Аттестация персонала (работа 1)
Уважаемый господин Председатель!
Уважаемые члены государственной комиссии!
Цель настоящей работы – разработка рекомендаций по повышению эффективности использования кадрового потенциала ОАО «Мурманский тарный комбинат», отвечающего современным и перспективным задачам предприятия.
Актуальность темы крайне высока, так как в современных рыночных условиях уровень и состояние кадрового потенциала напрямую влияет на достижение генеральных целей организации, в том числе:
достижение максимальной прибыли;
способность к конкурентной борьбе;
обеспечение социального благополучия ее работников.
В работе были использованы такие теоретические материалы как:
Егоршин А.П., Управление персоналом;
Малиновский П., Методы оценки персонала и др.
Федеральный закон от 30.12.2001 г. № 197-ФЗ «Трудовой кодекс Российской Федерации».
Положение о проведение аттестации федерального служащего, утвержденное Указом Президента Российской Федерации от 09.03.1996г. № 353.
Исследование и опыт кадровой службы комбината до настоящего времени свидетельствуют о том, что эта служба чрезвычайно мало реализовывала свои функции управления персоналом предприятия. Деятельность вчерашней кадровой службы ограничивалась пассивной и автономной регистрацией: приём, увольнение, учёт личного состава и отчётность.
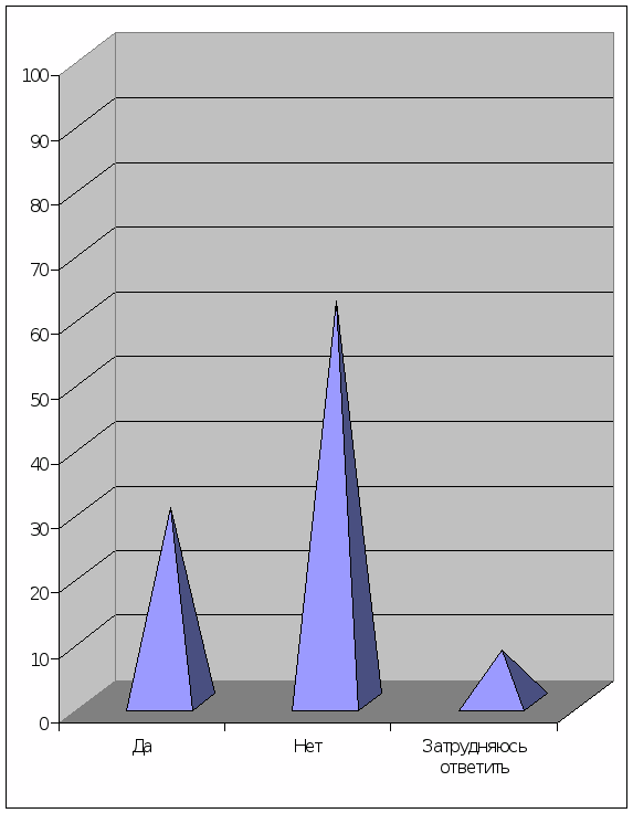
В период преддипломной практики мною был проведен опрос работников, а в особенности – руководителей, с целью выяснить отношение к перспективе введения на комбинате периодической аттестации персонала.
Б

ыл
задан вопрос: считаете ли Вы своевременным
и актуальным введение аттестации
персонала на нашем предприятии?
Да Нет
Затрудняюсь ответить
Интересно, что 62% опрошенных не согласны с введением периодической аттестации персонала на комбинате, а 8% затруднились ответить на этот вопрос. Таким образом, 70% сомневаются в целесообразности аттестации для предприятия и для себя лично. Это связано с искусственным характером аттестационных процедур, существовавших до 1990 года. Работники, подвергшиеся аттестации в указанный период, как правило, приобрели к ней стойкое отвращение, что мешает вводить аттестацию персонала на комбинате в настоящее время.
Конечно, возвращаться к старой системе аттестации кадров вряд ли разумно. Поэтому я предлагаю более усовершенствованную (чем проводилась ранее) методику оценки персонала – комплексную, включающую собеседование и непосредственно перед самой аттестацией анкетирование работников.
Условно контингент аттестуемых предлагаю разделить на 3 группы. Первую группу составят специалисты всех направлений и руководители низовых трудовых коллективов, во вторую группу войдут так называемые руководители среднего звена (начальники цехов, участков, отделов и т.п.); в третью группу будут включены главные специалисты, руководители структурных подразделений и их заместители.
При проведении аттестации на комбинате я предлагаю использовать следующие рекомендации:
1. Во всех случаях комиссии должны руководствоваться официально принятой системой принятия кадровых решений (в соответствии с КЗоТ).
2. Члены комиссии должны иметь доступ к материалам, характеризующим результативность труда оцениваемого сотрудника.
3. Оценку следует проводить по отдельным специфическим профессиональным навыкам, максимально исключив общие вопросы.
4. Работникам необходимо предоставлять возможность ознакомиться с решениями относительно оценки их работы.
5. Необходимо, чтобы и сами оцениваемые сотрудники ее понимали, видели ее справедливость.
6. Руководитель и оцениваемый должны готовиться к встрече и быть готовы обсуждать прошлую результативность на фоне задач нового периода.
7. Необходимо учитывать способность к творчеству, предприимчивость; в том числе умение оперативно принимать решения для достижения цели, способность прогнозировать и планировать, умение организовать, анализировать и контролировать работу подчиненных.
Практическая реализация изложенных предложений и рекомендаций по изменению кадровой политики, внесение дополнений и изменений в действующий коллективный договор, позволят повысить эффективность использования кадрового потенциала ОАО «Мурманского тарного комбината», сделать его более совершенным, отвечающим текущим и перспективным целям и задачам предприятия в рыночных условиях.
Оглавление
1. Введение.…………………………………………………………………………3
2. Концепция управления персоналом предприятия.………………………….…6
Нормативно-правовые акты по вопросам управления персонала и аттестации.……………………………………………………………………………….6
2.2. Межличностные различия и мотивация работников.…………………….9
2.3. Профессиональная ориентация работников.……………………………..11
2.4. Подготовка руководящих кадров.………………………………………...13
Внедрение системы аттестации персонала в организации.…………………...15
Цели аттестации и роль руководителя.………..…………………………17
Методы и критерии оценки при аттестации персонала…………………23
3.3. Подготовка и проведение аттестации.……………………………………38
4. Особенности аттестации персонала в корпорациях и организациях.………...45
4.1. Особенности аттестации персонала в ОАО «Московская городская телефонная сеть»………………………………………………………………….….45
4.2. Специфика аттестации государственных служащих………………….…46
5. Система управления персоналом в ОАО «Мурманский тарный комбинат»…50
5.1. Характеристика предприятия………………………………………….…..50
5.2. Организационная структура управления предприятия…………………..52
5.3. Анализ положения о коллективном договоре на предприятии…….…....54
5.4. Квалификационный уровень персонала ОАО «МТК»……………………55
Подготовка кадров и развитие персонала на предприятии………………66
Заключение………………………………………………………………………..69
Литература, нормативно-правовые акты………………………………………..76
8. Приложения……………………………………………………………………….78
Человек стоит столько, во сколько другие его ценят.
Б.Грасиан
1. Введение.
Целями трудового законодательства являются установление государственных гарантий трудовых прав и свобод граждан, создание благоприятных условий труда, защита прав и интересов работников и работодателей.1
Выполнение хозяйственных задач во многом зависит от правильности применения организационных факторов, способствующих рациональному использованию трудовых ресурсов. Значительное место среди них занимает внедрение мероприятий по научной организации труда и, в первую очередь, осуществление принципов рационального разделения и кооперации труда работников, занятых в сфере управления производством, обеспечение правильного подбора, расстановки и использования кадров в соответствии с профессиональной подготовкой и опытом работы.
Организации существуют для достижения стоящих перед ними целей. Степень реализации этих целей показывает, насколько эффективно действует организация, т.е. насколько эффективно она использует находящиеся в ее распоряжении ресурсы.
Показатель прибыли позволяет оценить эффективность работы организации в целом, которая складывается из эффективности использования каждого из организационных ресурсов, в том числе каждого сотрудника. Естественно, что сотрудники неодинаково выполняют свои профессиональные обязанности – в любой организации есть лидеры, аутсайдеры и середняки. Однако, чтобы провести эту дифференциацию, необходимо иметь единую систему регулярной оценки эффективности выполнения каждым сотрудником своих должностных функций. Такая система повышает эффективность управления человеческими ресурсами организации через:
положительное воздействие на мотивацию сотрудников. Обратная связь благотворно сказывается на мотивации работников, позволяет им скорректировать свое поведение на рабочем месте и добиться повышения производительности;
планирование профессионального обучения. Оценка персонала дает возможность определить недостатки в квалификационном уровне каждого сотрудника и предусмотреть меры по их исправлению;
планирование профессионального развития и карьеры. Оценка сотрудников выявляет их слабые и сильные профессиональные качества, что позволяет подготовить индивидуальные планы развития и эффективно спланировать карьеру;
принятие решений о вознаграждении, продвижении, увольнении. Регулярная систематическая оценка сотрудников предоставляет руководству организации возможность принимать обоснованные решения о повышении зарплаты, повышения в должности или увольнении.
Создать систему оценки, одинаково сбалансированную с точки зрения точности, объективности, простоты и понятности очень сложно, поэтому на сегодняшний день существует несколько систем оценки персонала, каждая из которых имеет свои достоинства и недостатки. Однако наиболее распространенной является, безусловно, система периодической аттестации персонала.
Аттестация персонала представляет собой – 1) метод оценки персонала организации; руководитель периодически оценивает эффективность выполнения должностных обязанностей с помощью стандартных критериев; 2) кадровые мероприятия, призванные оценить уровень труда, качеств и потенциала личности требованиям выполняемой работы; 3) процедура определения квалификации, уровня знаний, практических навыков, деловых качеств работника и установления степени их соответствия занимаемой должности. Цель аттестации персонала – повышение эффективности использования кадрового потенциала организации; по ее результатам принимается решение о сохранении или изменении аттестуемому должности или системы мотивации его труда, необходимости дополнительной подготовки.
Цель настоящей работы – разработка рекомендаций по повышению эффективности использования кадрового потенциала ОАО «Мурманский тарный комбинат», отвечающего современным и перспективным задачам предприятия.
2. Концепция управления персоналом предприятия.
2.1. Нормативно-правовые акты по вопросам управления персонала и аттестации.
Нормативные акты имеют свою иерархию. Главный ранг имеет Основной закон, или Конституция, а в основании пирамиды лежат законы, указы, постановления, распоряжения, инструкции, приказы. Подобно тому как должностная иерархия предполагает выполнение нижестоящими приказов вышестоящих, а не наоборот, законодательный акт, изданный в целях развития, конкретизации закона, не должен противоречить этому закону.
Органы государственной власти субъектов Российской Федерации принимают законы и иные нормативные правовые акты, содержащие нормы трудового права, по вопросам, не отнесенным к полномочиям федеральных органов государственной власти. При этом более высокий уровень трудовых прав и гарантий работникам по сравнению с установленным федеральными законами и иными нормативными правовыми актами Российской Федерации, приводящий к увеличению бюджетных расходов или уменьшению бюджетных доходов, обеспечивается за счет бюджета соответствующего субъекта Российской Федерации.
Органы государственной власти субъектов российской Федерации по вопросам, не урегулированным федеральными законами и иными нормативными правовыми актами Российской Федерации, могут принимать законы и иные нормативные правовые акты, содержащие нормы трудового права. В случае принятия федерального закона или иного нормативного правового акта Российской Федерации по этим вопросам закон или иной нормативный правовой акт субъекта Российской Федерации приводится в соответствие с Федеральным законом или иным нормативным правовым актом Российской Федерации.
В случаях, если закон или иной нормативный правовой акт субъекта Российской Федерации, содержащий нормы трудового права, противоречит настоящему Кодексу или иным федеральным законам либо снижает уровень трудовых прав и гарантий работникам, установленный настоящим Кодексом или иными федеральными законами, применяется настоящий кодекс или иной федеральный закон.1
Работодатель принимает локальные нормативные акты, содержащие нормы трудового права, в пределах своей компетенции в соответствии с законами и иными нормативными правовыми актами, коллективным договором, соглашениями.
В случаях, предусмотренных настоящим Кодексом, законами и иными нормативными правовыми актами, коллективным договором, работодатель при принятии локальных нормативных актов, содержащих нормы трудового права, учитывает мнение представительного органа работников.
Коллективным договором, соглашениями может быть предусмотрено принятие локальных нормативных актов, содержащих нормы трудового права, по согласованию с представительным органом работников.
Локальные нормативные акты, ухудшающие положение работников по сравнению с трудовым законодательством, коллективным договором, соглашениями либо принятые без соблюдения предусмотренного настоящим Кодексом порядка учета мнения представительного органа работников, являются недействительными. В таких случаях применяются законы или иные нормативные правовые акты, содержащие нормы трудового права.1
Применительно к аттестации роль законодательства играют постановления Министерства труда и социального развития Российской Федерации.
Знание и понимание законодательства представляется первоочередным вопросом во многих сферах управления персоналом. Это касается и его оценки, которая должна проводиться в строгом соответствии с существующим трудовым законодательством России.
Вот некоторые рекомендации по построению системы оценки, которую работодатель при необходимости сможет защитить в суде:
решения по персоналу не должны различаться для лиц разного пола, возраста, национальности и религии рассматриваемых лиц;
официальная система подачи жалоб и пересмотра решений на фирме должна быть доступна для лиц, несогласных с этими решениями;
следует использовать более одного независимого оценщика;
во всех действиях важно руководствоваться официальной системой принятия кадровых решений;
лица, производящие оценку, должны иметь доступ к материалам, характеризующим результативность труда оцениваемого работника;
следует избегать оценки таких качеств, как «надежность», «энергичность», «способность» и «личное отношение»;
данные по оценке результативности труда должны проверяться эмпирически;
стандарты результативности труда должны быть известны работникам;
оценщиков следует снабжать указаниями по проведению оценки результативности труда;
оценку следует проводить по отдельным специфическим рабочим навыкам, а не в «общем»;
работникам следует предоставлять возможность ознакомиться с мнениями относительно их качеств.
2.2. Межличностные различия и мотивация работников.
В последнее время наблюдается тенденция снижения интереса и внимания к проблемам труда, анализу состояния и перспектив развития трудовой активности, хотя оценка состояния дел в сфере труда - необходимое условие правильного выбора направления и методов реализации мероприятий по оздоровлению экономики.
Кризис сферы труда привел к деформированному поведению персонала в сфере производства. Основная особенность работников в том, что кроме выполнения производственных функций, они являются активной составляющей производственного процесса. Работники могут способствовать росту эффективности производства, могут относиться безразлично к результатам деятельности предприятия, на котором работают, а могут противодействовать нововведениям, если они нарушают привычный для них ритм работы.1
Для того чтобы успешно управлять персоналом, необходимо четко представлять основные механизмы и закономерности, по которым осуществляется работа с кадрами, на что нужно обратить внимание, иными словами руководителю необходимо владеть современными технологиями управления трудовыми ресурсами.
Одной из основных проблем современной кадровой работы является проблема эффективной мотивации трудовой деятельности.
Сегодня система управления персоналом немыслима без такой важной составляющей, как мотивация труда. Каждая компания, серьезно относящаяся к вопросам управления персоналом или, по крайней мере, планирующая свой завтрашний день, старается разработать собственную систему стимулирования труда персонала.
Мотивация труда - важнейший фактор результативности работы, и в этом качестве она составляет основу трудового потенциала работника, т. е. всей совокупности свойств, влияющих на производственную деятельность.
Трудовой потенциал состоит из психофизиологического потенциала и личностного (мотивационного) потенциала.
В исследованиях современных зарубежных менеджеров таких как Десслер Г. и Якокка Л. и отечественных учёных Егоршина А.П. и Одегова Ю.Г. понятие мотивации и стимулирования идентичны и можно утверждать, что основная роль в деле стимулирования труда, а значит, в четком и бесперебойном функционировании мотивации, принадлежит определённым кадровым механизмам, которыми в совершенстве должен владеть руководитель.1
Методы мотивации формально делятся на две группы: материальные и нематериальные. Известно, что острое желание работать у человека возникает, если за это ему обещано достойное вознаграждение. Это и есть материальная мотивация.
К традиционно материальным методам относятся система заработной платы, различного рода премии и выплаты, участие сотрудников в прибыли компании. Но, к счастью для работодателя, на труд работника вдохновляет не только корыстный интерес.
Для многих людей чрезвычайно важно ежедневно находиться в коллективе, чувствовать свою значимость, зарабатывать авторитет у коллег и многое другое. Такая мотивация называется нематериальной.
К нематериальным стимулам обычно относят различного рода благодарности, пакет социальных льгот, повышение статуса сотрудника. Впрочем, данное разделение весьма условно. Многие специалисты сходятся во мнении, что в конечном итоге все методы стимулирования материальны. Умелое использование на предприятии материальных и нематериальных стимулов может творить чудеса.1
Эффективное управление невозможно без понимания мотивов и потребностей человека и правильного использования стимулов к труду.
Сегодня при устройстве человека на работу его физические данные не имеют большого значения. Развитие технологии позволило значительно сократить ряд работ, для которых были необходимы физическая выносливость и сила.
Умственные способности личности могут быть определены как способность эффективно использовать свой интеллект – сумму общих умственных функций понимания, мышления, обучения, наблюдения, решения проблем, способность вступать во взаимные отношения. В некоторой степени успешное обучение и сдача экзаменов могут гарантировать определенный уровень умственных способностей, хотя некоторые работодатели могут дополнительно потребовать от предполагаемых кандидатов решить тесты на проверку уровня интеллекта, а также склонностей характера.
В контексте подбора на работу личные свойства обычно означают комбинацию эмоций, мотивации, интересов и социальных пропорций; другими словами, если приравнять это к личным качествам, это степень обаяния и влияния на людей.
2.3. Профессиональная ориентация работников.
Первым шагом к тому, чтобы сделать труд работника как можно более производительным, является профессиональная ориентация и социальная адаптация в коллективе. Если руководство заинтересованно в успехе работника на новом рабочем месте, оно должно всегда помнить, что организация – это общественная система, а каждый работник – это личность. Когда новый человек приходит в организацию, он приносит с собой ранее приобретенные опыт и взгляды. Если, например, последний босс нового работника был человеком властным и предпочитал общаться только путем переписки, работник будет считать, что ему лучше послать бумагу, чем просто поднять телефонную трубку, хотя его новый босс в действительности предпочитает устное общение.
Организации используют целый ряд способов, как официальных, так и неофициальных, для того, чтобы ввести человека в свое общество. Формально, во время найма на работу организация дает человеку информацию о себе с тем, чтобы ожидания кандидата были бы реалистичны. За этим обычно идет обучение специальным трудовым навыкам и собеседование на тему, что считается эффективной работой. Правила, процедуры и наставления со стороны старших по должности представляют собой дополнительные методы адаптации работников в коллективе организации. Некоторые организации разработали официальные программы для воспитания нужной им корпоративной культуры в своих организациях. В этих программах указывается, чего же ждет организация от своих служащих, чтобы все они, независимо от своего положения или должности, вели себя соответственно имиджу корпорации.
В ходе неофициального общения новые работники узнают неписаные правила организации, кто обладает реальной властью, каковы реальные шансы на продвижение по службе и рост вознаграждения, какой уровень производительности считают достаточным коллеги по работе. Нормы, отношения к работе и ценности, принятые в неформальных группах, могут работать либо в поддержку, либо против официальных целей.
