Стратегии обеспечения материальными ресурсами различных предприятий
Стратегии обеспечения материальными ресурсами различных предприятий
Существуют различные стратегии обеспечения материальными ресурсами различных предприятий. Одной из таких стратегий является модель, которая состоит из регионального склада и нескольких терминалов. Рассмотрим эти модели. Иллюстрация модели с одним терминалом приведена на рис. 8.3, а модель с двумя терминалами показана на рис. 8.4.
Введем обозначения:
t0, t1-1, t1-2, t2 – время перегрузки на терминалах 0, 1, 2;
l0-1, l1-2 – расстояние между терминалами 0–1 и 1–2;
U, V– скорость соответственно груженого и порожнего составов между терминалами (0–1; 1–2); nв – число вагонов, имеющихся на участке между терминалами (0–1; 1–2); qc – грузоподъемность состава (т/состав), эксплуатируемого между терминалами (0 и 1; 1 и 2):
qc = qв * nв, ... 0,
qв –грузоподъемность одного вагона, т/вагон;
nв – число вагонов в составе, ед.
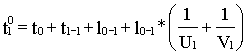
Для разработки стратегии для этих вариантов необходимо знать время оборота состава. Для случая, представленного на рис. 8.3, время оборота составит
.
(8.28)
Если же мы будем считать, что составы используются в непрерывном режиме, то интервал времени одинаков и равен tu или

Рис. 8.3. Иллюстрация модели с одним терминалом

Рис.8.4. Иллюстрация модели с двумя терминалами
.
(8.29)
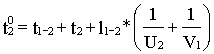
Для случая, представленного на рис. 8.4, время оборота составит:
,
(8.30)
.
(8.31)
Проанализируем эти модели. Начнем с
первой. Рассмотрим уравнение (8.29):
регулярное обслуживание составов при
перевозке соответствующего количества
груза предполагается за определенное
время. Причем продолжительность
перегрузки не оказывает влияния на
рабочий ход составов при небольшом их
числе, так как интервал между прибытиями
tu двух составов достаточно велик, т.е.
tu
t1.
Другими словами, состав не должен прибывать на терминал 1 до тех пор, пока не отойдет предыдущий. При таком положении дел грузоподъемность железнодорожного транспорта возрастает пропорционально увеличению числа занятых составов.
Если же временной интервал tu уменьшается до момента, когда tu < t1, то приведенная ситуация теряет смысл, так как следующий состав, прибывающий под погрузку, должен ждать разгрузку предыдущего состава.
Поясним данную ситуацию. Если время разгрузки в терминале 1 больше времени разгрузки в терминале 0, т. е. t1 > t0, то в терминале 0 не случается задержек составов. Все составы отходят с равными интервалами t1:
В этих обстоятельствах увеличение числа
вагонов (nв) в составе, где
приведет
не к дальнейшему возрастанию
производительности системы перевозок
(см. точку А на рис. 8.5.), а лишь к созданию
резервной мощности МZ1.
(8.32)
где
–
число вагонов в составе.
Производительность системы перевозок в этих условиях (см. рис. 8.5.) определим по формулам:
;
(8.33)
.
Графическая зависимость производительности системы перевозок от числа транспортных средств в случае модели с одним терминалом показана на рис. 8.5.
Точка А на рис. 8.5., в которой кривая достигает горизонтальной поверхности, соответствует ситуации, когда дальнейшее увеличение числа транспортных средств в рамках рассматриваемой системы приведет не к возрастанию объема перевозок, а лишь к возрастанию резервной мощности системы перевозок.
Можно сделать вывод, что эффективность перегрузочных операций играет существенную роль с точки зрения общей производительности транспортной системы.
Рассмотрим вторую модель – региональный склад с двумя терминалами. Для этого используем числовой пример (см. табл. 8.5) и изобразим графически зависимость производительности системы перевозок от числа транспортных средств в случае модели с двумя терминалами.

