Характеристика систем складирования и размещения запасов
Характеристика систем складирования и размещения запасов
Эффективность логистической системы зависит не только от совершенствования и интенсивности промышленного и транспортного производства, но и складского хозяйства. Складское хозяйство способствует: сохранению качества продукции, материалов, сырья; повышению ритмичности и организованности производства и работы транспорта; улучшению использования территорий предприятий; снижению простоев транспортных средств и транспортных расходов; высвобождению работников от непроизводительных погрузочно-разгрузочных и складских работ для использования их в основном производстве.
Складирование продукции необходимо в связи с имеющимися колебаниями циклов производства, транспортировок и ее потребления. Склады различных типов могут создаваться в начале, середине и конце транспортных грузопотоков или производственных процессов для временного накапливания грузов и своевременного снабжения производства материалами в нужных количествах. Временное складирование (накапливание) продукции обусловлено характером производства и транспорта. Оно позволяет преодолеть временные, пространственные, количественные и качественные несоответствия между наличием и потребностью в материалах в процессе производства и потребления. Кроме операций складирования грузов, на складе выполняются еще и внутрискладские транспортные, погрузочные, разгрузочные, сортировочные, комплектовочные и промежуточные перегрузочные операции, а также некоторые технологические операции и т.д. Поэтому склады следует рассматривать не просто как устройства для хранения грузов, а как транспортно-складские комплексы, в которых процессы перемещения грузов играют важную роль. Работа этих комплексов носит динамический, стохастический характер ввиду неравномерности перевозок грузов.
Следует иметь в виду, что склады способствуют преобразованию грузопотоков, изменяя параметры принимаемых и выдаваемых партий грузов по величине, составу, физическим характеристикам входящих грузов, времени отправки транспортных партий и т.д.
Склад – здания, сооружения, устройства, предназначенные для приемки и хранения различных материальных ценностей, подготовки их к производственному потреблению и бесперебойному отпуску потребителям. Примерная номенклатура складов машиностроительных заводов приведена в табл. 1.
Таблица 1
Примерная номенклатура складов машиностроительных заводов
|
Наименование |
Тип склада |
Место расположения |
|
|
1. Общезаводские склады |
|
|
Центральный материальный склад (главный магазин) |
Закрытый отапливаемый |
На территории завода вблизи от железнодорожных путей и автодорог |
|
Склад отдела внешней кооперации (литья, поковок, штамповки) |
Закрытый неотапливаемый |
При небольших количествах изделий совмещается с цеховыми кладовыми |
|
Склад комплектующих изделий |
Закрытый отапливаемый |
При небольших количествах изделий совмещается с главным магазином |
|
Склады металлов |
Открытые площадки, навесы, закрытые холодные и отапливаемые |
В блоке с заготовительными участками, штамповочными или кузнечными цехами |
|
Склад пиломатериалов |
Открытая площадка, навес |
В блоке с тарным цехом |
|
Склад угля |
Открытая площадка |
При котельной, ТЭЦ, ГГС |
|
Склады шихтовых и формовочных материалов |
Закрытые |
В блоке с линейными цехами |
|
Центральный инструментальный склад (ЦИС) |
Закрытый отапливаемый |
В блоке с главным магазином или инструментальным цехом |
|
Центральный абразивный склад (ЦАС) |
Закрытый отапливаемый |
В блоке с главным магазином или абразивным цехом |
|
Склад нефтепродуктов |
Подземные и наземные резервуары |
На территории завода вблизи от цеха-потребителя |
|
Склад масел и ядохимикатов |
Закрытые отапливаемые |
В изолированном помещении или в блоке с цехом-потребителем |
|
Склады сжатых газов и карбида кальция |
Закрытые холодные |
На территории завода в изолированном помещении |
|
Склад ремонтно-строительных материалов |
Закрытый холодный, навес или открытая площадка |
На территории завода |
|
Склад запасных частей и оборудования ОГМ |
Закрытый холодный |
На территории завода |
|
Склад готовых деталей |
Закрытый отапливаемый |
На территории завода в подчинении ПДО |
|
Склады готовой продукции: готовых машин |
Закрытый или открытая площадка |
Склад отдела сбыта при цехе-отправителе |
|
готовых средних и мелких изделий |
Закрытый отапливаемый |
Общезаводской склад сбыта |
|
Склады заготовок |
Закрытый отапливаемый |
Блокируется с заготовительными цехами |
|
|
II. Цеховые склады |
|
|
Межоперационные кладовые |
Закрытые отапливаемые |
На механическом участке цеха |
|
Кладовые готовых деталей и полуфабрикатов |
Закрытые отапливаемые |
Непосредственно в цехах |
|
Кладовые штампов и приспособлений |
Закрытые отапливаемые |
Непосредственно в цехах |
|
Инструментальные кладовые |
Закрытые отапливаемые |
Непосредственно в цехах |
|
Кладовые сырья и вспомогательных материалов |
Закрытые |
Непосредственно в цехах |
Склады промышленных предприятий и фирм классифицируются следующим образом:
по характеру деятельности, т.е. по назначению: материальные (снабженческие) склады, внутрипроизводственные (межцеховые и внутрицеховые), сбытовые;
по виду и характеру хранимых материалов: универсальные и специализированные;
по типу конструкции: закрытые, полузакрыты, открытые, специальные (например, бункерные сооружения, резервуары);
по месту расположения и масштабу действия: центральные, участковые, прицеховые;
по степени огнестойкости: несгораемые, трудносгораемые, сгораемые.
