в СОТ сприятиме зростанню реального національного валового внутрішнього продукту, збільшенню експорту української продукції, що буде пов'язано насамперед із зменшенням втрат від антидемпінгових розслідувань та послабленням тарифних бар'єрів для експорту вітчизняної продукції на зовнішні ринки, збільшенню надходжень іноземної валюти та передбачає стабільніший курс гривні до світових валют.
Зі вступом України до СОТ буде скасовано більшість пільг на сплату ввізного мита, що надаються суб'єктам зовнішньоекономічної діяльності. Це призведе до суттєвого збільшення частки оподаткованого імпорту в загальному обсязі імпорту (на початок 2007 року питома вага оподаткованого імпорту в загальному обсязі імпорту становила близько 25 %). Очікується, що втрати від зниження митних тарифів будуть компенсовані завдяки збільшенню оподаткованого імпорту.
Отже, нині можна припустити, що за умови прийняття виважених рішень та скорочення податкових пільг, факторів, що загрожуватимуть збереженню бюджетної збалансованості не виявлено, а навпаки, вступ України до СОТ позитивно вплине на Державний бюджет, економіку України в цілому та окремі її галузі.
Основні наслідки вступу України до СОТ:
1. Інтеграція до міжнародної ринкової економіки, створення правових засад для стабільного і передбачуваного ведення бізнесу та міжнародної торгівлі.
2. Збільшення надходжень прямих іноземних інвестицій.
3. Спрощення умов доступу до ринків 148 країн-членів Світової організації торгівлі.
4. Суттєве посилення позицій вітчизняних підприємств в антидемпінгових розслідуваннях, а також запобігання застосуванню проти себе інших обмежувальних та дискримінаційних заходів.
5. Пожвавлення торговельно-економічних зв'язків не тільки з країнами Західної та Центральної Європи, а й з країнами Східної Європи та Балтії.
6. Збільшення надходжень до Державного бюджету завдяки скасуванню пільг, кількісного збільшення бази для справляння митних платежів, зростання обсягів виробництва та активізації торговельного обороту.
7. Ширший вибір товарів і послуг. Це створює умови для підвищення якості та конкурентноздатності вітчизняної продукції.
Розглядаючи негативні наслідки вступу України до СОТ, можна виділити наступні:
1. Українська промисловість не захищена від впливу дешевої конкурентної продукції з зовні. Це призведе до того, що доведеться перепрофілювати українські промислові підприємства.
2. Дуже серйозним моментом є і накладення деяких обмежень на проведення економічної політики. Угоди СОТ прямо забороняють країні використання певних інструментів, що звужує можливості одних механізмів, але разом з тим примушує шукати певні компенсаційні механізми.
3. Подальша лібералізація торгівлі поступово підсилить вплив світової кон'юнктури на економіку України, зумовить підвищення економічних ризиків в періоди глобальної економічної нестабільності. Ці ризики можуть неадекватно компенсуватися позитивним впливом світової кон'юнктури в періоди її сприятливого розвитку, - враховуючи те, що лібералізація і включення в глобальні процеси автоматично не приводять до виправлення структурних недоліків менш розвинених країн [100].
4. Цілком можливі тимчасові ускладнення у сфері державного регулювання економічного розвитку, викликані необхідністю переходу на нові, міжнародно-узгоджені умови державного регулювання економіки і відмови від використовування традиційних важелів економічної, і перш за все вертикальної промислової політики, а саме: можливості застосовувати пільги до оподаткування, мита і інших платежів, списувати заборгованість підприємств перед державою, використовувати державні закупівлі як інструмент стимулювання вітчизняного виробництва, контролювати і регулювати фінансові потоки, висувати до іноземних інвесторів вимоги з приводу джерел придбання ними комплектуючих (вимога місцевого компоненту виробництва) і напрямів збуту товарів.
Зважаючи на наведені аргументи можна з впевненістю сказати, що при вступі до СОТ Україна отримає набагато більше позитивних наслідків ніж негативних. Але ці негативні наслідки можуть призвести до занепаду вітчизняного виробництва, чого не можна допустити. Тому необхідно, щоб держава проаналізувала наслідки по кожному сектору економіки окремо і прийняла усі можливі міри для захисту національних виробників [100].
Баланс позитивних та негативних наслідків залежить, у першу чергу, від готовності виробників працювати в умовах міжнародної конкуренції, а саме, від рівня їх ефективності та конкурентоспроможності, який вони повинні підвищувати ще до вступу у СОТ.
В рибопереробній галузі України вступ до СОТ потребує негайного виконання вимог документу “Розробка умов і процесів для експорту риби і рибної продукції в Європейський Союз” [ 41].
Так, згідно з документами до “Контракту з АТЗТ Компанією «Бастіон» про надання консультативних послуг з питань експорту рибної продукції в Європейський Союз” [ 41 ] Україною терміново повинні бути прийняті та впроваджені наступні документи на державному рівні:
1. Санітарні умови для виробництва і розміщення на ринку рибної продукції – документ, що у першу чергу має бути підписаний Головою Державного департаменту ветеринарної медицини України у формі наказу.
2. Врахована Додаткова інформація до Директиви 91/493/ЕЕС.
3. Мінімальні вимоги до гігієни рибної продукції, виловленої на борт рибопереробних суден – документ, що у першу чергу має бути підписаний Начальником державного департаменту ветеринарної медицини України у формі наказу.
4. Лист-заявка, який слід направити в Єврокомісію після підписання документів, що мають бути підписані в першу чергу.
В законодавстві України повинні бути прийняті світові вимоги до термінології вилова риби та рибопереробки [41].
Україна зобов’язана гарантувати, що особи, які несуть відповідальність за стан підприємства, прийняли всі необхідні міри для того, щоб положення вимог ЄС виконувалися на всіх стадіях виробництва рибної продукції.
Нормативні документи в рибопереробній галузі України повинні мати розділи з вимогами, відповідаючими нормативам ЄС [41].
Висновки до розділу 1
Світове господарство є складною комплексною системою з досить чіткими межами, якісними і кількісними параметрами. Його не треба ототожнювати зі світовою економікою, яка стосується здебільшого продуктивних сил, їхніх національних та регіональних особливостей. Відмінність світового господарства від світового ринку полягає в тому, що воно проявляється насамперед через міжнародний рух факторів виробництва та товарів(меншою мірою). Для світового ринку переважно характерне міжнародне переміщення товарів, міжнародна торгівля. Світове господарство поєднує усі основні параметри світового ринку і доповнює його новими суттєвими рисами, пов'язаними з міжнародною мобільністю факторів виробництва.
Характерними рисами сучасного світового господарства є :
розвиток міжнародного переміщення факторів виробництва, передовсім у формах ввезення – вивезення капіталу, робочої сили, технології;
зростання на цій основі міжнародних форм виробництва на підприємствах, розташованих в декількох країнах, насамперед у рамках транснаціональних корпорацій (ТНК);
економічна політика держав у підтримці міжнародного руху товарів і факторів виробництва на двосторонній та багатосторонній основах;
- виникнення економіки відкритого типу в рамках багатьох держав та міждержавних об ' єднань.
Вступ України до СОТ матиме різний вплив на різні галузі промисловості, сферу послуг та сільське господарство. Це пов’язано з тим, що деякі галузі характеризуються високим ступенем експортоорієнтованості, інші навпаки задовольняють потреби майже виключно внутрішнього ринку; деякі галузі потребують дуже значних капітальних інвестицій з досить значним терміном окупності, інші - можуть забезпечити стабільні прибутки вже через незначний проміжок часу. Ці фактори і визначають терміни адаптації галузей до умов лібералізованого зовнішньоторговельного режиму. Загалом, очікується пожвавлення виробництва у експортоорієнтованих галузях. В той же час зменшення рівня державної підтримки окремих галузей та підприємств може призвести до мінімізації цього позитивного ефекту.
Так, в рибопереробній галузі України вступ до СОТ потребує негайного виконання вимог документу “Розробка умов і процесів для експорту риби і рибної продукції в Європейський Союз” (запропонована для Українського законодавства транспозиція Директив 91/493/ЕЕС і 92/48/ЕЕС), що потребує значних капітальних інвестицій та залучення значних обсягів іноземних фінансових інвестицій.
РОЗДІЛ 2 АНАЛІЗ СУЧАСНОГО СТАНУ ЗЕД ПІДПРИЄМСТВ УКРАЇНИ
2.1 Загальна оцінка динаміки розвитку ЗЕД підприємств харчової промисловості України за останні 5 років (2003 – 2007 роки)
До галузей харчової первинної переробки харчової сировини належать м'ясна, рибна, молочна, цукрова, борошномельно-круп'яна, консервна, олійна і крохмале-патокова. Найважливішими факторами розміщення галузей харчової промисловості є чисельність і густота населення, сировинна база, форми організації виробництва, транспорт.

Рис. 2.1. – Теріторіальне розташування основних виробництв харчової
промисловості України [101]
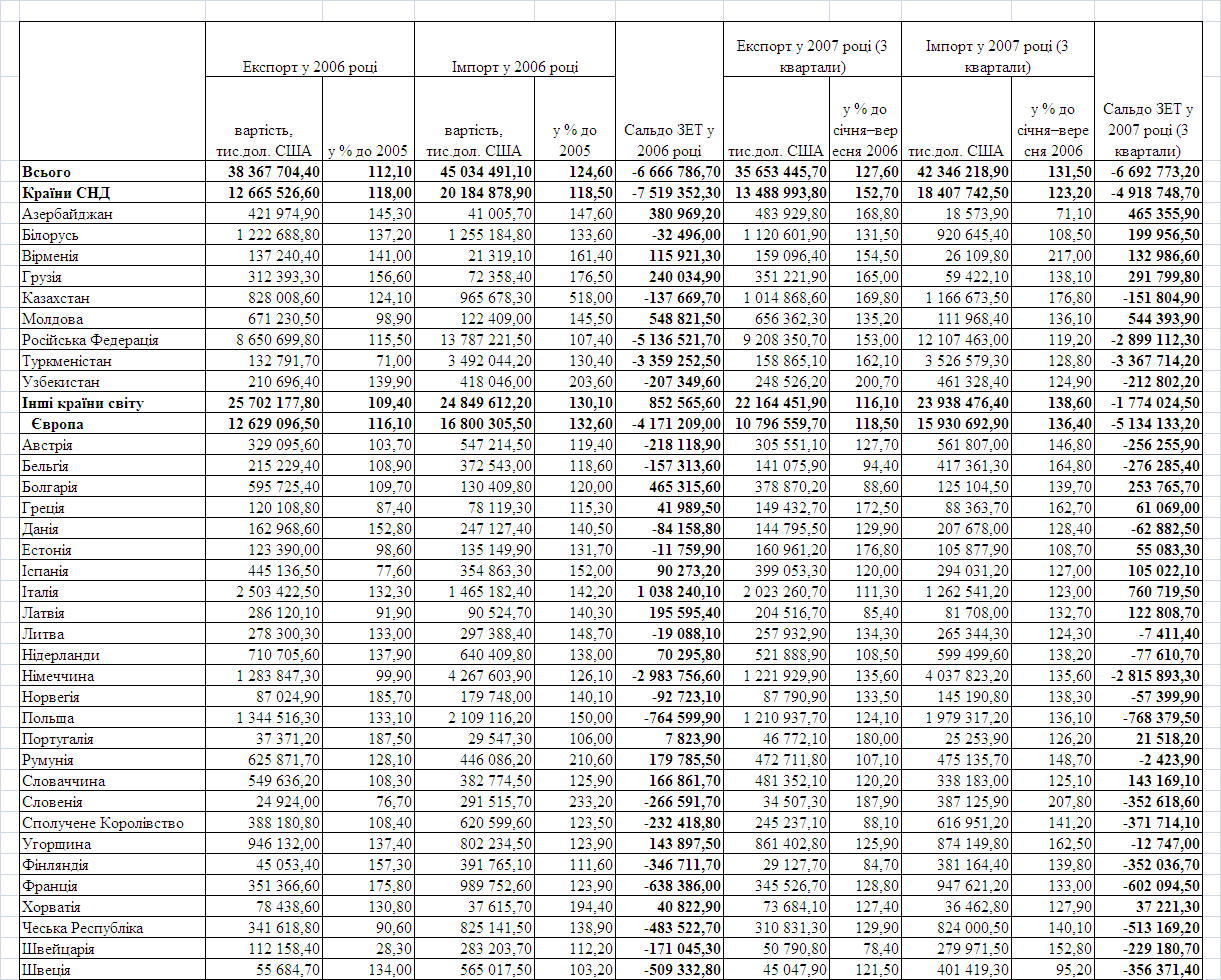
В табл.Д.1 – Д.8 Додатку Д наведені статистичні дані Держкомстату України по товарній та географічній структурі зовнішньої торгівлі України у 2003 – 2007 роках [106]. В табл.Д.6 виділена динаміка показників експорту та імпорту харчової продукції та окремо рибної продукції в Україні за 2003 -2007 роки.
Аналіз динаміки росту абсолютних обсягів експорту та імпорту загальної товарної маси товарів харчової промисловості (рис.2.3), продукції рибної галузі (рис.2.2) та динаміки показників ланцюгового темпу щорічного росту обсягів експорту та імпорту загальної маси товарів харчової промисловості України та рибної підгалузі у 2003 -2007 роках (рис.2.3) показує, що:
загальний щорічний обсяг експорту в зовнішній торгівлі України зріс з рівня 23,07 млрд.дол.США у 2003 році до рівня 40,0 млрд..дол.США у 2007 році (3 квартали), загальний щорічний обсяг імпорту в зовнішній торгівлі України зріс з рівня 23,02 млрд.дол.США у 2003 році до рівня 48,2 млрд.дол. США у 2007 році (3 квартали),

Рис.2.2. – Динаміка показників обсягів експорту – імпорту рибної продукції в Україні у 2003 -2007 роках (в тис.доларів США) [106]

Рис.2.3. – Динаміка показників обсягів експорту – імпорту продукції харчової промисловості в Україні у 2003 -2007 роках (в тис.доларів США) [106]

