Информационное обеспечение управления предприятием
Министерство образования РФ
КУБАНСКИЙ ГОСУДАРСТВЕННЫЙ ТЕХНОЛОГИЧЕСКИЙ УНИВЕРСИТЕТ
Кафедра менеджмента
ДИПЛОМНАЯ РАБОТА
На тему: «Информационное
обеспечение
управления предприятием»
(по материалам ОАО «Технический университет КубГТУ»)
|
Автор дипломной работы |
Е.В. Крылов |
|
|
Руководитель дипломной
работы, |
Ф.В. Шутилов |
|
|
Консультанты: |
||
|
По безопасности
жизнедеятельности, |
Н.В. Сапрыкина |
|
|
Нормоконтролёр, |
||
|
Дипломная работа допускается к защите |
||
|
Заведующий кафедрой, профессор |
Г.Я. Рубин |
КУБАНСКИЙ ГОСУДАРСТВЕННЫЙ ТЕХНОЛОГИЧЕСКИЙ УНИВЕРСИТЕТ
Кафедра менеджмента
У Т В Е Р Ж Д А Ю
Завкафедрой ______________
«____» ______________ 2000г.
ЗАДАНИЕ
НА
ДИПЛОМНОЕ ПРОЕКТИРОВАНИЕ
по специальности 06.11 менеджмент
студенту Крылову Е.В.
Тема проекта: «Информационное обеспечение управления предприятием» (по материалам ОАО «Технический университет КубГТУ»)
утверждённая приказом по университету № _______ от ______ 2000 г.
Руководитель проектирования профессор Рубин Г.Я.
Консультанты по проекту:
_________________________________________________
_________________________________________________
_________________________________________________
_________________________________________________
_________________________________________________
Срок сдачи законченного проекта на кафедру 31.05.2000 г.
РЕФЕРАТ
Стр.
125, рис. 15, табл. 12, прил. 5,
источников 21
ИНФОРМАЦИЯ, ИНФОРМАЦИОННОЕ ОБЕСПЕЧЕНИЕ, ИНФОРМАЦИОННАЯ СИСТЕМА, УПРАВЛЕНИЕ ОРГАНИЗАЦИЕЙ, АВТОМАТИЗАЦИЯ УПРАВЛЕНИЯ, ЛОКАЛЬНАЯ СЕТЬ, ДОКУМЕНТООБОРОТ, ПРОГРАММНОЕ ОБЕСПЕЧЕНИЕ.
Целью дипломной работы является изучение проблемы совершенствования информационного обеспечения управления организацией. На примере организации необходимо рассмотреть существующее положение дел в изучаемой области, произвести детальный анализ, выявить причины неудач, если они есть, и разработать реальные предложения по улучшению положения.
Объект исследования в данной дипломной работе является ОАО «Технический университет КубГТУ» и результаты его деятельности с 1997 по 1999 годы.
В дипломной работе обоснованы целесообразность внедрения в организации современной информационной системы, позволяющей сократить накладные расходы и повысить производительность управленческого труда. Приведённые расчёты экономической эффективности внедрения информационной системы, подтверждают целесообразность результатов работы.
Экономический эффект от предлагаемых мероприятий составляет 10866 рублей в год.
125
pages, 15 graphics, 12 tables, 21 sources, 5 appendixes
СОДЕРЖАНИЕ
ВВЕДЕНИЕ 5
1 ТЕОРЕТИЧЕСКИЕ ОСНОВЫ ИНФОРМАЦИОННОГО ОБЕСПЕЧЕНИЯ УПРАВЛЕНИЯ ПРЕДПРИЯТИЕМ 8
1.1 Сущность, значение и особенности информационного обеспечения 8
1.2 Технология информационной деятельности 17
1.3 Пути совершенствования информационной системы 24
1.4 Формирование комплексной информационной системы 34
2 АНАЛИЗ ИНФОРМАЦИОННОГО ОБЕСПЕЧЕНИЯ УПРАВЛЕНИЯ ПРЕДПРИЯТИЕМ 42
2.1 Общая характеристика объекта исследования 42
2.2 Технико-экономические показатели 54
2.3 Анализ системы документооборота 58
2.4 Анализ материально-технического обеспечения 69
3 СОВЕРШЕНСТВОВАНИЕ ИНФОРМАЦИОННОГО ОБЕСПЕЧЕНИЯ В ОРГАНИЗАЦИИ 77
3.1 Пути сокращения управленческих затрат 77
3.2 Улучшение сетевой организации предприятия 85
3.3 Внедрение автоматизированной информационной системы 92
3.4 Использование Интернет технологий 96
4 ОРГАНИЗАЦИЯ БЕЗОПАСНОСТИ ЖИЗНИДЕЯТЕЛЬНОСТИ 100
4.1 Значение и задачи безопасности труда 100
4.2 Характеристика условий и безопасности труда 101
4.3 Пожарная профилактика 105
4.4 Режимы труда и отдыха при работе с персональными компьютерами 106
5 ОХРАНА ОКРУЖАЮЩЕЙ СРЕДЫ 110
ЗАКЛЮЧЕНИЕ 115
СПИСОК ИСТОЧНИКОВ 120
Приложение А 122
Приложение Б 123
Приложение В 124
Приложение Г 125
Приложение Д 126
ВВЕДЕНИЕ
Для принятия эффективных управленческих решений в условиях динамичного развития рыночной экономики предприятию требуется целесообразная система информационного обеспечения, объективно отражающая сложившуюся экономическую ситуацию. Выбранная мной тема является наиболее актуальной на сегодняшний день, так как хорошее информационное обеспечение это не только залог успеха и конкурентоспособности фирмы, но и порой выступает как средство выживания в условиях жесткой конкуренции.
Информационное обеспечение управления – это связь информации с системами управления предприятием и управленческим процессом в целом. Оно может рассматриваться не только в целом, охватывая все функции управления, но и по отдельным функциональным управленческим работам, например прогнозированию и планированию, учету и анализу. Это дает возможность оттенить специфические моменты, присущие информационному обеспечению функционального управления, раскрыв в то же самое время его общие свойства, что позволяет направить исследования вглубь.
В современных условиях важной областью стало информационное обеспечение, которое состоит в сборе и переработке информации, необходимой для принятия обоснованных управленческих решений. Передача информации о положении и деятельности фирмы на высший уровень управления и взаимный обмен информацией между всеми взаимосвязанными подразделениями фирмы осуществляются на базе современной электронно-вычислительной техники и других технических средств связи.
Цель данной дипломной работы становление качественного информационного обеспечения подразделений всех уровней, так как это основа эффективного управления предприятием. Использование для этого автоматизированных систем, безусловно, наилучший (если не единственно возможный) путь.
Исходя из поставленной цели дипломной работы в исследуемой организации необходимо решить взаимосвязанный комплекс задач, позволяющие построить информационную систему, построенную на основе модели реально существующих и взаимодействующих бизнес-процессов всех структурных подразделений, а не отдельных групп пользователей.
Объектом исследования является открытое акционерное общество «Технический университет КубГТУ». В этой организации только происходит становление новой информационной системы на основе локальной вычислительной сети. Необходимо оценить уже достигнутые результаты, определить круг нерешённых задач и произвести расчёты экономической эффективности от предпринимаемых мероприятий.
При анализе существующей проблемы используются методы системного, структурного и факторного анализа из учебника Савицкой «Анализ хозяйственной деятельности».
В дальнейшем приводятся реальные предложения по улучшению информационного обеспечения организации и проводится расчёт экономической эффективности.
Наметившийся в России переход к рыночной экономике требует новых подходов к управлению: на первый план выходят экономические, рыночные критерии эффективности, повышаются требования к гибкости. Научно-технический прогресс и динамика внешней среды заставляют современные предприятия превращаться во все более сложные системы, для которых необходимы новые методы для обеспечения управляемости. Поэтому можно утверждать, что эффективная деятельность современного предприятия возможна только при наличии единой корпоративной (комплексной) системы, объединяющей управление финансами, персоналом, снабжением, сбытом и процесс управления производством. Такие системы стали рассматриваться как средство достижения основных целей бизнеса - улучшения качества выпускаемых товаров и услуг, увеличения объема производства, занятия устойчивых позиций на рынке и победы в конкурентной борьбе. Требования, предъявляемые к корпоративной информационной системе, не зависят от формы собственности и сферы деятельности предприятия, а её программные модули должны соответствовать бизнес-процессам, функции автоматизированных рабочих мест - должностным обязанностям сотрудников.
Информация нужна всем: управляющим структурам, коллективам предприятий, общественным организациям, всем работающим. Невозможно опираться только на интуицию, на свой жизненный и практический опыт, необходимо получать и осваивать все расширяющуюся информацию, помогающую решать возникающие вопросы. Информация выступает сегодня как один из первостепенных ресурсов, значение которого не меньше, чем значение материальных, сырьевых и других ресурсов. Кстати, использование последних в значительной степени зависит именно от состояния и использования информации. В отличие от большинства ресурсов, которые способны истощаться, информационный потенциал может использоваться многократно как коллективами, так и индивидуальными работниками. При этом он постоянно увеличивается и обогащается.
1ТЕОРЕТИЧЕСКИЕ ОСНОВЫ ИНФОРМАЦИОННОГО ОБЕСПЕЧЕНИЯ УПРАВЛЕНИЯ ПРЕДПРИЯТИЕМ
1.1Сущность, значение и особенности информационного обеспечения
Важнейший фактор повышения эффективности производства в любой отрасли является улучшение управления. Совершенствование форм и методов управления происходит на основе достижений научно-технического прогресса, дальнейшего развития информатики, занимающейся изучением законов, методов и способов накопления, обработки и передачи информации с помощью различных технических средств.
Различные информационно-технические новшества следует воспринимать как средство сокращения и удешевления аппарата управления. Так, например, появление телефона, радио, телевидения, персональных компьютеров, локальных компьютерных сетей и глобальной сети Интернет приводило в свою очередь к совершенствованию системы информационного обеспечения управления предприятием. В конечном итоге роль информации в организационном управлении фирмой постоянно возрастает, что связано с изменениями социально-экономического характера, появлением новейших достижений в области техники и технологий, результатами научных исследований. Научно-техническая революция выдвинула информацию в качестве важнейшего фактора производственного процесса. Информационный процесс необходим как непременное условие работы современной техники, как средство повышения качества рабочей силы, как предпосылка успешной организации самого процесса производства.
От совершенствования информационного обеспечения возможны следующие положительные результаты:
1) Возможная экономия расходов за счёт снижения
фонда заработной платы
коммунальных услуг
стоимости программного обеспечения
расходов на почту
расходов на оформление договоров
расходов на перераспределение сырья
2) Устранение возможных расходов в будущем
избежание будущего роста численности персонала
уменьшение требований к обработке данных
снижение стоимости обслуживания
3) Возможные нематериальные выгоды
улучшение качества информации
повышение производительности
улучшение и ускорение обслуживания
новые производственные мощности
более уверенные решения
улучшение контроля
уменьшение просроченных платежей
полное использование программного обеспечения
Понятие информации является достаточно ёмким и широко распространено в настоящее время. Сам термин информация происходит от латинского слова information – разъяснение, осведомление, изложение.
Процесс передачи и получения информации представлен ниже на схеме (рисунок 1). Это простая схема передачи информации в одном напрвлении.

Рисунок 1. Процесс передачи и получения информации
Процесс передачи информации даже в одном направлении проходит через множество посредников, а это значит, что во время передачи информации происходит её задержка и искажение. Кроме того, информация может преобразовываться в зависимости от того к кому она адресована. Так, например, при передачи информации вверх от подчинённых к руководителю происходит её обобщение, а при передачи вниз, от руководителя к подчинённым наоборот – она конкретизируется. Главное в этом процессе максимальная скорость передачи информации при минимальных допустимых искажениях. От этого в первую очередь зависит правильность принимаемых решений и как следствие увеличивается прибыль организации.
В процессе управления постоянно происходит обмен информацией. Причём направление перемещения информации может быть вертикальным (от руководителя к подчинённым или от подчинённых к руководителю), так и горизонтальным (между начальниками подразделений, подчинёнными одного уровня). В качестве источника информации может быть уровень цен на рынке, размер прибыли фирмы в прошлом квартале или указание руководителя (рисунок 2).
Из рисунка видно, что на эффективность принимаемых решений по управлению влияет множество показателей:
Качество, достоверность и оперативность получения информации
Знания, опыт, личные качества руководителя
Квалификационный состав подчинённых
Ситуация на рынке

где, I>вх> – входная информация о том, в каком состоянии объект управления должен быть
I>ос> – осведомляющая информация о текущем состоянии объекта управления
I>у> – управляющая информация в результате сравнения
U – воздействие исполнительного органа на объект управления
V – отклонение состояния объекта управления под воздействием внешней среды
Рисунок 2. Система управления объектом
Менеджмент в полной мере использует объективную и своевременную информацию, собираемую, обрабатываемую, сохраняемую и распространяемую с помощью современных научных методов и технических средств. Сейчас это — объективная необходимость, обусловленная, в частности, требованиями рынка адекватно реагировать на возникающие в динамично развивающейся обстановке проблемы. Нужно не только располагать своевременной и точной информацией, но уметь осмысливать ее, делать необходимые выводы и результативно воплощать в управленческих решениях. Отсюда необходимость присутствия информационной составляющей в управлении очевидна, поскольку она является основой всего управленческого процесса.
Информацию можно трактовать как совокупность сведений, сообщений, материалов, данных, определяющих меру потенциальных знаний менеджера о процессах или явлениях в их взаимосвязи.
Суть информации составляют только те данные, которые уменьшают неопределенность интересующих менеджера событий. Информация в менеджменте — сумма нужных, воспринятых и осознанных сведений, необходимых для анализа конкретной ситуации, дающая возможность комплексной оценки причин ее возникновения и развития, позволяющая определить ряд альтернативных решений, из которых реально (исходя из конкретной ситуации) найти оптимальное управленческое решение, осуществить контроль за его выполнением. Информация, следовательно — необходимая предпосылка соединения и последующего органического срастания процессов труда и развития личности.
Состав, содержание и качество информации, которая привлекается к руководителю, имеют определяющую роль в обеспечении действенности управления. Анализ информации не ограничивается только экономическими данными, а широко использует техническую, технологическую и другую информацию. Все источники данных делятся на плановые, учетные и внеучетные.
К плановым источникам относятся все типы планов, которые разрабатываются на предприятии (перспективные, текущие, оперативные, хозрасчетные задания, технологические карты), а также нормативные материалы, сметы, ценники, проектные задания и др.
Источники информации учетного характера - это все данные, которые содержат документы бухгалтерского, статистического и оперативного учета, а также все виды отчетности, первичная учетная документация.
Ведущая роль в информационном обеспечении анализа принадлежит бухгалтерскому учету и отчетности, где наиболее полно отражаются хозяйственные явления, процессы, их результаты. Своевременный и полный анализ данных, которые имеются в учетных документах (первичных и сводных) и отчетности, обеспечивает принятие необходимых мер, направленных на улучшение выполнения планов, достижение лучших результатов хозяйствования.
Данные статистического учета, в которых содержится количественная характеристика массовых явлений и процессов, используются для углубленного изучения и осмысления взаимосвязей, выявления экономических закономерностей.
Оперативный учет и отчетность способствуют более оперативному по сравнению со статистикой или бухгалтерским учетом обеспечению анализа необходимыми данными (например, о производстве и отгрузке продукции, о состоянии производственных запасов) и тем самым создают условия для повышения эффективности аналитических исследований.
С расширением компьютерной техники появились и новые машинные источники информации. К ним относятся данные, которые содержатся в оперативной памяти компьютера, на гибких дисках, а также выдаются в виде разнообразных машинограмм. К внеучетным источникам информации относятся документы, которые регулируют хозяйственную деятельность, а также данные, которые не относятся к перечисленным ранее. В их число входят следующие документы:
Официальные документы, которыми обязан пользоваться субъект хозяйствования в своей деятельности: законы государства, указы президента, постановления правительства и местных органов власти, приказы вышестоящих органов управления, акты ревизий и проверок, приказы и распоряжения руководителей предприятия.
Хозяйственно-правовые документы: договора, соглашения, решения арбитража и судебных органов, рекламации.
Решения общих собраний коллектива, совета трудового коллектива предприятия в целом или отдельных ее подотделов.
Материалы изучения передового опыта, полученные из разных источников информации (Интернет, радио, телевидение, газеты и т.д.).
Техническая и технологическая документация.
Материалы специальных обследований состояния производства на отдельных рабочих местах (хронометраж, фотография и т.п.).
Устная информация, которая получена во время встреч с членами своего коллектива или представителями других предприятий.
По отношению к объекту исследования информация бывает внутренней и внешней. Система внутренней информации - это данные статистического бухгалтерского, оперативного учета и отчетности, плановые данные, нормативные данные, разработанные на предприятии и т.д. Система внешней информации - это данные статистических сборников, периодических и специальных изданий, конференций, деловых встреч, официальные, хозяйственно-правовые документы и т.д.
По отношению к предмету исследования информация делится на основную и вспомогательную, необходимую для более полной характеристики изучаемой предметной области.
По периодичности поступления аналитическая информация подразделяется на регулярную и эпизодическую. К источникам регулярной информации относятся плановые и учетные данные. Эпизодическая информация формируется по мере необходимости, например сведения о новом конкуренте.
Регулярная информация в свою очередь классифицируется на постоянную, сохраняющую свое значение длительное время (коды, шифры, план счетов бухгалтерского учета и др.), условно-постоянную, сохраняющую свое значение в течение определенного периода времени (показатели плана, нормативы) и переменную, характеризующую частую сменяемость событий (отчетные данные о состоянии анализируемого объекта на определенную дату).
По отношению к процессу обработки информацию можно отнести к первичной (данные первичного учета, инвентаризаций, обследований) и вторичной, прошедшей определенную стадию обработки и преобразований (отчетность, конъюнктурные обзоры и т.д.).
В деятельности крупных фирм передача информации является непременным и первостепенным фактором нормального функционирования фирмы. При этом особое значение приобретает обеспечение оперативности и достоверности сведений. Для многих фирм внутрифирменная система информации решает задачи организации технологического процесса и носит производственный характер. Это касается, прежде всего, процессов обеспечения предприятий кооперированной продукцией, поступающей со специализированных предприятий по внутрифирменным каналам. Здесь информация играет важную роль в предоставлении сведений для принятия управленческих решений и является одним из факторов, обеспечивающих снижение издержек производства и повышение его эффективности. Особую роль играет прогнозирование рыночных процессов.
Важное значение имеет информация о возникновении в ходе производства отклонений от плановых показателей, требующих принятия оперативных решений.
