Маркетинг услуг (работа 7)
Маркетинг услуг
А.Л. Разумовская, В.М. Янченко
Ты с умом и со свечкой к нему подступай,
С упованьем и крепкой дубиной,
Понижением акций ему угрожай
И пленяй процветанья картиной…
Л. Кэрролл. «Охота на Снарка»
6.1. Получение прибыли — основная цель сервисной компании
В соответствии со статьей 779 ГК РФ к компаниям, работающим по договору возмездного оказания услуг, относятся организации, оказывающие медицинские, ветеринарные, аудиторские, консультационные, информационные услуги, а также услуги связи, услуги по обучению, туристическому и иному обслуживанию. С финансовой точки зрения любую коммерческую организацию можно рассматривать как механизм вырабатывания денежных средств, а проблемы ее развития — как способность эффективно преобразовывать имеющиеся активы в денежные средства.
В соответствии с вышесказанным, а также исходя из наиболее общего подхода к решаемой задаче, учитывающего наличие сетевых компаний, будем рассматривать отдельный филиал/представительство как самостоятельное структурное подразделение сервисной компании, осуществляющее свою производственно-хозяйственную и сбытовую деятельность в сфере оказания платных услуг и ставящее своей основной целью извлечение прибыли.
При этом мы делаем допущение, что сервисная компания, не имеющая филиалов (несетевая), рассматривается как единая бизнес-единица, следовательно, все сказанное о филиале верно и для нее. Кроме того, для упрощения понимания расчетной модели принимаем процесс оказания услуги как комплекс, состоящий из всей цепочки подготовки к самому оказанию услуги, выполняемой контактным персоналом (продажа), и, собственно, обслуживания клиента, выполняемого специалистом.
Как известно, любая коммерческая организация, оперирующая на рынке, стремится извлечь для себя максимальную коммерческую выгоду, то есть прибыль:
P
max.
Однако в конечном счете получение прибыли не является самоцелью для коммерческой организации. Прибыль используется организацией для расширения и совершенствования производства, разработки и внедрения новых услуг и т. д. Опыт показывает, что для устойчивого положения на рынке коммерческая организация должна иметь несколько «точек опоры», то есть производить разные услуги или выпускать несколько различных видов продукции.
За счет чего формируется прибыль сервисной компании? Прибыль представляет собой разницу между выручкой от реализации услуг D и полной себестоимостью оказанных услуг С:
P = D – С.
Возможности управленческого анализа, основанного на данных бухгалтерского и управленческого учета, чрезвычайно широки. Его задачей как раз и является сбор и обобщение информации, необходимой и полезной для принятия решений менеджерами и высшим руководством компании.
Ответы на поставленные вопросы в этих организациях могут быть получены на основе информации, собранной в системе «директ костинг», центральное место в которой принадлежит показателю маржинального дохода.
Управление доходами предполагает целенаправленные, последовательные и скоординированные воздействия на факторы, определяющие выработку филиала/специалиста как бизнес-единицы, с целью достижения максимального значения при результативном решении проблем клиентов и их полном удовлетворении. Управление осуществляется с помощью соответствующих процессов.
На доходы от продаж услуг влияет, как будет показано ниже, существенное число факторов, обладающих разным уровнем управляемости и значимости.
Управление доходами носит комплексный характер — в нем участвуют различные должностные лица со своими ролями, функциями, полномочиями и ответственностью. Следовательно, эффективное управление доходами возможно только при четком разделении функций, полномочий и ответственности участников процесса, регулярной оценке показателей их деятельности (вклада) и координации действий.
Управление доходами осуществляется в рамках процессов производства и продажи услуг. При этом очевидным фактом является то, что ключевой фигурой в производственно-сбытовой деятельности компании, оказывающей платные услуги, является специалист (основная — элементарная — «бизнес-единица» филиала).
Специалист не только является ключевой фигурой в процессе оказания услуги, но и сам продает ее клиенту за определенную цену. Эти права делегирует ему собственник (владелец бизнеса). Здесь важно отметить, что даже в случае разделения функций продажи и донесения параметров индивидуализированного предложения до клиента между менеджером по продажам и профильным специалистом специалист так или иначе участвует в формировании и последующем подтверждении предложения. Являясь полноправным участником рыночных отношений, специалист сам обязан «создавать» для клиента не только ценность тех услуг, которые он в состоянии предложить, но и свою «личностную» ценность. Это требование касается и других участников процесса взаимодействия с клиентом. Все они образуют единую команду, которая создает ценностное восприятие предлагаемых услуг.
В процессе предварительных переговоров с клиентом специалист (или менеджер по продажам в связке со специалистом) составляет и обсуждает план и стоимость предлагаемой клиенту индивидуализированной услуги. Опираясь на установленные в компании/филиале цены на услуги, объем и особенности работ, он договаривается с клиентом о стоимости проекта. При этом специалист в процессе совершения сделки должен стремиться получить для компании/филиала (а следовательно, и для себя) наивысшую выгоду — обеспечить компромиссно высокую стоимость работ при обязательном условии сохранения лояльного отношения клиента.
Выручку специалиста за определенный период времени d1 можно выразить через разные показатели его работы (табл. 6.1), например через количество оказанных услуг:
d1 = ∑ (ci ni),
где ci — цена i-й услуги;
ni — количество i-х услуг, оказанных специалистом за отчетный период времени.
