Индикаторы технико–технологической составляющей экономической безопасности предприятия
Индикаторы технико–технологической составляющей экономической безопасности предприятия
Евдокимов Ф.И., Белозубенко В.С., ДонНТУ
В виду важности технико–технологической составляющей (ТТС), обеспечение ее является приоритетной задачей для промышленного предприятия. Определить направления вложения средств в эту сферу, объемы капвложений и распределение их во времени возможно при наличии научно–обоснованных индикаторов ТТС экономической безопасности предприятия (ЭБП).
В настоящее время, в виду того, что еще не сложилась единая теоретическая концепция ЭБП, существует множество индикаторов, каждый из которых предоставляет определенные возможности в оценке, однако не обладает всецелой информативностью.
Индикаторы технико–технологической безопасности (ТТБ) можно распределить по следующим направлениям:
– реновация и воспроизводство основных производственных фондов (ОПФ);
– эффективность использования ОПФ;
– степень износа ОПФ;
– интенсивность обновления технологии;
51
– научно–производственная новизна используемой техники и технологии;
– конкурентоспособность выпускаемой продукции.
Принимая во внимание приведенные направления индикаторов, характеризующие элементы производственной сферы, систему показателей ТТБ можно представить следующим перечнем:
– ввод в действие ОПФ;
– темп обновления ОПФ (реновации);
– динамика производства (рост, спад, стабильное состояние, темп изменения);
– реальный уровень загрузки производственных мощностей;
– стабильность производственного процесса (ритмичность, уровень загруженности в течение определенного времени);
– загрузка специализированного оборудования;
– возрастная структура и технический ресурс парка машин и оборудования;
– степень износа ОПФ;
– доля НИОКР в общем объеме работ;
– доля НИР в общем объеме НИОКР;
– доступ к НОУ–ХАУ;
– количество продаваемых и покупаемых предприятием лицензий;
– количество имеющихся в распоряжении предприятия патентов;
– соотношение получаемых и уплачиваемых предприятием лицензионных выплат;
– процент выпускаемой продукции, соответствующей лучшим мировым аналогам или превосходящей их;
– аналогичный показатель соответствия мировым аналогам по используемым на предприятии видам технологического оборудования;
– процент выпускаемой продукции предприятия, защищенной патентами, принадлежащими данному предприятию;
– удельный вес технологического оборудования предприятия, разработанного на предприятии и защищенного патентами предприятия;
– удельный вес оборудования, приобретенного на основе лицензионных договоров;
– средняя заработная плата научного сотрудника за месяц;
– оценка конкурентоспособности продукции.
К вышеперечисленным индикаторам ТТС следует добавить показатели, традиционно применяемые для оценки эффективного использования фондов и технологического потенциала предприятия, в частности:
– фондоотдача ОПФ;
– коэффициент выбытия ОПФ;
– коэффициент обновления ОПФ и др.
В качестве критериев, для большей наглядности при анализе ТТС целесообразно использовать сравнение величин затратных показателей за различные периоды.
Не все перечисленные ранее индикаторы состояния ТТБ предприятия не входят напрямую в расчет каких-либо совокупных критериев ЭБП, однако они являются очень важными справочными показателями уровня технологической безопасности, могут активно использоваться при разработке комплекса мер по обеспечению соответствующего направления безопасности и должны рассчитываться при расчетах для полноты оценки.
Естественно, что приведенный перечень индикаторов требует его конкретизации для каждого вида производства, ранжирования показателей на основные и второстепенные, так как данный является предельно общим и не может использоваться универсально.
Необходимо отметить, что для технологической безопасности, как и для ЭБП в целом, важное значение имеют не столько сами показатели, сколько их пороговые значения. У большинства индикаторов не существует единых пороговых значений. Для каждого конкретного случая можно установить свои пределы и критерии для величин показателей, однако общие тенденции должны быть сходными у аналогичных показателей. В зависимости от характера показателя пороговые значения могут иметь явное (численное) либо неявное (описательное) выражение.
Таким образом, для каждого конкретного предприятия (отрасли) должна быть сформирована своя система индикаторов ТТБ и их пороговых значений в общем контексте оценки экономической безопасности.