Если руководитель не прилагает активных усилий для организации адаптации новых подчиненных, последние могут разочароваться из-за несбыточности своих надежд, могут посчитать, что в поведении следует руководствоваться опытом, приобретенным на прежней работе, или прийти к другим неправильным заключениям о своей работе. Руководитель должен также помнить о том, что кое-что из того, что новички узнают в ходе своей адаптации, может оказаться для них просто шоком.
2.4. Подготовка руководящих кадров.
Особое значение имеет объективность в определении результатов деятельности руководителей и специалистов по выполнению возложенных на них обязанностей и установление, с учетом квалификации, политических, деловых и личностных качеств работников, их соответствия занимаемым должностям, выявление на этой основе перспективных, энергичных, творчески мыслящих и инициативных работников для включения в резерв на выдвижение, а также выработки предложений труда как отдельных исполнителей, так и коллективов предприятия в целом.
Главной задачей подготовки управленцев следует, очевидно, считать «создание» нового, демократического управленца, способного быть лидером, знающего менеджмент, умеющего создавать команду. Такая задача требует новых подходов к обучению управленцев и повышению их квалификации.
Подготовка сводится к развитию навыков и умений, необходимых служащим для эффективного выполнения своих должностных обязанностей или производственных заданий в будущем. На практике систематические программы подготовки наиболее часто используют для того, чтобы готовить руководителей к продвижению по службе. Для успешной подготовки руководящих кадров, как и для обучения вообще, нужны тщательный анализ и планирование.
Посредством оценки результатов деятельности организация прежде всего должна определить способности своих менеджеров. Затем, на основе анализа содержания работы, руководство должно установить – какие способности и навыки требуется для выполнения обязанностей на всех линейных и штабных должностях в организации. Это позволяет организации выяснить, кто из руководителей обладает наиболее подходящей квалификацией для занятия тех или иных должностей, а кто нуждается в обучении и переподготовке. Решив все эти вопросы, руководство может разработать график подготовки конкретных лиц, намечаемых к возможному продвижению по службе или переводу на другие должности.
Подготовка руководящих кадров в основном ведется для того, чтобы руководящие работники овладели умениями и навыками, требующимися для реализации целей организации. Другим соображением, неотделимым от предыдущего, является необходимость удовлетворение потребности более высокого уровня: профессионального роста, успеха, испытания своих сил. К сожалению, многие организации не предоставляют достаточных возможностей для удовлетворения таких потребностей путем повышения ответственности и продвижения по службе.
Подготовка управленческих кадров может проводиться путем организаций лекций, дискуссий в составе небольших групп, разбора конкретных деловых ситуаций. Другим широко применяемым методом является ротация по службе. Перемещая руководителя низового звена из отдела в отдел на срок от трех месяцев до одного года, организация знакомит нового руководителя со многими сторонами деятельности. В результате молодой менеджер познает разнообразные проблемы различных отделов, уясняет необходимость координации, неформальную организацию и взаимосвязь между целями различных подразделений. Такие знания жизненно необходимы и для успешной работы на более высоких должностях, но особенно полезны для руководителей низших уровней управленческой иерархии.1
Другим важным приемом является подготовка руководящих кадров в процессе их работы. Некоторые фирмы разработали программы, в соответствии с которыми перспективным новым руководителям с самого начала поручают ответственную работу, являющуюся испытанием их способностей, но, предположительно, приходится им по силам.
В одном из исследований была установлена тесная связь между уровнем требований в процессе обучения новых менеджеров и их последующим продвижением по службе. Те лица, перед которыми с самого начала ставились более трудные задачи, выработали в себе более высокие рабочие качества.
Внедрение системы аттестации персонала в организации.
Аттестация является важным этапом заключительной оценки персонала за период времени. Аттестация – это процедура систематической формализованной оценки соответствия деятельности конкретного работника стандарту выполнения работы на данном рабочем месте в данной должности.
В Кодексе законов о труде РФ, кроме определения термина, содержится также перечень основных категорий работников, которые подлежат обязательной периодической аттестации. Существуют специальные требования к аттестации, например создание аттестационной комиссии. По результатам аттестации выносится решение о соответствии или несоответствии занимаемой должности.
Эти, явно неполные, определения отражают искусственный характер аттестационных процедур, существовавших до настоящего времени. Работники, подвергшиеся аттестации в указанный период, как правило, приобрели к ней стойкое отвращение, что мешает вводить аттестационные процедуры в практику современных российских компаний. Несмотря на это, многие крупные компании нашей страны сейчас возобновляют практику проведения аттестации, осознав важность и полезность ее для эффективности работы компании в целом.
Аттестовать можно не только человека, но и подразделение, предприятие, производственный процесс, рабочее место, продукцию, государство и вообще любой социальный объект.
У процедуры аттестации есть свои противники и приверженцы. Аргументы каждой из сторон достаточно весомы. «Менеджер и так постоянно оценивает своих сотрудников. Зачем нам проводить аттестацию? Она отнимает много сил, способна разворошить коллектив, и неизвестно, что мы получим», – считают первые. Замечание справедливое: если не знаешь, зачем, – лучше не берись. 1
Формализованная система позволяет повысить эффективность самой системы оценки. Кроме того, она подходит не только для отдельного сотрудника и его руководителя, но и отвечает интересам организации в целом. Большинство специалистов справедливо полагают, что аттестация – один из наиболее эффективных инструментов управления персоналом. Аттестация позволяет:
определить внутри организации стандарты деятельности и критерии оценки (на подготовительном этапе) – без этого аттестация не имеет смысла;
провести диагностику персонала;
выявить «болевые точки»;
определить ценность сотрудников не только для подразделения/группы, но и для организации;
обоснованно принимать управленческие решения, особенно связанные со стратегическими задачами организации и процессом внедрения изменений.
Роль аттестации возрастает, когда усиливается государственный и общественный контроль за соблюдением прав человека, социальных гарантий работника и, наоборот, снижается, когда государственные гарантии прав человека слабеют или они фактически игнорируются.
Результат аттестации всегда в известной мере субъективен, несет на себе отпечаток личности того, кто аттестует, иначе это была бы уже не аттестация, а просто измерение параметров.
Проведение аттестации предполагает четкую последовательность действий:
ЦЕЛЬ
зачем проводится
что оценивается
|
КТО проводит
КОГО оценивают
|
КРИТЕРИИ
СТАНДАРТЫ
|
ВЫБОР МЕТОДА
затраты
ресурсы
|
ПОДГОТОВКА
|
ПРОВЕДЕНИЕ
|
АНАЛИЗ
и
последующие ДЕЙСТВИЯ
3.1. Цели аттестации и роль руководителя.
Одно из основных требований, предъявляемых к процедурам аттестации – это объективность оценки сотрудника. Объективность, как правило, противопоставляют субъективности, которая довольно часто считается злом, ведущим к непоправимым ошибкам. Боязнь таких ошибок часто приводит к тому, что от субъективности пытаются избавиться всевозможными способами.
Субъективность, как правило, связывается с индивидуальными особенностями личности человека. Проблематика индивидуальных различий подробно обсуждается и широко исследуется в психологии. Ответ на вопрос о значении субъективности руководителя для аттестации персонала следует искать в психологии управления. Такой выбор определяется тем, что взаимоотношения руководитель - подчиненный и руководитель - группа всегда были предметом исследования и изучения выше названной ветви психологии. И вместе с тем любая теория становится практичной, если за ней увидеть жизнь.
Ориентированный на задачу руководитель заинтересован главным образом в достижении успеха в поставленной задаче, рискуя иметь плохие межличностные отношения с подчиненными. Для него успех в решении задачи есть способ повысить самооценку.
Ориентированный на межличностные отношения руководитель, рассматривает отношения как средство выдвинуться и завоевать уважение членов группы. Руководители различных личностно-стилевых типов при оценке сотрудников так же ориентируются на различные характеристики последних. Так, при оценке наименее предпочитаемого сотрудника руководители, ориентированные на межличностные отношения давали ему более высокие оценки, чем руководители, ориентированные на задачу.
Субъективность, таким образом, в данной модели может быть представлена, как готовность ценить и замечать одно, не замечая другого. Отсюда следует, что субъективность руководителя при аттестации персонала, может привести к одностороннему, в обыденной речи субъективному, восприятию сотрудника и как следствие к неверным кадровым решениям. Именно эта причина лежит в основе многочисленных приемов направленных на повышения объективности получаемых результатов.
Позиция власти руководителя характеризуется той степенью, в которой занимаемая позиция позволяет руководителю «заставлять» своих сотрудников подчинятся его требованиям и соглашаться с его руководством. Это может проявляться в таких характеристиках как возможность контроля над действиями подчиненных, использование различных способов стимулирования их активности.
Таким образом, субъективность руководителя с одной стороны может привести к односторонней оценке сотрудника. С другой же стороны, субъективность руководителя в определенных ситуациях является залогом эффективного руководства. Однако, здесь возникает вопрос: при чем тут эффективность руководства, когда мы говорим об аттестации персонала и влиянии субъективности руководителя на точность оценки сотрудника? Как связаны между собой процедуры аттестации персонала и руководство коллективом подчиненных?1
Всем известно, что основная задача аттестации персонала – это оценить соответствие уровня труда, качества и потенциала личности требованиям выполняемой деятельности. Однако, такая оценка проводится не ради самой оценки. Она проводится для того, чтобы на ее основе принять верное кадровое решение о поощрении (наказании), перемещении или обучении сотрудников.
Иными словами, основной целью аттестации, так же как и других кадровых мероприятий, является приведение человеческого ресурса в соответствие со стратегией фирмы. Основная цель линейного руководителя по сути та же – реализация стратегии фирмы на порученном ему участке бизнес процесса.
Линейный руководитель осуществляет вспомогательные функций при разработке аттестации и ее проведении (консультации по выделению параметров оценки; экспертиза количества, качества и интенсивности труда подчиненных). Однако линейный руководитель может использовать процедуры аттестации и в качестве дополнительного рычага управления сотрудниками своего отдела. Мы предположили, что разработав специальные процедуры аттестационного собеседования линейного руководителя с сотрудниками, можно обогатить руководителя дополнительным средством управления – рычагом влияния на его сотрудников.
Однако, превратившись в средство управления, аттестационное собеседование должно оставаться так же и средством кадровой работы. Иными словами, руководитель может использовать аттестацию, чтобы повлиять на сотрудников и это может само по себе повысить эффективность работы его подразделения, даже учитывая, что руководитель субъективен. Но аттестация также должна служить основанием для принятия кадровых решений о направлении на обучение, зачислении в кадровый резерв, изменении оплаты труда и т.п. Для этого результаты оценки сотрудника и рекомендации, подготовленные на их основе, должны быть объективны.
Таким образом, позитивное влияние субъективности руководителя на эффективность управления коллективом и негативное влияние на результаты оценки сотрудников – составляют проблему при аттестации.
Традиционно влияние субъективности непосредственного руководителя на результаты аттестации персонала предотвращается следующими способами:
используется перекрестная оценка сотрудника – один сотрудник оценивается несколькими экспертами и несколькими методиками;
игнорируются крайние оценки – самая низкая и самая высокая, чтобы избежать специального «заваливания» или «подтягивания» сотрудника кем-то из аттестационной комиссии;
используется дифференциация оценок – оценка сотрудника осуществляется по трем направлениям: личностно-деловые качества, требуемые знания и умения, результаты труда. По каждому направлению оценку дает соответствующий специалист или группа специалистов.
Иными словами, роль линейного руководителя в системе аттестации персонала минимизируется, дабы уменьшить влияние его субъективности на итоги аттестации. Такой подход к построению процедур аттестации может быть назван – «стратегия минимизации субъективного влияния».
В качестве альтернативы, предложим иной подход – «стратегию компенсации субъективного влияния». Ранее было изложено, что сущность субъективности руководителя заключается в его односторонней оценке сотрудников. Стороны, которые будет замечать руководитель, определяются его личностно стилевым типом. Иными словами, руководитель будет стараться отыскать даже в «плохом» сотруднике что-то хорошее, либо наоборот преувеличивать его отрицательные стороны.
Думается, что использование «стратегии компенсации субъективного влияния» при подготовке и реализации аттестации существенно повысит точность оценки сотрудников руководителем. С другой стороны, оно позволит сохранить возможность позитивного влияния субъективности руководителя на эффективность руководства группой.
Субъективность руководителя (в виде его личностно стилевых особенностей) может конструктивно влиять на эффективность руководства группой. Руководитель определенного типа, оказываясь в группе с соответствующим уровнем ситуативного контроля, становится максимально эффективным. Думается, что аттестационное собеседование, построенное на основе «вероятностной модели руководства», позволит руководителю более эффективно управлять своими сотрудниками.
Проводя аттестационное собеседование, линейный руководитель может задавать приемлемую для себя степень ситуативного контроля следующим образом:
Степень структурированности задачи может варьироваться за счет конкретизации для сотрудника результатов и шагов по решению новых задач;
Позиция власти может варьироваться за счет частоты апелляции руководителя к согласованным задачам и функциям сотрудника и санкциям (поощрениям), принимаемым по итогам аттестационного собеседования;
Степень благоприятности межличностных отношений руководителя и подчиненного может варьироваться за счет глубины обсуждения социальных и организационных проблем, мешающих эффективной деятельности сотрудника.
Аттестация персонала может быть нацелена на:
1. Принятие решений, связанных с изменением компенсационного пакета, имеющих конкретные материальные последствия для работников:
изменение заработной платы;
изменение системы поощрения (наказания);
повышение мотивации.
2. Принятие решений, связанных с развитием организации (приведение в соответствие человеческих ресурсов с планами организации):
получение обратной связи;
выявление потенциала;
информирование сотрудников о том, чего ждет от них фирма;
развитие карьеры;
личное развитие;
корректировка планов организации;
информация для планирования человеческих ресурсов.
3. Принятие решений, связанных с оценкой текущей деятельности (положения) всей организации и выявлением рабочих проблем. При этом в ходе аттестации работника оцениваются:
прошлая деятельность;
достижение результатов;
потребность в обучении;
выявление рабочих проблем;
улучшение деятельности.
На этапе выработки цели определяются:
1. Собственно цель и ее конкретизация (подцели). Чем четче определены цели, тем легче построить процедуру. Если цель невозможно описать, последующая деятельность становится бессмысленной.
2. Как будут применяться результаты. Для начала целесообразно охарактеризовать кратко ситуацию в организации (например, планируется реструктуризация компании и расширение бизнеса, внедрение новых условий работы). Данную информацию мы будем использовать для планирования человеческих ресурсов. Мы сможем оценить, способен ли каждый конкретный сотрудник приспособиться к новым условиям, следует ли нам производить увольнения, перемещения, можем ли мы с существующим коллективом решить поставленные задачи и т.п.
3. Прежде чем приступить к процедуре, стоит задуматься, как результаты будут обобщаться и анализироваться. Аттестация, как и любой сбор информации, предполагает дальнейшую ее обработку. Если этот фактор не учтен, процедура работы с информацией может оказаться чрезмерно затянутой и дорогостоящей (особенно в крупных организациях).
3.2. Методы и критерии оценки при аттестации персонала.
Применение современных методов объективной оценки труда управленческих работников, и особенно руководителей, в условиях рыночной экономики и демократизации управления приобретает особое значение. Проведение таких оценок накануне аттестации, в процессе выборов руководителя, при формировании резерва кадров на выдвижение, а также в текущих перестановках в кадровом составе - таковы основные практические направления оценочной деятельности организаций.
Оценка является неотъемлемым и важнейшим элементом в структуре управления трудом управленческого персонала. Она представляет собой определенную систему, имеющую достаточно сложную структуру, позволяющую выполнять регулятивную функцию в отношении деятельности оцениваемых управленческих работников и руководителей.
Существует большое количество «за» и «против» официальной оценки управленческих работников. Аргументом в ее пользу является то, что она способствует решению ряда управленческих задач. Например, помогает руководству определить, кому следует повысить зарплату, кого - повысить в должности, а кого - уволить. Оценка, особенно объективная, побуждает работников работать более результативно. Наличие соответствующей программы и гласность результатов ее выполнения развивают инициативу и вызывают чувство ответственности, стимулируют стремление работать лучше. Такая оценка служит юридической основой для переводов, продвижений по службе, награждений и увольнений, дает материал для разработки вопросов по найму, позволяет получить необходимую информацию для определения размеров зарплаты и вознаграждения работникам.
Сегодня в некоторых организациях одним из важнейших принципов работы с кадрами является требование объективно оценивать управленческого работника по деловым и личностным качествам. Понятно, что для этого необходимо сформировать соответствующие качественные критерии.
По общему признанию специалистов в области управления любой управленец должен обладать рядом обязательных деловых качеств. К ним обычно относят:
знание производства - его технических и технологических особенностей, современных направлений развития;
знание экономики - методов планирования, экономического анализа и т. п.
умение выбирать методы и средства достижения наилучших результатов производственно-хозяйственной деятельности при наименьших финансовых, энергетических и трудовых затратах;
наличие специальных знаний в области организации и управления производством (теоретических основ, передовых методов и форм, рекомендаций современной отечественной и зарубежной науки управления), а также умение применять их в своей практической деятельности;
способность рационально подбирать и расстанавливать кадры;
умение мобилизовать коллектив на решение поставленных задач;
способность и умение поддерживать дисциплину и отстаивать интересы дела;
умение целесообразно планировать работу аппарата управления;
распределять права, полномочия и ответственность между подчиненными;
координировать деятельность всех служб и подразделений как единой системы управления организацией;
умение планировать и организовывать личную деятельность, сочетать в ней основные принципы управления, применять в зависимости от ситуации наиболее целесообразные и эффективные стиль и методы работы;
умение проявлять высокую требовательность к себе и подчиненным;
конкретность и четкость в решении оперативных вопросов и повседневных дел;
учитывать и контролировать результаты своей работы и работы коллектива;
стимулировать работников, принимать на себя ответственность в осуществлении своих решений;
устранять и не допускать любые проявления бюрократизма в своей работе и работе подчиненных.
В условиях рыночной экономики предъявляются повышенные требования и к личностным качествам управленческого работника. В кадровой работе ряда организаций методические материалы содержат перечень таких качеств управленческих работников, как:
честность, справедливость,
умение работника наладить доброжелательные отношения с подчиненными,
выдержанность и тактичность при любых обстоятельствах,
целеустремленность,
принципиальность,
решительность в принятии управленческих решений,
а также настойчивость и энергичность в их реализации,
умение отстоять свое мнение,
самокритичность в оценках своих действий и поступков,
умение выслушивать советы подчиненных,
правильное восприятие критики с умением делать соответствующие выводы,
умение держать слово и не обещать того, что не будет выполнено,
умение пользоваться своими правами и полномочиями, особенно в случаях применения административного и организационного воздействия,
а также умение личным примером и поведением в повседневной жизни положительно воздействовать на подчиненных.
Система оценки результативности труда должна обеспечивать точные и достоверные данные. Чем она строже и определенней, тем выше вероятность получить достоверные и точные данные. Специалисты рекомендуют создавать основу для такой системы в шесть этапов:
установить стандарты результативности труда по каждому рабочему месту и критерии ее оценки;
выработать политику проведения оценок результативности труда, то есть решить, когда, сколь часто и кому следует проводить оценку;
обязать определенных лиц производить оценку результативности труда;
вменить в обязанности лицам, производящим оценку, собирать данные по результативности труда работников;
обсудить оценку с работником;
6. принять решение и задокументировать оценку.
Оценка результатов труда – это важный этап управления кадрами, решающий целый ряд задач, которые могут быть охарактеризованы как административные, информационные и мотивационные.
1. Решение административных задач означает, что результаты оценки дают информацию о работниках, на основании которой они могут быть повышены или понижены в должности, переведены на другую работу, уволены из организации, им может быть изменен уровень или система оплаты труда.