С другой стороны, услуги специалист оказывает определенному количеству клиентов, поэтому:
d1 = ∑(Cj Nj),
где Cj — стоимость (цена) обслуживания j-го клиента;
Nj — количество клиентов, получивших маркетинговые консультации (см. табл. 6.1) у специалиста в отчетном периоде.
Таблица 6.1. Показатели работы специалиста

В процессе оказания услуг1 один и тот же клиент, как правило, получает несколько услуг за некоторое количество посещений. Следовательно,
d1 = ∑(Спi Nn),
где Cni — стоимость обслуживания на i-м посещении;
Nn — количество посещений клиентов в отчетном периоде времени.
Выручку специалиста можно также выразить и через количество рабочих дней/смен:
d1 = ∑Ссмi,
где Cсмi — выручка специалиста за i-й рабочий день/смену;
Nсм — количество рабочих дней/смен специалиста в отчетном периоде времени.
В соответствии со специализацией работники оказывают определенный вид (группу) услуг: консультационные, информационные, креативные, методические и т. д. Доход от реализации услуг одной группы Di складывается из выручек отдельных работников данной специализации:
Di = ∑di,
где di — выручка i-го работника данной специализации за отчетный период времени.
Выручка (доход) филиала/компании за отчетный период определяется суммой доходов от реализации по отдельным видам услуг:
Do = ∑Di,
где Di — выручка от реализации услуг i-й группы.
Совершенно очевидно, что базовым элементом выручки филиала/компании за отчетный период времени является выручка специалиста. Поэтому выручку филиала/компании, так же как и выручку специалиста, можно выразить через разные показатели:
Do = ∑∑∑Ссмi;
Do = ∑∑∑Сi;
Do = ∑∑∑Спi;
Do = ∑∑∑(cini).
При нормальном ведении управленческого учета для конкретного специалиста не представляет труда установить средние значения выручки за расчетную единицу времени, будь то рабочий день, смена, месяц или что-то более крупное: Ĉсм, стоимость обслуживания одного клиента Ĉ, одного посещения Ĉп и одной услуги ĉу:
Ĉсм = d1 : Nсм;
Ĉ = d1 : N = ∑Сi : N;
Ĉп = d1 : Nп = ∑СпiNп;
ĉу = d1 : nу = ∑(cini) : nу.
Аналогично можно установить средние значения Ĉсм, Ĉ, Ĉп, ĉу для каждой специализации и филиала/компании в целом. Эти величины могут быть использованы при сравнительном анализе маркетинговых показателей работы специалиста (специализации, филиала/компании), а также при планировании доходной части.
Таким образом, с математической точки зрения основными элементами, формирующими выручку филиала/компании, являются цены на услуги и спрос на услуги. В действительности эти элементы не только взаимосвязаны, но на них, в свою очередь, влияет еще достаточно большое количество факторов.
6.2. Взаимосвязь цен и спроса на услуги
На первый взгляд может показаться, что только цена активно влияет на принятие решения клиента воспользоваться платными услугами, то есть на величину спроса. Однако маркетинговая практика показывает, что немалое (а может, даже большее) влияние оказывают многие из вышеперечисленных факторов, эффект от действия которых сразу невозможно предугадать.
Как известно, вопросы ценообразования и спроса на услуги взаимосвязаны. Необоснованное завышение цен на оказываемые услуги может привести к оттоку потребителей, неполному использованию имеющихся производственных мощностей, а следовательно, к убыткам организации в целом. Гибкое ценообразование, предоставление потребителям услуг системы скидок и льгот, напротив, повышают спрос на услуги и в конечном итоге — финансовые показатели организации.
Что касается необоснованности или обоснованности цены, вопрос здесь может быть крайне неоднозначным. В главе 4 мы уже говорили о вариантах донесения до клиента ценности услуги и еще вернемся к этой теме в главе, посвященной управлению спросом. Однако именно здесь следует обратить внимание на личностные, психологические аспекты возникновения той или иной степени мотивации к получению услуг. Все зависит от того, на какой ступени пирамиды Маслоу находится услуга в момент возникновения нужды в ней. Примеры такого рода трансформаций наиболее показательны в области, связанной со здоровьем. Итак, сравним мотивацию и значимость обоснованности цены на услугу в двух случаях.
1. Клиент хочет заменить пломбу, которая, как ему кажется, уже не так хороша, как была раньше. При этом ему известно, что такого рода услуги оказывают стоматологи.
2. Клиент полночи «ходит по потолку» от острейшей зубной боли. И тоже понимает, что эту проблему может решить стоматолог.
Естественно, что важность цены в этих случаях будет очень разной вследствие огромного разрыва в мотивации к решению проблемы. В первом случае врачу придется долго обосновывать цену, так как клиенту «не очень-то и надо», а во втором клиент даже не будет спрашивать о цене и уж тем более — задумываться о ее обоснованности.
Закон спроса гласит, что потребители обычно приобретают больше товаров и услуг по низкой цене, чем по высокой. Ценовая эластичность спроса определяет чувствительность покупателей к изменениям в ценах с точки зрения количества услуг, которые они приобретают. Для установления зависимости между спросом и ценами используют различные методы:
статистический анализ имеющихся данных об установленных ценах и объемах продаж, оценка их соотношения за определенный период времени либо в различных регионах;
маркетинговый эксперимент с ценами;
опрос покупателей.
