Производственная мощность. Расчеты производственных мощностей. Значения резервных мощностей
Производственная мощность. Расчеты производственных мощностей. Значения резервных мощностей
Обоснование потенциальных и фактических возможностей предприятия по производству продукции, заложенных в средствах труда, является основой формирования его производственной программы.
Производственная мощность – это показатель, отражающий максимальную способность предприятия (подразделения, объединения или отрасли) по осуществлению выпуска товарной продукции в натуральных ил стоимостных единицах измерения, отнесенных к определенному периоду времени (смена, сутки, месяц, квартал, год).
Количественные значения производственной мощности обусловлены научно-техническим уровнем технологии производства продукции, номенклатурой (ассортиментом) и качеством продукции, а также особенностями организации труда, наличием энергетических, сырьевых и трудовых ресурсов, уровнем организации труда, специализации и кооперирования, пропускной способностью транспортных, складских и сбытовых служб. Неустойчивость факторов, влияющих на величину производственной мощности, порождает множественность этого показателя, поэтому они подлежат периодическому пересмотру. В практике управления производством различают несколько видов понятий, характеризующих производственные мощности: проектную, пусковую, освоенную, фактическую, плановую, входную и выходную по периоду, вводимую, выводимую, балансовую.
В общем виде производственную мощность можно определить, как максимально возможный выпуск продукции в соответствующий период времени при обозначенных условиях использования оборудования и производственных ресурсов (площадей, энергии, сырья, живого труда). Ведущим фактором, влияющим на производственную мощность и определяющим ее название, является оборудование, то есть средство изменения материальной составляющей производственного процесса.
Наиболее простыми и точными измерителями производственной мощности являются натуральные единицы:
Производственные мощности измеряются, как правило, в тех же единицах, в которых планируется производство данной продукции в натуральном выражении (тоннах, штуках, метрах). Например, производственная мощность горнодобывающих предприятий определяется в тоннах добычи полезного ископаемого, металлургических предприятий – в тоннах выплавки металла и производства проката; машиностроительных заводов – в штуках изготовляемых машин; мощность сахарных заводов и других предприятий пищевой промышленности – в тоннах сырья, перерабатываемого в готовую продукцию.
По продукции, имеющей широкую ассортиментную шкалу, производственные мощности могут выражаться в условно-натуральных единицах. Если предприятие выпускает несколько видов различной продукции, то производственные мощности устанавливаются по каждому виду отдельно.
Чем полнее во времени используется производственная мощность, тем больше продукции производится, тем ниже ее себестоимость, тем в более короткие сроки производитель накапливает средства для воспроизводства продукции и совершенствования самой производственной системы: замены оборудования и технологий, осуществления реконструкции производства и организационно-технических нововведений.
Увеличение выпуска продукции на имеющихся оборудовании и производственных площадях путем автоматизации и других средств интенсификации технологических процессов сокращает потребность в новых капиталовложениях, вызывает снижение эксплуатационных расходов, экономию сырья, позволяет повысить экологическую безопасность производства.
Проектная производственная мощность определяется в процессе проектирования производства и отражает его возможности для принятых в проекте условий функционирования предприятия. Фактически достигнутую для устойчивой работы мощность называют освоенной. В зависимости от развития и текущего состояния производства производственная мощность приобретает свои конкретные значения на период пуска производства (пусковая), фактически сложившуюся при текущих колебаниях спроса на продукцию (фактическая) или в расчетах производства объемов продукции (плановая).
В течение каждого планируемого периода производственная мощность может измениться. Чем больше планируемы период, тем вероятность таких изменений выше. Основными причинами изменений являются:
установка новых единиц оборудования, взамен устаревших или аварийных;
износ оборудования;
ввод в действие новых мощностей;
изменение производительности оборудования в связи с интенсификацией режима его работы или в связи с изменением качества сырья, срока действия катализатора, адсорбентов, очистителей, изменения антикоррозионной защиты и т.п.
модернизация оборудования (замена узлов, блоков, захватов, транспортных элементов и т.п.);
изменения в структуре исходных материалов, состава сырья или полуфабрикатов, приемах отбора фракций, способах теплового обмена, дозирования, калибровки и др.;
продолжительность работы оборудования в течение планового периода с учетом остановок на ремонт, профилактику, технологические перерывы;
специализация производства;
режим работы оборудования (циклический, непрерывный);
организация ремонтов и текущего эксплуатационного обслуживания.