Существенную роль в принятии решений играет научно-техническая информация, содержащая новые научные знания, сведения об изобретениях, технических новинках своей фирмы и фирм-конкурентов. Это непрерывно пополняемый общий фонд и потенциал знаний и технических решений, практическое и своевременное использование которого обеспечивает фирме высокий уровень конкурентоспособности.
Информация служит основой для подготовки соответствующих докладов, отчетов, предложений для выработки и принятия управленческих решений.
Содержание каждой конкретной информации определяется потребностями управленческих звеньев и вырабатываемых управленческих решений. К информации предъявляются определенные требования:
краткость, четкость формулировок, своевременность поступления;
удовлетворение потребностей конкретных управляющих;
точность и достоверность, правильный отбор первичных сведений, оптимальность систематизации и непрерывность сбора и обработки сведений.
Важную роль в использовании информации играют способы ее регистрации, обработки, накопления и передачи; систематизированное хранение и выдача информации в требуемой форме; производство новой числовой, графической и иной информации. Другими словами необходимо рассмотреть технологию информационной деятельности.
1.2Технология информационной деятельности
Информатизация менеджмента в современных условиях базируется в основном на использовании вычислительной техники. Это — многоаспектный процесс, включающий в себя:
формирование соответствующей технико-технологической базы (с применением новейших информационных технологий и современных электронно-вычислительных и коммуникационных средств);
организацию производства и сферы распределения информационно-вычислительных услуг;
отработку механизма информационного обслуживания и создание действенной системы управления данными процессами;
внедрение и эксплуатацию прогрессивных форм, методов и средств проведения информационной деятельности в процессах управления, а также создание для этого необходимых материально-технических, организационно-экономических и социальных условий.
Использование вычислительной техники и информационных технологий в сфере управления открывает возможности более экономичной и рациональной организации информационных процессов, повышения их гибкости и динамичности, расширения диапазона анализируемых факторов при принятии решений и факторов их обоснований. В конечном итоге вся масса преимуществ использования электронно-вычислительной техники позволяет повысить многократно уровень управления.
Эффективное применение ЭВМ зависит от следующих условий:
создания самих вычислительных машин;
создания для них программного обеспечения;
подготовленности среды применения.
Оснащение электронной техникой позволяет экономить управленческие и накладные расходы:
значительно повышает эффективность проектно-конструкторских работ;
обеспечивает эффективное внутрифирменное планирование;
заменяет в конторском деле секретарей-машинисток, делопроизводителей;
в бухгалтерском деле облегчает составление письменных финансовых документов, осуществление бескассовых связей с банками и финансовыми учреждениями.
Во внутрифирменной системе информации используются следующие виды вычислительной техники:
ЭВМ крупногабаритные и персональные;
микропроцессоры;
средства телекоммуникаций;
электронные пишущие машинки, композеры, терминальные устройства со встроенной микроЭВМ;
средства автоматизированной обработки текстовой информации.
ЭВМ используются, прежде всего, для обработки данных и решения расчетных задач. В современных условиях ЭВМ стали все чаще применять для обработки нечисловой информации (текстовой, графической) и термин "вычислительная техника" перестал соответствовать характеру задач, решаемых с помощью компьютера.
Современные ЭВМ способны одновременно обрабатывать текстовую, цифровую и графическую информацию. В начале 80-х годов в крупных промышленных фирмах объем обрабатываемой цифровой информации составлял около 10% всей обрабатываемой внутрифирменной информации, остальная часть приходилась на текстовую информацию. Обработка текстовой информации осуществлялась с применением технических средств, основанных на использовании встроенной микроЭВМ. В системе оперативного управления мини-ЭВМ чаще всего используются для:
разработки оперативных планов производства и контроля за их выполнением;
контроля движения запасов материалов, необходимых для процесса производства;
расчета заработной платы;
контроля за поступлением заказов;
анализа данных о сбыте продукции;
регистрации поступления платежей;
ведения учета и отчетности.
Важную роль играет использование ЭВМ в системе производственного контроля. Установленные на контрольных участках ЭВМ проверяют качество поступающих на сборку частей и деталей (сверка веса, размеров допусков применительно к существующим стандартам).
В современных условиях получило развитие использование ЭВМ для автоматического печатания текста с голоса без использования машинистки. Такие ЭВМ позволяют на 60 - 70% сократить затраты на ввод информации.
Развитие систем телекоммуникаций позволило объединить все технические средства обработки цифровой и текстовой информации в единую внутрифирменную систему информации.
Наиболее эффективной считается система информации, основанная на одновременном использовании вычислительной техники и средств автоматизированной обработки текстовой информации.
Автоматизированные системы быстрого поиска и выдачи информации создаются для хранения большого числа различных документов и облегчения пользования ими.
Организация за долгие годы работы накапливает много информации, а быстрый поиск становится возможным при эффективном размещении и хранении этой информации. Информационные базы данных включают весь комплекс статистических показателей, характеризующих хозяйственную деятельность фирмы в целом и ее производственно-сбытовых подразделений, а также фактический материал относительно всех факторов, влияющих на состояние и тенденции развития фирмы. Набор статистических показателей для базы данных тщательно разрабатывается и уточняется и охватывает те показатели, которые необходимы для глубокого всестороннего экономического анализа результатов и перспектив функционирования фирмы. Обычно при формировании базы данных решается вопрос и о системе хранения и обновления данных, а также обоснованной увязки данных, их взаимной согласованности, возможности проведения сравнений и сопоставлений оценок хранимых в банке данных. Базы данных непрерывно обновляются на определенной систематической основе с учетом требований управляющих - основных пользователей базой данных.
Во многих фирмах созданы базы данных, в которых хранится информация о кадровом составе работников, постоянно обновляемая и максимально подробная, систематизированная по самым разнообразным признакам. Выбор информации делается с выводом на печатающее устройство компьютера, что позволяет следить за укомплектованностью штатов, перемещением кадров внутри фирмы, набором и увольнением работников, повышением их квалификации.
Пользование банками данных, введенными в персональный компьютер, резко ускоряет процесс получения информации из круга источников первичной информации и обеспечивает возможность выбора правильного и точного метода исследований для решения современных научных и технических проблем.
Создание пакетов прикладных программ получила в современных условиях существенное развитие. Разработкой программ стали заниматься и специализированные небольшие фирмы. Одни из них ориентированы на разработку программ для персональных компьютеров, выпускаемых одной фирмой, другие - на разработку прикладного программного обеспечения для разных видов персональных компьютеров. Разработкой программного обеспечения занимаются также специалисты государственных учреждений, университетов на основе конкретных заказов или контрактов.
Комплексная автоматизированная обработка информации предполагает объединение в единый комплекс всех технических средств обработки информации с использованием новейшей технологии, методологии и различных процедур по обработке информации.
Создание комплексной автоматизированной системы включает последовательные этапы:
автоматизация процессов сбора, хранения и выдачи данных;
использование устройств для автоматизированной обработки текстовой информации и фотонаборных устройств;
интеграция обособленных процессов обработки информации в единую внутрифирменную систему;
объединение технических средств цифровой и текстовой информации посредством электронной почты;
использование всего комплекса технических средств обработки информации, переход к единой системе обработки всех видов информации.
Устройства автоматизированной обработки текстовой информации принципиально отличны от ЭВМ, используемых для обработки данных. Это обусловлено тем, что обработка текста, выраженного словами, предложениями, параграфами, не может осуществляться с помощью пакетов прикладных программ. Составление и редактирование текста может производиться только человеком, взаимодействующим с устройством обработки текстовой информации. Компьютеры используется им только как средство для печати и редактирования текста.
Внедрение персональных компьютеров в информационно-управленческую деятельность фирм повлекло за собой возникновение и развитие новых видов профессиональной деятельности, связанных с обслуживанием компьютеров, а именно программистов, операторов, систематизаторов, обработчиков и хранителей информации в требуемой форме. При этом наблюдается постоянное снижение стоимости персональных компьютеров и повышение уровня заработной платы обслуживающего персонала.
Об автоматизации деятельности по управлению персоналом в России начали говорить недавно. Если бухгалтерские пакеты созданы давно и активно применяются практически во всех структурах, то над автоматизацией труда кадровых работников задумывались мало, а спрос на такие системы в последнее время значительно вырос. Автоматизация деятельности по управлению персоналом дает:
оперативность контроля возможность получения непротиворечивых и полных данных о структуре предприятия, позициях штатного расписания и сотрудниках;
жесткий контроль за деятельностью дочерних предприятий;
настраиваемую систему разработки отчетной документации;
переход на новые технологии и методы работы;
улучшение условий труда;
и гибкость управления.
Комплексные системы управления персоналом могут использоваться для автоматизации работы отдела кадров, планово-экономического и расчетного отделов, обучения персонала на любом предприятии. Что является основой управленческой деятельности? В первую очередь - это делопроизводство, охватывающее процесс создания документов и организацию работы с ними. От того, как организован документооборот на предприятии, зависит эффективность работы предприятия в целом. На качество управления предприятием влияют такие факторы, как оперативность и качество формирования документов, приема-передачи информации, согласованность работы справочно-информационной службы, четкая организация хранения, поиска и использования документов. Таким образом, автоматизация документооборота необходима для:
формирования целостной картины происходящего на предприятии;
слаженной работы всех подразделений;
улучшения качества обслуживания клиентов;
эффективного использования людских, коммуникационных, инвестиционных и других производственных ресурсов.
Впервые требования к работе с документами были описаны М. М. Сперанским в 1811 году. Он разработал методику ведения делопроизводства в государственных учреждениях и стал основоположником науки, изучающей закономерности делопроизводства, - документоведения. Основные принципы и задачи документооборота до настоящего времени остались практически неизменными. По мере развития цивилизации, внедрения в повседневную жизнь достижений науки и техники в делопроизводстве стала использоваться оргтехника. И, наконец, когда на смену печатной машинке пришел компьютер, а переписка стала возможной без использования конвертов и почтовых марок, совершенно очевидным стал тот факт, что сегодня при работе с информацией не обойтись без использования новейших информационных технологий:
систем в архитектуре клиент-сервер;
систем сканирования и распознавания текста;
систем управления базами данных;
систем поиска документов;
Internet/Intranet.
1.3Пути совершенствования информационной системы
Количество информации, которую необходимо переработать для выработки эффективных управленческих решений, настолько велико, что оно давно превысило человеческие возможности. Именно трудности управления современным крупномасштабным производством обусловили широкое использование электронно-вычислительной техники, разработку автоматизированных систем управления, что потребовало создания нового математического аппарата и экономико-математических методов.
К организации информационного обеспечения анализа предъявляется ряд требований. Это аналитичность информации, ее объективность, единство, оперативность, рациональность и др.
Смысл первого требования заключается в том, что вся система экономической информации независимо от источников поступления должна соответствовать потребностям руководителя, т.е. обеспечивать поступление данных именно о тех направлениях деятельности и с той детализацией, которая в этот момент нужна руководителю для всестороннего изучения экономических явлений и процессов, выявления влияния основных факторов и определения внутрихозяйственных резервов повышения эффективности производства. Поэтому вся система информационного обеспечения должна постоянно совершенствоваться.
Это очевидно в сегодняшней практике организации учета, планировании и статистики на предприятии. Там постоянно пересматриваются формы документов, их содержание, организация документооборота, появляются принципиально новые формы накопления и сохранения данных (имеется в виду компьютерная техника). Все изменения диктуются не только собственно требованиями учета или планирования. Они в значительной степени подчинены необходимости информационного обеспечения для выработки управленческих решений.
Экономическая информация должна достоверно, объективно отражать исследуемые явления и процессы. Иначе выводы, сделанные по результатам анализа, не будут соответствовать действительности, а разработанные аналитиками предложения не только не принесут пользы предприятию, но могут оказаться вредными.
Следующее требование, предъявляемое к организации информационного потока, - это единство информации, поступающей из разных источников (планового, учетного и внеучетного характера). Из этого принципа вытекает необходимость устранения обособленности и дублирования разных источников информации. Это означает, что каждое экономическое явление, каждый хозяйственный акт должны регистрироваться только один раз, а полученные результаты могут использоваться в учете, планировании, контроле и анализе.
Эффективность анализа может быть обеспечена только тогда, когда есть возможность оперативно вмешиваться в процесс производства по его результатам. Это значит, что информация должна поступать к аналитику как можно быстрее. В этом и состоит сущность еще одного требования к информации — оперативность. Повышение оперативности информации достигается применением новейших средств связи, обработкой ее на компьютере и т.д.
Одно из требований к качеству информации - это обеспечение ее сопоставимости по предмету и объектам исследования, периоду времени, методологии исчисления показателей и ряду других признаков.
И наконец, система информации должна быть рациональной (эффективной), то есть требовать минимума затрат на сбор, хранение и использование данных. С одной стороны, для комплексного анализа любого экономического явления или процесса требуется разносторонняя информация. При ее отсутствии анализ будет неполным. С другой стороны, излишек информации удлиняет процесс ее поиска, сбора и принятия решений. Из данного требования вытекает необходимость изучения полезности информации и на этой основе совершенствование информационных потоков путем устранения лишних данных и введения нужных.
Таким образом, информационная система должна формироваться и совершенствоваться с учетом перечисленных выше требований, что является необходимым условием повышения действенности и эффективности управления.
Получение информации не является самой целью бизнеса. Целями, как правило, можно назвать выживание и получение прибыли. Информационная система управления является кровеносной системой, обеспечивающей достижение целей компании путем доставки организованной, четко структурированной и своевременной информации.
Информация - важнейший стратегический ресурс бизнеса. Отсутствие необходимой информации порождает неопределенность. А в условиях неопределенности точность принимаемых решений ухудшается. В небольших коммерческих фирмах, где количество сотрудников невелико и бизнес ведется, как говорится, из «общего котла», для информационной поддержки бизнеса достаточно элементарной аккуратности. Компьютеры в таких случаях используются как любая другая офисная оргтехника наряду с ксероксом или печатной машинкой, да еще для ведения бухгалтерии. Однако с ростом бизнеса неизбежно появляются новые проблемы.
Выясняется, что компьютерная бухгалтерская программа, успешно выполняющая свою задачу, мало пригодна для оперативного анализа. Дело в том, что сведение баланса и подведение итогов производится не так часто, как это требуется в повседневной деятельности. «Пользоваться данными обычной бухгалтерской системы в режиме, нужном менеджеру, невозможно».
Бизнес на определенном этапе развития становится недостаточно управляемым. При недостатке необходимой информации в удобной форме вдруг обнаруживается избыток трудно сопоставимой информации, поступающей из разных подсистем. Оказывается, что для управления отдельными «бизнесами» фирмы недостает механизма оперативной оценки эффективности каждого из них. Кроме того, нередко отсутствует стратегическое планирование с эффективным контролем.
Иными словами, для успешного развития нужна комплексная система управления, объединяющая все аспекты менеджмента, а не одну бухгалтерию. И это не только технологические задачи. Это, во-первых, проблемы постановки регулярного менеджмента и, во-вторых, — проблемы выбора и порядка внедрения информационной системы.
Существует три основных варианта решения проблемы внедрения информационных систем.
Первый путь — разработка системы собственными силами. Этим путем идут многие организации. Очень часто для автоматизации расчетов применяются процедуры, написанные средствами офисных программ (характерный пример - макросы для Excel). Однако при усложнении бизнеса, такие средства перестают удовлетворять, поскольку не предполагают управление данными, имеющими сложную структуру. Создание же полноценной системы требует не только расхода больших средств и времени. Необходимо еще централизованное грамотное стратегическое управление развитием проекта. А это по плечу крупным организациям. Развивающимся фирмам своими силами разработать систему, которая могла бы продолжительное время ее обслуживать, нелегко.
Второй путь — приобретение универсальной системы или пакета прикладных программ. Выбор систем такого рода ограничивается, в основном, бухгалтерскими программами. Причина заключается в том, что бухгалтерский учет имеет строгую и консервативную методологию. Несмотря на частые изменения законодательства, форм отчетных документов, принципы и структура данных остаются практически неизменными. Коммерческая же деятельность отличается большим разнообразием в разных фирмах. Сильно варьируется сама логика работы, причем это бывает связано не только с разными отраслями или родами деятельности. Бизнес, как и всякое творчество, отражает индивидуальность мастера (исполнителя, игрока). Поэтому, универсальных пакетов для комплексной автоматизации коммерческой деятельности, а не только бухгалтерии, немного. Как и бухгалтерские программы, они требуют настройки. Большая их часть «выросла» из бухгалтерских программ и является их развитием. Решение о приобретении универсальной системы позволяет относительно небольшими средствами решить многие проблемы, связанные с информационным обслуживанием бизнеса.
Третий путь заключается в делегировании функций и полномочий по внедрению информационных технологий внешним организациям (аутсорсинг). Этот современный подход пока редко применяется в российских условиях. При правильном выборе фирмы-исполнителя достигаются ощутимые преимущества:
экономия средств за счет применения решений, ядро которых прошло успешное внедрение в других фирмах. Цена таких систем ниже, чем у систем, разрабатываемых «с нуля»;
профессионализм исполнения;
сервисная поддержка;
возможность развития системы в соответствии с усложнением бизнеса.
Имеются и потенциальные опасности:
потеря возможности развития системы;
опасность потери информации из-за незнания внутренней структуры данных;
зависимость сопровождения от благополучия фирмы-исполнителя.
Вопрос о том, следует ли идти по пути разработки информационной системы собственными силами, непростой. Он связан не только с возможностями выделения для этого необходимых средств. Мы считаем, что решение применить покупную систему — проявление высокого уровня зрелости организации. Это можно расценить как проявление цивилизованного разделения труда. «Не лечите зубы сами!» - призывают рекламные агентства. И с этим можно согласиться.
Профессионально сделанный продукт, предназначенный для продажи, имеет одно важное качество, которое отличает его от текущей версии программы, разрабатываемой внутри коллектива-пользователя. Это — функциональная работоспособность. Что-то может не устраивать, но то, что в нем заложено и гарантировано разработчиком - работает.
Если же система разрабатывается своими программистами, возникает соблазн перестройки системы на ходу, не разобравшись в глубинных причинах возникшей потребности. Конечно, при наличии высокопрофессиональной группы программистов внутри фирмы и при хорошо организованной постановке задач, принципиально возможно разрешить проблему разделения ответственности заказчика и исполнителя. И такие примеры есть. Эта проблема, как и многие другие, возникающие при управлении информационными системами, связана с менеджментом, а не с технологией.
Привлечение сторонней организации для внедрения информационной системы дает определенные удобства. Одно из них заключается в необходимости сформулировать бизнес - правила, без которых невозможно заключить договор. В некоторых случаях, фирма, проводящая установку системы, предполагает, что требования должны уже быть сформулированы. Существуют поставщики, предлагающие комплексное решение. Они либо проводят реорганизацию бизнес - процессов самостоятельно, либо — привлекают третью организацию, которая выступает в качестве консультанта или постановщика задачи. Стоит отметить, что самостоятельное решение задачи аппаратного обеспечения информационной системы тоже часто приводит к неприятностям, связанным с функционированием системы. Многих проблем можно избежать, заказывая систему у поставщика, работающего по принципу «все из одних рук».