Поскольку простых услуг, оказываемых филиалом/компанией, как правило, достаточно много, равно как и факторов, влияющих на результат, точная оценка формы кривой эластичности спроса по каждому виду услуг — дело довольно сложное и трудоемкое.
Упростим задачу: уровень цен будем определять по средней стоимости (цене) одного посещения клиента, а величину текущего спроса — по количеству посещений за определенный период времени. Предположим, что зависимость между этими величинами имеет традиционную форму (рис. 6.1). Тогда для каждой конкретной специализации зависимость между уровнем цен и спросом на услуги можно выразить через коэффициент эластичности спроса:

где N n 1, N n 2 — количество посещений клиентов за определенный период времени соответственно при средней стоимости одного посещения Ĉn 1 и Ĉn 2,

Рис. 6.1. Кривая зависимости эластичности спроса
Эта формула показывает процентное изменение в величине спроса на каждый процент изменения в цене.
Зная Kэл, можно определить, как изменится количество потенциальных потребителей при снижении или повышении уровня цен на услуги.
Площадь прямоугольников ОĈn 11NĈn 1, ОĈn 22NĈn 2, ОĈn 33NĈn 3 отражает выручку от реализации услуг при разных уровнях цен.
Эластичный спрос имеет место в тех случаях, когда Kэл >1: небольшие изменения в ценах приводят к большим изменениям в размерах спроса.
Неэластичный спрос наблюдается, когда Kэл <1: ценовые изменения незначительно влияют на объем спроса.
Опыт показывает, что наличие того или иного типа спроса на товары и услуги основывается на двух критериях:
доступности альтернативных услуг;
важности их потребности.
Если потребитель считает, что существует множество аналогичных услуг или услуг-заменителей, из которых можно выбрать, и нет срочности в совершении покупки, спрос является эластичным и значительно зависит от изменений в цене.
В тех случаях, когда потребители считают, что предложения компании уникальны или существует острая необходимость в совершении сделки, спрос неэластичен, и изменения цены влияют на него незначительно.
Необходимо также учитывать важность цен для различных сегментов рынка, поскольку не все потребители услуг одинаково воспринимают их. Потребители с высоким уровнем денежного дохода могут позволить себе заплатить за услугу высокую цену, поскольку на них могут оказывать влияние (причем зачастую достаточно сильное), например, следующий фактор: что в данной компании обслуживаются известные артисты, бизнесмены, политики и прочие представители «элиты» (естественно, это утверждение актуально далеко не для всех потребителей с высоким достатком, а только для некоторых…). Пациенты же среднего достатка, естественно, ведут себя по-другому.
Поэтому, безусловно, чем выше доход, тем выше доля потребителей, согласных оплачивать и получать услуги высокого качества. При этом они рассчитывают не только на высококвалифицированное обслуживание, но и на весь комплекс услуг, включая доброжелательное, вежливое обращение, меры безопасности, предпринимаемые в офисе сервисной компании, использование новейших технологий, гарантии качества, высокий уровень ориентации на клиента среди контактного персонала.
Первичной реакцией рыночного механизма на увеличение спроса является рост цен, увеличение дохода тех сервисных компаний, которые предоставляют услуги. Вторая реакция рынка — стремление предпринимателей вложить средства в прибыльное дело. В результате предложение стремится к соответствию спросу. Условия равновесия непрерывно изменяются (см. главу 3).
Развитие рынка услуг обусловлено весьма сложными и многообразными отношениями, объективными явлениями, происходящими на макроэкономическом и микроэкономическом уровнях. Поэтому спрос на услуги, равно как и цены на них, зависят от многих факторов, которые условно можно разделить на внешние и внутренние (табл. 6.2).
