Полевая форма материи
Содержание
1. Полевая форма материи. Фундаментальные типы взаимодействий в физике. Почему они так называются и в каких диапазонах времени и пространства проявляются наиболее сильно?
2. Характеризуйте дискретность и непрерывность материи. Определить длину волны электромагнитного излучения, энергия кванта которого равна энергии покоя электрона. Масса покоя электрона равна 9,1х10-31 кг
3. Опишите спектр электромагнитного излучения. Как были открыты инфракрасное и ультрафиолетовое излучение, рентгеновские лучи?
4. Какие частицы составляют ядро атома, каковы его размеры? Как это было установлено?
5. Опишите модификации углерода. Почему столь многообразны соединения углерода? Какие особенности строения атома углерода определили его роль в живой природе?
5. Дайте понятие внутренней энергии. Какие виды внутренней энергии вы знаете? Как измеряется внутренняя энергия? В чем сущность первого начала термодинамики? На сколько градусов повысится температура воды при падении с плотины Саяно-Шушенской ГЭС (высота 222 м), если считать, что 30% потенциальной энергии воды расходуется на нагревание?
6. Что такое фазовое равновесие, перегретая жидкость, процессы сублимации и десублимации? Опишите физическую картину процесса кипения. Как зависит точка кипения от внешнего давления? Приведите примеры проявления этих процессов в природе
7. Охарактеризуйте строение и биологическое значение АТФ, почему АТФ называют основным источником энергии в клетке?
8. Основные выводы учения Вернадского о биосфере. Охарактеризуйте понятия "экосистема", "биогеоценоз", "экологическая ниша", "биоценоз". Чем определяется их устойчивость, какие связи существуют между организмами в экосистеме, и как они моделируются?
9. Каковы отличия науки от других областей культуры? Как соотносится наука с обыденным знанием, с религией?
Список использованной литературы
1. Полевая форма материи. Фундаментальные типы взаимодействий в физике. Почему они так называются и в каких диапазонах времени и пространства проявляются наиболее сильно?
Весомая (вещественная) материя или составляющие ее элементарные частицы представляют овеществленную форму полевой материи - возбужденные состояния поля. Таким образом, элементарные частицы - это те же самые поля, только возбужденные, т.е. любая элементарная частица - это поле, находящееся в возбужденном состоянии.
Волновая теория строения элементарных частиц является обобщением и последовательным развитием представлений о единстве природы вещества и поля, поэтому, как основа для рассмотрения этих вопросов, в тексте приводятся цитаты, которые по теме связаны с полевой природой материи. При этом предпочтение отдается материалистическим представлениям полевых процессов, а не метафизическим концепциям и интерпретациям, построенным на математическом формализме.
Т.е. элементарные частицы, согласно последовательной теории поля, представляют особые состояния полевого пространства (состояние поля с наименьшей энергией называется вакуумом).
С современной точки зрения частицы материи - это квантованные волновые образования, возбужденные состояния квантового поля, т.е. последовательное рассмотрение строения элементарных частиц надо проводить, исходя из анализа возмущений поля, представляющих возбужденные состояния. Поэтому изложение волновой теории строения элементарных частиц начинается с рассмотрения основ полевой природы материи, анализа свойств дискретных полевых потоков, возмущений поля и протекающих в них процессов. Возбужденные состояния поля представляют потоки индукции поля, которые графически изображаются в виде индукционных линий. "С квантовой точки зрения элементарные возбуждения электромагнитного поля обладают всеми свойствами частиц." (см. Курс физики. А.А. Детлаф, Б.М. Яворский. 2000. С.646)
Например, частица фотон представляет элементарное возбужденное состояние поля и, как все электромагнитные волны, фотоны состоят из электрических и магнитных потоков.
Возбуждения поля образованы полевыми потоками индукции, представляющими напряженность поля, т.е., чтобы понять, почему элементарные возбуждения электромагнитного поля обладают свойствами частиц, необходимо проанализировать свойства индукционных потоков поля.
Фундаментальными
называют частицы, которые по современным
представлениям не имеют внутренней
структуры.12 фундаментальных фермионов
(со спином 1/2 в единицах
)
приведены в таблице 1. Последний столбец
таблицы 1 - электрические заряды
фундаментальных фермионов в единицах
величины заряда электрона e.
Табл.1. Фундаментальные фермионы
|
Фундаментальные фермионы |
|||||||
|
Взаимодействия |
|
Поколения |
Заряд Q/e |
||||
|
1 |
2 |
3 |
|||||
|
|
|
|
лептоны |
|
|
|
0 |
|
|
e |
|
|
-1 |
|||
|
|
кварки |
u |
c |
t |
+2/3 |
||
|
d |
s |
b |
-1/3 |
12 фундаментальным фермионам соответствуют 12 антифермионов.
Взаимодействие частиц осуществляется за счет 4 типов взаимодействий: гравитационного, сильного, электромагнитного и слабого. Квантами соответствующих полей являются 12 фундаментальных бозонов.
Табл.2. Фундаментальные взаимодействия
|
Взаимодействие |
Квант |
Радиус |
Квадрат константы |
Примеры проявления взаимодействия |
|
Сильное |
глюоны |
10-13 |
~1 |
Ядро, адроны |
|
Электромагнитное |
|
|
|
Атом,
|
|
Слабое |
W,Z |
10-16 |
~10-6 |
Слабые распады частиц,
|
|
Гравитационное |
гравитон |
|
~10-40 |
Сила тяжести |
Квантами сильного взаимодействия являются нейтральные безмассовые глюоны. Фундаментальные фермионы, между которыми реализуется сильное взаимодействие - кварки - характеризуются квантовым числом “цвет", которое может принимать 3 значения. Глюоны имеют 8 разновидностей “ цветных" зарядов.
Квантами
электромагнитного взаимодействия
являются
-кванты.
Гамма-кванты имеют нулевую массу покоя.
В электромагнитных взаимодействиях
участвуют фундаментальные частицы,
занимающие последние три строки в
таблице 1, т.е. заряженные лептоны и
кварки. Поскольку кварки в свободном
состоянии не наблюдаются, а входят в
состав адронов, т.е. барионов и мезонов,
все адроны, наряду с сильными
взаимодействиями, участвуют и в
электромагнитных взаимодействиях.
Квантами слабого взаимодействия, в котором принимают участие все лептоны и все кварки, являются W и Z бозоны. Существуют как положительные W+ бозоны, так и отрицательные W-; Z-бозоны электрически нейтральны. Массы W и Z бозонов велики - больше 80 ГэВ/с2. Следствием больших масс промежуточных бозонов слабого взаимодействия является малая - по сравнению с электромагнитной константой - константа слабого взаимодействия. Нейтрино участвует только в слабых взаимодействиях. Глюоны, гамма-квант, W и Z бозоны являются фундаментальными бозонами. Спины всех фундаментальных бозонов равны 1.
Гравитационные взаимодействия практически не проявляются в физике частиц. Например, интенсивность гравитационного взаимодействия двух протонов составляет ~10-38 от интенсивности их электромагнитного взаимодействия.
Экспериментально установлено существование 12 фундаментальных фермионов и 12 фундаментальных бозонов (без учета античастиц), их свойства подробно исследованы.
Явления природы, проявляющиеся при энергиях частиц <100 МэВ, могут быть практически полностью объяснены взаимодействием фундаментальных фермионов 1-го поколения.2-е поколение фундаментальных фермионов проявляется при энергиях порядка сотен МэВ. Для исследования 3-го поколения фундаментальных частиц строят ускорители высоких энергий (E > 100 ГэВ).
