Организационная структура предприятия, ее реорганизация
Курсовой проект: организационная структура предприятия
СОДЕРЖАНИЕ:
Введение 2
Понятие и значение организации в менеджменте 3
Миссия организации 5
Цель как важнейшая характеристика менеджмента 7
Понятие целевого управления 10
Оценка эффективности организационных решений 12
Корректировка организационной структуры 14
Внутренняя и внешняя среда организации 16
Список используемой литературы: 25
Заниматься бизнесом – то же самое, что ехать на велосипеде: либо Вы движетесь, либо падаете.
Неизвестный автор
Введение
Рынок компьютеров не занимает ведущих ролей и не приносит сверхприбылей, как в алкогольном или нефтяном бизнесе, но и сказать, что он убыточен тоже нельзя. И все же, компьютеры прочно занимают свою нишу на рынке товаров и услуг. И как мне кажется, сдавать свои позиции рынок компьютеров не собирается, по двум главным причинам: всеобщая компьютеризация и фантастическое падение цен. К примеру, если Вы покупаете сегодня довольно хороший компьютер, через год, а то и меньше никто Вам за него не даст больше половины его сегодняшней стоимости! Так что, покупая компьютер, приходиться свыкаться с мыслью, что в некоторой мере выбрасываешь деньги на ветер. Мне понравилось высказывание одного человека, который сказал: «Если бы цены на самолеты падали также стремительно как на компьютеры, то сейчас не составило бы труда пойти в магазин, и купить себе неплохой самолет за пару долларов!». Но как бы то ни было, купить средний компьютер меньше чем за 500$ (на данный момент) практически нереально. И если богатенькому западному пользователю потратить такую сумму пара пустяков, то российский человек сводит концы с концами, но все же находит необходимую сумму для приобретения этого «ящика». Особенно испортилась ситуация после 17 августа 1998 г., когда, как известно, доллар подскочил в 3-4 раза, что неминуемо отразилось на ценах.
Выбрал же я для обзора этот сектор рынка потому, что он наиболее динамично развивающийся, и мне, по сфере деятельности, приходится с ним частенько сталкиваться, и быть в курсе событий.
В качестве своего объекта исследования я выбрал фирму ЗАО «Северодвинский компьютерный центр». Он находится по адресу: г. Северодвинск, ул. Труда, 12, филиал в Архангельске – Троицкий, 63. Этот сервисный центр начал работу, можно сказать, еще на заре компьютерной эры. Вот уже 22 года (!) они на рынке компьютерных услуг. Чем же занимается «СКЦ»? Это, прежде всего:
продажа компьютеров и различных периферийных устройств
ремонт любой компьютерной техники и оргтехники, контрольно-кассовых аппаратов
продажа, установка компьютерных программ, а также первоначальное обучение работе с программами серии «1С» и «Консультант-Плюс»
локальные вычислительные компьютерные сети
различного рода услуги
гарантийное и послегарантийное обслуживание
Перескакивая через многочисленные ухабы российской экономики, многочисленные экономические кризисы, северодвинские компьютерщики выжили, сохранили чувство уверенности в собственных силах. Кроме того, они открыли филиалы своего центра в Архангельске, Онеге, Котласе, Няндоме. В ближайшей перспективе – Новодвинск.
Среди клиентов СКЦ такие гиганты северодвинского ВПК как «Севмашпредприятие», «Арктика», «Север», «Полярная звезда», а также более мелкие организации – строительные управления, малые предприятия и, конечно же, частные лица.
"Офис достигает совершенства как раз к тому времени, когда фирма приходит в упадок".
12-й закон Паркинсона
Понятие и значение организации в менеджменте
Любую конкретную группу людей, объединившихся для реализации конкретных целей, можно рассматривать как организацию и исследовать в ней все проходящие организационные процессы. Организация может быть плохо либо хорошо организована, по мнению руководителей, однако конкретных критериев для оценки организации управления намного больше.
Можно рассматривать способы организации подразделений с целью выявления соответствия их будущим задачам. Реализация целей или задач может тормозиться деятельностью отдельных групп фирмы, цели которых не совпадают с целями фирмы. Например, отделы сбыта в некоторых фирмах сформированы по продуктам. Отсюда при сбыте продукции неизбежны противоречия и снижение эффективности работы фирмы.
Можно рассматривать также логику взаимосвязи сотрудников при решении управленческих задач и судить о степени организованности работы.
И, наконец, можно рассматривать регламентирующие документы, заставляющие сотрудников выполнять свои функции. В этом случае особое внимание должно быть уделено полноте регламентирующих документов.
Можно рассматривать форму организации управленческой деятельности и приспособляемость ее к меняющимся целям организации.
Из всего сказанного следует, что работа в фирме должна быть организована таким образом, чтобы работники выполняли свою работу в соответствии с планом действий эффективно, знали свое место и цели в организации, причем эти цели должны совпадать с целями организации в целом.
Указанные факторы следует учитывать при построении любой реальной структуры управления в организации.
Для четкой работы организации необходимо следующее:
цели должны быть понятны всем работникам фирмы;
система целей должна реализовать глобальную цель;
информационные каналы связи не должны иметь «узких» мест;
работники должны иметь четкие рабочие инструкции, регламентирующие их деятельность;
удовлетворенность в работе должна обеспечиваться выбранной системой мотивации.
Можно сделать вывод, что управление фирмами реализуется в рамках конкретного хозяйственного механизма, в котором различают статистику (его организационную структуру) и динамику (протекающие процессы принятия решений).
Сформулируем основные правила создания организационной структуры управления:
организационная структура должна быть предельно проста, чем она проще, тем легче персоналу её понять;
схема организационной структуры должна быть обозрима;
каждый работник должен иметь должностную инструкцию;
информационные каналы должны обеспечить передачу информации как в прямом направлении (передача управленческих решений), так и в обратном (контроль исполнения);
линии подчиненности и ответственности должны быть четкими, необходимо избегать двойного подчинения;
координацию всей деятельности осуществляет высшее руководство на уровне заместителей руководителей фирмы;
окончательные, глобальные решения принимаются на уровне руководителей фирмы с учетом возможностей и перспектив ее развития;
функции линейного руководства и функциональных подразделений должны быть разграничены.
Реализация указанных правил позволит проектировать наиболее эффективную структуру управления фирмой.
Термин "организационная структура" сразу же вызывает в нашем воображении двумерную древовидную схему, состоящую из прямоугольников и соединяющих их линий. Эти прямоугольники показывают выполняемую работу и круг обязанностей и, таким образом отображают разделение труда в организации. Относительное положение прямоугольников и соединяющие их линии показывают степень подчинения.
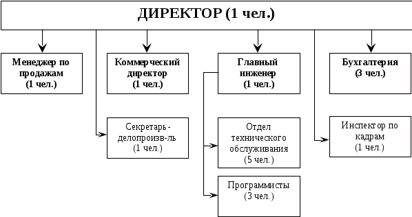
Организационная структура ЗАО «Северодвинский компьютерный центр».