|
Таблица 6.2. Внешние и внутренние факторы, оказывающие влияние на спрос |
|
|
Внешние |
Внутренние |
|
Емкость рынка: динамика и параметры платежеспособности населения (фактор «ограничения»); структура потребления (фактор «ограничения») |
Финансовые возможности: собственные (фактор «ограничения» или «оптимизации»); привлечения заемных средств (фактор «ограничения» или «оптимизации»); портфельное управление (фактор «оптимизации»); управление финансовыми потоками (фактор «оптимизации») |
|
Параметры сегмента: демография (фактор «ограничения»); другие характеристики по критериям сегментации (факторы «ограничения»); приверженность целевых потребителей к получению услуг в престижных компаниях (фактор «максимизации» для компаний, предлагающих услуги по высоким ценам); имидж компании на рынке и параметры бренда (известность торговой марки) (фактор «максимизации»); количество потребителей, лояльно настроенных по отношению к компании (фактор «максимизации») |
Ресурсные возможности: количество специалистов (фактор «оптимизации»); общее количество рабочих часов/смен, отработанных в месяц (фактор «ограничения»); наличие и работоспособность маркетинговых систем (фактор «оптимизации»); количество филиалов/представительств или более мелких бизнес-единиц (фактор «ограничения») |
|
Особенности спроса на продукт: сезонность (фактор «ограничения»); чувствительность спроса к стимулированию (фактор «ограничения»); насыщение спроса (фактор «ограничения»); местоположение филиала/компании (фактор «оптимизации») |
Уровень подготовки персонала: ассортимент услуг, которые отдельный специалист лично может предложить клиенту в процессе решения его проблемы (фактор «оптимизации»); структура специализаций (фактор «оптимизации»). Уровень владения технологиями продаж услуг: умение менеджера по продажам, специалиста и других должностных лиц, ответственных за продажи, убедить потенциального потребителя в процессе взаимодействия, что именно в данной компании могут успешно решить его проблемы (фактор «максимизации»); умение специалиста обосновать стоимость услуги и продать ее по максимально возможным ценам с сохранением лояльного отношения клиента к себе и компании (фактор «оптимизации»); качество услуг и процессов. Базовый элемент стратегии дифференциации (фактор «максимизации») |
|
Конкурентная среда: количество конкурентов и долевое распределение целевого рынка (фактор «ограничения»). Рост количества предложений для стабильного целевого рынка приводит к усилению конкуренции и перераспределению спроса на услуги. Со стороны компании требуется постоянный мониторинг рынка по данным показателям, чтобы своевременно отслеживать тенденции в их изменениях; конкурентные позиции компании (фактор «ограничения» или «максимизации»); SWOT и рыночная активность основных игроков в отрасли (факторы «ограничения» или «оптимизации») |
Материально-техническая база: количество рабочих мест (фактор «оптимизации» при создании филиала); качество услуг и процессов в части материально-технической базы. Базовый элемент стратегии дифференциации (фактор «максимизации») |
|
Профильные (отраслевые) факторы: распространенность потребности в конкретной услуге (фактор «ограничения»); осведомленность населения о возможности получения конкретной услуги и наличие представления о том, где эта услуга может быть получена (фактор «ограничения») |
Возможности сервиса: уровень сервиса в компании. Дополнительная ценность, которую создают другие участники процесса (фактор «максимизации»); качество услуг и процессов в части сервиса. Базовый элемент стратегии дифференциации (фактор «максимизации») |
|
Факторы дальнего окружения: влияние властных структур, политические влияния, общественное мнение; экологические факторы; экономические факторы; технологические факторы |
— |
Наличие большого числа факторов с разными векторами влияния и весовыми значениями делает зависимость спроса от цен на услуги неэластичной практически для всех групп населения и большей части отраслей сферы услуг. Результаты наших исследований скорее подтверждают данное предположение, чем его опровергают (рис. 6.2). Условия, при которых были получены данные, представленны на рисунке 6.2.

Рис. 6.2. Оценка зависимости спроса на стоматологические услуги от уровня цен
Вместе с тем дополнительный анализ таблицы 6.2 позволяет выделить факторы с различным уровнем управляемости со стороны сервисной компании. Для этих целей обычно определяют соответствующие процедуры. Среди них важнейшее место занимают процессы формирования ценности услуг и их продажи.
6.3. Ценность услуг, или За что платят клиенты
Коммерческая сервисная компания предлагает (продает) своим целевым потребителям производимые ею услуги и сопутствующее обслуживание на возмездной (коммерческой) основе.
Основным продуктом сервисной компании, безусловно, является услуга.
Потребителем услуги является клиент, то есть индивид, испытывающий потребность в конкретной услуге, готовый ее приобрести и оплатить.
Клиент платит за общую ценность услуг, получаемых в компании в процессе обслуживания.
Для сервисной компании, планирующей свою долгосрочную деятельность на рынке с ориентацией на стратегию высоких цен на услуги, категория «ценность» имеет ключевое значение для успешного бизнеса.
Совсем недавно у российского гражданина понятие «ценность» в приложении к услугам однозначно ассоциировалось с образом отдельного («своего») специалиста: врача, парикмахера, тренера, массажиста, кафельщика и т. п. Его профессиональные навыки и умение психологически раскрепостить клиента решали все. Остальное было фоном. Кстати, каким он может быть, этот фон, мы плохо представляли! Казалось, что с формированием рынка услуг развитие коммерческого сектора и должно было пойти по пути преобладающего увеличения доли частнопрактикующих специалистов. Однако анализ состояния нынешнего рынка показывает, что это далеко не так. Более того, на рынке преобладают небольшие и средние компании, а лидерами являются крупные.
Ошибка многих руководителей сервисных компаний в оценке услуг своих конкурентов как раз и состоит в том, что они не хотят понять: клиенты бывают разные по своим притязаниям, платежеспособности и т. д. И они относятся к услуге уже совсем не так, как раньше, а оценивают ее в комплексе, то есть через «расширенное», ценностное восприятие.
В этом отношении показателен пример, приводимый П. Дойлем. Национальная служба здравоохранения Великобритании провела опрос пациентов в некоторых больницах. Было обнаружено, что в списке приоритетов качество лечения было поставлено на 14-е место! И здесь нет парадокса. Дело в том, что потребители быстро привыкают к определенному благу и воспринимают его как само собой разумеющееся. Они ожидают, что все услуги a priori качественны и безопасны. Особенно если речь идет об услугах медицинских.
