Организация, планирование и управление технологической подготовкой производства
Организация, планирование и управление технологической подготовкой производства
Содержание, задачи, основные этапы и системы управления технологической подготовкой производства
Технологическая подготовка производства (ТПП) – совокупность мероприятий, обеспечивающих технологическую готовность производства (ГОСТ 14.004–83). Под технологической готовностью производства понимается наличие на предприятии полных комплектов конструкторской и технологической документации и средств технологического оснащения, необходимых для осуществления заданного объема выпуска продукции с установленными технико-экономическими показателями.
Единая система технологической подготовки производства (ЕСТПП) – (см. рис. 1.) установленная государственными стандартами система организации и управления технологической подготовкой производства, предусматривающая широкое применение прогрессивных технологических процессов, стандартной технологической оснастки и оборудования, средств механизации и автоматизации производственных процессов, инженерно-технических и управленческих работ (ГОСТ 14.001–73*).

Рис. 1. Состав документации по методам и средствам ТПП
Основное назначение ЕСТПП согласно ГОСТ 14.001–73* заключается в создании системы организации и управления процессом ТПП, обеспечивающей: единый для всех предприятий и организаций системный подход к выбору и применению методов и средств технологической подготовки производства (ТПП), соответствующих достижениям науки, техники и производства; освоение производства и выпуска изделий высшей категории качества в минимальные сроки при минимальных трудовых и материальных затратах на ТПП на всех стадиях создания изделий, включая опытные образцы (партии), а также изделия единичного производства; организацию производства высокой степени гибкости, допускающей возможность непрерывного его совершенствования и быструю переналадку на выпуск новых изделий; рациональную организацию механизированного и автоматизированного выполнения комплекса инженерно-технических и управленческих работ; взаимосвязи ТПП и управления ею с другими системами и подсистемами управления.
Порядок формирования и применения документации на методы и средства ТПП определяется отраслевыми стандартами, стандартами предприятий и документацией различного назначения, разработанной в соответствии со стандартами ЕСТПП.
Основными задачами ТПП являются освоение производства и обеспечение выпуска новых изделий высокого качества в установленные сроки и заданного количества с высокой экономической эффективностью их производства и эксплуатации, а также совершенствование действующей технологии выпуска изделий.
Технологическая подготовка производства новых изделий включает решение задач по следующим основным функциям:
а) обеспечение технологичности конструкции изделия;
б) разработка технологических процессов и методов контроля;
в) проектирование и изготовление технологической оснастки и нестандартного (специального) оборудования;
г) организация и управление процессом ТПП.
Функции, указанные в подпунктах а, б, в и г, охватывают весь необходимый комплекс работ по ТПП, в том числе конструктивно-технологический анализ изделий, организационно-технический анализ производства, расчет производственных мощностей, составление производственно-технологических планировок, определение материальных и трудовых нормативов, отладку технологических процессов и средств технологического оснащения.
Содержание и объем работ по технологической подготовке производства зависят от конструктивных и технологических особенностей изделий и типа производства. Чем больше деталей к сборочных единиц входит в изделие, тем больше число операций и соответственно технологических процессов их выполнения, число единиц технологической оснастки и технологических документов, а также трудоемкость ТПП.
Основные этапы ТПП более укрупненно разрабатываются в единичном и мелкосерийном производстве, часто проектирование технологических процессов заключается в разработке лишь технологических маршрутов. В крупносерийном и массовом производстве, когда изготовляется большое число изделий, необходимы более глубокое разделение труда и, следовательно, большая дифференциация операций, т. е. технологические процессы и документация по ТПП разрабатываются более подробно. При этом проявляется закон перехода количества в новое качество.
Трудоемкость ТПП изделия в единичном и мелкосерийном производстве составляет 20–25 %, в серийном – 50–55 %, а в крупносерийном и массовом – 60–70 % от общей трудоемкости технической подготовки производства.
Технологическая подготовка производства в объединении (на предприятии) выполняется в отделах главного технолога, главного металлурга, главного сварщика, в инструментальных и технологических бюро основных цехов.
Материальной базой ТПП служат следующие цехи: инструментальные, модельные, штампов и приспособлений, опытные, а также соответствующие участки в основных цехах,
В зависимости от типа и масштаба производства применяется централизованная, децентрализованная и смешанная системы ТПП. При централизованной системе, применяемой в массовом, крупносерийном и серийном производстве, ТПП выполняется НИИ, КБ или технологическими отделами завода. Технологические бюро цехов участвуют во внедрении технологических процессов и в последующем их совершенствовании.
Иногда для ТПП привлекаются проектно-технологические институты (ПТИ) или технологические отделы (бюро) научно-исследовательских институтов, которые (кроме технологических разработок для предприятий) выполняют научно-исследовательские работы в области ТПП для отрасли промышленности.
При децентрализованной системе, применяемой в единичном и мелкосерийном производстве с частой сменой выпускаемых изделий, разработка технологических процессов ведется в основных цехах. Технологические отделы завода кроме методического руководства технологическими службами завода проводят работы по типизации технологических процессов и нормализации (стандартизации) технологического оснащения, а также исследовательские и экспериментальные работы и работы по совершенствованию технологических процессов.