Рис.2.4. – Динаміка показників ланцюгового темпу щорічного росту обсягів експорту та імпорту загальної маси товарів харчової промисловості України та рибної підгалузі у 2003 -2007 роках [106]
загалом зовнішньоекономічна торгівля України характеризується переходом від рівня позитивного сальдо +3,67 млрд. дол.США у 2004 році до все зростаючого негативного сальдо у 2005 -2006 роках (( - 1,9) млрд.дол.США у 2005 році ,( -6,67) млрд.дол.США у 2006 році та (-8,15) млрд..дол.США у 2007 році) за рахунок випереджаючого темпу приросту імпорту в країну;
загальний щорічний обсяг експорту продукції харчової промисловості в зовнішній торгівлі України зріс з рівня 2,73 млрд.дол.США у 2003 році до рівня 4,93 млрд..дол.США у 2007 році (3 квартали), загальний щорічний обсяг імпорту продукції харчової промисловості в зовнішній торгівлі України зріс з рівня 2,17 млрд.дол.США у 2003 році до рівня 3,2 млрд.дол. США у 2007 році (3 квартали),
харчова промисловість України разом характеризується постійним позитивним сальдо зовнішньоекономічної торгівлі, обсяг експорту у 2006 -2007 роках становить 154% від обсягу імпорту харчових продуктів;
питома вага експорту продукції харчової промисловості в загальному обсягу експорту зовнішньої торгівлі України становить 11,84 % у 2003 році та дещо зростає до рівня 12,30 % у 2007 році;
питома вага імпорту продукції харчової промисловості в загальному обсягу імпорту зовнішньої торгівлі України становить 9,44 % у 2003 році та знижується до рівня 6,60 % у 2007 році;
загальний щорічний обсяг експорту продукції рибної галузі харчової промисловості в зовнішній торгівлі України знизився з рівня 11,4 млн.дол.США у 2003 році до рівня 5,03 млн.дол.США у 2007 році (3 квартали), загальний щорічний обсяг імпорту продукції рибної галузі харчової промисловості в зовнішній торгівлі України зріс з рівня 88,4 млн.дол.США у 2003 році до рівня 362,0 млн.дол. США у 2007 році (3 квартали),
рибна галузь харчової промисловості України характеризується великим значенням негативного сальдо зовнішньоекономічної торгівлі, при цьому обсяги експорту рибної продукції знизились за 5 років практично в 2 рази, а обсяги імпорту рибної продукції за 5 років зросли практично в 4 рази, відносна частка експорту займає всього 1,6% від обсягу імпорту рибної продукції;
питома вага експорту продукції рибної галузі харчової промисловості в загальному обсягу експорту зовнішньої торгівлі України становить 0,05 % у 2003 році та зменшується майже в 3,5 рази до 0,013 % у 2007 році;
питома вага імпорту продукції рибної галузі харчової промисловості в загальному обсягу імпорту зовнішньої торгівлі України становить 0,384 % у 2003 році та зростає майже в1,9 раза до 0,668 % у 2007 році;
Загальна характеристика галузі рибної галузі та ринку риби в Україні:
1. У 2006 році в Україні було спожито 672 тис. т риби (дані сайту www.orghim.ru). Середній обсяг споживання риби та морепродуктів на одну особу залишається на рівні 12 кг на рік, тоді як рекомендована Міністерством охорони здоров’я норма становить 23,7 кг (журнал Food&Drinks, №11, с. 38).
2. Вилов риби і видобуток морепродуктів риболовецькими підприємствами України в 2006 році склав 265,6 тис. тонн. У 2005 році було виловлено 230 тис. тонн риби, імпорт риби до України склав близько 270 тис. тонн.
3. Багато видів риби, які імпортуються в Україну, у наших водоймах не водяться, а для вилову її у світовому океані у вітчизняних компаній не вистачає суден. Лише завдяки імпорту зазначена продукція присутня на українському ринку. Традиційно основними регіонами, які поставляють рибну продукцію, є м. Севастополь, АР Крим та Одеська область, де знаходяться провідні оператори рибної промисловості України. Питома вага підприємств цих регіонів у сукупному обсязі мороженої риби, яка виробляється в Україні, становить близько 90%. Виробники консервованої рибної продукції, які працюють переважно на імпортній сировині, розташовані в Дніпропетровській, Житомирській, Харківській, Чернігівський, Черкаській, Київській областях (включаючи м. Київ), де сконцентровані найбільші потужності з переробки риби та холодильники.
4. Україна залишається імпортозалежною державою на ринку риби, й враховуючи низький рівень власного вилову та високі ціни на яловичину та свинину, а також періодичні проблеми на ринку м’яса птиці, поставки риби будуть мати додатний тренд і в наступному році. В той жечас ціни на рибу стрімко зростають, що потребує від імпортерів пошуку альтернативних дешевих сортів риби та нових постачальників.
Зростання обсягів імпорту риби та морепродуктів обумовлено розвитком збільшенням купівельної спроможності населення.
5. Потенціал ринку риби є значним. Імпорт 600 тис. т риби та 35 500 т. морепродуктів (у 2006 році) – це 61% від загального обсягу споживання зазначеної продукції (www.orghim.ru). У
6. Близько 90% імпортних поставок становить морська морожена риба – протягом січня - вересня 2007 року до України було поставлено майже 212,7 тис. т (на суму близько 86,3 млн. США) цієї категорії риби, що у 1,6 рази перевищує поставки за аналогічний період 2006 року (Food&Drinks, №11, с. 43).
При цьому спостерігається деяке скорочення поставок оселедця, скумбрії, на які в поточному році значно піднялися ціни на світовому ринку, в той же
відбулось збільшення поставок більш дешевої риби, в тому числі кільки, сардин, мойви тощо.
Згідно з даними за 9 місяців 2007 року, у структурі імпорту мороженої риби (без філе) переважну частину займають оселедець, кілька й сардини, мойва, мерлуза, сайда, скумбрія, сумарна питома вага яких оцінюється на рівні 82% імпорту мороженої риби :
- оселедець – близько 65,4 тис. т на суму 20,7 млн. дол. США;
- кілька, сардини – близько 32,2 тис. т на суму 9,9 млн. дол. США;
- мойва – близько 31,6 тис. т на суму 8,8 млн. дол. США;
- мерлуза – близько 18,4 тис. т на суму 11,0 млн. дол. США;
- сайда –15,3 тис. т на суму 7,6 млн. дол. США;
- скумбрія – близько 12,2 тис. т на суму 6,0 млн. дол. США.
Імпорт рибного філе у 2007 році збільшився майже у 2,5 рази порівняно з аналогічним періодом минулого року й становив близько 20,3 тис. т на суму 15,5 млн. дол. США.
Найбільшу питому вагу займає філе оселедця – приблизно 30%, мерлузи (хека) – близько 22%, минтая – майже 10%, лососевих – близько 7-8%. Збільшення імпорту філе оселедця пояснюється експертами ринку високим рівнем попиту з боку крупних виробників пресервів, адже іноді це набагато вигідніше, ніж завозити непотрошену рибу.
7. У структурі експорту риби та морепродуктів спостерігалось скорочення майже всіх категорій мороженої риби та стабільне зростання експортних поставок рибних консервів.
В асортименті риби, що експортується (без врахування продажів у місцях вилову) у групі охолодженої та мороженої риби більше ніж 90-95% становить судак (тушки, філе, фарш), камбала (калкан чорноморський), бичок, щука, кілька, пеленгас тощо.
Щодо географічного розподілу, то близько 59% експортних поставок риби та морепродуктів у 2007 році (січень-вересень) було поставлено до США (31%) та Росії (28%). Це переважно судак (тушки, філе), на який існує значний попит на зовнішніх ринках. Інша рибна продукція та морепродукти поставляяються до Литви (18%), Польщі (8%), Туреччини (7%) та ін.
8. По прогнозам Україна буде залишатися й надалі імпортозалежною державою, при цьому експерти ринку прогнозують скорочення обсягів тіньового ринку. Найближчим часом буде спостерігатися тенденція росту імпорту мороженої/охолодженої риби та морепродуктів внаслідок зміни митних тарифів на імпорт риби та морепродуктів.
Буде активно розвиватися рибопереробна галузь, особливо у сегменті виробництва пресервів, заморожених напівфабрикатів (рибні палички, бюргери та ін.). За оцінками експертів, на українському ринку заморожених рибних напівфабрикатів все ще превалює зарубіжна продукція (в мережі київських супермаркетів – до 80%).
2.2 Характеристики сучасного стану, проблем та перспектив розвитку ЗЕД підприємств рибопереробної підгалузі харчової галузі економіки України
2.2.1 Характеристика макроекономічних заходів створення умов росту рибопереробної галузі в Україні на рівні виконавчої влади
На рівні виконавчої влади розвиток рибопереробної галузі харчової промисловості України з 24 січня 2007 року покладене на спеціальний виконавчий орган поза Міністерства сільського господарства України Державний комітет рибного господарства України [ 34 ]:
1. Державний комітет рибного господарства України (Держкомрибгосп) є центральним органом виконавчої влади, діяльність якого спрямовується і координується Кабінетом Міністрів України через Міністра аграрної політики.
Держкомрибгосп забезпечує проведення державної політики у галузі рибного господарства і рибної промисловості, охорони, використання і відтворення водних живих ресурсів.
2. Основними завданнями Держкомрибгоспу є:
- участь у формуванні та забезпечення проведення державної політики у галузі рибного господарства і рибної промисловості;
- розроблення та здійснення комплексних заходів щодо забезпечення пріоритетного розвитку рибництва, охорони, використання і відтворення водних живих ресурсів у рибогосподарських водоймах України, вивчення стану їх запасів та організація рибальства у виключній (морській) економічній зоні і на континентальному шельфі України, а також у водах за межами юрисдикції України відповідно до міжнародних договорів України;
- здійснення державного управління, регулювання та контролю у сфері охорони, використання і відтворення водних живих ресурсів;
- здійснення державного нагляду за безпекою мореплавства флоту рибного господарства, контролю за ефективністю функціонування системи моніторингу риболовних суден.
Згідно з пунктом 60 статті 9 Закону України «Про ліцензування певних видів господарської діяльності» [ 6 ] - ліцензуванню підлягає діяльність, пов'язана з промисловим виловом риби на промислових ділянках рибогосподарських водойм, крім внутрішніх водойм (ставків) господарств.
Згідно з Законом України «Про рибу, інші водні ресурси та харчову продукцію з них» [5]:
1. Переробка продуктів лову
Переробку продуктів лову мають право здійснювати суб'єкти господарювання за наявності у них дозволу на цей вид діяльності, який видається орга-нами державної санітарно-епідеміологічної служби та державною службою ветеринарної медицини.
Суб'єкти господарювання, які здійснюють переробку продуктів лову, підлягають обліку в державній службі ветеринарної медицини за місцем розташування. Суб'єкти господарювання, які здійснюють рибоконсервне та пресервне виробництво, підлягають обліку в центральному органі виконавчої влади у сфері рибного господарства.
Облік суб'єктів господарювання засвідчується номером, який присвоюється їм для маркування продукції власного виробництва.
Переробку продуктів лову можуть здійснювати суб'єкти господарювання, виробництво яких пройшло атестацію на виконання цих робіт.
2. Атестація переробного виробництва
Виробництво суб'єктів господарювання, які здійснюють переробку продуктів лову, підлягає в установленому порядку атестації на відповідність обов'язковим вимогам, встановленим нормативно-правовими актами та нормативними документами.
Об'єктами атестації переробного виробництва є:
- технічна документація на продукцію та її виробництво;
- технологічне обладнання;
- засоби вимірювальної техніки, контролю, випробувальне обладнання та система їх перевірок;
- порядок реєстрації результатів контролю та випробувань, складання, затвердження та зберігання протоколів випробувань;
- порядок формування та позначення партій харчової продукції.
Атестат виробництва видається територіальним органом з сертифікації на підставі позитивного висновку атестаційної комісії.
3. Вимоги до переробки продуктів лову
Під час переробки продуктів лову повинні забезпечуватися:
- ведення обліку надходження продуктів лову, а також обліку виготовленої з них продукції;
- проведення постійного контролю якості та безпеки продуктів лову, що надходять на переробку, а також супутніх матеріалів та харчової продукції з них відповідно до статті 7 цього Закону;
- реалізація виготовленої харчової продукції та використання продуктів лову для переробки лише за наявності документального підтвердження їх якості та безпеки;
недопустимість введення в обіг, вилучення з обігу та утилізація неякісної та небезпечної продукції;
- дотримання вимог нормативних документів щодо умов добування, переробки та транспортування і зберігання продуктів лову та харчової продукції з них;
- недопущення негативного впливу неякісної та небезпечної продукції на життя і здоров'я населення та довкілля.
4. Забезпечення виробником контролю якості і безпеки продуктів лову та харчової продукції з них.
З метою забезпечення якості і безпеки продуктів лову та харчової продукції з них для здоров'я населення суб'єкт господарювання проводить контроль цієї продукції на всіх стадіях її переробки.
Контроль якості продуктів лову, харчової продукції з них та супутніх матеріалів здійснює виробнича лабораторія, яка підлягає акредитації.
Порядок акредитації виробничих лабораторій переробних виробництв встановлюється центральним органом виконавчої влади у сфері стандартизації, метрології та сертифікації.
Виробнича лабораторія проводить:
- вхідний контроль якості сировини, напівфабрикатів, супутніх матеріалів, призначених для виробництва;
- контроль критичних точок виробництва продукції;
- відбіркові перевірки якості дотримання технологічної дисципліни;
- контроль якості готової продукції за показниками, передбаченими нормативними документами.
Відповідальність за об'єктивність проведення досліджень (вимірювань) та вірогідність їх результатів несе керівник виробничої лабораторії.
Виробнича лабораторія на підставі досліджень продуктів лову, харчової продукції з них та супутніх матеріалів (за умови їх відповідності вимогам нормативних документів) видає свідоцтво про якість.
5. Підтвердження належної якості і безпеки продуктів лову та харчової продукції з них
Підтвердження відповідності і безпеки продуктів лову та харчової продукції з них встановленим вимогам є обов'язковим у разі їх реалізації або направлення на переробку.
Продукти лову реалізуються або використовуються для переробки тільки за наявності:
- ветеринарного свідоцтва;
- висновку державної санітарно-гігієнічної експертизи у разі, якщо продукт лову реалізується або направляється на переробку вперше.
Харчова продукція реалізується тільки за наявності:
- ветеринарного свідоцтва;
- свідоцтва виробника про якість;
- сертифіката відповідності чи свідоцтва про визнання в Україні іноземного сертифіката (для імпортованої продукції);
- маркування згідно з вимогами Закону України "Про якість та безпеку харчових продуктів і продовольчої сировини" [7].
6. Порядок переміщення через митний кордон продуктів лову та харчової продукції з них українського походження
Продукти лову, добуті за межами митної території України резидентами - суб'єктами господарювання на власних чи орендованих (зафрахтованих) суднах, а також харчова продукція з них, виготовлена резидентами - суб'єктами господарювання, є продукцією українського походження.
Підтвердження продуктів лову та харчової продукції з них як продукції українського походження здійснюється за бажанням резидента - суб'єкта господарювання.
Для здійснення митного оформлення щодо якості та безпеки продуктів лову та харчової продукції з них українського походження резидент - суб'єкт господарювання подає:
- свідоцтво про якість;
- ветеринарне свідоцтво;
- карантинний дозвіл на тару, виготовлену із сировини рослинного походження;
- атестат виробництва (копію).
7. Порядок переміщення через митний кордон продуктів лову та харчової продукції з них іноземного виробництва
Митне оформлення для використання на митній території України продуктів лову та харчової продукції з них іноземного виробництва здійснюється згідно з вимогами митного законодавства України.
Для здійснення митного оформлення щодо якості та безпеки продуктів лову та харчової продукції з них іноземного виробництва суб'єкт господарювання подає [ 21 ]:
- сертифікат походження;
- сертифікат відповідності чи свідоцтво про визнання іноземного сертифіката;
- ветеринарне свідоцтво на кожну партію продукції;
- карантинний дозвіл на тару, виготовлену із сировини рослинного походження.
Державний контроль та нагляд за якістю та безпекою риби, інших водних живих ресурсів та харчової продукції з них, що призначаються для експорту, здійснює Державний департамент ветеринарної медицини.
При здійсненні функцій виконавчої влади в галузі регулювання рибної промисловості України, наказом Державного комітету рибного господарства України від 13 березня 2007 року N 13 [30-33] у 2007 році встановлені:
1. Режим промислового рибальства в басейні Азовського моря у 2007 році.
2. Режим промислового рибальства в басейні Чорного моря у 2007 році.
3. Режим промислового рибальства в дніпровських водосховищах у 2007 році.
2.2.2 Характеристика макроекономічних заходів створення умов росту рибопереробної галузі в Україні на рівні законодавчої влади
В сфері законодавчого забезпечення росту рибопереробної галузі в Україні законом України “Про Загальнодержавну програму розвитку рибного господарства України на період до 2010 року” [8] прийнята «ЗАГАЛЬНО-ДЕРЖАВНА ПРОГРАМА РОЗВИТКУ РИБНОГО ГОСПОДАРСТВА УКРАЇНИ НА ПЕРІОД ДО 2010 РОКУ», в якій констатується, що в Україні:
1. Внаслідок економічної кризи обсяги випуску основних видів продукції з риби та інших водних живих ресурсів істотно зменшилися, роль рибного господарства у продовольчому забезпеченні держави знизилася. Фізіологічно обґрунтована річна потреба в рибі та рибній продукції (20 кілограмів на душу населення) становить близько 1 млн. тонн. На сьогодні середній рівень споживання досягає лише трохи більше 8 кілограмів на рік. Через різке скорочення обсягів фінансування в рибному господарстві з'явилися загрозливі тенденції. Насамперед це пов'язано з погіршенням технічного стану обладнання, швидкими темпами його морального і фізичного старіння та виходом з ладу основних фондів підприємств.
2. У рибному господарстві України спостерігається спад виробництва (табл.2.9) і відбуваються процеси зниження його потенціалу. Знос основних фондів становить понад 55 - 65 відсотків, відбувається старіння технічної бази, посилюються ресурсна і фінансова незбалансованість, що призводить до занепаду виробництва. Так, у 2003 році обсяги вилову риби та інших водних живих ресурсів зменшилися порівняно з 1990 роком на 70 відсотків, виробництво харчової продукції з них - на 63 відсотки, рибних консервів - на 69 відсотків, кормового рибного борошна - на 80 відсотків.
Таблиця 2.9
ОБСЯГИ ВИРОБНИЦТВА ОСНОВНИХ ВИДІВ РИБНОЇ ПРОДУКЦІЇ З РИБИ ТА ІНШИХ ВОДНИХ ЖИВИХ РЕСУРСІВ У 1990 - 2003 РОКАХ [ ]
|
Рік |
Вилов риби та інших водних живих ресурсів, тис. тонн |
Виробництво харчової продукції з риби та інших водних живих ресурсів, тис. тонн |
Виробництво рибних консервів, муб |
Виробництво рибного борошна, тис. тонн |
Зариблення водосховищ та природних водойм рибопосадковим матеріалом, млн. штук |
Споживання продукції з риби та інших водних живих ресурсів на душу населення, кілограмів |
|
1990 |
1066 |
684 |
351,8 |
70,4 |
62,6 |
17,5 |
|
1991 |
911 |
620 |
329,8 |
58 |
66,8 |
12,2 |
|
1992 |
532 |
393 |
196,6 |
31,1 |
85,1 |
7,3 |
|
1993 |
358 |
308 |
90,2 |
17,2 |
60,1 |
3,7 |
|
1994 |
307 |
259 |
79,2 |
12,8 |
52,6 |
3,5 |
|
1995 |
393 |
301 |
85,9 |
18,6 |
79,9 |
3,6 |
|
1996 |
388 |
304 |
112 |
21 |
59,5 |
4,3 |
|
1997 |
362 |
291 |
131 |
17 |
68,6 |
5 |
|
1998 |
378 |
292 |
136 |
18 |
63,5 |
5,9 |
|
1999 |
339 |
254 |
98,4 |
14,6 |
36,1 |
7,2 |
|
2000 |
349 |
276 |
92,7 |
14,6 |
36,3 |
8,3 |
|
2001 |
334 |
264 |
108,7 |
13,9 |
33,7 |
9,5 |
|
2002 |
300 |
220 |
120 |
13 |
40 |
10 |
|
2003 |
272 |
195 |
130 |
12 |
50 |
10,3 |
За останні 12 років 75 - 85 відсотків риби та інших водних живих ресурсів добувалося в межах виключних (морських) економічних зон іноземних країн та відкритій частині Світового океану і лише 15 - 25 відсотків - у виключній (морській) економічній зоні та внутрішніх водоймах України, включаючи товарне рибництво.
Значну частину вилученої продукції з риби та інших водних живих ресурсів вітчизняні судновласники змушені використовувати для оплати ліцензій на право лову, забезпечення експлуатаційних витрат, покриття дефіциту власних обігових коштів унаслідок неможливості залучення кредитних ресурсів через високі банківські ставки. Це негативно впливає на споживчий ринок, завантаження виробничих потужностей берегових рибопереробних підприємств, а також зумовлює зниження експортних цін на продукцію з риби та інших водних живих ресурсів і зменшення через це обсягів валютної виручки.
У світі поширюється тенденція надання іншими прибережними країнами дозволів на промисел у водах, що знаходяться під їх юрисдикцією, риби та інших водних живих ресурсів виключно резидентам, тобто можливість роботи будь-яких іноземних суден передбачається тільки на засадах створення спільних підприємств, спільної діяльності, фрахтування суден для використання квот вилову, заснування підприємств іноземцями в цих країнах, зміни прапора судна тощо.
До зменшення обсягів вилову риби та інших водних живих ресурсів океанічними рибальськими підприємствами призвело зростання витрат на оплату ліцензії на право лову, ремонт застарілого рибопромислового флоту.
Наявна потужність галузевих баз технічного обслуговування рибопромислового флоту, суднобудівних, судноремонтних і ремонтно-механічних заводів використовується на 20 - 25 відсотків.
Підприємства рибного господарства України на сьогодні забезпечуються на 70 відсотків сіткоматеріалами іноземного виробництва. Вітчизняні сітков'язальні фабрики потребують розширення і модернізації.
Внаслідок антропогенного впливу значно скоротилися площі та зменшилася продуктивність нерестовищ в Азово-Чорноморському басейні. Інтенсивне забруднення води призвело до зменшення кормової бази, ареалу нагулу, відтворення різних видів риб та інших водних живих ресурсів і до різкого скорочення обсягів їх вилову.
Особливістю становища, що склалося в Азово-Чорноморському басейні, є невідповідність наявних у країнах регіону добувних потужностей нижчій, порівняно з минулим, чисельності риби та інших водних живих ресурсів у традиційних прибережних районах лову. Для збільшення чисельності популяцій кефалевих і камбалових риб необхідно побудувати рибовідтворювальні комплекси і риборозплідники загальною потужністю до 300 млн. штук молоді на рік.
Проблема відтворення осетрових в Азовському і Чорному морях має особливе значення, оскільки від реального внеску України у формування стада осетрових залежить квота їх вилову. Потужність діючих у країні підприємств з відтворення осетрових досягає близько 8 млн. штук молоді на рік, а в 2010 році вона повинна становити не менш як 35 млн. штук молоді осетрових.
Україна має значний фонд природних та штучних водних об'єктів – лиманів, озер, водосховищ і технологічних водойм, розрахункова потенційна рибопродуктивність яких становить 100 - 350 кілограмів з гектара. Для її досягнення річний обсяг штучного зариблення водних об'єктів повинен дорівнювати близько 60 млн. штук молоді коропа, рослиноїдних риб, карася, ляща, судака, щуки, сома, піленгаса та інших промислових видів риб.
На рибопереробних підприємствах спад виробництва зумовлений скороченням обігових коштів і кількості сировини, застосуванням недосконалих технологій, старінням активної частини основних виробничих фондів, недосконалою ціновою, податковою і кредитною політикою, різким зниженням купівельної спроможності населення. Внаслідок недостатнього захисту власного товаровиробника триває ввезення продукції з риби та інших водних живих ресурсів, яка може вироблятися в достатній кількості в Україні. У цілому виробничий потенціал рибопереробних підприємств галузі використовується на 30 - 40 відсотків.
Нестачі холодильних потужностей для зберігання продукції та заморожування сировини з риби та інших водних живих ресурсів на сьогодні не відчувається. Проте більшість діючих холодильників потребує капітального ремонту та модернізації, а частина з них підлягає списанню.
Знижується рівень матеріально-технічного забезпечення рибного господарства. Більшість суден, машин і механізмів відпрацювали амортизаційні строки, значно підвищилися витрати на їх ремонт і технічне обслуговування. У зв'язку із зростанням різниці в паритеті цін на продукцію з риби та інших водних живих ресурсів, зниженням платоспроможності рибогосподарських підприємств ними не здійснюється закупівля сучасних рибопромислових та інших суден, нової техніки.
Програма передбачає виконання таких основних завдань:
1) визначення основних засад державної політики щодо розвитку рибного господарства України;
2) оновлення основних фондів рибогосподарських підприємств на основі широкого впровадження у виробництво досягнень науки і техніки, особливо у рибопромисловому флоті та на підприємствах переробки риби та інших водних живих ресурсів;
3) підвищення ефективності використання сировинних запасів рибогосподарських водних об'єктів України, відкритих районів Світового океану та виключних (морських) економічних зон інших країн;
4) розвиток прісноводної та морської аквакультури, інтенсифікація товарного виробництва на основі застосування якісного селекційного матеріалу;
5) відтворення і охорона рибних та інших водних живих ресурсів;
6) забезпечення високої якості та розширення асортименту конкурентоспроможної продукції з риби та інших водних живих ресурсів;
7) здійснення структурної перебудови рибного господарства, сприяння розвитку підприємств усіх форм власності;
8) розвиток міжнародного науково-технічного співробітництва, зовнішньоекономічних зв'язків у галузі рибного господарства;
9) гармонізація законодавства України щодо якості продукції з риби та інших водних живих ресурсів з нормами Європейського Союзу та світовими стандартами;
10) сприяння розвитку рибогосподарської діяльності з метою збільшення зайнятості населення, поповнення доходів бюджету всіх рівнів та забезпечення продовольчої безпеки країни.
Розвиток аквакультури забезпечуватиметься шляхом інтенсифікації товарного рибництва, відтворення риби та інших водних живих ресурсів у прісних і морських водах з метою збільшення сировинної бази в річках, водосховищах, природних внутрішніх водоймах і виключній (морській) економічній зоні України, а також збереження біологічного різноманіття та поліпшення екологічного стану водосховищ.
Від розв'язання проблем зовнішньоекономічної діяльності безпосередньо залежить як функціонування океанічного рибопромислового флоту, так і досягнення основної мети Програми - забезпечення населення України продукцією з риби та інших водних живих ресурсів у достатній кількості та асортименті, а також підвищення конкурентоспроможності рибогосподарської галузі країни в цілому. Як складові зовнішньоекономічної діяльності здійснюватимуться такі заходи:
сприяння участі океанічного рибопромислового флоту України в рибогосподарській діяльності у виключних (морських) економічних зонах інших країн шляхом укладання двосторонніх договорів;
співпраця з міжнародними рибогосподарськими організаціями з метою забезпечення сталого використання та довгострокового збереження водних живих ресурсів, що регулюється цими організаціями, та забезпечення доступу українських підприємств до цих ресурсів, а також активізація всебічного співробітництва з іншими міжнародними регіональними рибогосподарськими організаціями;
оновлення науково-технічного потенціалу галузі з метою розширення бази для співробітництва з іншими країнами;
оновлення вітчизняного науково-дослідного та рибопошукового флоту з метою як забезпечення його стабільної роботи, так і надання послуг країнам, що розвиваються, у частині дослідження риби та інших водних живих ресурсів;
створення комплексних експедицій для освоєння ресурсів віддалених районів Світового океану, зокрема південної частини Тихого океану та вод Антарктики;
розширення науково-технічного співробітництва з провідними країнами світу в галузі рибного господарства з метою впровадження сучасних технологій з вивчення і використання риби та інших водних живих ресурсів, насамперед за напрямами аквакультури, промислового рибальства, їх переробки;
збільшення експортного потенціалу рибного господарства за рахунок запровадження сучасних стандартів контролю якості та нарощування виробництва конкурентоспроможної продукції з риби та інших водних живих ресурсів;
удосконалення нормативно-правової бази та створення сприятливих умов для забезпечення постачання океанічної риби, виловленої вітчизняним рибопромисловим флотом.
Законом України «Про Національну програму будівництва суден рибопромислового флоту України на 2002 - 2010 роки» прийнята «НАЦІОНАЛЬНА ПРОГРАМА будівництва суден рибопромислового флоту України на 2002 - 2010 роки» [35] .
Необхідність розроблення Національної програми будівництва суден рибопромислового флоту України на 2002 - 2010 роки обумовлена сучасним станом цього флоту, зменшенням його кількісного та типового складу, що спричиняє загострення комплексу економічних, соціальних та інших проблем, негативно впливає на стан продовольчого забезпечення населення держави.
Кількість суден рибопромислового флоту зменшується у зв'язку з їх фізичним та моральним старінням. Значна частка суден експлуатується з перевищенням нормативного строку.
Підвищення протягом останніх 10 років цін на пально-мастильні матеріали (у 6 разів), стан матеріально-технічного забезпечення, використання водних живих ресурсів виключних морських економічних зон прибережних держав та умови оподаткування підприємств спричинили погіршення економічної ефективності використання суден у традиційних районах промислу Світового океану.
Через зменшення кількісного та погіршення типового складу суден рибопромислового флоту, що є основною причиною згортання експедиційного промислу (специфічна особливість рибної галузі України), обсяги вилову в океані у 2010 році не будуть перевищувати 120 тис. тонн.
У галузі рибного господарства нараховується 503 судна рибопромислового флоту 29 проектів, що піднаглядні класифікаційному товариству. Перевищили нормативні строки служби 69 відсотків великих, 85 - середніх і 83 відсотки малих і маломірних суден.
Загальний фізичний знос суден флоту досягає 70 відсотків, середній їх вік становить 21,2 року. За умови підтримання задовільного технічного стану в 2010 році в Україні може залишитися 87 суден (серед них 17 суден океанічного промислу), середній вік яких досягне 21 року.
Метою Програми є стабілізація, нарощування обсягів вилову та виробництва конкурентоспроможної рибної продукції для гарантування продовольчої безпеки держави, задоволення потреб населення в рибопродукції.
2.3 Світові тенденції розвитку рибопереробної підгалузі харчової промисловості
Друге після сільського господарства найважливіше джерело продуктів харчування для зростаючого населення - природні ресурси Світового океану. Вважається, що зараз рибна продукція забезпечує середньому жителю Землі 6% споживаного їм тваринного білка, а приблизно для мільярда чоловік, в основному жителів Азії, риба - джерело 30% споживаного тваринного білка.
Риба і морепродукти належать до швидкопсувних харчових продуктів, і випуск із них виробів зв'язаний з урахуванням раціонального використання сировини й експлуатації устаткування, обліку нюансів технологічних процесів, вибору оптимальних для даного підприємства схем виробництва і вимагає глибокого знання його особливостей і конструктивних ознак устаткування.
Загальне виробництво світового рибного господарства досягає 130 млн. т/рік, з яких більш 90 млн.т/рік - улов, а близько 40 млн. т/рік - добуті за допомогою аквакультури, що складає вже більш 30 % від усього виробництва рибного господарства. Обсяги улову залишалися практично постійними протягом останніх 10 років.
Особливістю останніх років був прискорений розвиток аквакультури як у прісноводних системах, так і в морському середовищі. Лідером є Китай, на частку якого приходиться більш 2/3 від загального виробництва аквакультури у світі і Норвегія, де щорічно вирощують і поставляють на внутрішній і світовий ринок до 325 тис. т. лососевих, що дорівнює щорічному улову Норвегією тріски в природному морському середовищі. Розвиток аквакультури стрімко розширює свої географічні границі і її продукцію усе більше завойовує світові ринки рибної продукції [95].
Близько 38% від світового виробництва риби експортується. Експорт із країн, що розвиваються, складає більш 50%, а більш 80% імпорту приходиться на розвинуті країни (Японію, США, Європу).
Близько 100 млн. т/рік рибопродукції вживається в їжу, а інше переробляється, головним чином, у рибне борошно.
Якщо економіка сільського господарства з часів Неолітичної революції - виробляюча, заснована на агрикультурі, а споживання природних плодів землі - скоріше виключення, чим правило, то економіка використання Світового океану, як і в донеолітичні часи, в основному, привласнююча.
Зростання населення в сполученні з удосконалюванням методів лову і ростом споживання морських продуктів у багатих країнах привело до стрімкого збільшення улову океанічної риби. За ХХ століття її вилов виросло в 25 разів - з 3 до 82 млн. метричних тонн (1989). Тільки з 1950 по 1988 р. він виріс з 19 до 88 млн. т - набагато більше, ніж чисельність населення. У розрахунку на душу населення улов більш ніж подвоївся - виріс з 8 до 17 кг. Але після 1988 р. приріст уловів став меншим, чим приріст населення. Тому, незважаючи на те, що в 1996 р. світовий улов був найбільшим за всю історію - 95 млн. т (у 1997 р. він дещо знизився), улов на душу населення пройшов свій пік у 1988 році і зараз має тенденцію до зниження.
Надмірний ріст уловів ставить під погрозу стійке відтворення світових запасів риби. За даними ФАО, уже зараз 11 з 15 головних промислових регіонів серйозно виснажені, а вилов 70% найважливіших видів риби близький до біологічної межі. Щорічний приріст світового улову найближчим часом може припинитися. З урахуванням росту населення це означає, що до 2050 року улов океанічної риби на душу населення упаде приблизно до 11 кг. При цьому в улові буде продовжувати рости частка низькосортних порід, які раніше навіть не вважалися їстівними. У найближчі 50 років ймовірно повне зникнення з ринку деяких порід, зниження якості одержуваних з моря продуктів харчування, зростання цін, множення конфліктів між країнами через доступ до рибних багатств.
Оскільки можливості океанів наближаються до вичерпання, то збільшуючийся попит на рибну продукцію може бути вдоволений тільки за рахунок розведення риби, що і перетворилося в одну з найбільше швидко зростаючих галузей виробництва продовольства. Продукція аквакультури виросла з 7 мільйонів тонн у 1984 до 28 мільйонів тонн у 1997 році, тобто до 30% від світового улову океанічної риби . По оцінках, наприкінці минулого століття кожна четверта риба, що з'їдається у світі, була вирощена штучно.
Однак розширення рибництва наштовхується на ряд обмежень, у тому числі і тих, котрі гальмують нарощування виробництва м'яса. Швидкий ріст рибництва порозумівається високою кормовою ефективністю галузі, по якій вона порівнянна з птахівництвом: на 1 кг приросту рибної продукції витрачається 2 кг зерна. Проте, штучне розведення риби - це не просте споживання того, що створила природа. Воно вступає в конкуренцію з розведенням худоби і птаха за корми, зокрема, за зерно, соєві боби і рибне борошно, і до того ж породжує високий попит на прісну воду, що також використовується на інші цілі і може бути гостро дефіцитною.
За даними ФАО, у 2001 р. світове виробництво риби і морепродуктів (включаючи продукцію аквакультури) склало 129,9 млн. т/рік, що трохи нижче рівня 2000 р. (130,4 млн. т/рік) [98].
Скорочення відбулося в основному за рахунок падіння уловів дрібних пелагічних риб у Південній Америці, насамперед у Перу. У цілому видобуток риби і продуктів моря зменшився на 3 млн. т/рік - до 91,8 млн.т/рік. У той же час випуск продукції аквакультуры продовжував розширюватися і досяг 37,5 млн. т/рік. У 2001 р. частка аквакультури в загальному обсязі виробництва збільшилася до 29% з 15% у 1990 р.
Найбільшим продуцентом риби і морепродуктов у світі є КНР, на частку якої приходиться майже 1/3 світового видобутку (у 2001р. - близько 42,6 млн. т/рік). Друге місце зберегла за собою Перу, хоча виробництво в цій країні в порівнянні з 2000 р. помітно знизилося. Третю позицію серед ведучих рибодобувних країн займає Індія, виробництво якої оцінюється в 5,7 млн. т./рік.
У вартісному вираженні обсяг світової торгівлі рибою і морепродуктами в 2001 р. у порівнянні з попереднім роком трохи зменшився. Як звичайно, на розвинуті країни приходиться більш 80% світового імпорту даної продукції. У розглянутому році частка Японії у світовому імпорті рибних товарів унаслідок спаду, що продовжувався, в економіці знизилася до 22%. У той же час питома вага країн ЄС виріс до 35% . США, виступаючи четвертим за значенням світовим експортером риби і морепродуктівв, займають 2-і місце у світі по вартості імпорту даної продукції, оцінюваної в 10,2 млрд. дол./рік.
По вартості експорту лідируючі позиції у світі належать Таїланду і КНР. В останні роки китайський експорт розвивається більш динамічно і, по оцінці ФАО, у 2002 р. КНР випередила Таїланд як найбільший постачальник рибних товарів на світовий ринок.
Близько 19% міжнародної торгівлі рибою і морепродуктами (у вартісному вираженні) приходиться на креветки. Ведучими імпортерами креветок на світовому ринку виступають ЄС, Японія і США, сукупний обсяг закупівель цих країн визначається в 950 тис. т щорічно.
Дані за 2002 р. свідчать про скорочення закупівель замороженого філе атлантичної тріски майже усіма ведучими імпортерами, що зв'язано в основному з ростом цін на цю продукцію. На думку експертів ФАО, істотного зміцнення цін на філе тріски в 2003 р. не очікується, оскільки воно буде стримуватися ростом пропозиції продукції експортерами КНР.
Результатом реалізації Міжнародної програми по збереженню рибних ресурсів стало збільшення запасів минтая. Біля половини виловленого в районі Аляски минтая переробляється в пасту "сурими", з якої в Японії й інших азіатських країнах виготовляють ряд продуктів.
Донні риби, головним чином минтай, складають основну частину уловів США. У 2001 р. американським рибопромисловим флотом було добуто 1,9 млн. т на суму 543 млн. дол. (на базі франко-судно). За даними національної статистики, у зазначеному році на донні риби приходилося 47% по обсязі і 17% по вартості від загального улову риби. Після первинної переробки вартість вивантаженої риби різко збільшується, у 2001 р. вона досягла 1,4 млрд. дол.
Норвезький сектор донної риби знаходиться в стані глибокого кризи. Протягом трьох років квота на вилов тріски в Баренцевом море була знижена на 460 тис. т, що не підняло ціну на цей вид риби.