После этого возникает проблема расчета совокупного показателя уровня ЭБП в целом по предприятию, в который составной частью входит оценка ТТС.
К примеру, придерживаясь методики оценки ущербов, состояние ТТС следует оценивать на основе частного функционального критерия (ЧФК) технологической безопасности предприятия.
Суть этого критерия состоит в оценке экономической эффективности принятых на предприятии мер по обеспечению его технологической безопасности. Данный ЧФК рассчитывается на основе соотнесения сумм предотвращенных и понесенных предприятием ущербов по ТТС с затратами на реализации мер по обеспечению технологической безопасности предприятия.
Формализовано оценку уровня технологической безопасности предприятия по ЧФК эффективности принимаемых мер по обеспечению технологической безопасности можно представить следующим образом:
ЧФК=Упр/(З+Упо), (1)
где ЧФК - частный функциональный критерий уровня ТТС; Упр - суммарный предотвращенный ущерб от реализации комплекса мер по обеспечению технологической безопасности предприятия; З - общая сумма затрат, понесенных предприятием при реализации указанного комплекса мер;
Упо - суммарный понесенный предприятием ущерб по ТТС его экономической безопасности.
Чем выше значение данного ЧФК, тем выше уровень ТТБ предприятия. Необходимо отметить также, что значение ЧФК уровня технологической безопасности используется при расчете совокупного критерия ЭБП [1].
Для полноте оценки технологической безопасности следует анализировать общий технический уровень производства. Данная категория характеризует ступень развития средств производства и прогрессивность технологии.
Обобщающий показатель технического уровня можно рассчитать таким образом:
Кту = f (X1,X2,…Xn), (2)
где f – функция–зависимость между обобщающими показателями и факторами;
X1,X2,…Xn – частные показатели, влияющие на Кту.
К факторам, влияющим на технический уровень производства, рекомендуется относить следующие:
– уровень механизации и автоматизации производства (отношение основных и вспомогательных рабочих, работающих по наблюдению за автоматами и при помощи машин, к общей численности основных и вспомогательных рабочих);
– уровень прогрессивности технологических процессов (отношение прогрессивных процессов к их общему количеству в соответствии с официальными методиками);
– средний возраст технологических процессов;
– средний возраст технологического оборудования;
– фондовооруженность труда работников фирмы (отношение стоимости активной части ОПФ к численности всех работников фирмы) [2].
В условиях отечественной экономики особенно важны обновление ОПФ и увеличение загрузки производственных мощностей. Без этих основополагающих элементов невозможно нормальное функционирование промышленного предприятия. С этой точки зрения для промышленного предприятия систему индикаторов оценки ТТС следует сформировать из таких показателей:
– темп обновления ОПФ;
– реальный уровень загрузки производственных мощностей;
– степень износа ОПФ;
– фондоотдача ОПФ;
– фондовооруженность труда;
– доля НИОКР в общем объеме работ;
– производительность труда.
При оценке ТТС важны не только индикаторы, которые наилучшим образом охарактеризуют ее. Важную роль имеют пороговые значения величин этих индикаторов. Практически каждый индикатор имеет такое предельное значение, ниже (или выше) которого наблюдается негативное влияние на уровень экономической безопасности. В связи с этим возникает проблема получения таких пределов по каждому индикатору, что объективно необходимо на практике. Рассмотрим каждый из исследуемых показателей.
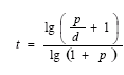
Темп обновления ОПФ обладает только нижним значением своей величины. Тенденция изменения этого показателя должна всегда стремится к его увеличению. Естественно, его рост затруднен (это тема отдельного исследования), однако уровень его не должен опускаться ниже значения, рассчитываемого по формуле [3]:

(3) где p – годовой прирост основных фондов, %;
d – коэффициент выбытия ОПФ, %.
Что касается реального уровня загрузки производственных мощностей, то целесообразно, чтобы он колебался в пределах от 90 до 100 %. В случае освоения производственной мощности ниже 90 %, можно констатировать угрозу экономической безопасности предприятия.