Поэтому выбор основывается на дополнительных особенностях и сопутствующем обслуживании. Для многих потребителей очень важны время и удобство, для других — сервис и т. д. Другими словами, понятие «ценность услуги» включает не только ее профильную компоненту. Так что же подпадает под категорию «ценность» в сфере услуг и кто и за счет чего может формировать именно ценностное восприятие услуги? Для этого необходимо рассмотреть эту категорию с двух позиций, то есть глазами потребителя и производителя (в данном случае сервисной компании).
Испытывая потребность в каких-либо конкретных услугах, потребитель понимает, что в процессе обмена за получение этих услуг он должен нести издержки: денежные, временные, энергетические и эмоциональные.
Понятно, что под издержками понимается некая условная величина, воспринимаемая каждым потребителем по-своему. Во-первых, ее составляющие имеют разную размерность и разную измеримость. Во-вторых, каждый человек имеет свою собственную шкалу ценностей и приоритетов. Для одних затраты на какую-либо конкретную услугу — это денежные издержки, другие далеко не на последнее место ставят эмоциональные затраты, третьи дорожат своим временем и т. д. В целом же каждому потребителю хотелось бы, чтобы суммарные издержки были минимальны, поскольку они идут для него в «минус». И это естественно!
А что взамен? А взамен потребитель желает получить такую услугу, чтобы быть твердо уверенным в полезности приобретения.
Вот эта полезность проявляется у клиента через чувство удовлетворенности, которое возникает у него, естественно, если общая ценность полученной услуги преобладает над его затратами (рис. 6.3).

Рис. 6.3. Уравнение ценности услуги, воспринимаемой потребителем
Однако не следует доводить ориентацию на потребителя до абсурда (см. главу 4). Потребители, несомненно, предпочли бы высочайшее качество, первоклассное обслуживание и минимальные цены (а лучше — вообще бесплатно, хотя «бесплатности» у нас принято бояться). Однако сервисная компания, поставившая во главу угла полное удовлетворение всех этих достаточно противоречивых желаний, поступает по меньшей мере неблагоразумно. На практике необходимо найти равновесие между интересами производителя (высокая прибыль) и желаниями потребителей (высокая ценность).
Уровень владения технологиями продаж услуг:
умение менеджера по продажам, специалиста и других должностных лиц, ответственных за продажи, убедить потенциального потребителя в процессе взаимодействия, что именно в данной компании могут успешно решить его проблемы (фактор «максимизации»);
умение специалиста обосновать стоимость услуги и продать ее по максимально возможным ценам с сохранением лояльного отношения клиента к себе и компании (фактор «оптимизации»);
качество услуг и процессов. Базовый элемент стратегии дифференциации (фактор «максимизации»)

Рис. 6.4. Уравнение прибыли для производителя услуг
Поэтому приведенное выше уравнение должно быть дополнено уравнением, отражающим интересы производителя, поскольку предложения высокой ценности для потребителя должны быть выгодны и для самой сервисной компании. Эта выгода выражается через уравнение прибыли (рис. 6.4).
Совместное решение этих уравнений позволяет установить тот баланс интересов, который отражает условия сделки между производителем и покупателем услуг (клиентом). Подход к решению системы представленных уравнений может быть разный. Можно выбрать упрощенный вариант, то есть решить для себя второе уравнение, отражающее интересы производителя. Действительно, свои общие издержки компания определит, добавит планируемую прибыль и выйдет таким образом на цены услуг. Налицо затратный метод ценообразования, широко используемый сервисными компаниями, интуитивно или сознательно выбравшими для себя стратегию минимизации издержек.
А дальше? Дальше, мол, рынок рассудит, соответствуют ли назначенные производителем цены произведенным услугам, точнее, общей ценности этих услуг. Но в данном случае под рынком понимаются прежде всего потребители, которые и регулируют соотношение через спрос на услуги. Может ли производитель услуг влиять на издержки потребителя? Может, конечно. Но вот подход к их изменению зависит от выбранной рыночной стратегии.
Например, за счет предоставления дополнительных услуг, расширения технологических и сервисных возможностей можно сократить временные, эмоциональные и энергетические издержки. Естественно, затраты производителя при этом возрастут, что не может не отразиться на его денежных издержках. Понятно, что он может пойти на это, если потребитель готов к такому перераспределению своих затрат. Но право выбора всегда остается за потребителем.
Есть, конечно, и исключения. Мы, потребители, можем, конечно, решительно отказаться от ставших притчей во языцех услуг ЖКХ, цены на которые никогда ничего общего с рынком не имели. Но с чем мы тогда останемся?!
В итоге мы снова вернулись к первому уравнению, отражающему интересы потребителя, где ключевой составляющей является общая ценность услуги.
Общая рыночная ценность услуг, создаваемых производителем, включает несколько составляющих: собственно ценность самой услуги, ценность персонала, ценность сервиса и ценность имиджа.
Если рассматривать эти составляющие по отдельности, то вряд ли кто-то будет оспаривать очевидное: основу общей ценности услуги составляет ее профильная компонента. Именно ей потребители будут отдавать приоритет во всех сегментах этого рынка. Однако если учесть особенности услуг, можно легко установить, что все перечисленные выше составляющие общей ценности взаимосвязаны. Очень часто ценность услуг отождествляется с их качеством. Хотя дать четкую оценку качеству услуг, учитывая их особенности, — задача довольно трудная не только для потребителей, но и для самих сервисных компаний.