Продвижение по службе служит двум целям: позволяет предприятию заполнить имеющиеся вакансии; позволяет работникам удовлетворить стремление к успеху, самовыражению, признанию.
Понижение работников по службе возникает, когда показатели оценки труда не соответствуют требованиям и исчерпаны возможности достижения заданных показателей.
Перевод с одной работы на другую возникает тогда, когда предприятие хочет использовать работников более эффективно в других должностях или расширить его опыт. Иногда перевод используется, когда работник работает неудовлетворительно, но в связи с его стажем, заслугами, организация считает неэтичным и негуманным уволить его с работы.
Прекращение трудового договора (увольнение) наступает в тех случаях, когда работнику сообщили оценку его труда и предоставили возможности для ее улучшения, но он не хочет или не может работать по стандартам организации.
Решение информационных задач означает, что оценка служит источником информации об эффективности работы сотрудников как для руководителей, так и для самих работников. Имея такую информацию, руководители могут принимать решения или осуществлять определенные воздействия на подчиненных. Например, сотрудника, у которого выявлен недостаток знаний, могут направить на учебу, повышение квалификации; сотрудника, у которого выявлены способности, которые раньше были в «тени», могут перевести на другой участок работы для того, чтобы он мог реализовать их.
Решение мотивационных задач обеспечивается за счет того, что положительные результаты оценки, как правило, вызывают у человека чувство удовлетворения, гордости, уверенности в своих силах. Кроме того, со стороны руководителя по результатам оценки работник может получить вознаграждение или благодарность, со стороны коллег – признание и уважение. Отрицательные результаты оценки могут подвигнуть работника на улучшение результата его труда.
Следует отметить, что к оценке персонала могут привлекаться как непосредственные руководители оцениваемых, так и другие начальники, коллеги, подчиненные, специалисты кадровых служб, внешние консультанты и, наконец, сам оцениваемый (самооценка). Таким образом, минимальное знакомство с методами оценки персонала всех работников – гарантия того, что применяемые методы дадут ожидаемый эффект.
Совершенствование систем управления персоналом в компаниях, работающих в России, характеризуется усилением интереса к освоению эффективных процедур оценки и аттестации персонала.
Все методы оценки можно разделить на методы индивидуальной оценки работников, которые основаны на исследовании индивидуальных качеств работника, и методы групповой оценки, которые основаны на сравнении эффективности работников внутри.
Многие методы оценки, которые используются сегодня, сложились еще в прошлом веке. Однако в ходе эволюции эти методы подверглись значительной трансформации.
Итак, перейдем к обсуждению наиболее распространенных методов оценки персонала.
В ниже приведенных таблицах указаны наиболее распространенные методы оценки персонала и характеристики их применения.
Таблица 1
Методы оценки персонала
|
Название метода |
Краткое описание метода |
Результат |
|
Источниковедческий (биографический) |
Анализ кадровых данных, листок по учету кадров, личные заявления, автобиография, документы об образовании, характеристика. |
Логические заключения о семье, образовании, карьере, чертах характера. |
|
Интервьюирование (собеседование) |
Беседа с работником в режиме «вопрос-ответ» по заранее составленной или произвольной схеме для получения дополнительных данных о человеке. |
Вопросник с ответами. |
|
Анкетирование (самооценка) |
Опрос человека с помощью специальной анкеты для самооценки качеств личности и их последующего анализа. Оценочная анкета представляет собой определенный набор вопросов и описаний. Оценивающий анализирует наличие или отсутствие указанных черт у аттестуемого и отмечает подходящий вариант. |
Анкета «вакансия» |
|
Социологический опрос |
Анкетный опрос работников разных категорий, хорошо знающих оцениваемого работника (руководители, коллеги, подчиненные) и построение диаграммы качеств личности |
Анкета социологической оценки, диаграмма качеств |
|
Наблюдение |
Наблюдение за оцениваемым работником в неформальной обстановке и в рабочей обстановке методами моментных наблюдений и фотографии рабочего дня |
Отчет о наблюдении |
|
Тестирование Тестирование |
Определение профессиональных знаний и умений, способностей, мотивов, психологии личности с помощью специальных тестов с последующей их расшифровкой с помощью «ключей». Для оценки работника могут быть применены и различные тесты. По своему содержанию они разделяются на три группы: - квалификационные, позволяющие определить степень квалификации работника; - психологические, дающие возможность оценить личностные качества работника; - физиологические, выявляющие физиологические особенности человека. Положительные стороны тестовой оценки в том, что она позволяет получить количественную характеристику по большинству критериев оценки, и возможна компьютерная обработка результатов. Однако, оценивая потенциальные возможности работника, тесты не учитывают, как эти способности проявляются на практике. |
Психологический портрет Психологический портрет |
|
Экспертные оценки |
Формирование группы экспертов, определение совокупности качеств и получение экспертных оценок идеального и реального работника |
Модель рабочего места |
|
Критический инцидент |
Создание критической ситуации и наблюдение за поведением человека в процессе ее разрешения (конфликт, принятие сложного решения и т.д.) |
Отчет об инциденте и поведении человека |
|
Деловая игра Деловая игра |
Проведение организационно-деятельностной игры, анализ знаний и умений, ранжирование игроков по их ролям («генератор идей», «организатор», «критик», «эксперт», «наблюдатель» и др.) и оценка способности работы в малой группе. Оценка персонала осуществляется в рамках специально разработанных имитационных и развивающих деловых игр. К оценке привлекаются как сами участники деловых игр, так и эксперты-наблюдатели. Аттестационные деловые игры проводятся, как правило, на результат, что позволяет оценить готовность персонала к решению текущих и будущих задач, а также индивидуальный вклад каждого участника игры. Этот метод оценки может использоваться для определения эффективности командной работы персонала. |
Отчет об игре. Оценки игроков и их ролей Отчет об игре. Оценки игроков и их ролей |
|
Анализ конкретных ситуаций |
Передача работнику конкретной производственной ситуации с заданием проведения анализа и подготовки предложений по ее разрешению в форме доклада |
Доклад с альтернативами решения ситуации |
|
Ранжирование |
Сравнение оцениваемых работников между собой другими методами и расположение по выбранному критерию в порядке убывания или возрастания рангов (мест в группе) |
Ранжированный список работников (кандидатов) |
|
Программированный контроль |
Оценка профессиональных знаний и умений, уровня интеллекта, опыта и работоспособности с помощью контрольных вопросов |
Карта программированного контроля, оценка знаний и умений |
Таблица 2
Характеристики применения
|
Характе- |
Аттеста- |
Ранжирова- |
Оценочные шкалы |
Оценка по результатам (МВО) |
Социо- |
Assessment Center |
|
Количест- |
Нет |
Частично |
Есть |
Частично |
Есть |
Частично |
|
Трудоемкость |
Высокая |
Низкая |
Низкая |
Высокая |
Средняя |
Высокая |
|
Приемлемость для сотрудников |
Средняя |
Низкая |
Средняя |
Высокая |
Высокая |
Высокая |
|
Приемлемость для руководителя |
Средняя |
Высокая |
Высокая |
Высокая |
Высокая |
Высокая |
|
Полезность для обоснования вознаграждений |
Низкая |
Средняя |
Средняя |
Высокая |
Низкая |
Низкая |
|
Полезность для обсуждения с сотрудниками |
Низкая |
Низкая |
Средняя |
Очень высокая |
Высокая |
Высокая |
|
Полезность для определения потенциала к росту |
Средняя |
Низкая |
Низкая |
Высокая |
Высокая |
Очень высокая |
Едва ли не самое сложное при проведении аттестации – выработать критерии оценки. Предметами оценки могут быть:
выполнение должностных обязанностей;
особенности поведения;
эффективность деятельности;
уровень достижения целей;
уровень компетентности;
особенности личности и т.п.
При выборе предмета оценки следует понимать, насколько организация способна определить стандарты. Например, при отсутствии четко определенных должностных обязанностей оценить выполнение должностных обязанностей конкретным сотрудником можно лишь приблизительно, при этом не исключено, что результат будет поверхностным и субъективным.
На подготовительном этапе необходимо ответить на следующие вопросы:
Что конкретно мы оцениваем?
Каковы критерии оценки?
Какая информация у нас имеется?
Основными объектами оценки при аттестации персонала могут быть:
Результаты труда за определенный период времени.
2. Те или иные стороны деятельности или отношение к своим обязанностям.
3. Черты личности, связанные с выполнением рабочих или служебных функций.
4. Потенциальные способности к соответствующей работе.
Нужно иметь в виду, что вследствие различия функций эти моменты имеют неодинаковое значение и формы проявления для различных категорий персонала. В соответствии с этим объективно должны различаться основные факторы и показатели самой оценки.
Под факторами оценки здесь понимается набор характеристик оцениваемого, позволяющий получить адекватное представление о нем, а под показателями – степень выраженности этих характеристик. Кроме того, необходимо выделить такое ключевое понятие, как критерий оценки. Это своего рода порог, за которым состояние фактора оценки будет удовлетворять или не удовлетворять неким требованиям.
Факторы оценки делятся на основные и дополнительные. К основным относятся те, без которых невозможно составить представление о субъекте и расшифровать содержание его оценки. Дополнительные факторы помогают глубже раскрыть и уточнить это содержание. Они бывают как самостоятельным, т.е. «заполняющими пробелами» между основными, так и вспомогательными, уточняющими последние.
Установление факторов оценки не означает, что всем им в обязательном порядке должны соответствовать качества работника, так как они являются ориентирами для нее. В то же время отсутствие четкости и конкретности в критериях и факторов оценки приводит к тому, что на практике разные руководители при оценке одних и тех же качеств подчиненных подходят с разных, а иногда и с противоположных позиций. В результате работники теряют ориентировку, из-за чего снижается эффективность их деятельности.
Рассмотрим основные факторы оценки, применимые к большинству работников. К ним можно отнести: профессиональные (знания, опят, навыки); моральные (трудолюбие, принципиальность, честность, обязательность, самокритичность); волевые (энергичность, упорство, работоспособность); деловые и организаторские (инициативность, целеустремленность, самостоятельность, собранность, исполнительность, дисциплинированность, лидерские задатки, оперативность, творческий поход к делу); потенциальные способности, т.е. качества, которые не раскрыты, но, вероятно, раскроются в будущем (в данный момент определяются на основе тестирования). При этом люди аттестуются только с точки зрения содержания работы. Личность человека как таковая оценке не подлежит, иными словами, нельзя делать выводы, хорошим он является в целом или плохим.
Если рассматривать вопрос более конкретно, в качестве основных факторов оценки руководителей можно назвать моральные и волевые качества, эрудицию, организаторские способности, общие итоги работы организации или подразделения. Причем при оценке руководителей функциональных служб речь идет об управленческих итогах, а линейных – о производственных с учетом «цены» этих результатов.
Для специалистов факторами оценки будут компетентность, творческая активность, потенциальные возможности, умение излагать свои мысли. Результаты их труда могут оцениваться степенью достижения поставленных целей, своевременностью, оперативностью, полнотой и качеством выполнения заданий. Основным фактором оценки квалификации работника является производственный стаж; деловые качества количественной оценке не поддаются.
Основной фактор оценки работы вспомогательного персонала – количество перерабатываемой информации.
В специальной литературе приводятся, например, такие рекомендации по факторам оценки работников промышленных предприятий:
для директора – объем производства, себестоимость, производительность труда, прибыль, рентабельность;
для заместителя директора по персоналу – текучесть кадров (основной фактор), дисциплина (число прогулов), объем реализации, оборачиваемость средств, на которые влияет состояние персонала;
для главного инженера – использование мощностей (основной фактор), коэффициент сменности, качество продукции, снижение материальных и трудовых затрат, рост производительности;
для начальника отдела кадров – их текучесть, укомплектованность (главный фактор), число прогулов, состояние подготовки и повышение квалификации кадров;
для мастера – выполнение задания по объему производства, рост производительности, качество продукции, дисциплина труда.
Деятельность людей оценивается по таким факторам, как комплектность, масштабность. Управленческая и технологическая сложность.
Сложность труда работника управления оценивается по таким факторам, как содержание работы, разнообразность, самостоятельность, масштабы и сложность руководства, характер и степень ответственности, соотношение творческих и стандартных процедур.
При оценке стандартных работ можно пользоваться затратами времени на выполнение основных обязанностей, поэтому важно разделять работы на свойственные и несвойственные должности, планируемые и не планируемые, нормируемые и ненормируемые.
Саму оценку затрат времени можно проводить, учитывая перечень и удельный вес следующих работ: свойственных данной должности, повторяющихся, планируемых, нормируемых, нестандартных и творческих.
Для измерения сложности труда и качеств работника могут применяться следующие методы:
- Описательная характеристика труда или работника.
- Характеристика, исходящая из идеальных критериев (реальные работники сопоставляются с ними и фиксируются отличия), но в этом случае сложно определить идеал.
- Сравнение с реальными критериями – другими видами труда или работниками (индивидуальные, парные, групповые сравнения).
В некоторых организациях аттестация проходит по трем направлениям:
1. Оценка деятельности включает в себя выполнение должностных обязанностей, выполнение плана работ (сроки, качество), достижение поставленных задач. В организации четко определены должностные обязанности (ясно, с чем сравнивать), есть план-график работ (фиксируется выполнение заданий), сотрудники имеют четкие задачи. Аттестация проходит быстро и объективно. Надо помнить, что, чем слабее организационная основа оценки деятельности, тем сложнее получить объективный результат.
2. Оценка квалификации заключается в «экзамене» – работники в письменной форме отвечают на вопросы по специальности. (Возможна и устная форма – необходимо только стандартизовать ее.) Опросник заранее подготовлен и согласован с ведущими специалистами, определено, какой результат «экзамена» приемлем для специалистов различной квалификации.
3. Оценка личности. Организация использует систему Томаса. Система Томаса позволяет оценить основные поведенческие характеристики человека, сопоставить их с поведенческими требованиями к данной должности, оценить взаимоотношения в коллективе. В результате можно:
а) сравнив личностные требования, предъявляемые к должности, с фактическими личностными особенностями сотрудника, занимающего данную должность, разработать для сотрудника программу обучения и развития;
б) при наличии стрессовых или конфликтных ситуаций определить причины и пути устранения конфликтов;
в) при наличии существенных претензий к деятельности сотрудника оценить, одинаково ли работник и его руководитель понимают поведенческие требования, предъявляемые к данной должности;
г) избегая субъективизма, построить структурированное аттестационное интервью.
Такое проведение аттестации позволяет получить и формализовать комплексную информацию о работнике. Однако для многих компаний этот вариант мало применим, особенно на первых порах, когда только начинается внедрение процесса аттестации. Например, если в компании нет четкого плана работ (доведенного до каждого сотрудника) или не фиксируются случаи отклонения от плана, оценка деятельности может оказаться непонятной как руководителю, так и подчиненному. Разработка миниэкзамена по специальности – также процесс трудоемкий, требующий высокого уровня квалификации экзаменатора.
Вышесказанное, безусловно, не означает, что от аттестации следует отказаться вообще. Следует лишь отказаться от распространенного подхода: разработаем положение об аттестации, несколько бланков, чтобы создать видимость формализации, соберем руководителей и будем по очереди вызывать подчиненных на собеседование. Как только организация достигла того уровня развития, когда проведение аттестации ставится на повестку дня, следует в соответствии с поставленными целями определить свои возможности и приступить к выбору метода.
Подготовка и проведение аттестации.
После того как определена цель проведения аттестации и выбран метод, стоит просчитать, во что обойдется процедура аттестации. Сделать это достаточно просто – умножить количество планируемых человеко-часов (на подготовку и проведение) на почасовую заработную плату, прибавить к этому недополученную прибыль (так как во время аттестации работник не будет выполнять основные должностные обязанности), прибавить организационные расходы (печать бланков, обработка материалов). Если полученная сумма представляется разумной, можно начинать подготовку. Если цель не оправдывает средства, стоит пересмотреть масштабы аттестации, число и ранг вовлеченных в процедуру менеджеров, подобрать более простые методы.
Когда окончательное решение принято, необходимо:
Подготовить Положение об аттестации (Приложение 1). Имеет смысл проконсультироваться с юристом, так как возможные изменения (должность, оклад) в результате аттестации должны быть юридически грамотно оформлены.
Ознакомить заранее всех сотрудников с целями, датой и методом аттестации, чтобы избежать естественного страха и негативного отношения. Подчеркнуть положительные моменты аттестации.
Составить план аттестации (подготовка, проведение, анализ результатов).
Обязательно предусмотреть обратную связь – каждый сотрудник имеет право знать о результатах своей аттестации и, в случае несогласия, обсудить спорные моменты с руководителем.
Процесс аттестации кадров можно разделить на четыре основных этапа:
Подготовительный этап: подготовка приказа о проведении аттестации, утверждение аттестационной комиссии, подготовка и размножение документации, информирование трудового коллектива о сроках и особенностях аттестации.
Формирование состава аттестационной комиссии и его утверждение: директор по персоналу (председатель), начальник отдела кадров (зам.председателя), руководитель подразделения, где проходит аттестация (член), юристконсульт (член), социальный психолог (член).
Основной этап: организация работы аттестационной комиссии по подразделениям предприятия, оценка индивидуальных вкладов работников, заполнение анкет, компьютерная обработка результатов.
Заключительный этап: подведение итогов аттестации, принятие персональных решений о продвижении работников, направлении на учебу, перемещении или увольнении сотрудников, не прошедших аттестацию.
От аттестации освобождаются руководители и специалисты, проработавшие в данной должности менее года, беременные женщины, женщины, имеющие ребенка до года и др.
Субъект оценки – лицо, группа лиц, орган, которым предопределено право проводить оценку работников. Чаще всего в качестве субъекта оценки выступает аттестационная комиссия. Аттестационная комиссия возглавляется председателем, (в состав входят члены комиссии и секретарь). В качестве членов комиссии привлекаются руководящие работники, ведущие специалисты различных структурных подразделений предприятия, представители общественности (профсоюза), эксперты высококвалифицированные специалисты, уполномоченные для проведения оценки. В качестве экспертов могут выступать, работники данного подразделения, хорошо знающие аттестуемого. Состав аттестационной комиссии не более 5 - 6 человек.
Среди работников предприятия проводится разъяснительная, работа о задачах аттестации, ознакомление с методикой проведения, порядком подготовки необходимых документов. График проведения аттестации доводится до работников не менее чем за один месяц до начала аттестации, а документы в комиссию должны представляться не менее чем за две недели аттестации. Это чаще всего аттестационный лист и отзыв-характеристика.
Аттестационный лист (Приложение 1-3 к положению об аттестации руководителей и специалистов) содержит объективную информацию о работнике: образование, стаж работы по специальности на предприятии, в должности и т.д. Данная информация готовится работниками кадровой службы.
Отзыв-характеристика отражает обобщенные результаты оценки деятельности работника, анкетного опроса о поведении работника в коллективе, оценка работника руководителем. Регулярное проведение экспертной оценки проведения аттестуемых возлагается на специалистов кадровой (социологической) службы. Ответственность за учет и оценку деятельности работника несет руководитель подразделения. Отзыв-характеристика обсуждается на собрании коллектива. Работник должен быть ознакомлен с ней не менее чем за неделю до аттестации под роспись. Отзыв-характеристика передается в кадровую службу или непосредственно в аттестационную комиссию. Аттестационная комиссия рассматривает представленные ей документы, заслушивает сообщение о работнике, о достигнутых успехах и недостатках, результатах текущих оценок.
При неявке аттестуемого на заседание аттестационной комиссии без уважительных причин комиссия может провести аттестацию в его отсутствие.