2. Характеризуйте дискретность и непрерывность материи. Определить длину волны электромагнитного излучения, энергия кванта которого равна энергии покоя электрона. Масса покоя электрона равна 9,1х10-31 кг
Дискретность и непрерывность - свойства объектов природы, общества и мышления, обобщаемые в специальных научных, общенаучных и философских понятиях, отражающих их строение, структуру и происходящие процессы. Дискретность (по-лат. discretus) означает "прерывистый", состоящий из отдельных частей, раздельный. Синонимы понятия Дискретность. - атомистичность, диффузность и дифференциация, зернистость, корпускулярность, нецельность. Это также раздробленность, точечность. фрагментарность (от лат. fraction - доля, часть) и др. Непрерывность в философии и науке часто обозначается термином "континуальный" (от лат. continuum - непрерывный, сплошной). Но непрерывность - близка по смыслу к цельности и целостности, единству, неразрывности и др. Дискретность и непрерывность суть противоположности, которые отображают как делимость объектов любого рода, а также единство целого. Речь идет о дискретном как о множестве и "скоплении" объектов ("атомов" или "корпускул", элементов) разного рода. Но они бывают связаны в системе (т.е. в чем-то целом) многообразными отношениями и связями. Противоположность и связь Дискретность и непрерывность здесь относительна и условна, но если не было бы Дискретность, то не было бы непрерывности и, наоборот. Мы найдем понятия Дискретность и непрерывность в философских теориях бытия (онтологии) и в теориях познания (гносеологии или эпистемологии) в виде общего учения о прерывности и непрерывности мира. Бытие и время жизни объектов разного рода в данных условиях опирается на единство дискретности и непрерывности. Они связаны также с феноменами (и понятиями) строения, системы и структуры, организации и элемента, конечного, бесконечного и др. При данном типе строения Дискретность и непрерывность основаны на определенных отношениях, связях, взаимодействиях и свойствах более простых элементов на базе структурирования, складывания, соединения, распада и др. Чтобы понять их значение для темпорологии, надо знать природу самих Дискретности и непрерывности, а также свойства, формы и уровни действительности и мышления, сочетающиеся в данных условиях. Согласно диалектике, взаимодействие Дискретность с непрерывностью как полюсов создает движущее противоречие развития данного целого и его частей. Его обеспечивают различные механизмы изменения количества, качества, меры, разнообразия, формы и структуры, строения, состава, организации и др. В итоге, Дискретность и непрерывность - это диалектически взаимосвязанные и дополняющие друг друга, но противоположные по смыслу феномены и понятия (см.: А.Г. Спиркин. Непрерывность и прерывность …, с.433-34).
Абстрактнее, говоря на языке математики, Дискретность обозначает величины, между отдельными значениями которых заключено лишь какое-то конечное число их других значений. Вместе с тем, на деле, непрерывность вовсе не монотонно и единообразно, а это все же некое многообразие. В геометрии под непрерывностью обычно понимают совокупность всех точек на прямой или на её отрезке. В теории чисел, - это просто бесконечное множество всех действительных чисел, например, - всех дробей, заключенных между любыми двумя действительными целыми числами (как между 0 и 1 и т.п.) (см.: Большой словарь …, с.219, 328). В принципе, Дискретность и непрерывность - одни из главных понятий математики, например, арифметики и теории чисел, дифференциального и интегрального исчисления (как исчисления бесконечно малых), теории непрерывных функций. В дискретном и интервальном анализе, вычислительной математике и др., как правило, изменение какой-либо физической величины во времени - это изменение, происходящее через определенные промежутки времени (скачками). Дискретность и непрерывность - важнейшие понятия наук: от механики и физики до современной теории фракталов, а также и других наук, или они являются прямо их предметами.
Дискретность и непрерывность находятся непосредственно в основах философии и наук о материи и движении, в теориях пространства и времени, строения и структуры мира, отношениях вещества и поля, в биологии, социологии, логике и др. В теориях времени посредством Дискретность и непрерывность раскрывается объективное строение времени и его общего хода, а также последовательность событий и действии объектов разной природы, операций с ними, хронометрии (измерения хода времени), и т.п. Все концепции времени разделяют на статические и динамические, а также субстанциональные (от лат. sub>stantia - сущность) и реляционные (от лат. relation - отношение). Но из них ни одна до сих пор не признана общепризнанной и доминирующей, они лишь сочетаются в смешанные по типу концепции (см.: Молчанов Ю.Б. Четыре концепции …).
Для расчета воспользуемся формулой А. Эйнштейна, который предложил рассматривать кванты электромагнитного излучения - фотоны - как движущиеся со скоростью света частицы, имеющие нулевую массу покоя. Их энергия равна
E = mc2 = hν = hc / λ,
где m - масса фотона, с - скорость света в вакууме, h - постоянная Планка, ν - частота излучения, λ - длина волны.
Зная массу m=9,1х10-31 кг, h= 6.626068 Ч 10-34 м2 кг / с, с= 299 792 458 м / с найдем λ
λ=mc/h=9,1Ч10-31Ч299 792 458/6.626068 Ч 10-34=4,12Ч106м
3. Опишите спектр электромагнитного излучения. Как были открыты инфракрасное и ультрафиолетовое излучение, рентгеновские лучи?

После появления уравнений Максвелла стало ясно, что они предсказывают существование неизвестного науке природного явления - поперечных электромагнитных волн, представляющих собой распространяющиеся в пространстве со скоростью света колебания взаимосвязанных электрического и магнитного поля. Сам Джеймс Кларк Максвелл первым и указал научному сообществу на это следствие из выведенной им системы уравнений. В этом преломлении скорость распространения электромагнитных волн в вакууме оказалась столь важной и фундаментальной вселенской константой, что ее обозначили отдельной буквой с в отличие от всех прочих скоростей, которые принято обозначать буквой v.
Сделав это открытие, Максвелл сразу же определил, что видимый свет является "всего лишь" разновидностью электромагнитных волн. К тому времени были известны длины световых волн видимой части спектра - от 400 нм (фиолетовые лучи) до 800 нм (красные лучи). (Нанометр - единица длины, равная одной миллиардной метра, которая в основном используется в атомной физике и физике лучей; 1 нм = 10-9 м) Всем цветам радуги соответствуют различные длины волн, лежащие в этих весьма узких пределах. Однако в уравнениях Максвелла не содержалось никаких ограничений на возможный диапазон длин электромагнитных волн. Когда стало ясно, что должны существовать электромагнитные волны самой разной длины, фактически сразу же было выдвинуто сравнение по поводу того, что человеческий глаз различает столь узкую полосу их длин и частот: человека уподобили слушателю симфонического концерта, слух которого способен улавливать только скрипичную партию, не различая всех остальных звуков.
Вскоре после предсказания Максвеллом существования электромагнитных волн других диапазонов спектра последовала серия открытий, подтвердивших его правоту. Первыми в 1888 году были открыты радиоволны - сделал это немецкий физик Генрих Герц (Heinrich Hertz, 1857-1894). Единственная разница между радиоволнами и светом состоит в том, что длина радиоволн может колебаться в диапазоне от нескольких дециметров до тысяч километров. Согласно теории Максвелла, причиной возникновения электромагнитных волн является ускоренное движение электрических зарядов. Колебания электронов под воздействием переменного электрического напряжения в антенне радиопередатчика создают электромагнитные волны, распространяющиеся в земной атмосфере. Все другие типы электромагнитных волн также возникают в результате различных видов ускоренного движения электрических зарядов.
Подобно световым волнам, радиоволны могут практически без потерь распространяться на большие расстояния в земной атмосфере, и это делает их полезнейшими носителями закодированной информации. Уже в начале 1894 года - всего через пять с небольшим лет после открытия радиоволн - итальянский инженер-физик Гульельмо Маркони (Guglielmo Marconi, 1874-1937) сконструировал первый работающий беспроволочный телеграф - прообраз современного радио, - за что в 1909 году был удостоен Нобелевской премии.