Учитывая потенциальное значение складского хозяйства, логистическая система рассматривает проблемы стратегического размещения материальных ресурсов и изучает такие вопросы:
Какой уровень материальных ресурсов следует иметь на каждом транспортно-складском комплексе для обеспечения требуемого уровня обслуживания потребителей?
В чем состоит компромисс между уровнем обслуживания потребителя и уровнем материальных ресурсов в системе логистики?
Если продукция размещается между стадиями, или эшелонами, где одна стадия пополняет другую (в многоэшелонной системе), какие стадии какими ресурсами должны располагать?
Должна ли продукция отгружаться непосредственно с предприятия?
Каково значение компромисса между выбранным способом транспортировки и материальными запасами?
Каковы общие уровни материальных запасов на фирме, связанные со специфическим уровнем обслуживания?
Как и где следует размещать страховые запасы?
Как меняются затраты на содержание продукции в зависимости от количества складов?
В сети распределения продукции имеется несколько маршрутов (или физических каналов). Выбор нужного маршрута существенно влияет на уровень обслуживания потребителя и на уровень совокупных запасов в системе распределения. Это влияние должно тщательно учитываться при выборе метода распределения, включающего такие аспекты, как способ транспортировки, отгрузка непосредственно с предприятия или через систему отраслевых складов, число эшелонов и связанное с ним размещение запасов.
1. Способ транспортировки. Способ транспортировки оказывает непосредственное воздействие на уровень запасов и уровень обслуживания потребителя. Различные способы транспортировки требуют разных затрат и разного времени. Все это должно анализироваться и учитываться при выборе структуры логистической системы.
2. Непосредственная отгрузка с предприятия или через отраслевые склады. Наиболее стандартный тип движения продукции (двухэшелонный поток) представлен на рис. 1. Завод отгружает в отраслевые склады, а из этих складов – розничным торговцам. Заказы розничных торговцев выполняются из запасов, имеющихся в отраслевых складах.

1. Стандартное двухэшелонное движение продукции:
I – предприятие розничной торговли
Альтернативный вариант распределительного потока включает прямое распределение с завода всем потребителям или непосредственное распределение только тем потребителям, размер заказов которых оправдывает прямую отгрузку. Остальные обслуживаются с отраслевых складов.
При наличии одного вида продукции отгрузка потребителям может классифицироваться по классу обслуживания: постоянная, сезонная, временная. Такой метод особенно уместен при большом числе потребителей. Если их число невелико, скажем несколько сотен, как часто бывает при распределении многих видов промышленной продукции, то следует пользоваться информацией по каждому отдельному потребителю.
В случае распределения многих видов продукции существует несколько возможных маршрутов от продуцента к потребителям; некоторые из них показаны на рис. 2. Продукция может отгружаться с завода потребителю, поступать с завода потребителям через региональный склад или по маршруту: завод – региональный склад – местный склад – потребители. Если число альтернатив становится чрезмерно большим, анализ может потребовать компьютеризации.