Оценка работы аттестуемого принимается с учетом: личного вклада в выполнение планов работы предприятия, совершенствованию организации труда и производства, соблюдение трудовой дисциплины, квалификации и исполнения должностных обязанностей, установленных в соответствии с квалификационным справочником должностей служащих.
На основании этого, с учетом обсуждения в отсутствие аттестуемого открытым голосованием дает одну из следующих итоговых оценок:
а) соответствует занимаемой должности;
б) соответствует занимаемой должности при условии улучшения работы и выполнения рекомендаций аттестационной комиссии с повторной аттестацией через год;
в) не соответствует занимаемой должности.
Работника знакомят с решением комиссии (Приложение 6 к положению об аттестации руководителей и специалистов), указывая на сильные и слабые стороны его работы. Комиссия может дать рекомендации в отношении его продвижения (профессиональном росте) или о необходимости повышения квалификации.
Заседание аттестационной комиссии протоколируется (Приложение 7 к положению об аттестации руководителей и специалистов).
Материалы аттестации передаются руководителю предприятия для принятия решения. Аттестационный лист и отзыв-характеристика хранятся в его личном деле.
Руководство предприятия, общественных организаций и отдел кадров подводят итоги аттестации, разрабатывают план работы с кадрами руководителей и специалистов на следующий аттестационный период.
На основании собранных в ходе аттестационной процедуры данных можно решать ряд управленческих задач. Первая группа задач может быть решена только на основании аттестационных данных, без всякой дополнительной информации, вторая требует дополнительной информации о прямых и косвенных результатах хозяйственной деятельности предприятия или организации.1
Аттестационные комиссии по окончании аттестации подводят итоги и представляют руководителю предприятия отчет с анализом расстановки трудовой активности аттестованных кадров. Выводы и предложения по дальнейшему совершенствованию работы с кадрами и организации проведения аттестации.
Важно, чтобы аттестация работников проходила в доброжелательной обстановке, чтобы комиссия осознавала свою ответственность в обеспечении объективности оценки.
Эффективность аттестации возрастает, если с ней связаны определенные правовые последствия: поощрение, перевод на более высокую должность, увольнение и др. Поэтому по итогам аттестации издается приказ, которым утверждаются ее результаты, решения об изменениях в расстановке кадров, о должностных окладах, зачислении перспективных работников в резерв на повышение, поощряются положительно аттестованные работники и т.д.
Результаты аттестации обсуждаются на производственных собраниях, совещаниях совместно с профсоюзной организацией, анализируются итоги аттестации, соблюдение порядка и условий ее проведения, принимаются решения по устранению выявленных недостатков.
Таблица 2
|
К Т О |
К О Г Д А |
п л ю с ы |
м и н у с ы |
|
Непосредственный руководитель |
Подходит в любых случаях. Наиболее подходит для цели «Деятельность». |
Имеет наилучшее представление о работе и работнике. Логическое завершение оценки сотрудника, имеющей место постоянно в течение года, и получение обратной связи. Дешево. |
Работник и так общается с руководителем постоянно. Нет притока «свежей крови». Субъективизм. Учет преимущественно целей подразделения, а не организации. |
|
Руководитель руководителя |
Два способа — участвует в процессе оценки руководителем или проводит самостоятельно. Используется, когда необходимо сравнивать деятельность в разных подразделениях или если цель — «Потенциал». |
«Честная игра». Оценка более стандартизована, так как позволяет избежать отпечатков особенностей множества линейных руководителей. Возможность работнику пообщаться с вышестоящим руководством. |
Требует больше затрат и времени. |
|
Представитель службы персонала |
Используется реже, чем предыдущие, или в сочетании с ними. Например, если отсутствует непосредственный руководитель, или для компании с матричной структурой, или при командной работе. Цель — «Деятельность». Идеально при оценке психологического климата. |
Подходит, когда нет другого варианта: например, компания работает, создавая команды под проекты, и каждый сотрудник взаимодействует с разными руководителями и коллегами в процессе работы. |
Очень сильная зависимость от квалификации представителя службы персонала. |
|
Самооценка |
Сотрудник сам себя оценивает. Используется при сравнении различных аспектов своей собственной деятельности. Используется редко, чаще является элементом системы. |
Помогает избежать субъективного отношения оценщиков. Если используется как часть системы, сравнение результатов самооценки и оценки руководителя может стать отправной точкой аттестационного интервью. |
Самостоятельное применение крайне ограничено изза возможности переоценки и неадекватного восприятия. |
|
Оценка равными (коллегами) |
Используется не очень часто из-за психологических проблем. Если используется, оценка осуществляется группой, результаты осредняются. |
У коллег более ясное понимание того, как оцениваемые выполняют работу. |
Коллеги могут не захотеть оценивать работу друг друга (воспринимается как «донос»). |
|
Оценка подчиненными |
Используется редко. Лучше всего подходит для цели «Потенциал». |
Показывает вышестоящим руководителям возможности оцениваемого и управленческие способности. Может использоваться для планирования карьеры или корректировки деятельности оцениваемого. |
Подчиненные знают не все аспекты работы руководителя. Руководители могут возражать против оценки из-за боязни подрыва авторитета. Подчиненные опасаются, что их оценки идентифицируют и последуют репрессии. |
|
Центр оценки (ассесмент) |
Используется для цели «Потенциал». Оцениваются преимущественно руководители. |
Позволяет учитывать больше факторов, чем при сравнении со стандартами выполнения работы. Очень хорошо для решения о продвижении. |
Дорого. Не всегда в компании есть специалисты должной квалификации (предполагается участие нескольких «оценщиков»). Привлечение внешних консультантов. |
4. Особенности аттестации персонала в корпорациях и организациях.
4.1. Особенности аттестации персонала в ОАО «Московская городская телефонная сеть».
Проблемы повышения эффективности использования человеческих ресурсов – предмет особого внимания органов управления коллектива общества.
При оценке сложности и качества работы служащих учитываются особенности деятельности различных должностных и профессионально-квалификационных групп этой категории работников и результативность их трудового вклада.
Аттестации подлежат служащие всех наименований и категорий в соответствии с приказом «Об утверждении номенклатуры должностей Генерального директора АО МГТС» (Приложение 2) и приказом отделения (филиала, обособленного подразделения) «Об утверждении номенклатуры должностей управляющего отделением (начальника, директора филиала, обособленного подразделения АО МГТС».
Аттестация служащих может носить очередной (регулятивный) и внеочередной характер.
Результатом аттестации служащих является установление соответствия их профессиональных и личностных качеств, а также достигнутых результатов деятельности предъявляемым работнику данной должности квалификационным требованиям в соответствии с квалификацией выполняемой ими работы. Основной характеристикой квалификации работника являются ее сложность и качество, которые оцениваются исходя из содержания труда (функции).
Оценка квалификационного уровня служащего осуществляется комплексно и основывается на учете специфики труда той или иной категории служащих и достигаемой результативности в работе. Оценка уровня квалификации служащих на основе рассмотрения их профессиональных и личностных качеств обязательно должна сопровождаться проведением анализа результатов труда.
По итогам проведения аттестации издается приказ (Приложение 3), в котором содержится краткий анализ положительных сторон и недостатков в ее проведении, утверждаются разработанные мероприятия по результатам аттестации.
4.2. Специфика аттестации государственных служащих.
В соответствии со статьей 24 Федерального закона «Об основах государственной службы Российской Федерации» и Положением о проведении аттестации федерального государственного служащего, утвержденным Указом Президента от 9 марта 1996 г., аттестации подлежат федеральные государственные служащие, замещающие в государственных органах младшие, старшие, ведущие, главные и высшие государственные должности федеральной государственной службы. Аттестация проводится не чаще одного раза в два года, но не реже одного раза в четыре года.
Аттестация проводится в федеральном органе государственной власти или его аппарате, а также ином государственном органе, образованном в соответствии с Конституцией.
Аттестации не подлежат служащие:
1) замещающие должность соответствующей группы менее года;
2) достигшие предельного возраста, установленного для замещения должности;
3) беременные женщины;
4) находящиеся в отпуске по уходу за ребенком;
5) в течение года с момента присвоения квалификационного разряда (классного чина, дипломатического ранга), назначения на должность по конкурсу и (или) сдачи государственного квалификационного экзамена, окончания повышения квалификации или переподготовки.
Аттестация призвана способствовать совершенствованию деятельности по подбору, повышению квалификации, расстановке федеральных государственных служащих, определению уровня их профессиональной подготовки и соответствия замещаемой должности, а также решению вопроса о присвоении конкретному лицу очередного квалификационного разряда.
Организация проведения аттестации федеральных государственных служащих возлагается на руководителей органов. Положением определено, что для проведения аттестации: формируется аттестационная комиссия; утверждается график проведения аттестации; составляются списки лиц, подлежащих аттестации; подготавливаются необходимые документы для аттестационной комиссии.
Аттестационная комиссия состоит из председателя, его заместителя, секретаря и членов комиссии. Руководитель органа привлекает к работе комиссии независимых экспертов. В состав аттестационной комиссии включаются представители кадровой и юридической служб государственного органа, а также может включаться представитель соответствующего профсоюзного органа.
График проведения аттестации утверждается руководителем органа и доводится до сведения каждого аттестуемого не менее чем за месяц до начала аттестации. В графике указываются: наименование государственного органа, подразделения, в котором проводится аттестация; дата и время проведения аттестации; дата представления в аттестационную комиссию необходимых документов с указанием ответственных за это руководителей подразделений государственного органа.
Не позднее чем за две недели до начала проведения аттестации в аттестационную комиссию представляется отзыв на подлежащего аттестации, подписанный его непосредственным руководителем и утвержденный вышестоящим руководителем Отзыв составляется по установленной Положением форме. В нем отражаются: замещаемая им должность на момент проведения аттестации и дата назначения на нее; перечень основных вопросов, в решении которых он принимал участие; мотивированная оценка его профессиональных, личностных качеств и результатов служебной деятельности. При каждой последующей аттестации в аттестационную комиссию представляются отзыв о служащем и его аттестационный лист с данными предыдущей аттестации.
Кадровая служба государственного органа не менее чем за неделю до начала аттестации должна ознакомить каждого аттестуемого с отзывом о его служебной деятельности. При этом он вправе представить в аттестационную комиссию дополнительные сведения о служебной деятельности за предшествующий период, а также заявление о своем несогласии с представленным отзывом.
Положением определен порядок проведения аттестации.
Аттестация проводится в присутствии аттестуемого. В случае его неявки на заседание аттестационной комиссии без уважительных причин она может провести аттестацию в его отсутствие.
Аттестационная комиссия рассматривает представленные документы, заслушивает сообщения аттестуемого и в случае необходимости его непосредственного руководителя. Аттестационная комиссия в целях объективности после рассмотрения представленных аттестуемым дополнительных сведений о его служебной деятельности и его заявления о несогласии с отзывом вправе перенести аттестацию на очередное заседание комиссии. Обсуждение профессиональных и личностных качеств аттестуемого должно быть объективным и доброжелательным.
В результате аттестации федеральному государственному служащему дается одна из следующих оценок:
соответствует замещаемой государственной должности;
2) соответствует замещаемой государственной должности при условии выполнения рекомендаций аттестационной комиссии по его служебной деятельности;
3) не соответствует замещаемой государственной должности.
Результаты аттестации заносятся в аттестационный лист, оформленный по установленной Положением форме (Приложение 4). Этот документ подписывается председателем, заместителем председателя, секретарем и членами аттестационной комиссии, присутствующими на заседании и принимающими участие в голосовании. С аттестационным листом служащий знакомится под расписку. Другие документы по результатам аттестации не оформляются.
Аттестационный лист и отзыв хранятся в личном деле государственного служащего.
Результаты аттестации представляются руководителю органа не позднее чем через семь дней после ее проведения, и он может принять одно из следующих решений:
о повышении федерального государственного служащего в должности;
о присвоении ему в установленном порядке очередного квалификационного разряда;
об изменении служащему надбавки за особые условия службы (сложность, напряженность, специальный режим работы);
о включении служащего в резерв на выдвижение на вышестоящую государственную должность.
Федеральный государственный служащий в случае признания его не соответствующим замещаемой должности направляется на повышение квалификации или переподготовку либо, с его согласия, переводится на другую государственную должность. При его отказе от повышения квалификации, переподготовки или перевода на другую государственную должность руководитель органа вправе принять решение об увольнении служащего в соответствии с трудовым законодательством.
После проведения аттестации издается приказ (распоряжение или иной акт) государственного органа или его руководителя, в котором анализируются результаты проведения аттестации, утверждаются мероприятия по проведению очередной аттестации и улучшению работы с кадрами.
5. Система управления персоналом в ОАО «МТК»
5.1. Характеристика предприятия
ОАО «Мурманский тарный комбинат» стал родоначальником промышленного производства тары, предназначаемой для обеспечения нужд рыбной промышленности: деревянных бочек и ящиков, позднее - картонных ящиков и металлических консервных банок.
С середины 80-х годов комбинат активно осваивает выпуск новой продукции - многокрасочной металлической упаковки, продолжая и возрождая сложившуюся еще в 19 веке в России традицию русских кондитеров помещать в металлические ларцы с литографией и росписью самые вкусные и изысканные сладости, которые являлись лицом и гордостью производителя. Сегодня Мурманский тарный комбинат вышел в лидеры по производству металлической многоцветной упаковки в России, неоднократно на международных выставках завоевывало золотые медали: в 1997 г. - в Новосибирске, в 1998 - в Санкт-Петербурге, в 2001 - в Москве.
Более двухсот предприятий на всей территории страны от Калининграда до Сахалина, от Мурманска до Ставропольского края стали потребителями продукции комбината, используя ее для упаковки конфет, печенья, зефира, мороженого, чая, кофе, водки, коньяка, новогодних подарков, рыбных и мясных консервов, лакокрасочной продукции, крема для обуви.
Жестяная упаковка обеспечивает сохранность хрупкой продукции при складировании и транспортировке, бережет аромат продукта и не дает ему отсыреть, эксклюзивный «фирменный» дизайн является гарантией от подделки.
ОАО «Мурманский тарный комбинат» – одно из основных (по численности и объёму производства) предприятий в городе. Общество создано путем преобразования Товарищества с ограниченной ответственностью «Мурманский тарный комбинат» в соответствии с Законом РФ «Об обществах с ограниченной ответственностью», является его правопреемником, несет права и обязанности, возникшие у указанного предприятия до момента его преобразования в акционерное общество. В настоящее время завод является акционерным обществом открытого типа, которое одним из первых (чем большинство других) начало у себя путь к развитию рыночных преобразований.
С переходом к системе рыночных отношений завод, хоть и приобрел элементы рыночной модели, но вместе с тем сохранил тип традиционной советской модели: сосредоточение фактической власти в руках одного лица – генерального директора. Изменение общественно-политического строя, форм собственности, переход на рыночные отношения с иной системой ценообразования, финансовой, кредитной и налоговой жесткостью – все это объективно влияет на ход производственного процесса всего завода в целом, на психологию личности, как производителей, так и подчиненных.
Сегодня комбинат является несомненным лидером в производстве многокрасочной металлической упаковки России. Потребителями этой продукции являются более ста предприятий, расположенных почти на все территории страны. Металлическая упаковка для кондитерских изделий комбината завоевала в конкурентной борьбе с производителями из Дании, Венгрии, Польши золотые медали на международных выставках в Новосибирске (1997г.), Санкт-Петербурге (1998г.), Москве (2001г).
5.2. Организационная структура управлением предприятия
Органами управления общества являются:
Общее собрание акционеров;
Совет директоров;
Единоличный исполнительный орган – Генеральный директор.
Совет директоров избирается общим собранием акционеров в порядке, предусмотренном Уставом и положениями об общем собрании акционеров, совете директоров.
Единоличный исполнительный орган, в лице Генерального директора избирается общим собранием акционеров в соответствии с положениями, утверждаемыми общим собранием акционеров:
об общем собрании акционеров;
о совете директоров.
Руководство текущей деятельностью общества осуществляется Генеральным директором (Единоличным исполнительным органом) Общества. К компетенции Единоличного исполнительного органа Общества относятся все вопросы руководства текущей деятельностью общества, за исключением вопросов, отнесенных к исключительной компетенции общего собрания акционеров и совета директоров общества. Генеральный директор организует выполнение решений общего собрания акционеров и совета директоров общества.
5.3. Анализ положения о коллективном договоре на предприятии
Коллективный договор – это правовой акт, регулирующий трудовые, социально экономические и профессиональные отношения между работодателем (его администрацией) и работниками на предприятии, т.е. трудовым коллективом.
Уровень активности трудового коллектива в разработке, обсуждении и выполнении коллективного договора влияет и на его эффективность в решении вопросов труда, быта, социального развития трудового коллектива. Коллективный договор ныне является важнейшим правовым актом, приспособленным к конкретным условиям данного производства и трудовому коллективу. Он имеет смешанную юридическую природу, поскольку коллективный договор – правовой акт, устанавливающий согласие работодателя (администрации) и работников (трудового коллектива) как социальных партнеров на конкретном производстве, в котором закрепляются локальные нормы, повышающие социальные гарантии. Следовательно, коллективный договор – это не только правовой акт, но и акт социального партнерства на уровне предприятия между работниками и работодателями. Он является также морально-политическим актом, так как определяет и условия поведения сторон.
Коллективный договор комбината (Приложение 6) является документом, гарантирующим защиту прав и интересов различных профессиональных групп трудящихся предприятия. Администрация, согласно деятельности предприятия и его организационных структур, признает профсоюзный комитет в качестве единственного и полномочного представителя трудового коллектива в коллективных переговорах по вопросам регулирования трудовых отношений, норм труда и оплаты труда, условий найма, социальных льгот и гарантий работников.
Содержание коллективного договора – это все его условия, о которых стороны договорились при его заключении. Эти условия определяют права и обязанности сторон и ответственность за их нарушение.
Примерный перечень вопросов, по которым могут включаться взаимные обязательства сторон:
оплата труда – форма, система и размер оплаты труда, денежные вознаграждения, компенсации и доплаты, механизм регулирования оплаты с учетом роста цен, инфляции, выполнения показателей, установленных коллективным договором.
обеспечение занятости – занятость, переобучение, условия высвобождения работников.
рабочее время и время отдыха – их продолжительность, отпуска, льготы для совмещающих работу с обучением.
охрана труда – улучшение условий и охраны труда работников, в том числе женщин и молодежи.
5.4. Квалификационный уровень персонала ОАО «МТК»
Сегодня на комбинате работает 740 человек, из которых 16% – ИТР. (рис.5.4.1)
Кадровый состав ОАО «Мурманский тарный комбинат» сформирован:
по качественному составу:
мужчины - 38%
женщины - 62%;
по возрастным группам:
до 30 лет - 13%
от 31 до 40 лет - 21%
от 41 до 50 лет - 50%
от 51до 55 лет - 13%
старше 55 лет - 3%; (рис.5.4.2)
по уровню образования:
высшее - 8%
среднее профессиональное - 34%
среднее общее - 49%
ниже среднего - 9% (рис.5.4.4)
по профессиональной категории:
руководители - 7%
специалисты - 9%
служащие - 2%
рабочие – всего - 82% (рис.5.4.3)
Генеральный директор - руководит всеми видами деятельности предприятия. Организует работу и эффективное взаимодействие производственных единиц, цехов и других структурных подразделений предприятия, направляет их деятельность на достижение высоких темпов развития и совершенствование производства; повышение производительности труда, эффективности производства и качества продукции на основе широкого внедрения новой техники, научной организации труда, производства и управления. Принимает меры по обеспечению предприятия квалифицированными кадрами, по наилучшему использованию знаний и опыта работников, созданию безопасных и благоприятных условий для их труда. Директор должен знать: постановления, распоряжения, приказы, другие руководящие и нормативные материалы вышестоящих органов, касающиеся деятельности предприятия; профиль, специализацию и особенности структуры предприятия; технологию производства продукции комбината; методы хозяйствования и управления предприятием.