После того как было впервые экспериментально подтверждено предсказываемое уравнениями Максвелла существование электромагнитных волн за пределами видимого спектра, остальные ниши спектра заполнились весьма быстро. Сегодня открыты электромагнитные волны всех без исключения диапазонов, и практически все они находят широкое и полезное применение в науке и технике. Частоты волн и энергии соответствующих им квантов электромагнитного излучения возрастают с уменьшением длины волны. Совокупность всех электромагнитных волн образует так называемый сплошной спектр электромагнитного излучения.
Инфракрасные лучи.
Эта часть электромагнитного спектра включает излучение с длиной волны от 1 миллиметра до восьми тысяч атомных диаметров (около 800 нм). Лучи этой части спектра человек ощущает непосредственно кожей - как тепло. Если вы протягиваете руку в направлении огня или раскаленного предмета и чувствуете жар, исходящий от него, вы воспринимаете как жар именно инфракрасное излучение. У некоторых животных (например, у норных гадюк) есть даже органы чувств, позволяющие им определять местонахождение теплокровной жертвы по инфракрасному излучению ее тела.
Поскольку большинство объектов на поверхности Земли излучает энергию в инфракрасном диапазоне волн, детекторы инфракрасного излучения играют немаловажную роль в современных технологиях обнаружения. Инфракрасные окуляры приборов ночного видения позволяют людям "видеть в темноте", и с их помощью можно обнаружить не только людей, но и технику, и сооружения, нагревшиеся за день и отдающие ночью свое тепло в окружающую среду в виде инфракрасных лучей. Детекторы инфракрасных лучей широко используются спасательными службами, например, для обнаружения живых людей под завалами после землетрясений или иных стихийных бедствий и техногенных катастроф.
Ультрафиолетовые лучи.
К ультрафиолетовым лучам относят электромагнитное излучение с длиной волны от нескольких тысяч до нескольких атомных диаметров (400-10 нм). В этой части спектра излучение начинает оказывать влияние на жизнедеятельность живых организмов. Мягкие ультрафиолетовые лучи в солнечном спектре (с длинами волн, приближающимися к видимой части спектра), например, вызывают в умеренных дозах загар, а в избыточных - тяжелые ожоги. Жесткий (коротковолновой) ультрафиолет губителен для биологических клеток и поэтому используется, в частности, в медицине для стерилизации хирургических инструментов и медицинского оборудования, убивая все микроорганизмы на их поверхности.
Всё живое на Земле защищено от губительного влияния жесткого ультрафиолетового излучения озоновым слоем земной атмосферы, поглощающим большую часть жестких ультрафиолетовых лучей в спектре солнечной радиации. Если бы не этот естественный щит, жизнь на Земле едва ли бы вышла на сушу из вод Мирового океана. Однако, несмотря на защитный озоновый слой, какая-то часть жестких ультрафиолетовых лучей достигает поверхности Земли и способна вызвать рак кожи, особенно у людей, от рождения склонных к бледности и плохо загорающих на солнце.
Рентгеновские лучи.
Излучение в диапазоне длин волн от нескольких атомных диаметров до нескольких сот диаметров атомного ядра называется рентгеновским. Рентгеновские лучи проникают сквозь мягкие ткани организма и поэтому незаменимы в медицинской диагностике. Как и в случае с радиоволнами временной разрыв между их открытием в 1895 году и началом практического применения, ознаменовавшимся получением в одной из парижских больниц первого рентгеновского снимка, составил считанные годы. (Интересно отметить, что парижские газеты того времени настолько увлеклись идеей, что рентгеновские лучи могут проникать сквозь одежду, что практически ничего не сообщали об уникальных возможностях их применения в медицине)
4. Какие частицы составляют ядро атома, каковы его размеры? Как это было установлено?
В далёком прошлом философы Древней Греции предполагали, что вся материя едина, но приобретает те или иные свойства в зависимости от её "сущности". А сейчас, в наше время, благодаря великим учёным, мы точно знаем, из чего на самом деле она состоит модель атома.

Исследуя пути движения частиц с помощью камеры, Резерфорд заметил, что в камере они параллельны (пути), а при пропускании пучка параллельных лучей через слой газа или тонкую металлическую пластинку, они выходят не параллельно, а несколько расходятся, т.е. происходит отклонение частиц от их первоначального пути. Некоторые частицы отклонялись очень сильно, некоторые вообще не проходили через тонкую пластинку.
Исходя из этих наблюдений, Резерфорд предложил свою схему строения атома: в центре атома находится положительное ядро, вокруг которого по различным орбитам вращаются отрицательные электроны. Центростремительные силы, возникающие при их вращении, удерживают их на своих орбитах и не дают им улететь. Эта модель атома легко объясняет явление отклонения - частиц. Размеры ядра и электронов очень малы по сравнению с размерами всего атома, которые определяются орбитами наиболее удаленных от ядра электронов; поэтому большинство - частиц пролетает через атомы без заметного отклонения. Только в тех случаях, когда - частицы очень близко подходит к ядру, электрическое отталкивание вызывает резкое отклонение ее от первоначального пути. Таким образом, изучение рассеяние - частиц положило начало ядерной теории атома. Решающим моментом в развитии теории строения атома было открытие электрона. Наличие в электрически нейтральном атоме отрицательно заряженной частицы побуждало предполагать наличие частицы с положительным зарядом. Модель Д. Томсона, не будучи в состоянии объяснить характер атомных спектров, излучаемых атомами, уступила место планетарной модели Э. Резерфорда. Исследуя рассеяние атомами вещества альфа-частиц, излучаемых радиоактивными веществами, он открыл атомное ядро и построил планетарную модель атома. Оказалось, что атом состоит не из положительно заряженного облака, в котором (подобно изюму в булке) находятся электроны, как это предполагал Д. Томсон, а из электрона и ядра размером около 10-13 см., в котором сосредоточена почти вся масса атома. Атом подобен Солнечной системе: в центре него находится тяжелое ядро, вокруг него вращаются электроны. Однако, согласно электродинамике Максвелла, такой атом не может быть устойчивым: двигаясь по круговым (или эллиптическим) орбитам, электрон испытывает ускорение, а поэтому он должен излучать электромагнитные волны, несущие энергию. Потеря энергии приведет электрон к падению на ядро. Таким образом, подобный атом не может быть устойчивым, а потому в реальности не может существовать. Таким образом, классическая физика не могла найти объяснения устойчивости атомов.
Разработка следующей модели атома принадлежит Н. Бору. Взяв за основу модель Резерфорда, он использовал и идеи квантовой теории. Бор выдвинул предположение, согласно которому в атомах существуют особые стационарные состояния, в которых электроны не излучают - излучение происходит лишь при переходе из одного стационарного состояния в другое.
Внутреннее строение атома изучать непосредственно невозможно, поскольку микроскопические размеры недоступны прямому восприятию, поэтому о структуре атома можно судить по ее косвенным проявлениям макроскопического масштаба. Таким проявлением является излучение атомов под воздействием нагрева или внешнего электрического поля. Изучение спектров излучения позволяет получить данные о внутренней структуре атома - для каждого атома характерны особенности спектра. Классическая физика не могла объяснить законы, которым подчинялись атомные спектры. Модель Бора выявила истинное значение спектральных законов и позволила установить, как эти законы отражают квантовый характер внутренней структуры атома - устойчивость структуры атома оказалась неразрывно связанной с существованием квантов. В модели Бора каждый атом обладает некоторой последовательностью квантовых (стационарных) состояний. Каждый вид атома имеет свою последовательность квантовых значений энергии, соответствующих различным возможным стационарным состояниям. Вывод о том, что в устойчивом состоянии атом не должен излучать, не соответствовал данным классической электродинамики, согласно которым электроны, движущиеся с ускорением, должны были непрерывно излучать электромагнитные волны. Бор и предположил, что каждая спектральная линия соответствует мгновенному переходу атома из одного квантового состояния в другое, которое характеризуется меньшим значением энергии. Избыток энергии при этом уносится в виде отдельных квантов (фотонов).