Итак, допустим, руководитель осознал, что для внедрения информационной системы необходимо приобретение программного обеспечения. Какую программу выбрать? По каким критериям?
Рассмотрим рынок существующих программ с точки зрения удовлетворения ими потребностей клиентов, как мы его себе представляем. Система должна обладать следующими свойствами:
Сохранение инвестиций. Внедрение и эксплуатация системы всегда предусматривает расходы, выходящие за рамки стоимости «коробки» и договора. Это, во-первых, средства, необходимые на адаптацию системы в соответствии с изменяющимися условиями бизнеса. Во-вторых, это расходы, связанные с развитием новых технологий, которые могут возникать, например, в процессе интеграции системы с новыми программными продуктами и. т.д. Мы считаем, что можно говорить о возможности сохранения инвестиций в связи с внедрением информационной системы, если эти расходы будут минимальными. На это влияет, во-первых, выбор системы управления базами данных. Здесь речь идет не только о технических аспектах. Необходимо учитывать позиции разработчика на рынке, его техническую политику в отношении инноваций. Имеет значение и стоимость самой базы данных. Второй аспект — техническая реализация в разработке преимуществ, предоставляемых системой управления базами данных: объектно-ориентированный подход, модульная структура и т.д.
Надежность - во-первых, гарантированная сохранность и доступность данных при любых технических неполадках, во-вторых, обеспечение эффективной защиты данных от несанкционированного доступа.
Возможность роста - масштабируемость, расширяемость, модульность, разработка модулей на заказ.
Степень автоматизации различных видов деятельности - полнота автоматизации всех видов деятельности, а не только бухгалтерии.
Интуитивность интерфейса - возможность пользователя разобраться в интерфейсе без описания.
Возможности интеграции с электронным документооборотом - реализация функции документооборота в системе или возможность интеграции с внешней системой документооборота
Адаптированность к бизнесу клиента - степень согласования свойств системы с нуждами клиента при завершении расчетов с поставщиком.
Доступность по цене.
Ряд программ, предлагаемых на рынке, имеет свою специфику. Особенностью комплекса программ, разработанных фирмой МонолитИнфо, например, является возможность многовалютного учета, многоязычность и ориентация на международные стандарты учета (GAAP и др.), что определяет ее популярность среди совместных и иностранных предприятий. Заметно выделяется среди прочих предложений система «ЛокОффис» тем, что позволяет обеспечивать работу удаленных филиалов. Однако эта система реализована на системе управления базами данных Raima Data Manager, не являющейся реляционной, не поддерживающей распределение данных и тиражирование транзакций. Эти и другие свойства база данных Raima не позволяют реализовать на ее основе надежную систему управления динамично развивающейся средней или крупной фирмой. Однако для предприятий, не предусматривающих значительного роста и усложнения бизнеса, она представляет определенный интерес.
Большое распространение получили программы фирмы 1С, поэтому они заслуживают отдельного внимания. Они сочетают в себе доступную цену и неплохие характеристики. Внедрение программ этого семейства начинается, как правило, с программы «1С: Бухгалтерия». Для автоматизации склада, торговли существуют соответствующие программы. Однако они не являются готовыми продуктами, которые могли бы успешно работать без настройки, которую весьма нелегко выполнить собственными силами. Набор начальных базовых процедур, как правило, не удовлетворяет потребностям конкретного бизнеса. Для настройки и сопровождения системы «1С: Торговля» предполагается привлечение региональных представителей разработчика. Внедрение «1С: Бухгалтерии» и «1С: Торговли» зачастую уже обходится заказчикам по $50, но иногда дешевле заплатить и такую сумму, чем разбираться в проблеме своими силами. Отдельные бухгалтеры разбираются в программном обеспечении сами. Реально, где-то за неделю.
В работе менеджера в настоящее время все чаще и чаще можно встретить предметы, которые составляют понятие новая информационная технология. Под ней понимается совокупность внедряемых в системы организационного управления принципиально новых средств и методов обработки данных, представляющих собой целостные технологические системы и обеспечивающих целенаправленное создание, передачу, хранение и отображение информационного продукта (идей, знаний) с наименьшими затратами и в соответствии с закономерностями той социальной среды, где развивается эта технология. Переход на новые информационные технологии оправдан, если он является следствием фундаментального переосмысления и радикального перепланирования деятельности корпорации с целью резкого улучшения критических по отношению к затратам показателей - качества, обслуживания и скорости производственных процессов.
Появление нового, информационного общества, многим видится только на базе использования новых информационных технологий. С появлением и массовым внедрением компьютерных сетей и средств современной коммуникации кардинальным образом изменилась концепция рабочего места. Если раньше последнее ассоциировалось с местом у станка или столом в учреждении, то сегодня “рабочее место” - это скорее не место работы, а средства, с помощью которых она осуществляется. К ним можно отнести мобильный телефон, портативный компьютер с модемом и мини-принтер. Таким образом, рабочим местом становится любое помещение, где есть сетевая розетка.
Умение пользоваться персональным компьютером теперь уже вошло в современную культуру управления. И это не зря - компьютер позволяет экономить огромные средства, которые при традиционной системе организации труда были бы израсходованы на содержание различных отделов, которые выполняли утилитарные функции, не связанные с процессом производства.
1.4Формирование комплексной информационной системы
Развиваясь, компания сталкивается с серьезными проблемами:
старые методы управления дают все больше сбоев;
контроль требует большего количества персонала, дополнительных расходов и усложнению управления;
согласование решений занимает все больше времени, а данные для принятия решений либо отсутствует, либо сильно запаздывает;
количество финансовых операций и принимаемых решений превосходят предел, за которым уже не ясны причины, приведшие к тем или иным конечным результатам.
При выборе и внедрении системы необходимо решить технические, административные и организационные задачи. Информационная система есть плод совместных усилий поставщика и персонала компании. Для успешной реализации проекта:
необходимо провести обследование и проектирование будущей системы. Другими словами, необходим точный анализ текущей ситуации и модель будущей системы;
разработчик должен произвести настройку системы. При внедрении требуется этап тестирования, с целью выявления потенциальных ошибок;
внедрение разбивается на две крупные части: подготовка администраторов из персонала предприятия и непосредственно запуск подсистем в отделах и подразделениях.
Российские разработки при достаточно низких ценах и удовлетворительной функциональности обладают ограниченными возможностями по консультированию заказчика и ориентированы на бухгалтерские службы, а не на менеджмент. Слабая проработка контрольных и управляющих функций является ахиллесовой пятой практически всех российских систем.
При выборе программно-аппаратных платформ и отдельных бизнес приложений должны применяться непротиворечивые, согласующиеся технологии. И, наконец, соблюдение единой технологии эксплуатации и обслуживания системы. Помимо этих ключевых требований, есть еще целый ряд общих технических требований для любой информационной системы:
быстродействие, то есть достаточно малое время реакции системы (единицы секунд) при вводе, поиске и обработке информации;
надежная защита от несанкционированного доступа к данным и регистрация действий персонала;
удобный пользовательский интерфейс рабочих мест;
возможность масштабирования и развития системы;
интеграция с модулями, используемыми в системе передачи данных;
возможность проведения конвертации данных из использовавшихся в прошлом приложений в новую систему;
высокая надежность работы.
Методика создания корпоративных информационных систем содержит ряд следующих общих положений:
Технология построения системы по моделям "как надо", без попыток программирования действующих сейчас алгоритмов. Практика создания систем по модели "как есть" показала, что автоматизация без проведения реинжиниринга бизнес процессов и модернизации существующей системы управления не приносит желаемых результатов и неэффективна. Ведь использование в работе программных приложений - это не просто сокращение бумажных документов и рутинных операций, но и переход на новые формы ведения документооборота, учета и отчетности.
Технология построения систем с подходом "сверху вниз". Если решение об автоматизации принято и одобрено высшим руководством, то внедрение программных модулей осуществляется с головных предприятий и подразделений, а процесс построения корпоративной системы проходит гораздо быстрее и эффективнее, чем при внедрении системы первоначально в низовые подразделения. Только при внедрении "сверху вниз" и активном содействии руководства можно изначально правильно оценить и провести весь комплекс работ без незапланированных издержек.
Технология поэтапного внедрения. Поскольку комплексная автоматизация - это процесс, в который вовлекаются практически все структурные подразделения предприятия, технология поэтапного внедрения является наиболее предпочтительной. Первыми объектами автоматизации становятся те участки, на которых в первую очередь необходимо наладить процесс учета и формирования отчетных документов для вышестоящих органов и смежных подразделений.
Привлечение к разработке будущих пользователей. При выполнении работ по комплексной автоматизации фирмой-интегратором меняются функции отделов информационных технологий фирмы-заказчика, и возрастает их роль в общем процессе перехода предприятия на прогрессивные методы управления. Во время реализации проекта сотрудники отделов вместе с разработчиками работают с информацией и моделями, участвуют в принятии решения по выбору технологических решений и, самое главное, организуют взаимодействие поставщиков решения и сотрудников предприятия. При эксплуатации информационной системы на плечи сотрудников автоматизированной системы управления ложится обслуживание и сопровождение системы (если не заключен договор на сопровождение с фирмой-поставщиком). Специалисты заказчика являются инициаторами и исполнителями подготовки предложений по совершенствованию и развитию существующей системы. Это позволяет им лучше приспособить ее к своим требованиям, поэтому эти требования должны быть основательно продуманы, чтобы информационные технологии не использовались там, где легко можно справиться с задачами управления с помощью карандаша и листа бумаги.
Система должна поддерживать такую схему взаимодействия между модулями и автоматизированными рабочими местами, которая отвечала бы требованиям и техническим возможностям пользователя. Важнейшими параметрами информационной системы являются надежность, масштабируемость, безопасность, поэтому при создании таких систем используется архитектура клиент-сервер. Эта архитектура позволяет распределить работу между клиентской и серверной частями системы, предусматривает развитие и совершенствование в соответствии с особенностями решаемых задач. В последние годы наблюдается устойчивая тенденция увеличения спроса на клиент-серверные приложения, которые обладают в области учета и управления большими возможностями, чем файл-серверные системы при обработке больших объемов данных, возможностью создания распределенных систем, а также достаточной интеграцией с другими системами.
На современном этапе формирования рынка большое внимание уделяется малым предприятиям. Так, по мнению западных экономистов, будущее мирового производства за мелкими фирмами. Например, 96% фирм Великобритании - мелкие. Очевидно, что с мелкого предпринимательства начинается всякое производство, всякий бизнес, основанный на применении силы свободного человека. Ограничение численности предприятия кажется некоторым экономистам серьезным барьером, который не будет позволять предприятию расти и развиваться. Но это не так. Производство можно наращивать за счет внедрения техники, передовой технологии, одним из основных направлений которой в настоящее время считается внедрение информационных технологий на базе интегрированной информационной системы управления бизнесом.
Трудности и сложности применения информационной системы для малого бизнеса заключаются в большом многообразии предприятий, в разных формах организации производства, в широком ассортименте выпускаемой продукции. Хотя для отдельного предприятия число видов изделий и услуг весьма ограничено. Все это обуславливает создание информационной системы для малого бизнеса, по объему и функциональным возможностям соизмеримых с информационной системой крупных корпораций, поэтому, с одной стороны, можно проектировать информационную систему для отдельных компаний, учитывая их специфику. Но разработка индивидуальной информационной системы для каждого предприятия экономически невыгодна. Особенно это касается малых предприятий, когда практически каждое из них несет особенность организации процессов, позволяющих данному быть конкурентоспособным. С другой стороны, более радикальным можно считать построение универсальной интегрированной системы, позволяющей уменьшить масштаб данной системы для конкретного заказчика путем исключения и перевода в пассивное состояние не задействованных модулей. При этом панели управления этими модулями также переводятся в "скрытое" состояние.
К решению о необходимости внедрения информационных технологий приходит все большее число руководителей предприятий самых разных сфер бизнеса. Хотя внедрение системы обходится весьма дорого, сохранение существующего порядка, (а, как правило, беспорядка) может обойтись еще дороже. Конкуренция не дает возможности остановиться и расслабиться. В то же время, только информационные системы как таковые и технические средства, применяемые для их внедрения, не являются достаточными для достижения конкурентного преимущества. Эффективность от их внедрения проявляется лишь при должном внимании к вопросам менеджмента и организационным аспектам бизнеса.
Потребность в информационных технологиях многолика и проявляется в конкретных условиях. Существуют виды деятельности, где информация особенно важна. Это, например, банковская, биржевая деятельность. В таких организациях применение информационных технологий жизненно необходимо.
Организации различаются по эффекту, который ожидается от внедрения компьютерных информационных систем. В некоторых случаях грамотное внедрение специальных информационных систем может благоприятно повлиять на достижение конкурентного преимущества, например, за счет улучшения согласованности в работе с удаленными агентами или за счет увеличения скорости выполнения заказов. В других ситуациях компьютерная техника может облегчить выполнение рутинных операций и способствовать систематизации информации. В небольших организациях эффективной оказывается лишь автоматизация бухгалтерии.
По словам Билла Гейтса, главы компании Microsoft: “ нам потребуется еще немало времени, чтобы превратить персональный компьютер в настоящее электробытовое устройство”. Исполнительный менеджер корпорации Oracle как бы вторит ему: “Миру нужны более дешевые и простые в обращении компьютеры”. Действительно, менеджерам просто некогда осваивать сложные системы. Именно поэтому стали появляться новые операционные системы типа Windows 95, основной конек которых - простота и интуитивная понятность выполняемых действий, да плюс еще и многозадачность, то есть возможность выполнять несколько операций одновременно.
Насколько важную роль играет рынок информационных технологий достаточно ярко характеризует представленная ниже таблица 1. В этой таблице представлена сводная информация объёма производства крупнейших отраслей мировой промышленности.
Таблица 1
Объем производства по отраслям мировой промышленности
|
Отрасль |
Объем производства, млн. долларов |
|
Туристическая |
2900 |
|
Информационная |
2850 |
|
Текстильная |
1620 |
|
Химическая |
1320 |
По объему производства рассматриваемый сектор занимает вторую позицию в перечне после туристической. Это свидетельствует о высоком потенциале и возможной привлекательности для потенциальных инвесторов. Но пока, несмотря на такое лидерство, еще рано говорить о том, что информационные системы прочно вошли жизнь современных управленцев.
2АНАЛИЗ ИНФОРМАЦИОННОГО ОБЕСПЕЧЕНИЯ УПРАВЛЕНИЯ ПРЕДПРИЯТИЕМ
2.1Общая характеристика объекта исследования
ОАО «Технический университет КубГТУ» был создан 9 октября 1992 года. Новые экономические условия требовали создания в Кубанском государственном технологическом университете коммерческой организации, основными задачами которой стали бы: привлечение инвесторов в образование и науку; создание новых рабочих мест и повышение заработной платы сотрудников; развитие современных форм коммерческой деятельности. Учредителями Технического университета КубГТУ были определены следующие виды деятельности: образовательная, научно-производственная, консалтинговая, коммерческая, сервисная, а в 1998 году появился новый вид - издательская деятельность.
Свою историю ОАО «Технический университет КубГТУ» начинает с небольшой комнаты в 1989 году в качестве обычных компьютерных курсов. За 8 лет своего существования ОАО «Технический университет КубГТУ» стал занимать уже все четыре этажа здания на Красной 91, но, кроме того, в состав общества входит множество филиалов по Краснодарскому краю.
Общество состоит из различных подразделений, функционирующих на хозрасчётной основе. Большинство подразделений Технического университета занимаются образовательной деятельностью. Ниже представлена структура Технического университета КубГТУ, которая определяется видами его деятельности (рисунок 3). В состав общества входят следующие подразделения:
Центр довузовской подготовки (Школа абитуриентов, Подготовительные курсы, Центр технологий тестирования);
Подразделения среднего образования (Классический Лицей, Открытый Лицей, Школа индивидуальной подготовки);
Институт современных технологий и экономики
Дополнительное профессиональное образование (Компьютер-колледж, Отдел языковой подготовки, Отдел мультимедийных технологий, Отдел международного образования);
Производственно-коммерческие подразделения (Управление информатизации, Управление электронной техники, Управление сетевых технологий, Рекламно-издательский центр;
Сервисные подразделения (Унитех-Общепит-Сервис, Унитех-Отель-Сервис);
Подразделения управления (Бухгалтерия, Управление эксплуатации, Управление региональной политики, Управление юридического и кадрового обеспечения).
Основной доход Технический университет получает за счёт своих как бы трёх китов: Лицей, Школа абитуриента и Подготовительные курсы. Эти подразделения обеспечивают основной доход ОАО «Технический университет КубГТУ», что составляет примерно 70-80% от общего дохода. Поэтому ниже более подробнее эти подразделения представлены. Кроме того, согласно теме дипломной работы рассматривается более подробно подразделения управления.

Рисунок 3. Структурная схема ОАО «ТУ КубГТУ»
В лицее, созданном в 1992 году, учащиеся получают среднее общее образование. Он стал одной из самых первых альтернативных структур на Кубани. Здесь преподают ведущие профессора, доценты, опытные педагоги и лучшие учителя города.
В марте 1998 года Лицей прошел государственную аттестацию с выдачей лицензии на право образовательной деятельности до 2003 года и аккредитован как общеобразовательное учреждение повышенного уровня образования 2, 3-й ступеней. Продолжают работать две формы Лицея: Классический и Открытый.
Для повышения эффективности обучения в Классическом лицее открыто пролицейское отделение, на котором проходят обучение учащиеся 8-9-х классов.
В 1999 году Классический лицей окончило 69 человек, из них 64 успешно сдали вступительные экзамены в КубГТУ, остальные поступили в другие вузы.
Следующими звеньями центра довузовской подготовки являются Школа абитуриента и Подготовительные курсы. В отчетном году набран самый большой контингент в эти структуры, что составило 2300 человек. Начата подготовка по 2-годичной системе обучения. Создаются профильные классы (технические, технологические, экономические).
Наши слушатели участвуют в Российском тестировании (при Техническом университете создан Цент тестирования). Кроме этого в Техническом университете создана фирма "Технотест", позволяющая абитуриентам пройти тестовый, компьютерный, входной, промежуточный и итоговый контроль знаний по предметам вступительных экзаменов.
Основная задача подготовительных курсов - организация филиалов довузовской подготовки для учащихся выпускных классов образовательных учреждений районов Краснодарского края и организация подкурсов различной продолжительности - от 6-месячных до 1-месячных. В результате 5-летней работы создано 18 филиалов подготовительных курсов в районных центрах края.