В смешанной системе технологические процессы на новую устойчивую продукцию разрабатываются в технологических отделах, а на часто сменяющуюся в производстве продукцию – в цехах. При централизованной и смешанной системах отдел главного технолога (ОГТ) может иметь в своем составе такие бюро: технологической документации, конструкторское (по оснастке), нормирования, планирования ТПП, планово-диспетчерское, а также технологические лаборатории (металлургическую, химико-термическую, сварочную, резания); технологические бюро: по заготовительным, механическим и сборочным процессам; предметные бюро (по группам изделия или их отдельных частей) и инструментальное хозяйство (инструментальные цехи, ЦИС). Функционально ОГТ подчиняются технологические бюро основных цехов.
Планирование и координацию всех работ ТПП, контроль за сроками их выполнения и комплектностью подготовки ведет бюро (отдел) планирования подготовки производства (БППП), подчиняющийся обычно заместителю главного инженера по подготовке производства.
Обеспечение технологичности конструкции изделий
Общие правила обеспечения технологичности конструкции изделия определяются ГОСТ 14.201–83.
Обеспечение технологичности конструкции изделия – функция процесса подготовки производства, предусматривающая взаимосвязанное решение конструкторских и технологических задач, которые направлены на повышение производительности труда, достижение оптимальных трудовых и материальных затрат и сокращение времени на производство, в том числе и на монтаж вне предприятия-изготовителя, техническое обслуживание и ремонт изделия.
Обеспечение технологичности конструкции включает: отработку конструкции изделий на технологичность на всех стадиях разработки изделия и при ТПП; количественную оценку технологичности конструкции изделий; технологический контроль конструкторской документации; подготовку и внесение изменений в конструкторскую документацию.
Рекомендуемые показатели технологичности конструкции изделий следующие: трудоемкость изготовления изделия, удельная материалоемкость (энергоемкость) изделия, технологическая себестоимость, удельная трудоемкость монтажа, коэффициенты применяемости материалов, унификация конструктивных элементов и сборность.
Номенклатура показателей зависит от вида изделия (деталь, сборочная единица, комплекс, комплект) и стадии разработки конструкторской документации (техническое предложение, эскизный проект, технический проект, рабочая документация).
Отработка конструкции изделия на технологичность должна обеспечивать на основе достижения технологической рациональности и оптимальности конструкторской и технологической преемственности максимальную экономическую эффективность при изготовлении и эксплуатации изделия.
При оценке технологичности конструкции необходимо учитывать методы получения заготовок, контроля и испытаний; возможность механизации и автоматизации; обеспечение (материалами, оборудованием и технологической оснасткой, кадрами рабочих и ИТР); эксплуатационные свойства и эксплуатационные расходы. К эксплуатационным свойствам относятся производительность, КПД, удельный расход энергии и топлива, долговечность, удобство обслуживания и ремонта, безопасность работы и др.
Работа по обеспечению технологичности конструкции изделия обычно состоит из подбора и анализа исходных материалов, необходимых для оценки технологичности конструкции; уточнения объема выпуска; анализа показателей технологичности аналогичных изделий; определения показателей производственной и эксплуатационной технологичности и сравнения их с показателями существующих конструкций; разработки рекомендаций по улучшению показателей технологичности. При этом необходимо учитывать передовой опыт и новые прогрессивные технологические методы и процессы.
Основное содержание отработки конструкции изделия на технологичность на различных стадиях разработки конструкторской документации приводится ниже (ГОСТ 14.201–83).
Техническое предложение – это выявление вариантов конструктивных решений и возможности заимствования составных частей изделия, новых материалов, технологических процессов и средств технологического оснащения; расчет показателей технологичности вариантов и выбор окончательного варианта конструктивного решения; технологический контроль конструкторской документации.
Эскизный проект – это анализ соответствия компоновок и членения вариантов конструкции изделия условиям производства, технического обслуживания и ремонта; расчет показателей технологичности вариантов и выбор вариантов конструкции изделия для дальнейшей разработки; технологический контроль конструкторской документации.
Технический проект – это выявление возможности применения покупных, стандартных, унифицированных или освоенных производством составных частей изделия; новых, в том числе типовых и групповых, высокопроизводительных технологических процессов; расчет показателей технологичности конструкции изделия и технологический контроль конструкторской документации.
Рабочая конструкторская документация: а) опытного образца (опытной партии) или изделия единичного производства (кроме разового изготовления) включает анализ возможности сборки изделия и его составных частей без промежуточных разборок; выявление возможности унификации сборочных единиц, деталей и их конструктивных элементов; установление экономически целесообразных методов получения заготовок; поэлементную отработку конструкции деталей и сборочных единиц на технологичность; расчет показателей технологичности конструкции изделия и технологический контроль конструкторской документации; б) серийного (массового) производства – окончательное принятие решений по совершенствованию условий выполнения работ при производстве, эксплуатации и ремонте, а также фиксацию этих решений в технологической документации; доведение конструкции изделия до соответствия требованиям серийного (массового) производства с учетом применения наиболее производительных технологических процессов и средств технологического оснащения при изготовлении изделия и его основных составных частей; оценку соответствия достигнутого уровня технологичности требованиям технического задания; корректировку конструкторской документации.
Различают два вида технологичности: производственную, которая состоит в сокращении затрат средств и времени на КПП, ТПП и на процессы изготовления, в том числе контроля и испытаний; эксплуатационную, проявляющуюся в сокращении затрат времени и средств на техническое обслуживание и ремонт изделия.