Существенное значение имеет прирост производственной мощности, который достигается путем технического переоснащения и совершенствования организации производственного процесса. Производственная мощность на начало периода, как правило – года, называют входной, а на конец периода (года) – выходной производственной мощностью.
В виду того, что часть оборудования может в течение эксплуатационного периода выводится из рабочего режима, например, для капитального ремонта или демонтажа, или наоборот вводится, то их соответственно учитывают в плановых расчетах в качестве понятий вводимая, выводимая или средняя за период (среднегодовая, например) производственная мощность.
Балансовая производственная мощность соответствует по своей количественной мере условиям сопряжения разных по мощности единиц оборудования, сопряженных в едином технологическом процессе. Важным является требование сбалансированности всех видов мощностей оборудования производственного цикла. Балансовая мощность не всегда соответствует оптимальным значениям оборудования.
Определение конкретных значений производственной мощности осуществляется по каждой производственной единице (участок, цех, предприятие, отрасль), с учетом планируемых мероприятий. По мощности ведущей группы оборудования устанавливается производственная мощность участка, по ведущему участку – производственная мощность цеха, по ведущему цеху – производственная мощность предприятия. При установке производственной мощности управленцы разрабатывают мероприятия по "расшивке" узких мест с целью достижения наилучшей сбалансированности производственных мощностей производственных структур предприятия, в том числе средствами осуществления последовательно-параллельных стадий обработки и разнообразия ассортимента продукции (изделий).
Сумма производственных мощностей отдельных предприятий по одному и тому же виду продукции составляет производственную мощность отрасли промышленности.
Для условий рыночной экономики, когда деятельность предприятий ориентирована на удовлетворение спроса по видам продукции и учет требований (интересов) потребителей, планируемая производственная мощность определяется, исходя из портфеля заказов предприятия, прогнозов потребительского спроса.
Расчеты производственных мощностей выполняются на основе информации о состоянии установленного оборудования. При этом необходимо руководствоваться следующими положениями:
в расчетах принимается все наличное оборудование участка (цеха, предприятия), за исключением резервного;
в расчетах принимается эффективный максимально-возможный фонд времени работы оборудования при заданном режиме сменности;
в расчетах принимаются передовые технические нормы производительности оборудования, трудоемкости продукции, норм выхода продукции из сырья;
в расчетах принимаются наиболее совершенные способы организации производства и сопоставимые измерители работы оборудования и баланса мощностей;
при расчете производственных мощностей на планируемый период необходимо исходить из возможности обеспечения их полной загрузки. Но вместе с тем должны быть предусмотрены необходимые резервы мощностей, что важно в условиях рыночной экономики для быстрого реагирования на изменения товарного рыночного спроса;
при расчете величины мощности не принимаются во внимание простои оборудования, которые могут быть вызваны недостатками рабочей силы, сырья, топлива, электроэнергии или организационными неполадками, а также потери времени, связанные с ликвидацией брака продукции.
Машины и аппараты одинакового технологического назначения, используемые для производства однородной продукции, могут иметь общий натуральный измеритель производительности – единицы той продукции, для изготовления которой они предназначены. Для разнородных аппаратов найти общий натуральный измеритель производительности бывает затруднительно.
В качестве параметров измерения производственной мощности применяют те же единицы, что и для учета и планирования выработки продукции. Например, для серной кислоты – тонны моногидрата, для каустической соды – тонны соды в пересчете на 100% щелочи, для отделения штамповки – тысячи штук изделий.
Для расчета производственной мощности производственной единицы (цеха) необходимо пересчитать производительность отдельных аппаратов в единицы конечной продукции, выпускаемой производственной единицей (цехом). Пересчет производят, исходя из плановых расходных норм полуфабрикатов на единицу готовой продукции.
За основу расчета производственной мощности принимают проектные или технические (паспортные) нормы производительности оборудования и технически обоснованные нормы времени (выработки). Когда установленные нормы превзойдены передовиками производства, то расчет мощности производится по передовым достигнутым нормам, учитывающим устойчивые достижения передовиков производства.