В некоторых случаях процесс хранения продукции состоит из нескольких этапов. Многие отрасли (например, электронная) требуют хранения множества видов запасных частей. Некоторые из этих частей требуются редко, но потребитель нуждается в немедленной их замене в случае поломки. Такие детали могут храниться в национальном, региональном, местном складах или в некоторых дополнительных эшелонах. Вообще при наличии нескольких эшелонов запасы могут контролироваться на базе поштучной замены (т. е. при использовании позиции она пополняется) в случае редко используемых позиций или на базе координированного пополнения (т. е. на базе использования системы точки заказа) – в случае часто используемых позиций.

Рис. 2. Возможная модель распределения завод – потребитель (многопозиционное распределение).
3. Число эшелонов и связанное с ним размещение запасов. В многоэшелонной структуре имеется много вариантов размещения запасов. Запасы могут размещаться как на центральных предприятиях, так и на филиальных. Проблему представляет правильное определение места хранения страхового запаса, который может храниться как на центральных, так и на филиальных предприятиях.
Теоретических основ для оценки стратегии размещения запасов в многоэшелонной системе не существует. Американские специалисты исследуют две стратегии для многоэшелонной системы. Первая стратегия заключается в том, что запасы (в том числе страховые) концентрируются на центральных предприятиях, а вторая – в том, что страховой запас размещается на филиальных предприятиях. Величина страхового запаса зависит от времени доставки. Объединенная система концентрирует запасы на филиальных предприятиях, а центральные предприятия используются в основном для отдельной стадии снабжения.
Компромисс между этими стратегиями зависит от формирования на предприятиях сложившихся условий, системы запасов, и часто оказывается трудным выбрать систему.
Система логистики рассматривает запасы как необходимый фактор обеспечения определенного уровня обслуживания потребителей. В свою очередь потребители считают причинами образования запасов обеспечение непрерывности производственного процесса, стремление сгладить контурные колебания и обеспечить быструю отгрузку при неожиданном спросе различных видов продукции. Поэтому важной составной частью концепции логистики является управление запасами, которая предлагает пути оптимизации запасов и их минимизации, а также устройства для хранения материалов и подъемно-транспортные механизмы для осуществления переработки продукции.
Оборудование для хранения материалов и определение его количества
Оборудование для хранения грузов можно подразделить по роду хранимых материалов: для хранения штучных крупногабаритных, тарноштучных, сыпучих, жидких и газообразных грузов в соответствии с физическим состоянием и характеристиками грузов.
Штучные грузы могут храниться на складах в штабелях (в плоских, стоечных или ящичных поддонах) или на стеллажах, типы и параметры которых зависят от хранящихся грузов, а также назначения склада, технологии переработки грузов, срока их хранения и других факторов.
Сыпучие грузы хранятся на открытых складских площадках в штабелях и траншеях различной формы и закрытых складах, а при небольших запасах – в бункерах различной формы.
Жидкие грузы могут храниться на складах в таре (бочках, бутылях, барабанах) и наливом.
Для размещения материальных ресурсов важно определить общую площадь склада и количество оборудования для хранения материалов.
Расчет площади складов. Общая площадь складов включает:
полезную площадь, т.е. площадь, непосредственно занятую хранимым материалом (стеллажами, штабелями) fпол,
площадь, занятую приемочными и отпускными площадками, fпр;
служебную площадь, занятую конторскими и другими служебными помещениями, fсл;
вспомогательную площадь, занятую проездами и проходами, fвсп.
Общая площадь будет равна:
(м2)
(8.1)
Определение полезной площади. Полезная площадь складов, хранящих металлы, метизы, инструменты, запасные части и др. изделия, определяется двумя способами: способом нагрузки на 1 м2 площади пола и способом коэффициента заполнения объема.
Способ нагрузки на 1 м2 площади пола является наиболее удобным и простым. Расчетная формула имеет вид:
,
(8.2)
где
–
величина установленного запаса
соответствующего материала на складе,
т;
–
нагрузка на 1 м2 площади пола, т.
С помощью коэффициента заполнения объема емкость любого оборудования для хранения материалов и изделий (ячейки, стеллажи, штабеля и т.п.) определяется по формуле:
(т),
(8.3)
где Voб – геометрический объем
соответствующего оборудования, м3;
–
удельный вес материала или изделия,
т/м3; – коэффициент заполнения объема
(плотности укладки).