Этим же ГОСТом установлены два вида оценок: качественная, которая характеризует технологичность конструкции обобщенно на основании опыта исполнителя; количественная, выражающаяся показателем, численное значение которого характеризует степень удовлетворения требований к технологичности конструкции.
Показатели технологичности конструкции изделий этим ÃÎÑÒîì классифицируются следующим образом: по области проявления – на производственные и эксплуатационные; по области анализа – на технические и технико-экономические; по системе оценки – на базовые и разрабатываемые конструкции; по значимости – на основные и дополнительные; по числу характеризуемых признаков – на частные и комплексные; по способу выражения – на абсолютные и относительные.
Разработка технологических процессов
Для служб ТПП исходным документом является приказ руководителя предприятия, в котором определяется поэтапное выполнение мероприятий по технологической подготовке к выпуску изделия. На основании приказа планово-производственный отдел (ППО) предприятия составляет сетевой или комплексный план-график, в котором устанавливает этапы освоения изделия, перечень работ по ТПП и продолжительность их выполнения, состав подразделений-исполнителей и ответственных исполнителей по каждому подразделению.
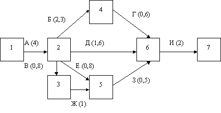
Примерный сетевой график показан на схеме 1: какие процессы, в какой очередности и в какие сроки должны быть осуществлены для реализации проекта. Исходные и результирующие данные в табл.1 и 2.
Таблица 1
Элементы проекта и время на их выполнение
|
Процесс |
Время осуществления, неделя |
Предшествующий процесс |
|
А. Изготовление рабочего чертежа |
4,0 |
|
|
Б. Изготовление модели для литейной формы для корпуса |
2,3 |
A |
|
В. Обточка шестерен |
0,8 |
A |
|
Г. Отливка и обработка корпуса под давлением |
0,6 |
Б |
|
Д. Заготовка и проверка подшипников, сальников и специальных деталей |
1,6 |
A |
|
Е. Обточка валов |
0,8 |
A |
|
Ж. Зубофрезерование |
1,0 |
В |
|
3. Термообработка |
0,5 |
Ж, Е |
|
И. Сборка |
2,0 |
Г, Е, 3 |
На схеме 13.7 все отдельные процессы объединены в общий проект в форме сетевого плана. При этом "узлы"– это места остановки производственного процесса. Они так пронумерованы, что из двух связанных стрелой узлов последующий имеет более высокий порядковый номер. Проект имеет 4 пути, время осуществления каждого дано в схеме 13.8. Путь, требующий наибольшего времени (на схеме 13.8 – 8,9 недели), можно определить как "критический путь". Можно выявить минимальное время, необходимое для реализации проекта. Другие пути показывают буферное время: 1,3; 1,6; 0,6 недели.

Схема 1. Сетевой план
Таблица 2
Критический путь
|
Путь |
Необходимое время |
|
1–2–4–6–7 |
4,0 + 2,3 + 0,6 + 2,0 = 8,9 |
|
1–2–6–7 |
4,0 +1,6+2,0 = 7,6 |
|
1–2–5–6–7 |
4,0 + 0,8 + 0,5 + 2,0 = 7,3 |
|
1–2–3–5–6–7 |
4,0 + 0,8 + l,0+ 0,5 + 2,0 = 8,3 |
При согласовании плана-графика соответствующими подразделениями и службами производится организационно-технический анализ производства, который включает: конструктивно-технологический анализ изделия; анализ существующих производственных мощностей и площадей; оснащенности производства технологическими процессами, оборудованием и оснасткой, а также анализ уровня механизации и автоматизации производственных процессов. При этом учитывают программу, номенклатуру осваиваемого изделия и организационно-техническую структуру предприятия.
Выполнение работ по ТПП учитывает ППО с целью получения информации о состоянии ТПП за любой календарный отрезок времени и использования ее для контроля за выполнением работ.
Для проведения учета используют следующие данные: номенклатуру выполненных работ; фактическую продолжительность выполнения работ; последовательность выполнения работ; движение трудовых и материальных ресурсов.
Периодичность и порядок ведения учета, выдачи, приема и хранения учетной документации определяются конкретными условиями производства и устанавливаются предприятием, осуществляющим ТПП. Учетная информация должна формироваться в соответствии со специализацией служб ТПП и быть достаточной для анализа и принятия решения всеми специализированными службами.
При наличии отклонений от установленных критериев принимают оптимальное решение по их устранению, а затем регулируют ход ТПП.
Предложения по уточнению планов работ с целью проведения регулирования процесса ТПП вносятся контролирующим органом – ППО. Изменения, вносимые в плановую документацию, утверждает руководство предприятия, осуществляющего ТПП. В процессе регулирования необходимо учитывать: затраты ресурсов на реализацию принимаемых решений, влияние этих решений на работу смежных подразделений и дальнейший ход ТПП.