Рис.2.5. – Структура світового вилову риби і морепродуктов (млн. т/рік)

Рис.2.6. - Структура експортерів в міжнародній торгівлі рибою і морепродуктами (млрд. дол./рік)

Рис.2.7. - Структура експортерів в міжнародній торгівлі рибою і морепродуктами (млрд. дол./рік)
Відповідно до доповіді ФАО «Світове рибальство й аквакультура» [98] (15.11.2006 року) ні в найближчій, ні у віддаленій перспективі не прогнозується великий стрибок в попиті та пропозиції рибної продукції. Очікується повільне відновлення рівня постачань після їхнього падіння під впливом урагану “Ель-Ніньо”, а темпи розвитку аквакультури будуть гальмуватися ростом собівартості виробництва й обмеженістю акваторій, придатних для рибоводних господарств. Ріст попиту буде стримуватися несприятливим станом світової економіки і більш повільними, ніж передбачалося, темпами росту народонаселення. У наступні 2–4 роки пропозиція буде збільшуватися, але повільніше ніж на початку 90-х років. Особливо сильно сповільняться темпи зростання виробництва в Азії, де і для положення в аквакультурі, і для активності продажів стали характерні застійні явища, у значній мірі обумовлені ростом цін на продукцію аква-культури.
До 2010 року темпи зростання виробництва можуть відновитися, але попит на рибу і морепродукти почне скорочуватися, оскільки до демографічної і макроекономічної проблем додасться такий фактор, як жорстокість конкурентної боротьби з продукцією тваринництва і птахівництва на ринку продовольства.
Населення землі до 2010 року буде приблизно на 2 % менше, ніж прогнозувалося раніше. Попит на рибу і морепродукти в Європі може скоротитися в порівнянні з 1995 року на 6 %, у Північній Америці — на 4 %, в Азії — на 8 %. Ріст попиту на продукцію тваринництва і птахівництва стимулюється сільсько-господарською політикою ЄС.
Загальний обсяг виробництва в аквакультурі до 2010 року може досягти 35–40 млн.тонн./рік. Виробництво культивованого лосося буде збільшуватися завдяки як зниженню собівартості, так і продуманій маркетинговій політиці розширення бази споживання. Виробництво культивованої креветки може збільшитися до 50 % від обсягу виробництва в промисловому секторі, але тут серйозними стримуючими факторами є скорочення попиту в Японії й екологічні проблеми в основних районах виробництва.
Через ураган “Ель-Ніньо” світовий вилов скоротився на 3–5%, але в основному від нього постраждали сектори, що забезпечують сировиною виробництво рибного борошна і риб'ячого жиру, тоді як пропозиція харчової продукції продовжувалася рости. За прогнозом ФАО, у 2010 році вилов у промисловому секторі складе 95–100 млн.тонн/рік. В останні роки загальна пропозиція риби і морепродуктів на світовому ринку стабілізувалася на рівні, що не перевищує 125 млн. тонн/рік, тому до 2010 року воно навряд чи може збільшитися більш ніж на 10 %.
Аналіз стану промислових запасів риби, проведений фахівцями ФАО, показав, що 44 % світових ресурсів експлуатуються цілком, 16 % — піддаються переловові, 6 % знаходяться у виснаженому стані і тільки 3% мають тенденцію росту. Резервами для росту вилову володіють такі райони, як північ і центр західної частини Тихого океану, східна і західна частини Індійського океану. В інших районах вилов залишиться на існуючому рівні або скоротиться.
Ще наприкінці минулого року авторитетна група вчених опублікувала на сторінках журналу Science досить невтішні оцінки стану світових рибних запасів. По їх даним, майже 30% раніше багатих рибою басейнів світу виявилися на грані повного виснаження: вони дають не більш 10% від колишніх обсягів вилову, тобто запаси риби скоротилися майже на третину. При цьому тенденція збільшення, що спостерігається, розмірів рибальських судів і удосконалювання технологій лову вже не приводять до росту видобутку. З 1994 по 2003 р. кількість виловленої риби скоротилося на 13%. Багаторічна статистика рибальства Північної Америки, Європи й Австралії показує не тільки поступове скорочення уловів, але і зменшення видового різноманіття морепродуктів, що добуваються. Саме порушення біологічної розмаїтості Світового океану учені вважають основною причиною різкого скорочення рибних запасів. Вони роблять досить сумний прогноз: при збереженні нинішніх темпів лову, морська риба може практично зникнути вже до середини нинішнього сторіччя.
Видове виснаження стало помітно і на наших столах: промисловики, виловивши всю гарну рибу, переходять на менш коштовні сорти. Наприклад, років тридцять назад той же минтай вважався непромисловою рибою, а тепер він щосили використовується в кулінарії. Незабаром і кілька стане делікатесом. А от самий свіжий факт подібного роду: найбільший британський виробник рибних паличок — компанія Birds Eye — переключається з тріски на сайду. Причиною такого кроку називаєтьтся виснаження доступних запасів тріски в Північному морі.
Остання обставина турбує експертів більше всього. Б'є тривогу навіть ООН. Населення Землі росте, а за даними Продовольчої і сільськогосподарської організації Об'єднаних Націй, половина світових запасів мігруючої і трансграничної риби експлуатується на межі її здатності до відтворення. З 1976 по 2004 р. торгівля океанською рибою виросла в 14 разів. У першу чергу, перелов і виснаження загрожують тунцеві й акулі. У травні цю ситуацію обговорювали учасники першої оглядової конференції по виконанню Угоди 1995 р. про охорону трансграничних рибних запасів.
Комплекс згаданих факторів приводить до скорочення споживання риби навіть в історично риболовецькій Росії з виходом до 3-х океанів. З 1985 по 2006 р. середньоособове споживання рибних продуктів у РФ упало з 22,5 до 12,6 кг у рік при рекомендуємому Академією медичних наук Росії обсязі споживання на рівні 23,7 кілограма/рік. При цьому в США цей показник складає 22,6 кілограма/рік, у Китаї — 25,7кг/рік, у Норвегії — 47,4 кг/рік, у Японії — 64,7 кілограма/рік.

Рис.2.8. - Динаміка падіння обсягів вилову риби в РФ у 1991 –2002 роках

Рис.2.9. – Динаміка падіння споживання риби на душу населення в РФ у 1990 –2002 роках [ 107]
Висновки до розділу 2
Аналіз динаміки росту абсолютних обсягів експорту та імпорту загальної товарної маси товарів харчової промисловості, продукції рибної галузі та динаміки показників ланцюгового темпу щорічного росту обсягів експорту та імпорту загальної маси товарів харчової промисловості України та рибної підгалузі у 2003 -2007 роках показує, що:
загальний щорічний обсяг експорту в зовнішній торгівлі України зріс з рівня 23,07 млрд.дол.США у 2003 році до рівня 40,0 млрд..дол.США у 2007 році (3 квартали), загальний щорічний обсяг імпорту в зовнішній торгівлі України зріс з рівня 23,02 млрд.дол.США у 2003 році до рівня 48,2 млрд.дол. США у 2007 році (3 квартали),
загалом зовнішньоекономічна торгівля України характеризується переходом від рівня позитивного сальдо +3,67 млрд. дол.США у 2004 році до все зростаючого негативного сальдо у 2005 -2006 роках (( - 1,9) млрд.дол.США у 2005 році ,( -6,67) млрд.дол.США у 2006 році та (-8,15) млрд..дол.США у 2007 році) за рахунок випереджаючого темпу приросту імпорту в країну;
загальний щорічний обсяг експорту продукції харчової промисловості в зовнішній торгівлі України зріс з рівня 2,73 млрд.дол.США у 2003 році до рівня 4,93 млрд..дол.США у 2007 році (3 квартали), загальний щорічний обсяг імпорту продукції харчової промисловості в зовнішній торгівлі України зріс з рівня 2,17 млрд.дол.США у 2003 році до рівня 3,2 млрд.дол. США у 2007 році (3 квартали),
харчова промисловість України разом характеризується постійним позитивним сальдо зовнішньоекономічної торгівлі, обсяг експорту у 2006 -2007 роках становить 154% від обсягу імпорту харчових продуктів;
питома вага експорту продукції харчової промисловості в загальному обсягу експорту зовнішньої торгівлі України становить 11,84 % у 2003 році та дещо зростає до рівня 12,30 % у 2007 році;
питома вага імпорту продукції харчової промисловості в загальному обсягу імпорту зовнішньої торгівлі України становить 9,44 % у 2003 році та знижується до рівня 6,60 % у 2007 році;
загальний щорічний обсяг експорту продукції рибної галузі харчової промисловості в зовнішній торгівлі України знизився з рівня 11,4 млн.дол.США у 2003 році до рівня 5,03 млн.дол.США у 2007 році (3 квартали), загальний щорічний обсяг імпорту продукції рибної галузі харчової промисловості в зовнішній торгівлі України зріс з рівня 88,4 млн.дол.США у 2003 році до рівня 362,0 млн.дол. США у 2007 році (3 квартали),
рибна галузь харчової промисловості України характеризується великим значенням негативного сальдо зовнішньоекономічної торгівлі, при цьому обсяги експорту рибної продукції знизились за 5 років практично в 2 рази, а обсяги імпорту рибної продукції за 5 років зросли практично в 4 рази, відносна частка експорту займає всього 1,6% від обсягу імпорту рибної продукції;
питома вага експорту продукції рибної галузі харчової промисловості в загальному обсягу експорту зовнішньої торгівлі України становить 0,05 % у 2003 році та зменшується майже в 3,5 рази до 0,013 % у 2007 році;
питома вага імпорту продукції рибної галузі харчової промисловості в загальному обсягу імпорту зовнішньої торгівлі України становить 0,384 % у 2003 році та зростає майже в1,9 раза до 0,668 % у 2007 році;
До початку 90-х рр. 20 сторіччя за рівнем споживання рибопродуктів Україна в складі Радянського Союзу займала одне з ведучих місць у світі. Фактичне споживання на душу населення в 1985 р. складало 21,9 кг/рік, у тому числі риби – 16,3 кг, оселедця – 0,8 кг, рибних консервів – 4,8 кг. На початку 90-х рр. споживання риби значно знизилося, що порозумівалося зниженням вилову риби і виробництва рибної продукції в Україні після перерозподілу риболовного флоту СРСР та квотних джерел рибної сировини між самостійними державами СНД. Крім того, у 90-і рр. почав стрімко рости неконтрольований комерційний експорт риби і морепродуктів з країн СНД, на яких критично знизилась купівельна спроможність населення, що, в подальшому, привело до виникнення дефіциту рибної сировини в Україні та сусідній РФ, росту імпорту і значному підвищенню вартості рибної продукції в роздрібній торгівлі.
У сучасній Україні, після падіння середньодушевого споживання риби до рівня нижче 5 кг/рік у середині 90-х років 20 сторіччя, в результаті масової імпортної діяльності середньодушеве споживання риби і морепродуктов не перевищує 10 -11 кг у рік. Це більш ніж удвічі нижче міжнародної медичної норми, що складає 23,7 кг на людину і нижче обсягу споживання в багатьох країнах світу. Так, в Іспанії споживання риби і рибопродуктов складає 38 кг на людину в рік, у Португалії – 48 кг/рік, у Японії – 60 кг/рік. Фахівці галузі не прогнозують росту споживання риби, пояснюючи це низьким платоспроможним попитом населення, що недозволяє в 2-3 рази підняти обсяги імпорту риби в Україну.
Рибна промисловість України у 2007 році характеризується наступними показниками:
- Загальне споживання рибопродуктов в Україні — 600 тис.т у рік;
- Чистий імпорт — 350 тис.т (з них 180 тис.т — з Норвегії);
- Чистий експорт – 5,5 тис.т (холоднозаморожена переробка прісноводної та морської риби, вирощеної в аквакультурі);
- Нелегальний ввіз — близько 120 тис.т у рік;
- Власне український вилов складає не більш 30 тис.т у рік, інша продукція може вважатися української лише номінально — вилов виконується на судах, що ходять під українським прапором;
- 20 років тому (1986 рік) вилов, переробка і збут в УРСР складав 750 тис.т рибопродукції на рік, що технічно забезпечувалося власними виробничими потужностями України.
РОЗДІЛ 3 АНАЛІЗ ВПЛИВУ ЗОВНІШНЬОЕКОНОМІЧНОГО СЕГМЕНТУ НА ЕФЕКТИВНІСТЬ ДІЯЛЬНОСТІ ПІДПРИЄМСТВА АТЗТ КОМПАНІЯ "БАСТІОН" ЗА 2002 - 2007 РОКИ
3.1 Характеристика підприємства АТЗТ компанія "Бастіон" та його зовнішньоекономічної діяльності
Акціонерне товариство закритого типу компанія "Бастіон" є найбільшим на Україні підприємством по переробці прісноводної риби, а у відношенні переробки судака - лідером на ринку України [105]. В додатку А наведено основні реєстраційні характеристики АТЗТ компанія «Бастіон», в додатку Б – баланси та звіти про фінансові результати діяльності підприємства за 2002 – 2007 роки.
АТЗТ компанія "Бастіон" поставляє продукцію підприємствам оптової і роздрібної торгівлі і компаніям-імпортерам у Канаді, США, Росії, Польщі, Естонії, Литві, Латвії, а так само має дозвіл на експорт у Румунію, Чехію, Швейцарію, Угорщину, Ізраїль і Болгарію.
В даний момент компанією ведеться активна робота, метою якої є проходження процедури атестації виробництва відповідно до вимог директив ЄС і одержання дозволу на постачання продукції компанії "Бастіон" у всі країни ЄС.
На внутрішньому ринку України АТЗТ компанія "Бастіон" самостійно не торгує, для продажу продукції в Україні була створена фірма "Бастіон плюс", яка має ексклюзивне право на продаж продукції АТЗТ компанія «Бастіон» на території України.
Щорічно компанія переробляє близько 1 900-2 100 тонн судака (основного продукту), близько 200-300 тонн окуня.
АТЗТ компанія «Бастіон» використовує прісноводну рибну сировину як українського походження, так і імпортуєму з Росії та Балтії через оптових посередників в Україні. Завдяки наявності різних джерел сировини, компанія має можливість пропонувати свіжого і свіжомороженого судака одинадцять місяців на рік.
Аналіз схем експортних та імпортних операцій АТЗТ компанія "Бастіон" у 2004 - 2007 рр. в дипломному дослідженні проводився методом відновлення умов зовнішньо-економічних контрктів за даними ВМД – декларацій (приклад для 2007 року наведений в табл.Г.1(експорт), Г.2(імпорт) Додатку Г та в табл.Г.3- Г.5 додатку Г для 2004 -2006 років).
Основними типовими експортними операціями АТЗТ компанія "Бастіон" в 2007 році були - експорт свіжомороженої прісноводної риби з районів Азовського моря та річок України в Литву та США за наступними умовами (табл.Г.1 Додатку Г):
а) 26.01.2007 - Контракт на поставку свіжомороженої риби на адресу фірми «UNILOGO» LLC ( в США через Литву):
1. Продукція – філе окуня морожене без додавання цукру,солі та перцю без шкіри, розмір 1-3 унції;
2. Поставка – доставка на автомобільному транспорті – контейнеровозі (рефрижераторі) в морский порт в Литві, перегрузка в порту морського контейнера- рефрижератора, доставка в порт США;
3. Партія поставки – 84 коробки по 5 кг;
4. Форма оплати – авансовий банківський переказ 50% суми, перерахування 40% суми на протязі 3-х банківських днів після проходження митного контролю в порту доставки в США, перерахування 10% суми на протязі 3-х банківських днів після приймання продукції на складі в США;
5. В ціну продукції експортера входять витрати експортера на фрахт контейнерів та страхування на шляху до порту в США без сплати митних платежів (умови поставки - CIP за ІНКОМТЕРМС – 2000 [19])
б) 03.08.2007 - Контракт на поставку свіжомороженої риби на адресу фірми «TIGERTRADES ASSOCIATE INC.» (США):
1. Продукція:
1.1) Філе судака морожене 2060кор.х5,00кг-.ДСТУ 4379-2005 Виробник АТЗТ Компанія 'Бастіон' Україна2.Пакування- картоні ящики 2060шт. 3.1 HLXU6768889
1.2) Філе окуня морожене 84кор х 5кг. ДСТУ 4379-2005 Виробник АТЗТ Компанія 'Бастіон' Україна2.Пакування- картоні ящики 84шт. 3.1 HLXU6768889
2. Поставка – загрузка на складі підприємства на автомобільний транспорт – контейнеровоз(рефрижератор), доставка франко – перевізником із Дніпропетровська в США;
3. Партія поставки – 2060 +84 коробок по 5 кг;
4. Форма оплати – авансовий банківський переказ 50% суми, перерахування 40% суми на протязі 3-х банківських днів після проходження митного контролю в м.Дніпропетровську, 10% суми на протязі 3-х банківських днів після приймання продукції на складі в м.Дніпропетровську;
5. В ціну продукції експортера входять витрати експортера на загрузку контейнерів та експортні митні платежі (умови поставки - FCA за ІНКОМТЕРМС –2000 [19])
в) 09.10.2007 - Контракт на поставку свіжомороженої риби на адресу фірми «TIGERTRADES ASSOCIATE INC.» (США):
1. Продукція: Філе судака морожене 2200кор.х5,00кг-.ДСТУ 4379-2005 Виробник АТЗТ Компанія 'Бастіон' Україна2.Пакування- картоні ящики 2200шт. 3.1 CRXU 6805593
2. Поставка – загрузка на складі підприємства на автомобільний транспорт – контейнеровоз(рефрижератор), доставка франко – перевізником із Дніпропетровська в США;
3. Партія поставки – 2200 коробок по 5 кг;
4. Форма оплати – авансовий банківський переказ 50% суми, перерахування 40% суми на протязі 3-х банківських днів після проходження митного контролю в м.Дніпропетровську, 10% суми на протязі 3-х банківських днів після приймання продукції на складі в м.Дніпропетровську;
5. В ціну продукції експортера входять витрати експортера на загрузку контейнерів та експортні митні платежі (умови поставки - FCA за ІНКОМТЕРМС –2000 [19])
г) 20.11.2007 - Контракт на поставку свіжомороженої риби на адресу фірми «TIGERTRADES ASSOCIATE INC.» (США):
1. Продукція: Філе судака морожене ДСТУ 4379-2005 1-2 унц 15ящ х5кг-75кг,2-4унц.173ящ.х5кг-865кг,4-6унц.502ящ.х5кг-2510кг,6-8унц.775ящ. х5кг -3875кг, 8-10унц. 466ящ.х5кг-2330кг,10-12унц.249ящх5кг, -1245кг,12-14унц.120ящ.х5кг-600кг.
2. Поставка – загрузка на складі підприємства на автомобільний транспорт – контейнеровоз(рефрижератор), доставка франко – перевізником із Дніпропетровська в США;
3. Партія поставки – 15+173+502+775+466+249+120 коробок по 5 кг;
4. Форма оплати – авансовий банківський переказ 50% суми, перерахування 40% суми на протязі 3-х банківських днів після проходження митного контролю в м.Дніпропетровську, 10% суми на протязі 3-х банківських днів після приймання продукції на складі в м.Дніпропетровську;
5. В ціну продукції експортера входять витрати експортера на загрузку контейнерів та експортні митні платежі (умови поставки - FCA за ІНКОМТЕРМС –2000 [19])
Основними типовими імпортними операціями АТЗТ компанія "Бастіон" у 2006 - 2007 році були (таблиця Г.2 додатку Г):
імпорт свіжомороженої морської та океанської риби з районів Східної Азії та Південної Америки за наступними умовами:
а) 18.09.2007 - Контракт на поставку свіжомороженої риби фірмою «DALIAN HAIFENGLONG SEAFOODS CO/LTD» (Китай):
1. Продукція :
1.1) Філе рибне морожене без додання цукру, солі та перцю: філе минтаю морожене (THERAGRA CHALCOGRAMMA) без шкіри розмір 6-8 унций,8oz унций-18000кгВиробник-"DALIAN HAIFENGLONG SEAFOODS CO.,LTD" Китай.
1.2) Філе рибне морожене без додання цукру, солі та перцю: філе хека(мерлузи)морожене (MERLUCCIUS) зі шкірою розмір 6-8 унций,8oz унций-7000кг Виробник-"DALIAN HAIFENGLONG SEAFOODS CO.,LTD" Китай.
2. Поставка – в морский порт м.Одеса в морському контейнері- рефрижераторі, перегрузка в порту на автомобільний транспорт – контейнеровоз(рефрижератор), доставка з м.Одеси на склад –холодильник фірми в м.Дніпропетровськ;
3. Партія поставки – 18 +7 тон;
4. Форма оплати – авансовий банківський переказ 50% суми, перерахування 40% суми на протязі 3-х банківських днів після проходження митного контролю в м.Одеса, перерахування 10% суми на протязі 3-х банківських днів після приймання продукції на складі в м.Дніпропетровську;
5. В ціну продукції експортера входять витрати експортера на фрахт контейнерів та страхування на шляху до порту м.Одеса (умови поставки - CIP за ІНКОМТЕРМС –2000 [19])
б) 07.04.2006 - Контракт на поставку свіжомороженої риби фірмою «ALL ROUND TRADIN LIMITED» (Аргентина):
1. Продукція – Тушка хека / hubbsi/ свіжеморожена, морської заморозки випотрошений,без голови,без хвоста розмір 121-200гр.-230 картоних кор. розмір 70-120гр,-1249 картоних кор.
2. Поставка – в морский порт м.Іллічівськ в морському контейнері-рефрижераторі, перегрузка в порту на автомобільний транспорт – контейнеровоз(рефрижератор), доставка з м.Одеси на склад –холодильник фірми в м.Дніпропетровськ;
3. Партія поставки – 26,95 тон;
4. Форма оплати – авансовий банківський переказ 50% суми, перерахування 40% суми на протязі 3-х банківських днів після проходження митного контролю в м.Одеса, перерахування 10% суми на протязі 3-х банківських днів після приймання продукції на складі в м.Дніпропетровську;
5. В ціну продукції експортера входять витрати експортера на фрахт контейнерів та страхування на шляху до порту м.Одеса (умови поставки - CIP за ІНКОМТЕРМС –2000 [19])
в) 15.06.2006 - Контракт на поставку свіжомороженої риби фірмою «LIAONING WANRONG TRADING CO.LTD» (Китай):
1. Продукція – Філе мінтая морожене без шкіри ,без кісток , 20% кригі розмір 4-6 унциі -2600 картоних кор. Виробник Dalian Dongii Foodstuff Co.LTD Китай, Пакування-картоні коробки-2600шт.
2. Поставка – в морский порт м.Одеса в морському контейнері- рефрижераторі, перегрузка в порту на автомобільний транспорт – контейнеровоз(рефрижератор), доставка з м.Одеси на склад –холодильник фірми в м.Дніпропетровськ;
3. Партія поставки – 26 тон;
4. Форма оплати – авансовий банківський переказ 50% суми, перерахування 40% суми на протязі 3-х банківських днів після проходження митного контролю в м.Одеса, перерахування 10% суми на протязі 3-х банківських днів після приймання продукції на складі в м.Дніпропетровську;
5. В ціну продукції експортера входять витрати експортера на фрахт контейнерів та страхування на шляху до порту м.Одеса (умови поставки - CIP за ІНКОМТЕРМС –2000 [19])
Аналіз географії та структури експорту АТЗТ компанія "Бастіон" у 2004-2007 рр. показав, що:
- обсяги експорту риби знижуються з рівня 3,777 млн.грн. у 2004 році до мінімума 0,539 млн.грн. у 2006 році та знову зростають до рівня 1,740 млн.грн. у 2007 році;
- експорт філе судака у 2004 -2007 роках виконувався виключно в компанії США (напряму чи через порти Литви);
- експорт філе окуня малими партіями здійснювався виключно в США;
- у 2006 -2007 роках в експорті присутні нетипові товари (металеві шлами та труби), які отримані підприємством за бартерними угодами в Україні.
Аналіз географії та структури імпорту АТЗТ Компанія «Бастіон» у 2004 -2007 роках показав, що:
- у 2004 році основний імпорт приходився на Польщу та Німеччину (поставки технологічних пристроїв та запасних частин для ліній рибо переробки);
- у 2005 році вперше в імпорті надішла партія мороженої риби з Кітаю (на суму 198 тис.грн.);
- у 2006 році весь імпорт складався з надходження мороженої риби з Аргентини та Кітаю (на суму 373 тис.грн.)
- у 2007 році весь імпорт складався виключно з надходження мороженої риби з Китаю (на суму 369 тис.грн.)
Таким чином, в зовнішньоекономічних операціях імпорту АТЗТ компанія "Бастіон" використовує ризикові форми оплату у вигляді:
передоплати банківським переказом 50% суми контракту;
очікування виконання експортером - нерезидентом відгрузки передоплаченої партії мороженого філе риби через 10 днів після надходження суми передоплати (до 2 днів), яка виконується митним оформленням та передачею партії риби транспортному перевізнику для транспортування із Східної Азії в Україну морським рефрижератором (номінальний строк транспортування – 15 днів);
сплату 2-ї частини контракту - 50% на протязі 3-х днів після повідомлення про відгрузку партії риби експортером, тобто також і при умовах ненадходження імпортуємої риби в Україну через 15 днів після документального відвантаження.
Така схема імпортного зовнішньоекономічного контракту задовольняє експортера-нерезидента, але має декілька основних ризиків для АТЗТ компанія "Бастіон" [85]:
Невідгрузку передоплаченої партії риби експортером-нерезидентом на протязі 10 днів після надходження 50% передоплати;
Ненадходження документально відвантаженої партії риби на протязі 15-ти днів та додаткову оплату другої частини контракту - 50% без фактичного отримання сплаченої партії риби, тобто перехід на схему 100% передоплати банківським переказом;
Ненадходженням 100% передоплаченої партії риби на протязі 90 днів після оплати (загублення грузу, викрадення грузу, кримінальна імітація відвантаження грузу експортером) та застосування до АТЗТ компанія "Бастіон" заходів впливу контрольними установами України за порушення валютного законодавства;
Можливість зриву строків поставок на внутрішній ринок передоплачених авансом партій переробленої імпортної риби за довгостроковими контрактами з оптовиками-резидентами та супермаркетами.
У підприємства АТЗТ компанія "Бастіон" існує тривалий в часі касовий розрив готівкових коштів, оскільки між строком передоплати та фактичним строком поставки імпортної партії риби з Східної Азії існує практично 25 - 30 днів, коли готівкові кошти витрачені, а при відсутності фактичної поставки неможливо брати авансову передоплату по внутрішнім контрактам на поставку переробленої риби в Україні.
3.2 Аналіз ефективності ЗЕД на підприємстві АТЗТ компанія "Бастіон"
3.2.1 Економічна діагностика фінансового стану підприємства АТЗТ компанія "Бастіон" та оцінка ефективності впливу ЗЕД на результати господарської діяльності
Ефективність діяльності підприємства оцінюється наступними основними показниками:
- рівень рентабельності власного капіталу та позитивна динаміка його росту;
- рівень рентабельності активів підприємства та позитивна динаміка його росту;
- стійкий фінансовий стан, високий рівень ліквідності та платоспроможності підприємства;
- позитивна динаміка зростання валового доходу від реалізації продукції, валюти балансу, прибутку та власного капіталу.
Аналіз динаміки і структури майна (активів) підприємства дозволяє встановити розмір абсолютного і відносного приросту або зменшення всього майна підприємства або його видів. Стабільність фінансового стану підприємства залежить від правильності та доцільності вкладення фінансових ресурсів у активи, тому для його оцінки необхідно вивчити передусім склад, структуру майна та джерел його утворення, а також причини зміни складу майна та джерел його утворення.
В табл. В.1 Додатку В наведені результати горизонтального та вертикального аналізу складу і структури майна підприємства АТЗТ компанія "Бастіон" у 2002 –2007 роках (обробка даних Додатка Б [105]).
Як показує аналіз даних табл.В.1 склад та структура майна АТЗТ компанія "Бастіон" у 2002 – 2007 роках характеризується наступними показниками:
- абсолютна валюта баланса підприємства зросла з рівня 6 721 тис.грн. у 2002 році до рівня 16 419 тис.грн. 2007 році, динаміка її росту характеризується:
а) негативним ланцюговим убутком -2,41% у 2003 році;
б) незначним позитивним ланцюговим прирістом +0,52% у 2004 році;
в) значним позитивним ланцюговим прирістом +26,76% у 2005 році;
г) значним позитивним ланцюговим прирістом +23,53% у 2006 році;
д) значним позитивним ланцюговим прирістом +59,06% у 2007 році, що вдвічі перевищує темп приросту валюти балансу у 2005 –2006 роках.
Важливим етапом аналізу фінансового стану підприємства є зіставлення темпів приросту активів з темпами приросту фінансових результатів - виторгу або прибутку від реалізації продукції (див.табл.В.2 Додатку В).
Так система стійкого розвитку підприємства (у світовій практиці “золоте правило економіки підприємства”) оцінюється співвідношенням темпів росту абсолютних рівнів балансового прибутку (ТРБ), обсягу реалізації продукції (ТN) та суми активів балансу (ТВ) [69]:
ТРБ>TN>TB>100% (3.1)
На аналізованому підприємстві АТЗТ компанія "Бастіон" у 2002 – 2007 роках співвідношення “золотого правила” становлять (табл.В.2 Додатку В):
а) 2003 рік
-73,21% > 78,4% > 97,51% > 100% - не виконуються 3 умови
б) 2004 рік
146,12% > 195,78% > 100,52% > 100% - не виконується 1 умова
в) 2005 рік
59,86% > 136,28% > 126,76% > 100% - не виконується 1 умови
г) 2006 рік
-100,0% > 52,53% > 123,52% > 100% - не виконуються 2 умови
д) 2007 рік
-100,0% > 109,1% > 159,06% > 100% - не виконуються 2 умови
Тобто, умови “золотого правила економіки підприємства” в АТЗТ компанія "Бастіон" у 2002 –2007 роках не виконуються, враховуючи також, що у 2002-2003 та 2006 -2007роках діяльність підприємства – збиткова.
Матеріально- технічна основа процесу виробництва на підприємстві – це основні виробничі фонди. Основними характеристиками стану основних засобів на підприємстві є:
коефіцієнт зносу основних засобів;
коефіцієнт придатності основних засобів;
коефіцієнт оновлення основних засобів;
коефіцієнт вибуття основних засобів.
У табл. В.3 Додатку В наведений аналіз стану основних засобів АТЗТ компанія "Бастіон" у 2002 –2007 роках.