В данный момент штат сотрудников фирмы составляет 17 человек. Организационная структура СКЦ выглядит следующим образом:

Рис. 1. Организационная структура ЗАО «СКЦ»
Таблица 1. Функции и обязанности сотрудников ЗАО «СКЦ»
|
Должность |
Функции и обязанности |
Директор |
Управление фирмой, контроль за деятельностью и взаимодействием структурных подразделений, ведение переговоров с крупными поставщиками и клиентами |
|
Коммерческий директор |
Ведение переговоров, сбыт продукции, контроль и анализ финансового состояния фирмы |
|
Секретарь – делопроизв-ль |
Работа с документами, обеспечение и обслуживание работы руководителя |
|
Менеджер по продажам |
Изучение конъюнктуры рынка, разработка плана реализации продукции, разработка плана ценовой стратегии, подготовка и заключение договоров |
|
Бухгалтерия |
Ведение бухгалтерского учета и отчетности |
|
Главный инженер |
Руководство техническими службами, координация подразделений по разработке технического развития предприятия, обеспечение систематического повышения эффективности производства, производительности труда, обеспечение производства конкурентоспособной продукции. |
|
Отдел технического обслуживания |
Техническое обслуживание и ремонт компьютерной и оргтехники |
|
Программисты |
Изготовление, установка и настройка программного обеспечения |
|
Отдел кадров |
Обеспечение подбора, расстановки, изучения и использования рабочих кадров и специалистов; организация системы учета кадров, анализ текучести кадров |
В связи с тем, что организация имеет слишком малый ассортимент продукции, а также, двое из программистов работают только с определенным программным обеспечением (Консультант-Плюс и 1С), организационная структура нуждается в переработке. Требуется ввести должности менеджера по продаже (закупке) компьютеров и менеджера по продаже (закупке) оргтехники и периферийного оборудования вместо менеджера по продажам. Вместе с тем, необходимо выделить отдельно программиста по программе «1С» и программиста по «Консультант-Плюс». Также, для уменьшения штата сотрудников, необходимо сократить должность инспектора кадров, и перепоручить полномочия коммерческому директору. Для реорганизации оргструктуры предприятия буде проведен SWOT-анализ.
Миссия организации
Предназначение фирмы в условиях постоянно меняющейся внешней среды является миссией фирмы, которая определяется руководством фирмы и реализуется через ее стратегию.
Следует подчеркнуть, что миссия организации — это скорее философское понятие, нежели управленческое. Однако она предполагает наличие определенных ценностей, правил и приемов, которыми пользуется фирма в своей деятельности. Это микрокультура фирмы, ее традиции, подход менеджеров к принятию решений, т. е. та уникальность, которая делает организацию неповторимой, отличной от других. Как правило, миссия организации формируется годами, оттачивается и редко меняется. На формирование миссии влияют:
собственники фирмы, развивающие организацию для того, чтобы за счет прибыли решать свои жизненные проблемы и интересы;
сотрудники фирмы, непосредственно создающие продукт, организующие получение необходимых ресурсов, обеспечивающие (через маркетинг) реализацию продукции и решающие таким образом свои жизненные проблемы и интересы;
покупатели продукции фирмы, за счет своих финансовых ресурсов приобретающие продукцию для удовлетворения своих потребностей и интересов;
деловые партнеры фирмы, оказывающие определенные коммерческие услуги фирме в своих интересах;
внешняя среда организации, требующая от фирмы поддержки для формирования социальной и экологической среды обитания фирмы.
При формировании миссии фирмы необходимо учитывать интересы всех пяти указанных субъектов, каждый из которых в разных решениях оказывает разное влияние. Четко сформулированная миссия показывает отличие фирмы от других, подобных ей. Для этого должны быть сформулированы следующие характеристики фирмы: философия фирмы, выбранная администрацией компании для организации работы; сфера деятельности фирмы, учет которой необходим для выбора ресурсов и продукта; система целей фирмы, показывающая, к чему стремится организация; технологические возможности фирмы.
Таким образом, миссия — это не конкретное указание о том, что и в какие сроки сделать. Она формирует лишь направление движения организации с учетом ее внешних и внутренних условий.
Миссия организации в известной степени влияет на прогноз действия фирмы, который определяется рыночными условиями и выбранным сроком существования фирмы. Именно здесь раскрывается управленческое содержание миссии, поскольку миссия — это совокупность стратегий, которые вырабатывает администрация компании для достижения глобальных целей.
При разработке миссии, т. е. совокупности стратегий, исследуются не только внешняя среда (геополитические, экономические и социальные условия), но и системные характеристики фирмы, совокупность ресурсов, производственных либо организационных процессов, продукции. При рассмотрении всех этих характеристик важное значение приобретают разработка и определение долгосрочных и краткосрочных целей организации. И в этой связи понятие миссии тесно связано с понятием целевого управления.
Миссия ЗАО «Северодвинский компьютерный центр» состоит в обеспечении предприятий, организаций и населения компьютерной, орг-, и другими видами современной техники, а также предоставлением качественных услуг в сфере компьютерных технологий. Благодаря эффективности и бесперебойности функционирования подобных учреждений зависит не только успех деятельности отдельных хозяйственных единиц, но и темпы экономического и научно-технического развития страны в целом.
Что же касается ЗАО «СКЦ», то следует отметить, что он имеет некоторую отраслевую направленность. Поскольку организация сформировывалась очень давно (по компьютерным меркам), она должна была решать задачи связанные с обеспечением предприятий ВПК г. Северодвинска высокотехнологичной и качественной техникой. Времена гонки вооружений ушли в прошлое, но взаимосвязи и тесное деловое сотрудничество осталось. По-прежнему ЗАО «СКЦ» поставляет и обслуживает технику на большинстве оборонных предприятий Северодвинска. Все большее количество предприятий и организаций обслуживает сейчас «СКЦ» – это частные, муниципальные и другие организации, а также, что особенно приятно, частные лица. В соответствии с этим и определяется его миссия - содействовать экономическому и научно-техническому развитию и благосостоянию предприятий и организаций, обслуживаемых ЗАО «СКЦ», путем предоставления им качественной и надежной продукции и предоставления услуг, таким образом и в таком объеме, которые соответствуют высоким профессиональным стандартам. Сотрудники фирмы всегда придерживаются негласного правила: «Клиент всегда прав!».
Общие положения из устава фирмы:
закрытое акционерное общество «Северодвинский компьютерный центр» учреждено Комитетом по управлению имуществом г. Северодвинска
закрытое акционерное общество несет ответственность за результаты своей деятельности, за выполнение взятых на себя обязательств перед акционерами и партнерами по заключенным договорам, а также перед трудовым коллективом, согласно действующему законодательству
организация получает право юридического лица после ее государственной регистрации, вправе от ее имени заключать договоры, приобретать имущественные и не имущественные права, нести обязанности, быть истцом и ответчиком в судебных органах
организация отвечает по своим обязательствам имуществом предприятия
организация руководствуется в своей деятельности законодательством Российской Федерации, нормативными актами, регулирующую предпринимательскую деятельность
организация имеет собственный баланс, расчетный и иные счета в банках, бланки, угловой штамп, товарный знак, печать со своим наименованием.
Кратко миссию ЗАО «СКЦ» можно изложить всего несколькими словами, которые произнес глава корпорации Microsoft Билл Гейтс:
«КОМПЬЮТЕР - НА КАЖДОМ СТОЛЕ!».