Квалификационный уровень: высшее техническое образование и стаж работы на руководящих должностях в соответствующей профилю предприятия отрасли экономики не менее 5 лет.

Рис.5.4.1 Численность работников ОАО «МТК»

мужчины
женщины
до 30 лет
от 31 до 40 лет
от 41 до 50 лет
от 51до 55 лет
старше 55 лет
Рис.5.4.2 Структура персонала ОАО «МТК» по качественному составу.

Рис.5.4.3 Структура персонала ОАО «МТК» по профессиональной категории.

Рис.5.4.4 Структура персонала ОАО «МТК» по уровню образования.
Главный бухгалтер – обеспечивает рациональную организацию учета и отчетности на предприятии на основе прогрессивных форм и методов бухгалтерского учета и контроля. Организует также расчеты по зарплате с работниками предприятия, правильное начисление и перечисление платежей в государственный бюджет. Принимает меры по предупреждению недостач, незаконного расходования денежных средств и товарно-материальных ценностей, нарушений финансового и хозяйственного законодательства. Обеспечивает своевременное составление бухгалтерской отчетности на основе данных первичных документов и бухгалтерских записей. Руководит работниками бухгалтерии предприятия. Гл. бухгалтер должен знать: постановления, распоряжения, приказы вышестоящих органов, методические, нормативные и другие руководящие материалы финансовых и контрольно-ревизионных органов по организации бухгалтерского учета и составление отчетности, а также касающиеся хозяйственно-финансовой деятельности предприятия; формы и порядок финансовых расчетов; порядок приемки, оприходования, хранения и расходования денежных средств; правила расчетов с дебиторами и кредиторами; порядок списания с бухгалтерских балансов недостач, дебиторской задолженности и других потерь; экономику, организацию производства.
Квалификационные требования: высшее экономическое образование и стаж бухгалтерской работы на руководящих должностей не менее 5 лет.
Бухгалтера – производят начисление и перечисление платежей в государственный бюджет, взносов на государственное социальное страхование, средств на финансирование капитальных вложений, заработной платы рабочих и служащих, налогов и других выплат и платежей, а также отчисление средств в фонды экономического стимулирования и другие фонды. Следит за сохранностью бухгалтерских документов, оформляет их в соответствии с установленным порядком для передачи в архив. Бухгалтер должен знать: постановления, распоряжения, методические, нормативные и другие руководящие материалы по организации бухгалтерского учета и составлению отчетности; формы и методы бухгалтерского учета на предприятии; организацию документооборота.
Квалификационные требования:
Бухгалтер первой категории: высшее экономическое образование и стаж работы в должности бухгалтера второй категории не менее 3-х лет.
Бухгалтер второй категории: высшее экономическое образование без предъявления требований к стажу работы или среднее специальное образование и стаж работы в должности бухгалтера не менее 3-х лет.
Бухгалтер: среднее специальное образование без предъявления требований к стажу работы или специальная подготовка по установленной программе и стаж работы по учету и контролю не менее 3-х лет.
Начальник отдела кадров – систематически изучает деловые качества и другие индивидуальные особенности специалистов предприятия с целью подбора кадров на замещение должностей, входящих в номенклатуру руководителя предприятия. Участвует в организации повышения квалификации специалистов и подготовке их к работе на руководящих должностях. Организует своевременное оформление приема, перевода и увольнения работников в соответствии с законодательством; выдачу справок о настоящей и прошлой трудовой деятельности трудящихся, хранение и заполнение трудовых книжек, и ведение установленной документации по кадрам. Он должен знать: методические, нормативные и другие руководящие материалы, касающиеся работы с кадрами, учета личного состава предприятия; основные технологические процессы производства продукции предприятия; методы учета движения кадров.
Квалификационные требования: высшее образование и стаж работы по организации управления кадрами на инженерно-технических и руководящих должностях не менее 5 лет.
Главный экономист – методически руководит и координирует деятельность всех подразделений предприятия по составлению перспективных планов экономического развития. Обеспечивает строгое соблюдение режима экономии материальных, трудовых и финансовых ресурсов на всех участках хозяйственной деятельности предприятия. Организует разработку методов экономической оценки мероприятий, направленных на совершенствование организации производства. Контролирует своевременность представления отчетности о результатах экономической деятельности в вышестоящие органы. Главный экономист должен знать: распоряжения вышестоящих органов, методические и нормативные материалы по организации экономической работы на предприятии; экономические методы управления предприятием; организацию, формы и методы плановой работы на предприятии; порядок расчета экономической эффективности от внедрения новых видов продукции и техники.
Квалификационные требования: высшее экономическое образование или инженерно-экономическое образование и стаж экономической работы на руководящих должностях не менее 5 лет.
Главный инженер – руководит разработкой перспективных планов развития предприятия, реконструкции и модернизации, мероприятий по предотвращению вредного воздействия производства на окружающую среду, бережному использованию природных ресурсов, созданию благоприятных и безопасных условий труда. Организует проведение научных исследований и экспериментов, испытаний новой техники и технологии. Обеспечивает постоянное совершенствование подготовки и повышения квалификации кадров в соответствии с требованиями научно-технического процесса. Он должен знать: профиль, специализацию и особенности структуры предприятия; перспективы технического, экономического и социального развития отрасли и предприятия; технологию производства продукции предприятия; методы хозяйствования и управления предприятием.
Квалификационные требования: высшее техническое образование и стаж работы по специальности на руководящих должностях в соответствующей профилю предприятия отрасли народного хозяйства не менее 5 лет.
Инженер-технолог (гл. технолог) – рассматривает и утверждает изменения, вносимые в техническую документацию в связи с корректировкой технологических процессов и режимов производства. Контролирует выполнение перспективных и готовых планов технологической подготовки производства, строгое соблюдение установленных технологических процессов. Рассматривает проекты конструкций изделий или состава продукта, отраслевых и государственных стандартов. Согласовывает наиболее сложные вопросы, относящиеся к технологической подготовке производства, с подразделениями предприятия, проектами, исследовательскими организациями, представителями заказчиков. Он должен знать: методические и нормативные материалы по технологической подготовке производства; перспективы технического развития отрасли и предприятия; технические характеристики, режимы работы оборудования, правила его эксплуатации; порядок и методы планирования технологической подготовки производства; технические требования, предъявляемые к сырью, материалам и готовой продукции.
Квалификационные требования: высшее техническое образование и стаж работы по специальности на инженерно-технических и руководящих должностях в соответствующей профилю предприятия отрасли народного хозяйства не менее 5 лет.
Инженер-механик – организует проведение инвентаризации производственных основных фондов, определяет устаревшее оборудование, объекты, требующие капитального ремонта и устанавливает очередность производства ремонтных работ. Участвует в экспериментальных, наладочных и других работах по внедрению и освоению новой техники в испытаниях оборудования. Принимает меры по выявлению неиспользуемого оборудования и его реализации, улучшению эксплуатации действующего оборудования. Должен знать: руководящие материалы по организации ремонта оборудования, сооружений, зданий; организацию ремонтной службы на предприятии; порядок и методы планирования работы оборудования и производства ремонтных работ.
Квалификационные требования: высшее техническое образование и стаж работы по специальности на инженерно-технических и руководящих должностях в соответствующей профилю предприятия отрасли народного хозяйства не менее 5 лет.
5.5. Подготовка кадров и развитие персонала на предприятии.
Важнейшим фактором эффективной работы предприятия является непрерывная переподготовка персонала. Между квалификацией работника и эффективностью его труда существует прямая зависимость: чем выше его разряд, тем выше производительность его труда. На выполнение одной и той же работы у квалифицированных работников уходит значительно меньше времени, чем менее квалифицированных. Более квалифицированные работники быстрее и эффективнее осваивают новую технику, технологию, методы организации труда. Благодаря своей высшей образовательной и профессиональной подготовке, такие работники получают возможность технологически «видеть» значительно больше своих непосредственных обязанности в процессе производства. Именно это во многом предопределяет более высокую степень удовлетворения своим трудом.
Для каждой профессии определена длительность подготовки. Такие массовые профессии как сортировщик изделий, станочник, штамповщик имеют период подготовки от 2 недель до 2-3 месяцев. Такие специалисты как слесарь по ремонту, электромонтер по ремонту и обслуживанию электрооборудования связанные с повышенной опасностью имеют период подготовки 6-8 месяцев с последующим присвоением разряда квалификационной комиссией под председательством главного инженера.
В процессе производства возникает дефицит некоторых профессий. С этой целью на комбинате организовывается курсовое обучение с последующим присвоением работнику второй профессии.
В комплексной бригаде каждый рабочий имеет по несколько профессий и может работать на нескольких станках технологической линии.
Приобретение нового технологического оборудования требует качественной подготовки кадров на более высоком профессиональном уровне. Так с вводом в эксплуатацию печатной линии фирмы «Крабтри» (Англия) возникла необходимость в специалистах по литографированию жести. С этой целью 4 работника комбината были направлены на 10-месячные курсы в профессионально – художественный лицей (г.Тверь). Теоретическую подготовку работники проходили в лицее и на полиграфических предприятиях г. Твери, а практическую 2-месячную эти работники проходили на нашем комбинате.
В связи с вступлением в силу Постановления правительства РФ от 26.10.2000г. № 823 «Об утверждении перечня профессий начального профессионального образования, получение которых в форме экстерната не допускается» комбинат не вправе присваивать экстернатом такие профессии как наладчик оборудования, наладчик полиграфического оборудования, монтажист, копировщик, пробист, печатник. Поэтому комбинат имеет деловые связи с несколькими профтехучилищами, лицеями, в том числе и за пределами Мурманской области. Так на комбинате работает 4 человека, прошедшие обучение только за 2 прошедших года в г.Тверь по профессии печатник, 1 человек - ретушер, 2 человека – монтажист- копировщик.
Прохождение практики учащимися профтехучилищ г. Мурманска в цехах комбината дает возможность администрации выявить наиболее способных студентов, что имеет немаловажное значение при планировании в подготовке кадров.
Современный уровень техники требует подготовки специалистов высшей квалификации в специализированных ВУЗах. В 2001г. на заочную форму обучения был направлен работник в Московский полиграфический институт (специальность: «Полиграфические машины и аппараты»). С данным работником был заключен контракт, по которому он обязан отработать на комбинате 5 лет после окончания ВУЗа. С данным институтом предприятие поддерживает тесные отношения, ведутся переговоры о направлении в следующем году на учебу технолога по полиграфии.
Приобретение в 2001г. сварочной машины фирмы «Канман» (Швейцария) позволило выйти на качественно новый уровень технологии по изготовлению различных видов металлической тары. Ра бота на данном оборудовании требует определенных знаний и умений, поэтому для переподготовки обслуживающего и ремонтного персонала был приглашен специалист фирмы «Канман», который в течение месяца делился опытом с нашими работниками.
Также, до конца 2002 года, планируется провести переподготовку на курсах целевого назначения 8 станочников, 3 электромонтеров и 2 наладчиков.
Постоянно действующее курсовое обучение на предприятии позволяет ежегодно переподготовить до 20 человек.
Повышение квалификации специалистов рабочих профессий проводится по ежегодному плану после утверждения плана по эффективности производства на основе механизации, автоматизации и компьютеризации производственных процессов. В ближайшем будущем планируется провести курсы повышения квалификации для работников лакопечатного производства.
Связь с высшими учебными заведениями позволяет на первом этапе подготовки руководящих кадров значительно сократить период становления специалиста на комбинате.
По плану, в течение 5 лет:
получит высшее техническое образование механик лакопечатного производства с присвоением квалификации инженер;
пройдут практику на комбинате учащиеся колледжа им. Месяцева по специальности программист;
поступит в Московский полиграфический институт на специальность «Технология полиграфии» 1 человек.
Предприятие развивает такую форму подготовки кадров как принятие будущего специалиста на преддипломную практику с последующим принятием на работу. Так в 2002 году закончат преддипломную практику и пройдут испытательный срок 3 специалиста Отдела маркетинга и сбыта.
С целью повышения квалификации специалистов лакопечатного производства планируется провести на комбинате теоретические семинары с привлечением профессорского состава Северо-западного института печати и С.-Петербургского Государственного университета технологии и дизайна.
6. Заключение.
Исследование и опыт кадровой службы комбината до настоящего времени свидетельствуют о том, что существование этой службы чрезвычайно мало реализовывало свои функции управления персоналом предприятия. Деятельность вчерашней кадровой службы ограничивалось пассивной и автономной регистрацией: приём, увольнение, учёт личного состава и отчётность. В современных условиях отсутствие системы автоматизированного учёта кадров и специалистов-психологов, социологов лишают кадровую службу возможностей оперативного анализа и планирования целесообразных социальных изменений в коллективе, отстраняет её от выполнения своей сущностной функции. Расширяя свои знания в кадровой политике, руководитель, начальник отдела кадров основывается на новую концепцию кадровой службы предприятия, а это:
Прогнозирование потребности в кадрах (планирование, разработка программ и проектов покрытия потребности в рабочей силе, подготовка, переподготовка и повышение квалификации кадров в условиях рыночных отношений).
Обеспечение потребности в кадрах (профессиональная пропаганда, повышение престижа предприятия, профориентационные работы, профессиональный отбор новых работников).
Обеспечение учёта кадров (оформление приёмов, увольнений, перемещений из одного подразделения в другое, ведение личных дел, внедрение компьютерного учёта и обработки данных, системы отчётности).
Управление движением кадров (регулирования внутрипроизводственным процессом).
Осуществление контроля за рациональным использованием кадров (учёт и анализ состояния трудовой дисциплины на производстве, разработка предложений по её укреплению).
Изменение политической ориентации и экономических условий хозяйствования во всех отношениях повлияло на трудовые коллективы. Чтобы обеспечивать выпуск продукции высокого уровня в условиях конкуренции необходимо раскрывать потенциальные возможности персонала, повышать квалификацию, поэтому в последнее время администрация комбината пытается вернуться к утерянным методам управления персоналом, т.е. к идее проведения аттестации кадров.
В период преддипломной практики мною был проведен опрос работников, а в особенности – руководителей, с целью выяснить отношение к перспективе введения на комбинате периодической аттестации персонала. Был задан вопрос: считаете ли Вы своевременным и актуальным введение аттестации персонала на нашем предприятии?
Д

а
Нет Затрудняюсь
ответить
В число опрошенных были включены 17 человек – инженерно-технических работников комбината.
Материалы проведенного опроса позволяют отметить довольно невысокий уровень готовности людей к аттестации.
Интересно, что 62% опрошенных не согласны с введением периодической аттестации персонала на комбинате, а 8% затруднились ответить на этот вопрос. Таким образом, 70% сомневаются в целесообразности аттестации для предприятия и для себя лично. Это связано с искусственным характером аттестационных процедур, существовавших до 1990 года. Работники, подвергшиеся аттестации в указанный период, как правило, приобрели к ней стойкое отвращение, что мешает вводить аттестацию персонала на комбинате в настоящее время (Приложение 7).
Конечно, возвращаться к старой системе аттестации кадров вряд ли разумно. Поэтому я предлагаю более усовершенствованную (чем проводилась ранее) методику оценки персонала – собеседование. Однако непосредственно перед самой аттестацией я рекомендую провести анкетирование работников (Приложение 8).
Условно контингент аттестуемых предлагаю разделить на 3 группы. Первую группу составят специалисты всех направлений и руководители первичных трудовых коллективов, во вторую группу войдут так называемые руководители среднего звена (начальники цехов, участков, отделов и т.п.); в третью группу будут включены главные специалисты, руководители структурных подразделений и их заместители.
При проведении аттестации на комбинате я предлагаю использовать следующие рекомендации:
1. Общие принципы построения системы оценки:
1.1. Решения по сотрудникам не должны различаться для лиц разного пола, возраста, национальности и религии.
1.2. Не используется информация, порочащая человека (если нет официальных документов по правонарушениям).
1.3. Официальная система подачи жалоб и пересмотра решений комиссий должна доводиться до лиц, не согласных с принятым решением.
1.4. Во всех случаях комиссии должны руководствоваться официально принятой системой принятия кадровых решений (в соответствии с КЗоТ).
1.5. Следует при оценке использовать мнение более чем одного оценщика (непосредственного руководителя) для более независимой и объективной оценки.
1.6. Члены комиссии должны иметь доступ к материалам, характеризующим результативность труда оцениваемого сотрудника.
1.7. В официальных документах следует избегать таких оценочных качеств, как «надежность», «энергичность», «способность», «личное отношение».
1.8. Стандартные оценки результативности труда должны быть известны сотрудникам.
1.9. Оценку следует проводить по отдельным специфическим рабочим навыкам, а не «в общем».
1.10. Работникам необходимо предоставлять возможность ознакомиться с решениями относительно их работы.
2. Оценка результативности труда.
2.1. В идеальном варианте, для того чтобы система оценок работала хорошо, необходимо, чтобы и сами оцениваемые сотрудники ее понимали, видели ее справедливость.
2.2. В основе оценки должны устанавливаться стандарты результативности труда для каждого рабочего места или типовой группы работающих.
2.3. В основу показателей для оценки должны включаться: качество выполняемой работы, ее количество, знание работы, трудовая дисциплина, необходимость контроля за выполняемой работой.
2.4. Дополнительными показателями служат, как правило, - инициативность, коммуникабельность, надежность.
2.5. Руководители подразделений совместно с представителями отдела кадров и ОТиЗ готовят приемлемые для их коллектива системы оценок.
2.6. Непосредственные руководители аттестуемых собирают данные по результативности труда сотрудников и представляют их руководству.
2.7. До заседания комиссии руководители обсуждают оценку труда с работником.
2.8. Оценка труда служит не только для аттестаций сотрудника на комиссии, но и для постоянной работы (с периодичностью, приемлемой для данного подразделения и вида работ).
3. Рекомендации
руководителям при беседах по оценке
работы.
Цель - сообщение результатов оценки, поощрение высокой результативности труда, изменение поведения работника, результативность труда которого не, вписывается в установленные стандарты.
3.1. Руководитель и оцениваемый должны готовиться к встрече и быть готовы обсуждать прошлую результативность на фоне задач нового периода.
3.2. Руководитель должен стараться дать работнику возможность успокоиться, и подчеркнуть, что беседа является не дисциплинарным мероприятием, а встречей с целью обсуждения прошлой работы и повышения эффективности работы в будущем.
3.3. Руководству следует планировать время проведения беседы таким образом, чтобы половина отведенного на беседу времени осталась для обсуждения оценки и будущей работы самим работником.
3.4. Руководителю рекомендуется проводить беседу, начиная с достижений работника. Изложение недостатков рекомендуется размещать между положительными результатами. Желательно ориентировать обсуждение на комментариях о результативности работы, а не на критике личностных качеств.
3.5. Руководитель должен поощрять вовлечение оцениваемого в беседу, его самооценку и его обзор собственной работы.
3.6. Последним аспектом беседы должно быть обсуждение будущих задач, и как руководитель поможет подчиненному достичь поставленных целей (если, конечно, не стоит вопрос о несоответствии занимаемой должности и переводе на менее ответственную работу или увольнении).