Длительность остановок на плановый ремонт (текущий, средний и капитальный) рассчитывают по передовым нормам затрат времени на ремонт, достигнутым лучшими бригадами (с учетом увеличения межремонтных периодов путем повышения качества ремонта и улучшения эксплуатации оборудования); длительность ремонтов не должна превышать предусмотренные и утвержденные для данного оборудования нормы времени.
Время, необходимое для капитального ремонта оборудования с межремонтным циклом работы более одного года, учитывают при расчете мощности только того года, когда этот ремонт производится.
В производствах, где неизбежны остановки оборудования (для чистки, переключения с одного продукта на другой, перегрузки катализатора и т.п.), которые по времени невозможно совместить с простоями на ремонт, длительность этих остановок должна учитываться в расчете экстенсивной нагрузки оборудования. Затраты времени на технологические остановки устанавливаются в соответствии с нормами в технологических регламентах или правилах эксплуатации.
В практике расчетный фонд рабочего времени оборудования производства, работающего в прерывном режиме, называют располагаемым фондом, или номинальным.
Годовой фонд рабочего времени для цехов и производств, действующих непрерывно, рассчитывают, исходя из календарного числа суток в году за вычетом времени на ремонт и технологические остановки агрегатов. Для цехов и производств, действующих прерывно, годовой фонд рабочего времени определяют на основе календарного числа дней в году за вычетом выходных и праздничных дней. Из полученного фонда времени исключают время на ремонт, который производится в рабочее время.
Расчетная производительность оборудования не должна быть ниже достигнутой передовиками производства, превышающей паспортные или проектные нормы. При определении интенсивной нагрузки оборудования выбор единицы времени зависит от характера протекания производственных процессов. Для аппаратуры круглосуточного, непрерывного действия за единицу времени можно принять сутки, поскольку в пределах суток регламентируемых простоев не бывает; для машин и аппаратуры периодического действия за единицу принимают час работы или продолжительность операции, цикла (аппаратооборота).
Для определения производственной мощности имеет значение группировка аппаратов по их значимости в выпуске продукции.
Аппараты, агрегаты цехов химического предприятия, например, подразделяются на следующие группы:
основные, или ведущие, производственные аппараты, в которых осуществляются химические, электрохимические, механические или другие технологические процессы (аппараты и машины для разделения газов, для очистки газов, дистилляции и ректификации; химические печи; компрессоры; аппаратура для смешения и перемешивания и др.);
аппараты, выполняющие подготовительные функции (машины для дробления, измельчения и др.);
вспомогательные производственные аппараты (аппараты для транспортирования сырья, материалов и полуфабрикатов; насосы, вентиляторы, эксгаустеры; силовые установки; генераторы, двигатели, трансформаторы и др.).
Производственная мощность определяется по мощности ведущих цехов, агрегатов или участков. Под ведущими цехами, участками или агрегатами понимаются те из них, где выполняются основные и наиболее массовые технологические операции по изготовлению готовой (основной) продукции и в которых сосредоточена преобладающая часть оборудования. В черной металлургии – это доменные, мартеновские, сталеплавильные цеха или печи, в цветной – электролизные ванны, в текстильной – прядильное и ткацкое производство, на машиностроительных заводах – механические и сборочные цеха.
При расчете производственной мощности предприятия на начало планового года должно учитываться все установленное оборудование независимо от его состояния (действует или бездействует вследствие его неисправности, находится в ремонте, наладке, в резерве, на реконструкции или на консервации, простаивает вследствие отсутствия сырья, материалов, энергии, а также монтируемое, если ввод в эксплуатацию предусмотрен в плане и т.п.). Резервное оборудование, предназначенное для замены ремонтируемого, при расчете мощности не учитывается.
При вводе новых мощностей по планам капитального строительства и их освоения предусматривается, что их эксплуатация начинается в следующем квартале после сдачи.
Для расчета производственной мощности используются следующие исходные данные:
перечень производственного оборудования и его количество по видам;
режимы использования оборудования и использования площадей;
прогрессивные нормы производительности оборудования и трудоемкости изделий;
квалификация рабочих;
намечаемые номенклатура и ассортимент продукции, непосредственно влияющие на трудоемкость продукции при данном составе оборудования.