На основе общей миссии формулируются и устанавливаются цели предприятия - конкретные конечные состояния или желаемый результат, которого стремится достигнуть предприятие.
«Если вы идете без цели, то нет смысла выбирать дорогу»
Р. Эмерсон
Цель как важнейшая характеристика менеджмента
Любая система управления — это, прежде всего целенаправленная система, имеющая иерархическое строение и организованная для достижения целей фирмы, которые принято называть целями функционирования.
Цели, стоящие перед системой управления, являются отправной точкой планирования. В сущности, планирование — это разработка целей и задач фирмы, нашедших конкретное выражение в перспективных и текущих планах.
В зависимости от сроков достижения целей различают перспективное и текущее планирование.
Значение целей функционирования велико. Во-первых, потому, что в организации должны приниматься только такие решения, которые реализуют ее цели функционирования. Во-вторых, во избежание такой деятельности, которая мешает достижению целей функционирования, глобальная цель должна быть доведена до каждого руководителя и исполнителя. Для этого необходимы постоянный контроль за реальным состоянием системы и сравнение его с целями и задачами, стоящими перед фирмой.
Отсюда следует, что любая деятельность в системе оправдана только в том случае, если она способствует достижению ее конечной цели функционирования. Иначе говоря, любая организация должна быть спроектирована таким образом, чтобы вся деятельность в системе реализовала только те цели функционирования, для которых она создавалась.
Поскольку задачей менеджмента является достижение цели, важно правильно ее определить. Если ставится задача совершенствования организации, не уточнив ее целей, то есть риск, что будут предложены лучшие способы выполнения ненужных функций или лучшие пути достижения неудовлетворительных конечных результатов, что может нанести материальный ущерб. Искусство выбора и формулирования правильной цели, управление процессом ее реализации, включая оценку достигнутой степени реализации, отличают действительно умелого руководителя.
Невозможно управлять людьми, если и руководителям, и подчиненным цели совершенно не ясны. Управлять — значить побуждать других к достижению ясной им цели, а не заставлять делать то, что считаешь правильным.
Определение целей функционирования — один из наиболее важных этапов в деятельности фирмы. От того, насколько правильно выбрана цель функционирования, насколько четко она сформулирована, зависит успех деятельности. Неправильное и нечеткое формулирование цели приводит к тому, что система управления, даже если она должным образом устроена, работает не с полной отдачей, неэффективно, так как усилия аппарата управления расходуются нецеленаправленно. В различных организациях, как правило, приходится иметь дело с совокупностью целей. Задача руководителя организации любого уровня — суметь учесть все многообразие факторов, влияющих на функционирование организации, правильно оценить ситуацию и выбрать оптимальные решения.
В ряде случаев для характеристики целей функционирования используется совокупность параметров, что затрудняет оценку степени достижения цели и требует выбора критериев, по которым можно судить о степени достижения цели. По существу, если нет критериев выбора или оценки степени достижения целей функционирования, нет и самих целей функционирования.
На каждом уровне организации возникают некоторые частные цели, причем только их совокупность необходимо рассматривать как некоторую цель определенного уровня управления. Отсюда возникает необходимость построения дерева целей.
Следовательно, в современном менеджменте понятие цели — одно из основных. Без определения этого понятия, без выявления соотношения целей, средств достижения целей, оценки эффективности и путей достижения целей нельзя решать проблему эффективного управления. Это означает, что без четкого формулирования целей функционирования нельзя комплексно решить ни одной проблемы, связанной с построением фирмы, с планированием ее деятельности, оценкой эффективности, разработкой ее стратегии.
Когда цель функционирования сформулирована нечетко, требовать четкой организации работ практически бесполезно, так как невозможно правильно выбрать средства достижения цели.
Выбор средств достижения цели зависит от многих факторов, которые по-разному влияют на конечные результаты функционирования фирмы. Так, выбор технических средств автоматизации управленческого труда представляется целесообразным проводить с учетом технических, экономических и организационных факторов. Если цель функционирования не выбрана точно, нет критерия, по которому можно судить о ее достижении, невозможно измерить эффективность текущей работы фирмы, скоординировать деятельность структурных подразделений, практически нельзя четко организовать работу аппарата управления и оценить ее эффективность.
Вследствие нечеткого формулирования целей невозможно рационально распределять обязанности между сотрудниками аппарата управления и оценивать деятельность каждого из них. Как уже отмечалось выше, четкое определение целей функционирования, доведенных до каждого сотрудника аппарата управления, повышает его производительность и способствует лучшей мотивации.
Цели, стоящие перед фирмой, подразделяются на качественные и количественные. Если количественные цели могут быть оценены в едином эквиваленте, например, в денежном выражении, в годах, в тоннах и т. д., то оценка качественных целей в количественных показателях весьма затруднительна и требует применения метода, известного под названием метода экспертных оценок, который позволяет выбрать цель функционирования, определить приоритет целей и их важность.
Метод экспертных оценок определяется как «процедура», учитывающая субъективное мнение с целью определения количественных соотношений между переменными, когда эти соотношения нельзя установить из теоретических соображений или на основании накопленных статистических данных. Следовательно, задача формулирования целей функционирования организации с помощью экспертных оценок — это задача получения объективного результата на основании индивидуальных субъективных мнений группы экспертов.
Ценность результата, полученного с помощью метода экспертных оценок, во многом зависит от компетентности вовлеченных в эксперимент специалистов. (Наблюдения показывают, что опытный специалист еще до проведения эксперимента имеет определенное представление о правдоподобии различных его исходов). Следовательно, большое значение для получения объективного результата имеют формирование групп экспертов, их состав. Даже при наличии разумных критериев компетентности формирование групп экспертов затруднительно, ибо способность к правильному и вероятному прогнозу или оценке цели — весьма специфическая черта человека. В менеджменте не все подлежит формализации, поэтому объективность и научность выполняемых исследований требуют использования опыта, интуиции специалистов. Объективность и научность означают правильное использование интуиции опытных специалистов.
Создание условий для плодотворной деятельности экспертов, производящих выбор целей функционирования, означает необходимость организации максимально эффективной системы контактов между ними, позволяющей:
создавать условия, при которых специалист может активно взаимодействовать с другими экспертами;
иметь свободный доступ к относящейся к делу информации;
исключить возможность неправильной интерпретации мнения.
Такой метод наиболее прост, но имеет ряд недостатков, вызванных чрезмерным влиянием психологических факторов. В последнее время разработаны методы, с помощью которых удается преодолеть эти трудности путем устранения непосредственного общения специалистов друг с другом либо путем учета квалификации экспертов, взвешиванием их мнений.
Ниже перечислены приоритетные цели ЗАО «СКЦ»:
увеличение объема продаж
конкурентоспособность цен
увеличение доли рынка
увеличение качества и ассортимента продукции
продвижение на рынок новинок
Понятие целевого управления
Каждая организация фиксирует свое состояние в будущем в виде долгосрочных и краткосрочных целей, которые служат исходной точкой планирования. Разделение целей на долгосрочные и краткосрочные имеет принципиальное значение. Краткосрочные цели более конкретны и определяются долгосрочными целями. Процесс управления организацией по целям или, как принято говорить, целевое управление осуществляется в несколько этапов.