Модель атома Бора показала свою плодотворность в применении к атому водорода, позволив понять структуру оптического спектра. Но попытка применить данную модель к более сложным атомам, имеющим большее число электронов, выявила ограниченность данной модели - результаты ее применения лишь весьма приблизительно соответствовали данным эксперимента. Кроме того, модель атома Бора располагала методом квантования действия лишь для одномерного движения (предложенного еще Планком). Поэтому необходимо было найти методы квантования для случаев многомерного движения. Этот метод был найден в 1916 г.Ч. Вильсоном и А. Зоммерфельдом (почти одновременно друг с другом) и использован для решения тех задач, которые не могли быть решены с помощью модели атома Бора. Таким путем была создана концепция тонкой структуры линии спектра. Излучение линий спектра водорода с помощью спектрографов с высокой разрешающей способностью позволило выявить тонкую структуру спектра - оказалось, что спектральные линии сами состоят из ряда близко расположенных друг к другу линий. Зоммерфельд высказал предположение о связи тонкой структуры спектральных линий с релятивистскими эффектами и предположил вместо уравнений ньютоновской механики использовать уравнения релятивистской механики. Предположения Зоммерфельда дали результаты, согласуемые с экспериментальными данными. Вместе с тем полученная Зоммерфельдом картина спектральных линий оказалась значительно беднее реальной, поэтому его модель не могла дать достаточно полные объяснения тонкой структуры спектральных линий.
Для модели атома Бора основополагающим является утверждение о том, что электроны внутри атома могут находиться лишь в стационарных состояниях, которые соответствуют определенным квантовым значениям энергии. Следовательно, существуют определенные энергетические уровни, на которых находятся электроны. Как известно, атом каждого последующего элемента имеет на один электрон больше, чем предыдущего. Значит, по мере возрастали атомного номера, усложняется структура электронных оболочек атомов. На основе знания этой структуры можно устанавливать физические и химические свойства элементов.
Модель Бора, позволяя определить частоту излучения, не давала возможности определять интенсивность излучения и его поляризацию, что совершенно необходимо для уточнения природы излучения, которое возникает при переходах электронов внутри атома из одного стационарного состояния в другое. Бор этот недостаток пытался устранить с помощью принципа соответствия. Кроме того, модель Бора была непоследовательной: отвергая ряд положений классической механики и электродинамики, она использовала как классические понятия и формулы, так и квантовые. Бор понимал ограниченный характер собственной модели атома. Принцип соответствия указывал на одно из новых направлений. Однако впоследствии, с созданием квантовой механики, было выяснено, что при описании строения атома классические представления не могут иметь места.
Исследование структуры атома поставило вопрос о том, что представляет собой ядро, какова его структура. В ядре сосредоточена почти вся масса атома (масса электронов, входящих в атом, пренебрежительно мала по сравнению с массой ядра), оно имеет положительный заряд, эквивалентный суммарному заряду входящих в него электронов. Заряд ядра любого элемента равен его порядковому номеру в периодической системе элементов. Проблема структуры атомного ядра получила разрешение с открытием в 1932 году Д. Чедвиком нейтрона - третьей элементарной частицы после электрона и протона. Масса нейтрона близка к массе протона. Электрический заряд у ядра отсутствует. Д.Д. Иваненко сформулировал протонно-нейтронную концепцию строения атомного ядра, которую затем разработал В. Гейзенберг. Ядра, состоящие из протонов и нейтронов, получили название нуклонов. В том же 1932 году в космических лучах К. Андерсоном был открыт позитрон - положительно заряженный электрон, обеспечивший симметрию между положительным и отрицательным зарядами во взаимоотношениях частиц. Его существование было предсказано П. Дираком, исходившим из того, что положительные заряды во Вселенной представляют собой своего рода недостающие части мирового отрицательного заряда - позитрон есть "дырка" в распределении электронов с отрицательной энергией. Столкновение электрона и позитрона приводит к аннигиляции - их превращению в два фотона, испускаемые в противоположных направлениях.
Из всех названных частиц нейтрон оказался наиболее пригодным для осуществления процесса ядерного превращения, поскольку ввиду отсутствия у него заряда он способен глубже проникнуть в вещество, входить в положительно заряженные ядра атомов, которые отталкивают положительно заряженные протоны и альфа-частицы. Благодаря этому в краткий срок было изучено действие нейтронов на различные ядра, что привело к открытию искусственной радиоактивности. Решающее достижение в этой области принадлежит Ф. Жолио Кюри и И. Кюри, установившим, что почти все подвергнутые бомбардировке атомы становятся радиоактивными. Это означало, что естественная радиоактивность является лишь остаточной активностью атомов, которые еще не успели достичь устойчивых состояний. Знание атомных превращений могло помочь объяснить, каким образом возникли элементы.
Начавшееся с 30-х гг. ХХ века создание ускорителей дало возможность повысить эффективность исследований в этой области. Х.А. Бете и Г.А. Гамов способствовали установлению вероятных циклов термоядерных реакций, являющихся источниками внутризвездной энергии. Стало ясно, что источником большей части энергии Вселенной являются ядерные процессы. Встала задача выяснения механизма высвобождения этой энергии. Э. Ферми, подвергнув бомбардировке нейтронами тяжелые элементы, обнаружил огромную эффективность медленных нейтронов. О. Ган и Ф. Штрасман открыли деление ядер урана под действием нейтронов. О. Ган и Л. Мейтнер исследовали продукты распада облученного урана и отыскали среди них элементы до атомного номера 96. Деление ядер стало установленным фактом.
5. Опишите модификации углерода. Почему столь многообразны соединения углерода? Какие особенности строения атома углерода определили его роль в живой природе?
Углерод (лат. Carboneum), С - химический элемент IV группы периодической системы Менделеева. Известны два стабильных изотопа 12С (98,892%) и 13С (1,108%).
Углерод известен с глубокой древности. Древесный уголь служил для восстановления металлов из руд, алмаз - как драгоценный камень. Значительно позднее стали применяться графит для изготовления тиглей и карандашей.
Углерод имеет четыре основных аллотропных модификации: алмаз, графит, карбин и фуллерен.
Алмаз - кристаллическое вещество, прозрачное, сильно преломляет лучи света, очень твёрдое, не проводит электрический ток, плохо проводит тепло, ρ = 3,5 г/см3; Т°пл. = 3730 °C; Т°кип = 4830 °C. В структуре алмаза каждый атом углерода находится в состоянии sp3-гибридизации и имеет четырех соседей, которые расположены в вершинах правильного тетраэдра, весь кристалл представляет собой трехмерный каркас, с этим связана высокая твердость алмаза, самая высокая среди природных веществ. Кристаллизуется в виде двух полиморфных модификаций - кубической и гексагональной.
|
|
|
|
Алмаз кубический |
Алмаз гексагональный |
Графит - мягкое вещество серого цвета со слабым металлическим блеском, жирное на ощупь, проводит электрический ток; ρ = 2,5 г/см3. Атомы углерода находятся в состоянии sp2-гибридизации и связаны в плоские слои, состоящие из соединенных ребрами шестиугольников, наподобие пчелиных сот. Каждый атом в слое имеет трех соседей, для образования трех ковалентных связей атом предоставляет три электрона, а четвертый электрон образует p-связь и делокализован по всему кристаллу.