Поэтому основным критерием суждений потребителей об общей ценности полученных услуг является их соответствие ожиданиям. Если воспринимаемая общая ценность превысила ожидания, потребитель будет доволен услугами. Если результаты не оправдали его представлений, он останется неудовлетворенным и, возможно, в следующий раз обратится в другую компанию. Это легко можно проследить прежде всего по оттоку постоянных клиентов. Ожидания потребителей формируются на основе их опыта, отзывов других потребителей, рекламы и других форм коммуникаций.
Ряд исследований, проведенных авторами, показывает, что общую ценность услуги формируют:
комплексность и качество оказания услуги (услуги предоставляются аккуратно, надежно, на стабильном уровне и с хорошей результативностью);
комфорт в процессе оказания услуги;
компетентность профильного и контактного персонала (обслуживающий персонал обладает требуемыми навыками и знаниями);
гарантии;
понимание/знание потребителя (удовлетворение индивидуальных потребностей и притязаний);
обходительность (отзывчивость, вежливость и предупредительность профильного и контактного персонала);
репутация и имидж фирмы;
доступность услуг и оперативность их предоставления (возможность выбора специалиста, филиала/представительства, времени для посещения, дополнительных услуг);
коммуникации (доступность информации об услугах компании, ее изложение на языке, понятном для потребителя);
осязаемые факторы (внешний вид сотрудников, помещений фирмы и другие факторы, отражающие имидж услуг высокого качества);
гарантии;
цены и условия оплаты;
доверительность (на компанию, равно как и ее сотрудников, можно положиться, так как они действительно стремятся удовлетворить любые запросы потребителей).
Следует подчеркнуть, что сервисная компания в процессе своей коммерческой деятельности продает не только профильные и сопутствующие услуги, но и «себя» как надежного и выгодного партнера. В результате компания реализует, по сути дела, четырехуровневую систему продаж услуг (табл. 6.3).
|
Таблица 6.3. Четыре уровня системы продажи услуг |
||||||
|
Уровень |
Что продается |
Что покупается |
Цель |
Средство |
Целевая группа |
Ресурсы: персонал, информация |
|
1. Компания |
Бренд |
Имидж, общее доверие к компании |
Сделать окружение компании более дружественным |
PR |
Местный рынок услуг (профильных) |
Персонал: менеджер по PR. Информация: о событиях в целевом сегменте |
|
2. Компания |
Ассортимент услуг и его привлекательные особенности |
УТП, понимание эксклюзивности, элитарности и особой полезности услуг компании |
Формирование в сознании потенциальных потребителей высокого уровня полезности услуг компании, четкое позиционирование услуг по отличиям от конкурентов и преимуществам перед ними |
Реклама |
Местный рынок услуг (профильных) |
Персонал: отдел продвижения услуг. Информация: о состоянии и динамике рынка |
|
3. Центр прибыли (филиал) |
Отличительные особенности услуг каждого филиала |
Полезность по цене, по месту, по времени |
Формирование покупательского поведения, направленного на филиал/ представительство/ компанию |
Директ-мейл |
В зоне или сегменте обслуживания филиала |
Персонал: отдел продвижения услуг. Информация: внешние базы данных |
|
4. Бизнес-единица (специалист) |
Отличительные особенности |
Психологический комфорт |
Формирование покупательского поведения, направленного на профильного специалиста |
Личная продажа |
В сегменте совместимых с профильным специалистом психотипов |
Персонал: отдел внутреннего маркетинга. Информация: внутренние базы данных |
Безусловно, перечисленные выше потребительские факторы приведены без ранжирования их приоритетности и в неполной мере отражают все притязания потребителей услуг. Однако несомненно одно: именно они и формируют общую ценность услуги, которая представляет единство ее качества в профильной области и потребительских свойств, обусловливающих ее способность удовлетворять определенные потребности конкретного потребителя. Поэтому общую ценность услуги потребитель воспринимает для себя как способность данной услуги удовлетворить его нужды в соответствии с ожиданиями.
Условием лояльного отношения потребителя (клиента) к компании является превышение воспринимаемой общей ценности полученных услуг над ожиданиями. Лояльное отношение потребителей к сервисной компании выражается в их постоянной приверженности и добровольной дистрибьюции предлагаемых компанией услуг. Основу общей ценности услуги составляет ее профильная компонента. Интегральным показателем (критерием) ценности услуги является удовлетворенность потребителя процессом получения услуги и результатами ее приобретения.
6.4. Особенности формирования ценности услуг в сервисных компаниях
Общую ценность услуг сервисная компания формирует на протяжении всего процесса взаимодействия с клиентом, преимущественно через своих сотрудников первой линии.
Для большинства сервисных компаний характерно:
наличие большого количества услуг (процессов), необходимых для решения индивидуальных проблем каждого потребителя;
неосязаемость многих предоставляемых услуг, вносящая субъективизм и усложняющая оценку их качества;
участие потребителя в процессах оказания услуг и высокая степень взаимодействия с персоналом;
формирование взаимоотношений с потребителем (клиентом) на различных этапах процесса взаимодействия и зависимость их результатов как от удовлетворенности клиента услугами, так и от других элементов обслуживания;
участие разных функциональных единиц компании во взаимодействии с клиентами;
необходимость в информационной и психологической подготовке и сопровождении клиентов на всех этапах взаимодействия с ними;
решающая роль клиентов в оценке качества услуг и процессов их производства;
решающая роль профильного специалиста в процессе предоставления услуг и их продажи.