Зная количество материала, подлежащего
хранению
,
потребное количество оборудования
(ячеек, стеллажей, штабелей) n определяем
по формуле:
,
(8.4)
Зная в плане габаритные размеры принятого оборудования и потребное его количество, определяют полезную площадь склада для хранения данного вида материала:
fпол = l * b * n = fоб * n (м2), (8.5)
где
l – длина соответствующего оборудования для хранения, м;
b – ширина, м.
Подсчитав таким образом полезную площадь для хранения отдельных видов или групп материалов и изделий и суммируя ее, получаем общую полезную площадь склада.
Для сыпучих грузов важно определить объем штабеля, а для жидких продуктов – объем резервуара. Данные для расчета, которые характеризуют эти продукты, можно взять из справочника [8].
Определение площади, занятой приемочными и отпускными площадками. На складах с большим объемом работ приемочные и отпускные площадки устраиваются отдельно, а с малым объемом работ – вместе.
Необходимая площадь приемочной площадки:
,
(8.6)
где
–
годовое поступление материала, т; (1 –
нагрузка на 1 м2 площади, т (принимается
примерно 0,25 от средней нагрузки на 1 м2
полезной площади по складу, или около
0,25-0,5 т/м2; k – коэффициент неравномерности
поступления материала на склад (1,2-1,5);
t – количество дней нахождения материала
на приемочной площадке (до 2 дней).
Размер отпускной площадки определяется аналогично.
Определение служебной площади. Площадь конторы склада рассчитывается в зависимости от числа работающих. При штате склада до трех работников площадь конторы принимается по 5 м2 на каждого человека; от 3 до 5 – 4 м2, при штате более 5 работников – по 3,25 м2.
Определение вспомогательной площади. Размеры проходов и проездов в складских помещениях определяются в зависимости от габарита хранимых материалов, размеров грузооборотов, подъемно-транспортных средств. Для этой цели пользуются формулой:
А = 2 * В + 3 * С,
где А – ширина проезда, см;
В – ширина транспортного средства;
С – ширина зазоров между транспортными средствами и между ними и стеллажами по обе стороны проезда (принимается 15-20 см).
В абсолютных величинах ширина главных проездов (проходов) принимается от 1,5 до 4,5 м. Ширина боковых проездов (проходов) – от 0,7 до 1,5 м.
Высота складских помещений от уровня пола до затяжки ферм или стропил принимается обычно от 3,5 до 5,5 м. В тех случаях, когда склад оборудуется мостовым краном, его высота рассчитывается и может постигнуть 8 м.
При приближенных расчетах общая площадь складов Fобщ может определяться в зависимости от полезной площади fпол через коэффициент использования по формуле:
(м2).
(8.7)
Таблица 2. Значение величины она для различных складов
|
Наименование складских помещений |
, т/м2 |
|
|
Главные магазины |
0,6 - 1,0 |
0,3 - 0,4 |
|
Склады изделий смежных производств |
0,6 - 1,0 |
0,35 - 0,4 |
|
Склады металла |
3,0 - 8,0 |
0,25 - 0,5 |
|
Склады инструмента |
0,8 - 1,2 |
0,3 - 0,35 |
|
Склады литья и поковок |
2,0 - 3,5 |
0,4 - 0,6 |
|
Склады формовочных материалов |
2,0 - 7,0 |
0,6 - 0,8 |
|
Склады готовой продукции |
1,0 - 4,0 |
0,35 - 0,6 |
|
Склады металлоотходов |
1,0 - 3,0 |
0,4 - 0,6 |
Подъемно-транспортное оборудование и определение его потребности
Все погрузочно-разгрузочные машины делятся на машины периодического (циклического) действия (краны, тельферы, погрузчики), машины, перемещающие грузы отдельными подъемами или штуками через определенный интервал времени, и машины непрерывного действия (конвейеры, элеваторы, пневматические машины), перемещающие груз непрерывным или почти непрерывным потоком. С характеристиками этого оборудования следует знакомиться по справочникам подъемно-транспортных машин [8].
В логистической системе важно определить необходимое количество подъемно-транспортных машин для обслуживания складского комплекса. Поэтому ниже приведем расчет потребности подъемно-транспортного оборудования для складской переработки гоуза.
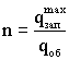
Количество подъемно-транспортного оборудования А рассчитываем по формуле:
,
(8.8)
где Q – количество перерабатываемого груза, т; Кн – коэффициент неравномерности поступления груза; Р – производительность оборудования, т.