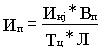
Если известна производительность оборудования, то производственная мощность определяется, как произведение паспортной производительности оборудования в единицу времени и планового фонда времени его работы (Тэф):
М = Тэф * а * Н,
где Тэф – эффективный фонд работы единицы оборудования, час; а – количество однотипных аппаратов, машин, агрегатов, установленных в отделении (участке, цехе); Н – часовая норма производительности единицы оборудования по паспорту завода-изготовителя, выраженная в конечном продукте (т/час, м3/час, м2/час и др.).
Если известно, что фактически с оборудования снимается продукции больше, чем определено паспортом, то использовать в расчете мощности нужно технически обоснованную норму производительности, определяемую производственниками.
Эффективный фонд рабочего времени оборудования определяется в зависимости от режима работы участка (отделения, цеха).
Если производство работает в непрерывном режиме (круглосуточно, без остановок в праздничные и выходные дни), то эффективный фонд рассчитывается следующим образом:
Тнэф = Ткал * ТППР – Ттехн,
где Ткал – календарный фонд (длительность года, 365 дней или 8760 час.); ТППР – время простоев в планово-предупредительных ремонтах, в час.; Ттехн – время простоев оборудования по технологическим причинам (загрузка, выгрузка, чистка, промывка, продувка и т.д.) в час.
В условиях непрерывного производственного процесса максимально возможный фонд времени работы оборудования равен произведению календарных дней и 24 ч в сутках
В прерывном производстве рассчитывают располагаемы фонд времени оборудования (в практике его называют номинальным).
Поясним, что понимается под располагаемым фондом времени оборудования.
Календарный, или максимально возможный, фонд является исходной величиной в учете времени работы и бездействия оборудования. На каждом предприятии действует определенный режим работы (число рабочих и выходных дней, число смен и их продолжительность). Поэтому не весь календарный фонд может быть использован для целей производства. Если из календарного фонда времени исключить часть рабочего времени между сменами и время нерабочих дней, то получится режимный фонд времени. Например, для одного станка календарный фонд времени за год равен: 24 (365 = 8760 станко-часов. Для совокупности станков фонд времени (календарный, режимный) равен произведению фонда времени одного станка на число станков.
Располагаемы фонд получают исключением из режимного фонда затрат времени на плановый ремонт и времени на нахождение оборудования в резерве.
При работе производства в периодическом режиме (с остановками на праздничные и выходные дни) эффективный фонд рассчитывается на основе режимного фонда времени:
Тпэф = Треж (ТППР (Ттехн,
где Треж = Ткал (Твд (Тпд; Твд, Тпд – время на выходные и праздничные дни.
Режимный фонд времени определяется с учетом числа рабочих смен в сутки и продолжительности смен. Например, при 2-х сменном производстве с продолжительностью смены 8 часов имеем:
Треж = (365 (52 (52 (8 (7) (2 (8 + 7 (2 (7 = 4034 часа,
где 52 и 52 – число воскресных и субботних выходных дней; 8 – число праздничных дней; 7 – число праздничных дней. Продолжительность предпраздничных рабочих дней при 40-часовой рабочей неделе сокращается на один час.
ТППР – определяется по графику планово предупредительных ремонтов предприятия, формируемого службой главного механика. При отсутствии графика величину простоев можно рассчитать, используя ремонтные нормативы, применяемые в отраслевой практике;
Ттехн – определяются по данным технологических регламентов производства, в которых указываются виды простоев, их продолжительность и цикличность.
В периодических производствах и в непрерывных производствах с периодически работающим оборудованием мощность определяется по формуле:

где Тэф – эффективный фонд времени работы единицы оборудования, час; Тц – время производственного цикла работы оборудования, час; Зс – объем загрузки сырья на один цикл; bгп – выход готовой продукции из единицы сырья; а – количество однотипных аппаратов, машин, агрегатов, установленных в отделении (цехе).
В условиях многономенклатурного производства производственная мощность определяется, как частное от деления фонда времени работы оборудования на трудоемкость комплекта изделий (деталей), изготавливаемых на данном оборудовании:
,
где
–
трудоемкость комплекта изделий,
включающие а – видов.