Степень износа ОПФ – показатель, значение которого должно стремится к минимуму. В этом случае установить верхнее пороговое значение, которое должно соответствовать сроку амортизации по каждой единице ОПФ. Уровень этого показателя можно оценивать с помощью коэффициента износа, который определяется как отношение суммы амортизационных отчислений к балансовой стоимости ОПФ (либо в целом по ОПФ, либо по отдельной единице). Так вот, значение этого показателя не должно превышать 1.
Показатель фондоотдачи характеризуется отношением стоимости объема произведенной продукции (или в натуральном выражении) к балансовой стоимости ОПФ и должен стремится к увеличению. В связи с этим верхний предел показателя необходимо установить на уровне эталонного, которым может быть максимальное его значение по отрасли или по проекту. Нижний предел целесообразно установить на уровне значения показателя базисного периода, достигнутого на предприятии либо базисного значения по проекту.
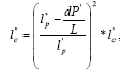
Показатель фондовооруженности труда характеризуется отношением стоимости ОПФ и численности работающий в различных интерпретациях. Он должен стремиться к
возрастанию не столько за счет уменьшения численности персонала, сколько за счет наращивания объемов технического потенциала. Поэтому необходимо задать ежегодный прирост фондовооруженности, ниже значения которого можно отметить угрозы для технико–технологической безопасности производства. Для того, чтобы прирост продукции был связан с интенсивными факторами, ежегодный прирост фондовооруженности труда должен составить [3]:

(4)
где lc” и lc ‘– фондовооруженность труда в отчетном и базисном годах;
lp” и lp’ – выработка отчетного и базисного годов;
dP’ – прирост годовой валовой продукции за счет интенсивных факторов;
L – численность промышленно–производственного персонала в отчетном году.
Доля НИОКР в общем объеме работ позволяет оценивать инновационную деятельность на предприятии. Универсальный норматив по данному показателю задать очень трудно, так как различия предприятий и отраслей по данному направлению существенны. К примеру для государства, значение этого индикатора должно составлять не ниже 5 % ВВП. Для предприятия нижний предел показателя целесообразно установить на уровне не ниже принятого по проекту или достигнутого в базисном периоде. Максимальный предел величины показателя определяется потребностью конкретного предприятия в инновациях. Он должен либо не лимитироваться, либо устанавливаться по достигнутому в целом по отрасли (или группе предприятий) значению.
Производительность труда – довольно многогранный показатель, что дает возможность оценивать с его помощью многие элементы производства. Как индикатор экономической безопасности важен прирост этого показателя. Он тесно взаимосвязан с такими показателями, как трудоемкость, фондовооруженность труда. Именно прирост фондовооруженности определяет прирост производительности труда при высоком удельном весе интенсивных факторов в росте объема продукции, что является неотъемлемым условием современного производства. Используя эту взаимосвязь, введем в расчет коэффициент эластичности фондовооруженности от производительности труда. Зависимость коэффициента эластичности от удельного веса интенсивных факторов, коими является рост фондовооруженности, можно представить в виде [3]:
КЭ=0,0006*(ИФ)2-0,0368*ИФ+1,3457, (5)
где КЭ – коэффициент фондовооруженности от производительности труда;
ИФ – прирост удельного веса интенсивных факторов (фондовооруженности труда), %.
Величина коэффициента аппроксимации составляет 0,9981.
Следовательно, представляется возможным рассчитать необходимый прирост производительности труда по формуле:
ПТ= КЭ/ (ИФ)*(in-1), (6)
где i – норматив дисконтирования;
n – количество лет, на которое осуществляется расчет.
Таким образом, нижний предел прироста производительности труда можно установить на значении 0. Верхний же предел не будет превышать 1. Необходимый уровень прироста производительности труда во взаимосвязи его с приростом фондувооруженности можно рассчитывать по формуле 6.
Итак, на основе вышеуказанных индикаторов и их пороговых значений целесообразно оценивать уровень технологической безопасности предприятия. Эти закономерности могут использоваться для построения прогнозов.
Список литературы
1. Олейников Е.А. "Основы экономической безопасности". М.-1997 г.
2. Фатхутдинов Р.А. "Инновационный менеджмент". М. - 2001 г.
3. Кваша Я.Б., Лейкина К.Б. «Фондоемкость производства: методологические аспекты». М.-1971 г.
Для подготовки данной применялись материалы сети Интернет из общего доступа