Рис.3.2. - Динаміка абсолютних змін основних статей активів та пасивів балансу АТЗТ компанія "Бастіон" у 2002 –2007 роках
Як показує аналіз результатів, наведних в табл.В.3 Додатку В, на підприємстві АТЗТ компанія "Бастіон" на протязі 2002 –2007 років підтримується високий коефіцієнт придатності основних засобів на рівні 82,5 – 64,0 % за рахунок своєчасного оновлення основних засобів замість вибувших з експлуатації, особливе оновлення на 69,4% відбулося у 2006 році.
У першу чергу фінансовий стан підприємства оцінюється його фінансовою стійкістю та платоспроможністю. Платоспроможність відображає здатність підприємства платити за своїми боргами та зобов’язаннями за конкретний період часу. Умови достатності дотримуються тоді, коли підприємство платоспроможне у часі, тобто має стійку здатність відповідати за своїми боргами у будь-який момент часу [68].
Під фінансовою стійкістю слід розуміти його платоспроможність у часіз дотриманням умови фінансової рівноваги між власними та позиковими коштами. Фінансова рівновага являє собою таке співвідношення власних і позикових коштів, коли за рахунок власних коштів повністю погашаються колишні і нові борги. Фінансова рівновага у часі забезпечується ліквідністю балансу, яка визначається як ступінь покриття зобов’язань підприємства його активами, строк перетворення яких на гроші відповідає строкові погашення зобов’язань.
Узагальнюючим показником фінансової стійкості є надлишок (нестача) джерел засобів для формування запасів. Як джерела для формування запасів розглядаються: власний капітал і резерви; довгострокові зобов'язання; короткострокові кредити.
Показники ліквідності характеризують здатність фірми виконувати свої поточні (короткострокові) зобов’язання за рахунок поточних активів.
В Додатку А наведені алгоритми розрахунку відносних показників фінансової стійкості та ліквідності підприємства, які розраховуються на базі інформації з звітних форм “Баланс підприємства” [54] та “Звіт про фінансові результати” [55].

Рис.3.3. – Динаміка показників ліквідності в АТЗТ компанія "Бастіон" у2002 – 2007 роках

Рис.3.4. – Динаміка показника співвідношення дебіторської до кредиторської заборгованості в АТЗТ компанія "Бастіон" у 2002 – 2007 роках

Рис.3.5. - Динаміка показників незалежності та фінансової стійкості в АТЗТ компанія "Бастіон" у 2002 – 2007 роках

Рис.3.6. - Динаміка показників фінансової стійкості по покриттю запасів в АТЗТ компанія "Бастіон" у 2002 – 2007 роках
Результативність та економічна доцільність функціонування підприємства оцінюється як абсолютними, так і відносними показниками до яких відно-сяться показники ділової активності та рентабельності.
В Додатку А наведені алгоритми розрахунків показників рентабельності діяльності підприємства [74] з використанням форм фінансової звітності – Форма 1 “Баланс” [54] та Форма 2 “Звіт про результати фінансової діяльності” [55] ,
алгоритми розрахунків показників ділової активності діяльності підприємства з використанням форм фінансової звітності – Форма 1 “Баланс” [54] та Форма 2 “Звіт про результати фінансової діяльності” [55].

Рис.3.7. - Динаміка показників ефективності використання ресурсів в АТЗТ компанія "Бастіон" у 2002 – 2007 роках

Рис.3.8. - Динаміка показників доходу, собівартості та прибутку в АТЗТ компанія "Бастіон" у 2002 – 2007 роках

Рис.3.9. - Динаміка показників ділової активності (оборотність основних агрегатів балансу) в АТЗТ компанія "Бастіон" у 2002 – 2006 роках

Рис.3.10. - Динаміка показників рентабельності по чистому доходу від реалізації в АТЗТ компанія "Бастіон" у 2002 – 2007 роках

Рис.3.11. - Динаміка показників рентабельності власного капіталу по реалізаційному та чистому прибутку в АТЗТ компанія "Бастіон" у 2002 – 2007 роках
Як показує аналіз графіків рис.3.7 в АТЗТ компанія "Бастіон" у 2002 –2007 роках характерні наступні параметри процесів ділової активності:
- фондовідачча основних фондів постійно зростаючи з рівня 3,5 у 2003 році до рівня 9,1 у 2005 році, різко знизилась до рівня 2,0 у 2006 році, при цьому зниження рівня 2006 року досягає 4,5 рази відносно рівня 2005 року, у 2007 році фондовіддача дещо зросла до рівня 2,38;
- ресурсовіддача активів у чисту виручку від реалізації у 2006 році знизилась в 2,0 – 2,5 рази відносно рівня 2005 року, тобто частка активів стала використовуватися неефективно, у 2007 році тенденція падіння ресурсовіддачі продовжилась падінням з рівня 0,87 у 2006 році до рівня 0,6 у 2007 році.
Аналіз оборотності агрегатів оборотних активів (рис.3.9) також показує, що на протязі 2006 -2007 років, після пожвавлення рівня ділової активності у 2004 -2005 роках, період обороту агрегатів оборотних активів різко зріс, що свідчить про падіння темпу ділової активності підприємства. Таким чином, підтверджується, що частка активів стала використовуватися неефективно.
Аналіз рентабельності роботи АТЗТ компанія "Бастіон" у 2002 – 2007 роках (рис. 3.11) показує, що рентабельність роботи всіх характерних агрегатів балансу підприємства є негативною у 2002 - 2003 роках, характеризується позитивними значеннями у 2004 - 2005 роках, які поступово знижувалась відносно рівня 2004 року до негативного рівня зростаючого збитку у 2006 –2007 роках.
Рентабельність власного капіталу по чистому прибутку знизилась з рівня 84,8% у 2004 році до рівня 25,5% у 2005 році та до негативних рівнів у 2006 –2007 роках, тобто підприємство для його засновників становиться інвестиційно непривабливим, оскільки ставка доходності акцій АТЗТ становиться нижче альтернативної доходності на ринку банківських депозитів (14 -15%).
В той же час показник схильності до банкрутства по Альтману(див.табл.3.2) ідентифікує значний рівень ймовірності банкрутства АТЗТ компанія "Бастіон" у 2002 -2003 та зростаючі ймовірність банкрутства у 2006 -2007 роках, в основному за рахунок збиткової роботи.
Таблиця 3.2
Оцінка ризику банкрутства АТЗТ “Бастіон” по Альтману у 2002 –2007 роках
Таким чином, економічна діагностика ефективності та результативності діяльності підприємства АТЗТ компанія "Бастіон" у 2002 – 2007 роках показала:
підприємство у 2003 – 2005 роках значно підвищило рівень загальної та строкової ліквідності до рівня, в 2 рази перевищуючого нормативні значення, у 2006 році показники загальної та строкової ліквідності ще додатково зросли, створюючи великий запас загальної платоспроможні та стійкості по забезпеченню запасів та оборотного капіталу власними коштами, але у 2007 році показник строкової ліквідності знизився нижче нормативного рівня;
в той же час у 2002 -2007 роках підприємство хронічно має проблеми з негайною платоспроможністю, оскільки рівень абсолютної ліквідності за рахунок готівкових коштів в 5 - 20 разів нижче нормативних показників, що створює проблеми з терміновими розрахунками підприємства з кредиторами;
ця проблема виникає за рахунок значного рівня дебіторської заборгованості, особливо у 2006 - 2007 роках, коли рівень дебіторської заборгованості різко зріс, а обсяг виручки від реалізації суттєво знизився;
підприємство має ризиковано низький рівень автономії за рахунок надто високого рівня використання позикових коштів банківських та комерційних кредитів, при цьому досягнутого рівня 0,317 у 2006 році за рахунок проведення 2-ї емісії акцій та зростання власного капіталу явно не достає для виконання нормативу автономії не менше 0,5. Безприбутковість діяльності підприємства у 2007 році додатково значно погіршує стан з рівнем автономії та підвищує ризик банкрутства підприємства зовнішніми кредиторами (табл.3.2);
ресурсовіддача активів та основних засобів підприємства поступово знижується, що свідчить про необхідність суттєвого оновлення основних засобів на нових технологічних принципах та суттєвого підняття частки активних основних фондів нового покоління;
Таким чином, підприємство знаходиться в сегменті стагнації життєвого циклу розвитку товарно-реалізаційної політики підприємства.
3.2.2 SWOT – аналіз внутрішніх проблем розвитку та зовнішніх факторів конкурентного впливу на діяльність АТЗТ компанія "Бастіон"
Як показали результати економічної діагностики фінансового стану та результатів діяльності АТЗТ компанія «Бастіон» на початок 2008 року, у підприємства накопичився ряд проблем з ліквідністю, автономією та підвищенням рівня загроз банкрутства, що потребує проведення спеціальних видів аналізів, серед яких в дипломній роботі проведені SWOT та PEST аналізи, результати яких покладені в основу пропозицій по формуванню стратегії розвитку підприємства АТЗТ компанія «Бастіон».
Класичний SWOT–анализ припускає визначення сильних і слабких сторін у діяльності фірми, потенційних зовнішніх погроз і сприятливих можливостей і їхню оцінку в балах відносно среднеотраслевых показників або стосовно даних стратегічно важливих конкурентів. Класичним представленням інформації такого аналізу було складання таблиць сильних сторін у діяльності фірми (S), її слабких сторін (W), потенційних сприятливих можливостей (О) і зовнішніх погроз (Т) [87], [89].
У ряді робіт, викладається методика SWOT-аналізу, основний упор у якій зроблений не на методи визначення й оцінку S, W, O і T, а на формулювання конкретних стратегій і заходів на основі S, W і з обліком O і T. Так, у [91] пропонується після визначення S, W, O, T перейти до складання матриці стратегій:
SO – заходи, які необхідно провести, щоб використовувати сильні сторони для збільшення можливостей компанії;
WO – заходи, які необхідно провести, переборюючи слабкі сторони і використовуючи представлені можливості;
ST – заходи, що використовують сильні сторони організації для запобігання погроз;
WT – заходи, що мінімізують слабкі сторони для запобігання погроз.
Таблиця 3.3
Матриця SWOT – аналізу діяльності АТЗТ компанія "Бастіон"
|
Можливості (О) 1.Зниження вартості грошових ресурсів за рахунок еврокредитов банків Європи 2. Зниження вартості матеріальних ресурсів за рахунок освоєння власного розведення та вилову прісноводної риби на шельфі Азовського моря та Дніпровської акваторії 3. Атестація виробництва для отримання сертифікатів на право експортної поставки продукції на ринки Євросоюзу після вступу в СОТ 4. Розширення обсягів переробки імпортної морської та океанської риби для внутрішнього ринку України по технології тривалого зберігання 5. Підвищення рівня власного капіталу за рахунок додаткової емісії акцій АТЗТ та їх рефінансування в ЕБРР _______________________ Погрози (Т) 1.Низька платоспромож-ність населення та зниження активності на ринку рибної продукції в Україні 2. Поява конкурентів в галузі переробки прісноводної риби після відкриття України (після вступу в СОТ)в. 3.Можливість рейдерського захвату підприємства за рахунок низького рівня автономії та загрози з боку кредиторів. |
Сильні сторони (S) 1. Наявність іноземних ліній по технологічній переробці прісноводної риби тривалого зберігання 2. Наявність досвіду переробки прісноводної риби та позитивний імідж фірми на іноземних ринках збуту в США 3. Монопольний стан на ринку експортних поставок прісноводної риби (судак, окунь) в Україні 4. Відлаженість каналів поставки експортної продукції в США 5. Переорієнтація підприємства на переробку імпортної морської та океанської риби для внутрішнього ринку України 6. Участь підприємства у європейських комітетах по стандартизації умов вилову та переробки риби в Україні при вступі до СОТ 7. Високий рівень атестації екологічного та санітарного рівня переробки риби на підприємстві за сертифікатами США 8. Наявність досвідченого персоналу з досвідом ЗЕД роботи 4 -8 років |
Слабкі сторони (W) 1. Зниження експортної частки в продукції з 58,8% у 2004 році до 19% у 2006 році 2. Проблеми з джерелами поставки прісноводної риби за рахунок зниження вилову 3. Зниження рентабельності роботи підприємства з рівня 84,4% у 2004 році до 0% у 2006 році. 4. Значний рівень ризику банкрутства підприємства; 5. Низький рівень коефіцієнта автономії (0,317 замість норми не менше 0,5), що приводить до ризику покриття позикових коштів; 6.Практична відсутність моментальної платоспроможності за рахунок відсутності грошових коштів; 7.Негативні тенденції зростання рівня дебіторської заборгованості при зниженні рівня валових доходів; 8. Ризикові форми ЗЕД – розрахунків |
У таблиці 3.3 представлені результати SWOT- аналізу для досліджуємого підприємства АТЗТ компанія "Бастіон". У таблиці 3.4, на основі SWOT-матриці (табл..3.3) представлені результати розробки матриці стратегій (SO-WO-ST-WT) для досліджуємого підприємства АТЗТ компанія "Бастіон".
Таблиця 3.4
Матриця планування стратегій діяльності АТЗТ компанія "Бастіон"
SO-стратегія1.Розширення участі на ринку рибної продукції в Євросоюзі 2. Розширення участі на ринку переробки імпортної риби на внутрішньому ринку України 3. Освоєння давальницької схеми переробки прісноводної риби |
WO-стратегія 1. Створення спільного підприємства з російською фірмою для отримання доступу до великих ресурсів прісноводної риби в Росії та в російській частині Азовського моря 2. Випуск додаткового обсягу акцій спільного підприємства для різкого підняття рівня власного капіталу та зменшення загрози банкрутства |
|
ST-стратегія 1. Розширення участі на ринку переробки дешевої імпортної морської та океанської риби риби на внутрішньому ринку України |
WT-стратегія 1. Випуск додаткового обсягу акцій спільного підприємства для різкого підняття рівня власного капіталу та зменшення загрози банкрутства 2. Участь у створенні верти-кально-інтегрованих ФПГ по переробці рибної продукції в Україні |
Для реалізації стратегій, наведених в табл.3.4, необхідні:
а) для стратегій SO та WO – вступ України в СОТ та кардинальна перебудова технологічних та санітарно-гігієнічних умов виробництва по переробці риби в Україні для виконання вимог Європейського Союзу [ ];
б) для стратегій ST та WT – детальний прогноз на основі PEST-аналізу поточної та планової купівельної спроможності населення України та ємності українського ринку споживання рибної продукції на 2- 5 років.
3.2.3 PEST – аналіз зовнішніх умов впливу на діяльність АТЗТ компанія "Бастіон"
PEST – Аналіз – це інструмент, призначений для виявлення політичних (Policy), економічних (Economy), соціальних (Society) і технологічних (Technology) аспектів зовнішнього середовища, що можуть вплинути на стратегію компанії. Політика вивчається тому, що вона регулює владу, що у свою чергу визначає середовище компанії й одержання ключових ресурсів для її діяльності. Основна причина вивчення економіки це створення картини розподілу ресурсів на рівні держави, що є найважливішою умовою діяльності підприємства. Не менш важливі споживацькі переваги визначаються за допомогою соціального компонента PEST – Аналізу. Останнім фактором є технологічний компонент. Метою її дослідження прийнято вважати виявлення тенденцій у технологічному розвитку, що найчастіше є причинами змін і втрат ринку, а також появи нових продуктів [88].
Основні положення PEST – Аналізу:
- Стратегічний аналіз кожної з чотирьох зазначених компонентів повинний бути досить системним, тому що всі ці компоненти тісним і складним образом взаємозалежні;
- Не можна покладатися тільки на ці компоненти зовнішнього середовища, тому що реальне життя значно ширше і многообразнее;
- PEST – Аналіз не є загальним для всіх організацій, тому що для кожної з них існує свій особливий набір ключових факторів.
Добір базисних факторів проводиться шляхом застосування PEST-аналізу, що виділяє чотири основні групи факторів (аспекту), що визначають поводження досліджуваного об'єкта:
– Policy – політика;
– Economy – економіка;
– Society – суспільство (социокультурный аспект);
– Technology – технологія.
В матеріалах формування маркетингової стратегії підприємства треба врахувати елементи PEST-аналізу для України, а саме:
- купівельну спроможність населення;
- демографічну ситуацію та номінальна річна ємність ринку споживачів;
національні споживчі навички населення України;
В табл.3.4 –3.5 наведені основні дані, які характеризують демографічну ситуацію та купівельну спроможність населення України [106].
Як показує аналіз даних табл.3.4 – 3.5 та даних рис.3.12:
– реальний ВВП України у порівняльних цінах 1990 року за результатами 2007 року становить тільки 75% рівня 1990 року з врахуванням інфляційного дефлятора на рівні 10-15% на рік [106];
на кожного працюючого в Україні приходиться 1 пенсіонер та 1 непрацюючий (діти та студенти);
рівень доходів населення до 2005 року - неприпустимо низький для придбання рибної продукції вартістю вище 6 доларів США за 1 кг (30 грн./кг);
зростання рівня місячної заробітної плати у 2007 році до 1350 грн./міс. (250 доларів США) у працюючих жителів та до 750-800 грн./міс (120-140 доларів США) у пенсіонерів все одно не робить експортну рибну продукцію АТЗТ “Бастіон” (філе судака та філе окуня) вартістю більше 43 грн./кг (8,5 доларів США за 1 кг) доступною для масових покупців;
Таким чином український покупець орієнтується на більш дешеві сорти морської та океанської риби не дуже якісного споживчо- харчового складу (хек, мінтай, мерлуза) за ціною не вище 18 грн./кг (3,5 долара США).
Тобто, різкого підняття попиту на відносно дорогу експортну рибну продукцію АТЗТ “Бастіон” на внутрішньому ринку України очікувати на найближчі роки не має сенсу. Практичний аналіз стану роздрібного ринку рибної продукції в супермаркетах м.Дніпропетровськ підтверджує наведені результати, оскільки експортної продукції АТЗТ «Бастіон» (філе судака та філе окуня) в продажу немає, хоча у 2002 – 2003 роках вона пропонувалась жителям м.Дніпропетровськ (роздрібна марка «Наша фішка”).
Таблиця 3.4
Віковий розподіл чисельності населення України у 1990 – 2007 роках [106]
|
|
Розподіл населення за віком на початок року, тис.осіб |
у тому числі у віці: |
||||
|
0-14 років |
15-24 років |
25-44 років |
45-64 років |
65 і понад років |
||
|
1990 |
51556,5 |
11084,2 |
6935,2 |
14513,2 |
12849,3 |
6174,6 |
|
1991 |
51623,5 |
11029,5 |
7002,9 |
14764,5 |
12497,5 |
6329,1 |
|
1992 |
51708,2 |
10951,4 |
7055,0 |
14879,3 |
12314,3 |
6508,2 |
|
1993 |
51870,4 |
10915,4 |
7118,7 |
15006,7 |
12139,3 |
6690,3 |
|
1994 |
51715,4 |
10767,7 |
7146,1 |
14973,0 |
11965,3 |
6863,3 |
|
1995 |
51300,4 |
10528,7 |
7159,6 |
14727,0 |
11924,0 |
6961,1 |
|
1996 |
50874,1 |
10246,0 |
7164,4 |
14578,3 |
11826,4 |
7059,0 |
|
1997 |
50400,0 |
9952,4 |
7131,7 |
14435,2 |
11827,9 |
7052,8 |
|
1998 |
49973,5 |
9624,5 |
7117,9 |
14325,9 |
11878,6 |
7026,6 |
|
1999 |
49544,8 |
9206,0 |
7202,0 |
14226,8 |
12008,4 |
6901,6 |
|
2000 |
49115,0 |
8781,0 |
7275,9 |
14092,2 |
12147,0 |
6818,9 |
|
2001 |
48663,6 |
8373,3 |
7325,5 |
13992,0 |
12128,8 |
6844,0 |
|
2002* |
48240,9 |
7949,9 |
7381,2 |
13851,5 |
12079,7 |
6978,6 |
|
2003 |
47823,1 |
7569,5 |
7457,8 |
13726,8 |
11875,5 |
7193,5 |
|
2004 |
47442,1 |
7246,3 |
7478,6 |
13590,9 |
11757,0 |
7369,3 |
|
2005 |
47100,5 |
6989,8 |
7455,7 |
13460,6 |
11687,2 |
7507,2 |
|
2006 |
46749,2 |
6764,7 |
7366,7 |
13342,8 |
11707,8 |
7567,2 |
|
2007 |
46465,7 |
6606,4 |
7266,8 |
13249,5 |
11739,9 |
7603,1 |
Таблиця 3.5
Чисельність пенсіонерів, середній розмір пенсії та заробітної плати в Україні у 1971 – 2007 роках [106]


Рис. 3.12 - Макроекономічні показники динаміки змін ВВП України та інфляційного дефлятора в 1998 –2007 роках
3.3 Питома вага ЗЕД в діяльності підприємства АТЗТ компанія "Бастіон", проблеми розвитку та напрямки їх подолання
В дипломному дослідженні аналіз системи зовнішньоекономічних грошових розрахунків проведений з використанням Форми 3 «Звіт про рух грошових коштів» АТЗТ Компанія «Бастіон» за 2006 -2007 роки, наведеної в табл.Е.1 Додатку Е, та аналітичних звітів про формування грошових потоків витрат на собівартість продукції, грошових потоків витрат та доходів при формуванні прибутк та негрошових потоків формування дебіторсько-кредиторської заборгованості по зобов’язанням з поточних розрахунків (табл.Е.2 – Е.4 Додатку Е).
Аналіз руху грошових коштів в АТЗТ Компанія «Бастіон» показує, що при збитковій операційній діяльності у 2006-2007 роках та, відповідно, негативному грошовому потоку, тільки зовнішні позики дозволяють працювати підприємству. Але при цьому підприємство сплатило 663 тис.грн. відсотків у 2007 році та 714 тис.грн. у 2006 році, що становить практично 30% загальної суми сумарного збитку в операційно-фінансовій діяльності підприємства.
Аналіз динаміки ланцюгових темпів росту грошового потоку валової виручки від реалізації та планових потоків доходів (дебіторська заборгованість) та витрат (кредиторська заборгованість) в АТЗТ компанія "Бастіон" у 2003 – 2007 роках (рис.3.13) показує, що з 2005 року ланцюговий темп росту дебіторської заборгованості в 5 – 10 раз перевищує ланцюговий темп росту валової виручки, тобто підприємство накопичує обсяги нереалізованих результатів продажу продукції. Одночасно ланцюговий темп росту кредиторської заборгованості за отримані товари та послуги також в 2 рази (а в 2007 році в 100 раз) перевищує ланцюговий темп росту валової виручки від реалізації, що є симптомом недостатку коштів для розрахунку з кредиторами.
Аналіз динаміки питомої ваги планованих грошових потоків доходів (дебіторська заборгованість) та планованих грошових потоків витрат (кредиторська заборгованість та аванси за продукцію) в валовій виручці від реалізації продукції АТЗТ компанія "Бастіон" у 2003 – 2007 роках (рис.3.14) показує, що обсяги дебіторської заборгованості з рівня 17-20% від валової виручки при прибутковій роботі підприємства у 2004 –2005 роках зросли до рівня 33 – 43% у 2006 –2007 роках, що викликало нестаток валової виручки та збиткову роботу підприємства. Одночасно у 2007 року різко зросла відносна частка кредиторської заборгованості та отриманих авансів з рівня 10,1 % від валової виручки у 2006 році до рівня 62,0% у 2007 році. Таким чином планований дефіцит грошових потоків в поточних розрахунках у підприємства на кінець 2007 року досяг –19,0% від валової виручки за 2007 рік, що може бути перекрито тільки при додатковому залученні банківських кредитів, або додаткових інвестиціях засновників в статутний фонд підприємства.
Тобто грошові залишки на рахунку підприємства 16,0 тис.грн. за результатами діяльності у 2006 році та 5,3 тис.грн. за результатами діяльності у 2007 році свідчать про ведення збиткової роботи на «проїдання» статутного фонду підприємства відсотками банку, який замінюється позиковим банківським капіталом та авансами, отриманими підприємством за майбутній продаж продукції.
При цьому слід відмітити повню відсутність весельних розрахунків за відпущену продукцію, що приводить до різкого зростання дебіторської заборгованості у 2006 -2007 роках при різкому зниженні валового доходу від продажу продукції ( до рівня 50-60% від валового доходу у 2005 році).
Спільний аналіз ВМД АТЗТ компанія "Бастіон" та фінансових результатів діяльності за 2003 – 2007 роки показав (табл.Г.1 - Г.6 Додатку Г), що діяльність підприємства характеризується тенденцією постійного росту імпорту в матеріальних витратах від рівня 0,55% у 2003 році до рівня 5,62% у 2006 році за рахунок переорієнтації виробництва підприємства на переробку імпортної риби для внутрішнього ринку України (рис.3.15).