Достижение единых технических требований к продукции (в т. ч. международных) осуществляется за счет их гармонизации на основе сертификации продукции и системы качества ее производства *. Сертификация в зависимости от статуса может быть обязательной и факультативной. Обязательной сертификации подлежит продукция, в НТД на которую имеются требования по безопасности и экологической совместимости. Сертификация продукции по эксплуатационным свойствам проводится по требованию потребителей или желанию производителя, в коммерческих целях. При подготовке к сертификации в коммерческих целях предприятие-изготовитель на основании маркетинговых исследований и технико-экономического анализа производства уточняет эксплуатационные свойства (показатели) продукции, при этом, как правило, их изменяют (повышают или в отдельных случаях понижают) исходя из запросов потребителей и декларируют в стандартах или технических условиях. Предприятие, для обеспечения высокой конкурентоспособности, должно максимально стремиться информировать потребителя о действительных различиях между своей продукцией и продукцией конкурентов.
С учетом рыночной ситуации любое изделие, как бы проходит цикл из четырех этапов: этап выведения на рынок; этап роста; этап зрелости; этап упадка. Этап выведения на рынок характеризуется медленным ростом сбыта и минимальными прибылями пока изделие проталкивают по каналам распределения. В случае успеха изделие вступает в этап роста, для которого характерны быстрый рост сбыта и увеличение прибылей. На этом этапе предприятия стремятся усовершенствовать изделие, проникнуть в новые сегменты рынка и каналы распределения, а также немного снизить цены. Затем следует этап зрелости, в рамках которого рост сбыта замедляется, а прибыли стабилизируются. Для оживления сбыта предприятия изыскивают различные новаторские приемы, предусматривающие в частности модификацию рынка, модификацию изделия и модификацию комплексного маркетинга. И, наконец, изделие вступает в стадию упадка, когда сбыт и прибыли сокращаются. Задача предприятия на этом этапе состоит в выявлении "дряхлеющих изделий" и принятия в отношении каждого из них решения либо о продолжении выпуска, либо о "понижении плодов", либо об исключении его из номенклатуры. В последнем случае изделие могут продать другому предприятию или просто снять с производства.
Общие правила разработки технологических процессов определяются ГОСТом 14.301–83.
Этим ГОСТом установлено три вида технологических процессов: единичный, типовой и групповой.
Технологический процесс разрабатывается для изготовления или ремонта изделия или для совершенствования действующего технологического процесса. Разрабатываемый технологический процесс должен быть прогрессивным. Прогрессивность технологического процесса оценивается показателем, устанавливаемым отраслевой системой аттестации технологических процессов. Технологический процесс должен соответствовать требованиям техники безопасности и промышленной санитарии.
Документы на технологические процессы следует оформлять в соответствии с требованиями стандартов "Единой системы технологи ческой документации"(ЕСТД). Исходная информация для разработки технологических процессов подразделяется на базовую, которая включает данные, содержащиеся в конструкторской документации на изделие, и программу выпуска этого изделия; руководящую, содержащую данные, которые находятся в следующих документах: отраслевых стандартах, устанавливающих требования к технологическим процессам, а также в стандартах на оборудование и оснастку; документации на действующие единичные, типовые и групповые технологические процессы; классификаторах технико-экономической информации; производственных инструкциях; материалах по выбору технологических нормативов (режимов обработки, припусков, норм расхода материалов и других); документации по технике безопасности и промышленной санитарии; справочную, включающую данные, которые содержатся в следующих документах: описаниях прогрессивных методов изготовления и ремонта; каталогах, паспортах, справочниках, альбомах; планировках производственных участков.
Основными этапами разработки технологических процессов являются: анализ исходных данных; выбор действующего типового, группового технологического процесса или поиск аналога единичного процесса; выбор исходной заготовки и методов ее изготовления; выбор технологических баз; составление технологического маршрута обработки; разработка технологических операций; нормирование технологического процесса; определение требований техники безопасности; расчет экономической эффективности технологического процесса; оформление технологических процессов.
Типовой технологический процесс должен быть рациональным в конкретных производственных условиях и разрабатываться на основе анализа множества действующих и возможных технологических процессов на производство типовых представителей групп изделий. Типизация технологических процессов базируется на классификации объектов производства и осуществляется на трех уровнях: государственном, отраслевом и на предприятии. Классификатор деталей (изделий) должен создаваться с использованием ЭВМ. Для этой цели в память ЭВМ необходимо ввести такую конструкторскую информацию: номер чертежа детали, вид и марку материала и его массу, габаритные размеры детали; вид поверхностей – плоскость, цилиндр, отверстие, резьба, зубчатая поверхность, шар, криволинейная поверхность и т. п. и их размеры; шероховатость поверхности и точность обработки и другие параметры. Все эти параметры должны быть закодированы.
Сортирование этих параметров (от высших к низшим) дает возможность создать группы деталей, сходных по конструкции и технологии их обработки, для которых возможно применение типовых технологических процессов, являющихся основой для разработки конкретных процессов.
Основные этапы разработки типовых технологических процессов определены ГОСТ 14.303–73*; к ним относятся: классификация объектов производства, их количественная оценка и анализ конструкций типовых представителей; выбор заготовки и методов ее изготовления; выбор технологических баз и вида обработки; разработка технологического маршрута и операций; расчет точности, производительности и экономической эффективности вариантов и оформление типовых технологических процессов.
Необходимость каждого этапа, состав задач и последовательность их решения определяются разработчиком типового технологического процесса.
Типовой технологический процесс может быть оперативным, отражающим прогрессивное состояние технологии в настоящий момент времени, и перспективным, предусматривающим его дальнейшее совершенствование с учетом развития науки и техники в области технологии.