Перспективными направлениями региональной политики Технического университета КубГТУ обозначены следующие: организация и обеспечение деятельности представительств КубГТУ в городах Краснодарского края. Заключены договоры с главами администраций городов Тихорецка, Тимашевска, Славянска-на-Кубани. Ведется работа по заключению договора о сотрудничестве в сфере образовательной деятельности между КубГТУ и Адыгейской республикой; подготовка к заключению договоров с Гиагинским и другими районами республики по созданию представительств университета.
Для ведения работы в сфере высшего профессионального обучения был создан ИСТЭк. Образование ведется по двум направлениям: инженерно-техническое и финансово-экономическое. Открыты филиалы ИСТЭк в городах Новороссийске, Армавире, Майкопе. В этих образовательных структурах развиваются различные системы и формы получения второго высшего и параллельного образования. В 1999 году в ИСТЭк зачислено на дневную форму 195 и на заочную 121 человек.
Для организации внешнеэкономической деятельности Технического университета создано Управление, состоящее из трех отделов: Отдела международного образования. Отдела языковой подготовки и Отдела мультимедийных технологий, а также «Компьютер-колледжа».
Изучением опыта университетов мира, заключением договоров с ними на преподавание по самым новым для нас узким специальностям занимается Отдел международного образования. Сотрудниками этого отдела проведен набор и обучение по программе осенней презентации Открытого университета Великобритании. Осуществлена аттестация преподавателей Технического университета для организации на базе университета Центра подготовки Объединенного Экзаменационного Совета Великобритании.
Выигран тендер на подготовку управленческих кадров для организаций народного хозяйства Российской Федерации по Президентской программе, осуществлен набор и выпуск слушателей. Результаты анкетирования подтверждают высокую оценку слушателями процесса обучения, методики и качества преподавания.
В рамках Центра делового образования осуществляется переподготовка экспертов для Торгово-промышленной палаты.
Одним из старейших отделов, существовавших как самостоятельное подразделение, а теперь входящим в Управление внешнеэкономических связей, является Компьютер-колледж. Продолжается набор и обучение слушателей. Заключены договоры с Центральным Банком РФ по Краснодарскому краю, с Краснодарским отделением Сбербанка, с Краснодарводоканалом.
В соответствии с решением администрации Краснодарского края Технический университет определен ответственным исполнителем «Программы информатизации органов власти, государственных организаций и учреждений Краснодарского края». Проблемами информатизации в Техническом университете занимаются два отдела:
Отдел сетевых технологий и Отдел программных систем, объединенные в Управление информатизации, которое разрабатывает и внедряет компьютерные технологии на предприятиях и в организациях края.
Отдел сетевых технологий проводит работы по обслуживанию сети Интернет и Внешней электронной почты. Разработана и сдана в эксплуатацию головная страница Web-сервера администрации Краснодарского края в сети Интернет, а также разработан Web-сервер «Курорты» для представления информации Администрации края и информации департамента по курортам и туризму в сети Интернет.
Нынешнее управление электронной техники в 1999 году стало более самостоятельным, объем реализации его продукции для сторонних организаций постепенно увеличивается. В отчетном году заключены договоры на выполнение работ с такими организациями, как Академия культуры. Законодательное собрание края. Краевой суд, Аппарат администрации Краснодарского края и другими.
Для осуществления рекламно-издательской деятельности, расширения перечня и повышения эффективности предоставляемых услуг рекламно-издательского характера в структуре Технического университета был организован Рекламно-издательский центр в составе следующих отделов: рекламного, редакционно-издательского, телевидения и дизайна. 18 ноября 1998 года была получена лицензия на осуществление издательской деятельности, выданная Государственным комитетом Российской Федерации по печати.
Технический университет значительно расширил сферы услуг в области общественного питания. В настоящее время в управлении общественного питания входят две столовые, расположенные на улицах Красная.91 и Московская , кафе «БИТ» и 9 филиалов. В кафе «БИТ» комфортно и уютно: его помещение расширено и может вместить большое число посетителей.
Достаточно эффективно работает гостиница «Унитех-Отель-Сервис». Ее услугами, в основном, пользуются приезжающие в КубГТУ и Технический университет от сторонних организаций.
В Техническом университете уровень требований ко всем сотрудникам очень велик. Кадры подбираются с особой тщательностью. Только квалифицированный персонал может выполнить задачи, поставленные перед Техническим университетом его акционерами.
Отделами Управления были выполнены следующие мероприятия: внедрены автоматизированная система учета кадров и расчета заработной платы, автоматизированная система учета и контроля поручений; успешно эксплуатируется система электронного документооборота Технического университета на основе локально-вычислительной сети.
Приоритетные направления деятельности ОАО "Технический университет КубГТУ" в 1999 году:
разработка и реализация новой региональной политики в области образования, науки и производства;
развитие подсистемы довузовского образования как части системы непрерывного образования;
развитие международных образовательных, научных и коммерческих проектов;
совершенствование системы управления Техническим университетом КубГТУ на основе компьютерных технологий;
совершенствование системы вузовской подготовки с участием иностранных партнеров на базе Института современных технологий и экономики;
развитие мультимедийных технологий и их использование в учебном процессе.
Все подразделения в такой структуре являются независимыми и если даже происходит кооперация для достижения общих целей, то она происходит на взаимовыгодных условиях. Высшее руководство Технического университета получает прибыль за счёт жестко установленных процентов от реализации подразделений. Полученные средства идут на заработную плату в подразделения управления и на компенсацию убытков в убыточные подразделения. Кроме того, остаются денежные средства, которые можно пустить на развитие производства в каком-либо подразделении.
Структурная схема организации несколько отличается от организационной структуры управления за счёт того, что Проректора по направления могут управлять несколькими подразделениями. Проректора по направлениям совместно с ректором на ректорате планируют свою работу, подводят итоги и корректируют планы работ, решают многие спорные вопросы, которые часто возникают между подразделениями. Ниже представлена организационная структура управления Технического университета (рисунок4).

Рисунок4. Организационная структура управления ОАО «ТУ КубГТУ»
На рисунке, где была представлена структурная схема ОАО «ТУ КубГТУ» (рисунок 3) подразделения были сгруппированы по функциональным признакам, а на следующем рисунке, где представлена организационная структура управления ОАО «ТУ КубГТУ» (рисунок4) подразделения сгруппированы с учётом подчинённости по проректорам направлений.
Из представленных структур видно, что структура Технического университета не совпадает с организационной структурой управления.
Из рисунков видно, что в организации используется линейная структура управления. Эта форма управления имеет определённые преимущества и недостатки.
Термин "организационная структура" сразу же вызывает в нашем воображении двумерную древовидную схему, состоящую из прямоугольников и соединяющих их линий. Эти прямоугольники показывают выполняемую работу и круг обязанностей и, таким образом отображают разделение труда в организации. Относительное положение прямоугольников и соединяющие их линии показывают степень подчинения. Рассмотренные соотношения ограничены двумя измерениями : вверх - вниз и поперек, так как мы оперируем с ограниченным допущением, согласно которому организационная структура должна быть представлена на двумерной схеме, вычерчиваемой на плоской поверхности.
В самой же организационной структуре не содержится ничего такого, что ограничивало бы нас в этом отношении. Кроме того, эти ограничения на структуру организации часто вызывают серьезные и дорогостоящие последствия. Вот только четыре из них:
Во-первых, между отдельными частями организаций такого рода возникает не сотрудничество, а конкуренция. Внутри организаций существует более сильная конкуренция, чем между организациями, и эта внутренняя конкуренция приобретает значительно менее этичные формы.
Во-вторых, обычный способ представления структуры организаций серьезно затрудняет определение задач отдельных подразделений и измерение соответствующих показателей качества работы вследствие большой взаимозависимости подразделений, объединенных подобным образом.
В-третьих, это способствует созданию организаций, сопротивляющихся изменениям, особенно изменениям их структуры; поэтому они перерождаются в бюрократические структуры, не поддающиеся адаптации. Большинство таких организаций обучается крайне медленно, если обучается вообще.
В-четвертых, представление организационной структуры в виде двумерного дерева ограничивает число и характер возможных вариантов решения возникающих проблем. При наличии такого ограничения невозможны решения, обеспечивающие развитие организации с учетом технических и социальных изменений, темпы которых все больше и больше растут. Существующая обстановка требует, чтобы организации были не только готовы к любым изменениям, но и способны им подвергаться. Другими словами, необходимо динамическое равновесие.
Очевидно, что для достижения такого равновесия организация должна иметь достаточно гибкую структуру. (Хотя гибкость не гарантирует приспособляемости, тем не менее она необходима для достижения последней).
Основы линейных структур составляет так называемый "шахтный" принцип построения и специализация управленческого процесса по функциональным подсистемам организации. Результаты работы каждой службы оцениваются показателями, характеризующими выполнение ими своих целей и задач. Соответственно строится и система мотивации и поощрения работников. При этом конечный результат (эффективность и качество работы организации в целом) становится как бы второстепенным, так как считается, что все службы в той или иной мере работают на его получение.
Преимущества организационной структуры ОАО «ТУ КубГТУ»:
четкая система взаимных связей функций и подразделений;
четкая система единоначалия - один руководитель сосредотачивает в своих руках руководство всей совокупностью процессов, имеющих общую цель;
ясно выраженная ответственность;
быстрая реакция исполнительных подразделений на прямые указания вышестоящих.
Недостатки организационной структуры ОАО «ТУ КубГТУ»:
отсутствие звеньев, занимающихся вопросами стратегического планирования; в работе руководителей практически всех уровней оперативные проблемы ("текучка") доминирует над стратегическими;
тенденция к волоките и перекладыванию ответственности при решении проблем, требующих участия нескольких подразделений;
малая гибкость и приспособляемость к изменению ситуации;
критерии эффективности и качества работы подразделений и организации в целом - разные;
тенденция к формализации оценки эффективности и качества работы подразделений приводит обычно к возникновению атмосферы страха и разобщенности;
большое число "этажей управления" между работниками, выпускающими продукцию, и лицом, принимающим решение;
перегрузка управленцев верхнего уровня;
повышенная зависимость результатов работы организации от квалификации, личных и деловых качеств высших управленцев.
Вывод: в современных условиях недостатки структуры перевешивают ее достоинства. Такая структура плохо совместима с современной философией качества.
В схеме отсутствует отдел маркетинга, так как полагаются на опыт и знания руководителей подразделений, а это приводит к тому, что подразделения становятся неконкурентоспособными.
2.2Технико-экономические показатели
Для анализа технико-экономических показателей используется годовая бухгалтерская отчётность за несколько лет (приложение А). Данные из приложения сведены в аналитическую таблицу, где кроме основных технико-экономических показателей приводится одновременно и темпы роста (таблица 2).
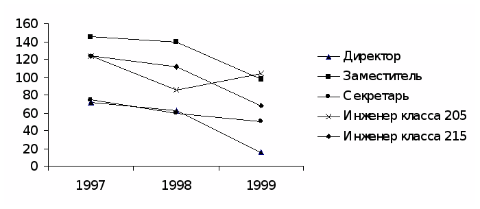
Данные в таблице приведены по годам, что позволяет проследить динамику изменения некоторых показателей. Темпы роста позволяют сравнить, к примеру, характер изменения выручки от реализации и управленческих расходов. Для нас интересно проследить характер изменения численности персонала, особенно численность руководителей.
Таблица 2
Технико-экономические показатели
|
Показатели |
1997 |
1998 |
1999 |
Тр, % |
Тр, % |
|
1. Выручка (нетто) от реализации продукции, работ, услуг, тыс. р. |
5109 |
7543 |
10088 |
147,6 |
133,7 |
|
2. Себестоимость реализации товаров, продукции, работ, тыс.р. |
3972 |
5950 |
7945 |
149,8 |
133,5 |
|
3. Коммерческие расходы, тыс.р. |
35 |
59 |
142 |
168,3 |
239,2 |
|
4. Управленческие расходы, тыс.р. |
1067 |
1233 |
1619 |
115,6 |
131,3 |
|
5. Прибыль от реализации, тыс.р. |
35 |
300 |
382 |
865,4 |
127,3 |
|
6.Прибыль от финансово-хозяйственной деятельности, тыс.р. |
170 |
278 |
232 |
163,4 |
83,4 |
|
7. Прибыль отчётного периода, тыс.р. |
187 |
295 |
278 |
157,3 |
94,2 |
|
8. Численность работающих,чел в том числе: руководителей служащих специалистов |
239 37 108 94 |
296 42 131 123 |
371 48 152 171 |
123,8 113,5 121,3 130,9 |
125,3 114,3 116,0 139,0 |
|
9. Среднегодовая стоимость основных производственных фондов, тыс.р. |
679,08 |
719,82 |
568 |
106,0 |
78,9 |
|
10. Среднегодовая стоимость оборотных средств, тыс.р. |
1308 |
1548,2 |
2768 |
118,4 |
178,8 |
|
11. Выработка на одного работающего, в том числе на одного руководителя |
21,38 138,1 |
25,48 179,6 |
27,19 210,2 |
119,2 130,1 |
106,7 117,0 |
|
12. Фондоотдача, р/р |
7,52 |
10,48 |
17,76 |
139,3 |
169,5 |
|
13. Фондоёмкость, р/р |
0,13 |
0,10 |
0,06 |
71,8 |
59,0 |
|
14. Затраты на 1 р. товарной продукции, р/р |
0,777 |
0,789 |
0,788 |
101,5 |
99,8 |
|
15. Рентабельность, % общая продукции |
4,7 0,9 |
5,0 5,0 |
3,5 4,8 |
105,0 577,6 |
70,6 95,4 |
Анализируя данные таблицы, можно заключить, что из года в год технико-экономические показатели в основном растут, но растут разными темпами. Легко заметить, что более высокие темпы роста были в 1998 году, чем в 1999 году. Это связано с тем, что в 1998 году в ОАО «Технический университет КубГТУ» были проведены ряд мероприятий по улучшению информационного обеспечения управления:
Модернизация персональных компьютеров
Создание локальной сети
Подключение к глобальной сети Интернет
Создание отделом программирования автоматизированных систем, облегчающих работу руководителей
Ниже на рисунке представлена динамика изменения по годам прибыли и управленческих расходов (рисунок 5). Из рисунка видно, что после 1998 года начинается увеличение управленческих расходов и небольшой рост прибыли. Почему же после указанных выше мероприятий возрастают расходы в управлении и прибыль практически не выросла?

Рисунок 5. Изменение прибыли и управленческих расходов
Повышение управленческих расходов связано с увеличением численности сотрудников в подразделениях управления Технического университета. Больше сотрудников стало работать в бухгалтерии, появился юридический сектор в административном отделе, появился финансовый сектор в бухгалтерии, появился проректор по региональным связям, появилась кафедра защиты информации. В конечном итоге все расходы распределяются на подразделения в виде накладных расходов в Технический университет. Ставка таких накладных расходов для подразделений менялась и в 1997 году составляла 10% от реализации, а уже в 1999 году стала составлять 20%. Кроме того, в подразделениях существуют свои накладные расходы. Всё это приводит к тому, что некоторые подразделения становятся неконкурентоспособными на рынке услуг. Снижается реализация, не выполняется намеченный бюджет. Чтобы не потерять клиентов упор делается в Техническом университете на качество.
Количество сотрудников постоянно увеличивалось, так как Технический университет постоянно расширял сферы своего влияния. Увеличивались объёмы работ и увеличивались рыночные цены. Всё это сказывалось на росте объёма реализации. После августа 1998 года, когда резко снизились доходы граждан, замечена низкая активность подразделений и невыполнение намеченных планов. Поэтому прибыль от реализации растёт с меньшими темпами.
Рентабельность не повышалась выше 5%, хотя в подразделениях эту величину закладывают не менее 10%. В 1998 году были самые лучшие результаты, а уже в 1999 году произошло снижение рентабельности.
2.3Анализ системы документооборота
Сегодня уже многие пришли к мысли, что культура работы с документами - это часть производственной культуры, а та, в свою очередь, является важной предпосылкой успешной деятельности в условиях рынка. Поэтому система документооборота - такая же часть производственной инфраструктуры, абсолютно равноправная и необходимая, как и оборудование, ресурсы и персонал. Эта идея понятна любому руководителю. Руководитель теряет много времени от неправильно или несвоевременно оформленных документов, от неверных управленческих решений или от невозможности быстро найти нужный документ.
Все документы, которые обращаются в системе документооборота, в ОАО «Технический университет КубГТУ» разделяют следующим образом:
Входящие
Исходящие
Приказы
по основной деятельности
по командировкам
по личному составу
Внутренние
финансовые
служебные
Затраты на работу с документами складывается из нескольких моментов. Это время на составление документа и на его регистрацию. Затраты времени на составление документов зависят от сложности документа, от наличия уже подобных готовых документов и от технического обеспечения (наличие современного персонального компьютера, программного обеспечения и принтера). Затраты на регистрацию документа состоят из времени согласования, регистрации у секретаря, утверждения и доведения до исполнителя. Многие руководители не обращают внимания на такие затраты, но в крупных организациях количество обращаемых документов может существенно возрастать. Поэтому проведём анализ количества документов обращаемых в организации, определим их основные потоки.
Секретарями организации ведётся регистрация всех документов в специальных журналах. Кроме того, действует система контроля поручений в электронном виде. Проанализируем поток документов по годам для того, чтобы просмотреть динамику изменения потока документов, после внедрения в организации с 1998 год локальной сети, электронной системы контроля поручений, электронной системы контроля оплаты «Class». Анализ дополнительно проведём по 1999 году по месяцам, для определения пиковых нагрузок и сезонности.
Ниже на рисунке представлена структура подчинённости Административного отдела ОАО «Технический университет КубГТУ» (рисунок 6). На схеме видно разделение Административного отдела на два сектора: сектор делопроизводства и организационный сектор.
Разграничение функций секторов Административного отдела происходит следующим образом.
Функции сектора делопроизводства:
Приём и регистрация внутренней, входящей, исходящей корреспонденции.
Приём на подпись проектов писем, приказов по основной деятельности.
Подготовка приказов по командировкам сотрудников на основании подписанных ректором служебных записок.
Проверка правильности составления всех документов, передаваемых на подпись ректору.
Регистрация внутренних, входящих и исходящих документов в автоматизированной системе делопроизводства.
Доведение резолюций ректора до исполнителей.
Регистрация приказов по основной деятельности и по командировкам сотрудников с оформлением командировочных удостоверений.
Доведение до исполнителей приказов по основной деятельности по реестру.
Формирование дел и сдача их в архив.
Контроль за правильностью ведения делопроизводства в подразделениях.

Рисунок 6. Структура подчинённости Административного отдела
Функции организационного сектора:
Регистрация передаваемых подразделениями счетов и других документов на оплату и передача их в бухгалтерию.