На результат сделки влияют многие факторы, которыми необходимо эффективно управлять, собственно, как самому специалисту, так и другим участникам процесса продаж.
На рисунке 6.5 приведены основные внутренние факторы, влияющие на общую ценность обслуживания в сервисной компании.
Факторы сгруппированы таким образом, что:
в левой ветви, «профильной», находятся факторы, определяющие ценность предлагаемой профильной услуги;
в правой, «маркетинговой», перечислены «надстроечные» факторы, то есть повышающие общую ценность услуги.
Понятно, что если компания разработала для себя четкую концепцию маркетинга, располагает возможностями формирования ценностного восприятия клиентом предлагаемых услуг, то результаты ее работы будут успешными.
Но все ли производители услуг обладают таким потенциалом, чтобы системно, разнопланово решать эти рыночные проблемы? Безусловно, нет! Достаточно посмотреть на цепочку создания ценности услуг сервисной компании, чтобы убедиться в этом (рис. 6.6). Как следует из представленной схемы, к основной деятельности сервисной компании относится не только оказание услуг, но и интегральный маркетинг. Дело в том, что компания, являясь сервисным предприятием, относится к числу организаций с высоким уровнем взаимодействия персонала с клиентами. Вследствие этого исключительно высока роль внутреннего маркетинга, маркетинга взаимодействий и отношений.

Рис. 6.5. Основные факторы, влияющие на показатели профильного качества и удовлетворенность клиента полученными услугами

Рис. 6.6. Цепочка создания ценности по Портеру [16] (переработано)
6.5. Коммерческая ответственность должностных лиц
Одной из важнейших задач при организационном проектировании является определение в сервисной компании матрицы коммерческой ответственности. Ее назначение — закрепление коммерческой ответственности структурных подразделений и отдельных должностных лиц за получение дохода от реализации коммерческой деятельности. Ниже приведены некоторые выдержки, характеризующие подход в решении данного блока вопросов применительно к примерным должностным обязанностям троих представителей персонала первой линии:
менеджера по продажам;
профильного специалиста;
руководителя сбытового подразделения.
Ответственность менеджера по продажам за выполнение маркетинговых функций
Менеджер по продажам является в большинстве случаев первым должностным лицом, с которым потенциальный потребитель вступает в непосредственный деловой контакт. В рамках матрицы коммерческой ответственности он обязан нести ответственность за выполнение маркетинговых функций, на результаты которых он оказывает реальное влияние в процессе деятельности продавца и дистрибьютора.
В соответствии с задачами компании в области продаж услуг менеджер по продажам выполняет следующие функции.
1. Осуществляет информационно-психологическую (предпродажную) подготовку для потенциальных потребителей, обратившихся в компанию:
информирует (консультирует) потребителей об услугах и ценах;
убеждает потенциальных потребителей, что именно в данной компании (филиале) успешно решат его проблему («продает» компанию/ филиал);
договаривается с потенциальным потребителем о первичных переговорах с профильным специалистом («продает» специалиста);
распределяет первичных клиентов по специалистам в соответствии с рекомендациями руководителя сбытового подразделения;
предлагает клиенту услуги другого филиала/специалиста (при несогласии с ценой услуги или отсутствием возможности ее оказания и т. д.).
2. Организует все встречи клиента со специалистом, курирует взаимодействие с филиалом, помогает ему в решении вопросов, возникающих по ходу оформления сделки, оказания услуги или поствзаимодействия. Участвует в других мероприятиях по формированию лояльности клиентов.
3. Проводит работу по активизации дистрибьюторской функции у клиентов, посещающих филиал, выполняет дистрибьюторские функции за пределами компании в процессе неформальных отношений.
4. Обеспечивает поддержание осязаемых факторов в помещениях приема клиентов. Активно использует осязаемые факторы при формировании ценности предлагаемых услуг.
5. Организует пребывание клиента в помещениях филиала и принимает меры по предотвращению и ликвидации конфликтных ситуаций:
создает клиенту комфортные условия пребывания;
следит за соблюдением точного времени начала встречи, своевременно предупреждает специалиста о приходе (или звонке) клиента;
оперативно информирует специалиста обо всех изменениях в договоренностях с клиентом;
при наличии у клиента долга информирует специалиста об этом до начала переговоров;
при неявке клиента обязательно связывается с ним, выясняет причину неявки, необходимость новых договоренностей;
информирует руководство о недостатках, принимает меры к их ликвидации.
6. Осуществляет все процедуры, связанные с оформлением сделки, оформляет (или организует оформление) необходимые документы и ведет отчетность.
7. Составляет соответствующие финансовые и маркетинговые отчеты и передает в полном объеме информацию, касающуюся работы филиала, следующей смене.
С учетом перечисленных функций можно выделить следующие зоны маркетинговой ответственности менеджера по продажам филиала.