Дальнейшим развитием типизации технологических процессов является разработка групповой технологии2, которая наиболее эффективна при небольших партиях обрабатываемых деталей и частой переналадке оборудования.
Групповой технологический процесс предназначен для совместного изготовления или ремонта группы изделий различной конфигурации.
Он должен состоять из комплекса групповых технологических операций, выполняемых на специализированных рабочих местах в последовательности технологического маршрута изготовления определенной группы изделий. При разработке групповых технологических операций следует предусматривать достаточную величину их суммарной трудоемкости для работы без переналадки технологического оснащения (допускается только частичная подналадка).
Основой разработки группового технологического процесса и выбора общих средств технологического оснащения является комплексное изделие, которое может быть одним из изделий группы или искусственно созданным (условным).
Групповые технологические процессы и операции разрабатываются для всех типов производства только на уровне предприятия в соответствии с требованиями ГОСТ 14.301–83* и ГОСТ 14.316–75*.
Исходная информация для разработки групповых технологических процессов и операций определяется по ГОСТ 14.303–73*. Руководящая информация дополнительно должна включать данные, содержащиеся в действующих групповых технологических процессах и операциях, классификаторах изделий, оборудования и оснастки. Справочная информация должна содержаться в документации на действующие типовые и единичные технологические процессы, в описаниях прогрессивных методов обработки, а также в ведомостях трудоемкости изделий и других нормативных материалах.
Основные этапы разработки групповых технологических процессов включают анализ исходных данных, группирование изделий, количественную оценку групп предметов, нормирование технологического процесса. Остальные этапы аналогичны основным этапам разработки типовых технологических процессов, определяемых ГОСТ 14.303–73*.
Правила организации группового производства определяются ГОСТом.
К специализированным подразделениям группового производства могут быть отнесены цехи и участки группового производства и групповые поточные линии.
Групповая технология создает условия для применения методов серийного и крупносерийного производства даже при небольшом числе изготовления каждого отдельного изделия, что позволяет использовать все преимущества серийного и крупносерийного производства.
Использование типовых и групповых технологических процессов позволяет повысить производительность труда и снизить себестоимость продукции за счет применения наиболее прогрессивного технологического оборудования, процесса производства в целом и оснастки. При этом сокращаются число разнообразных технологических маршрутов, трудоемкость и длительность технологической подготовки производства.
Проектируемые технологические процессы фиксируются в технологической документации: в маршрутных, операционных и операционно-инструкционных технологических картах.
Маршрутные карты содержат перечень цехов, а внутри цехов– перечень технологических операций ñ указанием оборудования, технологического оснащения, разряда работы и нормы времени по каждой операции. Они используются в условиях единичного и мелкосерийного производства, когда бывает их достаточно для обработки деталей или выполнения сборочных операций.
Операционные карты используются в серийном производстве и содержат перечень "переходов" операции с указанием оборудования для выполнения операции, режимов обработки и технологического оснащения по каждому "переходу", разряда работы, нормы времени по отдельным составляющим и на операцию в целом.
Операционно-инструкционные карты используются в массовом производстве и содержат более подробные указания по выполнению технологической операции, включая эскизы наладок, способы крепления и измерения деталей, организацию рабочего места.
Информация, формируемая в процессе создания технологической документации, должна быть пригодна для использования в АСУП и при создании гибких автоматизированных (автоматических) систем и производств.
Контрольные операции устанавливаются технологами в соответствии с требованиями чертежей и техническими условиями; они фиксируются в технологических картах. Для сложных и ответственных операций технического контроля разрабатываются специальные карты с указанием в них объекта контроля, места его выполнения, метода и средств контроля, допустимых отклонений.
При проектировании технологических процессов может разрабатываться несколько вариантов.
Выбирают тот вариант технологического процесса, который при всех прочих равных условиях дает возможность изготовить деталь при наименьших затратах на ее производство, т. е. по наименьшей себестоимости.
Себестоимость изготовления партии деталей Сn, определяемая при проектировании технологического процесса, рассматривается как сумма, состоящая из затрат двух видов: зависящих и не зависящих от числа деталей в партии:
Сn = pn + v.
К числу затрат на обработку одной детали p, зависящих от размера партии п, относятся расходы на основные материалы и заработную плату производственных рабочих, а также некоторые другие расходы. К числу затрат v, не зависящих от числа деталей в партии, относятся расходы по подготовке работы (операции) и ее технологической оснастке, по наладке оборудования, инструктажу и т. п. Эти затраты определяют сперва на партию в целом, а затем приводят на одну деталь.
Себестоимость изготовления одной детали Сд при запуске в обработку партии деталей п шт. определяется по формуле
Сд = p + v / n
1 Партией деталей принято называть число одноименных деталей n, запускаемых одновременно в производство и обрабатываемых с одной наладки.
Пример.
Если сумма затрат, производимых па партию детален независимо от ее размера v = 600 руб., а затраты, производимые на каждую деталь, p / n = 0,4 руб., то при партии деталей n = 550 шт. себестоимость изготовления каждой детали равна:
Сд = 0,4 + 600 / 550 = 1,49 руб.,
а себестоимость изготовления всей партии:
Сn = 0,4 *500 +600 = 820 руб.