Постановка документов с резолюциями на контроль и снятие с контроля.
Передача документов исполнителям и в сектор делопроизводства.
Извещение сотрудников о проводимых совместно с ректором совещаниях.
Оперативная связь со сторонними организациями и отдельными гражданами (телефон, факс и т.д.)
Учёт приёма граждан и сотрудников по личным и служебным вопросам.
Формирование подписки предприятия и контроль поступления подписных изданий.
Составление графика работы сотрудников работающих на штатных должностях по совместительству.
Выполнение машинописных и копировально-множительных работ.
Ведение протокола заседаний ректоратов, офрмление выписок из протоколов.
Ежедневное составление совместно с ректором плана его работы на день.
Фактически в приёмной работают два человека. Это две секретаря, иногда даже один. Они вдвоём не в состоянии выполнять все эти функции и поэтому систему электронного контроля поручений не используют по назначению. В эту систему вводят документы на контроле уже прошедшим числом. Нет единого эталона составления приказов, служебных записок. Нет чёткого установленного времени на регистрацию документов. Документ на подписи у ректора может пролежать неограниченное время или потеряться. Электронная почта не используется, так как приглашение на ректорат или простое оповещение сотрудников делается по телефону или устно при встрече. У ректора нет помощника, который мог бы взять на себя часть полномочий ректора, а огромный поток документов может занимать много времени у ректора на ознакомление документа, осмысление, принятие решения и составления резолюции. Иногда ректор уезжает в командировку, тогда документы могут лежать на подписи от 5 до 10 дней. Могут часто возникать ситуации, когда ректор на служебной записке разрешает, а затем при появлении счёта или приказа– запрещает, противореча себе.
В ОАО «Технический университет КубГТУ» есть утверждённая схема документооборота. Ниже на рисунке представлена схема документооборота (рисунок 7).

Рисунок 7. Документооборот в ОАО «ТУ КубГТУ»
В результате просмотра журнала регистрации в приёмной организации у секретаря и анализа полученной информации мною была составлена таблица, где представлена сводная информация по каждому виду документа в динамике по годам (таблица 3). Из таблицы можно определить структурную характеристику документооборота и как она меняется по годам.
Таблица 3
Анализ структуры документооборота
|
Наименование
|
Количество документов |
Темпы роста, % |
|||
|
1997 |
1998 |
1999 |
в 1998 к 1997 |
в 1999 к 1998 |
|
|
Входящие |
124 |
203 |
240 |
164 |
118 |
|
Исходящие |
384 |
402 |
358 |
105 |
89 |
|
Приказы в том числе: - по основной деятельности - по командировкам - по личному составу |
870 157 215 498 |
648 116 178 354 |
894 156 222 516 |
74 74 83 71 |
138 134 125 146 |
|
Внутренние в том числе: - финансовые - служебные |
3841 1492 2349 |
2597 973 1624 |
1972 1272 700 |
68 65 69 |
76 131 43 |
|
Итого в год: |
5219 |
3850 |
3464 |
74 |
90 |
|
В среднем за день |
18 |
13 |
12 |
72 |
92 |
|
Выручка от реализации, тыс.р. |
7663 |
11315 |
15132 |
148 |
134 |
Из таблицы, где представлены технико-экономические показатели видно, что выручка от реализации возрастала из года в год на 148 и на 134 процента (таблица 2), а общее количество документов в организации сокращалось до уровня 74 и 90 процентов от предыдущего года (таблица 3). Ниже на рисунке эти изменения наглядно представлены (рисунок 8).
Рисунок 8. Изменение выручки от реализации и общего количества документов
При более подробном рассмотрении последней таблицы, где анализируется структура документооборота видно, что потоки внутренних документов сильнее сокращались, чем возрастали потоки входящих и исходящих документов (таблица 3). Ниже на рисунке эти изменения представлены (рисунок 9).

Рисунок 9. Изменение количества документов
Использование локальной сети позволяет обмениваться сообщениями между сотрудниками организации в виде электронной почты. Это как раз примерно в два раза сокращало количество служебных записок из года в год. Возросла деловая активность организации, выручка от реализации и соответственно растут потоки входящих и исходящих документов. Причём в последнем году потоки исходящих сообщений резко сократилось за счёт использование глобальной сети Интернет.
Проанализировав более подробно изменение объёма документооборота, определим:
какие подразделения наиболее сильно загружают документами руководителя
есть ли характер сезонности работы и если есть, то определим пиковые значения
В ОАО «Технический университет КубГТУ» много разнообразных подразделений, но для анализа объёма документооборота следует брать только основные подразделения. К числу таких подразделений можно причислить:
Бухгалтерия;
Административный отдел;
Школа абитуриентов;
Подготовительные курсы;
Лицей;
Компьютер-колледж.
Ниже в таблице представлена группировка видов документов по основным подразделениям (таблица 4). В этой таблице анализируется не только динамика общего количества документов по годам, но и производится анализ по основным подразделениям. В результате можно определить основные потоки информации в Техническом университете. Именно эти потоки документов необходимо в первую очередь автоматизировать
Таблица 4
Группировка видов документов по подразделениям
|
Подразделение |
1997 |
1998 |
1999 |
|||
|
Кол. |
% |
Кол. |
% |
Кол. |
% |
|
|
Административный отдел |
765 |
15 |
621 |
16 |
754 |
22 |
|
Бухгалтерия |
1392 |
27 |
1073 |
28 |
1272 |
37 |
|
Школа абитуриентов |
909 |
17 |
718 |
19 |
446 |
13 |
|
Подготовительные курсы |
715 |
14 |
537 |
14 |
345 |
10 |
|
Лицей |
582 |
11 |
410 |
11 |
273 |
8 |
|
Компьютер-колледж |
551 |
10 |
319 |
8 |
259 |
7 |
|
Прочие |
305 |
6 |
172 |
4 |
115 |
3 |
|
Итого: |
5219 |
100 |
3850 |
100 |
3464 |
100 |
Представленные выше в таблице результаты сравнений объёма документооборота по подразделениям (таблица 4) наглядно отображены ниже на рисунке (
рисунок 10).
Из рисунка видно, что общее снижение объёмов документооборота произошло в подразделениях. В административном отделе и в бухгалтерии количество документов наоборот возросло. Это является наоборот положительным моментом, так как при большой деловой активности в бухгалтерии увеличился поток финансовых документов, а в административном отделе увеличились объёмы входящих и исходящих документов.
Однако, если удастся создать такую систему документооборота, которая приведёт к сокращению потоков документов из бухгалтерии или административного отдела, то это приведёт к более значительным результатам.

Рисунок 10. Динамика объёма документооборота по подразделениям
Ниже в следующей таблице произведён анализ объёма документооборота в течение одного года на примере 1999 года (таблица 5). Здесь разбивка происходит помесячно для выявления сезонности.
Таблица 5
Выявление сезонности в объёме документооборота
|
Месяцы Года |
Виды документов |
|||
|
Входящие |
Исходящие |
Приказы |
Внутренние |
|
|
Январь |
12 |
35 |
57 |
177 |
|
Февраль |
22 |
30 |
78 |
200 |
|
Март |
27 |
25 |
130 |
165 |
|
Апрель |
23 |
28 |
84 |
175 |
|
Май |
14 |
24 |
96 |
122 |
|
Июнь |
18 |
53 |
84 |
78 |
|
Июль |
23 |
42 |
34 |
94 |
|
Август |
17 |
29 |
23 |
120 |
|
Сентябрь |
25 |
69 |
69 |
183 |
|
Октябрь |
18 |
38 |
47 |
165 |
|
Ноябрь |
17 |
44 |
108 |
182 |
|
Декабрь |
24 |
44 |
79 |
211 |
Из представленной выше таблицы видно, что в летний период снижается активность организации, так как большинство сотрудников именно в этот период уходят в отпуска (таблица 5). Так как основные подразделения в Техническом университете занимаются образовательной деятельностью, то из таблицы видно резкое увеличение активности подразделений в начале учебного года с 1 сентября и снижение в период летних и осенних каникул. Ниже на рисунке эти изменения наглядно представлены (рисунок 11).

Рисунок 11. Динамика объёма документооборота в течение года
В период весенних каникул нет снижения активности, так как в этот период идёт более интенсивная подготовка школьников, абитуриентов к выпускным экзаменам и к поступлению в вуз.
В результате проведённого анализа в этом подразделе выявлено, что основные потоки информации идут через бухгалтерию и административный отдел. Также я определил, что наблюдается некоторая сезонность работ, связанная с учебными каникулами. В результате внедрения в Техническом университете локальной сети и попытка автоматизировать частично документооборот выявлено общее снижение потока документов. Исходя из полученных результатов можно сделать вывод о необходимости дальнейшего совершенствования системы документооборота и внедрения современных информационных комплексных систем.
2.4Анализ материально-технического обеспечения
Оснащение различной техникой, позволяет экономить управленческие и накладные расходы, проводить более эффективное внутрифирменное планирование, управление и контроль. Обеспечить руководителя как можно быстрее необходимой ему достоверной информацией для принятия оперативных решений возможно с помощью новейших технических средств. Руководитель в своей деятельности использует различные технические средства для принятия управленческих решений.
Телекоммуникационная связь (телефон, факс, пейджер, почта, электронная почта, локальная сеть, глобальная сеть Интернет)
Вычислительная техника (персональный компьютер, калькулятор)
Копировально-множительная техника (принтер, сканер, ксерокс, ризограф)
Информационные системы (телевидение, газеты, журналы)
Посредством этих технических средств руководитель принимает в короткое время обоснованные и правильные решения. Поэтому важно не только определить наличие этих средств, но и проанализировать их качественный уровень. Немаловажным здесь является уровень подготовленности персонала, способность его использовать все возможности современных технических средств.
В Техническом университете установлена телефонная мини АТС, позволяющая параллельно подключить городской телефон в несколько отделов и выполнять следующие функции:
внутренние телефонные звонки
перевод входных звонков из города на другие внутренние номера
при занятости городской линии устанавливать автоматически очередь на выход в город.
Ниже в таблице представлена характеристика телефонной сети ОАО «Технический университет КубГТУ» (таблица 6).
Таблица 6
Характеристики работы телефонной сети
|
Характеристика |
1997 |
1998 |
1999 |
|
Количество городских номеров |
2 |
3 |
4 |
|
Количество внутренних номеров |
28 |
37 |
46 |
|
Количество звонков в день |
140 |
370 |
830 |
|
Ожидание выхода в город в часы пик, мин. |
2 |
6 |
22 |
Данные из таблицы подтверждают частые жалобы сотрудников, о невозможности дозвониться до города в часы пик. Это примерно с 10 часов до 12 часов и с 14 часов до 16 часов. Если в Техническом университете выход в город осуществляется автоматически, то клиентам дозвониться с города практически невозможно. В последнее время количество жалоб стало возрастать со стороны клиентов, контрагентов о перегруженности телефонной линии Технического университета. Из-за не решаемости проблемы Лицей установил себе в подразделение дополнительный телефон из своих средств.
Такая ситуация, конечно же, негативно сказывается на работу руководителей подразделений. Эта потеря времени руководителем, это снижение имиджа организации, потеря потенциальных клиентов. Многие руководители подразделений остаются специально вечерами, чтобы провести звонки в город или оставляют на визитках, буклетах свои домашние телефоны.
В то время, когда в обществе есть электронная почта Интернет, многие сотрудники продолжают использовать факс. В организации находится три факса: в приёмной, в отделе сервиса и ремонта и в отделе международных отношений. Использование факса иногда нельзя трактовать как недостаток, так как у получателя факса может не быть электронной почты. Однако использование факса, при описанной выше проблеме, часто парализует телефонную систему на 2 – 3 часа.
Появление локальной сети и глобальной сети Интернет в1996 году и дальнейшее её развитие положительно повлияло на работу персонала ОАО «Технический университет КубГТУ». Сократились затраты времени и средств так как локальная сеть позволяла:
Быстро производить переустановку программного обеспечения
Сократить расходы на приобретение дискет, CD-ROMов, принтеров, жестких дисков
Посылать и получать электронную почту
Поучать и использовать новейшую информацию из глобальной сети Интернет.
Сократить обслуживаемый персонал
Все компьютеры в организации соединены по топологии «звезда». В организации четыре выделенных сервера:
Технический университет
Два учебных сервера в Компьютер-колледже
Web-сервер Интернет отдела программирования
В приложении Б представлена устройство локальной сети ОАО «Технический университет КубГТУ». Из этого рисунка видно, что отделы соединены 10 Мегабитной связью, а проректора и главы отделов 100 Мегабитной связью. Однако не все отделы подключены к локальной сети. К числу не подключенных к локальной сети относится:
Отдел рекламы
Управление отдела сетевых технологий
Компьютерный класс на 10 машин в 205 аудитории
Отдел эксплуатации
Морально-устаревшие компьютеры в отделах
Потери от не использования сети очевидны. Так, например, в Компьютер-колледже есть два компьютерных класса по 10 компьютеров в каждом. Один из них подключён к локальной сети с возможностью выхода в глобальную сеть Интернет, другой не подключён, хотя в плане развития локальной сети в ОАО «Технический университет КубГТУ» стоял даже на первом месте. Приведём сравнение в чём проявляются потери:
Время плановой переустановки программного обеспечения на всех машинах в классе составляет в 20 – 30 раз медленнее. Это связано с первую очередь из-за отсутствия локальной сети и из-за того, что на половине машин нет CD-ROMов. Их устанавливали не на все машины, так как надеялись на появление в скором будущем локальной сети.
Невозможно проводить занятия, связанные с локальной сетью или с Интернетом.
Перед установкой дополнительного программного обеспечения, часто необходимо решать проблему с нехваткой дискового пространства путём удаления другого.
Третий пункт описанный выше приводит к дополнительным переустановкам программного обеспечения, а это снова потери времени, описанные выше в первом пункте.
Это наглядный пример того, что интересы отдела сетевых технологий расходятся с интересами Компьютер-колледжа, а неоднократные просьбы и служебные записки не помогают разрешить эту проблему через высшее руководство ОАО «Технический университет КубГТУ».
Сеть построена по топологии звезда. Эта самая затратная топология сети, когда к каждому отдельному компьютеру тянется витая пара (приложение Б). В тоже время эта топология имеет большие преимущества:
Надёжность в целом
Устойчивость к повреждениям
Лёгкость обслуживания
Простота изменения
Кроме того, в обществе существует физически изолированная другая сеть, состоящая из трёх компьютеров. На этих компьютерах работают сотрудники отдела кадров и расчётный сектор в бухгалтерии. Это указывает о низком профессиональном составе руководства отдела сетевых технологий, которые не могут обеспечить безопасность сети на программном уровне и поэтому пошли по простому и не самому эффективному пути.
Использование сетевых ресурсов (сетевой принтер, сетевые диски) не используется в размерах всего акционерного общества, а осуществляется в пределах подразделений, т.е. каждое подразделение приобретает себе необходимое оборудование, хотя с помощью локальной сети можно было организовать сетевые ресурсы для всей организации.
Использование сети Интернет, позволило в многим сотрудникам получать самую свежую и новую информацию по любой тематике. Использование сети Интернет сейчас – это успех в будущем, так как некоторые организации в Краснодаре об этом лишь мечтают или эти шаги только начинают делать. Это будущее, это престиж организации.
Рассмотрим состояние парка персональных компьютеров. Уровень обеспеченности отделов персональными компьютерами и их моральный износ.
В 1998 году в ОАО «Технический университет КубГТУ» после появления локальной сети планировалось использовать электронную почту на основе службы «Microsoft Mail», а для этого требовалась модернизация большинства компьютеров в организации. Большинство машин работали в операционной системе DOS с программной оболочкой Windows 3.11 или с операционной системой Windows 95 на 4 Мегабайтах оперативной памяти. Ниже в таблице представлены этапы модернизации компьютерной базы Технического университета (таблица 7). Из таблицы видно, что общее количество компьютеров увеличивалось из года в год на 108 и на 111 процентов соответственно. При этом общее количество современных компьютеров увеличивалось в 1998 году в четыре раза, а в 1999 году в более чем два раза. Соответственно величина морально устаревших компьютеров сокращалась. Общее количество персональных компьютеров росло не значительно, а вот модернизация шла высокими темпами. Это значит, что происходила замена в устаревших компьютерах материнских плат, процессоров, добавлялась дополнительно оперативная память.
Сейчас, когда появляется новое программное обеспечение, у которого требования к аппаратной части возрастает, возникает опять потребность в очередной модернизации персональных компьютеров.
Таблица 7
Этапы модернизации в ОАО «Технический университет КубГТУ»
|
Подразделения |
Модели компьютеров |
Годы |
Темпы роста |
|||
|
1997 |
1998 |
1999 |
98-97 |
99-98 |
||
|
Центр довузовской подготовки |
Все, из них: 486 Pentium |
4 3 1 |
4 0 4 |
6 0 6 |
100% |
150% |
|
Подразделения среднего образования |
Все, из них: 486 Pentium |
2 2 0 |
3 2 1 |
4 3 1 |
150% |
133% |
|
Институт современных технологий и экономики |
Все, из них: 486 Pentium |
2 2 0 |
2 2 0 |
3 1 2 |
100% |
150% |
|
Дополнительное профессиональное образование |
Все, из них: 486 Pentium |
25 24 1 |
25 14 11 |
25 11 14 |
100% |
100% |
|
Производственно-коммерческие подразделения |
Все, из них: 486 Pentium |
3 2 1 |
4 2 2 |
4 0 4 |
133% |
100% |
|
Подразделения управления |
Все, из них: 486 Pentium |
14 12 2 |
16 14 2 |
18 0 18 |
114% |
113% |
|
Итого: |
Все, из них: 486 Pentium |
50 45 5 |
54 34 20 |
60 15 45 |
108% 76% 400% |
111% 44% 225% |
При всех положительных тенденциях развития по парку персональных компьютеров, в обществе также производились большие затраты на монтаж локальной сети, приобретение сетевого оборудования. Кроме того, некоторые подразделения приобретали новые принтеры, ксероксы и даже сканеры. Эти случаи были единичны или приобретение шло за счёт расходов Технического университета, а не подразделения.
Плохо складывается положение с ксерокопированием - два ксерокса на всю организацию. Это приводит к тому, что часто ксерокс находится в неисправном состоянии и как следствие идёт задержка в предоставлении руководству необходимой информации. Она может быть предоставляется и быстро, но за счёт использования принтера, как множительной техники.
Предприятие как система не может действовать изолированно. Необходимо получать дополнительную информацию о новых достижениях, о состоянии уровня цен на рынке, о тенденциях развития некоторых отраслей экономики. Эту информацию можно получить из периодических изданий. Многие отделы выписывают газеты и журналы, используют информационные ресурсы глобальной сети Интернет.