Рис. 3.13. – Динаміка ланцюгових темпів росту грошового потоку валової виручки від реалізації та планових потоків доходів (дебіторська заборгованість) та витрат (кредиторська заборгованість) в АТЗТ компанія "Бастіон" у 2003 – 2007 роках
Рис.
3.14. – Аналіз питомої ваги планованих
грошових потоків доходів (дебіторська
заборгованість) та планованих грошових
потоків витрат (кредиторська заборгованість
та аванси за продукцію) в валовій виручці
від реалізації продукції АТЗТ компанія
"Бастіон" у 2003 – 2007 роках

Рис. 3.15. – Динаміка відносних часток експортних і імпортних операцій в грошових потоках АТЗТ Компанія «Бастіон» у 2003 – 2007 роках
Аналіз динаміку доходів від експорту в валових доходах підприємства показує (рис.3.15), що частка експорту знизилась з рівня 58,8% у 2003 році до рівня 5,6% у 2005 році за відсутністю джерел рибного виробництва та знов зросла до рівня 20,15% у 2006 -2007 роках за рахунок нетипового експорту металу, отриманого при бартерних операціях з рибною продукцією.
Експорт рибної продукції України значно відстає від імпортних постачань у силу незначних обсягів вилову (табл.3.6), а також специфіки виробничої діяльності українських рибальських підприємств — основна частина вилову приходиться на 200-мильні прибережні зони інших держав, і близько 2/3 виловленої риби реалізується в місцях вилову – у берегів Північної Африки (переважно Мавританія) і Європи (Іспанія), Океанії. У структурі експорту спостерігається щорічне скорочення частки мороженої риби і стабільний ріст експортних постачань рибних консервів.
Більш 75% риби і морепродуктов у 2007 році було експортовано в Росію, Канаду, Польщу, США і Литву. Інші 25% риби і морепродуктов було поставлено в Грузію, Румунію, Молдову й інші країни (табл.3.6) [106].
В асортименті риби, що експортується (без врахування продажів у місцях вилову) у групі охолодженої та мороженої риби більше ніж 90-95% становить судак (тушки, філе, фарш), інше – камбала (калкан чорноморський), бичок, щука, кілька, пеленгас тощо.
Щодо географічного розподілу, то близько 59% експортних поставок риби та морепродуктів у 2007 році (січень-вересень) було поставлено до США (31%) та Росії (28%). Це переважно судак (тушки, філе), на який існує значний попит на зовнішніх ринках. Інша рибна продукція та морепродукти поставляються до Литви (18%), Польщі (8%), Туреччини (7%) та ін.
Основними постачальниками в Україні риби і морепродуктів вітчизняного виробництва на зовнішній ринок у 2007 році є такі компанії: ВАТ АРК «Антарктика» (м. Одеса), ТОВ “Бриз”, ТОВ «Фортуна» (Харківська обл.), ТОВ «Південна мануфактура «Протока», ТОВ “Нептун” (м. Черкаси), ЗАТ «Бастіон» (Дніпропетровська обл.), ТОВ «Плеяди» (Київська обл.), ТОВ «Интерфиш» (Донецьк).
Актуальним для нарощування експорту рибної продукції в Україні залишається питання відтворення рибних ресурсів у внутрішніх водоймищах, адже об'єми вирощування і вилову товарної риби протягом існування незалежності України зменшилось у 4 рази.
Таблиця 3.6 Експорт-імпорт свіжомороженого філе риби в Україні у 2007 році

Аналіз основних операторів ринку риби та рибної продукції в Україні у 2007 році показав:
1). в роздрібній торгівлі рибою та рибною продукцією переважну більшість складає імпортна продукція. Кожен з виробників імпортної рибної продукції займає свій сегмент ринку:
- так, торгова марка вітчизняного виробника «Водний світ» (Іллічевськ Одеська обл.), отримала повну перемогу на ринку у сегменті крабових паличок;
- у сегменті кальмарів основними конкурентами є «Nordic Sea Food» - датський виробник, який присутній більше десяти років на українському ринку та має майже весь асортимент рибної продукції, та торгова марка «Deline» - імпортер, який реалізує свою продукцію через ТОВ «Золотце». На думку фахівців, ця продукція абсолютно не відрізняється від Nordic Sea Food.
- торгова марка «Polar» – бренд №1 на ринку креветок дрібного розмірного ряду. Умовно, ринок креветок глибокого заморожування можна поділити на Polar та всі інші, де продукція Polar займає близько 50% ринку, хоча може, і більше. Імпорт цих креветок відбувається за допомогою компанії ТОВ «Світанок» (Одеса).
- представниками сегмента креветок на українському ринку є також: «Agama» (дистриб’ютором є компанія «Агама- трейд»), «Emborg» (дистриб’ютор - компанія «Ян Дженерал»), «Deluxe» (дистриб’ютор – ТОВ «Морська свіжість», Дніпропетровськ), «Kaluri».
2) Треба зазначити, що серед споживачів рибної продукції стабільним попитом користуються консерви і пресерви, оскільки вони реалізуються у готовому вигляді і можуть використовуватись як окрема страва та як інгредієнт, до того ж мають доступний ціновий рівень. У зазначеному сегменті працюють такі підприємства:
- «Південна мануфактура», “Пролив», «Море плюс», «Паллада», «Інтеррибфлот», які містять в собі в собі повний цикл виготовлення рибної продукції (від вилову риби і виробництва до реалізації консервів в Україні і за кордоном). Кожен виробник, що працює в сегменті пресервів, виготовляє пресерви
оселедця під однією або декількома різними торговими марками, позиціонуючи їх в різних цінових сегментах.
- у число найпопулярніших торгових марок входять «Аквамарин», «СОВ-Гавань», «Норман», «Плеяди», «Русалонька» і «Продімпекс».
Отже, протягом 2007 року основні виробники рибної продукції в Україні продовжували здійснювати заходи щодо просування своєї продукції, виробленої на основі імпортної рибної сировини,основним поштовхом для чого було зростання попиту населення на рибу та рибну продукцію.
Таким чином, експортних конкурентів у зовнішньому оточуючому середовищі в України для АТЗТ компанія “Бастіон” немає і основними проблемами розвитку ЗЕД на підприємстві є подолання внутрішніх проблем збитковості діяльності у 2006 –2007 роках за рахунок реструктуризації системи грошових розрахунків в зовнішньоекономічних та внутрішніх торговельних операціях.
В сегменті поставок імпортної переробленої риби на внутрішній ринок при різкому стрибку цін на м’ясопродукти у 2007 –2008 роках - ринковий попит на відносно “дешеву” імпортну рибу (в 2-3 рази дешевше м’яса) в Україні має сприятливу перспективу значного розширення, тобто конкурентний тиск на імпортовану продукції з морської та океанської риби для АТЗТ компанія “Бастіон” також буде невеликим, а, безпосередньо в Дніпропетровській області, цілком визначатися суперництвом з рибною компанією “Айсберг” (м.Дніпропетровськ).
Висновки до розділу 3
АТЗТ Компанія «Бастіон» є одним з найбільших на Україні підприємств по переробці прісноводної риби, а у відношенні переробки судака - лідером на ринку України.
Щорічно компанія переробляє близько 1 900-2 100 тонн судака (основного продукту), близько 200-300 тонн окуня.
В основному компанія використовує сировину українського походження, але українська сировина не цілком задовольняє потреби компанії, тому риба імпортується з Росії і Балтії через оптових посередників в Україні. Завдяки наявності різних джерел сировини, компанія в стані пропонувати свіжого і свіжомороженого судака одинадцять місяців у році.
Основними імпортними операціями АТЗТ компанія "Бастіон" є:
- імпорт свіжомороженої морської та океанської риби з районів Східної Азії та Південної Америки за наступними умовами:
- імпорт нового обладнання для рибопереробки та запчастин для ремонту експлуатуємого обладнання.
Основними експортними операціями АТЗТ компанія «Бастіон» є експорт свіжомороженої прісноводної риби з районів Азовського моря та річок України, Росії, Білорусії в Литву та США.
В зовнішньоекономічних операціях експорту АТЗТ компанія «Бастіон» використовує ризикові форми оплату у вигляді:
отримання від нерезидента передоплати банківським переказом 50% суми контракту;
відгруження продукції по контракту на експорт на протязі 10 днів після надходження 50% передоплати від нерезидента-імпортера;
очікування виконання імпортером - нерезидентом оплати другої частини конктракту на протязі 3-х банківських днів після доставки вантажу в порт США (передачі транспортним перевізником товарної партії з митним оформленням експорту) при транспортуванні із України в США(номінальний строк – 10 днів);
Така схема експортного зовнішньоекономічного контракту цілком задовольняє імпортера-нерезидента, але для експортера – АТЗТ компанія "Бастіон" має наступні основні ризики [85]:
1) Неоплату на протязі 3-х днів другої частини контракту (50%) після відгрузку передоплаченої на 50% партії рибної продукції імпортером-нерезидентом;
2) Ненадходження документально відвантаженої партії рибної продукції на протязі 10-х днів на адресу імпортера-нерезидента та його відказ від сплати 2-ї частини контракту до моменту надходження товарної партії;
3) Ненадходженням 50% оплати за відгружену партію рибної продукції на протязі 90 днів після відгрузки (загублення грузу, викрадення грузу, кримінальна імітація відвантаження грузу перевізником) та застосування до АТЗТ компанія "Бастіон" заходів впливу контрольними установами України за порушення валютного законодавства.
4) Відсутністю моментальної ліквідності підприємства за рахунок затримки надходження готівкових , коштів, що і було ідентифіковано при економічній діагностиці АТЗТ Компанія "Бастіон".
Зовнішньоекономічна діяльність підприємства характеризується тендерцією постійного росту імпорту в матеріальних витратах від рівня 0,55% у 2003 році до рівня 5,62% у 2007 році за рахунок переорієнтації виробництва підприємства на переробку імпортної риби для внутрішнього ринку України.
Аналіз динаміки доходів від експорту в валових доходах підприємства показує, що частка експорту знизилась з рівня 58,8% у 2003 році до рівня 5,6% у 2005 році за відсутністю джерел рибного виробництва та знов зросла до рівня 20,1% у 2007 році за рахунок нетипового експорту металу.
Аналіз руху грошових коштів в АТЗТ Компанія «Бастіон»показує, що при збитковій операційній діяльності у 2006-2007 роках та, відповідно, негативному грошовому потоку, тільки зовнішні позики дозволяють працювати підприємству. Але при цьому підприємство сплатило 663 тис.грн. відсотків у 2007 році та 714 тис.грн. у 2006 році, що становить практично 30% загальної суми сумарного збитку в операційно-фінансовій діяльності підприємства.
Аналіз динаміки ланцюгових темпів росту грошового потоку валової виручки від реалізації та планових потоків доходів (дебіторська заборгованість) та витрат (кредиторська заборгованість) в АТЗТ компанія "Бастіон" у 2003 – 2007 роках показує, що з 2005 року ланцюговий темп росту дебіторської заборгованості в 5 – 10 раз перевищує ланцюговий темп росту валової виручки, тобто підприємство накопичує обсяги нереалізованих результатів продажу продукції. Одночасно ланцюговий темп росту кредиторської заборгованості за отримані товари та послуги також в 2 рази (а в 2007 році в 100 раз) перевищує ланцюговий темп росту валової виручки від реалізації, що є симптомом недостатку коштів для розрахунку з кредиторами.
Аналіз динаміки питомої ваги планованих грошових потоків доходів (дебіторська заборгованість) та планованих грошових потоків витрат (кредиторська заборгованість та аванси за продукцію) в валовій виручці від реалізації продукції АТЗТ компанія "Бастіон" у 2003 – 2007 роках показує, що обсяги дебіторської заборгованості з рівня 17-20% від валової виручки при прибутковій роботі підприємства у 2004 –2005 роках зросли до рівня 33 – 43% у 2006 –2007 роках, що викликало нестаток валової виручки та збиткову роботу підприємства. Одночасно у 2007 року різко зросла відносна частка кредиторської заборгованості та отриманих авансів з рівня 10,1 % від валової виручки у 2006 році до рівня 62,0% у 2007 році. Таким чином планований дефіцит грошових потоків в поточних розрахунках у підприємства на кінець 2007 року досяг –19,0% від валової виручки за 2007 рік, що може бути перекрито тільки при додатковому залученні банківських кредитів, або додаткових інвестиціях засновників в статутний фонд підприємства.
Тобто залишки в касі 16,0 тис.грн. за результатами діяльності у 2006 році та 5,3 тис.грн. за результатами діяльності у 2007 році свідчать про ведення збиткової роботи на «проїдання» статутного фонду підприємства відсотками банку, який замінюється позиковим банківським капіталом та авансами, отриманими підприємством за майбутній продаж продукції.
При цьому слід відмітити повню відсутність весельних розрахунків за відпущену продукцію, що приводить до різкого зростання дебіторської заборгованості у 2006 -2007 роках при різкому зниженні валового доходу від продажу продукції ( до рівня 50-60% від валового доходу у 2005 році).
Таким чином, економічна діагностика ефективності та результативності діяльності підприємства АТЗТ Компанія «Бастіон» у 2002 – 2007 роках показала:
- підприємство у 2003 – 2005 роках значно підвищило рівень загальної та строкової ліквідності до рівня, в 2 рази перевищуючого нормативні значення, у 2006 році показники загальної та строкової ліквідності ще додатково зросли, створюючи великий запас загальної платоспроможні та стійкості по забезпеченню запасів та оборотного капіталу власними коштами, але у 2007 році показник строкової ліквідності знизився нижче нормативного рівня;
- в той же час у 2002 -2007 роках підприємство хронічно має проблеми з негайною платоспроможністю, оскільки рівень абсолютної ліквідності за рахунок готівкових коштів в 5 - 20 разів нижче нормативних показників, що створює проблеми з терміновими розрахунками підприємства з кредиторами;
- ця проблема виникає за рахунок значного рівня дебіторської заборгованості, особливо у 2006 - 2007 роках, коли рівень дебіторської заборгованості різко зріс, а обсяг виручки від реалізації суттєво знизився;
- підприємство має ризиковано низький рівень автономії за рахунок надто високого рівня використання позикових коштів банківських та комерційних кредитів, при цьому досягнутий рівень 0,317 у 2006 знов зменшився до рівня 0,112 у 2007 році, тобто власних коштів у підприємства явно не достає для виконання нормативу автономії не менше 0,5. Зростання рівня збитковості діяльності підприємства у 2007 році додатково значно погіршує стан з рівнем автономії та підвищує ризик банкрутства підприємства зовнішніми кредиторами;
- ресурсовіддача активів та основних засобів підприємства поступово знижується, що свідчить про необхідність суттєвого оновлення основних засобів на нових технологічних принципах та суттєвого підняття частки активних основних фондів нового покоління;
Тобто, підприємство знаходиться в сегменті стагнації життєвого циклу розвитку товарно-реалізаційної політики підприємства та практично вичерпало можливість зовнішніх банківських та комерційних позик, як фінансових джерел для забезпечення зростання обсягів виробництва продукції, враховуючи зростання нереалізованого результату продаж у вигляді дебіторської заборгованості. Станом на кінець 2007 року за показником Альтмана АТЗТ Компанія “Бастіон” наблизилось до кризисної зони небезпеки банкрутства за вимогами кредиторів та потребує провадження програми антикризових заходів.
Дослідження показали, що експортних конкурентів у зовнішньому оточуючому середовищі в України для АТЗТ компанія “Бастіон” немає і основними проблемами розвитку ЗЕД на підприємстві є подолання внутрішніх проблем збитковості діяльності у 2006 –2007 роках за рахунок реструктуризації системи грошових розрахунків в зовнішньоекономічних та внутрішніх торговельних операціях.
В сегменті поставок імпортної переробленої риби на внутрішній ринок при різкому стрибку цін на м’ясопродукти у 2007 –2008 роках - ринковий попит на відносно “дешеву” імпортну рибу (в 2-3 рази дешевше м’яса) в Україні має сприятливу перспективу значного розширення, тобто конкурентний тиск на імпортовану продукції з морської та океанської риби для АТЗТ компанія “Бастіон” також буде невеликим, а, безпосередньо в Дніпропетровській області, цілком визначатися суперництвом з рибною компанією “Айсберг” (м.Дніпропетровськ).
РОЗДІЛ 4 ШЛЯХИ ПІДВИЩЕННЯ ЕФЕКТИВНОСТІ ЗЕД ПІДПРИЄМСТВА АТЗТ КОМПАНІЯ "БАСТІОН"
4.1 Заходи щодо удосконалення ЗЕД та їх вплив на ефективність діяльності підприємства АТЗТ компанія "Бастіон"
На підставі аналізу діяльності АТЗТ компанія «Бастіон», представленому в розділі 3 дипломної роботи, виявлено, що основними проблемами розвитку ЗЕД підприємства є зниження ефективності його діяльності за рахунок накоплення негативних ефектів неоптимальності схеми ЗЕД-розрахунків при ризиковій експортній маркетинговій стратегії завойовування закордонних ринків збуту своєї продукції.
При цьому підприємство становиться заручником системи 3-х боргів:
- борг перед підприємством за розрахунками дебіторів, яким надається тимчасовий комерційний кредит при продажу продукції;
- борг підприємства за розрахунками з кредиторами, які надали тимчасовий комерційний кредит при покупці сировини та матеріалів;
- борг підприємства перед комерційним банком, який надав короткостроковий кредит для своєчасної закупки запасів виробництва та часткових розрахунків з кредиторами;
Ефективність та прибутковість роботи підприємства в умовах 3-х боргів залежить від внутрішньої системи регулювання боргів в часі та зниження витрат на сплату відсотків за банківські кредити, які покривають тимчасові «касові розриви» в фінансуванні діяльності підприємства.
Основними заходами підвищення ефективності ЗЕД, які обгрунтовуються у дипломному проекті, є пропозиції впровадження вексельного механізму прискорення перетворення дебіторсько-кредиторської заборгованості в грошові кошти при імпортних та експортних операціях АТЗТ компанія «Бастіон».
Пропозиції впровадження вексельного механізму прискорення перетворення дебіторсько-кредиторської заборгованості в грошові кошти при імпортних операціях АТЗТ Компанія «Бастіон» мають мету:
- впровадження вексельного обороту в систему грошових розрахунків підприємства;
- впровадження короткострокового вексельного кредитування (обліку векселів) банками дебіторської заборгованості підприємства, оформленної у вигляді авальованих векселів покупців продукції;
- впровадження вексельного розрахунку з кредиторами переказними век-селями з можливістю обороту на себе при погашенні дебіторської заборгованості за відпущену продукцію дебіторами;
- різкого скорочення строку перетворення дебіторської заборгованості в грошові кошти за допомогою форфейтинг-факторингової схеми обліку векселя в комерційних банках.
Для оптимізації показників схем розрахунків по зовнішньоекономічним торгово-посередницьким операціям АТЗТ компанія «Бастіон» в дипломній роботі пропонується алгоритм управлінського рішення по впровадженню векселів на обох етапах торгово-виробничої операції, графічно відображений схемою на рис.4.1:
- оплата АТЗТ компанія "Бастіон" контракту авальованим векселем (погашення через 80 днів) негайно по факту угоди на поставку імпортної продукції із відповідним зниженням ціни на імпортну продукцію з боку експортера-нерезидента;
- отримання від оптових покупців – дебіторів на вітчизняному ринку авальованих векселів за відпущену продукцію з строком погашення 30 – 60 днів після відвантаження товару;
зарахування отриманих векселів в комерційному банку (вексельний кредит) до строку погашення векселів та отримання оборотних коштів для продовження оборотних циклів підприємства (нові імпортні поставки).
4.2 Ефективність механізму вексельно-форфейтингової розрахункової схеми при імпортних операціях підприємства АТЗТ компанія "Бастіон"
Алгоритм витрат та доходів при розрахунках в зовнішньоекономічних операціях імпорту за механізмом вексельно-форфейтингової операції в розрахунках (мінімальний ризик експортера та відповідне зниження контрактної ціни поставки товарів для імпортера) наведений на схемах рис.4.1 при наступних умовах контракту :
надання імпортером-резидентом авальованого банком-резидентом імпортера простого векселя зі строком пред”явлення до погашення до 80 днів (не більше контрольного строку в 90 днів);
поставка продукції на умовах (СIF) – порт м.Одеса;
форфейтинг (продаж) векселя експортером форфейтинг-банку нерезидента за 80 % від суми на право отримання коштів по строку погашення векселя та заключення з ним договору на інкасування векселя через банк-резидент імпортера.
1) Етап 0 - Заключення зовнішньоекономічного експортного договору;
2) Етапи 1,2 – Авалювання резидентом – імпортером у своєму банку А-резиденту векселя на суму контракту;
3) Етапи 3,4 – Поставка „франко-перевізник” продукції в обмін на авальований вексель (час Т0);
4) Етап 5 - Поставка імпортного контракту на облік в комерційному банку (виконання терміну надходження коштів на рахунок – не більше 90 днів з дня відгрузки продукції);
5) Етап 6 – продаж експортером векселя по форфейтинговій угоді фірмі- форфейтору (банку) та перерахування 80% суми на розрахунковий рахунок експортера;
6) Етап 7 – Заключення форвейтор –фірмою з банком Б – нерезидентом договору на інкасування векселю через банк А – резидент ( Тінкас=Т0+ΔТ1), де Т1<= 70 днів;
7) Етап 8 – направлення банком Б-нерезидентом інкасової вимоги (з додатком – векселем) в банк А – резидент на сплату коштів за векселем по строку ( Твимог=Тінкас+ΔТ2), де Т2<= 10 днів;
8) Етап 9,10 – направлення банком А-резидентом повідомлення імпортеру про надходження векселя на оплату та отримання акцепту – згоди імпортера на перерахування коштів з його розрахункового рахунку в банк експортера;
9) Етап 11 – банківський переказ коштів з розрахункового рахунку імпортера в банку А –резиденті на кореспондентський рахунок банку А – резидента в банку Б – нерезиденті ( Ткошти=Твимог+ΔТ3), де Т3<= 5 днів;
10) Етап 14 – повідомлення в фіскальні органи фактичного строку виконання імпортного контракту.
Основні виграші вексельно - форфейтингової схеми контракту для імпортера :
а) При наданні комерційного кредиту ціна партії імпортуємої продукції з боку експортера формується за принципами ціни при негайній оплаті чи передоплаті плюс надбавки за банківський кредит та страхування операцій на період відстрочки платежу:
(4.1)
де
- ціна партії імпорту при негайній
оплаті;
-
період часу комерційного кредиту по
контракту;
-
річна процентна ставка кредитування
банка;