На рис. 2 приведен график сравнения двух вариантов технологического процесса: в первом варианте v' = 270 руб. и p' = 1 руб., а во втором варианте v" = 600 руб., p" =0,4 руб. Из графика видно, что при партии деталей n = 550 шт. себестоимость изготовления по этим двум вариантам одинакова (линии затрат Cд = 1,49 руб. и Cn = 820 руб. пересекаются в точке, соответствующей n = 550 шт.).

Рис.2. График сравнения двух вариантов технологических процессов
Сравнивая два варианта разрабатываемого технологического процесса, выбирают тот из них, который при заданной величине размера партии обеспечивает наименьшую себестоимость.
Проектируемый технологический процесс записывают в технологических картах, на основе которых составляют материальные спецификации и ведомости требуемого инструмента и другой оснастки.
Технологические карты составляются в виде: а) маршрутных; б) операционных; в)инструкционных.
а) Маршрутные карты используются в единичном и мелкосерийном производстве с большой номенклатурой выпускаемой продукции. Составлением маршрутных карт заканчивается разработка технологического процесса. Эти карты служат основой для межцехового планирования (расцеховки) на предприятиях этих типов производства.
б) Операционные или попереходные технологические карты, содержащие все необходимые данные по разработанному технологическому процессу, составляются на предприятиях крупносерийного и массового производства на основе маршрутных карт.
в) Инструкционные карты составляются главным образом в массовом производстве, для наиболее сложных и трудоемких операций, и предназначаются для непосредственного использования рабочими. В инструкционной карте подробно описывается не только содержание данной операции, режимы, оснастка и пр., но и основные приемы работы.
Материальные спецификации составляются в виде перечня необходимых для изготовления деталей конкретного наименования основных материалов с указанием марки, сорта, размера и количества по каждому сорторазмеру.
Ведомости требуемого инструмента, так же как и материальные спецификации составляются на основе технологических операционных карт и служат основой для планирования потребности производства в инструментах и другой оснастке.
Новые технологические процессы обычно не сразу. внедряются в производство, а сначала подвергаются проверке в экспериментальных цехах, после которой в основных цехах производится отладка. Проверка и отладка проводятся при выпуске пробных серий под непосредственным руководством технологов. При этом проверяются и корректируются не только запроектированные технологические процессы, но и конструкции инструментов и приспособлений, а также намеченные режимы обработки, нормы времени и расценки.
Экспериментирование в области технологии имеет целью изыскание, а в дальнейшем и освоение новых, более совершенных технологических процессов получения заготовок, механической и термической обработки деталей, сборки узлов и машин, а также более производительных режимов резания, сварки и т. п. Экспериментирование проводится не только в порядке текущей технической подготовки, но и по плану научно-исследовательских работ.
Документация по технологическому процессу, утвержденная главным инженером завода, является, наравне с конструкторской документацией, важнейшим техническим документом, отступление от которого (без соответствующего разрешения) является нарушением технологической дисциплины.
Строгое соблюдение технологической дисциплины является важнейшим условием успешного выполнения государственного планового задания, скорейшего освоения новой техники, правильного использования средств производства, экономии времени, материалов и энергии.
На машиностроительных предприятиях выпускаются детали, чрезвычайно разнообразные как по исходному материалу, конфигурации и размерам, так и по требованиям точности и чистоты изготовления. Проектирование и внедрение различных технологических процессов по большому числу деталей представляет собой весьма трудоемкую и дорогостоящую работу. Это определяет необходимость разработки типовых технологических процессов.
Типовые технологические процессы разрабатываются на основе классификации деталей, по которой все изготовляемые на заводе детали разбиваются на классы, классы — на группы, группы — на подгруппы по следующим признакам: исходный материал, конфигурация, размеры и чистота обрабатываемых поверхностей детали. Типизация технологических процессов имеет большое значение для систематизации, обобщения и распространения передовых высокопроизводительных технологических процессов. Типизация технологических процессов сокращает трудоемкость технологической подготовки в 2—3 раза, а технологическую документацию в 8—10 раз. Типовые технологические процессы широко применяются главным образом при механической и термической обработке деталей в условиях мелкосерийного и единичного производств. Необходимо расширить применение типизации технологических процессов литья, ковки и сборки.
Технологическая подготовка производства на заводе выполняется службой главного технолога. На крупных заводах технологическая подготовка производства в горячих цехах производится отделом главного металлурга или под его непосредственным руководством. Технологическая подготовка на машиностроительных заводах может быть организована по централизованной, децентрализованной или смешанной системе.
При централизованной системе технологическая подготовка сосредоточивается в общезаводском технологическом отделе (отделе главного технолога). Централизованная система применяется в массовом и крупносерийном производствах. На рис.3 показана примерная схема организационной структуры технологического отдела машиностроительного предприятия.
Децентрализованная система предполагает рассредоточение технологической подготовки по основным производственным цехам завода. Технологические бюро этих цехов самостоятельно разрабатывают технологические процессы и их оснастку. Такая система применяется в единичном производстве при значительной номенклатуре выпуска машин, их узлов и деталей и частых изменениях этой номенклатуры. При децентрализованной системе отдел главного технолога завода осуществляет лишь общее методическое руководство цеховыми технологическими бюро.