В числителе величины известные, а вот производительность машин и механизмов необходимо рассчитать.
Производительность крана Рк зависит от веса подъема груза q0 и числа циклов машины за 1 ч непрерывной работы nц:
Рк = q0 * nц. (8.9)
Количество циклов работы машины за 1 ч (3600 сек) зависит от продолжительности одного цикла ее работы Тц и выражается в секундах:
,
(8.10)
Время цикла работы крана 7ц складывается из времени, необходимого для производства отдельных элементов цикла, с учетом одновременного выполнения (совмещения) некоторых из них:
,
(8.11)
где Кс – коэффициент, учитывающий сокращение времени цикла при совмещении нескольких операций; n – число элементов цикла работы крана; t – время, затраченное на выполнение отдельных элементов цикла, сек.
Часовая производительность погрузчика Рп определяется по общей формуле для машин периодического действия
(т/ч).
(8.12)
Общая часовая производительность машин непрерывного действия определяется следующим образом:
Рк = 3,6 * q * V (т/ч), (8.13)
где q – вес груза на одном погонном метре несущего элемента машины, кг; V – скорость грузонесущего элемента машины, м/сек.
Существуют особенности расчета часовой производительности перегрузочных машин различных типов.
Часовая производительность любого типа конвейера при перегрузке 1 места весом q кг на расстояние a м со скоростью v м/сек:
Pk = 3,6 * q * V / a (т/ч), (8.14)
а число перемещаемых грузовых мест в час:
.
При перемещении наволочных и насыпных грузов непрерывным потоком часовая производительность конвейера определяется по формуле:
Рk = 3600 * F * v * (т/ч), (8.15)
или
Pk = V * К * B2 * * (т/ч), (8.16)
где F – площадь поперечного сечения слоя груза, перемещаемого на ленте, м2; V – скорость движения ленты, м/сек; – насыпной вес груза, т/м3; k – коэффициент, зависящий от угла естественного откоса груза (в движении); В – ширина ленты конвейера, м; – коэффициент заполнения ленты.
Часовая производительность ковшовых элеваторов определяется по формуле:
Рэ = 3,6 * l * * * V / a (т/ч), (8.17)
где l – емкость ковша, м3; а – расстояние между ковшами, м; V – скорость движения ковшей, м/сек; – коэффициент заполнения ковшей; – насыпной вес груза, т/м3.
Часовая производительность машин пневматического транспорта определяется по формуле:
Рп = 3,6 * * VВ * КВ (т/ч), (8.18)
где – плотность атмосферного воздуха (принимается 1,2 кг/м3); VВ – расход воздуха, м/сек; КВ – весовая концентрация смеси (отношение веса перемещаемого груза к весу расходуемого воздуха в единицу времени).
Список литературы
Для подготовки данной применялись материалы сети Интернет из общего доступа
Организация транспортно-складского материалопотока
Одним из направлений эффективной организации транспортно-складского материалопотока является внедрение логистической системы в практику погрузочно-разгрузочных работ. Эта система позволяет использовать передовую технологию и эффективные технические средства, что создает условия рационального использования транспортных средств, грузовых ресурсов и перегрузочного оборудования. Эффективное использование транспортных средств, погрузочно-разгрузочных механизмов и трудовых ресурсов достигается путем разработки технологического процесса с учетом достигнутой выработки переработки груза передовыми бригадами, эффективных способов заготовки пакетов и укладки груза; технических характеристик средств малой механизации, дальности перевозок и т.д. Разработка технологического процесса производится на основе технологической карты. Основные показатели и их расчет показаны в табл. 3.
Таблица 3
|
№п/п |
Показатель |
Расчет показателя |
Примечание |
|
1 |
Расчетное (оперативное) время |
Квр – коэффициент, учитывающий подготовительно-заключительное время и время на отдых Квр = 100% |
В расчетах можно применять: 1) для механизированных операций – 5%; 2) для технологических процессов: а) с однородным грузом – 15% б) со сборным грузом – 20% |
|
2 |
Вес одного подъема |
y0 |
Необходимо обосновать с учетом типа, количества и размера захватных устройств и такелажа |
|
3 |
Количество циклов |
|
Рв – норма выработки в смену, т |
|
4 |
Продолжительность одного цикла машины или механизма |
|
Время одного цикла может быть установлено путем хронометража |
|
5 |
Возможность механизации складских работ; типы средств малой механизации |
|
Путем анализа погрузочно-разгрузочных операций |
|
6 |
Производительность машин или механизмов |
Рm = Нц * y0 |
Для машин периодического действия |
|
7 |
Количество средств механизации |
|
Qсут – суточный грузооборот, т |
|
8 |
Количество транспортных складских рабочих и грузчиков |
|
Т1 – время укладки(установки) одного груза |
|
9 |
Расстановка транспортно-складских рабочих и определение их выработки |
|
|
После определения основных показателей составляют технологическую карту, на которую наносят необходимые схемы, записывают расчетные данные, а также соответствующие указания по производству работ и технике безопасности.