I. Разработка долгосрочных целей фирмы (стратегическое планирование). В основе разработки долгосрочных целей лежит планирование. Это прежде всего разработка обоснованных планов для представления их совету директоров, а также высшему руководителю. Требуется немало усилий от руководителей организаций по выработке реальных и обоснованных целей. В условиях постоянно меняющейся внешней среды это нелегко.
Перспективное планирование — крайне важный этап успешной работы фирмы в первую очередь потому, что оно осуществляется в условиях недостаточной информации. Именно поэтому большое значение приобретает мнение совета директоров, профессионалов высшего звена управления. Для определения долгосрочных целей необходимы знание ситуаций и мнение компетентных людей относительно этих ситуаций. Именно на этом этапе необходимо развернутое совещание по проблемам долгосрочного планирования, на котором должна быть выработана стратегия фирмы по всем ее направлениям. Практика показывает, что стратегия фирмы не вырабатывается в один день, руководство решает эти проблемы поэтапно.
Желательно проводить разработку долгосрочных целей снизу вверх. Алгоритм может быть следующим:
подробное обсуждение руководством фирмы стратегических планов фирмы с управляющими подразделениями;
рассмотрение всех замечаний и предложений;
использование их для дополнения и расширения первоначальных планов.
Опыт ряда компаний показывает, что данный подход к разработке стратегических планов является более разумным и позволяет усовершенствовать перечень целей, стоящих перед каждым подразделением.
II. Оценка действующей организационной структуры управления. Разработать организационную структуру управления, составить положение о подразделениях и расписать их функции — не такая уж сложная задала. Сложно ответить на следующие вопросы:
Правильно ли распределены функциональные обязанности? Насколько хорошо их выполняют сотрудники?
Соответствует ли организационная структура требованиям окружающей среды? Если нет, то как наиболее быстро и с минимальными затратами провести ее реорганизацию?
Привлекает ли управляющий высшего звена к разработке целей своих подчиненных или он делает это единолично? Другими словами, насколько хорошо налажены двусторонние связи в данной структуре управления?
Следует помнить, что любая организация не будет работать эффективно, если в ней нет четкого распределения обязанностей и персональной ответственности.
III. Разработка целей структурных подразделений. От правильности этих целей зависит успех выполнения всего долгосрочного плана фирмы. Осуществление этих целей ориентировано скорее на развитие, чём на достижение результатов. Сущность выполнения данного этапа заключается в том, что цели должны быть сформулированы на каждом уровне управления, прежде всего по горизонтали. Исходя из того, что все реальные организации многоцелевые, на данном этапе на каждом уровне управления должны быть сформулированы все цели выбранной стратегии. С другой стороны, должны быть выбраны главные цели, под которые и предстоит проектировать организацию.
Для координации выбранных целей необходима их оценка и по вертикали (как исходный материал построения дерева целей).
IV. Доведение выбранных целей до подразделений — обоснование построения дерева целей. Сущность данного этапа заключается в выявлении взаимозависимых целей, реализуемых на каждом уровне управления. В результате такой работы оказывается возможным построение дерева целей. Дерево целей представляет собой структурное отображение распределения целей по уровням управления рассматриваемой организации и их взаимосвязи. Такое дерево целей строится для каждого уровня управления, а затем производится «сшивание» дерева целей каждого уровня в общее дерево целей организации.
V. Доведение целей до каждого конкретного исполнителя. На этом этапе прежде всего выясняется возможность реализации сформулированной ранее цеди конкретным исполнителем. В ряде случаев для понимания необходимой деятельности потребуется выбранные цели детализировать. Только после установления согласованности системы целей и конкретной деятельности можно утверждать, что выбранные цели доведены до каждого конкретного исполнителя.
Реальная работа в этом направлении предполагает широкое обсуждение всех целей на производственных совещаниях.
VI. Реализация целей. Этот этап включает:
закрепление целей за каждым исполнителем;
выявление наличия всех ресурсов, необходимых для реализации целей;
установление графика выполнения работ;
контроль выполнения целей во всей системе управления сверху до низу;
своевременность вмешательства в процесс управления на любом уровне управления.
VII. Оценка достигнутых результатов. Оценка достигнутых результатов должна производиться снизу вверх с выходом на глобальные цели. Обсуждение результатов должно быть произведено неформально с учетом мнения сотрудников организации. Иногда для этой цели разрабатываются специальные анкеты, которые обрабатываются с учетом теории экспертных оценок. Результаты обработки доводятся до каждого уровня управления несколько раз, обсуждаются и повторно обрабатываются до получения полного согласия.
VIII. Корректировка целей. Цели корректируются после выявления степени прогресса в реализации поставленных целей, т. е. с учетом достижения целей выбранные ранее цели корректируются. Практически это означает окончание цикла формирования целей и переход к этапу I.
Оценка эффективности организационных решений
Оценка эффективности является важным элементом разработки проектных и плановых решений, позволяющим определить уровень прогрессивности действующей структуры, разрабатываемых проектов ли плановых мероприятий, и проводится с целью выбора наиболее рационального варианта структуры или способа её совершенствования. Эффективность организационной структуры должна оцениваться на стадии проектирования, при анализе структур управления действующих организаций для планирования и осуществления мероприятий по совершенствованию управления.
Комплексный набор критериев эффективности системы управления формируется с учётом двух направлений оценки её функционирования:
по степени соответствия достигаемых результатов установленным целям производственно-хозяйственной организации;
по степени соответствия процесса функционирования системы объективным требованиям к его содержанию организации и результатам.
Критерием эффективности при сравнении различных вариантов организационной структуры служит возможность наиболее полного и устойчивого достижения конечных целей системы управления при относительно меньших затратах на её функционирование.
Принципиальное значение для оценки эффективности системы управления имеет выбор базы для сравнения или определения уровня эффективности, который принимается за нормативный. Один из подходов дифференцирования сводится к сравнению с показателями, характеризующими эффективность организационной структуры эталонного варианта систем управления. Эталонный вариант может быть разработан и спроектирован с использованием всех имеющихся методов и средств проектирования систем управления. Характеристики такого варианта принимаются в качестве нормативных. Может применятся также сравнение с показателями эффективности и характеристиками системы управления, выбранной в качестве эталона, определяющего допустимый или достаточный уровень эффективности организационной структуры.
Часто вместо методов используется экспертная оценка организационно-технического уровня анализируемой и проектируемой системой, а также отдельных её подсистем и принимаемых проектных и плановых решений, или комплексная оценка системы управления, основанная на использовании количественно-качественного подхода, позволяющего оценивать эффективность управления по значительной совокупности факторов.
Показатели, используемые при оценках эффективности аппарата управления и его организационной структуры, могут быть разбиты на следующие три взаимосвязанные группы.
Группа показателей, характеризующих эффективность системы управления, выражающихся через конечные результаты деятельности организации, и затраты на управления. При оценках эффективности на основе показателей, характеризующих конечные результаты деятельности организации, в качестве эффекта, обусловленного функционированием или развитием системы управления, может рассматриваться объем, прибыль, себестоимость, объем капитальных вложений, качество продукции, сроки внедрения новой техники и т.п.