-
страховий тариф в залежності від строку
комерційного кредиту;
Рис.4.1.
- Послідовність вексельної схеми операцій
при імпортному контракті на умовах
відстрочки оплати банківського переказу
при видачі авальованого векселя
(страхування авалем банку імпортера)
У випадку, якщо оплата імпортованої партії здійснюється авальованими банком векселями імпортера – резидента на момент поставки імпортованої партії продукції на митний кордон України зі строком погашення t, експортер має можливість застосувати тимчасове вексельне перекредитування в банку–нерезиденті під заставу векселів, які обліковуються банком з дисконтом. Возврат суми кредиту експортер поручає за рахунок інкасації авальованих банком-резидентом векселів банком –нерезидентом, який одночасно видає грошовий кредит експортеру негайно по обліку векселів.
Ця операція дозволяє експортеру в контракті йти на зниження ціни поставки партії експортованої продукції за алгоритмом :
ціна партії при негайній оплаті;
ціна банківського кредиту для некомпенсованої частини дисконту врахування векселів в банку-нерезиденті;
ціна страхування для некомпенсованої частини дисконту врахування векселів в банку нерезиденті;
Відношення ціни контракту при використанні описаної вексельної схеми розрахунків між імпортером-резидентом та експортером-нерезидентом до ціни контракту при комерційному кредиті з боку експортера-нерезидента (формула 3.1) розраховується як :
(4.2)
де
- ставка аваля векселя імпортера
банком-резидентом;
Формула (4.2) дає можливість при варіації параметрами розрахувати зниження матеріальних витрат імпортера в собівартості, тобто розрахувати можливе підвищення прибутковості від імпортної операції за рахунок застосування векселів в зовнішньоекономічних розрахунках з експортером.
Застосування векселів на другому етапі зовнішньоекономічної операції АТЗТ компанія «Бастіон» – продаж переробленої імпортованої партії риби резидентам в Україні з наданням вістрочки сплати, тобто комерційного кредитування (дебіторська заборгованість) – повинно виконуватися за наступною схемою :
- частина дебіторської заборгованості оформлюється авальованими
векселями дебіторів, що для них мотивується зниженням ціни партії
продукції відносно рівня внутрішнього комерційного кредитування та
компенсації витрат на авалювання векселів;
отримані векселі імпортером враховуються в банку –резиденті та виставляються через нього на інкасацію, при цьому на період погашення векселів банк надає імпортеру грошовий кредит на суму векселів – мінус дисконт врахування векселів;
грошові кошти надходять в активи балансу банка як видача короткострокового кредиту;
дисконт врахування векселю враховується як додаткові витрати імпортера на сплату процентів банку за надання вексельного кредиту та виконання послуг інкасації;
Сума кредиту та сума додаткових витрат розраховуються за формулами :
(4.3)
(4.4)
де
- коефіцієнт частини дебіторської
заборгованості
,
оформленої у вигляді вексельної
заборгованості;
Для отримання поля можливих управлінських рішень менеджера по зовнішньоекономічним операціям варіації розрахунків в дипломній роботі проведені за програмним комплексом “електронних таблиць” EXCEL-2007 для наступних варіацій параметрів (табл.4.1, 4.2) :
а) строк до погашення векселя – 30,60,90 днів
б) річна кредитна ставка банка – 18%, 22%;
в) ставка страхування – 3%(30днів), 4%(60днів), 5%(90 днів);
г) ставка авалювання векселів – 1%(30днів), 2%(60днів), 3%(90 днів);
д) коефіцієнт вексельного оформлення дебіторської заборгованості – 60%, 70%, 80%;
На основі проведених розрахунків виконувалося моделювання прогнозних балансів та звітів про фінансові результати АТЗТ компанія «Бастіон», за результатами чого розраховувались зміни в показниках діяльності підприємства відносно рівня фактичних показників діяльності без застосування вексельних стратегій в розрахунках у 2007 році.
В табл.4.1 наведені результати варіаційних розрахунків прогнозів звіту про фінансові результати АТЗТ компанія «Бастіон» у 2007 році при впровадженні алгоритмів вексельних розрахунків в кредиторській заборгованості (розрахунки з експортерами).
В табл.4.2 наведені результати варіаційних розрахунків прогнозів звіту про фінансові результати АТЗТ компанія «Бастіон» у 2007 році при впровадженні алгоритмів вексельних розрахунків як в кредиторській заборгованості, так і додатково в дебіторській заборгованості (розрахунки з підприємствами резидентами України).
Як видно з аналізу даних розрахунків табл.4.1,4.2 та графіків рис.4.2, 4.3 при запровадженні пропонуємого алгоритму вексельних розрахунків з кредиторами-експортерами та дебіторами – резидентами України:
Таблиця 4.1
Результати модельних розрахунків фінансової ефективності вексельної стратегії розрахунків по кредиторській заборгованості АТЗТ компанія «Бастіон» з кредиторами(зниження ціни виробничої сировини)

Таблиця 4.2
Результати модельних розрахунків фінансової ефективності вексельної стратегії розрахунків по кредиторській заборгованості АТЗТ компанія «Бастіон» з кредиторами та вексельній стратегії розрахунків по дебіторській заборгованості з покупцями-дебіторами (зниження ціни сировини та зростання виручки від реалізації продукції)


Рис.4.2. Проектне зростання чистого прибутку АТЗТ компанія «Бастіон» при застосуванні вексельної стратегії розрахунків по кредиторській заборгованості (моделювання по результатам 2007 року)

Рис.4.3. Проектне зростання чистого прибутку АТЗТ компанія «Бастіон» при застосуванні вексельної стратегії розрахунків по кредиторській заборгованості та дебіторській заборгованості (моделювання по результатам 2007 року)
коефіцієнт зниження матеріальних витрат в залежності від варіацій параметрів розрахунків знаходиться в діапазоні 0,94 -0,968, тобто загальний виграш на ціні становить 3,2 – 6 %;
за рахунок великого обсягу реалізації таке зниження обсягів матеріальних витрат у приводить до переходу компанії у 2007 році з рівня збитку -1,418 млн.грн. до зони чистого прогнозного прибутку +1,0 –1,3 млн.грн. (в залежності від реалізації параметрів розрахункової зони варіації);
це значно змінює фінансові показники стійкості та платоспромож ності в позитивний бік.
Отримання кредитних грошей та зниження дебіторської заборгованості дозволяє підвищити рівень готівкових грошей в балансі та підвищити показники ліквідності та платоспроможності АТЗТ Компанія "Бастіон". При цьому прогнозний рівень моментальної ліквідності підприємства підвищується з фактичного рівня 2007 року – 0,004 до рівней 0,23 – 0,25, що при нормативному значенні цього показника 0,2-0,35 свідчить про перехід підприємства в зону стійкого запасу моментальної ліквідності та значного підвищення рівня платоспроможності.
4.3 Ефективність механізму вексельно-форфейтингової розрахункової схеми при експортних операціях підприємства АТЗТ компанія "Бастіон"
Пропозиції впровадження вексельного механізму прискорення перетворення дебіторсько-кредиторської заборгованості в грошові кошти при експортних операціях АТЗТ Компанія «Бастіон» мають мету:
- впровадження вексельного обороту в систему експортних грошових розрахунків підприємства;
- зниження цін контракту, оформленого авальованим векселем на 100% суми контракту, що підвищує конкурентоспроможність продуції на експорті;
- впровадження короткострокового вексельного кредитування (обліку векселів) банками дебіторської заборгованості підприємства-нерезидента, оформленної у вигляді авальованих векселів покупців продукції;
- впровадження вексельного розрахунку з кредиторами-резидентами переказними векселями з можливістю обороту на себе при погашенні дебіторської заборгованості за відпущену продукцію дебіторам -резидентам;
- різкого скорочення строку перетворення дебіторської заборгованості в грошові кошти за допомогою форфейтинг-факторингової схеми обліку векселя в комерційних банках.
Для удосконалення ефективності фінансового механізму розрахунків при експортних операціях АТЗТ компанія "Бастіон" у дипломній роботі запропоновано впровадження вексельної схеми розрахунків покупцем-нерезидентом 100% авальованим векселем замість 50% передоплати та його фактор-врахування в комерційному банку - нерезиденті з отриманням до 80% суми готівкових коштів по векселю без очікування повної оплати відгруженої партії.
Схема операцій та грошових потоків при розрахунках в зовнішньоекономічних операціях експорту за механізмом вексельної відстрочки оплати банківського переказу (максимальний ризик експортера) наведений схемами на рис.4.4 при наступних умовах контракту - надання імпортером-нерезидентом авальованого банком імпортера простого векселя зі строком пред”явлення до погашення до 80 днів (не більше контрольного строку в 90 днів) в обмін на документи по відгрузці продукції на умовах EWX – франко-склад експортера на заводі (складі) в Україні;
1) Етап 0 - Заключення зовнішньоекономічного експортного договору;
2) Етапи 1,2 – Авалювання нерезидентом – імпортером у своєму банку векселя на суму контракту;
3) Етапи 3,4 – Поставка „франко-завод” продукції в обмін на авальований вексель (час Т0);
4) Етап 5 - Поставка експортного контракта на облік в комерційному банку (виконання терміну надходження коштів на рахунок – не більше 90 днів з дня відгрузки продукції);
5) Етап 6 – Заключення з банком А – резидентом договору на врахування векеля на фактор-форфейтингових умовах (виплата до 80% готівкою від суми векселя) та договору інкасування векселю через банк Б – нерезидент ( Тінкас= Т0+ΔТ1), де Т1<= 70 днів;
6) Етап 7 – направлення банком А інкасової вимоги (з додатком – вексе-лем) в банк Б – нерезидент на сплату коштів за векселем по строку ( Твимог= Тінкас+ΔТ2), де Т2<= 10 днів;
7) Етап 8,9 – направлення банком Б-нерезидентом повідомлення імпортеру про надходження векселя на оплату та отримання акцепту – згоди імпортера на перерахування коштів з його розрахункового рахунку в банк експортера;
8) Етап 10 – банківський переказ коштів з розрахункового рахунку імпортера в банку Б –нерезиденті на кореспондентський рахунок банку А – резидента в банку Б – нерезиденті
( Ткошти=Твимог+ΔТ3), де Т3<= 5 днів;
9) Етап 11, 12 – перерахування 50% валютних коштів на розрахунковий рахунок експортера та 50% на транзитний рахунок продажу валютної виручки на міжбанківському валютному ринку України
10) Етап 13 – повідомлення в фіскальні органи фактичного строку виконання експортного контракту та обов”язкового продажу 50% валютної виручки на міжбанківському валютному ринку України
11) Етап 14 – Перерахування гривневого еквіваленту 50% проданої валютної виручки на розрахунковий рахунок експортера
( Текспорт=Ткошти+ΔТ4), де Т4<= 3 днів;
12)Етап15 - Сплата можливих штрафів за порушення строків контракту
13) Етап 16,17 – Надання документі в податкові органи та отримання експортного відшкодування ПДВ (20% від суми експортного контракту)
Основні виграші схеми контракту для експортера (АТЗТ компанія “Бастіон”) :
а) згідно з законодавством отримання авальованого банком-нерезидентом векселя на 100% суму ЗЕД-контракту переводить дебіторську заборгованість підприємства в грошову заборгованість, оскільки вексель є цінним папером, який можна реалізувати на вторинному ринку, або використати, як розрахунковий документ в інших ЗЕД-контрактах;
б) створення можливості зниження конкурентної ціни експортної продукції за рахунок зниження строку грошових розрахунків за експортовану продукцію;
Пропозиції по впровадженню вексельного обігу в зовнішньоекономічній діяльності підприємств основані на умовах нового етапу розвитку вексельних операцій в Україні, згідно якому на сучасному рівні повинно розпочатися виконання виконання банками функцій розрахункових палат [36], призначених згідно зі статтею 38 Уніфікованого закону про переказні векселі та прості векселі (далі - Уніфікований закон) для пред'явлення векселів до платежу [17].
Розрахункова палата для пред'явлення векселів до платежу (далі – розрахункова палата) - будь-яка установа банку, в якій відкритий поточний рахунок платника за векселем[17].