Смешанная система организации технологической подготовки заключается в том, что разработка проводится частично (маршрутная технология) в отделе главного технолога и частично (операционная технология) в цеховых технологических бюро. Такая система применяется в серийном производстве.
Состав и организационная структура технологического отдела (отдела главного технолога) зависит от масштаба и характера его работы.

Рис. 3. Схема организационной структуры технологического отдела машиностроительного предприятия
Разработка, приемка и передача в производство новых технологических процессов в соответствии с требованиями стандартов ИСО серии 9000
Техническое задание, составляемое исполнителем на основе заявки заказчика, – исходный документ для разработки технологического процесса.
Стороны (лица), принимающие участие в разработке и реализации технологической документации, могут выступать в роли заказчика, исполнителя (разработчика) и потребителя.
Заказчиком является лицо, по договору с которым или по принятой от него заявке разрабатывается технологический процесс. Заказчик предъявляет разработчику исходные требования к разработке; согласовывает техническое задание на разработку; принимает технологические процессы и определяет сферы их применения. Заказчик отвечает за технико-экономическую обоснованность исходных данных для разработки, за их соответствие (норм, показателей, требований) современному уровню развития науки, техники и производства. Исполнитель (разработчик) в соответствии с требованиями заказчика разрабатывает техническое задание, согласовывает его с заказчиком и другими заинтересованными предприятиями (организациями), разрабатывает необходимую документацию, отвечает за комплектность, качество и сроки передачи документации заказчику и осуществляет авторский надзор при ее использовании.
В основу разработки технологических процессов положены два принципа: технический и экономический. В соответствии с техническим принципом проектируемый технологический процесс должен полностью обеспечивать выполнение всех требований рабочего чертежа и технических условий на изготовление заданного изделия. В соответствии с экономическим принципом изготовление изделия должно вестись с минимальными затратами труда и издержками производства. Технологический процесс изготовления изделий должен выполняться с наиболее полным использованием технических возможностей средств производства при наименьших затратах времени и себестоимости изделий.
Постоянное прогрессирование технологических процессов является условием успешной конкурентной борьбы предприятий за рынки сбыта. Для целенаправленных действий по их качеству руководствуются требованиями, изложенными в стандартах ИСО серии 9000, обеспечивающих использование опыта зарубежных фирм, предусматривающего планирование производственных операций в управляемых условиях, определенным образом и в определенной последовательности. Управляемые условия включают соответствующее управление материалами, производственным оборудованием, процессами и процедурами, программным обеспечением ЭВМ, персоналом, поставками, оснащением и производственной средой. Производственные операции должны быть достаточно подробно определены в технологической документации, технологическая документация — ориентироваться на полное и точное описание технологических методов (кроме фрагментов, устанавливающих, что сделать, приводят сведения, как сделать). Формирование основных поверхностней деталей и сборочных единиц, определенных “Классификатором основных поверхностей деталей и сборочных единиц, влияющих на создание резервов технологической точности (резервов качества) изделия”, должно производиться стандартизованной
Под резервом технологической точности (резервом качества) понимается положительная разность между величиной допуска и полем рассеивания каких-либо параметров деталей (сборочных единиц, изделий), т. е тот запас резерва качества (резерва на эксплуатацию) с которым погрешности вписываются в пределы поля допуска. Таким образом, при одинаковых технических требованиях (стандартах), качество изделия будет выше там, где имеются большие резервы технологической точности. Это можно проиллюстрировать следующим примером. Известно, что отечественные допуски и допуски шведской фирмы СКФ на подшипники качения примерно одинаковы Однако долговечность и надежность подшипников фирмы СКФ в среднем выше, так как они выпускаются с, большими резервами технологической точности (у подшипников указанной фирмы детали имеют более точную форму и лучшее качество поверхности, а их размеры — меньшее рассеивание) То же самое можно сказать и о металлорежущих станках, нормы точности (резервы технологической точности) которых примерно одинаковы, но ресурсы работы отечественных станков и станков лучших зарубежных фирм значительно отличаются Так, при изготовлении станков резервы точности у лучших японских фирм составляют 60—70%, т е указанные фирмы используют при изготовлении станков только 25—40% поля допуска или специальной технологической оснасткой и/или на специальных станках, а также станках типа “обрабатывающий центр” (классификатор разрабатывается конструкторским подразделением, дополнительно к комплекту “рабочая конструкторская документация”). С целью создания условий управляемости технологическим процессом, в технологической документации четко определяются контрольные операции, выборки контроля, план и форма карт контроля, контроль первой и последней операции, операции настройки технологических средств и средств измерений, сменяемости оснастки и т. д.; рассмотрены методы и средства поддержания (в допустимых пределах) рабочих условий окружающей среды (температуры, влажности, запыленности и т. д.). В случаях повышенной зависимости качества изделия от свойств материалов и комплектующих изделий, приводятся методы и средства их входного контроля. Особое внимание уделяется операциям обеспечения безопасности изделия (электробезопасности, шумовым характеристикам, опасности из-за отказов и г. д.), а также возможности прослеживаемости и документирования результатов обработки (сборки) я контроля.
Основным технологическим документом, в соответствии с международными стандартами ИСО серии 9000, является рабочая инструкция (РИ). В РИ излагают общие (имеющие постоянный характер) требования к выполнению технологических операций на конкретном рабочем месте, в том числе действия рабочих и технологических средств и требования техники безопасности.