Группа показателей, характеризующих содержание и организацию процесса управления, в том числе непосредственные результаты и затраты управленческого труда. В качестве затрат на управление учитываются текущие расходы на содержание аппарата управления, эксплуатацию технических средств, содержание зданий и помещений, подготовку и переподготовку кадров управления.
При оценке эффективности процесса управления используются показатели, которые могут оцениваться как количественно, так и качественно. Эти показатели приобретают нормативный характер и могут использоваться в качестве критерия эффективности ограничений, когда организационная структура изменяется в направлении улучшения одного или группы показателей эффективности без изменения (ухудшения) остальных. К нормативным характеристикам аппарата управления могут быть отнесены следующие: производительность, экономичность, адаптивность, гибкость, оперативность, надёжность.
Производительность аппарата управления может определяться, как количество произведённой организацией конечной продукции или объёмы выработанной в процессе управления информации.
Под экономичностью аппарата управления понимаются относительные затраты на его функционирование. Для оценки экономичности могут использоваться такие показатели, как удельный вес затрат на содержание аппарата управления, удельный вес управленческих работников в численности промышленно-производственного персонала, стоимость выполнения единицы объёма отдельных видов работ.
Адаптивность системы управления определяется её способностью эффективно выполнять задачные функции в определённом диапазоне изменяющихся условий. Чем относительно шире этот диапазон, тем более адаптивной считается система.
Гибкость характеризует свойство органов аппарата управления изменять в соответствии с возникающими задачами свои роли в процессе принятия решений и налаживать новые связи, не нарушая присущей данной структуре упорядоченности отношений.
Оперативность принятия управленческих решений характеризует современность выявления управленческих проблем и такую скорость их решения, которая обеспечивает максимальное достижение поставленных целей при сохранении устойчивости налаженных производственных и обеспечивающих процессов.
Надёжность аппарата управления в целом характеризует его безотказным функционированием. Если считать качество определения целей и постановки проблем достаточным, т.е. способностью обеспечивать выполнение заданий в рамках установленных сроков и выделенных ресурсов. Для оценки исполнительности аппарата управления и его подсистем может использоваться уровень выполнения плановых заданий и соблюдение утверждённых нормативов, отсутствие отклонений при исполнении указаний.
Группа показателей, характеризующих рациональность организационной структуры и её техническо-организационной уровень. К структурам относится звенность системы управления, уровень централизации функций управления, принятые нормы управляемости, сбалансированность распределения прав и ответственности.
Для оценки эффективности управления важное значение имеет определение соответствия системы управления и её организационной структуры объекту управления. Это находит выражение в сбалансированности состава функций и целей управления, соответствии численности состава работников объёму и сложности работ, полноте обеспечения требуемой информацией, обеспеченности процессов управления технологическими средствами с учётом их номенклатуры.
Важными требованиями, являются, способность адекватного отражения динамичности управляемых процессов, сбалансированность и непротиворечивость показателей. При оценке эффективности отдельных мероприятий по совершенствованию системы управления допускается использование основных требований к их выбору – максимальное соответствие каждого показателя целевой ориентации проводимого мероприятия и полнота отражения достигаемого эффекта.
Корректировка организационной структуры
В большинстве случаев решения о корректировке структур принимаются высшими руководителями организации как часть их основных обязанностей. Значительные по масштабам организационные предприятия не осуществляется до тех пор, пока не появится твёрдая корректировка структуры или разработка нового проекта.
Неудовлетворительное функционирование предприятия. Наиболее распространенной причинной необходимости разработки нового проекта организации являются неудачи в попытке снижения роста издержек, повышения производительности, расширения всё сужающихся внутренних и внешних рынков или в привлечении новых финансовых ресурсов. Обычно, прежде всего, предпринимаются изменения в составе и уровне квалификации работающих, разработка специальных программ. Но причина неудовлетворительной деятельности предприятия заключается в определённых недостатках организационной структуры управления.
Перегрузка высшего руководства. Если меры по изменению методов и процедур управления не позволяют уменьшить нагрузку, не приводят к продолжительному облегчению, то весьма эффективным средством решения этой задачи становится перераспределение прав и функций, корректировки и уточнения в формах организации.
Отсутствие ориентации на перспективу. Будущее развитие предприятия требует со стороны высших руководителей всё большего внимания стратегическим задачам. В то же время до сих пор многие руководители продолжают уделять основное время оперативным вопросам. Что приведёт к простой экстраполяции текущих тенденций в будущем. Высший руководитель должен осознавать, что его важнейшая обязанность заключается в том, чтобы сделать предприятие способным разработать и реализовать стратегическую программу.
Разногласия по организационным вопросам. Каждый опытный руководитель знает, что стабильность в организационной структуре предприятия существует внутренняя гармония. Эта структура затрудняет достижение целей, допускает несправедливое распределение власти и т.д. Когда возникают глубокие и устойчивые разногласия по поводу организационной структуры, единственным выходом является тщательное изучение структуры. Смена руководства часто вызывает решение о реорганизации. Группа, которая придёт на смену, может найти такую форму совершенно не соответствующей её подходу к проблемам предприятия.
Рост масштаба деятельности. В условиях стабильных производственных процессов и сбыте при продолжительном увеличении размера предприятия появляется необходимость к росту масштаба деятельности. И можно приспособиться к небольшим изменениям в структуре, но если основная структура остаётся без изменений, то от этого ухудшается функционирование предприятия.
Увеличение разнообразия. Расширение номенклатуры выпускаемой продукции или услуг, выход на разнообразные рынки дополнительное освоение новых производственных процессов вносят совершенно новые моменты в организацию, вплоть до структурных изменений предприятия.
Объединение хозяйствующих субъектов. Слияние нескольких предприятий обязательно вносит некоторые изменения в организационную структуру. Проблемы совпадения функций, излишнего персонала, путаница в распределении прав и ответственности требуют немедленного решения, следовательно, следует ожидать крупных структурных перемен.
Изменение технологии управления. Научные достижения в области управления начинают оказывать всё большее влияние на организационные структуры и процессы (прогрессивные методы обработки информации). Появляются новые должности, изменяются процессы принятия решений. Некоторые отрасли – производство массовой продукции, некоторые финансовые учреждения – в действительности изменились коренным образом благодаря успехам в области технологии управления.
Влияние технологии производственных процессов. Быстрое развитие отраслевых исследований, рост научных учреждений, повсеместное распространение управления проектами, растущая популярность матричных организаций – всё это свидетельствует о распространении влияния точных наук на промышленные организации.
Внешняя экономическая обстановка. Большинство промышленных предприятий находится в постоянно изменяющемся экономическом окружении. Некоторые изменения совершаются резко, из-за чего нормальное функционирование предприятия внезапно становится неудовлетворительным. Другие изменения, которые происходят медленнее и имеют более фундаментальный характер, вынуждают предприятия переключаться на другие сферы деятельности, а значит, появляется новая организационная структура.
Каждое из отмеченных обстоятельств приводит к изменениям структуры и может указывать на необходимость пересмотра главной стратегии предприятия.