Входная и выходная производственная мощность исчисляются ежегодно по данным отраслевой статистики, как внешняя конкурентная характеристика оборудования. Для определения соответствия производственной программы имеющейся мощности исчисляется среднегодовая производственная мощность предприятия (Мсг). При равномерном наращивании мощности в течение года ее среднегодовая величина определяется, как полусумма входной (Мвх) и выходной (Мвых) мощности:
.
В иных случаях среднегодовая мощность (Мсг) с учетом ввода нового оборудования и вывода устаревшего исчисляется так:
,
где Мнг – мощность на начало года; Мвв – вводимые новые мощности; Твв – число месяцев работы вводимых мощностей; Мвыв – мощности выводимые; Мо – увеличение мощности за счет оргтехмероприятий; Твыв – число месяцев, когда выводимые мощности не будут работать; То – число месяцев работы после внедрения мероприятия; 12 – число месяцев.
Наличие резервной производственной мощности обусловлена необходимостью периодической остановки части оборудования для выполнения ремонтных и регламентных (профилактических) работ, а также для регулирования объема производства продукции. Наиболее оптимальные нагрузки оборудования, как правило, находятся в диапазоне 80-90% от их максимальных значений.
Методика расчета производственной мощности в непрерывных химических производствах
Мощность аппаратов непрерывного действия, работающих на химических предприятиях, рассчитывают на основе технических норм использования оборудования во времени и интенсивности работы оборудования.
Общая формула расчета производственной мощности (М):
М = а * (Т – То) * b,
где а – количество однородных аппаратов (машин); Т – календарное время, час; То – регламентируемые остановки одного аппарата (машины), час; b – производительность одного аппарата (машины) в час.
Количество аппарато- и машино-часов Тмч, которое должно быть использовано за год, рассчитывают по формуле
Тмч = (Т – То) * а.
При определении фонда рабочего времени (или количества апарато-дней работы в плановом году) могут предусматриваться, как указано выше, простои оборудования в связи с текущим и капитальным ремонтами, а также технологические остановки.
Допустим, что в цехе установлено пять аппаратов; в плановом году предусматривается остановка цеха на 10 сут (в связи с ремонтом коммуникаций) и время на текущий и капитальный ремонты и технологические остановки одного аппарата 504 ч, или 21 сут (504 / 24). Фонд рабочего времени составит (365 – 21) * 5 = 1720 аппарато-сут. (Ремонт аппаратуры совпадает с ремонтом коммуникаций. Поэтому 10 дн. не включены в расчет).
После определения количества аппарато-дней работы планового периода рассчитывают количество сырья, поступающего в переработку. Расчет можно вести на единицу времени (час, сут).
Если показатель интенсивности определен как количество сырья, подаваемого в аппарат на единицу реакционного объема в единицу времени, то для расчета мощности необходимо учитывать выход продукции из единицы сырья, или расходный коэффициент.
Производственная мощность (М) аппаратов непрерывного действия может быть вычислена по формулам:
М = (Т – То) * а * Л * Инi * Вп,
или

где Л – полезный объем или площадь аппарата; Инi – нормативное количество сырья на единицу объема или площади i-го аппарата в час; Вп – коэффициент выхода готовой продукции из сырья; рк – расходный коэффициент.
Если показатель производительности определяется в единицах готовой продукции (объем продукции с одного кубометра объема в сутки), мощность аппарата непрерывного действия за плановый период составит:
М = (Т – То) * а * Л * Ип,
где Ип – количество готовой продукции с единицы объема.
Для непрерывных процессов можно воспользоваться следующей формулой:
М = (Т – То) * а * V * C * 106 * Вп,
где V – объемная скорость, м3/ч; С * 106 – концентрация в пересчете на тонну вещества, находящегося в аппарате.
Методика расчета производственной мощности оборудования периодического действия (общая схема расчета)
Мощность аппаратов периодического действия зависит от числа оборотов, или циклов, по данной фазе производства, количества сырья, потребляемого за один оборот или цикл, и выхода готовой продукции из единицы сырья.