В результате анализа материально-технического обеспечения я определил, что в организации есть все предпосылки для создания комплексной информационной системы, позволяющей существенно снизить управленческие затраты.
3СОВЕРШЕНСТВОВАНИЕ ИНФОРМАЦИОННОГО ОБЕСПЕЧЕНИЯ В ОРГАНИЗАЦИИ
3.1Пути сокращения управленческих затрат
В этом подразделе подсчитаем экономию времени и средств от применения современных информационных технологий в управлении. Проанализируем динамику управленческих затрат на примере одного подразделения по годам. Выясним как информационные технологии позволяют повысить эффективность управленческого труда при правильном их применении.
Для примера возьмём подразделение Компьютер-колледж. Его работа более всего связана с новейшими компьютерными технологиями. Определим перечень решаемых задач, порядок их осуществления и определим как повлияло внедрение новейших компьютерных технологий на снижение затрат в управлении.
Это же подразделение в качестве примера будем использовать в следующем разделе, где мной будут предложены мероприятия по улучшению положения дел в подразделении с точки зрения внедрения новейших современных технологий.
Согласно ниже представленному рисунку, в Компьютер-колледже у директора в непосредственном подчинении находится четыре человека (рисунок 12):
Секретарь-референт, выполняющий работу с клиентами и занятый в основном внешними проблемами типа: реклама, маркетинговые исследования, участие в ярмарках и выставках.
Два инженера по компьютерным классам, каждый из которых в своём классе осуществляет техническую поддержку аппаратного и программного обеспечения.
Заместитель директора по учебной части, заведующей учебным процессом: методическое обеспечение, составление расписаний занятий, работа с преподавателями и со слушателями.
Рисунок 12. Структура подразделения Компьютер-колледж
Для успешного осуществления управленческих функций в Компьютер-колледже необходимо осуществлять некоторую работу. Эти работы сведены ниже в таблицу. В таблице указаны ответственные за выполнение работы и затраты времени. Затраты времени указаны из расчёта того, что в среднем в месяц в Компьютер-колледже обучается от трёх до четырёх групп в зависимости от сезона, в каждой из которых обучается согласно смете не менее восьми человек.
Так как затраты времени разнесены по годам, то из таблицы можно наглядно видеть влияние внедрения новейших информационных технологий.
В таблице указаны не все работы, а только лишь основные, самые затратные во времени.
Таблица 8
Распределение обязанностей на месяц
|
Основные
обязанности |
Затраты времени, в часах |
Темпы роста |
|||
|
1997 |
1998 |
1999 |
98/97 |
99/98 |
|
|
1 |
2 |
3 |
4 |
5 |
6 |
|
1. Директор. |
72 |
62 |
16 |
86% |
26% |
|
Составление бюджета на полугодие |
24 |
20 |
4 |
83% |
20% |
|
Составление сметы и калькуляции на полугодие |
12 |
10 |
2 |
83% |
20% |
|
Выписка счетов, составление договоров и контроль оплаты. |
20 |
16 |
8 |
80% |
50% |
|
Формирование списка клиентов, уже оплативших и ожидающих начала обучения. |
16 |
16 |
2 |
100% |
13% |
|
Составление актов списания материальных ценностей. |
4 |
4 |
4 |
100% |
100% |
|
Составление фактической сметы |
28 |
24 |
12 |
86% |
50% |
|
2. Заместитель по учебной работе |
145 |
140 |
98 |
97% |
70% |
|
Составление расписания занятий на неделю вперёд. |
16 |
14 |
8 |
88% |
57% |
|
Назначение преподавателей на занятия по расписанию. |
24 |
22 |
10 |
92% |
45% |
|
Подготовка методического материала к занятиям. |
8 |
32 |
32 |
400% |
100% |
|
Оповещение клиентов о дате начала занятий и времени обучения. |
24 |
20 |
16 |
83% |
80% |
|
Составление представления и приказа на зачисление клиентов в группу слушателей. |
12 |
10 |
2 |
83% |
20% |
|
Контроль посещения занятий и соблюдения графика учебного процесса |
7 |
6 |
8 |
86% |
133% |
|
Приём слушателей по личным вопросам |
4 |
4 |
4 |
100% |
100% |
|
Изготовление сертификатов для слушателей |
24 |
12 |
8 |
50% |
67% |
Продолжение таблицы 8
|
1 |
2 |
3 |
4 |
5 |
6 |
|
Составление приказа об отчислении из группы слушателей на основании окончания обучения |
12 |
10 |
2 |
83% |
20% |
|
Составление всевозможных справок, актов, ведомостей для слушателей. |
8 |
6 |
2 |
75% |
33% |
|
Составление служебных записок в случае необходимости |
6 |
4 |
6 |
67% |
150% |
|
3. Секретарь-референт |
74 |
60 |
50 |
81% |
83% |
|
Рекламная кампания |
20 |
24 |
24 |
120% |
100% |
|
Приём клиентов, пришедших узнать про компьютерные курсы. |
15 |
15 |
15 |
100% |
100% |
|
Регистрация всех клиентов для дальнейшего анализа. |
7 |
5 |
5 |
71% |
100% |
|
Формирование списка клиентов, готовых оплатить и начать обучение |
32 |
16 |
6 |
50% |
38% |
|
4. Инженер компьютерного класса 205 |
124 |
86 |
104 |
69% |
121% |
|
Переустановка программного обеспечения |
12 |
16 |
18 |
133% |
113% |
|
Подготовка класса к занятиям. |
112 |
70 |
86 |
63% |
123% |
|
5. Инженер компьютерного класса 215 |
124 |
112 |
68 |
90% |
61% |
|
Переустановка программного обеспечения |
12 |
16 |
16 |
133% |
100% |
|
Подготовка класса к занятиям. |
112 |
96 |
52 |
86% |
54% |
В этом подразделении я являюсь руководителем и активно использую свой опыт, полученный мною в университете. Мной активно проводится политика маркетинговых исследований, в процесс управления внедряются современные информационные системы. Выше в таблице указаны результаты внедрения современных информационных систем (таблица 8).
За три года были внедрены мною следующие программы:
Электронная анкета слушателя (приложение В)
Электронный журнал учёта клиентов (приложение Г)
Разработанная отделом программирования система CLASS для контроля оплаты (Приложение Д)
Электронная система маркетингового исследования рынка (в режиме опроса клиентов)
База данных автоматического формирования счетов, договоров, служебных записок, выданных материалов
Из таблицы выберем итоговые значения по каждому сотруднику и на основе этих данных построим график. Ниже на рисунке этот график представлен (рисунок 13).

Рисунок 13. Динамика управленческих затрат
На рисунке представлено наглядно экономия времени от внедрения современных информационных систем. Проанализируем изменения затрат времени.
В первую очередь это, конечно же, повлияло внедрение во всём Техническом университете локальной вычислительной сети. В большей степени это коснулось инженеров по компьютерным классам. В Компьютер-колледже два компьютерных класса. В одном из них (205 аудитория) находятся современные персональные компьютеры Pentium 166 MMX, а в другом (215 аудитория) находятся уже морально устаревшие 486DX100. Однако в 215 аудитории проведена локальная сеть, а в 205 её пока нет. Появление локальной сети в большей степени повлияло на сокращение времени обслуживания. В 205 аудитории установка современных компьютеров сократила время обслуживания в 1998 году, но в дальнейшем уже в 1999 году с установкой нового программного обеспечения резко повысилось. Новые компьютеры в 205 аудиторию приобретались без CD-ROMов, из расчёта на локальную сеть. По плану сеть до 205 аудитории должна была дойти ещё в 1997 году, но её до сих пор нет.
Приобретение в 1998 году новых двух персональных компьютеров для администрации Компьютер-колледжа повысил производительность Директора, Заместителя и Секретаря.
С разработкой системы «Class», сотрудниками отдела программирования для всего Технического университета сократило время регистрации клиентов. Ранее эта регистрация производилась записями в специальных журналах. Затем производились неоднократные сверки с бухгалтерией. Система «Class», использует возможности сети. Подразделения, работающие с клиентами, производят регистрацию клиентов в этой системе. Контроль за оплатой стал возможен в результате интеграции этой системы с программным продуктом «1С-Бухгалтерия». Кроме того, в этой программе реализована система автоматического формирования приказов, ведомостей, справок, разнообразных отчётов и запросов. В приложении приведены рисунки с экрана работающего компьютера в системе «Class». Эта система сильнее всего повлияла на Директора и на Заместителя директора по учебной работе и менее на Секретаря-референта.
Соответственно ещё сильнее сократилась трудоёмкость операций, описанных в таблице. Это всё и повлияло на изменения кривых на рисунке.
В результате больше времени остаётся у руководителей на стратегическое планирование своей деятельности, на более скрупулезное изучение своей деятельности и конкурентов, на исследование рынка, на участие в различных выставках, ярмарках.
Произведём расчёты эффективности от принятых мероприятий для Компьютер-колледжа. На основании полученных результатов рассчитаем ожидаемый экономический эффект для всей организации.
По представленной ниже формуле (1) определим сколько стоит один час работы сотрудников Компьютер-колледжа исходя из их месячных окладов.
С>ч> = О / К>ч> (1)
где С>ч> - Стоимость часа работы
О - Месячный оклад
К>ч> - Количество часов в месяце (К>ч>=160 час)
По следующей формуле (2) можно определить общую экономию средств от снижения трудоёмкости.
(2)
где Э – экономия от снижения трудоёмкости
Т>1> и Т>2> – трудоёмкость операции до и после
n – число сотрудников в подразделении
Результаты расчётов приведём в отдельную таблицу, где дополнительно отражены данные из таблицы 8 о количестве сэкономленного времени (таблица 9).
Таблица 9
Определение экономии от снижения трудоёмкости
|
Должность |
Оклад, руб. |
Стоимость часа работы, руб. |
Экономия времени, час |
Экономия от снижения трудоёмкости, руб. |
|
Директор |
1150 |
7,19 |
56 |
402,64 |
|
Секретарь-референт |
400 |
2,50 |
24 |
60,00 |
|
Инженер компьютерных классов |
750 |
4,69 |
38 |
178,22 |
|
Заместитель по учебной работе |
900 |
5,63 |
47 |
264,61 |
|
Преподаватель по контракту |
- |
30,00 |
- |
- |
|
Штатный преподаватель |
1200 |
10,00 |
- |
- |
|
Общая экономия от снижения трудоёмкости, руб. |
905,47 |
Полученная сумма экономии составляет примерно 25% от суммы окладов всех сотрудников этого подразделения. Определим экономический эффект от внедрения современных информационных технологий. Ниже представлена формула (3), позволяющая определить экономический эффект. На внедрение этих мероприятий были затрачены средства в размере 11 000 рублей.
ЭЭ = Э / З (3)
где ЭЭ – экономический эффект
З – затраты на проведение мероприятий
ЭЭ = 905,47 / 11000 = 0,0823 р./р.
Срок окупаемости можно определить обратной величиной экономической эффективности (4).
Т>ок> = 1 / ЭЭ (4)
где Т>ок> – срок окупаемости
Т>ок> = 1/ 0,823 = 12,148 месяцев
В итоге мы определили, что наши затраты окупаются практически в течении года. Такие показатели были достигнуты только в Компьютер-колледже благодаря применению современных информационных технологий. Подобных результатов можно достичь и в остальных подразделениях, но более весомого результата можно достичь с помощью комплексной автоматизации управленческого труда всех подразделений.
3.2Улучшение сетевой организации предприятия
Персональные компьютеры и компьютерные сети стали важным фактором не только благополучия малых и растущих предприятий, но и их выживания. Они являются инструментом, позволяющим рационализировать работу, снизить затраты и повысить производительность труда служащих.
Одна из главных задач владельца небольшой фирмы - опережать конкурентов. Чтобы сохранить конкурентоспособность на сегодняшнем рынке, нужно добиваться повышения выручки с наименьшими затратами - и именно здесь на помощь приходит современная сетевая технология.
Правильно сделанное капиталовложение в компьютерную сеть поможет предприятию зарабатывать деньги за счет четырех основных факторов. Оно позволит:
Снизить административные накладные расходы
Повысить производительность труда
Рационализировать ведение дел
Снизить затраты на аппаратные средства
Это как раз и началось осуществляться с 1998 года, другое дело как это делается. К числу недостатков можно причислить:
Нет утверждённого плана развития компьютерной сети или он не соблюдается.
Администрирование сети происходит по принципу «всё закрыть» даже внутри отделов и подразделений.
Не используются потенциальные возможности локальной вычислительной сети
Не производилось обучение сотрудников порядком работы в сети и с сетевыми приложениями.
Система администрирования сети по плану является централизованной, а фактически является децентрализованной.
Перечисленные выше преимущества локальной сети не используются. Так, например, повышение производительности труда. Наличие сети позволяет работникам организации тратить меньше времени на рутинные операции, экономя его для производительности труда. Рассылая служебные записки по электронной почте, менеджеры избавляются от необходимости печатать, копировать и разносить их. Электронная почта обеспечивает практически мгновенную доставку корреспонденции и реакцию на нее. Однако электронная почта просто не используется настолько, как будто её вовсе нет.
Возьмём рационализацию работы. Применение сетевых приложений, таких как система управления базами данных и электронные таблицы, позволяет сотрудникам работать совместно, не покидая своего рабочего места, где бы ни находились пользователи или прикладные программы. Это может намного ускорить ведение дел. Однако, это невозможно из-за неграмотности персонала в первую очередь и из-за того, что подразделения больше не доверяют друг другу, чем хотели бы сотрудничать.
Рассмотрим снижение расходов на аппаратные средства. Наличие сети позволит сотрудникам фирмы совместно использовать достаточно дорогостоящее периферийное оборудование, такое как лазерные принтеры, устройства резервного копирования, коммуникационное оборудование. Это снижает их стоимость, приходящуюся на одного пользователя, и обеспечивает доступ к нему большому числу работников. Однако этого даже нет в перспективном плане развития организации. Наглядный пример 205 аудитория. В этот компьютерный класс по плану должна быть проведена локальная сеть в 1997 году, а её до сих пор нет.
Значительное снижение административных расходов возникает при объединении персональных компьютеров в сеть. Если, например, менеджер решает перейти на новую версию прикладной программы, ему достаточно внести изменения только в ее совместно используемую копию, а не на каждом рабочем месте. Простота управления сетью означает повышение производительности труда работника, ответственного за ее эксплуатацию. Это особенно важно для небольших подразделениях нашей организации, где управление часто совмещается с исполнением других обязанностей. Чем меньше времени тратит менеджер на выполнение рутинных операций, тем больше времени он может уделить решению важных для подразделения текущих задач, что, в конечном счете, повышает рентабельность организации.
Моим первым предложением будет организация в административном отделе некоторого временного подразделения, занимающегося внедрением новых информационных технологий в организации. Оно должно заниматься тем, что будет пересматривать существующее положение дел и внедрять через ректора новые методы работы.
Почему необходимо создавать специальное временное подразделение? Во-первых, это дело не прибыльное, а все подразделения в Техническом университете работают на прибыль, а не на качество, во-вторых, у этого подразделения будет не предвзятое отношение к различным проблемам.
Этому подразделению необходимо решить следующие задачи:
модернизация существующих компьютеров и приобретение новых персональных компьютеров
организация сетевой структуры и распределение полномочий по администрированию
выбор программного обеспечения, исходя из эффективности, надёжности и стоимости существующих программ и операционных систем
организация обучения сотрудников организации новым способам работы, используя новые возможности и более эффективное использование привычных приложений
организация отдела, занимающегося технической поддержкой сетевой оргтехники, с помощью которой возможно будет сетевая печать, хранение файлов на сервера, приём и отправка электронной почты, факсимильных сообщений за пределы организации.
Эффект от внедрения локальной сети в данном случае будет более ощутимым, так как само только подключение отдела к локальной сети ничего абсолютно не даёт. Отдел обычно становится более закрытым. Известна такая реакция у начальников подразделений при подключении к сети:
архивация данных на дискеты
защита файлов паролями
отказ от использования сети
проверка на компьютерные вирусы
отказ соблюдать требования администратора сети, мотивируя это неумением
В итоге как работало подразделение, так и работает: выполняет бюджет, объёмы работ прежние. Начальники подразделений считают себя опытными людьми и поэтому поступают так, как считают нужным, исходя из опыта прошлых лет, на проведённые собственными силами маркетинговыми исследованиями. Руководители подразделений не изучают передовые технологии, не думают о том, как можно новые достижения науки и техники или других организаций применить у себя в отделе. Если что-то вводится принудительно, то выполняется двойная работа: по старинке и по-новому.
Нельзя так говорить за все подразделения, в некоторых отделах, где есть опытные в этом деле сотрудники, сразу произошло оживление: активно используется локальная почта, Интернет, сетевые технологии.
Нельзя здесь рассчитывать на энтузиазм сотрудников. Когда с человека требуют выполнение плана, изо дня в день повышают нагрузку второстепенной работой, он не будет отнимать у себя время изучением локальной сети. Проследим по журналу выдачи ключей среднее время выдачи и сдачи ключей на вахту. Ниже в таблице представлено время опозданий и задерживания на рабочих местах (таблица 10).
Таблица 10
Данные по журналу выдачи ключей
|
Средние показатели за год |
Годы |
Темпы роста |
|||
|
1997 |
1998 |
1999 |
98/97 |
99/98 |
|
|
Опоздание на работу, мин. |
8 |
12 |
17 |
150% |
142% |
|
Задерживание на работе, мин. |
16 |
83 |
93 |
519% |
112% |
Р
езультаты
таблицы 9 и графическое отображение
данных (рисунок 14) подтверждают
увеличение нагрузки на персонал. Эта
нагрузка является скрытой, так как
официально за задержку на работе не
платят и на совещаниях эта проблема не
обсуждается. Однако нельзя сказать, что
это связано только из-за перегрузки
персонала работой. Некоторые сотрудники
стали задерживаться на работе или стали
использовать рабочее время из-за
появления глобальной сети Интернет.
Рисунок 14. Скрытая нагрузка на сотрудников
Итак, внедряются новые технологии, а способы выполнения работ остаются прежними. Поэтому самой трудной задачей нового отдела будет обучение сотрудников организации новым информационным технологиям. Конечно же, решать существующую проблему необходимо в комплексе, нет здесь главных задач, так как если проигнорировать или упустить некоторые направления комплексного развития в организации информационной системы, то экономического эффекта может вовсе не быть или он будет незначительным.