Рис.4.4. Послідовність операцій при експортному контракті на умовах відстрочки оплати банківським переказом при видачі авальованого векселя (страхування авалем банку імпортера)
Установи банків можуть сприяти інформуванню векселедержателів про свою змогу виконувати функції розрахункової палати для пред'явлення векселів до платежу щодо окремих платників за векселями.
У разі надходження до установи банку письмового запиту від особи, яка стверджує (і може підтвердити це документально), що є векселедержателем певних векселів, установа банку зобов'язана протягом двох робочих днів надати письмове підтвердження про можливість виконання нею функцій розрахункової палати лише в разі наявності договору (окремого або включеної умови до договору про розрахунково-касове обслуговування) між клієнтом (платником за векселем) і установою банку про можливість підтвердження нею свого статусу розрахункової палати в разі звернень держателів векселів.
Відповідно до статті 38 Уніфікованого закону пред'явлення векселя в розрахункову палату є рівнозначним пред'явленню його до платежу [17].
АТЗТ компанія «Бастіон» при проведенні вексельних операцій має врахувати наступні особливості законодавчого поля, що склалися в Україні:
1. Міжнародний рух векселів в Україні законодавчо неврегульований, тому ці операції виконуються тільки через офіційні представництва українських підприємств в іноземних країнах, які не мають права відкривати банківські рахунки в банках-нерезидентах без індивідуальної ліцензії Національного банку України.
2. Для України відсутній законодавчий термін “ зовнішньоекономічний вексель” та правила його обігу, тому підприємства використовують для міжнародного вексельного обігу приєднання України згідно з Законом України “Про обіг векселів в Україні” [9] до міжнародного документу “Женевская Конвенция, устанавливающая единообразный закон о переводном и простом векселе (1930)” [17].
3. Оскільки в Законі України “Про обіг векселів в Україні” [9] встановлено, що векселі в Україні можуть бути емітовані підприємствами тільки під реальну кредиторську заборгованість, не визначений контрольний інститут та порядок єдиний центр реєстрації емітованих внутрішніх та зовнішньоекономічних векселів, що створює перешкоди на шляху їх впровадження в міжнародних розрахунках.
4. Комерційні банки України не мають розробленої та зареєстрованої в Міністерстві юстиції інструкції по порядку акцептування, опротестування, прийняття до сплати та врахування міжнародних векселів, оскільки гривня є неконвертованою валютою з валютним режимом операцій, встановленим Декретом Кабінету Міністрів України «Про систему валютного регулювання і валютного контролю” [16].
5. На стадії концептуального декларування з 2001 року знаходиться створення в Україні загальнодержавних вексельних розрахункових палат (“ Про затвердження Положення про розрахункові палати для пред'явлення векселів до платежу» // Постанова Правління Національного банку України від 25 вересня 2001 року N 403 [36]), які повинні були проводити операції аналогічно міжнародним операціям з пластиковими платіжними картками, тобто мати центри авторизації та виконання операцій з “електронною копією” векселя, маючого “електронний захисний підпис”.
6. Оскільки вексельна форма розрахунків має виключно безготівковий характер, розробка її “електронного” документообігу як форми міжнародних розрахунків має виключно актуальний характер, оскільки дозволяє використати відпрацьовану технологію “електронного” грошового обігу через кореспондентські рахунки банків для створення систем управління векселями, аналогічно системам віддаленного “електронного” управління “Клієнт-банк”, аналогічно “електронним депозитаріям” державних цінних паперів в Україні.
Таким чином, зміна форми розрахунків в ЗЕД АТЗТ компанія «Бастіон» з грошових розрахунків на вексельні операції дозволить оптимізувати швидкість розрахунків при ЗЕД та позитивно вплине на ефективність діяльності підприємства.
Висновки розділу 4
Кризове становище з грошовими розрахунками в досліджуємому підприємстві АТЗТ Компанія «Бастіон» є наслідком неоптимальних схем розрахунків, що при зростанні обсягів виробництва та реалізації фізичних обсягів продукції накоплює обсяги дебіторської та кредиторської заборгованості при падінні обсягів виручки від реалізації продукції в грошовій формі.
Пропозиції впровадження вексельного механізму прискорення перетворення дебіторсько-кредиторської заборгованості в грошові кошти при імпортних операціях АТЗТ Компанія «Бастіон» мають мету:
- впровадження вексельного обороту в систему грошових розрахунків підприємства;
- впровадження короткострокового вексельного кредитування (обліку векселів) банками дебіторської заборгованості підприємства, оформленної у вигляді авальованих векселів покупців продукції;
- впровадження вексельного розрахунку з кредиторами переказними векселями з можливістю обороту на себе при погашенні дебіторської заборгованості за відпущену продукцію дебіторами;
- різкого скорочення строку перетворення дебіторської заборгованості в грошові кошти за допомогою форфейтинг-факторингової схеми обліку векселя в комерційних банках.
Як видно з аналізу даних розрахунків при запровадженні пропонуємого алгоритму вексельних розрахунків з кредиторами-експортерами та дебіторами – резидентами України:
коефіцієнт зниження матеріальних витрат в залежності від варіацій параметрів розрахунків знаходиться в діапазоні 0,94 -0,968, тобто загальний виграш на ціні становить 3,2 – 6 %;
за рахунок великого обсягу реалізації таке зниження обсягів матеріальних витрат приводить до переходу компанії у 2007 році з рівня збитку -1,418 млн.грн. до зони чистого прогнозного прибутку +1,0 –1,3 млн.грн. (в залежності від реалізації параметрів розрахункової зони варіації);
це значно змінює фінансові показники стійкості та платоспроможності в позитивний бік.
При схемі імпортного конракту отримання вексельно-кредитних грошей та зниження дебіторської заборгованості дозволяє підвищити рівень готівкових грошей в балансі та підвищити показники ліквідності та платоспроможності АТЗТ компанія “Бастіон”. При цьому прогнозний рівень моментальної ліквідності підприємства підвищується з фактичного рівня 2007 року – 0,004 до рівней 0,23 – 0,25, що при нормативному значенні цього показника 0,2-0,35 свідчить про перехід підприємства в зону стійкого запасу моментальної ліквідності та значного підвищення рівня платоспроможності.
Основні виграші вексельної схеми розрахунків по контракту для експортера (АТЗТ компанія “Бастіон”) :
а) згідно з законодавством отримання авальованого банком-нерезидентом векселя на 100% суму ЗЕД-контракту переводить дебіторську заборгованість підприємства в грошову заборгованість, оскільки вексель є цінним папером, який можна реалізувати на вторинному ринку, або використати, як розрахунковий документ в інших ЗЕД-контрактах;
б) створення можливості зниження конкурентної ціни експортної продукції за рахунок зниження строку грошових розрахунків за експортовану продукцію;
ВИСНОВКИ
Характерними рисами сучасного світового господарства є :
розвиток міжнародного переміщення факторів виробництва, передовсім у формах ввезення – вивезення капіталу, робочої сили, технології;
зростання на цій основі міжнародних форм виробництва на підприємствах, розташованих в декількох країнах, насамперед у рамках транснаціональних корпорацій (ТНК);
економічна політика держав у підтримці міжнародного руху товарів і факторів виробництва на двосторонній та багатосторонній основах;
- виникнення економіки відкритого типу в рамках багатьох держав та міждержавних об ' єднань.
Вступ України до СОТ матиме різний вплив на різні галузі промисловості, сферу послуг та сільське господарство. Це пов’язано з тим, що деякі галузі характеризуються високим ступенем експортоорієнтованості, інші навпаки задовольняють потреби майже виключно внутрішнього ринку; деякі галузі потребують дуже значних капітальних інвестицій з досить значним терміном окупності, інші - можуть забезпечити стабільні прибутки вже через незначний проміжок часу. Ці фактори і визначають терміни адаптації галузей до умов лібералізованого зовнішньоторговельного режиму. Загалом, очікується пожвавлення виробництва у експортоорієнтованих галузях. В той же час зменшення рівня державної підтримки окремих галузей та підприємств може призвести до мінімізації цього позитивного ефекту.
Так, в рибопереробній галузі України вступ до СОТ потребує негайного виконання вимог документу “Розробка умов і процесів для експорту риби і рибної продукції в Європейський Союз” (запропонована для Українського законодавства транспозиція Директив 91/493/ЕЕС і 92/48/ЕЕС), що потребує значних капітальних інвестицій та залучення значних обсягів іноземних фінансових інвестицій.
Аналіз динаміки росту абсолютних обсягів експорту та імпорту загальної товарної маси товарів харчової промисловості, продукції рибної галузі та динаміки показників ланцюгового темпу щорічного росту обсягів експорту та імпорту загальної маси товарів харчової промисловості України та рибної підгалузі у 2003 -2007 роках показує, що:
загальний щорічний обсяг експорту в зовнішній торгівлі України зріс з рівня 23,07 млрд.дол.США у 2003 році до рівня 40,0 млрд..дол.США у 2007 році (3 квартали), загальний щорічний обсяг імпорту в зовнішній торгівлі України зріс з рівня 23,02 млрд.дол.США у 2003 році до рівня 48,2 млрд.дол. США у 2007 році (3 квартали),
загалом зовнішньоекономічна торгівля України характеризується переходом від рівня позитивного сальдо +3,67 млрд. дол.США у 2004 році до все зростаючого негативного сальдо у 2005 -2006 роках (( - 1,9) млрд.дол.США у 2005 році ,( -6,67) млрд.дол.США у 2006 році та (-8,15) млрд..дол.США у 2007 році) за рахунок випереджаючого темпу приросту імпорту в країну;
загальний щорічний обсяг експорту продукції харчової промисловості в зовнішній торгівлі України зріс з рівня 2,73 млрд.дол.США у 2003 році до рівня 4,93 млрд..дол.США у 2007 році (3 квартали), загальний щорічний обсяг імпорту продукції харчової промисловості в зовнішній торгівлі України зріс з рівня 2,17 млрд.дол.США у 2003 році до рівня 3,2 млрд.дол. США у 2007 році (3 квартали),
харчова промисловість України разом характеризується постійним позитивним сальдо зовнішньоекономічної торгівлі, обсяг експорту у 2006 -2007 роках становить 154% від обсягу імпорту харчових продуктів;
питома вага експорту продукції харчової промисловості в загальному обсягу експорту зовнішньої торгівлі України становить 11,84 % у 2003 році та дещо зростає до рівня 12,30 % у 2007 році;
питома вага імпорту продукції харчової промисловості в загальному обсягу імпорту зовнішньої торгівлі України становить 9,44 % у 2003 році та знижується до рівня 6,60 % у 2007 році;
загальний щорічний обсяг експорту продукції рибної галузі харчової промисловості в зовнішній торгівлі України знизився з рівня 11,4 млн.дол.США у 2003 році до рівня 5,03 млн.дол.США у 2007 році (3 квартали), загальний щорічний обсяг імпорту продукції рибної галузі харчової промисловості в зовнішній торгівлі України зріс з рівня 88,4 млн.дол.США у 2003 році до рівня 362,0 млн.дол. США у 2007 році (3 квартали),
рибна галузь харчової промисловості України характеризується великим значенням негативного сальдо зовнішньоекономічної торгівлі, при цьому обсяги експорту рибної продукції знизились за 5 років практично в 2 рази, а обсяги імпорту рибної продукції за 5 років зросли практично в 4 рази, відносна частка експорту займає всього 1,6% від обсягу імпорту рибної продукції;
питома вага експорту продукції рибної галузі харчової промисловості в загальному обсягу експорту зовнішньої торгівлі України становить 0,05 % у 2003 році та зменшується майже в 3,5 рази до 0,013 % у 2007 році;
питома вага імпорту продукції рибної галузі харчової промисловості в загальному обсягу імпорту зовнішньої торгівлі України становить 0,384 % у 2003 році та зростає майже в 1,9 раза до 0,668 % у 2007 році;
До початку 90-х рр. 20 сторіччя за рівнем споживання рибопродуктів Україна в складі Радянського Союзу займала одне з ведучих місць у світі. Фактичне споживання на душу населення в 1985 р. складало 21,9 кг/рік, у тому числі риби – 16,3 кг, оселедця – 0,8 кг, рибних консервів – 4,8 кг. На початку 90-х рр. споживання риби значно знизилося, що порозумівалося зниженням вилову риби і виробництва рибної продукції в Україні після перерозподілу риболовного флоту СРСР та квотних джерел рибної сировини між самостійними державами СНД. Крім того, у 90-і рр. почав стрімко рости неконтрольований комерційний експорт риби і морепродуктів з країн СНД, на яких критично знизилась купівельна спроможність населення, що, в подальшому, привело до виникнення дефіциту рибної сировини в Україні та сусідній РФ, росту імпорту і значному підвищенню вартості рибної продукції в роздрібній торгівлі.
У сучасній Україні, після падіння середньодушевого споживання риби до рівня нижче 5 кг/рік у середині 90-х років 20 сторіччя, в результаті масової імпортної діяльності середньодушеве споживання риби і морепродуктов не перевищує 10 - 11 кг у рік. Це більш ніж удвічі нижче міжнародної медичної норми, що складає 23,7 кг на людину і нижче обсягу споживання в багатьох країнах світу. Так, в Іспанії споживання риби і рибопродуктов складає 38 кг на людину в рік, у Португалії – 48 кг/рік, у Японії – 60 кг/рік. Фахівці галузі не прогнозують росту споживання риби, пояснюючи це низьким платоспроможним попитом населення, що недозволяє в 2-3 рази підняти обсяги імпорту риби в Україну.
Рибна промисловість України у 2007 році характеризується наступними показниками:
- Загальне споживання рибопродуктов в Україні — 600 тис.т у рік;
- Чистий імпорт — 350 тис.т (з них 180 тис.т — з Норвегії);
- Чистий експорт – 5,5 тис.т (холоднозаморожена переробка прісноводної та морської риби, вирощеної в аквакультурі);
- Нелегальний ввіз — близько 120 тис.т у рік;
- Власне український вилов складає не більш 30 тис.т у рік, інша продукція може вважатися української лише номінально — вилов виконується на судах, що ходять під українським прапором;
- 20 років тому (1986 рік) вилов, переробка і збут в УРСР складав 750 тис.т рибопродукції на рік, що технічно забезпечувалося власними виробничими потужностями України.
Досліджена в дипломній роботі АТЗТ Компанія «Бастіон» є одним з найбільших на Україні підприємств по переробці прісноводної риби, а у відношенні переробки судака - лідером на ринку України.
Щорічно компанія переробляє близько 1 900-2 100 тонн судака (основного продукту), близько 200-300 тонн окуня.
В основному компанія використовує сировину українського походження, але українська сировина не цілком задовольняє потреби компанії, тому риба імпортується з Росії і Балтії через оптових посередників в Україні. Завдяки наявності різних джерел сировини, компанія в стані пропонувати свіжого і свіжомороженого судака одинадцять місяців у році.
Основними імпортними операціями АТЗТ компанія "Бастіон" є:
- імпорт свіжомороженої морської та океанської риби з районів Східної Азії та Південної Америки за наступними умовами:
- імпорт нового обладнання для рибопереробки та запчастин для ремонту експлуатуємого обладнання.
Основними експортними операціями АТЗТ компанія "Бастіон" є експорт свіжомороженої прісноводної риби з районів Азовського моря та річок України, Росії, Білорусії в Литву та США.
Зовнішньоекономічна діяльність підприємства характеризується тендерцією постійного росту імпорту в матеріальних витратах від рівня 0,55% у 2003 році до рівня 5,62% у 2007 році за рахунок переорієнтації виробництва підприємства на переробку імпортної риби для внутрішнього ринку України.
Аналіз динаміки доходів від експорту в валових доходах підприємства показує, що частка експорту знизилась з рівня 58,8% у 2003 році до рівня 5,6% у 2005 році за відсутністю джерел рибного виробництва та знов зросла до рівня 20,1% у 2007 році за рахунок нетипового експорту металу.
Аналіз руху грошових коштів в АТЗТ Компанія «Бастіон»показує, що при збитковій операційній діяльності у 2006-2007 роках та, відповідно, негативному грошовому потоку, тільки зовнішні позики дозволяють працювати підприємству. Але при цьому підприємство сплатило 663 тис.грн. відсотків у 2007 році та 714 тис.грн. у 2006 році, що становить практично 30% загальної суми сумарного збитку в операційно-фінансовій діяльності підприємства.
Аналіз динаміки ланцюгових темпів росту грошового потоку валової виручки від реалізації та планових потоків доходів (дебіторська заборгованість) та витрат (кредиторська заборгованість) в АТЗТ компанія "Бастіон" у 2003 – 2007 роках показує, що з 2005 року ланцюговий темп росту дебіторської заборгованості в 5 – 10 раз перевищує ланцюговий темп росту валової виручки, тобто підприємство накопичує обсяги нереалізованих результатів продажу продукції. Одночасно ланцюговий темп росту кредиторської заборгованості за отримані товари та послуги також в 2 рази (а в 2007 році в 100 раз) перевищує ланцюговий темп росту валової виручки від реалізації, що є симптомом недостатку коштів для розрахунку з кредиторами.
Аналіз динаміки питомої ваги планованих грошових потоків доходів (дебіторська заборгованість) та планованих грошових потоків витрат (кредиторська заборгованість та аванси за продукцію) в валовій виручці від реалізації продукції АТЗТ компанія "Бастіон" у 2003 – 2007 роках показує, що обсяги дебіторської заборгованості з рівня 17-20% від валової виручки при прибутковій роботі підприємства у 2004 –2005 роках зросли до рівня 33 – 43% у 2006 –2007 роках, що викликало нестаток валової виручки та збиткову роботу підприємства. Одночасно у 2007 року різко зросла відносна частка кредиторської заборгованості та отриманих авансів з рівня 10,1 % від валової виручки у 2006 році до рівня 62,0% у 2007 році. Таким чином планований дефіцит грошових потоків в поточних розрахунках у підприємства на кінець 2007 року досяг –19,0% від валової виручки за 2007 рік, що може бути перекрито тільки при додатковому залученні банківських кредитів, або додаткових інвестиціях засновників в статутний фонд підприємства.
Тобто залишки в касі 16,0 тис.грн. за результатами діяльності у 2006 році та 5,3 тис.грн. за результатами діяльності у 2007 році свідчать про ведення збиткової роботи на «проїдання» статутного фонду підприємства відсотками банку, який замінюється позиковим банківським капіталом та авансами, отриманими підприємством за майбутній продаж продукції.
При цьому слід відмітити повню відсутність весельних розрахунків за відпущену продукцію, що приводить до різкого зростання дебіторської заборгованості у 2006 -2007 роках при різкому зниженні валового доходу від продажу продукції ( до рівня 50-60% від валового доходу у 2005 році).
Таким чином, економічна діагностика ефективності та результативності діяльності підприємства АТЗТ Компанія «Бастіон» у 2002 – 2007 роках показала:
- підприємство у 2003 – 2005 роках значно підвищило рівень загальної та строкової ліквідності до рівня, в 2 рази перевищуючого нормативні значення, у 2006 році показники загальної та строкової ліквідності ще додатково зросли, створюючи великий запас загальної платоспроможні та стійкості по забезпеченню запасів та оборотного капіталу власними коштами, але у 2007 році показник строкової ліквідності знизився нижче нормативного рівня;
- в той же час у 2002 -2007 роках підприємство хронічно має проблеми з негайною платоспроможністю, оскільки рівень абсолютної ліквідності за рахунок готівкових коштів в 5 - 20 разів нижче нормативних показників, що створює проблеми з терміновими розрахунками підприємства з кредиторами;
- ця проблема виникає за рахунок значного рівня дебіторської заборгованості, особливо у 2006 - 2007 роках, коли рівень дебіторської заборгованості різко зріс, а обсяг виручки від реалізації суттєво знизився;
- підприємство має ризиковано низький рівень автономії за рахунок надто високого рівня використання позикових коштів банківських та комерційних кредитів, при цьому досягнутий рівень 0,317 у 2006 знов зменшився до рівня 0,112 у 2007 році, тобто власних коштів у підприємства явно не достає для виконання нормативу автономії не менше 0,5. Зростання рівня збитковості діяльності підприємства у 2007 році додатково значно погіршує стан з рівнем автономії та підвищує ризик банкрутства підприємства зовнішніми кредиторами;
- ресурсовіддача активів та основних засобів підприємства поступово знижується, що свідчить про необхідність суттєвого оновлення основних засобів на нових технологічних принципах та суттєвого підняття частки активних основних фондів нового покоління;
Тобто, підприємство знаходиться в сегменті стагнації життєвого циклу розвитку товарно-реалізаційної політики підприємства та практично вичерпало можливість зовнішніх банківських та комерційних позик, як фінансових джерел для забезпечення зростання обсягів виробництва продукції, враховуючи зростання нереалізованого результату продаж у вигляді дебіторської заборгованості. Станом на кінець 2007 року за показником Альтмана АТЗТ Компанія “Бастіон” наблизилось до кризисної зони небезпеки банкрутства за вимогами кредиторів та потребує провадження програми антикризових заходів.
Кризове становище з грошовими розрахунками в досліджуємому підприємстві АТЗТ Компанія «Бастіон» є наслідком неоптимальних схем розрахунків, що при зростанні обсягів виробництва та реалізації фізичних обсягів продукції накоплює обсяги дебіторської та кредиторської заборгованості при падінні обсягів виручки від реалізації продукції в грошовій формі.
В проектній частині дипломної роботи запропоновані та обгрунтовані схеми впровадження вексельного механізму прискорення перетворення дебіторсько-кредиторської заборгованості в грошові кошти при імпортних операціях АТЗТ Компанія «Бастіон», які мають мету:
- впровадження вексельного обороту в систему грошових розрахунків підприємства;
- впровадження короткострокового вексельного кредитування (обліку векселів) банками дебіторської заборгованості підприємства, оформленної у вигляді авальованих векселів покупців продукції;
- впровадження вексельного розрахунку з кредиторами переказними векселями з можливістю обороту на себе при погашенні дебіторської заборгованості за відпущену продукцію дебіторами;
- різкого скорочення строку перетворення дебіторської заборгованості в грошові кошти за допомогою форфейтинг-факторингової схеми обліку векселя в комерційних банках.
Основні виграші вексельної схеми розрахунків по контракту для експортера (АТЗТ компанія “Бастіон”) :
а) згідно з законодавством отримання авальованого банком-нерезидентом векселя на 100% суму ЗЕД-контракту переводить дебіторську заборгованість підприємства в грошову заборгованість, оскільки вексель є цінним папером, який можна реалізувати на вторинному ринку, або використати, як розрахунковий документ в інших ЗЕД-контрактах;
б) створення можливості зниження конкурентної ціни експортної продукції за рахунок зниження строку грошових розрахунків за експортовану продукцію.
Для отримання поля можливих управлінських рішень менеджера по зовнішньоекономічним операціям варіації розрахунків в дипломній роботі проведені за програмним комплексом “електронних таблиць” EXCEL-2007 для наступних варіацій параметрів:
а) строк до погашення векселя – 30,60,90 днів
б) річна кредитна ставка банка – 18%, 22%;
в) ставка страхування – 3%(30днів), 4%(60днів), 5%(90 днів);
г) ставка авалювання векселів – 1%(30днів), 2%(60днів), 3%(90 днів);
д) коефіцієнт вексельного оформлення дебіторської заборгованості –60%, 70%, 80%;
На основі проведених розрахунків виконувалося моделювання прогнозних балансів та звітів про фінансові результати АТЗТ компанія «Бастіон», за результатами чого розраховувались зміни в показниках діяльності підприємства відносно рівня фактичних показників діяльності без застосування вексельних стратегій в розрахунках у 2007 році.
Аналізу даних моделювання результатів пропонуємого алгоритму вексельних розрахунків з кредиторами-експортерами та дебіторами – резидентами України показав, що:
коефіцієнт зниження матеріальних витрат в залежності від варіацій параметрів розрахунків знаходиться в діапазоні 0,94 -0,968, тобто загальний виграш на ціні становить 3,2 – 6 %;
за рахунок великого обсягу реалізації таке зниження обсягів матеріальних витрат у приводить до переходу компанії у 2007 році з рівня збитку -1,418 млн.грн. до зони чистого прогнозного прибутку +1,0 –1,3 млн.грн. (в залежності від реалізації параметрів розрахункової зони варіації);
це значно змінює фінансові показники стійкості та платоспроможності в позитивний бік.
Отримання кредитних грошей та зниження дебіторської заборгованості дозволяє підвищити рівень готівкових грошей в балансі та підвищити показники ліквідності та платоспроможності АТЗТ Компанія "Бастіон". При цьому прогнозний рівень моментальної ліквідності підприємства підвищується з фактичного рівня 2007 року – 0,004 до рівней 0,23 – 0,25, що при нормативному значенні цього показника 0,2-0,35 свідчить про перехід підприємства в зону стійкого запасу
Практична цінність отриманих результатів дипломного дослідження полягає в ідентифікації при економічному аналізі діяльності АТЗТ компанія “Бастіон” причин зниження ефективності його зовнішньоекономічної діяльності за рахунок неоптимальної схеми грошових розрахунків та обґрунтуванні пропозицій антикризових заходів по виведенню підприємства з зони збитковості та низької платоспроможності, що фактично привело до передачі 40% статутного капіталу у вигляді банківських відсотків за кредити.
СПИСОК ВИКОРИСТАНИХ ДЖЕРЕЛ
1. Митний Кодекс України від 11 липня 2002 року N 92-IV // Із змінами і доповненнями, внесеними Законами України станом від 16 листопада 2006 року N 359-V
2. Господарський кодекс України від 16 січня 2003 року N 436-IV(діє з 01.01.2004)
3. Закон України “Про Митний тариф України” N 2371-III від 5 квітня 2001 року // Із змінами і доповненнями, внесеними Законами України станом від 23 червня 2005 року N 2715-IV
4. Закон України “ Про зовнішньоекономічну діяльність” від 16 квітня 1991року N 959-XII /Із змінами і доповненнями, внесеними Законами Украї-ни станом від 14 вересня 2006 року N 139 –V
5. Закон України «Про рибу, інші водні живі ресурси та харчову продукцію з них» від 6 лютого 2003 року N 486-IV // Із змінами і доповнен-нями, внесеними Законом України від 5 лютого 2004 року N 1461-IV
6. Закон України «Про ліцензування певних видів господарської діяльності» від 1 червня 2000 року N 1775-III // Із змінами і доповненнями, внесеними Законами України станом від 27 квітня 2007 року N 994-V
7.
Закон України “Про безпечність та
якість харчових продуктів” від 23 грудня
1997 року N
771/97-ВР // Із змінами і доповненнями,
внесеними
Законами
України станом від 31 травня 2007 року N
1104-V
8. Закон України «Про Загальнодержавну програму розвитку рибного господарства України на період до 2010 року» від 19 лютого 2004 року N 1516-IV
9. Закон України „Про обіг векселів в Україні” від 5 квітня 2001 року N 2374-III // Із змінами і доповненнями, внесеними Законом України від 25 грудня 2002 року N 364-IV
10. Закон України “Про оподаткування прибутку підприємств” від 28 грудня 1994 року N 334/94-ВР // Із змінами і доповненнями, внесеними Законами України станом від 27 квітня 2007 року N 997-V
11. Закон України “Про податок на додану вартість” від 3 квітня 1997 року N 168/97-ВР // Із змінами і доповненнями, внесеними Законами України станом від від 22 грудня 2006 року N 535-V
12. Закон України “Про приєднання України до Конвенції УНІДРУА про міжнародний фінансовий лізинг” від 11 січня 2006 року N 3301-IV
13. Закон України “Про операції з давальницькою сировиною у зовнішньоекономічних відносинах” від 15 вересня 1995 року N 327/95-ВР // Із змінами і доповненнями, внесеними Законами України станом від 7 липня 2005 року N 2771-IV
14. Закон України “Про Єдиний митний тариф” від 5 лютого 1992 року N 2097-XII //Із змінами і доповненнями, внесеними Законами України станом від 17 січня 2006 року N 3351-IV
15. Закон України “Про систему оподаткування в Україні” // від 25.06.1991 N 1251-XII (із змінами станом на 5 червня 2003 року N 906-IV)
16. Декрет Кабміну України “ Про систему валютного регулювання і валютного контролю” ( № 15-93 від 19.02.1993 в редакції змін від 14.07.1999)
17. “Женевская Конвенция, устанавливающая единообразний закон о переводом и простом векселе” (1930 г. о единообразном Законе о переводном и простом векселе от 07.06.30 г.) N 358 (ДЛЯ УКРАИНЫ: 06.01 2000 г )
18. Митна Конвенція про міжнародне перевезення вантажів із застосуванням книжки МДП (Конвенція МДП)* * Набула чинності 20 березня 1978 р., для України - 8 грудня 1982 р. // Додатково див. лист Управління контролю за переміщенням вантажів Державної митної служби України від 21 лютого 2006 року N 19/110-ЕП
19. Міжнародна Торгівельна палата - “ІНКОТЕРМС - Офіційні правила тлумачення торговельних термінів” (редакція 2000 року) - Видання МТП N 560, Введені в дію з 01.01.2000 р. // "Урядовий кур'єр", N 63, 3 квітня 2000 р., "Урядовий кур'єр", N 68, 10 квітня 2002 р.
20. Про затвердження Положення про вантажну митну декларацію // Кабінет Міністрів України, Постанова від 9 червня 1997 р. N 574 (Із змінами і доповненнями, внесеними постановами Кабінету Міністрів України станом від 26 травня 2004 року N 675)
21. Перелік документів, необхідних для здійснення митного контролю та митного оформлення товарів і транспортних засобів, що переміщуються через митний кордон України // Постанова Кабінету Міністрів України від 01 лютого 2006 р. № 80
22. Про затвердження Порядку застосування уніфікованої митної квитанції МД-1 // наказ Державної митної служби України від 04.01.2005 № 1 (Із змінами і доповненнями, внесеними наказами Державної митної служби України станом від 3 липня 2006 року N 550)
23. Про затвердження Порядку декларування митної вартості товарів, які переміщуються через митний кордон України, та подання відомостей для її підтвердження // Кабінет Міністрів України, Постанова від 20 грудня 2006 р. N 1766 (Із змінами і доповненнями, внесеними постановою Кабінету Міністрів України від 12 травня 2007 року N 713)
24. Про затвердження Правил промислового рибальства в рибогоспо-дарських водних об'єктах України // Наказ Державного комітету рибного господарства України від 18 березня 1999 року N 33(Із змінами і доповнен-нями, внесеними наказом Державного комітету рибного господарства Укра-їни від 29 травня 2007 року N 91)
25. Про затвердження Порядку здійснення митного контролю й митного оформлення товарів із застосуванням вантажної митної декларації // Наказ Державної митної служби України від 20 квітня 2005 року N 314 (Із змінами і доповненнями, внесеними наказами Державної митної служби України станом від 25 квітня 2006 року N 322)
26. Про затвердження Інструкції про порядок заповнення вантажної митної декларації // Наказ Державної митної служби України від 9 липня 1997 року N 307 ( Із змінами і доповненнями, внесеними наказами Державної митної служби України станом від 3 липня 2006 року N 550)
27. Інструкція про порядок здійснення розрахунків з Державним бюджетом України за митом, податком на додану вартість, акцизним збором та іншими платежами, доходами і зборами , Наказ Державної митної служби України, Міністерства фінансів України, 30 червня 2000 р. N 368/149
28. Інструкція про порядок заповнення вантажної митної декларації //Наказ Державної митної служби України від 9 липня 1997 року N 307 / від 10 грудня 2001 року N 798
29. Інструкція про організацію митного контролю та митного оформлення суден і товарів, що переміщуються ними //Наказ Державної митної служби України від 17 вересня 2004 року N 678
30. Режим промислового рибальства в дніпровських водосховищах у 2007 році // Затверджено наказом Державного комітету рибного господарства України від 13 березня 2007 р. N 13
31. Режим промислового рибальства в басейні Чорного моря у 2007 році // Затверджено наказом Державного комітету рибного господарства України від 13 березня 2007 р. N 13
32. Режим промислового рибальства в басейні Азовського моря у 2007 році // Затверджено наказом Державного комітету рибного господарства України від 13 березня 2007 р. N 13
33. Про затвердження режимів промислового рибальства в 2007 році // Наказ Державного комітету рибного господарства України від 13 березня 2007 року N 13
34. Про затвердження Положення про Державний комітет рибного господарства України // Кабінет Міністрів України, Постанова від 24 січня 2007 р. N 42
35. Про затвердження Програми розвитку інфраструктури ринку риби, інших водних живих ресурсів та харчової продукції, що з них виробляється, на 2005 - 2010 роки // Кабінет Міністрів України, Постанова від 25 грудня 2004 р. N 1755
36. Про затвердження Положення про розрахункові палати для пред'явлення векселів до платежу // Постанова Правління Національного банку України від 25 вересня 2001 року N 403
37. Порядок реалізації положень Митної конвенції про міжнародне перевезення вантажів із застосуванням книжки МДП // Наказ Державної митної служби України від 21 листопада 2001 року N 755 (Із змінами і доповненнями, внесеними наказами Державної митної служби України станом від 5 січня 2005 року N 3)
38. Порядок проведення митного оформлення товарів, що вивозяться залізничним транспортом, з використанням загальної вантажної митної декларації //Наказ Державної митної служби Українивід 2 червня 2003 року N 380 (Із змінами і доповненнями, внесеними наказами Державної митної служби України станом від 15 липня 2004 року N 522)
39. Правила здійснення транспортно-експедиційної діяльності під час перевезення зовнішньоторговельних і транзитних вантажів // постанова Кабінету Міністрів України від 21 вересня 1993 р. N 770 /станом змін від 18 жовтня 1999 року N 1919)
40. Порядок митного оформлення автотранспортних засобів, що здійснюють міжнародні перевезення // Наказ Державної митної служби України від 10 листопада 2000 року N 637 / від 19 вересня 2001 року N 619
41. “Розробка умов і процесів для експорту риби і рибної продукції в Європейський Союз” //(запропонована для Українського законодавства транспозиція Директив 91/493/ЕЕС і 92/48/ЕЕС)
42. Про затвердження зразків національних та міжнародного посвідчень водіїв документів, необхідних для реєстрації транспортних засобів // Постанова Кабінету Міністрів України від 31.12.99 р. N 2403 станом змін від 5 листопада 2001 року N 763
43. Про затвердження Порядку підтвердження відомостей про фактичне вивезення товарів за межі митної території України // Державна митна служба, Державна податкова адміністрація Наказ / Порядок, від 21.03.2002р. № 163/121
44. Про затвердження Положення про форму зовнішньоекономічних договорів (контрактів) // Наказ Мінекономіки та з питань європейської інтеграції від 06.09.2001. №201
45. Про затвердження Порядку випуску, обігу та погашення векселів, які видаються на суму податку на додану вартість при ввезені (пересиланні) товарів на митну територію Україну //Постанова КМУ від 01.10.97р. №1104
46. Про внесення змін і доповнень до Інструкції про порядок контролю митними органами за справлянням під час митного оформлення товарів, увезених (пересланих) на митну територію України, та перерахуванням до бюджету податку на додану вартість, затвердженої наказом Держмитслужби від 09.06.99 N 346 // Наказ ДМСУ від 10.06.02р. №312
47. Про затвердження Порядку здійснення митними органами контролю за сплатою платниками податків податку на додану вартість та акцизного збору, які справляються при ввезенні (пересиланні) товарів та інших предметів на митну територію України // Спільний наказ ДМСУ та ДПАУ від16.03.01р. №109/188
48. Про затвердження порядку застосування митного режиму “тимчасового ввезення (вивезення)” // Наказ ДМСУ від 28.03.00р. №173
49. Про організацію роботи органів державної влади, що здійснюють контроль товарів і транспортних засобів за принципом „єдиного офісу” під час переміщення їх через митний кордон України // Проект Постанови Кабінету Міністрів України, 22 березня 2006 року, http://www.customs.gov.ua
50. Про затвердження зразків бланків уніфікованих адміністративних документів форм МД-2, МД-3 та їх технічного опису // Наказ Держмитслужби України від 22.11.2005 № 1142
51. Про забезпечення сприятливих умов для окремих підприємств – резидентів України при здійсненні ними зовнішньоекономічних операцій // Наказ Державної митної служби України від 24.01.06 № 49
52. Про затвердження Порядку справляння митними органами ввізного (вивізного) та особливих видів мита під час митного оформлення товарів, що переміщуються через митний кордон України // Наказ Держмитслужби від 23.01.2006 № 30
53. Положення (стандарт) бухгалтерського обліку 1 "Загальні вимоги до фінансової звітності", Наказ Мінфіна України № 87 від 31.03.1999 + № 304 від 30.11.2000.
54. Положення (стандарт) бухгалтерського обліку 2 "Баланс", Наказ Мінфіна України № 87 від 31.03.1999 + № 304 від 30.11.2000.
55. Положення (стандарт) бухгалтерського обліку 3 " Звіт про фінансові результати «, Наказ Мінфіна України № 87 від 31.03.1999 + № 304 від 30.11.2000.
56. Андрущенко В.Л., Данілов О.Д.Податкові системи зарубіжних країн: Навчальний посібник. – К.: Комп’ютер прес, 2004. – 300 с.
57. Александров И.М. Налоговые системы России и зарубежных стран. – М.: Бератор-Пресс, 2002. – 390 с.
58. Василик О.Д. Податкова система України. Навч.посібник. – Київ, Видавництво: Поліграф книга, 2004, 478 с.
59. В.В. Скомаровський Про організацію роботи митних органів за принципом "єдиного вікна" // ДЕРЖАВНА МИТНА СЛУЖБА УКРАЇНИ ЛИСТ від 11.05.2005 р. N 11/1-9/5166, “Митний брокер", N 5, травень, 2005 р.
60. Державне управління в умовах інтеграції України в Європейський Союз // Мат. наук.-практич. конференції за міжнар. участю (29 травня 2002 р.), Рiк видання: 2002 Мiсце видання: Київ Видавництво: Вид-во УАДУ, 2002. -360 с.
61. Дорофієнко В. – Про деякі аспекти економічних наслідків приєднання України до СОТ// Економіст - №8 – 2007.// стор.66-70;
62. Золотько І.А. Податкова система. Навч.посібник.- Київ, Видавницт-во: КНЕУ, 2005, 204 с.
63. Захарова Л. Правові аспекти та юридичне оформлення фінансового лізингу //«Бізнес-консультант», жовтень 2005 р., № 10 (30), с. 29
64. Заступіна О. «Валютний і податковий контроль операцій міжнародного фінансового лізингу» // «Справочник экономиста», вересень 2006 р., № 9 (33), с. 12; жовтень 2006 р., № 10 (34), с. 17; листопад 2006 р., № 11 (35), с. 10 (www.mediapro.com.ua/economist/new_issue.php)
65. Зовнішньоекономічна діяльність : Навчальний посібник для студ. вищих навчальних закладів/ Ред. І.І. Дахно. - К.: Центр навчальної літератури, 2006. - 360 с
66. Економіка виробничого підприємства: Навчальний посібник / За ред. М. Петровича. – К.: Знання, 2001. – 405 с.
67. Економіка підприємств: Навчальний посібник / Ред. П.С. Харів. – Тернопіль: Економічна думка, 2000. – 500 с.
68. Економіка підприємства: опорний конспект лекцій / Н.М. Ушакова, Л.О. Лігоненко,М.М. Скотнікова – К., КНТЕУ, 2002. – 187 с.
69. Економіка підприємства: Навч.-метод. посібник для самост. вивч. дисц./ І.О. Швиданенко, С.Ф. Покропивний, С.М. Клименко та ін. - К.: КНЕУ, 2000 -248 с
70. Економіка підприємства: Підручник / За заг. ред. С.Ф. Покропивного - Вид 2-ге, перероб. та доп.- К.: КНЕУ, 2000. -528с.
71. Економіка підприємства.Підручник в 2-х томах / Під ред. С.Ф. Покропивного- К.: КНЕУ, 2000 – 528 с.
72. Ефективність державного управління в контексті глобалізації та інтеграції. : Мат. наук.-практич. конференції за міжнар. участю (29 травня 2003 р., Київ) - Київ Видавництво: Вид-во НАДУ, 2003.- 536 с.
73. Ефимова М.Р., Ганченко О.И., Петрова Е.В. Практикум по общей теории статистики: Учебное пособие. – Москва: Финансы и статистика, 2000.
74. Ізмайлова К.В. Фінансовий аналіз: Навч.посібник.- К.: МАУП,2000
75. Конкурентоспроможність економіки України в умовах глобалізації / Я.А. Жаліло, Я.Б. Базилюк, Я.В. Белінська та ін.; За ред. Я.А. Жаліла. — К.: НІСД, 2005. — 388 с.
76. Козик В.В. Міжнародні економічні відносини: Навчальний посібник/ В.В. Козик, Л.А. Панкова, Н.Б. Даниленко. - 6-те вид., стер. . - К.: Знання, 2006. - 407 с. - (Вища освіта XXI століття)
77. Конкурентоспроможність економіки України в умовах глобалізації / Я.А. Жаліло, Я.Б. Базилюк, Я.В. Белінська та ін.; За ред. Я.А. Жаліла. — К.: НІСД, 2005. — 388 с.
78. Крамаренко Г.О., Чорна О.Є. Фінансовий менеджмент.- Киів: Центр навчальної літератури, 2006р. -520с.
79. Крамаренко Г.О. Фінансовий аналіз і планування. – Київ: Центр навчальної літератури, 2003. – 224 с.
80. Кравчук І.В. Механізми державного управління процесом адаптації національного права до права ЄС: порівняльний аналіз. Автореферат. - Київ Видавництво: Нац. академія держ. упр. при Президентові України, 2006. – 20 с.
81. Крисоватий А.І., Десятнюк О.М. Податкова система. Посібник. – Тернопіль, Видавництво: Карт-бланш, 2004, - 331 с.
82. Кулішов В.В. Економіка підприємства: теорія і практика: Навчальний посібник. – К.: Ніка-Центр, 2002. – 216 с.
83. Кувшинов В.А. МЕЖДУНАРОДНЫЙ ЛИЗИНГ: МОДЕЛЬНЫЙ ДОГОВОР. КОММЕНТАРИИ // Торгово-промышленная палата Российской Федерации , 2006, www.tpprf.ru
84. Логистика, эффективность и риски внешнеэкономических операций/ К.В. Захаров, В.П. Бочарников, В.В. Липовский. - 2-е изд., доп.. - К.: Эльга: Ника-Центр, 2004. - 260 с
85. Міжнародний менеджмент: Навчальний посібник для студ. вищих навчальних закладів/ В.С. Білозубенко, О.В. Озаріна, А.А. Семенов; Ред. О.Б. Чернега. - К.: Центр навчальної літератури, 2006. - 592 с
86. Митний кодекс України та нормативно-правові акти, що регулюють його застосування: Збірник документів/ Упоряд. П.В. Пашко. - К.: Знання, 2004. - 1173 с. - (Митна справа в Україні)
87. Наливайко А.П. Теорія стратегії підприємства. Сучасний стан та напрямки розвитку: Монографія. — К.: КНЕУ, 2001. — 227 с.
88. Новошинська В.В. Міжнародний маркетинг: навчальний посібник. – Київ, Центр навчальної літератури, 2004. – 176 с.
89. Основы маркетинга / Ф. Котлер, Г. Армстронг, Д. Сондерс, В. Вонг; Пер. с англ. - 2-е европ. изд. – М.: Издательский дом "Вильямс", 1998. – 1056 с.
90. Покропивний С.Ф., Колот В.М. Підприємництво: стратегія, організація, ефективність. Навч. посібник. - К.: КНЕУ, 1997. - 238 с.
91. Портер Майкл Е. Стратегія конкуренції / Пер. з англ. А. Олійник, Р. Скільський. - К.: Основи, 1998. - 390 с.
92. Савчук В.П. Финансовый менеджмент предприятий: прикладные вопросы с анализом деловых ситуаций. – К.: Издательский дом «Максимум», 2001. – 600 с.
93. Соляник Л.Г. Економічний аналіз:Навчальний посібник. – Дніпропетровськ, Національна гірнича академія України, 2007. – 199 с.
94. Статистика підприємництва : навч.посібник / під редакцією Вашківа П.Г. – К.: „Слобожанщина”, 1999
Перспективные направления развития современной рыбообработки // Рыбное хозяйство. – 2000. - № 5. – С. 46 – 47.
Расширение ассортимента рыбной продукции // Рыбное хозяйство. – 2002. - № 2. С. 52 –53.
97. Україна і світове господарство: взаємодія на межі тисячоліть / А.С. Філіпенко, В.С. Будкін, А.С. Гальчинський та ін. — К.: Либідь, 2002. — 470 с.
98. ФАО: перспективы мирового производства рыбных продуктов в 2010 г. // Рыбное хозяйство. – 2000. - № 5. – С. 49.
99. Філіпенко А.С. Світова економіка. – К.: Либідь, 2001. – 582 с.
100. Цибанкова Т. М. – Глобальна торгова система: розвиток інститутів, правил, інструментів СОТ// Монографія – видавництво 2-ге, без змін – Київ: КНЕУ, 2006// 660 стор.
101. http://WWW MD Office - довідковий Інтернет-сайт по зовнішньоекономічній діяльності "НПО Поверхность", 1999-2007
102. http:// www.sta.gov.ua - офіційний Інтернет-сайт Державної податкової адміністрації України
103. http://www.customs.gov.ua - офіційний Інтернет-сайт Державної митної служби України
104. http://www.irf.kiev.ua - Довідник з європейської інтеграції
105. http://www.smida.gov.ua - Офіційний сайт Державного комісії з цінних паперів та фондового ринку України
106. http://www.UKRstat.gov.ua - Офіційний сайт Державного комітета статистики України
107. http://wto.inform.org.ua/go/?url=http://www.me.gov.ua/ - Аналітичні прогнози та рекомендації Центра ім. О. Разумкова, Інститута економічних досліджень та політичних консультацій
ДОДАТКИ
Додаток А
Реєстраційні дані АТЗТ компанія “Бастіон” [105]
|
Код ЄДРПОУ: |
24992294 |
|
Назва українською мовою: |
АТ ЗТ КОМПАНІЯ "БАСТІОН" |
|
Повна назва українською мовою: |
ЗАКРИТЕ АКЦIОНЕРНЕ ТОВАРИСТВО АКЦІОНЕРНЕ ТОВАРИСТВО ЗАКРИТОГО ТИПУ КОМПАНІЯ "БАСТІОН" |
|
Назва іноземною мовою: |
АОЗТК "БАСТИОН" |
|
Місце основної реєстрації в органах податкової служби: |
417ДНIПРОПЕТРОВСЬКА МIЖРАЙОННА ДПI (ДНIПРОПЕТРОВСЬКИЙ Р-Н) |
|
Адреса юридична: |
52070 СТАРІ КОДАКИ, ВУЛИЦЯ АЕРОДРОМ д.145 кв. 4-1 |
|
Адреса фактична: |
52070 СТАРІ КОДАКИ, ВУЛИЦЯ АЕРОДРОМ д.145 /А-1 |
|
Дата основної реєстрації в ДПА: |
08.09.1997 |
|
Номер основної реєстрації в ДПА: |
№2893 |
|
Дата початку ліквідації: |
16.08.2002 |
|
Причина закриття: |
перебуває на облiку |
|
Стан платника |
|
|
ОСНОВНИЙ ПЛАТНИК |
|
|
Дата реєстрації в держадміністрації: |
08.09.1997 |
|
Орган державної реєстрації: |
(4052264)ДНIПРОПЕТРОВСЬКА РАЙОННА ДЕРЖАВНА АДМIНIСТРАЦIЯ ЮВІЛЕЙНЕ ДНIПРОПЕТРОВСЬКА ДНIПРОПЕТРОВСЬКИЙ |
|
Статутний фонд (в грн.): |
2 718 750,00 |
|
Організаційно-правова форма: |
(232)ЗАКРИТЕ АКЦIОНЕРНЕ ТОВАРИСТВО |
|
Кількість співробітників: |
91 |
|
Тип платника податків: |
ГОЛОВНЕ ПІДПРИЄМСТВО |
Керівники:
|
Ідентифікаційний номер |
ПІБ |
посада |
Номер телефону |
|
2421200478 |
КОРЕЦЬКИЙ ГЕОРГІЙ МИХАЙЛОВИЧ |
директор |
318845 |
|
2872304845 |
ГОЛОБОРЩЕВА ЛЮДМИЛА СЕРГІЇВНА |
головний бухгалтер |
318846 |
Види діяльності:
|
Код виду діяльності |
Назва виду діяльності |
Ознака зовнішньоекономічної діяльності |
|
21272 |
РИБАЛЬСТВО |
Займається зовнішньоекономічною діяльністю |
|
71130 |
ОПТОВА ТОРГIВЛЯ НЕДЕРЖАВНИХ ОРГАНIЗАЦIЙ, КРIМ СПОЖИВЧОЇ КООПЕРАЦIЇ |
Займається зовнішньоекономічною діяльністю |
|
71250 |
РОЗДРIБНА ТОРГIВЛЯ НЕДЕРЖАВНИХ ОРГАНIЗАЦIЙ, КРIМ СПОЖИВЧОЇ КООПЕРАЦIЇ |
Займається зовнішньоекономічною діяльністю |
|
84500 |
МАРКЕТИНГОВI ДОСЛIДЖЕННЯ, КОНСУЛЬТАЦIЇ ПО ПИТАННЯХ КОМЕРЦIЙНОЇ ДIЯЛЬНОСТI, ФIНАНСIВ I УПРАВЛIННЯ |
Займається зовнішньоекономічною діяльністю |
Засновники:
|
Засновник |
Код засновника-юридичної особи |
Код засновника-фізичної особи |
Сума внеску в статутний фонд |
Вид валюти |
Країна |
|
РЯБИЙ МИХАЙЛО САЛІМОВИЧ |
|
1898111796 |
904 875,00 |
УКРАЇНСЬКА ГРИВНЯ |
УКРАЇНА |
|
ПРИТОМАНОВ СЕРГІЙ ОЛЕКСІЙОВИЧ |
|
2032200579 |
452 625,00 |
УКРАЇНСЬКА ГРИВНЯ |
УКРАЇНА |
|
ПРИТОМАНОВ ВОЛОДИМИР ОЛЕКСІЙОВИЧ |
|
2078711997 |
452 250,00 |
УКРАЇНСЬКА ГРИВНЯ |
УКРАЇНА |
|
ГУРМАН ВОЛОДИМИР ГРИГОРОВИЧ |
|
2499200256 |
904 875,00 |
УКРАЇНСЬКА ГРИВНЯ |
УКРАЇНА |
|
ГОРЯЧ ЕВГЕН МИКОЛАЙОВИЧ |
|
2446300756 |
4 125,00 |
УКРАЇНСЬКА ГРИВНЯ |
УКРАЇНА |
Реєстр ПДВ:
|
Код реєестру ПДВ |
Номер свідоцтва |
Дата видачі свідоцтва |
Ознака актуальності свідоцтва |
Дата анулювання свідоцтва |
|
249922904178 |
3625665 |
8.07.2004 |
|
|
|
Акціонерне товариство закритого типу компанія "Бастіон" Зареєстрований 29.12.2003 випуск акцій емітента |
||||
|
№ Свідоцтва |
84/04/1/03 |
|||
|
Орган |
ДКЦПФР04 |
|||
|
Положення |
р.167 |
|||
|
Номінал акції в грн. |
375 |
|||
|
Обсяг емісії, грн. |
2 718 750 |
|||
|
Статутний фонд, грн. |
2 718 750 |
|||
|
Зміни у статутному фонді, грн. |
2 700 000 |
|||
|
Форма випуску |
Бездокументарна |
|||
|
Кількість акцій |
7 250 |
Додаток Б
Баланси та звіти про фінансові результати АТЗТ компанія “Бастіон”за 2002 –2007 роки
Таблиця Б.1