Продолжительность цикла, или оборота, включает затраты времени на выполнение всех операций, начиная от включения аппарата и загрузки сырья и кончая выгрузкой готовой продукции. При этом по операциям, протекающим одновременно, в длительность цикла не должны включаться совмещенные затраты времени.
Цикл производства обычно складывается из времени технологического и времени обслуживания, расходуемого на выполнение вспомогательных операций. Для сокращения технологического времени необходимо усовершенствование регламента производства. Сокращение времени обслуживания планируется на основе разработки организационно-технических мероприятий, направленных в частности, на совмещение времени обслуживания с временем технологическим.
Мощность данного вида оборудования периодического действия рассчитывается пол формуле:
,
где Инj – количество сырья, потребляемого за один j – й цикл; Вп – плановый выход продукции из единицы сырья; Тц – продолжительность одного цикла (оборота), час.
Когда в аппарат загружается сырье нескольких видов, выход определяют по основному сырью и в формулу вводят коэффициент, характеризующий отношение веса этого основного сырья к весу общей загрузки.
Мощность оборудования периодического действия можно также определять, исходя из плановой нормы интенсивности (или производительности), выраженной в единицах готовой продукции.
Производительность оборудования в единицах готовой продукции равна:
.
Таким образом, мощность может быть выражена формулой
М = (Т – То) * а * Ин * Л.
Показатели мощности аппаратов-агрегатов, выраженные в единицах продукции, выпускаемой цехом, и расположенные в последовательном порядке на диаграмме соответственно прохождению производственного процесса, называют профилем мощности цеха. Составление такого профиля позволяет наглядно выявить "узкие" места, ликвидация которых даст возможность повысить выпуск продукции.
На основе данных профиля рассчитывают мощность цеха. Приведем пример расчета мощности аммиачного цеха в условиях ступенчатого графика работы в течение планового года (табл. 3).
По приведенным данным рассчитываем мощность цеха. Из табл. следует, что из-за ремонтов не все установленные агрегаты будут одновременно работать в течение года, на что указывают графы 9, 10 и 11. Агрегаты будут ремонтироваться по очереди. При установленной продолжительности ремонтов и часовой производительности агрегатов оказывается, что наименьшая производительность будет у агрегатов синтеза – 15 т/час аммиака. Этот агрегат является одним из основных.
На ремонт четырех агрегатов синтеза аммиака будет затрачено 28 дн (7 * 4), и в течение этого срока мощность цеха будет равна 15 т/час. Следующее ограничение возникает из-за ремонта агрегатов очистки; производительность 16 т/час. На ремонт агрегатов очистки будет затрачено 60 дн (10 * 6).Поэтому в последующие 32 дн (60 – 28) производительность всего цеха не может быть выше 16 т/ч, хотя у агрегатов синтеза мощность после ремонта и возрастает до 20 т/час. Далее 36 дн (96 – 60) будут лимитироваться компрессорами, на ремонт которых будет затрачено 96 дн (24 * 4) и минимальная производительность которых равна 16,5 т/час аммиака. После компрессоров наступает очередь ремонта агрегатов разделения воздуха. На этот ремонт будет затрачено 205 дн (41 * 5), поэтому в последующие 109 дн (205 – 96) можно будет производить только 18 т/час аммиака.
В остающиеся 155 дн (360 – 205) мощность цеха лимитируется работой агрегатов очистки, производительность которых в период работы всех агрегатов является наименьшей – 19,2 т/ч.
Следовательно, годовая мощность цеха составит
(15 * 28 + 16 * 32 + 16,6 * 36 + 18 * 109 + 19,2 * 155) * 24 = 155 136 т
Итак, фактическая часовая производительность – 18 т/час при минимальной производительности одного из агрегатов (очистки) 19,2 т/час. Пример показывает необходимость производства и установки такой аппаратуры, для которой сроки межремонтного цикла совпадали бы или, по крайней мере, были близки. Выполнение этого требования позволит значительно увеличить съем продукции и снизить эксплуатационные издержки, возникающие из-за недоиспользования производственной мощности.
Очевидно, что снизятся не только удельные капвложения на единицу продукции, но и увеличится фондоотдача и производительность труда.