Этим объясняется способность графита расщепляться на тонкие чешуйки, которые очень прочны, его металлический блеск, тепло - и электропроводность. Графит - наиболее устойчивая при комнатной температуре аллотропная модификация углерода.
Углерод - важнейший биогенный элемент, составляющий основу жизни на Земле, структурная единица огромного числа органических соединений, участвующих в построении организмов и обеспечении их жизнедеятельности (биополимеры, а также многочисленные низкомолекулярные биологически активные вещества - витамины, гормоны, медиаторы и др.). Значительную часть необходимой организмам энергии образуется в клетках за счет окисления углерода. Возникновение жизни на Земле рассматривается в современной науке как сложный процесс эволюции углеродистых соединений.
Уникальная роль углерода в живой природе обусловлена его свойствами, которыми в совокупности не обладает ни один другой элемент периодической системы. Между атомами углерода, а также между углеродом и другими элементами образуются прочные химические связи, которые, однако, могут быть разорваны в сравнительно мягких физиологических условиях (эти связи могут быть одинарными, двойными и тройными). Способность углерода образовывать 4 равнозначные валентные связи с другими атомами. Углерод создает возможность для построения углеродных скелетов различных типов - линейных, разветвленных, циклических. Показательно, что всего три элемента - С, О, Н - составляют 98% общей массы живых организмов. Этим достигается определенная экономичность в живой природе: при практически безграничном структурном разнообразии углеродистых соединений небольшое число типов химических связей позволяет на много сократить количество ферментов, необходимых для расщепления и синтеза органических веществ. Особенности строения атома углерода лежит в основе различных видов изомерии органических соединений (способность к оптической изомерии оказалась решающей в биохимической эволюции аминокислот, углеводов и некоторых алкалоидов).
Согласно гипотезе А.И. Опарина, первые органические соединения на Земле имели абиогенное происхождение. Источниками углерода служили (СН>4>) и цианистый водород (HCN), содержавшиеся в первичной атмосфере Земли. С возникновением жизни единственным источником неорганического углерода, за счет которого образуется всё органическое вещество биосферы, является углерода двуокись (СО>2>), находящийся в атмосфере, а также растворенная в природных водах в виде НСО>3>. Наиболее мощный механизм усвоения (ассимиляция) углерода (в форме СО>2>) - фотосинтез - осуществляется повсеместно зелеными растениями. На Земле существует и эволюционно более древний способ усвоения СО>2> путем хемосинтеза; в этом случае микроорганизмы - хемосинтетики используют не лучистую энергию Солнца, а энергию окисления неорганических соединений. Большинство животных потребляют углерод с пищей в виде уже готовых органических соединений. В зависимости от способа усвоения органических соединений принято различать автотрофные организмы и гетеротрофные организмы. Применение для биосинтеза белка и других питательных веществ микроорганизмов, использующих в качестве единственного источника углерода, углеводороды нефти, - одна из важных современных научно - технических проблем.
Помимо стабильных изотопов углерода, в природе распространен радиоактивный 14С (в организме человека его содержится около 0,1мккюри). С использованием изотопов углерода в биологических и медицинских исследованиях связаны многие крупные достижения в изучении обмена веществ и круговорота углерода в природе.
Так, с помощью радиоуглеродной метки была доказана возможность фиксации Н14СО>3> растениями и тканями животных, установлена последовательность реакции фотосинтеза, изучен обмен аминокислот, прослежены пути биосинтеза многих биологически активных соединений и т.д. Применение 14С способствовало успехам молекулярной биологии в изучении механизмов биосинтеза белка и передачи наследственной информации.
Определение удельной активности 14С в углеродсодержащих органических остатках позволяет судить об их возрасте, что используется в палеонтологии и археологии.
5. Дайте понятие внутренней энергии. Какие виды внутренней энергии вы знаете? Как измеряется внутренняя энергия? В чем сущность первого начала термодинамики? На сколько градусов повысится температура воды при падении с плотины Саяно-Шушенской ГЭС (высота 222 м), если считать, что 30% потенциальной энергии воды расходуется на нагревание?
Внутренняя энергия, энергия тела, зависящая только от его внутреннего состояния. Понятие Внутренняя энергия объединяет все виды энергии тела, за исключением энергии его движения как целого и потенциальной энергии, которой тело может обладать, если оно находится в поле каких-нибудь сил (например, в поле сил тяготения).
Понятие Внутренняя энергия ввёл У. Томсон (1851), определив изменение Внутренняя энергия (DU) тела (физической системы) в каком-нибудь процессе как алгебраическую сумму количества теплоты Q которой система обменивается в ходе процесса с окружающей средой, и работы А, совершённой системой или произведённой над ней:
DU = Q - A (1)
Принято считать работу А положительной, если она производится системой над внешними телами, а количество теплоты Q положительным, если оно передаётся системе. Уравнение (1) выражает первое начало термодинамики - закон сохранения энергии в применении к процессам, в которых происходит передача теплоты.
Согласно закону сохранения энергии, Внутренняя энергия является однозначной функцией состояния физической системы, т.е. однозначной функцией независимых переменных, определяющих это состояние, например, температуры Т и объёма V или давления р. Хотя каждая из величин (Q и A) зависит от характера процесса, переводящего систему из состояния с В. э. U1 в состояние с энергией U2, однозначность Внутренняя энергия приводит к тому, что DU определяется лишь значениями Внутренняя энергия в начальном и конечном состояниях: DU = U2 - U1. Для любого замкнутого процесса, возвращающего систему в первоначальное состояние (U2 = U1), изменение Внутренняя энергия равно нулю и Q = А.
Изменение Внутренняя энергия системы в адиабатном процессе (при отсутствии теплообмена с окружающей средой, т.е. при Q = 0) равно работе, производимой над системой или произведённой системой.
В случае простейшей физической системы - идеального газа - изменение Внутренняя энергия, как показывает кинетическая теория газов, сводится к изменению кинетической энергии молекул, определяемой температурой. Поэтому изменение Внутренняя энергия идеального газа (или близких к нему по свойствам газов с малым межмолекулярным взаимодействием) определяется только изменением его температуры (закон Джоуля). В физических системах, частицы которых взаимодействуют между собой (реальные газы, жидкости, твёрдые тела), Внутренняя энергия включает также энергию межмолекулярных и внутримолекулярных взаимодействий. Внутренняя энергия таких систем зависит как от температуры, так и от давления (объёма).
Экспериментально можно определить только прирост или убыль Внутренняя энергия в физическом процессе (за начало отсчёта можно взять, например, исходное состояние). Методы статистической физики позволяют, в принципе, теоретически рассчитать Внутренняя энергия физической системы, но также лишь с точностью до постоянного слагаемого, зависящего от выбранного нуля отсчёта.
В области низких температур с приближением к абсолютному нулю (-273,16°С) Внутренняя энергия конденсированных систем (жидких и твёрдых тел) приближается к определённому постоянному значению U 0, становясь независимой от температуры. Значение U 0 может быть принято за начало отсчёта Внутренняя энергия.
Внутренняя энергия относится к числу основных термодинамических потенциалов. Изменение Внутренняя энергия при постоянных объёме и температуре системы характеризует тепловой эффект реакции, а производная Внутренняя энергия по температуре при постоянном объёме определяет теплоёмкость системы.
Закон сохранения и превращения энергии, распространенный на тепловые явления, носит название первого закона термодинамики.