Неспособность выжить и функционировать эффективно чаще всего является результатом того, что:
Принимаются необоснованные стратегические решения;
Предприятия пытаются продолжить деятельность в объёме, который уже не является экономичным;
Не удаётся наладить выпуск новой продукции или выпускается не находящая сбыта продукция и не там, где надо;
Фирмы, имеющие один рынок сбыта, не способны диверсифицировать производство.
Перераспределение задач, прав и ответственности, информационных потоков повышает эффективность организации путём роста производительности и, по крайней мере, временно сдерживает рост издержек, повышает прибыльность. Улучшение организационных форм нередко способствует выработке новых и более совершенных стратегических решений.
Почти на любом крупном предприятии можно найти примеры, когда осуществлению хорошо задуманных стратегических планов мешала организационная структура, которая задерживала их выполнение или отдавала предпочтение решению второстепенных вопросов.
Взаимосвязь стратегии и структуры лежит в основе всех рекомендаций по корректировке и изменению организации управления предприятием. Аналитический процесс по изучению стратегии предприятия является неотъемлемым элементом корректировок в структуре. Как правило, он состоит из следующих этапов.
Состоит в выяснении задачи предприятия, областей неопределённости и наиболее вероятных альтернатив развития. В случае образования совершенно новых предприятий определение задачи может быть ограничено установлением проектных параметров.
Анализ организационной структуры заключается в определении переменных, которые значительно влияют на выполнение задачи. На этом этапе необходим глубокий анализ экономической и производственной структуры предприятия и её основных компонентов.
Изучаются цели и программы развития предприятия. Важно убедиться, что текущие цели соответствуют главной задаче предприятия, а программы согласованы с ключевыми факторами успешного функционирования. Это является существенным моментом, поскольку цели и планы оказывают непосредственное воздействие на организационную структуру путём определения приоритетов и значения ранее принятых решений.
Оценивают, насколько структура организации отвечает задачам, целям и факторам, от которых зависит успешность её функционирования. Для этого необходимо тщательно изучить существующую формальную структуру, определить все её слабые и сильные стороны, выяснить, какие недостатки в формальной структуре компенсируют неформальные элементы и насколько эффективно.
Трудным, но неизбежным моментом в анализе организации является оценка человеческих ресурсов предприятия. Исследователь изучает основные процессы управления – планирование, распределение ресурсов, оперативный контроль – для того, чтобы установить, насколько они способствуют выполнению задачи, цели и стратегических программ. Анализ организации и окружающей среды представляет колоссальный объём информации, который необходимо оценить так, чтобы можно было принять решение о структуре, что является конечным этапом аналитического процесса.
Выработка такого решения является очень трудным процессом. Структура больших организаций стала необычайно запутанной из-за многочисленных изменений. Скорость изменений настолько увеличиваются, что ищут не столько специфическую, постоянную структуру, сколько временную, которая отражает определённый этап развития организации. И, наконец, структура, зафиксированная в схемах и уставах, всё меньше занимает места в проектах организации.
Структуру можно выбирать и понять только при широком, комплексном подходе к изменениям предприятия и его окружающей среды.
Как показывает опыт, процесс внесения коррективов в организационную структуру управления должен предусматривать:
Систематический анализ функционирования организации и её среды с целью выявления проблемных зон. Анализ может базироваться на сравнении конкурирующих или родственных организаций, представляющих иные сферы экономической деятельности;
Разработку генерального плана совершенствования организационной структуры;
Гарантию того, что программа нововведений содержит максимально простые и конкретные предложения по изменению;
Последовательную реализацию планируемых перемен. Введение незначительных изменений имеет большие шансы на успех, чем изменения крупного характера;
Поощрение повышения уровня информированности сотрудников, что позволит им лучше оценить свою причастность и, следовательно, усилит их ответственность за намеченные перемены.
Внутренняя и внешняя среда организации
Целостность организации и ее открытость как системы обусловливают четкое разделение внутренней и внешней среды, зависимость организации от внешних факторов, взаимодействие внутренней и внешней среды, различную степень воздействия параметров внутренней и внешней среды и управления ими.
Поскольку организация создается людьми, то все ее элементы и связи в той или иной мере имеют переменный характер. К переменным внутренней среды организации относятся:
структуры (производства, управления),
цели и задачи управления,
технологии,
люди.
Структуры организации определяются логическим и количественным соотношением элементов системы и уровней управления. Управляемость организации определяется соотношением числа руководителей и подчиненных, числом людей, которые подчиняются одному руководителю, а также взаимоотношением времени принятия решений с временем перехода объектов управления в различные состояния, в том числе и прогнозируемые.
Управляемость, кроме того, зависит и от технологии. Технология – это любое средство (регламент, алгоритм, механизм), с помощью которого входящие в производство или орган управления элементы преобразуются в выходящие.
Важнейшая часть и внутренней, и внешней среды организации — инфраструктура, т. е. комплекс элементов и связей, обеспечивающих условия жизнедеятельности коллектива организации и обслуживающих основные процессы производства и управления. К инфраструктуре можно отнести коммуникации и организационную культуру, в составе которых огромная роль отводится людям, их знаниям, способностям и искусству взаимодействия.
Организационная культура представляет собой систему норм и ценностей, которыми отличаются работники и в целом данная организация. Система норм и ценностей отдельного человека находится в сложной зависимости от его индивидуальности и личности (характер, взгляды, способности, образование и др.) и от установок и ценностей в организации, зависящих также от многих факторов, включая руководителей организации. Все эти элементы в комплексе определяют поведение работников и успешность деятельности организации (рис. 2).
Важный элемент культуры — это ценности, т. е. общие убеждения по поводу того, что хорошо, что плохо или что безразлично в жизни. Ценности приобретаются при воспитании, образовании, социальных контактах и т. п.

Рис. 2. Факторы, влияющие на индивидуальное поведение и успешность деятельности.
Организационная культура помогает решить задачи:
координации, осуществляемой с помощью установленных процедур и правил поведения;
мотивации, реализуемой путем разъяснения сотрудникам смысла выполняемой работы;
профилирования, позволяющего обрести характерное отличие от других предприятий;
привлечения кадров путем пропагандирования в среде претендентов на рабочие вакансии преимуществ своего предприятия.
Любая организация обладает сильными и слабыми сторонами, в том числе и в организационной культуре. Слабости необходимо преодолевать, используя имеющиеся сильные стороны.
В любом случае нужны коллективные мероприятия культурной направленности, в ходе которых с определенной осторожностью выясняется соответствие основных рычагов принятия решений собственной культуре, осуществляется их взаимная притирка и критически решается вопрос о стратегической адекватности внутрифирменной культуры.
SWOT-метод изучения сильных (Strengths) и слабых (Weakness) сторон организации, ее возможностей (Opportunities) и угроз (Threats) со стороны окружения.