Пример. Определим численность комплексной бригады транспортно-складских рабочих для погрузки 302 т груза по технологической схеме: склад – погрузчик – автомобиль.
Для решения этой задачи могут быть использованы математические методы теории массового обслуживания. Теория массового обслуживания, опираясь в основном на теорию вероятностей, позволяет найти оптимальное решение, при котором оптимальная численность рабочих и грузчиков сводит до минимума суммарные убытки, вызванные простоем автомобилей в ожидании грузчиков и простоев грузчиков в ожидании автомобилей.
Однако чтобы воспользоваться одной из типовых задач, представленных в теории массового обслуживания, следует тщательно изучить поток требований, поступающих в обслуживающую систему, и описать его количественно.
Задачи, решаемые математическим аппаратом теории массового обслуживания, имеют вполне определенную структуру. Эта структура характеризуется последовательностью событий обслуживающей системы и обслуживающими аппаратами.
Последовательность событий определяется потоком требований, поступающих в обслуживающую систему. Здесь требование – необходимость обработки каждого автомобиля, прибывающего на предприятие. В понятие обработки каждого автомобиля включаются грузовые и все вспомогательные операции, связанные с полным обслуживанием автомобилей с момента прибытия его на предприятие и до момента его отправления.
Поток требований автомобилей, нуждающихся в обработке, и поступающий в обслуживающую систему предприятия, называется входящим потоком.
Обслуживающая система состоит из обслуживающих устройств – аппаратов, в данном случае пунктов погрузки, оборудованных перегрузочными средствами и укомплектованных необходимыми составами бригад грузчиков.
Отсутствие графиков и расписаний движения автомобилей дает право рассматривать прибытие автомобилей на предприятия как случайный процесс.
В большинстве задач теории массового обслуживания рассматриваются так называемые простейшие потоки требований, обладающие свойствами стационарности, ординарности и отсутствием последствий.
Стационарными являются потоки, для которых вероятность поступления некоторого количества требований в течение определенного промежутка времени не зависит от начала отсчета, а зависит от длительности промежутка времени.
Независимость характера потока требований от числа ранее поступивших требований и моментов времени их поступления носит название отсутствия последствий.
Поток требований называется ординарным, если вероятность того, что появится больше одного требования за малый промежуток времени t, есть бесконечно малая величина.
Задачу можно сформулировать следующим образом: в систему, состоящую из n обслуживающих аппаратов, поступают требования от m обслуживаемых объектов. Одновременно в системе не может быть больше m требований, где m – конечное число. Часть времени обслуживаемые объекты находятся в системе обслуживания, часть – вне ее. Критериями качества обслуживания являются математическое ожидание числа простаивающих автомобилей, т. е. среднее число требований, ожидающих начало обслуживания, – M1 и математическое ожидание числа простаивающих бригад – M2.
Стационарность потока заключается в том, что количество автомобилей, прибывающих на предприятие, будет определяться теми периодами времени, в течение которых приходят данные автомобили.
Ординарность потока вытекает из самой постановки задачи: требование на обслуживание поступает в систему только вместе с обслуживаемым объектом.
Отсутствие последствий также выполняется, поскольку, по условию задачи, автомобили прибывают на предприятие независимо друг от друга.
По закону Пуассона в простейшем потоке вероятность того, что m автомобилей прибывает на предприятие в течение времени t, определяется выражением:
,
(8.19)
где – отношение общего числа автомобилей, прибывающих на предприятие под обработку за анализируемый период, к периоду Т; е – основание натурального логарифма.
Для простейшего потока параметр равен математическому ожиданию числа требований, поступающих в обслуживающую систему за единицу времени.