4. Перечень показателей для оценки квалификации
Образование
Стаж работы по специальности
4.3. Профессиональная компетентность
4.4. Знание необходимых документов (инструкций и т.п.), умение работать с ними
4.5. Качество выполняемой работы
4.6. Своевременность выполнения работы
4.7. Ответственность за результаты работы
4.8. Способность в короткие сроки осваивать новые технические средства
4.9. Интенсивность труда (способность в короткие сроки справляться с большим объемом работы)
4.10. Способность адаптироваться к новой ситуации, применять новые подходы к решению проблем
Производственная этика, стиль общения
4.12. Способность к творчеству, предприимчивость
Способность к самооценке
4.14. Кроме того, для руководителей:
- умение оперативно принимать решения для достижения цели,
- способность прогнозировать и планировать,
- умение организовать, анализировать и контролировать работу подчиненных.
По итогам аттестации рассчитывается экспертная оценка специалиста (Приложение 9). Для заключения аттестационной комиссии используется суммарный балл, который набрал аттестуемый:
65 баллов и выше — соответствует занимаемой должности и может быть рекомендован в резерв на замещение вышестоящей должности;
65-62 балла — соответствует занимаемой должности, но продвижению не подлежит;
52 балла и ниже — соответствует занимаемой должности при условии выполнения рекомендаций аттестационной комиссии или не соответствует занимаемой должности.
По результатам аттестации издается приказ Генерального директора, в котором утверждаются результаты аттестации работников комбината, решения об изменениях в расстановке кадров, зачислении перспективных работников в резерв на повышение, поощряются положительно аттестованные работники.
Практическая реализация изложенных предложений и рекомендаций по изменению кадровой политики, внесение дополнений и изменений в действующий коллективный договор, позволят повысить эффективность использования кадрового потенциала ОАО «Мурманского тарного комбината», сделать его более совершенным, отвечающим текущим и перспективным целям и задачам предприятия.
СПИСОК ЛИТЕРАТУРЫ
Литература
Кабушкин Г..Р. Основы менеджмента. - М., 1997г. – С.97
Бовыкин И.В. Новый менеджмент. – М.,1998 – С.246.
Саломеева А., Корпоративный менеджмент, http://www.cfin.ru
Мескон М.Х., Альберт М., Хедоури Ф. Основы менеджмента. Пер. с англ. – М.: Изд-во Дело,1996
Борисова Е., Аттестация персонала – вопросы необходимости, Персонал-МИКС, Научно-практический журнал
Журавлев А., Павлова Е., Шлычков А., Субъективность руководителя и скрытые возможности аттестации персонала, - Консультант директора. 2000. №22 (130). стр. 21-22
Тарасов В.К., Отбор и подготовка менеджеров. – Л.: Машиностроение, 1993, с.42-44
Веснин В.Р. Практический менеджмент персонала (пособие по кадровой работе), Юрист, М.98г.
Маслов Е.В. Управление персоналом предприятия, «Инфра-М», Москва-Новосибирск, 2000г.
Савченко М., Стань управленцем, кадровик!, - Служба кадров, 1998г. №№ 4-9
Егоршин А.П., Управление персоналом. – Н.Новгород: НИМБ, 1999г.
Малиновский П., Методы оценки персонала, - М. 1999г.
Генкин Б.М., Основы управления персоналом. М.,1996г.
Тихонов Р. Е., Кадры, С.Пб – 1993.
Колосов Ю., Рыбная столица, газета № 5 (125), 05.02.2002г.
Базаров Т.Ю., Управление персоналом, - М., 1999г.
Джайлс К., Хедж Н., Руководство по эффективному самообучению. – Жуковский, 1997г.
Харитонов И.М., Эмихом О.К., Предприимчивый менеджер. – М., 1997г.
Нормативные документы
Федеральный закон от 30.12.2001 г. № 197-ФЗ «Трудовой кодекс Российской Федерации».
Сборник нормативных документов «Государственная служба», - М.; «Дело», 1999г.
Положение о проведение аттестации федерального служащего, утвержденное Указом Президента Российской Федерации от 09.03.1996г. № 353.
1 Федеральный закон от 30.12.2001 г. № 197-ФЗ
«Трудовой кодекс Российской Федерации» ст.1 гл.1
1 Федеральный закон от 30.12.2001 г. № 197-ФЗ
«Трудовой кодекс Российской Федерации» ст.6 гл.1
1 Федеральный закон от 30.12.2001 г. № 197-ФЗ
«Трудовой кодекс Российской Федерации» ст.8 гл.1
1 Кабушкин Г..Р. Основы менеджмента. - М., 1997г. – С.97.
1 Бовыкин И.В. Новый менеджмент. – М.,1998 – С.246.
1 А.Саломеева, Корпоративный менеджмент, http://www.cfin.ru
1 Мескон М.Х., Альберт М., Хедоури Ф. Основы менеджмента. Пер. с англ. – М.: Изд-во Дело,1996.
1 Е.Борисова, Аттестация персонала – вопросы необходимости, Персонал-МИКС, Научно-практический журнал
1 Журавлев А., Павлова Е., Шлычков А., Субъективность руководителя и скрытые возможности аттестации персонала, // Консультант директора. 2000. №22 (130). стр. 21-22
1 Тарасов В.К., Отбор и подготовка менеджеров. – Л.: Машиностроение, 1993, с.42-44
Приложение 1
ПОЛОЖЕНИЕ
об аттестации руководителей и специалистов
1. Общие положения.
Вводится для создания единой системы регулярной оценки эффективности выполнения каждым сотрудником своих должностных функций.
Аттестация персонала проводится в целях наиболее рационального использования работников, повышения эффективности их труда и ответственности за порученное дело, дальнейшего улучшения подбора и развития кадров, повышения их деловой квалификации.
Аттестация персонала - это оценка результатов деятельности и определение квалификации и деловых качеств работника с целью выявления его соответствия занимаемой должности, а также возможности дальнейшего использования и служебного продвижения.
2. Процедура проведения аттестации.
2.1. Аттестация проводится на основании приказа Генерального директора Общества, изданного в соответствии с действующим Положением об аттестации руководителей и специалистов. Приказ готовится службой управления персонала по указанию Генерального директора.
2.2. Аттестация проводится 1 раз в год, по итогам работы за истекший период в пределах одного года, как правило, в сроки по утвержденному плану работы с персоналом.
2.3. Аттестации подлежат работники, отработавшие в Обществе не менее 6 месяцев, в том числе в занимаемой должности - не менее 3х месяцев. Категория работников: руководители и специалисты. Аттестации не подлежат беременные женщины и женщины, находящиеся в отпуске по уходу за ребенком.
2.4. Аттестационная комиссия создается приказом Генерального директора Общества в составе председателя, секретаря и членов комиссии (количество не ограничено).
2.5. График проведения аттестации, сроки устанавливаются приказом Генерального директора Общества. О проведении аттестации работник предупреждается не позднее, чем за 2 недели. О дате, времени и месте проведения аттестации работник может быть предупрежден заранее, за 1– 2 дня.
2.6. При подготовке к проведению аттестации вся необходимая документация и сведения, а также бланки утвержденных форм обеспечивающие работу аттестационной комиссии, предоставляется службой управления персоналом:
2.6.1. Аттестационный лист (Приложение 1).
2.6.2. Индивидуальный план развития (Приложение 5).
2.6.3. Решение аттестационной комиссии (Приложение 6).
2.6.4. Протокол аттестационной комиссии (Приложение 7).
2.6.5. Утвержденные должностные инструкции руководителей и специалистов, подлежащих аттестации.
2.7. Порядок оформления аттестационного листа.
2.7.1. Аттестационный лист №1 с пометкой «заполняется аттестуемым» – заполняется самим работником, подлежащим аттестации.
2.7.2. Аттестационный лист №2 с пометкой «заполняется руководителем» – заполняется руководителем соответствующего подразделения на каждого работника этого подразделения.
2.7.3. Аттестационный лист №3 с пометкой «заполняется руководителем смежного подразделения» – заполняется по просьбе аттестационной комиссии другими руководителями соответствующих подразделений на работников, определенных аттестационной комиссией (как правило на руководителей).
2.7.4. Аттестационный лист №4 с пометкой «заполняется аттестационный комиссией» заполняется секретарем аттестационной комиссии на всех работников, прошедших аттестацию.
3. Индивидуальный план развития заполняется аттестуемым и представляется в службу управления персоналом с аттестационным листом №1.
4. Порядок прохождения аттестации.
4.1. Аттестация проводится в присутствии аттестуемого.
4.2. После проведения собеседования с аттестуемым и с учетом оценок, полученных ранее, аттестационная комиссия дает одну из следующих оценок:
4.2.1. Соответствует занимаемой должности.
4.2.2. Соответствует занимаемой должности при условии улучшения работы с прохождением повторной аттестации через 6 месяцев.
4.2.3. Рекомендуется использование на другой работе (в Обществе или оказание помощи в трудоустройстве).
5. Результаты аттестации.
5.1. Результаты аттестации отражаются:
5.1.1. В аттестационном листе №4 (Приложение 4).
5.1.2. В решении аттестационной комиссии (Приложение 6).
5.1.3. В протоколе аттестационной комиссии (Приложение 7).
5.2. Сотрудник должен быть ознакомлен с решением аттестационной комиссии под роспись.
5.3. По результатам аттестации выносится предложение аттестационной комиссии на рассмотрение руководства соответствующего подразделения в виде рекомендаций:
5.3.1. О поощрении работника.
5.3.2. Изменении размеров должностного оклада.
5.3.3. Включении в резерв на замещение должности руководителя.
5.3.4. Повышении в должности (при наличии вакансий).
5.3.5. Повышении деловой квалификации (обучении).
5.3.6. Понижении в должности.
При этом указываются мотивы, по которым даются соответствующие рекомендации.
5.4. В случае несогласия аттестуемого с оценкой или рекомендацией аттестационной комиссии, он может обратиться в комиссию по трудовым спорам, состав которой утверждается приказом Генерального директора.
6. В соответствии с результатами проведенной аттестации издается приказ Генерального директора.
7. Аттестационные листы, решения и протоколы хранятся в архиве бюро кадров. Срок хранения – 3 года. Индивидуальный план развития хранится в личном деле работника.
8. Изменения в настоящее Положение вносятся приказами Генерального директора Общества.
9. Срок действия Положения не ограничивается до момента отмены приказом Генерального директора.
Положение разработано департаментом по персоналу.
Приложение 1
к положению об аттестации
руководителей и специалистов
А
Заполняется аттестуемым
ттестационный лист №1.ФИО_____________________________________________________________
Подразделение_____________________________________________________
Должность_________________________________________________________
Основные функции _________________________________________________
Структура подчинения:
кому подчиняется сотрудник___________________________________________________
кто ему подчиняется__________________________________________________________
кол-во человек в подчинении_______________________________________
Дата рождения____________________________________________
Образование: 1. (уч. Заведение, год окончания, специальность) _______________________
2.________________________________________________________
Повышение квалификации __________________________________________
Общий стаж работы _______________________________________
Стаж работы в ЗАО “…” _______________________
(в т.ч. в данной должности)
|
Должностные обязанности |
Выполнение 1 2 3 4 5 |
Примечание |
|
1 |
||
|
2 |
||
|
3 |
||
|
4 |
||
|
5 |
||
|
Средний балл |
|
Проекты |
Выполнение 1 2 3 4 5 |
Пояснения |
|
1 |
||
|
2 |
||
|
Средний балл |
|
Качества |
Оценка 1 2 3 4 5 |
|
|
|
|
|
|
|
|
|
|
|
|
|
|
|
|
|
Средний балл |
Другие замечания по работе: ____________________________________________________
.______________________________________________________________________________
С
Личная подпись (заполнявшего)______
редняя з/п за: __________________________________Приложение 2
к положению об аттестации
руководителей и специалистов
Аттестационный лист №2.
Ф
Заполняется руководителями
ИОПодразделение
Должность
Возраст: Структура подчинения:
Общий стаж работы (лет): кому подчиняется:
Стаж работы в ЗАО (лет): кол-во сотр. в подчинении:
Образование и повышение квалификации
|
Учебное заведение |
Год |
Специальность |
|
Должностные обязанности |
Выполнение 1 2 3 4 5 |
Примечание |
|
1 |
||
|
2 |
||
|
3 |
||
|
4 |
||
|
5 |
||
|
6 |
||
|
Средний балл |
|
Проекты |
Выполнение 1 2 3 4 5 |
Пояснения |
|
1 |
||
|
2 |
||
|
Средний балл |
|
Качества |
Оценка 1 2 3 4 5 |
|
|
|
|
|
|
|
|
|
|
|
|
|
|
|
|
|
Средний балл |
Подпись: Рук. департамента _____________ Непосредственного рук. ________________
Приложение 3
к положению об аттестации
руководителей и специалистов
Аттестационный лист №3.
Ф
Заполняется руководителем смежной службы
ИОПодразделение
Должность
Возраст: Структура подчинения:
Общий стаж работы (лет): кому подчиняется:
Стаж работы в ЗАО (лет): кол-во сотр. в подчинении:
Образование и повышение квалификации
|
Учебное заведение |
Год |
Специальность |
|
Должностные обязанности |
Выполнение 1 2 3 4 5 |
Примечание |
|
1 |
||
|
2 |
||
|
3 |
||
|
4 |
||
|
5 |
||
|
6 |
||
|
Средний балл |
|
Проекты |
Выполнение 1 2 3 4 5 |
Пояснения |
|
1 |
||
|
2 |
||
|
Средний балл |
|
Качества |
Оценка 1 2 3 4 5 |
|
|
|
|
|
|
|
|
|
|
|
|
|
|
|
|
|
Средний балл |
Подпись: ________________
Приложение 4
к положению об аттестации
руководителей и специалистов
Аттестационный лист №4 Заполняется аттестационной
комиссией
ФИО
Подразделение
Должность
Возраст: Структура подчинения:
Общий стаж работы (лет): кому подчиняется:
Стаж работы в ЗАО (лет): кол-во сотр. в подчинении:
1. Образование и повышение квалификации
|
Учебное заведение |
Год |
Специальность |
2. Должностные обязанности
|
Должностные обязанности |
Выполнение (1 2 3 4 5) |
Примечание |
||
|
Само-оценка |
Руково-дитель |
Атт. комиссия |
||
|
Средний балл |
3. Проекты.
|
Проекты |
Выполнение (1 2 3 4 5) |
Примечание |
||
|
Само-оценка |
Руководи-тель |
Атт. комиссия |
||
|
Средний балл |
4. Личностные качества
|
Качества |
Выполнение (1 2 3 4 5) |
Примеча-ние |
|||
|
Само-оценка |
Руково-дитель |
Рук. депар-тамента |
Атт. комис-сия |
||
|
Решительность Способность к принятию решений и готовность отстаивать свои планы и намерения. |
|||||
|
Личная инициатива Готовность и способность решать проблемы по собственной инициативе. |
|||||
|
Лидерский потенциал Умение организовать и мотивировать работу подчиненных. |
|||||
|
Знание работы Профессиональная грамотность, практические навыки, знания и информация, используемые при работе. |
|||||
|
Готовность к труду Неравнодушное отношение к рабочим ситуациям, желание активно участвовать в работе и влиять на общий результат. |
|||||
|
Коммуникабельность Корректность, внимательность, гибкость в общении с коллегами и внешним окружением, умение разрешать конфликтные ситуации. |
|||||
|
Работоспособность Умение качественно выполнять работу в ограниченное время, поведение в условиях больших нагрузок. |
|||||
|
Ответственность Своевременное, добросовестное, качественное выполнение заданий руководителя |
|||||
|
Средний балл |
Подпись: Секретарь аттестационной комиссии:____________________________________________
Приложение 5
к положению об аттестации
руководителей и специалистов
Индивидуальный план
ФИО
Подразделение
Должность
Самооценка применительно к занимаемой должности
а. Каковы Ваши сильные стороны ?
б. В чем Вам нужно совершенствоваться ?
в. Какое обучение могло бы Вам в этом помочь ?
Подпись _________________
Приложение 6
к положению об аттестации
руководителей и специалистов
Решение аттестационной комиссии
ФИО
Должность
Оценка аттестационной комиссии:
-
- соответствует занимаемой должности
- соответствует занимаемой должности при условии улучшения работы (переаттестация через 6 месяцев)
- рекомендация смены деятельности
2. Рекомендации аттестационной комиссии:
|
Пояснение |
|||
|
2.1 поощрение работника |
|||
|
2.2 изменение размеров должностного оклада |
|||
|
2.3 включение в резерв на замещение должности руководителя |
|||
|
2.4 повышение в должности (при наличии вакансии) |
|||
|
2.5 повышение деловой квалификации (обучение) |
|||
|
2.6 понижение в должности |
|||
|
2.7 освобождение от занимаемой должности |
|||
|
Мотивы рекомендаций: |
|||
Аттестационная комиссия:
-
Председатель аттестационной комиссии:
члены аттестационной комиссии:
Секретарь аттестационной комиссии:
Сотрудник:
-
- согласен с решением аттестационной комиссии
- не согласен с решением аттестационной комиссии
- не согласен с пунктами: _________________________________________
Личная подпись аттестуемого________________ Дата ___________
Приложение 7
к положению об аттестации
руководителей и специалистов
|
Утверждаю Генеральный директор ЗАО “…” ________________ … “___” ___________ 2002 г. |
Протокол аттестационной комиссии
|
№ пп |
ФИО |
Занимаемая должность, средняя зарплата за период атт. |
Должностные обязанности |
Личностные качества |
|||||||||||
|
Самооценка |
Рук. |
Рук. деп. |
Смеж рук. |
Атт. ком. |
Средняя оц. |
Самооценка |
Рук. |
Рук. деп. |
Смеж.рук. |
Атт. ком. |
Средняя оцен. |
Решение аттестационной комиссии |
|||
|
Подразделение |
|||||||||||||||
|
|
|||||||||||||||
|
|
|||||||||||||||
|
|
|||||||||||||||
|
|
|||||||||||||||
|
Подразделение |
|||||||||||||||
|
|
|||||||||||||||
|
|
|||||||||||||||
|
|
|||||||||||||||
|
|
Секретарь аттестационной комиссии:___________________________________________________
Приложение 2
ПРИКАЗ
22.10.99 № 707
О проведении в 1999 г. аттестации
молодых специалистов, отработавших
на сети 3 года и служащих, пришедших
на сеть по вольному найму в 1997-1999 г.г.
В соответствии с Положением о порядке проведения аттестации работников Открытого акционерного общества «Московская городская телефонная сеть» и во исполнение приказа от 30.12.98 г. № 778 о введении в действие Положения «О порядке проведения аттестации служащих Открытого акционерного общества «Московская городская телефонная сеть», а также с целью объективной оценки деловых и профессиональных качеств служащих и молодых специалистов, улучшения результатов их работы
ПРИКАЗЫВАЮ:
1. Провести в АО МГТС в ноябре-декабре 1999 года аттестацию молодых специалистов, направленных на сеть в 1994-1996 годах по распределению после окончания Московского технического университета связи и информатики (МЭИС) и Колледжа телекоммуникаций, а также выпускников других учебных заведений, которые самостоятельно трудоустроились в подразделениях сети и отработали на момент проведения аттестации три года.
2. Провести в АО МГТС в ноябре-декабре 1999 года аттестацию служащих, поступивших в сеть по вольному найму в 1997-1998 годах и проработавших в занимаемой должности не менее одного года.