В общем случае при переходе системы из одного состояния в другое внутренняя энергия меняется одновременно как за счет совершения работы А, так и за счет передачи количества теплоты Q:
Δ U = A + Q
Ускорение
свободного падения: 10
Число Авогадро: 6*1023
Молярная масса воды: 18*10-3
6. Что такое фазовое равновесие, перегретая жидкость, процессы сублимации и десублимации? Опишите физическую картину процесса кипения. Как зависит точка кипения от внешнего давления? Приведите примеры проявления этих процессов в природе
Фазовое равновесие, сосуществование термодинамически равновесных фаз гетерогенной системы. Является одним из основных случаев термодинамического равновесия и включает в себя условия равенства температуры всех частей системы (термич. равновесие), равенства давления во всем объеме системы (мех. равновесие) и равенство хим. потенциалов каждого компонента во всех фазах системы, что обеспечивает равновесное распределение компонентов между фазами. Число фаз f, находящихся одновременно в равновесии, связано с числом компонентов k, числом n независимых параметров, определяющих состояние системы (обычно, когда учитывается только влияние т-ры и давления, n = 2), и числом термодинамич. степеней свободы v ур-нием: v = k + 2 - f.
В общем виде условие фазовое равновесие, согласно принципу равновесия Гиббса, сводится к максимуму энтропии S системы при постоянстве внутр. энергии U, общего объема V и числа молей каждого компонента ni-. Этот принцип можно выразить также как условие минимума любого из термодинамич. потенциалов: внутр. энергии U, энтальпии H, энергии Гиббса G, энергии Гельмгольца А при условии постоянства соответствующих параметров состояния, включая число молей каждого компонента.
Сублимация - переход из твердой фазы в газообразную. Десублимация - переход из газовой фазы в твердую.
Испарение может происходить не только с поверхности, но и в объеме жидкости. В жидкости всегда имеются мельчайшие пузырьки газа. Если давление насыщенного пара жидкости равно внешнему давлению (т.е. давлению газа в пузырьках) или превышает его, жидкость будет испаряться внутрь пузырьков. Пузырьки, наполненные паром, расширяются и всплывают на поверхность. Этот процесс называется кипением. Таким образом, кипение жидкости начинается при такой температуре, при которой давление ее насыщенных паров становится равным внешнему давлению.
В частности, при нормальном атмосферном давлении вода кипит при температуре 100 °С. Это значит, что при такой температуре давление насыщенных паров воды равно 1 атм. При подъеме в горы атмосферное давление уменьшается, и поэтому температура кипения воды понижается (приблизительно на 1 °С на каждые 300 метров высоты). На высоте 7 км давление составляет примерно 0,4 атм, и температура кипения понижается до 70 °С.
В герметически закрытом сосуде жидкость кипеть не может, т.к при каждом значении температуры устанавливается равновесие между жидкостью и ее насыщенным паром. По кривой равновесия p0 (T) можно определять температуры кипения жидкости при различных давлениях.
При заданной температуре T термодинамическое равновесие между двумя фазами одного и того же вещества возможно лишь при определенном значении давления в системе. Зависимость равновесного давления от температуры называется кривой фазового равновесия. Примером может служить кривая равновесия p0 (T) насыщенного пара и жидкости. Если кривые равновесия между различными фазами данного вещества построить на плоскости (p, T), то они разбивают эту плоскость на отдельные области, в которых вещество существует в однородном агрегатном состоянии - твердом, жидком или газообразном (рис.1). Изображенные в координатной системе (p, T) кривые равновесия называются фазовой диаграммой.
|
|
|
Рисунок 1. Типичная фазовая диаграмма вещества. K - критическая точка, T - тройная точка. Область I - твердое тело, область II - жидкость, область III - газообразное вещество. |
Кривая OT, соответствующая равновесию между твердой и газообразной фазами, называется кривой сублимации. Кривая TK равновесия между жидкостью и паром называется кривой испарения, она обрывается в критической точке K. Кривая TM равновесия между твердым телом и жидкостью называется кривой плавления. Кривые равновесия сходятся в точке T, в которой могут сосуществовать в равновесии все три фазы. Эта точка называется тройной точкой.
Для многих веществ давление pтр в тройной точке меньше 1 атм ≈ 105 Па. Такие вещества при нагревании при атмосферном давлении плавятся. Например, тройная точка воды имеет координаты Tтр = 273,16 К, pтр = 6,02·102 Па. Эта точка используется в качестве опорной для калибровки абсолютной температурной шкалы Кельвина. Существуют, однако, и такие вещества, у которых pтр превышает 1 атм. Так для углекислоты (CO2) давление pтр = 5,11 атм и температура Tтр = 216,5 К. Поэтому при атмосферном давлении твердая углекислота может существовать только при низкой температуре, а в жидком состоянии при p = 1 атм она вообще не существует. В равновесии со своим паром при атмосферном давлении углекислота находится при температуре 173 К или -80 °С в твердом состоянии. Это широко применяемый "сухой лед", который никогда не плавится, а только испаряется (сублимирует).
7. Охарактеризуйте строение и биологическое значение АТФ, почему АТФ называют основным источником энергии в клетке?

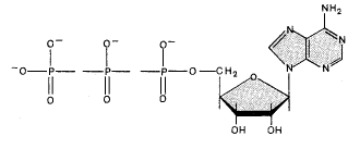
Рис.1. Схема строения АТФ
АТФ - это аденозинтрифосфат, нуклеотид, относящийся к группе нуклеиновых кислот. Концентрация АТФ в клетке мала (0,04%; в скелетных мышцах 0,5%). Молекула АТФ состоит из аденина, рибозы и трех остатков фосфорной кислоты (рис.1). При гидролизе остатка фосфорной кислоты выделяется энергия:
АТФ + H>2>O = АДФ + Н>3>РО>4> + 40 кДж/моль.
Связь между остатками фосфорной кислоты является макроэргической, при ее расщеплении выделяется примерно в 4 раза больше энергии, чем при расщеплении других связей.
Энергия гидролиза АТФ используется клеткой в процессах биосинтеза и деления клетки, при движении, при производстве тепла, при проведении нервных импульсов и т.д.
После гидролиза образовавшийся АДФ обычно с помощью белков-цитохромов быстро вновь фосфорилируется с образованием АТФ. АТФ образуется в митохондриях при дыхании, в хлоропластах - при фотосинтезе, а также в некоторых других внутриклеточных процессах. АТФ называют универсальным источником энергии, потому что энергетика клетки основана главным образом на процессах, в которых АТФ либо синтезируется, либо расходуется.
8. Основные выводы учения Вернадского о биосфере. Охарактеризуйте понятия "экосистема", "биогеоценоз", "экологическая ниша", "биоценоз". Чем определяется их устойчивость, какие связи существуют между организмами в экосистеме, и как они моделируются?
В.И. Вернадский первый аргументировано проанализировал основы теории функционирования биосферы с учетом системного ее качества, специфики организации, возможности развития в режиме "эффективность-оптимум". Он увидел, что в структурно-функциональном и пространственно-временном аспектах организованность биосферы создается и сохраняется на протяжении миллиардов лет существования благодаря деятельности живых организмов.
Биосфера, по В.И. Вернадскому, предстает в виде комплекса систем типа: "предмет жизнедеятельности - живой организм", связанных друг с другом. "Нет ни одного организма, который бы в своем дыхании и питании не был бы связан хотя бы отчасти с косной материей". Взаимозависимость "живое вещество - предмет жизнедеятельности (неорганическая и органическая среда)" действует в соответствии с законом бережливости, регулирующим геохимические процессы биосферы. Подчиняясь ему, живое вещество экономно использует необходимые химические элементы и соединения.
Все виды живого вещества, взаимодействуя с предметами жизнеобеспечения, берут надолго или навсегда строго фиксируемый состав элементов, с достаточной степенью эффективности используют каждый из них в пределах своего биоцикла, замыкая последний по формуле: беру необходимое - экономно использую - отдаю остатки в приемлемой для окружающей среды форме.
Необычный подход к определению роли живых организмов в биосфере позволил В.И. Вернадскому по-новому оценить масштабы, глубину последствий деятельности живого вещества и в особенности производственной деятельности человека для настоящего и будущего Земли.