Рассмотрим обслуживающую систему – предприятие, состоящее из аппаратов – укрупненных комплексных бригад грузчиков. Одна укрупненная комплексная бригада грузчиков разгружает автомобили, прибывающие к пункту разгрузки в течение суток, т.е. на протяжении одной смены.
Время обслуживания автомобилей укрупненной комплексной бригадой подчинено показательному закону с параметром и. Это означает вероятность того, что время обслуживания меньше t и равно Р( < t), где F(t) – функция распределения времени обслуживания; 1/ – математическое ожидание времени обслуживания.
Время обработки автомобилей, прибывающих на предприятие, зависит от количества груза, типа автомобиля, пунктов погрузки, погрузочных механизмов и других причин. Таким образом, требования идентичны, а время обслуживания – случайная величина.
В теории массового обслуживания приводится доказательство теоремы о том, что простейший поток подчинен закону распределения Пуассона. Так как поток автомобилей является простейшим, т.е. удовлетворяет требованиям стационарности, ординарности и отсутствия последствия, то вероятность того, что в течение единицы времени на предприятие прибудут m автомобилей за время t, определяется выражением (8.19).
Следовательно, поток автомобилей определяется математическим ожиданием числа автомобилей, прибывших на предприятие, в единицу времени. Если же в момент прибытия очередного автомобиля на базу все бригады заняты, то он становится в очередь. Время обработки одного автомобиля определяется законом распределения F(t) с параметром /.
Автомобиль может уйти с базы только после полной погрузки, поэтому вводится условие, не позволяющее очереди автомобилей расти безгранично: / < n. Это условие в рассматриваемой задаче имеет следующий смысл: – среднее число автомобилей, прибывающих на базу под обработку в единицу времени; 1/ – среднее время обработки автомобиля, поэтому * 1/ – среднее число укрупненных комплексных бригад грузчиков, которое необходимо иметь, чтобы обрабатывать в единицу времени среднее число автомобилей.
Рассматриваемая нами обслуживающая система называется системой с ожиданием.
Отсюда условие означает, что число укрупненных комплексных бригад грузчиков должно быть больше среднего их числа, чтобы за единицу времени обрабатывать все автомобили, приходящие на базу.
Задаваясь последовательно числом укрупненных бригад, большим , можно определить математическое ожидание/ числа простаивающих автомобилей в единицу времени в ожидании погрузки и математическое ожидание числа простаивающих укрупненных бригад в ожидании автомобилей. Очевидно, что с увеличением числа бригад расходы, связанные с простоем автомобилей, будут уменьшаться, а расходы по простою укрупненных бригад – расти.
Оптимальным будет то число укрупненных бригад грузчиков и рабочих, при котором сумма затрат по простою автомобилей и бригад минимальна.
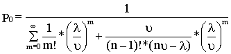
Не приводя вычислений, напишем выражение, характеризующее вероятность того, что все обслуживающие аппараты заняты:
,
(8.20)
откуда среднее время ожидания начала обработки из-за занятости укрупненных комплексных бригад равно:
,
(8.21)
а простой автомобилей в единицу времени вследствие отсутствия свободных укрупненных комплексных бригад
,
(8.22)
Математическое ожидание числа простаивающих бригад (среднее число свободных обслуживающих аппаратов):
,
(8.23)
где Р0 – вероятность, что все обслуживающие аппараты (комплексные бригады) свободны и равны.
,
(8.24)
Потери (убытки) в сутки, вызванные простоем автомобилей, определяем в приведенных затратах:
Ra = Gож * Эф, (8.25)
где Эф – убытки в результате простоя автомобиля за час, руб.
В связи с простоем укрупненных бригад, обслуживающих базу, а с ними и расходы по базе, связанные с простоем бригады, определяем из
Rб = Эб * М2, (8.26)
где Эб – убытки часа простоя бригады; М2 – математическое ожидание числа простаивающих бригад в ожидании погрузки автомобилей.
Для производства соответствующих расчетов с помощью математического аппарата теории массового обслуживания необходимо определить значение параметров.
Параметр , характеризующий среднее число автомобилей, прибывающих на базу в течение рабочего дня, определяется по формуле:
(автомобиля),
где Qсут – суточный грузооборот, т; nс – количество ездок автомобилей; – коэффициент использования грузоподъемности; q – грузоподъемность автомобиля, т.