Таблица 2. Анализ факторов внутренней среды предприятия.
|
Факторы внутренней среды |
Оценка качества |
Важность |
||||||
|
5 |
4 |
3 |
2 |
1 |
Высшая |
Средняя |
Низ шая |
|
|
1. МАРКЕТИНГ: |
||||||||
|
1.1. Известность компании на рынке |
+ |
+ |
||||||
|
1.2. Доля рынка |
+ |
+ |
||||||
|
1.3. Репутация в отношении качества |
+ |
+ |
||||||
|
1.4. Репутация в отношении обслуживания |
+ |
+ |
||||||
|
1.5. Реклама |
+ |
+ |
||||||
|
1.6. Эффективность продаж |
+ |
+ |
||||||
|
1.7. Эффективность НИОКР |
+ |
+ |
||||||
|
1.8. Месторасположение |
+ |
+ |
||||||
|
2. ФИНАНСЫ: |
||||||||
|
2.1. Стоимость капитала |
+ |
+ |
||||||
|
2.2. Доступность капитальных ресурсов |
+ |
+ |
||||||
|
2.3. Доходность капитала |
+ |
+ |
||||||
|
2.4. Финансовая стабильность |
+ |
+ |
||||||
|
3. ПРОИЗВОДСТВО: |
||||||||
|
3.1. Современное оборудование |
+ |
+ |
||||||
|
3.2. Удовлетворение покупательского спроса |
+ |
+ |
||||||
|
3.3. Соблюдение сроков поставок |
+ |
+ |
||||||
|
3.4. Ассортимент продукции |
+ |
+ |
||||||
|
3.5. Затраты на производство |
+ |
+ |
||||||
|
3.6. Технический уровень производства |
+ |
+ |
||||||
|
4. ОРГАНИЗАЦИЯ: |
||||||||
|
4.1. Квалификация руководства |
+ |
+ |
||||||
|
4.2. Малый штат сотрудников |
+ |
+ |
||||||
|
4.3. Квалификация и способности менеджеров |
+ |
+ |
||||||
|
4.4. Реакция на изменение рыночной ситуации |
+ |
+ |
||||||
|
4.5. Преданность работе сотрудников |
+ |
+ |
||||||
|
4.6. Инициативность руководства |
+ |
+ |
||||||
|
4.7. Оперативность принятия решений |
+ |
+ |
Таблица 3. Матрица анализа сильных и слабых сторон ЗАО «СКЦ»
|
Оценка качества |
||||||
|
Очень слабое |
Слабое |
Нейтральное |
Сильное |
Очень сильное |
||
|
Важность |
Высшая |
1.4., 2.1., 3.2., 3.4. |
1.5., 4.3 |
1.3., 4.7. |
2.4. |
|
|
Средняя |
4.2. |
1.6., 4.1., 4.4. |
1.2. |
3.1.,3.3., 4.6. |
1.1. |
|
|
Низшая |
1.7, 1.8 |
2.2., 3.5. |
2.3.,3.6., 4.5. |
Вывод: Как видно из матрицы анализа слабых и сильных сторон, слабые стороны предприятия преобладают над сильными. Надо отметить, что самыми проблемными факторами являются те, которые расположены в верхнем левом углу матрицы – проблемной области, это – 1.4., 2.1., 3.2., 3.4., 4.2., 1.5., 4.3., 1.6., 4.1., 4.4.
Таблица 4. Итог анализа деятельности ЗАО «СКЦ»
|
Факторы |
Сильные стороны |
Слабые стороны |
Последствия |
|
МАРКЕТИНГ |
Известность компании на рынке, занимает весомую долю рынка |
Низкий уровень обслуживания, низкая эффективность НИОКР, невысокая репутация в отношении качества, средняя эффективность продаж, имеет неудобное месторасположение, недостаточная реклама |
Падение уровня продаж, возможно, потеря клиентов |
|
ФИНАНСЫ |
Высокая доходность капитала, финансовая стабильность |
Невысокая стоимость капитала, доступность капитальных ресурсов |
Благополучное финансовое состояние фирмы |
|
ПРОИЗВОДСТВО |
Высокотехнологичное современное оборудование, своевременная поставка продукции |
Очень «скудный» ассортимент продукции, большие затраты на производство, невысокая степень удовлетворения покупательского спроса |
Потеря клиентов, увеличение стоимости продукции |
|
ОРГАНИЗАЦИЯ |
Инициативное руководство, достаточно преданные организации работники |
Недостаточная квалификация руководства, среднего уровня (и ниже) квалификация и способности менеджеров, низкая реакция на изменение рыночной ситуации, больше необходимого число сотрудников |
Несокординированная работа фирмы |
Вывод: Неважные показатели в сфере маркетинга. Желательно скорейшее изменение сложившейся ситуации. Сильные стороны финансового фактора несколько превосходя слабые, необходимо отметить, что к преимуществам сильных сторон относится финансовая стабильность предприятия. Главный изъян - в производственном факторе – недостаточный ассортимент продукции, это приводит к тому, что компания не может полностью удовлетворить покупательского спроса. Существенным минусом организационного фактора является недостаточная квалификация руководства и менеджеров фирмы. Необходимо повышение квалификации в первую очередь менеджеров, а также руководства фирмы.
Успех организации в значительной степени зависит от учета внешних факторов. Как был отмечено выше, объектом и предметом исследования маркетинга и как функции управления, и как части органа управления служат факторы внешней рыночной среды. С возникновением и развитием маркетинга руководители постоянно расширяют спектр требующих учета воздействий внешней среды. На рис. 3 приведены элементы среды прямого и косвенного воздействия.
В среде прямого воздействия главное — это рынок и законы, его регулирующие. Важно учитывать, что предприятие и рынок представляют собой две различные по своей природе формы координации экономической деятельности. Внутри предприятия отсутствуют рыночные отношения, их можно лишь имитировать для повышения эффективности производства.
П
ри
рассмотрении внешней среды и ее влияния
на организацию и экономику в целом
в последнее время все больше учитывают
влияние неэкономических факторов
(социокультурные факторы и др.) на
экономические процессы.
Р
ис.
3. Элементы среды прямого и косвенного
воздействия.
Таблица 5. Анализ факторов внешней среды предприятия.