Рис. 8.5. График зависимости производительности системы перевозок от числа транспортных средств (составов) в случае модели с одним терминалом
Таблица 8.6
|
Показатель |
Условные |
Единица |
Терминалы 0–1,2 |
|
|
системы |
обозначения |
измерения |
система 1 |
система 2 |
|
1. Грузоподъемность вагона |
q |
Т |
9 |
9 |
|
2. Число вагонов в составе |
nв |
ед. |
5 |
8 |
|
3. Максимальная грузоподъемность состава |
qc |
т |
45 |
72 |
|
4. Скорость состава: груженого порожнего |
U V |
км/ч км/ч |
40 60 |
30 60 |
|
5. Расстояние перевозок |
l |
км |
120 |
240 |
|
6. Продолжительность перегрузки в том числе максимальная |
t max |
ч ч |
t0=2 t1-1=2 2 |
t1,2 = 4 t2=4 3 |
|
7. Время оборота вагона |
|
ч |
9 |
19 |
|
8. Оптимальное количество вагонов |
|
ед. |
4,5 |
6,3 |
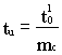
Значения оптимального количества
вагонов
,
которые отмечены узловыми точками 1 и
2 на рис. 8.3 и 8.4, определяем путем деления
времени оборота на максимальную
продолжительность перегрузки в каждой
системе.
Система 1:
=
/
tmax = 9 / 2 = 4,5 вагона.
Система 2:
=
t1 / tmax = 19 / 3 = 6,3 вагона.
Рассмотрим систему, в которой грузы, находящиеся на региональном складе, нужно погрузить в вагоны на терминале 0 (см. рис. 8.4) и доставить на терминал 1, где они должны быть выгружены на платформу (или временное хранение), а затем снова погружены в другие вагоны для транспортировки на терминал 2. На терминале 2 грузы выгружают для окончательной доставки к месту назначения.
В другом варианте грузы могут быть выгружены из вагона на терминале 1 и погружены в другие вагоны для отправки к месту назначения.
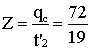
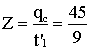
В табл. 8.5 представлены показатели, характеризующие ту или иную железнодорожную систему, а на рис. 8.6 – необходимое для проведения соответствующих расчетов графическое изображение двух систем по данным табл. 8.5. Оптимальное количество вагонов в первой системе равно 4,5 (t'0 / tmax = 9 / 2), во второй – 6,3 (19 / 3). Производительность рассчитывается по формуле:
.
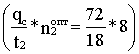
Для первой системы:
=
5 т/ч.

Рис. 8.6. График зависимости производительности системы перевозок от числа транспортных средств в случае с двумя перевалочными пунктами
Производительность в точке Е : Z *
=
5 * 4,5 = 22,5 т в час; в точке P1: 5 * 4 = 20 т в час.
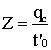
Для второй системы:
=3,8
т в час;
в точке S: 3,8 * 6,3 = 23,9 т в час;
в точке Q1: 3,8 * 3 = 11,4 т в час;
в точке Q2: 3,8 * 4 = 15,2 т в час;
в точке Q3: 3,5 * 5 = 17,5 т в час и т.д.
Из расчетов видно, что для первой системы оптимальная производительность составит 22,5 т, а для второй – 23,9 т. Все точки, размещенные на кривой 1 справа от точки Е, представляющие пять и более вагонов для системы 1, будут давать производительность выше 22,5 т, но рассматривать их не будем, так как это считается резервной мощностью.
Чтобы использовать резервную мощность, необходимо пересмотреть время перегрузочных операций и интервал поступления составов между терминалами. Производительность перегрузочных операций можно уменьшить улучшением организации труда, сверхурочными работами, заменой непроизводительного перегрузочного оборудования производительным, повышением механизации работ и т.д.
Например, в системе 1 продолжительность
перегрузки на терминале 1 (t11) уменьшим
с 2 до 1 ч, а в системе 2 (t12) – с 3 ч до 2 ч.
Соответственно и оборот вагонов
уменьшится с 9 до 8 ч в первом случае и с
19 до 18 ч – во втором. Тогда оптимальное
количество вагонов будет 8 (8 / 1) вместо
4,5 и 9 вместо 6,3 (t'2 / tmax = 18 / 2). Изменилась
и оптимальная производительность: в
системе 1 с 22,5 т в час до 44,8 т в час.
;
в системе 2: с 36 т в час
до
23,9 т в час.
Следовательно, производительность всей системы зависит от двух факторов: уровня использования транспортных средств и эффективности перегрузочных операций.
Список литературы
Для подготовки данной применялись материалы сети Интернет из общего доступа