Человек - существо биосоциальное - продолжает эволюцию материи в специфических, свойственных только ему формах. Он становится носителем универсального типа связей (предмет жизнедеятельности дополняется предметом труда, а последним становится планета). "Мощь человека связана с его мозгом, с его разумом и направленным этим разумом трудом".
Геохимическая функция организмов в биосфере до появления человека - на это обстоятельство В.И. Вернадский обращает внимание ввиду его исключительной важности - стихийно вписывалась в кругооборот веществ, не причиняя ущерба природе. Процессы образования и разрушения живого здесь как бы уравновешивали друг друга. С появлением человека характер их меняется сначала постепенно, а начиная с ХХ века - глубоко и остро, что связано со становлением человечества, действующего "как единое целое по отношению к остальному живому населению планеты".
Освобожденные в результате антропогенной деятельности химические элементы, лишь в малой доле своей включаясь в последующие циклы производства, превращаются рано или поздно в балласт, небезразличный для биосферы, более того, разрывающий своим присутствием устоявшиеся биогеохимические ее циклы.
Выход из подобного рода ситуации, по теории В.И. Вернадского, один: деятельность человечества должна быть согласована с алгоритмом функционирования старинных биогеохимических циклов планеты.
В.И. Вернадский, размышляя над этой проблемой, счел необходимым в качестве органической ее части вывод о том, что завершающим этапом эволюции "шара жизни" станет новое его состояние - НООСФЕРА.
В работе "Научная мысль как планетное явление" ученым намечаются контуры антропогенного этапа эволюции биосферы - биотехносферы, осуществляющейся сообразно степени реализации человеком мощи разума и труда, концентрируемых в предметах, средствах и результатах его деятельности.
Научная мысль есть планетарное явление, что соответствует сути ноосферы - созданию на строго научных началах оболочки планеты как самоорганизующейся, динамичной системы.
В.И. Вернадский всесторонне обосновал тезис: переход биосферы в ноосферу предопределен развитием материального и духовного производств. Подтверждается ли этот вывод развитием сфер производства?
Предмет труда материального производства влияет на окружающую среду своими отходами. Они образуются на стадиях добывающих и обрабатывающих производств, а также, поскольку все виды продукции (готовые и конечные продукты) необходимо перемещать в пространстве, отходами транспортной промышленности.
Предмет труда современного материального производства, изменившись качественно, может иметь следствием подключение его отходов к биогеохимическим циклам планеты. В меру того, как способ его функционирования приближен к варианту - оптимум, он сделает неизбежным переход биотехносферы в ноосферу.
Предмет труда духовного производства, обладая уникальной возможностью непосредственного выхода на предмет труда материального производства в любой его стадии, воздействует на биотехносферу, ускоряя или замедляя течение процесса самим выбором объекта познания. В случае, если он сделан своевременно и правильно, путь от предмета труда духовного производства к предмету труда материального производства сокращается, соответственно интенсифицируется переход биотехносферы в ноосферу.
Переход в ноосферу во многом зависит от того, как скоро предметом труда ученых станут опасные для всего живого очаги загрязнений планеты, насколько точно полученные знания смогут осуществиться с учетом параметра биосферосовместимости в предмете труда материального производства, следовательно, в готовой и конечной продукции, итогом функционирования которого они являются.
Показательно сопоставление связей "предмет труда материального производства - биотехносфера" и "предмет труда материального производства - ноосфера".
Обратимые связи биотехносферы (предмет труда - биосфера) существуют наряду с необратимыми (отходы - балласт биосферы). Гармоничное сочетание этих противоположных по своей сущности связей невозможно. Поэтому на определенном этапе эволюции биотехносферы, если вовремя не принять меры, глобальные циклы ломаются.
В ноосфере ситуация радикально изменится за счет образования нового вида связей: неусваиваемые биосферой отходы - биохимцикл очистки - усваиваемые биосферой отходы, что решает проблему балластных образований в биосфере по крайней мере для комплекса биологически вредных продуктов антропогенной деятельности.
В ноосфере, или биотехносфере, регулируемой социумом, познавшим законы ее эволюции, - биогеотехноциклы окажутся замкнутыми, обратимыми.
Сопоставление связей "предмет труда материального производства - биотехносфера" - "предмет труда материального производства - ноосфера" дает основание для заключения: ликвидация разрывов в биотехноциклах планеты возможна при условии перехода от стихийных форм хозяйствования к сознательно регулируемым, позволяющим не только сократить количественно все виды отходов, но и изменять их качественно. Другими словами, предмет труда материального производства - поставщик загрязнений - способен удовлетворить требованиям параметра биосферосовместимости при условии изменений функционирования всех его стадий: нулевого, первичного, вторичного. Учение В.И. Вернадского о биосфере и ноосфере не может не привести к выводу: вторая (искусственная) природа так же как и первая (естественная), должна охватываться законом бережливости. Поступление в сферу материального производства химических элементов должно быть минимальным количественно и качественно; захваченное должно использоваться максимальное число раз; элементы, которые не находят применения в производственных процессах, должны "переключаться" на смежные, сопутствующие; нерегенерируемые далее соединения на выходе в биосферу обезвреживаются (обязательное условие подключения к старинным геохимическим циклам планеты). Осуществление завершающего звена, по В.И. Вернадскому, должно быть итогом переработки отходов и вышедшей из употребления продукции автотрофными, так как высшие формы живой материи - гетеротрофные - способны усваивать без ущерба для себя лишь химически чистые, однородные элементы. Хлорофильные растения и окисляющие бактерии должны поэтому выполнить роль "связующих" звеньев (только они могут питаться изотопическими смесями). Включение низших биологических форм в производственный процесс обеспечивало бы оптимальный вариант решения многих экологически сложных ситуаций.
1. Биотические - связи между живыми организмами в экосистеме. Основной вид биотических связей - пищевые связи (цепи питания).
2. Звенья пищевой цепи:
производители - растения и некоторые бактерии, создающие органические вещества из неорганических;
потребители - животные, некоторые растения и бактерии, питающиеся готовыми органическими веществами;
разрушители - грибы и некоторые бактерии, разрушающие органические вещества до неорганических.
3. Внутривидовые отношения - биотические связи между особями одного вида. Примеры: конкуренция между самцами из-за самки, борьба особей из-за лидерства в группе, забота родителей о потомстве, охрана самцами молодых животных и самок.
4. Межвидовые отношения - биотические связи между особями разных видов (хищничество, конкуренция, паразитизм, симбиоз).
5. Хищничество - прямые пищевые связи между организмами, при которых одни организмы уничтожаются другими организмами. Примеры: поедание лисицей зайцев, синицей - гусениц.
6. Конкуренция - тип взаимоотношений, возникающий между видами со сходными экологическими потребностями из-за пищи, территории и др. Пример: конкуренция между лосями и зубрами, обитающими в одном лесу, из-за пищи. Отрицательное влияние конкуренции на оба конкурирующих вида (например, уменьшение численности лосей и зубров вследствие недостатка корма).
7. Паразитизм - форма межвидовых отношений, при которых одни организмы существуют за счет других, питаясь их кровью, тканями или переваренной пищей. Многократное использование паразитом организма хозяина. Примеры паразитизма: гриб-трутовик и дерево, собака и клещ, паразитические черви и человек.
8. Симбиоз - тип межвидовых отношений, при котором оба организма получают взаимную пользу. Примеры симбиоза: рак-отшельник и актиния, клубеньковые растения и бактерии, шляпочные грибы и деревья, лишайники (симбиоз гриба и водоросли).