При необходимости, в дополнение к РИ, разрабатывают технологические инструкции (ТИ). В ТИ приводят переменные технологические параметры технологического процесса (операции) —режим обработки и методы достижения запасов технологической точности (резервов качества) для конкретного рабочего места.
Для управления технологическим процессом и наглядности восприятия его маршрута рекомендуется разрабатывать технологическую схему. На схеме символами (табл. 2.1) указываются: наименование и номера цехов, участков, рабочих мест; сведения о применении в разрабатываемом технологическом процессе действующих на предприятии СТП, РИ, ТИ; операции и мероприятия по приемке, складированию и транспортированию исходного сырья, материалов " комплектующих изделий; операции обработки и контроля при обработке; операции сборки и контроля при сборке; операции приемки (испытаний); операции транспортирования и складирования готовой продукции.
Для процессов, которые уже осуществляются в производстве, целесообразно проанализировать запроектированную схему на соответствие с реально существующей, при наличии различий производится их обсуждение. Конечной целью анализа и обсуждения является неуклонное соблюдение технологической схемы в реальных условиях производства. Схема утверждается совместно с технологической документацией на изделие.
РИ и схемы выполняют на листах формата А4 (ГОСТ 2.301—68) или формах аналогичных ТИ (ГОСТ 31105—81); ТИ—на листах формата À4 или формах аналогичных ТИ (ГОСТ 31105—81) и (или) бланках операционных карт технологического процесса (предпочтительно типовых) соответствующего вида формообразования — обработки резанием, литья, ковки и горячей штамповки, холодной штамповки, сварки, пайки и лужения, лакокрасочных и гальванических покрытий, слесарных и слесарно-сборочных работ и т.д., с разработкой и оформлением (при необходимости) эскизов обрабатываемой детали (в соответствии с требованиями ГОСТ 3.1105—81). При формировании полного комплекта технологического процесса применяются и другие формы ЕСТД.
При внедрении в организации (на предприятии) системы заключения трудовых соглашений с разработчиками технологической документации на контрактной основе, устанавливающей обязательность полного гаранта качества выполненных работ, метрологический контроль и нормоконтроль документации не проводится.
Выводы
Производственный процесс -это процесс преобразования затрат (вход) в результат (выход).
Производственный процесс-это совокупность процессов труда и естественных процессов, необходимых для изготовления определенного вида продукции.
Основной продукцией предприятия являются разного рода изделия. Различают изделия основного и вспомогательного производства.
По роли в общем процессе изготовления продукции существуют процессы: основные, вспомогательные, обслуживающие.
Важнейшие принципы организации производственного процесса: пропорциональности, параллельности, непрерывности, прямоточности, ритмичности, специализации, автоматичности, гибкости, системности, оптимальности.
Производственный цикл -это календарный период времени, в течении которого предмет труда проходит все стадии производственного процесса.
Производственный цикл состоит из двух частей: рабочего периода и времени перерывов.
Производственный цикл определяется характером производимой продукции, технологическим процессом, уровнем техники и организации производства.
В производственном процессе существует три вида движения предметов труда: последовательный, параллельный, параллельно-последовательный.
Тип производства обуславливается специализацией, объемом и постоянством номенклатуры изделий, а также формой движения изделий по рабочим местам.
Главным показателем характеризующим тип производства является коэффициент закрепления операций. Он показывает отношение числа различных технологических операций подлежащих выполнению в течении месяца к числу рабочих мест.
Существует три типа производства: серийный -ограниченная номенклатура изделий изготавливается партиями (сериями) с широкой специализацией; массовый -непрерывное изготовление ограниченной номенклатуры на узкоспециализированных рабочих местах; единичный -изготовление широкой номенклатуры в единичных количествах повторяющихся через неопределенные промежутки времени или вовсе неповторяющихся, на рабочих местах не имеющих определенной специализации.
По преобладающему типу производства определяются и тип участка, цеха, завода.
Технологическая подготовка -это совокупность мероприятий обеспечивающих технологичность производства и базируется на единой системе технологической подготовки производства (ЕСТПП).
Технологическая подготовка решает следующие задачи: обеспечение технологичности конструкции, разработка технологических процессов и методов контроля, проектирование и изготовление технологической оснастки, организация и управление процессом ТПП.
Конструкторская документация включает: техническое предложение, эскизный проект, технический проект.
Достижение единых технических требований к продукции осуществляется на основе сертификации продукции и системы качества ее производства. Сертификация может быть обязательной и факультативной.
Исходная информация для разработки технологических процессов включает: базовую, руководящую, справочную.
Основные этапы разработки технологических процессов: анализ исходных данных, выбор действующего типового проекта или аналогичного, выбор исходной заготовки и методов ее изготовления, выбор технологических баз, составление технологического маршрута обработки, разработка технологических операций, нормирование технологического процесса, определение требований техники безопасности, расчет экономической эффективности технологического процесса, оформление технологических процессов.
Проектируемые технологические процессы фиксируются в технологической документации: в маршрутных, операционных, операционно-инструкционных картах.
Экономическая целесообразность выбранного варианта технологического процесса определяется минимальной себестоимостью изготовления деталей из нескольких.
Технологическая подготовка производства выполняется службой главного технолога.
Список литературы
Для подготовки данной применялись материалы сети Интернет из общего доступа