Призывы к самофинансированию научили подразделения самостоятельности. Теперь каждое подразделение работает строго по смете и стремится себя обеспечить компьютерами, принтерами, ксероксами – становятся независимыми. Однако, использование локальной сети, может снизить расходы на аппаратное обеспечение. Необходимо организовать отдел множительной техники. Это будет небольшая комната, в которой будет находиться один или два оператора и несколько различных сетевых принтеров, сканеров, ксероксов, факсов. Это даёт несколько преимуществ подразделениям:
Снижение расходов на аппаратное обеспечение
Улучшает контроль за рациональным использованием техники и расходными материалами
Закупка расходных материалов по низким ценам
Выход из строя одного из оборудования не влечёт к остановкам в работе
Возможность вести статистику расходов по подразделениям, мотивируя их к снижениям расходов
3.3Внедрение автоматизированной информационной системы
Внедрение системы автоматизации управления, как и любое серьезное преобразование на предприятии, является сложным и зачастую болезненным процессом. Тем не менее, некоторые проблемы, возникающие при внедрении системы, достаточно хорошо изучены, формализованы и имеют эффективные методологии решения. Заблаговременное изучение этих проблем и подготовка к ним значительно облегчают процесс внедрения и повышают эффективность дальнейшего использования системы. Далее приведены основные проблемы и задачи, возникающие в большинстве случаев при внедрении систем управления и рекомендации по их решению.
Основные проблемы и задачи, требующие особого внимания при их решении в Техническом университете:
Отсутствие постановки задачи менеджмента на предприятии;
Необходимость в частичной или полной реорганизации структуры предприятия;
Необходимость изменения технологии бизнеса в различных аспектах;
Сопротивление сотрудников предприятия;
Временное увеличение нагрузки на сотрудников во время внедрения системы;
Необходимость в формировании квалифицированной группы внедрения и сопровождения системы, выбор сильного руководителя группы.
Теперь опишем эти пункты подробнее. Отсутствие постановки задачи менеджмента в ОАО «ТУ КубГТУ» является наиболее значимым и сложным. На первый взгляд, его тема перекликается с содержанием второго пункта, посвященного реорганизации структуры предприятия. Однако, на самом деле, он является более глобальным и включает в себя не только методологии управления, но также философские и психологические аспекты. Дело в том, что большинство руководителей управляют своим подразделением, только исходя из своего опыта, своей интуиции, своего видения и весьма неструктурированных данных о его состоянии и динамике. Как правило, если руководителя попросить описать в каком-либо виде описать структуру деятельности своего предприятия или набор положений, исходя из которых он принимает управленческие решения, дело достаточно быстро заходит в тупик.
Грамотная постановка задач менеджмента является важнейшим фактором, влияющим как и на успех деятельности предприятия в целом, так и на успех проекта автоматизации. Например, совершенно бесполезно заниматься внедрением автоматизированной системы электронного документооборота, если сам документооборот не поставлен в организации должным образом, как определенный последовательный процесс.
К сожалению, на настоящий момент в России до конца не сложился национальный подход к менеджменту, и в данный момент российское управление представляет собой гремучую смесь из теории западного менеджмента (которая во многом не является адекватной существующей ситуации) и советско-российского опыта, который, хотя и во многом гармонирует с общими жизненными принципами, но уже не отвечает жестким требованиям рыночной конкуренции.
Поэтому, первое, что необходимо сделать для того, чтобы проект внедрения автоматизированной системы управления оказался удачным - максимально формализовать все те контуры управления, которые собственно Вы планируете автоматизировать. В большинстве случае, для осуществления этого не обойтись без привлечения профессиональных консультантов, но по опыту, затраты на консультантов просто не сопоставимы с убытками от проваленного проекта автоматизации. Однако нужно не ошибиться в выборе консультантов, но это уже отдельный сложный вопрос.
Необходимость в частичной реорганизация структуры и деятельности предприятия. Прежде чем приступать к внедрению системы автоматизации на предприятии обычно необходимо произвести частичную реорганизацию его структуры и технологий ведения бизнеса. Поэтому, одним из важнейших этапов проекта внедрения, является полное и достоверное обследование предприятия во всех аспектах его деятельности. На основе заключения, полученного в результате обследования, строится вся дальнейшая схема построения корпоративной информационной системы. Несомненно, можно автоматизировать все, по принципу "как есть", однако, этого не следует делать по ряду причин. Дело в том, что в результате обследования обычно фиксируется большое количество мест возникновения необоснованных дополнительных затрат, а также противоречий в организационной структуре, устранение которых позволило бы уменьшить производственные и логистические издержки, а также существенно сократить время исполнения различных этапов основных бизнес-процессов. Как сказал, кто-то из великих, нельзя автоматизировать хаос, ибо в результате этого получится автоматизированный хаос. Под термином реорганизация я даже не имею в виду реинжиниринг в его классическом западном понимании, с полной перестройкой всей внутрихозяйственной и коммерческой деятельности. Реорганизация может быть проведена в ряде локальных точек, где она объективно необходима, что не повлечет за собой ощутимый спад активности текущей коммерческой деятельности.
Необходимость в изменении технологии работы с информацией, и принципов ведения бизнеса. Эффективно построенная информационная система не может не внести изменений в существующую технологию планирования бюджетирования и контроля, а также управления бизнес-процессами.
Во-первых, одними из самых важных для руководителя особенностей корпоративной информационной системы, являются модули управленческого учета и финансового контроллинга. Теперь каждое функциональное подразделение может быть определено как центр финансового учета, с соответствующим уровнем финансовой ответственности его руководителя. Это в свою очередь повышает ответственность каждого из таких руководителей, и предоставляет в руки высших менеджеров эффективный инструментарий для чёткого контроля исполнения отдельных планов и бюджетов.
При наличии информационной системы, руководитель способен получать актуальную и достоверную информацию обо всех срезах деятельности компании, без временных задержек и излишних передаточных звеньев. Кроме того, информация подаётся руководителю в удобном виде "с листа" при отсутствии человеческих факторов, которые могут предвзято или субъективно трактовать информацию при передаче. Однако справедливо было бы заметить, что некоторые руководители не привыкли принимать управленческие решения по информации в чистом виде, если к ней не приложено мнение человека, который ее доставил.
3.4Использование Интернет технологий
Почему мы должны использовать технологии Internet, Intranet для интеграции информационных ресурсов в корпоративных сетях. Поскольку Internet базируется на стандартизированных технологиях, применяемых к глобальным сетям, почему бы не воспользоваться этими технологиями при работе в корпоративных сетях?
Intranet как раз и предлагает использование Internet-технологий в корпоративных сетях. В локальной сетевой среде все преимущества Internet могут быть реализованы с использованием стандартных инструментальных средств Internet. Например, классическая задача связи "один-ко-многим" решается с применением Internet-средств даже внутри локальной сети. Intranet-решения позволяют быстро создавать локальные, защищенные сетевые системы с реальной технологией "клиент-сервер", которые доступны для освоения, как подготовленному специалисту, так и обычному рабочему персоналу компании.
WEB-серверы могут посылать и принимать сообщения электронной почты, собирать данные и отвечать на запросы, кодировать сообщения в зависимости от требований по защите информации. Компании могут использовать внутренние WEB-серверы для всех операций, которые обычно осуществляются в киберпространстве. При этом основным программным инструментом конечных потребителей информации становится какой-либо из броузеров (например, NETSCAPE компании Netscape или EXPLORER компании Microsoft). В общем случае, любая информация, в том числе из баз данных, которую можно получить в печатном виде, может быть представлена с помощью языка описания документов (HTML).
Результаты оказались весьма многообещающими:
подобная реализация технологии "клиент-сервер" улучшает защиту данных корпорации (конечный пользователь обращается к базам данных только с помощью броузера);
все приложения разрабатываются и сопровождаются в обрабатывающем центре (нет необходимости в сопровождении приложений на компьютерах пользователей);
решается вопрос удаленного доступа в смысле неоднородности технической базы конечного пользователя;
решается вопрос работы по коммутируемым каналам связи
и т.д.
В самом обобщенном виде информационная система - это набор связанных между собой компонентов, который собирает, обрабатывает, сохраняет и распространяет информацию для поддержки деятельности организации. На уровень информационных систем влияет два фактора:
уровень научно-технического развития в организации, т.е. насколько современны используемые технологии;
люди и существующая в организации культура.
В Техническом университете существует реальная возможность с любого практически компьютера выйти в глобальную сеть Интернет, причём в любое время. Это говорит только о высоком уровне научно-технического развития организации. Однако эти возможности используются не всеми. Большинство сотрудников даже не имеют представление об Интернет. Другими словами культура организации необходимо повышать до уровня научно-технического развития. Например, подразделение Компьютер-колледж может обучить весь персонал Технического университета за очень минимальную плату (компенсацию расходов).
Последний фактор является определяющим, поскольку именно от него будет зависеть первый. Действительно, усложнение информационных систем растет пропорционально росту формализации культуры и увеличению размера организации. Например, на малой фирме с ограниченным кругом задач, где в ходу простые и неформальные отношения рядовых сотрудников с ее управляющими зачастую отсутствует потребность в сложных информационных системах. И, наоборот, в больших организациях с сильно разветвленной структурой такие системы являются жизненной необходимостью. Основная задача информационной системы для менеджера - поддержка принятия решений и управление потоками входящей/исходящей информации (рисунок 15).

Рисунок 15. Общая схема информационных систем
В разряд информационных систем входят также и источники информации. Это могут быть различные справочники, разработки, в том числе и выполненные на лазерных дисках. Но самый большой объем данных может предоставить лишь глобальная сеть Интернет.
На сегодняшний день совокупный объем информации в Сети подсчитать невозможно. Его можно сравнить разве что с совокупным объемом информации во всех библиотеках мира. А какую конкретно пользу может принести Сеть, например, менеджеру Компьютер-колледжа? Во-первых, это наиболее быстрый и надежный способ передачи информации на значительные расстояния. Во-вторых, это самый дешевый способ проведения маркетинговых исследований. И, наконец, в-третьих - это возможность заявить о себе на весь мир с минимальными затратами - такую массовость охвата не может предоставить ни одно периодическое издание в мире.
Интернет развивается настолько быстро, что уже превратился в новый вид коммуникаций, так же как в свое время появилось телевидение и телефон. Вероятность найти требуемую информацию в Интернет я по собственному опыту свожу приблизительно к 80 %. Так как большинство пользователей Сети используют операционную систему Windows 95, в которой основные манипуляции производятся мышью, а расстояния между информационными банками могут измеряться десятками тысяч километров, то появилось выражение “информация на расстоянии щелчка мыши”. И это действительно так!
4ОРГАНИЗАЦИЯ БЕЗОПАСНОСТИ ЖИЗНИДЕЯТЕЛЬНОСТИ
4.1 Значение и задачи безопасности труда
Безопасность жизнедеятельности – это система научных знаний о сохранении жизни, здоровья и обеспечении безопасности человека при любых видах его деятельности и в любой сфере обитания.
Вопросы обеспечения безопасности труда на производстве, сохранения здоровья и жизни людей всегда занимали значительное место в трудовом законодательстве и внимании к ним, по мере развития общества, постоянно возрастало. Основным документом, регулирующим общие вопросы безопасности труда в России, является документ, принятый 6.08.1993г., №56001 «Основы законодательства Российской Федерации об охране труда». В данном документе установлены гарантии осуществления прав трудящихся на охрану труда и обеспечивает единый порядок регулирования отношений в области охраны труда между работодателем и работниками на предприятиях, в учреждениях и организациях всех форм собственности независимо от сферы хозяйственной деятельности и ведомственной подчиненности и направленные на создание условий труда, отвечающих требованиям сохранения жизни и здоровья работников в процессе трудовой деятельности и в связи с ней. Охрана труда - это система обеспечения безопасности жизни и здоровья работников в процессе трудовой деятельности, включающая трудовые, социально-экономические, санитарно-гигиенические, организационно-технические и иные мероприятия.
Таким образом, в качестве основных задач безопасности жизнедеятельности можно выделить:
идентификация опасных и вредных факторов среды;
регламентация их уровней в допустимых пределах;
разработка комплекса мероприятий по их устранению или защите человеческого организма от негативного из воздействия.
Согласно статье 3 документа «Основы законодательства РФ об охране труда» сказано: «Для организации работы по охране труда на предприятии создается в случае необходимости службы охраны труда или привлекаются специалисты по охране труда на договорной основе». Открытое акционерное общество «Технический университет КубГТУ» занимается образовательной деятельностью, поэтому в создании специальных служб по охране труда нет необходимости. За охрану труда в ОАО «Технический университет КубГТУ» отвечают руководители его подразделений.
4.2 Характеристика условий и безопасности труда
Состояние условий труда в Открытом акционерном обществе «Технический университет КубГТУ» рассмотрено на примере бухгалтерии (таблица 11).
Из полученной таблицы можно сделать вывод о том, что показатели микроклимата (температура воздуха, относительная влажность, скорость движения воздуха) на рабочих местах бухгалтерии ОАО «ТУ КубГТУ» находятся в пределах нормы, сочетание таких микроклиматических условий при длительном и систематическом воздействии на человека сохраняют его нормальное тепловое состояние без напряжения механизма терморегуляции.
Таблица 11
Характеристика параметров
условий труда и безопасности
на рабочих
места ОАО «ТУ КубГТУ»
|
Параметр |
Ед. измерен. |
Норма |
Факт |
|
1.Температура а) теплый период года б) холодный и переходной периоды |
о С о С |
20-23 15-23 |
25 20 |
|
2.Относительная влажность |
% |
не более 75 |
60 |
|
3.Скорость движения воздуха |
м\с |
0,2-0,3 |
0,2 |
|
4.Освещенность рабочих мест:
|
АК КЭО,% |
300 1,5 |
300 1,5 |
|
5.Производственный шум |
дБА |
60 |
Отс. |
|
6.Вибрация на рабочих местах |
дБ |
92 |
Отс. |
|
7.Численность рабочих |
Чел. |
4 |
|
|
8.Технические средства безопасности:
|
Есть Есть Есть |
||
|
9.Площадь помещения на 1 человека |
М2 |
6 |
5,3 |
|
10.Объем помещения на 1 человека |
М3 |
20 |
18,7 |
Одним из важнейших элементов условий труда является освещение. Правильно выполненная система освещения повышает общую работоспособность, создает нормальные условия труда. При освещении бухгалтерии используется естественное освещение, создаваемое светом солнца, его дополняют рабочим комбинированным освещением, т.е. сочетанием общего освещения с местным. При общем освещении светильники размещаются в верхней зоне помещения равномерно, местное освещение позволяет получить концентрирующий световой поток непосредственно на рабочей поверхности.
В бухгалтерии имеется защитное заземление, устраняющее опасность поражения людей электрическим током при появлении напряжения на конструктивных частях электрооборудования, т.е. при замыкании на корпусе, а также устройства защитного отключения, обеспечивающее автоматическое отключение опасного участка цепи.
Применение автоматических средств обнаружения пожаров является одним из основных условий обеспечения пожарной безопасности, т.к. позволяет оповестить дежурный персонал о пожаре и месте его возникновения. В бухгалтерии установлены тепловые извещатели, срабатывающие при определенной максимальной температуре.
Среди гигиенических проблем современности проблемы гигиены труда пользователей ПЭВМ относятся к числу наиболее актуальных, поскольку непрерывно расширяется круг задач, решаемых ПЭВМ, и все большие контингенты людей вовлекаются в процесс использования вычислительной техники.
Совокупность изменений, наблюдаемых в состоянии здоровья профессиональных пользователей ПЭВМ, включает заболевания опорно-двигательного аппарата, органов зрения, центральной нервной и сердечно-сосудистой системы, желудочно-кишечного тракта, аллергические расстройства, отмечают осложнения беременности и родов, неблагоприятное влияние на плод. Получены данные о повышенном уровне онкологических заболеваний.
По мере накопления новых данных по рассматриваемой проблеме становятся все более очевидными причинно-следственные связи между условиями труда и состоянием здоровья пользователей ПЭВМ. Так заболевания опорно-двигательного аппарата (рук, шеи, плечевого пояса, спины) связанны с вынужденной рабочей позой, гиподинамией в сочетании с монотонностью труда. Часто на рабочих местах отсутствует специализированная мебель и с эргономических позиций организация рабочих мест неудовлетворительна. Характерной особенностью труда за компьютером является необходимость выполнения точных зрительных работ на светящемся экране в условиях перепада яркостей в поле зрения, наличии мельканий, неустойчивости и нечеткости изображения. Объекты зрительной работы находятся на разном расстоянии от глаз пользователя (от 30 до 70 см) и приходится часто переводить взгляд в направлениях экран-клавиатура-документация (согласно хронометражным данным от 15 до 50 раз в минуту). Частая переадаптация глаза к различным яркостям и расстояниям является одним из главных негативных факторов при работе с дисплеями. Неблагоприятным фактором световой среды является несоответствие нормативным значениям уровней освещенности рабочих поверхностей стола, экрана, клавиатуры. Нередко на экранах наблюдается зеркальное отражение источников света и окружающих предметов. Все выше изложенное затрудняет работу и приводит к нарушениям основных функций зрительной системы.
Труд оператора ПЭВМ относится к формам труда с высоким нервно-эмоциональным напряжением. Это обусловлено необходимостью постоянного слежения за динамикой изображения, различения текста рукописных и печатных материалов, выполнением машинописных и графических работ. В процессе работы требуется постоянно поддерживать активное внимание.
Сейчас уже очевидно, что компьютерные технологии являясь великим достижением человечества, имеют отрицательные последствия для здоровья людей. На сегодня стоит задача снизить ущерб от вреда здоровью. Для этого необходимо соблюдение установленных гигиенических требований к режимам труда и организации рабочих мест. Профессиональные пользователи ВДТ и ПЭВМ должны проходить обязательные предварительные при поступлении на работу и периодические медицинские осмотры. Беременные женщины не допускаются к выполнению работ, связанных с ВДТ и ПЭВМ. Необходимо использовать уже имеющиеся разработки по профилактике нарушений в состоянии здоровья работающих.
Кроме перечисленных факторов на рабочем месте операторов могут иметь место шум, нарушенный ионный режим, неблагоприятные показатели микроклимата. В воздухе могут содержаться химические вещества (озон, фенол, стирол, формальдегиды и др.), что наблюдается при установке на малых площадках большого числа компьютеров и несоблюдении требований к организации рабочих мест.
Условия и безопасность труда в ОАО «ТУ КубГТУ» соответствуют установленным требованиям и способствуют высокой работоспособности коллектива.
4.3 Пожарная профилактика
Ответственных за пожарную безопасность отдельных территорий, зданий сооружений и т.п. определяет руководитель предприятия.
На предприятии установлен соответствующий их пожарной опасности противопожарный режим, в том числе:
оборудованы места для курения;
определен порядок обесточивания электрооборудования в случае пожара;
определены порядок и сроки прохождения противопожарного инструктажа.