9. Роль биотических связей в экосистеме. Взаимосвязь организмов - производителей, потребителей и разрушителей в экосистеме - основа круговорота веществ и превращений энергии. Цепи питания - пути передачи веществ и энергии. Пример: растения - " - растительноядное животное (заяц) - " - хищник (волк).
10. Звенья круговорота веществ: поглощение производителями из окружающей среды неорганических веществ и создание ими органических веществ с использованием энергии солнечного света; потребление органических веществ и заключенной в них энергии организмами-потребителями (растительноядными животными, хищниками, паразитами); разрушение органических веществ до минеральных с освобождением заключенной в них энергии организмами-разрушителями (бактериями, грибами).
9. Каковы отличия науки от других областей культуры? Как соотносится наука с обыденным знанием, с религией?
В результате своей деятельности создает совокупность материальных и духовных ценностей, т.е. культуру. Мир материальных ценностей (техника, технология) образуют материальную культуру. Наука, искусство, литература, религия, мораль, мифология относятся к духовной культуре. В процессе познания окружающего мира и самого человека формируются различные науки. Естественные науки - науки о природе - формируют естественно-научную культуру, гуманитарные - художественную (гуманитарную культуру).
На начальных стадиях познания (мифология, натурфилософия) оба этих вида наук и культур не разделялись. Однако постепенно каждая из них разрабатывала свои принципы и подходы. Разделению этих культур способствовали и разные цели: естественные науки стремились изучить природу и покорить ее; гуманитарные своей целью ставили изучение человека и его мира.
Считается, что методы естественных и гуманитарных наук также преимущественно различны: рациональный в естественных и эмоциональный (интуитивный, образный) в гуманитарных. Справедливости ради надо заметить, что резкой границы здесь нет, поскольку элементы интуиции, образного мышления являются неотъемлемыми элементами естественнонаучного постижения мира, а в гуманитарных науках, особенно в таких как история, экономика, социология, нельзя обойтись без рационального, логического метода. В античную эпоху преобладало единое, нерасчлененное знание о мире (натурфилософия). Не существовало проблемы разделения естественных и гуманитарных наук и в эпоху средневековья (хотя в то время уже начался процесс дифференциации научного знания, выделение самостоятельных наук). Тем не менее, для средневекового человека Природа представляла собой мир вещей, за которыми надо стремиться видеть символы Бога, т.е. познание мира было прежде всего познанием божественной мудрости. Познание было направлено не столько на выявление объективных свойств явлений окружающего мира, сколько на осмысление их символических значений, т.е. их отношения к божеству.
В эпоху Нового времени (17-18 вв) началось исключительно быстрое развитие естествознания, сопровождавшееся процессом дифференциации наук. Успехи естествознания были настолько велики, что в обществе возникло представление об их всесильности. Мнения и возражения представителей гуманитарного направления зачастую игнорировались. Рациональный, логический метод познания мира стал определяющим. Позже наметился своего рода раскол между гуманитарной и естественнонаучной культурой.
Одной из самых известных книг на эту тему явилась публицистически острая работа английского ученого и писателя Чарльза Перси Сноу "Две культуры и научная революция", появившаяся в 60-е годы. В ней автор констатирует раскол между гуманитарной и естественнонаучной культурами на две части, являющих собой как бы два полюса, две "галактики". Сноу пишет "…На одном полюсе - художественная интеллигенция, на другом - ученые, и, как наиболее яркие представители этой группы - физики. Их разделяет стена непонимания и иногда (особенно среди молодежи) антипатии и вражды, но главное, конечно, непонимания. У них странное, извращенное понимание друг о друге. Они настолько по-разному относятся к одним и тем же вещам, что не могут найти общий язык даже в области чувств". В нашей стране это противоречие никогда не принимало такого антагонистического характера, тем не менее в 60-е - 70-е годы оно нашло отражения в многочисленных дискуссиях между "физиками" и "лириками" (о моральной стороне медико-биологических исследований на человеке и на животных, о мировоззренческой сущности некоторых открытий и т.п.).
Часто можно услышать, что техника и точные науки отрицательно влияют на мораль. Можно услышать, что открытие атомной энергии и выход человека в космос - преждевременны. Утверждают, будто технология сама по себе ведет к деградации культуры, наносит ущерб творчеству и производит лишь культурную дешевку. В наши дни успехи биологии породили бурные дискуссии о допустимости исследовательских работ по клонированию высших животных и человека, в которых проблема науки и технологии рассматривается с точки зрения этики и религиозной морали.
Известный писатель и философ С. Лем в своей книге "Сумма технологии" опровергает эти взгляды, утверждая, что технологию следует признать "орудием достижения различных целей, выбор которых зависит от уровня развития цивилизации, общественного строя и которые подлежат моральным оценкам. Технология дает средства и орудия; хороший или дурной способ их употребления - это наша заслуга или наша вина".
Так, экологический кризис, поставивший человечество на грань катастрофы, вызван не столько научно-техническим прогрессом, сколько недостаточным распространением в обществе научных знаний и культуры в общем смысле этого слова. Поэтому сейчас много внимания уделяется гуманитарному образованию, гуманизации общества. Для человека одинаково важны и современные знания, и соответствующие им ответственность и мораль.
С другой стороны, влияние науки на все сферы жизни стремительно растет. Мы должны признать, что на нашу жизнь, на судьбы цивилизации, в конечном счете, открытия ученых и технические достижения, с ними связанные, повлияли гораздо больше, чем все политические деятели прошлого. В то же время уровень естественнонаучного образования большинства людей остается невысоким. Плохо или неверно усвоенная научная информация делает людей восприимчивыми к антинаучным идеям, мистике, суевериям. Но современному уровню цивилизации может соответствовать только ""человек культуры", причем здесь имеется в виду культура единая: как гуманитарная, так и естественнонаучная. Этим и объясняется введение в учебные планы гуманитарных специальностей дисциплины "Концепции современного естествознания".
Список использованной литературы
Алексеев И.С. Пространство и время // Физический энциклопедический словарь. М., 2003, с.592-93;
Аронов Р.А. Непрерывность и дискретность пространства и времени // Пространство, время, движение. М., 1971;
Ахундов М.Д. Проблема прерывности и непрерывности пространства и времени. М., 1974;
Барашенков В.С. Проблемы субатомного пространства и времени. М.: Атомиздат, 1979;
Бор Н. Атомная физика и человеческое познание. М., 1961;
Бройль Л., де. Революция в физике. М., 1963;
Гейзенберг В. Шаги за горизонт. М., 1987;
Вяльцев А.Н. Дискретное пространство - время. М., 1965;
Диоген Лаэртский. О жизни, учениях и изречениях знаменитых философов. М., 1979;
Кедров Б.М. Атомизм // Большая советская энциклопедия, т.2. М, 1970., с.395-97;
Левич А.П. Субституционное время естественных систем // Вопросы философии, 1996, № 1;
Непрерывность // Краткая философская энциклопедия. М., 1994, с.299-300;
Молчанов Ю.Б. Четыре концепции времени в философии и физике. М., 1977;
Ньютон и философские проблемы физики ХХ века. М., 1991;
Новые идеи в естествознании. СПб, 1996;
Пенроуз Р. Структура пространства - времени. М.: Мир, 1972;
Разумовский О.С. Время: иллюзия или реальность (К. Гёдель и вслед за ним) // Полигнозис, 1998, № 1, с.35-42;
Спиркин А.Г. Непрерывность и прерывность // Философский энциклопедический словарь. М., 1983;
Хокинг С. От большого взрыва до черных дыр. Краткая история времени. М: Мир, 1990; McTaggart J. E. The Unreality of Time // Mind, Oct. 1908, v.17, N 68; и др.
Курс физики. А.А. Детлаф, Б.М. Яворский. 2000. С.646.

>е>






>el>
=1/137
10-2
-распад