3. Утвердить состав Центральной аттестационной комиссии по проведению аттестации служащих под моим председательством в следующем составе:
Члены комиссии:
Афонин В.А.- начальник Управления по персоналу - заместитель председателя
Данилова Р.В.- начальник отдела кадров - секретарь комиссии
Рабовский Р.В.- первый заместитель Генерального директора – начальник Управления по работе с клиентами
Панов В.С.- заместитель Генерального директора – начальник Управления технической эксплуатации телекоммуникаций
Козлов В.А.- заместитель Генерального директора
Замалдинов Р.М.- заместитель Генерального директора - начальник Управления автоматизированных систем и технологий
Ксенофонтов С.Н.- начальник Управления капитального строительства
Иржова В.Я.- начальник Правового управления
Константинова Р.П.- главный бухгалтер АО МГТС
Русакова М.А.- начальник отдела труда
Новикова Е.Г.- директор Учебного центра
Лобахин В.Н.- председатель территориальной профсоюзной организации АО МГТС профсоюза работников связи г. Москвы
4. Отделам по персоналу(отделам кадров) приступить к составлению списков аттестуемых служащих и молодых специалистов.
5. Отделам по персоналу (отделам кадров) подготовить графики проведения аттестации и утвердить их в сроки, предусмотренные трудовым законодательством (приложение №1).
6. Отделам по персоналу (отделам кадров) приступить к подготовке аттестационных листов и других документов, необходимых для проведения аттестации (приложения №№ 3-6).
7. Руководителям структурных подразделений (отделов, цехов, секторов, и др.), имеющих в списочном составе вышеуказанных служащих и молодых специалистов, необходимо не позднее 15 ноября текущего года представить в отдел по работе с персоналом (отдел кадров) характеристику (приложение №2) на каждого работника, подлежащего аттестации, в которой должны быть отражены:
производственная деятельность с учетом должностной инструкции
приобретенный опыт практической работы, техническая грамотность, способность к усвоению знаний в области новой техники и технологий
качество исполнения задания, соблюдение сроков, аккуратность и тщательность в работе
личная инициативность, коммуникабельность, стремление повышать квалификацию с указанием времени и форм углублений знаний
для молодых специалистов результаты стажировки.
8. Отделам по персоналу (отделам кадров) ознакомить с характеристикой работников согласно утвержденному графику, и в строгом соответствии с Инструкцией о порядке организации и проведении аттестации руководящих, инженерно- технических работников и других специалистов предприятий и организаций связи.
9. По результатам аттестации работникам устанавливать должностное наименование в соответствии с Квалификационным справочником должностей руководителей, специалистов и других служащих, Общероссийским классификатором профессий рабочих, должностей служащих и тарифных разрядов и Положения об оплате труда работников АО МГТС.
10. Отделу кадров аппарата управления подготовить отчет по результатам аттестации и план реализации мероприятий по выполнению рекомендаций аттестационных комиссий и предоставить мне на утверждение к 15 января 2000 года.
11. Возложить на Афонина В.А.- начальника управления по персоналу координацию и контроль за проведением аттестации в соответствии с действующим законодательством.
12. Настоящий приказ довести до всего личного состава работников АО МГТС.
Генеральный директор АО МГТС В.С.Лагутин
Приложение 1
к приказу Генерального директора АО МГТС
от 22.10.1999г. № 707
Согласовано Утверждаю
Председатель профсоюзного комитета Управляющий (начальник, директор)
обособленного подразделения обособленного подразделения
____________________Ф.И.О. _________________________ Ф.И.О.
«_____» _____________1999года «____»___________________1999года
ГРАФИК
проведения аттестации работников
п
редприятия
(организации)
|
Фамилия, Имя, Отчество аттестуемого |
Должность аттестуемого |
Дата проведения аттестации |
Дата представления отзыва (характеристики) в аттестационную комиссию |
Должность, фамилия, инициалы ответственного за подготовку отзыва |
Приложение 2
к приказу Генерального директора АО МГТС
от 22.10.1999г. № 707
ОТЗЫВ (характеристика)
ф
амилия,
имя, отчество и должность работника,
подлежащего аттестации
н
аименование
подразделения предприятия (организации),
где он работает
Производственная деятельность (в течение аттестационного периода) – выполнение аттестуемым обязанностей, предусмотренных его должностной инструкцией, внеплановых работ. Их качество, соблюдение установленных сроков, оценка деятельности аттестуемого.
Деловые и личные качества аттестуемого.
Квалификация аттестуемого, работа по повышению квалификации.
Другие характеристики.
Выводы: Соответствует или не соответствует аттестуемый занимаемой должности. Рекомендации о поощрениях, необходимости улучшения отдельных видов направлений работы, повышения квалификации.
Руководитель Подпись
подразделения, в котором работает
аттестуемый
Председатель профсоюзного комитета Подпись
С отзывом ознакомлен Подпись аттестуемого и дата
Приложение 3
к приказу Генерального директора АО МГТС
от 22.10.1999г. № 707
Наименование организации
ПРОТОКОЛ
00.00.00. № _______
Заседания аттестационной
комиссии
Председатель____________________________________________________________________
фамилия, инициалы председателя
Секретарь_______________________________________________________________________
фамилия, инициалы секретаря
Присутствовали:__________________________________________________________________
фамилия, инициалы членов аттестационной комиссии
Приглашенные:__________________________________________________________________
фамилии, инициалы
ПОВЕСТКА ДНЯ
Аттестация работников____________________________________________________________
наименование подразделения предприятия (организации)
Слушали: Отзыв (характеристику) аттестуемого_______________________________________

фамилия, имя, отчество
Сообщение аттестуемого о его работе_______________________________________________
краткое содержание
Вопросы к аттестуемому___________________________________________________________
краткое содержание
Ответы аттестуемого______________________________________________________________
Вытупали_______________________________________________________________________
фамилия, инициалы руководителя аттестуемого,
членов аттестационной комиссии,

краткое содержание их выступлений
Постановили: 1._________________________________________________________________
оценка деятельности аттестуемого
2._________________________________________________________________
рекомендации аттестационной комиссии
Председатель подпись расшифровка подписи
Секретарь подпись расшифровка подписи
В дело 00.00
Подпись дата
Приложение 4
к приказу Генерального директора АО МГТС
от 22.10.1999г. № 707
ПРИКАЗ
№____
О результатах
Аттестации
Во исполнение приказа от 30.12.98г. № 778 «О введении в действие Положения «О порядке проведения аттестации работников Открытого акционерного общества «Московская городская телефонная сеть» в течение____________________проведена аттестация.
и
злагаются
результаты аттестации положительные
стороны работы,
недостатки, имевшие место в организации
и проведении аттестации и их причины;
о
тмечается,
что анализ рекомендаций аттестационных
комиссий и предложений аттестуемых
позволил определить необходимые меры по совершенствованию системы повышения
к
валификации
кадров, организации производства, труда
и управления
В целях дальнейшего улучшения подбора, расстановки и воспитания кадров, повышения квалификации, эффективности труда и ответственности за порученное дело
ПРИКАЗЫВАЮ:
1.Утвердить результаты аттестации молодых специалистов направленных на сеть в 1994-1996 годах по распределению после окончания Московского технического университета связи и информатики и Колледжа телекоммуникаций МТУСИ, а также молодых специалистов, которым была предоставлена возможность самостоятельного трудоустройства на сети по специальности и отработавших на момент проведения аттестации три года.
2.Утвердить результаты аттестации служащих, поступивших на сеть по вольно найму в 1997-1998 годах и проработавших в занимаемой должности не менее одного года.
3.Аттестационным комиссиям, в которых по результатам аттестации работники признаны не соответствующими занимаемой должности провести повторную аттестацию в сроки, установленные трудовым законодательством, при условии выполнения ими рекомендаций аттестационной комиссии.
4.Отделам по персоналу (кадров) осуществить контроль за соблюдением сроков проведения повторной аттестации в соответствии с требованиями трудового законодательства.
5.Контроль за реализацией плана мероприятий по выполнению рекомендаций аттестационных комиссий возлагаю на начальника отдела по персоналу (кадров)
6.Работников, признанных по результатам аттестации не соответствующими занимаемой должности, перевести с их согласия на другую работу, соответствующую их квалификации, профессиональной пригодности, в случае несогласия провести увольнение с соблюдением трудового законодательства.
7.Контроль за выполнением настоящего приказа возложить на __________________
Ф.И.О.ответственного
Управляющий (начальник, директор)
обособленного подразделения Подпись
Приложение 5
к приказу Генерального директора АО МГТС
от 22.10.1999г. № 707
УЧЕТ ПРЕДЛОЖЕНИЙ АТТЕСТУЕМЫХ
|
№№ п/п |
Фамилия, имя, отчество аттестуемого, внесшего предложения |
Содержание предложения |
Решение о принятии или отклонении предложения (с обоснованием причины отклонения) |
Ответственные за выполнение принятых предложений |
|
1 |
2 |
3 |
4 |
5 |
Приложение 6
к приказу Генерального директора АО МГТС
от 22.10.1999г. № 707
ПЛАН
мероприятий по выполнению рекомендаций аттестационных комиссий
|
№№ п/п |
Наименование мероприятий |
Сроки выполнения |
Фамилия, имя, отчество руководителя, специалиста, ответственного за выполнение мероприятий |
Примечание |
|
1 |
2 |
3 |
4 |
5 |
|
Выполнение рекомендаций аттестационных комиссий (по пересмотру состава резерва кадров на выдвижение, изменениям в расстановке кадров по подразделениям организации, их профессионально-должностного состава и должностных окладов и т.п.) Совершенствование системы повышения квалификации кадров (по определению контингента работников, при аттестации которых были приняты рекомендации о необходимости повышения их квалификации, выбору форм повышения квалификации для различных профессионально-должностных групп работников, организации различных форм учебы для служащих и специалистов организации и т.п.) Совершенствование организации производства труда и управления |
Приложение 3
ПРИКАЗ
11 февраля 2000г. № 107
О результатах аттестации в Открытом
Акционерном обществе «Московская
Городская телефонная сеть» молодых
специалистов, отработавших на сети
3 года и служащих, пришедших на сеть
по вольному найму в 1997 – 1998 гг.
В соответствии с Положением о порядке проведения аттестации работников Открытого акционерного общества «Московская городская телефонная сеть» и во исполнение приказа от 22.10.99г. №707 «О проведении в 1999г. аттестации молодых специалистов, отработавших а сети 3 года и служащих, пришедших на сеть по вольному найму в 1997-1998гг.» с 01 декабря 1999г. по 31 января 2000г. проводилась аттестация работников ОАО МГТС.
В Открытом акционерном обществе «Московская городская телефонная сеть» работало 27 аттестационных комиссий, согласно утвержденным графикам.
Аттестации подлежало 1022 человека:
138 работников – молодые специалисты, отработавшие а сети 3 года, 887 работников - служащие, пришедшие на сеть по вольному найму в 1997-1998г.г.
Не были включены в аттестацию 65 работников – из числа женщин, имеющих детей в возрасте до 3 лет и специалистов, проработавших в занимаемой должности менее года.
Прошли аттестацию 1020 работников:
соответствует занимаемой должности 1011 работников,
соответствует занимаемой должности при условии улучшения работы и выполнения рекомендаций аттестационной комиссии с повторной аттестацией через год – 9 работников.
Не прошли аттестацию по причине болезни – 2 работника.
На заседаниях аттестационных комиссий были предложены следующие рекомендации:
повысить в должности – 48 работников,
повысить квалификационный уровень по оплате труда – 104 работникам,
зачислить в кадровый резерв – 31 работника,
рекомендовать повысить деловую квалификацию, профессиональное мастерство, личную ответственность за выполнение обязанностей, осваивать новую технику и технологию и др.
В целях дальнейшего совершенствования подбора. Использования и подготовки кадрового повышения эффективности их труда и ответственности за выполнение должностных обязанностей
ПРИКАЗЫВАЮ:
1.Утвердить результаты аттестации молодых специалистов и служащих Общества.
2.Аттестаионным комиссиям в установленные сроки провести повторную аттестацию работников, признанных соответствующими занимаемой должности условно.
3.Отделам по персоналу (отделам кадров) разработать и утвердить планы мероприятий по выполнению рекомендаций аттестационных комиссий.
4.Приказ довести до всего личного состава работников АО МГТС.
5.Контроль за выполнением приказа ВОЗЛОЖИТЬ на начальника Управления по персоналу Афонина.В.А.
Генеральный директор АО МГТС В.С.Лагутин
Приложение 6
ОТКРЫТОЕ АКЦИОНЕРНОЕ ОБЩЕСТВО
«МУРМАНСКИЙ ТАРНЫЙ КОМБИНАТ»
КОЛЛЕКТИВНЫЙ ДОГОВОР
на 2002 год
Принят решением
конференции трудового
коллектива 27 марта 2002г.
1. ОБЩИЕ ПОЛОЖЕНИЯ
Сторонами настоящего коллективного договора являются:
Работодатель в лице генерального директора открытого акционерного общества "Мурманский тарный комбинат" и Работники ОАО "Мурманский тарный комбинат" в лице председателя профсоюзного комитета ОАО "Мурманский тарный комбинат".
Стороны в дальнейшем именуются "Работодатель" и "Работники".
Коллективным договором регулируются социально-трудовые, социально-экономические и профессиональные отношения между Работодателем и Работниками с целью обеспечения стабильной и прибыльной работы ОАО "Мурманский тарный комбинат" в рыночных условиях, его дальнейшего развития и, на основе этого, обеспечения социально-экономических гарантий работникам и их семьям.
Все положения настоящего коллективного договора разработаны на основе и в соответствии с действующими на момент его заключения законодательными и другими нормативными правовыми актами.
Действие коллективного договора распространяется как на членов профсоюза, так и не членов профсоюза, уполномочивших профком представлять их интересы.
2. СОВМЕСТНАЯ РАБОТА СТОРОН КОЛЛЕКТИВНОГО ДОГОВОРА
Стороны договорились, что цели заключения коллективного договора могут быть достигнуты при условии выполнения взаимных обязательств:
2.1. 1 Работодатель обязуется:
2.1.1. Принимать необходимые меры к повышению эффективности производственно - хозяйственной деятельности, получения прибыли для развития производства и обеспечения выполнения настоящим договором гарантий и льгот работникам комбината.
2.1.2. Обеспечивать работников исправными средствами производства, необходимым сырьем, материалами и другими ресурсами.
2.1.3. Создавать безопасные условия труда, осуществлять мероприятия, направленные на снижение действия вредных производственных факторов на здоровье работников.
2.1.4. Создавать условия для профессионального роста, развития творческой инициативы и рационализаторства трудящихся.
2.1.5. Проводить рабочие собрания в структурных подразделениях о производственно-экономической деятельности предприятия не реже 1 раза в квартал.
2.2.1. Работники обязуются:
2.2.1. Работать добросовестно, соблюдать производственную и трудовую дисциплину, выполнять требования по охране труда и технике безопасности, содержать рабочее место, оборудование и приспособления в чистоте и порядке, бережно относиться к средствам производства, выполнять Правила внутреннего трудового распорядка.
2.3.1 Профсоюзный комитет обязуется:
2.3.1. Представлять интересы и защищать права всех работников ОАО "Мурманский тарный комбинат" в области их трудовых и социально - экономических отношений. Осуществлять контроль за соблюдением трудового законодательства.
2.3.2. Содействовать укреплению социальной стабильности в трудовых коллективах, трудовой и производственной дисциплины, охраны труда и культуры производства.
2.3.3. Требовать от работников добросовестного отношения к трудовым обязанностям, соблюдения Правил внутреннего трудового распорядка, инструкций по технике безопасности и противопожарной безопасности.
2.3.4. Участвовать в разрешении конфликтов, возникающих между администрацией и работниками Общества.
3. ОПЛАТА ТРУДА
Работодатель обязуется:
3.1. Установить минимальную месячную тарифную ставку рабочих 1 разряда не ниже удвоенного минимального размера оплаты труда, установленного Законом РФ.
3.2. По каждой профессионально - квалификационной группе работников сохранить действующие соотношения в размерах ставок.
3.3. Тарификацию работ, присвоение разрядов работникам и наименований должностей руководителей, специалистов и служащих осуществлять согласно Единых тарифно-квалификационных справочников работ и профессий рабочих и Квалификационного справочника должностей руководителей, специалистов и служащих.
3.4. Работникам, работающим во вредных условиях труда, на основании результатов аттестации рабочих мест производить доплату в размере 4,8,12% к тарифной ставке (окладу) согласно "Перечня профессий рабочих и работ с вредными условиями труда"
Доплаты за вредные условия труда начислять рабочим за время фактической занятости работников на этих работах согласно табеля учета рабочего времени к тарифным ставкам (окладам) по выполняемой работе во вредных условиях труда.
3.5. В соответствии с законодательством производить доплату работникам за работу в ночное время с 22 часов вечера до 6 часов утра в размере 20% тарифной ставки (оклада) за каждый час работы в ночное время.
При многосменном режиме производить доплату работникам за работу в вечернюю смену - 20%, в ночную - 40% часовой тарифной ставки (оклада).
Многосменным считается такой режим, когда работа в цехе, на участке или производственном комплексе на протяжении не менее двух недель организована в 2 или 3 смены. При этом продолжительность рабочей смены не менее установленной законодательством, а работники чередуются по сменам равномерно, как правило, через неделю.
Смена, в которой не менее 50% рабочего времени приходится на ночное (с 22час. до 6час. утра), считается ночной. Смена, непосредственно предшествующая ночной, считается вечерней.
3.6. Работникам, выполняющим в одном и том же подразделении комбината наряду со своей основной работой дополнительную работу по другой профессии (должности) или исполняющим обязанности временно отсутствующего работника без освобождения от своей основной работы, производить доплаты в размере до 30% часовой тарифной ставки (оклада) отсутствующего работника по соглашению работника и руководителя подразделения.
3.7. Премирование рабочих, руководителей, специалистов и служащих за основные результаты хозяйственной деятельности, рационализаторские предложения, выполнение особо важных производственных заданий производить в соответствии с действующими на комбинате положениями.
3.8. Выдачу заработной платы производить не позднее следующих сроков:
- аванс - 29 числа ежемесячно
- окончательный расчет - 12 числа ежемесячно
4. РАБОЧЕЕ ВРЕМЯ И ВРЕМЯ ОТДЫХА.
Работодатель обязуется:
4.1. Продолжительность ежедневной работы, время начала и окончания работы, перерыва для отдыха и приема пищи определять графиками сменности и Правилами внутреннего трудового распорядка, согласованными с профсоюзным комитетом.
Установленная продолжительность рабочей недели - 40 часов, для женщин - 36 часов (в соответствии с Законом РФ "О государственных гарантиях и компенсациях для лиц, работающих и проживающих в районах Крайнего Севера и приравненных к ним местностям").
При этом заработная плата женщинам сохраняется в том же размере, что и при полной рабочей неделе в соответствии с законодательством.
Для отдельной категории работников (сторожей, приемосдатчиков груза и багажа участка ПРР Кола), работающей по 12 часов в смену, установить суммированный учет рабочего времени за квартал.
4.2. Предоставлять всем работникам в соответствии с утвержденными графиками основной ежегодный отпуск продолжительностью 28 календарных дней. Кроме основного отпуска предоставить дополнительный отпуск:
- 24 календарных дня в соответствии с Законом РФ "О государственных гарантиях и компенсациях для лиц, работающих и проживающих в районах Крайнего Севера и приравненных к ним местностях";
- работникам, занятым на работах с вредными условиями труда, согласно "Перечня профессий и должностей работников ОАО "МТК" с вредными условиями труда, работа в которых дает право на дополнительный отпуск";
4.3. Первоочередное право использовать отпуск в летнее время (с 1 мая по 31 августа) предоставлять женщинам, работающим на комбинате и имеющим двух и более детей в возрасте до 12 лет.
4.4. Предоставлять работникам по их письменному заявлению в счет отпуска не менее 3 календарных дней.
4.5. Средний дневной заработок для оплаты отпусков, выплаты компенсации за неиспользованный отпуск и в других случаях определения размера средней заработной платы, кроме тех, когда нормативно-правовыми актами РФ установлены иные правила его подсчета, исчислять за последние три календарных месяца.