Табл. Расчет производственной мощности аммиачного цеха (Пример)
|
|
Произ- |
Длитель- |
Годов. |
Кол. |
Производительность отделения |
Мощность цеха, |
||||||
|
|
води- |
ность |
фонд |
уст. |
максимальная |
минимальная |
т/год |
|||||
|
Агрегаты |
тельн. |
остан. |
рабоч. |
агрег. |
кол- |
число |
про- |
кол- |
число |
про- |
одн. |
отдел. |
|
|
агрег., |
на ремонт |
врем., |
|
во агрега- |
дней ра- |
изво- |
во агрега- |
дней |
изво- |
агрег. |
|
|
|
т/ч |
в течение |
дн |
|
тов в ра- |
боты в |
дит., т/ч |
тов в |
рабо- |
дит., |
|
|
|
|
|
года, дн |
|
|
боте |
течение |
|
работе |
ты в |
т/ч |
|
|
|
|
|
|
|
|
|
года |
|
|
течение |
|
|
|
|
|
|
|
|
|
|
|
|
|
года |
|
|
|
|
1 |
2 |
3 |
4 |
5 |
6 |
7 |
8 |
9 |
10 |
11 |
12 |
13 |
|
Конверсии |
3,1 |
27 |
333 |
7 |
7 |
171 |
21,7 |
6 |
189 |
18,6 |
24 775 |
173 425 |
|
Очистки |
3,2 |
10 |
350 |
6 |
6 |
300 |
19,2 |
5 |
60 |
16 |
26 880 |
161 280 |
|
Разделение воздуха |
4,5 |
41 |
319 |
5 |
5 |
155 |
22,5 |
4 |
205 |
18 |
34 452 |
172 260 |
|
Синтеза |
5 |
7 |
353 |
4 |
4 |
332 |
20 |
3 |
28 |
15 |
42 360 |
169 440 |
|
Компрессоры |
5,5 |
24 |
336 |
4 |
4 |
264 |
22 |
3 |
96 |
16,5 |
44 352 |
177 408 |
Примечание.
гр. 4 = 360 дн – гр. 3;
гр. 8 = гр. 2 * гр. 5;
гр. 10 = 360 дн – гр. 7;
гр. 11 = гр. 2 * гр. 9;
гр. 12 = гр. 2 * гр. 4 * 24;
гр. 13 = гр. 4 * 24 * гр. 8.
Рассмотрим упрощенные примеры расчетов производственной мощности для предприятий других отраслей.
Пример 1.
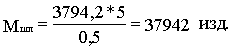
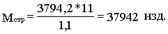
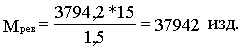
В цехе машиностроительного завода три группы станков: шлифовальные – 5 ед., строгальные – 11 ед., револьверные – 15 ед. Норма времени на обработку единицы изделия в каждой группе станков соответственно: 0,5 час; 1,1 час; 1,5 час.
Определите производственную мощность цеха, если известно, что режим двухсменный, продолжительность смены – 8 ч; регламентированные простои оборудования составляют 7% от режимного фонда времени, число рабочих дней в году – 255.
Решение
1.

2.
.
3.

4.

5.

Пример 2.
Ткацкая фабрика работает в две смены, количество ткацких станков на начало года 500. С 1 апреля установлено 60 станков, а 1 августа выбыли 50 станков. Число рабочих дней в году – 260, плановый процент простоев на ремонт станка – 5%, производительность одного станка – 4 м ткани в час, план выпуска продукции – 7500 тыс. м.
Рассчитайте производственную мощность фабрики по выпуску ткани и коэффициент ее использования.
Решение
1.
.
2.

3.

4.
.
Пример 3.
Определите производственную мощность цеха и коэффициент использования мощности при следующих условиях: количество однотипных станков в цехе 100 ед., с 1 ноября установлено еще 30 ед., с 1 мая выбыло 6 ед., число рабочих дней в году – 258, режим работы двухсменный, продолжительность смены – 8 час, регламентированный процент простоев на ремонт оборудования – 6% производительность одного станка – 5 деталей в час; план выпуска за год – 1700000 деталей.
Решение
1.

2.

3.

4.

Список литературы
Для подготовки данной применялись материалы сети Интернет из общего доступа