В административном здании исследуемого предприятия на каждом этаже размещаются по два ручных огнетушителя. Емкости для песка, входящие в конструкцию пожарного стенда, имеют вместительность 0,1 куб м и более.
На предприятии определено лицо, ответственное за приобретение, ремонт, сохранность и готовность к действию первичных средств пожаротушения. Каждый огнетушитель, устанавливаемый на объекте, имеет порядковый номер, нанесенный на корпус белой краской, на него заведен паспорт по установленной форме. На предприятии в основном используются пенные огнетушители.
4.4Режимы труда и отдыха при работе с персональными компьютерами
Режимы труда и отдыха при работе с ПЭВМ и ВДТ в Техническом университете не контролируются, хотя должны организовываться в зависимости от вида и категории трудовой деятельности.
Виды трудовой деятельности разделяются на 3 группы:
группа А - работа по считыванию информации с экрана ВДТ или ПЭВМ с предварительным запросом;
группа Б - работа по вводу информации;
группа В - творческая работа в режиме диалога с ЭВМ.
При выполнении в течение рабочей смены работ, относящихся к разным видам трудовой деятельности, за основную работу с ПЭВМ и ВДТ следует принимать такую, которая занимает не менее 50% времени в течение рабочей смены или рабочего дня.
Для видов трудовой деятельности устанавливается 3 категории тяжести и напряженности работы с ВДТ и ПЭВМ (таблица 12), которые определяются:
для группы А - по суммарному числу считываемых знаков за рабочую смену, но не более 60 000 знаков за смену;
для группы Б - по суммарному числу считываемых или вводимых знаков за рабочую смену, но не более 40 000 знаков за смену;
для группы В - по суммарному времени непосредственной работы с ВДТ и ПЭВМ за рабочую смену, но не более 6 часов за смену.
Таблица 12
Время регламентированных перерывов
|
Категория работы с ВДТ или ПЭВМ |
Уровень нагрузки за рабочую смену при видах работ с ВДТ |
Суммарное время регламентированных перерывов, мин. |
|||
|
группа А, количество знаков |
группа Б, количество знаков |
группа В, час. |
при 8-ми часовой смене |
при 12-ти часовой смене |
|
|
I |
до 20000 |
до 15000 |
до 2,0 |
30 |
70 |
|
II |
до 40000 |
до 30000 |
до 4,0 |
50 |
90 |
|
III |
до 60000 |
до 40000 |
до 6,0 |
70 |
120 |
Для инженеров, обслуживающих учебный процесс в аудиториях с ВДТ и ПЭВМ, продолжительность работы не должна превышать 6 часов в день. Продолжительность обеденного перерыва определяется действующим законодательством о труде и Правилами внутреннего трудового распорядка предприятия организации.
Для обеспечения оптимальной работоспособности и сохранения здоровья профессиональных пользователей, на протяжении рабочей смены должны устанавливаться регламентированные перерывы. Время регламентированных перерывов в течение рабочей смены следует устанавливать, в зависимости от ее продолжительности, вида и категории трудовой деятельности (таблица 12). Продолжительность непрерывной работы с ВДТ без регламентированного перерыва не должна превышать 2 часов.
При 8-ми часовой рабочей смене и работе на ВДТ и ПЭВМ регламентированные перерывы следует устанавливать:
для 1 категории работ через 2 часа от начала рабочей смены и через 2 часа после обеденного перерыва продолжительностью 15 минут каждый;
для 11 категории работ через 2 часа от начала рабочей смены и через 1,5-2,0 часа после обеденного перерыва продолжительностью 15 минут каждый или продолжительностью 10 минут через каждый час работы;
для III категории работ через 1,5-2,0 часа от начала рабочей смены и через 1.5-2 часа после обеденного перерыва продолжительностью 20 минут каждый или продолжительностью 15 минут через каждый час работы.
При 12-ти часовой рабочей смене регламентированные перерывы должны устанавливаться в первые 8 часов работы аналогично перерывам при 8-ми часовой рабочей смене, а в течение последних 4часов работы, независимо от категории и вида работ, каждый час продолжительностью 15 минут.
Во время регламентированных перерывов с целью снижения нервно-эмоционального напряжения, утомления зрительного анализатора, устранения влияния гиподинамии и гипокинезии, предотвращения развития познотонического утомления целесообразно выполнять определённые комплексы упражнений.
С целью уменьшения отрицательного влияния монотонии целесообразно применять чередование операций осмысленного текста и числовых данных (изменение содержания работ), чередование редактирования текстов и ввода данных (изменение содержания работы).
В случаях возникновения у работающих с ВДТ и ПЭВМ зрительного дискомфорта и других неблагоприятных субъективных ощущений, несмотря на соблюдение санитарно-гигиенических, эргономических требований, режимов труда и отдыха следует применять индивидуальный подход в ограничении времени работ с ВДТ и ПЭВМ коррекцию длительности перерывов для отдыха или проводить смену деятельности на другую, не связанную с использованием ВДТ и ПЭВМ.
Работающим на ВДТ и ПЭВМ с высоким уровнем напряженности во время регламентированных перерывов и в конце рабочего дня показана психологическая разгрузка в специально оборудованных помещениях (комната психологической разгрузки).
В Техническом университете нет строгого соответствия санитарным правилам, указанных в СанПин 2.2.2.542-96. Необходимо учитывать, что при правильной организации рабочего места производительность труда инженера возрастает с 8 до 20 процентов.
В обществе производят закупку кондиционеров, вентиляторов, огнетушителей и принимают множество других мер по охране труда и с каждым годом положение существенно улучшается.
5ОХРАНА ОКРУЖАЮЩЕЙ СРЕДЫ
Главные задачи охраны окружающей среды- рациональное использование природных ресурсов, защита природы от загрязнения, сохранения биологического разнообразия легли в основу понятия «охрана окружающей природной среды».
Охрана окружающей природной среды есть система научных знаний и комплекса государственной, международной и общественных мероприятий направляемых на рациональное использование, охрану и восстановление природных ресурсов, на сохранение биологического разнообразия, на защиту окружающей среды от загрязнения и разрушения для создания оптимальных условий существования человека.
Понятие окружающая среда подразумевает окружающее человеческое общество, а не отдельного человека и только природные объекты среды.
Охрана окружающей среды как проблема охватывает широкий круг разнообразных вопросов, связанных с экономией использования природных ресурсов необходимых для развития промышленности и сельского хозяйства. Большое значение приобрел оздоровительно- гигиенический аспект в связи с загрязнением атмосферы и воды.
Нарастающее загрязнение окружающей среды при очевидной невозможности локализации этих отрицательных явлений, придает всей проблеме глобальное значение.
В числе задач охраны окружающей среды, снижение загрязнения воздуха в городах; улучшение состояния водных объектов и обеспечение питьевой водой населения; предотвращение загрязнения окружающей среды опасными химическими веществами; защита населения от шума и электромагнитного излучения и др.
В настоящее время в условиях обострения экологической ситуации предусмотрен ряд мер по охране окружающей среды. В частности в соответствии с Законом Российской Федерации от 19.12.1991 г. № 2060-1 «Об охране окружающей природной среды» с декабря 1991 года была введена плата за загрязнение окружающей природной среды.
Плата взимается за:
выбросы, сбросы загрязняющих веществ, размещение отходов и другие виды загрязнения в пределах установленных лимитов;
выбросы, сбросы загрязняющих веществ, размещение отходов и другие виды загрязнения сверх установленных лимитов.
За нормативные и сверхнормативные выбросы с сбросы вредных веществ, размещение отходов плата перечисляется предприятиями, учреждениями, организациями в бесспорном порядке:
90 процентов – на специальные счета внебюджетных государственных экологических фондов;
10 процентов – в доход республиканского бюджета Российской Федерации для финансирования деятельности территориальных органов государственного управления в области охраны окружающей природной среды.
В соответствии с Постановлением Правительства РФ от 29.06.92 г. № 442 «О Федеральном экологическом фонде Российской Федерации и экологических фондах на территории Российской Федерации» плата за загрязнение окружающей среды направляется в государственные внебюджетные экологические фонды.
Средства экологических фондов зачисляются на специальные счета учреждений банков и распределяются в следующем порядке :
60 процентов – на реализацию природоохранительных мероприятий местного (городского, районного) значения;
30 процентов – на реализацию природоохранительных мероприятий республиканского, краевого, областного значения;
10 процентов – на реализацию природоохранительных мероприятий федерального значения.
Перечисление средств, вносимых в виде платы за загрязнение окружающей природной среды и размещение отходов в экологические фонды, осуществляется предприятиями ежеквартально не позднее 20 числа последнего месяца квартала. После истечения срока, установленного для внесения платежа, предприятие уплачивает пени в соответствии с Постановлением Правительства РФ от 09.06.98 г. № 576 «О начислении пеней и порядке пересчета задолженности юридических лиц по уплате пеней» в размере одной трехсотой действующей на каждый день просрочки ставки рефинансирования Центрального банка РФ. Платежи за загрязнение окружающей природной среды, размещение отходов, осуществляемые в пределах лимита, финансируются за счет себестоимости продукции (работ, услуг), а сверхлимитные – за счет прибыли, остающейся в распоряжении природопользователей. Плата за загрязнение окружающей природной среды не освобождает природопользователей от выполнения мероприятий по охране окружающей природной среды и возмещения вреда, причиненного экологическим правонарушением.
Органам исполнительной власти субъектов Российской Федерации Постановлением Правительства РФ от 28.09.92 г. № 632, п.4, предоставляется право по согласованию с территориальными органами Минэкологии России и Госсанэпиднадзора понижать размеры платы за загрязнение окружающей природной среды или освобождать от нее отдельные организации социальной и культурной сферы, а также организации, финансируемые из федерального бюджета Российской Федерации, бюджетов субъектов Российской Федерации.
Исследуемая организация (ОАО «Технический университет КубГТУ») не является мощным источником загрязнения окружающей природной среды, так как на балансе стоит два легковых автомобиля (Газ 322132, Газ 3102), за что осуществляет соответствующие выплаты.
Рассмотрим, за что исследуемое предприятие осуществляет плату, и в каких размерах (таблица 13).
Таблица 13
Сведения о затратах, за выброс вредных веществ в 1999году
|
Наименование показателей |
Размер платы за загрязнение окружающей среды |
|
1) Выбросы вредных веществ в атмосферный воздух от стационарных источников загрязнения - всего |
- |
|
а) за предельно допустимые выбросы |
- |
|
б) за установленные лимиты |
- |
|
2) Выбросы вредных веществ в атмосферный воздух от передвижений источников загрязнения, всего |
27,54 |
|
а) за предельно допустимые нормы |
2,48 |
|
б) за установленные лимиты в) за сверхлимитные выбросы |
21,48 3,58 |
|
3) Сбросы вредных веществ в водные объекты, всего |
- |
|
4) Размещение отходов в пределах установленных лимитов |
- |
в том числе: |
27,54 |
|
а) за предельно допустимые выбросы |
2,48 |
|
б) за установленные лимиты в) за сверхлимитные выбросы |
21,48 3,58 |
Таким образом, осуществляя выбросы вредных веществ в окружающую среду, предприятие производит соответственные выплаты, так, например, как следует из таблицы за 1999 год это составило 27,54 рублей.
ОАО «Технический университет КубГТУ» содержит принадлежащие ему автотранспорт в хорошем техническом состоянии (ежегодно проводит капитальный ремонт, ежеквартально производит проверку автомобилей на содержание «СО» и «СН», ежегодно проходит технический осмотр и экологический контроль), чем вносит посильный вклад в охрану окружающей среды.
ЗАКЛЮЧЕНИЕ
Люди организуют свою деятельность в силу разных причин - чтобы закончить работу или задание, чтобы сократить или удалить дублирование действий, чтобы создать центры ответственности, чтобы обеспечить стабильность. Информационные системы должны поддерживать эти цели. Информационные системы обеспечивают определенные преимущества перед конкурентами автоматизируя операции внутри системы и улучшая качество или поставку конечного продукта организации. Преимущества внутри самой фирмы проявляются в поддержке операционного контроля, организации управленческого контроля и в стратегическом планировании. Также информационные системы улучшают качество продукта, расширяя его документальную базу и сервис. Используя глобальную компьютерную сеть Интернет, руководители способны получать и обмениваться оперативной информацией, а также проводить различного рода исследования.
Таким образом, использование технологий, которые входят в понятие информационная система - залог успешной деятельности на рынке.
Использование информационной технологии относится к наиболее противоречивым внутрифирменным проблемам. Руководство предприятий часто отказывается их решать, так как не чувствует себя достаточно компетентным. Решения обычно возлагаются на руководителей информационных служб или специализированные внешние организации.
Хозяйственные риски, связанные с информационными технологиями, постоянно растут, и неясно, до каких пор руководство предприятий будет недооценивать этот важный стратегический ресурс. Правда, в последнее время высший менеджмент стал внимательнее относиться к информационным технологиям. Именно от него должны исходить решающие инициативы по изменению ситуации в данной сфере.
Можно выделить шесть заинтересованных групп, от которых зависит принятие решений в сфере ИТ:
высшее руководство, которое должно управлять ИТ как стратегическим потенциалом предприятия;
специалисты, занимающиеся поиском системных решений для оптимизации специальных функциональных задач;
менеджеры отдельных хозяйственных подразделений, которые должны использовать ИТ в силу логики своей хозяйственной деятельности, чтобы удовлетворять запросы клиентов, снижать издержки и т.д.;
менеджеры служб бухгалтерско-финансового учета, если таковые предусмотрены организационной структурой предприятия;
поставщики ИТ, которые должны предлагать услуги в строгом соответствии с проблемными установками своих потребителей;
собственное информационно-технологическое подразделение.
На многих предприятиях подобные группы интересов не получают признания. Высшее руководящее звено часто делегирует соответствующие функции группе руководителей, следя за выполнением нескольких заданных показателей. Сознательный отказ высшего менеджмента от своих обязанностей приводит к принятию малокомпетентных решений, постановке нереальных плановых задач. Отсутствует также должная мотивация в этой сфере.
Специалисты в силу ограниченности своей сферы деятельности часто лишены возможности иметь полную ясность относительно всего процесса производства товаров и услуг. Отсюда возникают нереалистичные требования к информационным технологиям. Специалисты должны совершенствовать свои знания о производственном процессе, уясняя при этом роль информационных технологий в нём.
Менеджеры отделов бухгалтерско-финансового учета выполняют роль своего рода "переводчиков" при обсуждении с клиентом решений в области информационных технологий. Они должны также вносить ясность относительно ожиданий клиентов и пользователей, связанных с информационно-технологическими услугами.
Что касается поставщиков ИТ, то основная проблема заключается во взаимоотношениях с клиентом, который часто вынужден мириться с ролью "подопытного кролика". Недальновидная сбытовая политика нередко ограничивается размещением одного или нескольких заказов. Наряду с этим возрастает зависимость поставщиков информационных технологий от разработчиков программного обеспечения. Для решения этих проблем поставщикам рекомендуется переходить на более современную хозяйственную стратегию, в основе которой лежат ориентация на клиента, ключевые компетенции, долгосрочные связи с клиентурой на базе взаимного доверия, большая гибкость и готовность к риску.
От внутрифирменных информационно-технологических подразделений требуется активно вовлекать пользователей в обсуждение вопросов информационных технологий, кооперироваться в решении хозяйственных проблем, устанавливать разумные пределы децентрализации, упрощать рабочие процедуры и др.
Полный переход к электронной форме информации пока еще невозможен по ряду объективных причин, обусловленных не ограничениями современных информационных технологий (они как раз уже вполне созрели для этого и имеют в своем арсенале все необходимые инструменты), а внешними по отношению к ним факторами (законодательство, инерция мышления, недостаточный уровень компьютеризации в среднем по стране). Поэтому, говоря о концепции построения комплексных информационных систем, нельзя не упомянуть такую актуальную на сегодняшний день проблему, как совмещение в документообороте предприятия электронных и бумажных документов.
СПИСОК ИСТОЧНИКОВ
|
Абрамов С.А. Экономическое обоснование автоматизации обработки информации. М.: 1974 |
|
Автоматизированные информационные технологии в экономике. Под ред. Титаренко. М.: 1998 |
|
Акинин П.В. и др. Эффект АСУ. Ставрополь 1986 |
|
Ананькина Е. А., Данилочкин С. В., Данилочкина Н. Г. и др. "Контроллинг как инструмент управления предприятием" - М.: Аудит, изд. "ЮНИТИ", 1998. |
|
Антонюк. Информационные системы в управлении. М.: 1986 |
|
Благодатских В.А. Экономика, разработка и использование программного обеспечения. М.: 1995 |
|
Введение в информационный бизнес. Под ред. В.П. Тихомирова, А.В. Хорошилова. Москва, Финансы и статистика, 1996 |
|
Верма П.К. Сети связи ЭВМ. Оценка эффективности функционирования. М.: 1992 |
|
Вершинин О.Е. Компьютер для менеджера: учебное пособие. М.: 1990 |
|
Звешинский С.М. Эффективность системы информационного обеспечения. Львов: 1987 |
|
Информационные системы в экономике: учебник М.: 1996 |
|
Костогрызов А.И., Петухов А.В., Щербина А.М. Основы оценки, обеспечения и повышения качества выходной информации в АСУ организационного типа. М.: Изд. “Вооружение. Политика. Конверсия”, 1994. 278с. |
|
Левин Р. и др. Практическое введение в технологию искусственного интеллекта. М.:1990 |
|
Методы анализа и синтеза структур управляющих систем. Под ред. Волика. М.: 1988 |
|
Мишенин А.И. Теория экономических информационных систем: учебник для вузов. М.: 1993 |
|
Модин А.А. Основы разработки и развития АСУ. М.: Наука. 1981 |
|
Принятие интеллектуальных решений в диалоге с компьютером. М.: 1990 |
|
Селезнёв М.Л. Информационные вычислительные системы и их эффективность М.: 1986 |
|
Скрипкин К.Г. Финансовая информатика: учебное пособие. М.: 1997 |
|
Стассман Поль А. Информация в век электроники: (Проблемы управления): Пер. с англ. с сокр. / науч. ред. и авт. предисл. Б.З. Мильнер. – М.: Экономика, 1987 – 240 с. |
|
Степанова, Соболев. Экономическое обоснование создания и внедрения АСУ. М.: 1990 |
|
Кучма В.Р., Бабрищева-Пушкина Н.Д. Работоспособность и функциональное состояние организма лиц, работающих с автоматическими и обучающими системами на ПЭВМ. //Мед. труда и пром. экология. 1995, №4, с 17. |
Приложение А
Бухгалтерская отчётность организации
Приложение Б

Приложение В
Электронная анкета слушателей
Приложение Г
Электронный журнал учёта клиентов
Приложение Д
Контроль оплаты в системе CLASS
Краснодар 2000.