4.6. В целях рационального использования трудовых ресурсов и рабочего времени в период нестабильного спроса на продукцию потребителями принимать меры по:
- вводу режима неполного рабочего времени без сокращения численности работников с оплатой труда пропорционально отработанному времени;
- переводу работников (с их согласия) на работу в другие подразделения комбината с оплатой труда по выполняемой работе.
5. ОХРАНА И БЕЗОПАСНОСТЬ ТРУДА
Работодатель обязуется:
5.1. Выполнить мероприятия по улучшению условий труда на рабочих местах, предусмотренные Соглашением по охране труда.
5.2. Выполнить в установленные сроки все запланированные мероприятия по подготовке к работе в зимних условиях.
5.3. Своевременно и бесплатно выдавать работающим качественную специальную одежду, специальную обувь и другие средства индивидуальной защиты согласно действующих норм.
5.4. Спецодежду и спецобувь, пришедшую в непригодность до истечения срока носки не по вине работника, заменять новой или отремонтированной.
5.5. Выдавать в профилактических целях бесплатно по 55 гр. сухого молока или 250 гр. сока в смену работникам, занятым на работах с вредными условиями труда, согласно "Списка профессий и должностей работников постоянно контактирующих в процессе работы с вредными химическими веществами".
5.6. Содержать в порядке территории производственных участков и цехов, обозначать и соблюдать габариты проходов и проездов, обеспечивать безопасность при эксплуатации оборудования, приспособлений, механизмов, внутризаводского транспорта.
Работники обязуются:
5.7. Соблюдать требования по охране труда, технике безопасности, производственной санитарии, противопожарной безопасности, предусмотренные соответствующими правилами и инструкциями.
5.8. Работать в соответствующей спецодежде и спецобуви, пользоваться необходимыми средствами индивидуальной защиты (касками, очками, антифонами, респираторами и т.д.).
5.9. Нарушение требований по охране труда, технике безопасности и противопожарной безопасности считать нарушением трудовой дисциплины, за которое работники могут быть привлечены к дисциплинарной ответственности и снижен размер премии.
5.10. Немедленно сообщать своему непосредственному руководителю о любом несчастном случае, происшедшем на производстве, о признаках профессионального заболевания, а также о ситуации, которая создает угрозу жизни и здоровью людей.
5.11. Своевременно обращаться в медицинское учреждение по поводу производственной травмы и травмы, полученной в пути на работу и с работы (обязаны обратиться в день получения травмы).
Несвоевременное обращение считается сокрытием обстоятельств получения травмы, а потому расследуется и оплачивается как бытовая травма.
6. СОЦИАЛЬНЫЕ ГАРАНТИИ И КОМПЕНСАЦИИ
Работодатель обязуется:
6.1. Оплачивать работникам ОАО "Мурманский тарный комбинат" один раз в два года проезд к месту использования отпуска на территории Российской Федерации и обратно любым видом транспорта, в том числе личным, кроме такси при наличии именных проездных документов.
При поездке к месту отдыха на личном транспорте проезд оплачивать при предъявлении в расчетную часть документов согласно Положения, действующего на комбинате.
Оплачивать также стоимость проезда к месту использования отпуска работника и обратно в течение одного календарного года неработающим членам семьи (мужу, жене, несовершеннолетним детям) по письменному заявлению работника при предоставлении в расчетную часть документов, удостоверяющих, что муж (жена), дети находятся на его иждивении и не имеют собственных доходов. При этом, неработающие муж (жена) предоставляют паспорт, свидетельство о браке, трудовую книжку, справки с налоговой инспекции и отдела социального обеспечения по месту жительства. На несовершеннолетних детей предоставляются свидетельства о рождении или об усыновлении ребенка, а на учащихся дополнительно справки с места учебы. Если дети школьного возраста нигде не учатся, то они должны представить те же справки, что неработающие родители.
Выплачивать аванс в размере 50 процентов стоимости проезда к месту использования отпуска и обратно работника и неработающих членов его семьи перед отъездом работника в отпуск. Окончательный расчет производить по возвращении работника из отпуска на основании предоставленных билетов или других документов.
6.2. Работникам комбината, совмещающим работу с обучением в образовательных учреждениях высшего и среднего профессионального образования по заочной и очно-заочной (вечерней) формам обучения, успешно обучающимся в этих учреждениях, соответствующие гарантии и компенсации (дополнительный отпуск с сохранением среднего заработка, оплата проезда к месту нахождения учебного заведения и обратно и т.д.) предоставляются только при условии, что эти образовательные учреждения высшего и среднего профессионального образования имеют государственную аккредитацию и, если работник получает образование соответствующего уровня впервые.
6.3. Работникам, имеющим двух или более детей в возрасте до четырнадцати лет, либо ребенка-инвалида в возрасте до восемнадцати лет, одинокой матери, воспитывающей ребенка в возрасте до четырнадцати лет, отцу, воспитывающему ребенка в возрасте до 14 лет без матери, по их письменному заявлению предоставляются ежегодные дополнительные отпуска без сохранения заработной платы продолжительностью до 14 календарных дней.
Если работник намерен использовать указанный отпуск, то он должен предупредить об этом руководителя при составлении графика отпусков. Этот отпуск может быть присоединен к ежегодному оплачиваемому отпуску или использован отдельно полностью либо по частям. Перенесение этого отпуска на следующий рабочий год не допускается. Если на комбинате работают оба родителя, то дополнительный отпуск без сохранения зарплаты предоставляется в текущем году только одному из них.
6.4. Оказывать ежемесячную материальную помощь в сумме 500 рублей женщинам, работающим в ОАО "МТК" и находящимся в отпуске по уходу за детьми до достижения ими возраста трех лет.
6.5. Выделять средства для проведения культурно - массовой и спортивно-оздоровительной работы среди трудящихся комбината.
6.6. Оказывать содействие в работе и выделять денежные средства общественной организации Союзу ветеранов тарного комбината в соответствии с решением Совета директоров ОАО "МТК".
6.7. При необходимости проведения платной операции или платного лечения, подтвержденного направлением лечебного учреждения, для сохранения жизни работнику или несовершеннолетнему члену семьи, находящемуся на иждивении, оплачивать из средств предприятия лечебным учреждениям по безналичному расчету 50 процентов их стоимости по счету.
6.8. В случае смерти работника комбината оказывать материальную помощь в сумме 2000 рублей по личному заявлению одного из членов семьи при предъявлении свидетельства о смерти в подлиннике. В случае смерти пенсионера, уволившегося на пенсию с тарного комбината, оказывать материальную помощь в сумме 800 рублей в том же порядке, что и в предыдущем случае. Если умершие работник или пенсионер не имели родственников, материальная помощь оказывается лицу, взявшему на себя расходы по похоронам. На похороны близких родственников работника (матери, отца, жены, мужа, детей) и пенсионера (мужа, жены) оказывать материальную помощь в сумме 300 рублей.
6.9. Работникам ОАО "Мурманский тарный комбинат", уволившимся по состоянию здоровья на нерабочую группу по инвалидности, оказывать единовременную материальную помощь в сумме, определенной решением Совета директоров Общества.
6.10. При выплате работникам комбината пособий по временной нетрудоспособности производить доплату за счет средств предприятия до ста процентов среднего заработка согласно законодательства.
7. ПООЩРЕНИЯ
7.1. Вручать лучшим работникам ко Дню рыбака за высокие производственные показатели, выполнение особо важных заданий, совершенствование техники и технологии производства, образцовое руководство вверенным участком, долголетнюю и безупречную работу Почетные грамоты, Благодарственные письма и премию в сумме 300 рублей.
Кандидатуры на поощрение по решению руководства и профсоюзной группы подразделений представляются в отдел труда и заработной платы за два месяца до профессионального праздника.
Заносить на Доску Почета ОАО "МТК" передовиков производства ко Дню рыбака и выплачивать им премию в сумме 500 рублей.
7.2. Вручать поздравления и премию в сумме 600 рублей за многолетний и добросовестный труд работникам при достижении возраста 50 лет при непрерывном стаже работы на комбинате не менее 15 лет. Работники, допустившие прогул, хищение, появление на работе в нетрезвом виде, распитие спиртных напитков на работе в течение последних 3-х лет, права на получение премии не имеют.
Все вышеуказанные премии выплачиваются за счет чистой прибыли.
8. ОТНОШЕНИЯ С ПРОФСОЮЗНОЙ ОРГАНИЗАЦИЕЙ
Работодатель обязуется:
8.1. Предоставлять профсоюзному комитету в бесплатное пользование помещения, транспорт, мебель, средства связи. Обеспечивать печатание и размножение материалов и документов, необходимых для работы профкома.
8.2. Ежемесячно и бесплатно перечислять на счет обкома Российского профсоюза работников рыбного хозяйства членские взносы из заработной платы работников, являющихся членами профсоюза, не позднее дня выдачи зарплаты.
8.3. Выбранные на освобожденную работу работники профкома являются членами трудового коллектива ОАО "МТК" и на них распространяются льготы, социальные гарантии и положения о премировании, предусмотренные коллективным договором.
8.4. Привлекать членов профсоюзного комитета при обсуждении и решении социально-трудовых вопросов на заседании Совета директоров и руководящего состава аппарата управления Общества.
9. ЗАКЛЮЧИТЕЛЬНЫЕ ПОЛОЖЕНИЯ
9.1. Настоящий коллективный договор заключен сроком на один год и вступает в силу со дня подписания и действует до тех пор, пока стороны не заключат новый или не изменят, дополнят действующий.
9.2. Изменения и дополнения в коллективный договор в течение срока его действия производятся по взаимному согласию сторон. Предложения по изменению и дополнению коллективного договора вносятся в письменном виде и должны быть рассмотрены в течение двух недель.
9.3. Контроль за выполнением коллективного договора осуществляют обе стороны, подписавшие его и отчитываются за полугодие на совместном заседании представителей трудовых коллективов и профкома, за год - на конференции представителей структурных подразделений ОАО "Мурманский тарный комбинат" не позднее 1 апреля.
От Работников От Работодателя
ОАО "Мурманский ОАО "Мурманский
тарный комбинат" тарный комбинат"
__________В.И.Конюшанец ___________С.А.Липницкий
" " марта 2002г. " " марта 2002г.
Приложение 7

График, отражающий отношение работников комбината к введению аттестации персонала
Приложение 8
Проект
Анкета для аттестации
Уважаемые коллеги! Мы проводим анкетирование сотрудников по ряду вопросов, касающихся условий работы на нашем предприятии. Ваши советы помогут выяснить реальные интересы персонала и максимально учесть их при подготовке и принятии решений, касающихся работников предприятия.
Мы просим Вас не пропускать вопросы и отвечать искренне.
Инструкция:
Отметьте свое согласие с тем или иным вариантом, поставив любой знак в квадрате рядом с ответом.
Вы можете выбрать только один ответ, кроме тех вопросов, где предусмотрено несколько ответов.
Перед началом заполнения анкеты, укажите, пожалуйста:
Ф.И.О.__________________________________________________________________
Структурное подразделение, должность______________________________________
Ваш возраст
до 25 лет
25-35 лет
старше 35 лет
Стаж работы на предприятии
до 1 года
1-5 лет
свыше 5 лет
Стаж работы на предприятии в данной должности
до 1 года
1-5 лет
свыше 5 лет
1. Назовите основные цели:
Предприятия
Вашего отдела
2. Ваша должностная инструкция:
полностью соответствует выполняемой Вами работе
в основном соответствует Вашим реальным обязанностям
не соответствует реально выполняемой Вами работе
Вы не знакомы с содержанием должностной инструкции
3. Должностная инструкция чаще имеет для Вас следующее значение:
помогает определить границы Ваших обязанностей и полномочий
стесняет, мешает реализации Ваших профессиональных знаний
необходима в ситуациях, связанных с отчетностью
не имеет влияния на вашу работу
4. Результаты работы, которых Вы должны достичь:
определены на словах Вашим руководителем
определены в регламентирующих документах
не определены (определяются Вами самостоятельно)
трудно измерить в количественно-качественных показателях
5. Критерии, по которым руководителем оцениваются результаты Вашей работы:
объективны и Вам известны
субъективны и Вам не известны
Вам не известны
6. Вам известны перспективы развития:
Предприятия
на год
на месяц
меньше месяца
не известны
Вашего отдела
на год
на месяц
меньше месяца
не известны
Ваши личные перспективы
на год
на месяц
меньше месяца
не известны
7. Как Вы считаете, достаточно ли ценят Ваш труд:
коллеги
да
нет
руководитель отдела
да
нет
руководитель предприятия
да
нет
8. Специалисты Вашей квалификации на других предприятиях получают зарплату:
примерно такую же
выше
ниже
другое
9. Для качественного и полного выполнения Вашей работы представленные Вам полномочия:
достаточны
возможно их расширение
необходимо их расширение
10. Вы используете в своей работе свои профессиональные навыки и способности:
полностью
не полностью
в отдельных случаях
совсем нет
11. На нашем Предприятии руководители, как правило, заинтересованы в профессиональном росте своих сотрудников:
согласен
не согласен
не знаю
12. Продвижение по службе сотрудников нашего Предприятия в наибольшей степени зависит от: (здесь можно выбрать до двух ответов)
собственной активности и стремления сотрудника
уровня профессионализма сотрудника
личного отношения руководителя к сотруднику
“нужных” контактов сотрудников на разных уровнях
наличия свободных вакансий
соответствия сотрудника формальным признакам (стаж, пол, образование)
другое
13. Наиболее реальные перспективы своего должностного роста Вы видите:
в Вашем отделе
в другом отделе
реальных перспектив должностного роста Вы не видите
Вы не стремитесь к должностному росту
14. Для Вашего профессионального роста необходимо:
иметь достаточно времени для самостоятельного обучения
посещать дополнительные курсы
получить высшее образование
иметь возможность время от времени менять работу внутри предприятия
набрать достаточный стаж работы по специальности
другое
15. Вы видите свое профессиональное развитие, прежде всего, как (до двух ответов):
совершенствование профессиональных знаний и накопление опыта
перемещение в другие подразделения
продвижение на руководящую должность в своем подразделении
руководство отдельными проектами без занятия руководящей должности
16. Возможность перехода в другое подразделение Вы рассматриваете как:
более полное использование способностей и профессиональных знаний
возможность узнать что-то новое и вырасти профессионально
вынужденный шаг, необходимость
предпочитаете совершенствование в рамках нынешней специальности
17. В какой информации Вы испытываете недостаток (любое количество ответов):
информации о деятельности и услугах предприятия
политике администрации
информации о деятельности смежных подразделений
у Вас достаточно информации
другое
18. Вы информированы о целях, основных задачах и приоритетных направлениях деятельности Предприятия:
очень хорошо
вполне достаточно
недостаточно
плохо
затрудняюсь ответить
19. О достижениях отдельных сотрудников и коллективов Предприятия Вы:
узнаете регулярно
получаете информацию, но не регулярно
узнаете “по слухам”
имеете приблизительное представление
не знаете ничего
Вам это неинтересно
Благодарим за сотрудничество!
Приложение.
Ниже Вы можете высказать свое мнение или внести дополнительную информацию, которая, возможно, не была учтена в анкете:
Приложение 9
Экспертная оценка специалиста
|
Характеристика (квалификационный признак) |
Оценка по пятибалльной системе |
Фактическая оценка аттестационной комиссии (эксперта) |
|
1. Соответствие знаний работника выполняемой работе: |
||
|
вполне соответствует |
5 |
|
|
частично |
3 |
|
|
не соответствует |
1 |
|
|
2. Выполнение плановых заданий: |
||
|
всегда выполняет |
5 |
|
|
редко бывают случаи невыполнения |
4 |
|
|
случаи невыполнения не редки |
3 |
|
|
не выполняет постоянно |
0 |
|
|
3. Качество работы: |
||
|
исключительно высокое качество работы, использует новые творческие решения |
5 |
|
|
работает хорошо, старательно |
4 |
|
|
работает удовлетворительно, случаются ошибки |
3 |
|
|
работает небрежно, с ошибками, иногда работу нельзя принять |
1 |
|
|
4. Производительность труда: |
||
|
все работы выполняет в срок или досрочно, охотно берет дополни тельные задания |
5 |
|
|
задания выполняет в срок |
4 |
|
|
как правило, задания выполняются в срок, иногда случаются срывы |
3 |
|
|
задания выполняются с опозданиями |
1 |
|
|
5. Оценка качества труда по комплексной системе управления качеством труда (средняя за последний год): |
||
|
на уровне планируемой и выше |
5 |
|
|
ниже планируемой до 10% |
3 |
|
|
ниже планируемой более 10% |
1 |
|
|
6. Исполнительская дисциплина (средняя за последний год): |
||
|
на уровне планируемой и выше |
5 |
|
|
ниже планируемой до 10% |
3 |
|
|
ниже планируемой более 10% |
1 |
|
|
7. Трудовая дисциплина (за последние пять лет); |
||
|
никогда не нарушал |
5 |
|
|
одно нарушение |
3 |
|
|
более одного нарушения |
0 |
|
|
8. Самостоятельность: |
||
|
вопросы всегда решает самостоятельно |
5 |
|
|
самостоятельные решения принимает в большинстве случаев |
4 |
|
|
уклоняется от принятия самостоятельных решений |
1 |
|
|
9. Ответственность: |
||
|
всегда готов принять на себя ответственность за принятые решения |
5 |
|
|
иногда избегает ответственности за свою работу |
4 |
|
|
уклоняется от любой ответственности |
1 |
|
|
10. Инициатива: |
||
|
всегда готов вмешаться в дело ради общих интересов |
5 |
|
|
выполняет работу в пределах своих обязанностей |
4 |
|
|
отсутствие инициативы, требует постоянного контроля |
3 |
|
|
11. Отношение к профессии (работе): |
||
|
любит свою профессию (работу), считает ее важной |
5 |
|
|
не испытывает особого интереса к своей профессии (работе), но не собирается менять |
3 |
|
|
тяготиться профессией и готов ее при первой же возможности сменить |
1 |
|
|
12. Знание своих служебных обязанностей: |
||
|
отлично знает свои обязанности |
4 |
|
|
недостаточно знает свои обязанности. |
3 |
|
|
не знает |
1 |
|
|
13. Участие в разработке и осуществлении планов оргтехмероприятий, планов технического развития и др. |
||
|
постоянно участвует |
4 |
|
|
участвует иногда |
3 |
|
|
не участвует |
1 |
|
|
14. Совершенствует ли свои знания (чтение технической и специальной литературы): |
||
|
совершенствует систематически |
3 |
|
|
совершенствует периодически |
2 |
|
|
не совершенствует |
1 |
|
|
15. Пользуется ли иностранной специальной литературой: |
||
|
пользуется постоянно |
3 |
|
|
пользуется периодически |
2 |
|
|
не пользуется |
1 |
|
|
Суммарный балл |
СЕВЕРО-ЗАПАДНАЯ АКАДЕМИЯ ГОСУДАРСТВЕННОЙ СЛУЖБЫ
МУРМАНСКИЙ ФИЛИАЛ
Специальность: «Государственное и муниципальное управление»
ДИПЛОМНАЯ РАБОТА
Аттестация персонала
(на примере ОАО «Мурманский тарный комбинат)
студента (слушателя) ____группы
______________________________ (ф.и.о.)
_____________________________
(подпись)
«____»_____________2002 г.
Научный руководитель
______________________________
(ф.и.о.)
____________________________
(звание, степень, должность)
___________________________
(подпись)
«____»_____________2002 г.
Рецензент
____________________
(ф.и.о.)
__________________________
(звание, степень, должность)
_________________________
(подпись)
«____»___________2002 г.
Мурманск
2002