|
Факторы внешней среды |
Оценка качества |
Важность |
||||||
|
5 |
4 |
3 |
2 |
1 |
Высшая |
Средняя |
Низ кая |
|
|
ФАКТОРЫ ПРЯМОГО ВОЗДЕЙСТВИЯ: |
||||||||
|
1. ПОКУПАТЕЛИ: |
||||||||
|
1.1. Крупные клиенты |
+ |
+ |
||||||
|
1.2. Мелкие клиенты |
+ |
+ |
||||||
|
1.3. Угроза неплатежа со стороны покупателя |
+ |
+ |
||||||
|
1.4. Угроза потери покупателя |
+ |
+ |
||||||
|
1.5. Важность появления нового покупателя |
+ |
+ |
||||||
|
1.6. Возраст покупателя |
+ |
+ |
||||||
|
1.6.1. от 16 до 25 лет |
+ |
+ |
||||||
|
1.6.2. от 26 до 45 лет |
+ |
+ |
||||||
|
1.6.3. от 46 до 55 лет |
+ |
+ |
||||||
|
1.6.4. от 56 и старше |
+ |
+ |
||||||
|
2. КОНКУРЕНТЫ: |
||||||||
|
2.1. Преимущества |
+ |
+ |
||||||
|
2.2. Слабость |
+ |
+ |
||||||
|
2.3. Борьба с конкурентами |
+ |
+ |
||||||
|
3. ПОСТАВЩИКИ: |
||||||||
|
3.1. Надежность |
+ |
+ |
||||||
|
3.2. Необходимость поиска нового поставщика |
+ |
+ |
||||||
|
3.3. Репутация |
+ |
+ |
||||||
|
3.4. Цены поставок |
+ |
+ |
||||||
|
4. ЗАКОНОДАТЕЛЬНАЯ БАЗА: |
||||||||
|
4.1. Устойчивость законов, по которым работает фирма |
+ |
+ |
||||||
|
4.2. Возможность появления новых законов |
+ |
+ |
||||||
|
4.3. Субсидии |
+ |
+ |
||||||
|
4.4. Налоги |
+ |
+ |
||||||
|
ФАКТОРЫ КОСВЕННОГО ВОЗДЕЙСТВИЯ: |
||||||||
|
5. Уровень социально-экономического развития |
+ |
+ |
||||||
|
6. Уровень научно-технического развития экономики |
+ |
+ |
||||||
|
7. Уровень научно-технической развития отрасли |
+ |
+ |
||||||
|
8. Экономические кризисы внутри страны |
+ |
+ |
Таблица 6. Список основных угроз и возможностей
|
Угроза |
Возможность |
Последствия для фирмы |
Возможные меры для избежания угрозы или неиспользования возможностей |
|
Потеря клиента |
Финансовые потери, в случае потери крупного клиента – значительные; возможно, уменьшение з/платы сотрудников или сокращение штата. Падение репутации фирмы |
Всевозможные меры для удержания клиента: скидки, дополнительные услуги. Поиск альтернативных решений проблемы с клиентом |
|
|
Появление клиента |
Дополнительный рынок сбыта, дополнительный источник поступления финансовых средств |
Скидки, рассрочки платежа, дополнительные услуги, заключение договора на длительный срок. Различного рода стимулирование для заключения сделки. |
|
|
Преимущества конкурентов |
Потеря клиентов как существующих, так и потенциальных; потеря занимаемой доли рынка |
Нахождение и устранение причин отставания от конкурентов. Постараться «обойти» конкурента другими преимуществами. |
|
|
Слабость конкурентов |
Увеличение занимаемой доли рынка, появление новых клиентов |
Постараться упрочить свои позиции на данной нише рынка. При очень бедственном положении конкурента, предложить ему объединиться для устранения других конкурентов |
|
|
Потеря поставщика |
Срыв поставок, финансовые убытки, потеря клиентов, падение авторитета фирмы, поиск нового поставщика |
Улучшение деловых отношений, рассмотрение и, если возможно, решение существующей проблемы; иметь контракт с поставщиком на экстренные заказы |
|
|
Появление поставщика |
Выбор между поставщиками, наиболее приемлемых условий для заключения контрактов |
Перезаключение договоров имеет смысл делать только тогда, когда новый поставщик имеет хорошую репутацию или значительно более выгодные условия для сотрудничества. |
|
|
Введение дополнительных налогов |
Повышение стоимости продукции |
Попытка получения налоговых льгот |
|
|
Предоставление государством субсидий |
Снижение стоимости продукции, расширение предприятия и увеличение объемов производства |
Попытка получения новых субсидий |
Вывод: практически любая угроза ведет за собой цепь негативных факторов, конечным звеном которой всегда являются финансовые убытки, а вслед за этим и, возможно, падение репутации фирмы. И наоборот, любая возможность дает фирме шанс упрочить свое место на рынке, а также, при возможности, продвигаться дальше.
Вывод по SWOT-анализу:
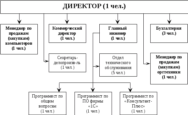
Таким образом, проведя SWOT-анализ, мы пришли к выводу, что данная структура организации не удовлетворяет ее потребностям, вследствие чего структура подлежит реорганизации. Для чего будет утверждено новое штатное расписание, в котором на коммерческого директора дополнительно будут возложены обязанности инспектора по кадрам, в связи с чем, будет увеличен должностной оклад. А также будет исключена должность менеджера по продажам и введены две новые должности: менеджер по продажам (закупкам) компьютеров и менеджер по продажам (закупкам) оргтехники и периферии.
УТВЕРЖДАЮ
Директор ЗАО «СКЦ»
Иванов А.А.
Штат предприятия ЗАО «СКЦ» с 01.01.2000
|
№ п/п |
Наименование должностей |
Количество штатных единиц |
Оклад |
З/плата с ЛКС=80% и РК=40% |
|
1 |
Директор |
1 |
2100 |
4620 |
|
2 |
Главный инженер |
1 |
1900 |
4180 |
|
3 |
Коммерческий директор |
1 |
1700 |
3740 |
|
4 |
Главный бухгалтер |
1 |
1600 |
3520 |
|
5 |
Менеджер по продажам |
1 |
1300 |
2860 |
|
6 |
Инженер-электронщик |
5 |
1300 |
2860 |
|
7 |
Инженер-программист |
3 |
1200 |
2640 |
|
8 |
Бухгалтер |
1 |
1200 |
2640 |
|
9 |
Бухгалтер-кассир |
1 |
900 |
1980 |
|
10 |
Инспектор по кадрам |
1 |
1200 |
2640 |
|
11 |
Секретарь-делопроиз-ль |
1 |
800 |
1760 |
Дополнение к штату с 01.01.2000
|
№ п/п |
Наименование должностей |
Количество штатных единиц |
Оклад |
З/плата с ЛКС=80% и РК=40% |
|
I |
ИСКЛЮЧАЮТСЯ: |
|||
|
1 |
Коммерческий директор |
1 |
1700 |
3740 |
|
2 |
Менеджер по продажам |
1 |
1300 |
2860 |
|
3 |
Инспектор по кадрам |
1 |
1200 |
2640 |
|
II |
ДОБАВЛЯЮТСЯ: |
|||
|
1 |
Коммерческий директор |
1 |
1850 |
4070 |
|
2 |
Менеджер по продажам (закупкам) компьютеров |
1 |
1500 |
3300 |
|
3 |
Менеджер по продажам (закупкам) оргтехники |
1 |
1400 |
3080 |
Проведя SWOT-анализ и введя новое штатное расписание, перестроим оргструктуру ЗАО «СКЦ», которая будет выглядеть следующим образом:

Рис. 4. Реорганизированная структура ЗАО «СКЦ»
Из реорганизованной структуры видно, что две новые введенные должности менеджеров будут ориентированы на определенную продукцию (компьютеры и оргтехнику), что, в свою очередь, должно привести к решению проблемы – устранению дефицита ассортимента. А также, был реорганизован отдел программистов по принципу специализации.
Список используемой литературы:
Исаева Е.Д. «Проектирование организационной структуры управления: методические рекомендации по выполнению курсового проекта для студентов специальности 061100», Архангельск, АГТУ, 2000
М.М. Максимцов «Менеджмент», Москва, ЮНИТИ, 1999
Виханский О.С. «Менеджмент: человек, стратегия, организация, процесс», Москва, фирма «Гардарика», 1996
Радугин А.А. «Основы менеджмента», Москва, Центр, 1998
Волкова К.А. «Предприятие: стратегия, структура, положения об отделах и службах, должностные инструкции», Москва, ОАО «Издательство Экономика»», 1997
Страница 1 из 3