Чтобы определить значение параметра , необходимо предварительно рассчитать средний простой автомобилей под погрузкой tпр под грузовыми и вспомогательными операциями.
Время простоя под грузовыми операциями автомобиля определяем из уравнения:
,
(8.27)
где tпр – продолжительность нахождения автомобиля под погрузкой, ч; W – производительность комплексной бригады.
Таблица 4
Время простоя автомобиля и значение параметра и в зависимости от производительности комплексной бригады
|
Производительность комплексной бригады в час, т, W |
Время простоя автомобиля, ч |
Параметр u |
|
25 |
0,090 |
11 |
|
30 |
0,075 |
13 |
|
40 |
0,056 |
18 |
|
60 |
0,037 |
30 |
Зная параметры и , определяем число бригад, принимая во внимание, что производительность в час равна 40 т, из соотношения . Поскольку = 54/18 = 3, то минимальное число бригад будет равно четырем.
Таким образом, рассмотрим транспортный процесс с четырьмя бригадами. Начнем с вычисления вероятности того, что в момент прибытия автомобилей под погрузку обслуживающие бригады свободны (формула 8.24):
.
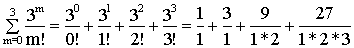
Рассчитаем первое слагаемое:
=1+3+4,5+4,5=13.
Второе слагаемое:
,
откуда
.
Теперь вычислим вероятность того, что в момент прибытия очередного автомобиля под погрузку все комплексные бригады заняты (формула 8.20):
.
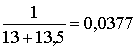
Среднее время ожидания одним автомобилем начала погрузки вследствие занятости бригад определяем по формуле (8.21):
.
Поскольку среднесуточное количество автомобилей, прибывающих на базу под погрузку, составляет 54, то простой автомобилей за смену в ожидании погрузки составит:
=
Gож * = 0,028 * 54 = 1,512 автомобиле-часов,
а потери (убытки) в сутки, вызванные простоем автомобилей, в приведенных затратах по формуле (8.25) равны:
Rа =
–
Эа= 1,512 * 0,412 = 0,62 тыс. руб.,
где Эа – убытки простоя автомобиля за час, тыс. руб.
Определим математическое ожидание числа простаивающих бригад в ожидании погрузки автомобилей при m = 4 по формуле (8.23):
.
Следовательно, в сутки будет простаивать одна бригада, а расходы предприятия, связанные с простоем бригады, по формуле (8.26) составят:
Rб = M2 * Эб = 1 * 3,0 = 3,0 тыс. руб./ч,
где Эб – убытки часа простоя бригады, равные 3 тыс. руб.
Произведенные расчеты показывают, что убытки по предприятию, вызванные простоем автомобилей и простоем бригад, составят:
R = Ra + Rб = 0,62 +3,0 = 3,62 тыс. руб./ч.
Данные аналогичных расчетов вариантов с пятью и шестью комплексными бригадами приведены в табл. 5.
Таблица 5
|
Количество бригад, х |
Gож |
М2 |
Ra |
Rб |
R |
|
4 |
1,512 |
1 |
0,62 |
3,00 |
3,620 |
|
5 |
0,7182 |
2 |
0,295 |
6,00 |
6,295 |
|
6 |
0,108 |
3 |
0,045 |
9,00 |
9,045 |
Из приведенных расчетов видно, что оптимальным вариантом является загрузка автомобилей четырьмя бригадами. Следовательно, оптимальная численность транспортно-складских рабочих составит 16 человек (4х4).
Отсутствие грузчиков, в равной мере как и отсутствие погрузочно-разгрузочных механизмов, влияет на использование производительности подвижного состава, приводит к большим простоям, отсюда ведет к убыткам транспортной организации и к увеличению количественного состава автомобилей. Поэтому определение оптимального количества транспортно-складских рабочих имеет большое значение для фирм, транспортных и сбытовых организаций. Мы рассмотрели только некоторые вопросы грузовой и коммерческой работы. Однако их решение позволит повысить эффективность продвижения материалопотока, улучшить взаимодействие снабженческо-сбытовых и автотранспортных организаций, а также использование машин и механизмов, повысить прибыль на предприятиях оптовой торговли.
Список литературы
Для подготовки данной применялись материалы сети Интернет из общего доступа





–
норма выработки, приходящаяся на
одного транспортно-складского рабочего