Продовження табл.Б.1

Таблиця Б.2

Продовження табл.Б2

Додаток В
Таблиця В.1
Аналіз складу і структури майна підприємства АТЗТ компанія "Бастіон" у 2002 – 2007 роках

Продовження табл.В.1

Таблиця В.2
Порівняльний аналіз дінамики активів і фінансових результатів АТЗТ компанія "Бастіон" у 2002 – 2007 роках

Таблиця В.3
Характеристика стану основних засобів АТЗТ компанія "Бастіон" у 2002 –2007 роках
Таблиця В.4
Аналіз структури необоротних активів підприємства АТЗТ компанія "Бастіон" у 2002 – 2007 роках
Таблиця В.5
Аналіз структури оборотних активів підприємства АТЗТ компанія "Бастіон" у 2002 –2007 роках

Таблиця В.6
Аналіз структури запасів та витрат підприємства АТЗТ компанія "Бастіон" у 2002 – 2007 роках
Таблиця В.7
Склад дебіторської заборгованості підприємства АТЗТ компанія "Бастіон" у 2002 – 2007 роках

Таблиця В.8
Склад і структура джерел коштів підприємства АТЗТ компанія "Бастіон" у 2002 – 2007 роках

Таблиця В.9
Склад і структура позикових коштів підприємства АТЗТ компанія "Бастіон" у 2002 – 2007 роках

Таблиця В.10
Аналіз ліквідності балансу підприємства АТЗТ компанія "Бастіон" у 2002 – 2007 роках
Таблиця В.11
Аналіз показників ліквідності балансу підприємства АТЗТ компанія "Бастіон" у 2002 – 2007 роках

Таблиця В.12
Аналіз динаміки фінансової стійкості по покриттю запасів в АТЗТ компанія "Бастіон" у 2002 – 2007 роках

Таблиця В.13
Аналіз наявності власних оборотних коштів в АТЗТ компанія "Бастіон" у 2002 – 2007 роках

Таблиця В.14
Аналіз показників фінансової стійкості підприємства АТЗТ компанія "Бастіон" у 2002 – 2007 роках

Продовження табл.В.14

Додаток Г
Таблиця Г.1
Експортні операції АТЗТ компанія "Бастіон" у 2007 році

Таблиця Г.2
Імпортні операції АТЗТ компанія "Бастіон" у 2006 - 2007 роках

Продовження табл.Г.2

Таблиця Г.3
Експортні операції АТЗТ КОМПАНІЯ "БАСТІОН" у 2004 році
|
Опис товару |
вага нет-то (кг) |
фактурна вартість |
|
1.Судак прiсноводний охолоджений, перекладений льдом. АТЗТ"Бастiон" 2.Упаковка-пласт ящики-360шт. |
8659 |
99 250 грн. |
|
1.Судак прiсноводний охолоджений, перекладений льдом. АТЗТ"Бастiон" Україна 2.Упаковка-ящик 360шт. 3.0 |
9000 |
141 346 грн. |
|
1.Судак прiсноводний охолоджений, перекладений льдом. ДОСТ 814-96 Виробник: АТЗТ"Бастiон" Україна 2.Упаковка-пластиковi ящики-360шт. 3.0 |
9000 |
94 889 грн. |
|
1.Судак прiсноводний охолоджений, перекладений льдом. ДОСТ 814-96 Виробник: АТЗТ"Бастiон" Україна 2.Упаковка-пластиковi ящики-360шт. 3.0 |
9000 |
95 404 грн. |
|
1.Фiле судака свiжеморожене ДОСТ 3948- 90 в ящиках з гофрокортону. 2410ящ по 5кг. Виробник: АТЗТ"Бастiон" Україна 2.Упаковка-ящики з гофрокартону 2410шт 3.0 |
12050 |
333 403 грн. |
|
1.Фiле судака свiжеморожене в ящиках з гофрокартону /2577ящ. по 5кг/., ДОСТ 3948-90. Виробник АТЗТ"Бастi-он" Укра·на 2.Упаковка-2577карт.ящ.,29дерев.палет 3.0 |
12885 |
225 516 грн. |
|
1.Фiле судака свiжеморожене в ящиках з гофрокартону /2808ящ. по 5кг/., ДОСТ 3948-90. Виробник АТЗТ"Бастi-он" Укра·на 2.Упаковка-2808карт.ящ.,32дерев.палет 3.0 |
14040 |
237 806 грн. |
|
1.Філе судака свіжеморожене в ящиках з гофрокартону /2688ящ. по 5кг/., ДОСТ 3948-90. Виробник АТЗТ"Басті-он" Україна 2.Упаковка-2688карт.ящ.,32дерев.палет 3.0 |
13440 |
222 994 грн. |
|
1.Філе судака свіжеморожене в ящиках з гофрокартону /554ящ. по 5кг/., /976ящ. по 10кг/,ДОСТ 3948-90. Вироб-ник АТЗТ"Бастіон" Україна 2.Упаковка-1530карт.ящ., |
12530 |
258 944 грн. |
|
1.Фiле судака свiжеморожене в ящiках з гофрокартону -1811ящ,фiле окуня морожене -160ящ.ДОСТ 3948-90 Виробник АТЗТ"Бастiон" 2.Пакування-1971карт.ящ., |
8945 |
141 489 грн. |
|
1.Філе судака свіжеморожене в ящіках з гофрокартону /2688ящ.по 5кг/, ДОСТ 3948-90 Виробник АТЗТ"Бастіон" Україна 2.Пакування-2688карт.ящ.,32 дерев.палет 3.0 |
13440 |
245 060 грн. |
|
1.Фiле судака свiжеморожене в ящiках з гофрокартону -1811ящ,фiле окуня морожене -160ящ.ДОСТ 3948-90 Ви-робник АТЗТ"Бастiон" Україна 2.Пакування-1971карт.ящ. |
8945 |
141 489 грн. |
|
1.Фiле судака свiжеморожене в ящiках з гофрокартону -3456ящ по 5кг. ДОСТ 3948-90 Виробник АТЗТ"Бастiон" Укра·на 2.Пакування-3456карт.ящ.,32 дерев.палет 3.0 |
17280 |
326 738 грн. |
|
1.Фiле судака свiжеморожене в ящiках з гофрокартону -3456ящ по 5кг. ДОСТ 3948-90 Виробник АТЗТ"Бастiон" Укра·на 2.Пакування-3456карт.ящ.,32 дерев.палет 3.0 |
17280 |
355 493 грн. |
|
1.Фiле судака свiжеморожене в ящиках з гофрокартону /3113ящ. по 4.5кг/., ДОСТ 3948-90.Вага нето-14008.50кг. Виробник АТЗТ"Бастiон" 2.Пакування-3113карт.ящ. |
14009 |
412 522 грн. |
|
1.Фiле судака свiжеморожене в ящiках з гофрокартону -3456ящ по 5кг. ДОСТ 3948-90 Виробник АТЗТ"Бастiон" Укра·на 2.Пакування-3456карт.ящ.,32 дерев.палет 3.0 |
17280 |
445 583 грн. |
|
Загальний обсяг експорту |
3 777 930 грн. |
Таблиця Г.4
Експортні операції АТЗТ КОМПАНІЯ “БАСТІОН” у 2005 році
|
опис товару |
вага нетто (кг) |
фактурна вартість |
|
1.Філе судака свіжеморожене ДОСТ 3948- 90 в ящиках по 5кг/-3456ящ Виробник: АТЗТ»Бастіон» Україна 2.Пакування-ящики-3456шт, дерев»яні палети 32шт. 3.0 |
17280 |
453 252 грн. |
|
1.Філе судака свіжеморожене ДОСТ 3948- 90 в ящиках по 5кг.-3405ящ. Виробник: АТЗТ»Бастіон» Україна 2.Пакування-ящики 3405шт, дерев»яні палети 32шт. 3.0 |
17025 |
430 548 грн. |
|
1.Філе судака свіжеморожене ДОСТ 3948-90розмір 70-120 –324ящ.х4.5кг.120-170-864 ящ.х4.5кг.170-230-540ящ,х4.5кг.230-300 –540ящ.х5кг.300-500-648ящ.х5кг.500-800 –199ящ.х5кг.800+-53ящ.х5кг. дивись на звороті |
14976 |
290 114 грн. |
|
1.Філе судака свіжеморожене ДОСТ 3948-90розмір 120-170 –324ящ.х5кг.170-230-648 ящ.х5кг.230-300-648ящ.х5кг.300-500-1728 ящ.х5кг,500-800-96ящ.х5кг. Виробник АТЗТ «Бастіон» Україна 2.Пакування –3444карт.ящ.32палети. 3.0 |
17220 |
323 464 грн. |
|
Загальний обсяг експорту у 2005 році |
1 497 378 грн. |
Таблиця Г.5
Експортні операції АТЗТ КОМПАНІЯ “БАСТІОН” у 2006 році
|
опис товару |
вага нетто (кг) |
фактурна вартість |
|
1.Філе судака морожене 2-4 oz /5кор. Х 4.54кг./ 10lbs-22.70кг. 4-6 oz /27кор. Х 4.54кг./10lbs-122.58кг.6-8 oz /39кор. Х 4.54кг./10lbs-177.06кг.8-10oz/304кор.х4.54кг./10lbs-1380.16кг. дивись на звороті |
4885 |
161 091 грн. |
|
1.Філе судака морожене 3408кор. Х 4.5кг.ДСТУ 4379-2005 ТУ У15.2-24992294-005-2003 Виробник АТЗТ Компанія 'Бастіон' Україна2.Пакування- дер.палети 32шт. 3.0 |
15336 |
397 114 грн. |
|
1.Шихтові зливки з легованої сталі для переплавки, які мають такий хімічний склад:-нікель-9,10-14,00%; хром- 10,30-19,80%; молібден-0,10-0,78% марганець-0,33-2,38%;вольфрам- 0,05-0,76% у кількості 24960кг та відпові |
24960 |
400 832 грн. |
|
Загальний обсяг експорту у 2006 році |
959 037 грн. |
|
|
З них обсяг експорту рибної продукції |
558 205 грн. |
Таблиця Г.6
Експортні операції АТЗТ КОМПАНІЯ “БАСТІОН” у 2007 році
|
опис товару |
вага нетто (кг) |
фактурна вартість |
|
1.Філе судака морожене 2800кор. Х 5,00кг.ДСТУ 4379-2005 ТУ У15.2-24992294-005-2003 Виробник АТЗТ Компанія 'Бастіон' Україна2.Пакування- дер.палети 30шт. 3.0 |
14000 |
344 996 грн. |
|
1.Філе судака морожене 2060кор.х5,00кг-.ДСТУ 4379-2005 Виробник АТЗТ Компанія 'Бастіон' Україна2.Пакування- картоні ящики 2060шт. 3.1 HLXU6768889 |
10300 |
427 129 грн. |
|
1.Філе окуня морожене 84кор х 5кг. ДСТУ 4379-2005 Виробник АТЗТ Компанія 'Бастіон' Україна2.Пакування- картоні ящики 84шт. 3.1 HLXU6768889 |
420 |
17 417 грн. |
|
1. Лист стальний просічно-витяжний ТУ У 27.1-26235806-001-2004 товщина 4мм-14.820т.,товщина-5мм-5.180т.ст. 1-3 кп/сп-пс. Виробник «МД Групп Дніпропетровськ» Україна |
20000 |
64 640 грн. |
|
1.Філе судака морожене 2200кор.х5,00кг-.ДСТУ 4379-2005 Виробник АТЗТ Компанія 'Бастіон' Україна2.Пакування- картоні ящики 2200шт. 3.1 CRXU 6805593 |
11000 |
488 840 грн. |
|
1. Труби сталеві електрозварювані,водогазапровідні прямошовні ДОСТ 3262-75,10704-91 розмір: 57х3,2-15055кг,76х3,5-8740кг,89х3,5-1340кг,108х4,0-1590кг,60х3,2-350кг, |
35630 |
135166 грн. |
|
1.Філе судака морожене ДСТУ 4379-2005 1-2 унц 15ящ х5кг-75кг,2-4унц.173ящ.х5кг-865кг,4-6унц.502ящ.х5кг-2510кг, 6-8унц.775ящ.х5кг-3875кг, 8-10унц. 466ящ.х5кг-2330кг,10-12унц.249ящх5кг, -1245кг,12-14унц.120ящ.х5кг-600кг. |
11500 |
516 867 грн. |
|
Загальний обсяг експорту у 2007 році |
1 995 055 грн. |
|
|
З нього обсяг експорту рибної продукції |
1 795 249 грн. |
Додаток Д
Таблиця Д.1
Товарна структура зовнішньої торгівлі України за 2003 рік (загальні обсяги та продукція харчової промисловості груп 1-23 ) [ ]

Таблиця Д.2
Товарна структура зовнішньої торгівлі України за 2004 рік (загальні обсяги та продукція харчової промисловості груп 1-23 ) [ ]

Таблиця Д.3
Товарна структура зовнішньої торгівлі України за 2005 рік (загальні обсяги та продукція харчової промисловості груп 1-23 ) [ ]

Таблиця Д.4
Товарна структура зовнішньої торгівлі України за 2006 рік (загальні обсяги та продукція харчової промисловості груп 1-23 ) [ ]

Таблиця Д.5
Товарна структура зовнішньої торгівлі України за 2007 рік(3 квартали) (загальні обсяги та продукція харчової промисловості груп 1-23 ) [ ]

Таблиця Д.6
Динаміка показників експорту та імпорту харчової продукції та окремо рибної продукції в Україні за 2003 -2007 роки

Таблиця Д.7
Географічна структура зовнішньої торгівлі України у 2006 -2007 роках

Продовження табл.Д.7

Таблиця Д.8
Географічна структура експорту-імпорту товарів в Україні (1996 -2006 роки)

Додаток Е
Таблиця Е.1
Аналіз руху грошових коштів в АТЗТ Компанія «Бастіон»у 2006 -2007 роках

Продовження табл.Е.1

Таблиця Е.2
Склад та динаміка дебіторської заборгованості підприємства АТЗТ Компанія «Бастіон»у 2002 – 2007 роках

Таблиця Е.3
Склад та динаміка кредиторської заборгованості підприємства АТЗТ Компанія «Бастіон»у 2002 – 2007 роках

Таблиця Е.4
Склад та динаміка операційних витрат підприємства АТЗТ Компанія «Бастіон»у 2002 – 2007 роках

Таблиця Е.5
Склад та динаміка формування прибутку підприємства АТЗТ Компанія «Бастіон»у 2002 – 2007 роках