Ответственность за результаты первичных переговоров (зона ответственности А1):
количество первичных клиентов, с которыми достигнуты договоренности о встрече для первичных переговоров (N З), в пересчете на рабочий день/смену за определенный период времени, например месяц работы:
ηсм3 = N3 / Nсм
где Nсм — количество рабочих дней/смен, отработанных менеджером по
продажам в месяц;
доля первичных клиентов, с которыми достигнуты договоренности о первичных переговорах, от общего числа первичных обращений за определенный период времени или количества рабочих дней/смен:
η3 = N3 / Nоб
Эти показатели характеризуют продуктивность и эффективность выполнения менеджером по продажам функций, изложенных в пункте 1.
Кроме того, оценка уровня навыков менеджеров по продажам в области телефонных продаж услуги может рассчитываться с помощью контент-анализа их телефонных переговоров с клиентами, а уровень личных продаж услуги в условиях офиса — по результатам наблюдений.
Ответственность за результаты возобновления повторными клиентами отношений с компанией по получению услуг (зона ответственности А2).
Данная зона ответственности предусматривает активное участие менеджера по продажам в управлении потоком клиентов, с которыми предполагается возобновить отношения. Ролевая функция менеджера по продажам должна быть четко определена и формализована, например в рабочей инструкции, регламентирующей процесс контакта с такими клиентами.
К показателям, характеризующим продуктивность и эффективность выполнения данной функции, можно отнести:
выполнение графика контактов (взаимодействия) с клиентами по процедуре возобновления отношений (соотношение факт/план);
долю клиентов, возобновивших отношения с филиалом/компанией по результатам взаимодействия с менеджерами по продажам;
количество и характер жалоб/положительных отзывов клиентов, поступивших на менеджеров по продажам по каналам обратной связи.
Ответственность за результаты внутренней и внешней дистрибьюции (зона ответственности А3).
Зона ответственности А3 охватывает выполнение менеджером по продажам функций, соответствующих пунктам 3 и 4 его должностных обязанностей. Качественное выполнение этих функций предполагает осуществление процедур:
выяснения сути запроса (обращения) потребителя;
определения возможности удовлетворения запроса в конкретном филиале или других филиалах компании;
информирования об условиях получения запрашиваемых услуг;
информирования об ассортименте услуг компании, включая родственные бизнесы;
достижения договоренности о дате, времени и месте первичных переговоров.
Показатели продуктивности и эффективности перечисленных выше процедур оцениваются по количеству распределенных клиентов в рамках системы учета потоков дистрибьюции методом контент-анализа результатов мониторинга телефонных переговоров менеджера по продажам с клиентами или методом включенного наблюдения в ситуациях личных продаж по месту работы менеджера.
Ответственность за результаты маркетинга отношений и взаимодействия с клиентами (зона ответственности А4).
Данная зона ответственности предусматривает обязательное соблюдение менеджерами по продажам требований алгоритма взаимодействия с клиентом. Требования могут быть формализованы в виде соответствующих инструкций или правил обслуживания клиентов менеджерами филиалов. Инструкция является внутрифирменным стандартом для менеджеров по продажам и касается:
информационного сопровождения клиентов;
элементов обслуживания;
правил разрешения конфликтной ситуации;
требований к внешнему виду менеджеров по продажам.
Оценка качества исполнения менеджерами по продажам требуемого алгоритма проводится:
методом включенного наблюдения за их работой;
по отзывам клиентов (обратная связь);
по количеству жалоб, рекламаций и замечаний клиентов и сотрудников компании.
Ответственность за результаты финансовых расчетов с клиентами (зона ответственности А5).
В зону ответственности менеджера по продажам за результаты финансовых расчетов входит качество оформления расчетов и полнота информирования клиентов о цене услуг и условиях оплаты, а также подготовка (или организация подготовки) всей необходимой документации (договора, графиков оплаты, приложений, смет и т. д.):
согласование с клиентами условий договора и расчетов по нему;
порядок предоставления скидок;
условий оплаты по безналичному расчету;
условий оплаты клиентов для корпоративных партнеров;
адаптация схемы оплаты под конкретного клиента, проведение необходимых согласований и т. д.
Показатели качества работы менеджера по продажам в данной зоне его ответственности устанавливаются по результатам экспертных оценок, количеству жалоб и замечаний со стороны клиентов и сотрудников компании, взаимодействующих с ним в рамках сквозных процессов.
Ответственность профильного специалиста за выполнение маркетинговых функций
Каждая сервисная компания вправе сама решать, выполнение каких маркетинговых функций возложить на профильных специалистов. Это зависит от выбранной матрицы коммерческой ответственности. Например, в соответствии с задачами компании в области продаж услуг профильный специалист может реализовать следующие задачи:
обеспечивает самозагрузку клиентами (клиенты от «знакомых и родных») через активизацию дистрибьюции своих постоянных клиентов, выполняет дистрибьюторские функции за пределами компании в процессе неформальных отношений;
контролирует процесс возобновления отношений с клиентами, сообщая им о необходимости или возможности повторного обращения в компанию (самозагрузка «повторными» клиентами);
вносит предложения по привлечению первичных клиентов средствами функциональных подразделений компании;
определяет стоимость проекта (и, возможно, альтернативных проектов) по оказанию комплексной услуги и согласует ее с клиентом;
мотивирует клиента к принятию решения о покупке услуг, используя систему скидок, осязаемые факторы и другие средства мотивации и стимулирования;
вносит предложения по ассортименту услуг, планируемых к личному освоению, или по оптимизации услуг, предлагаемых компанией;
при несогласии клиента со стоимостью работ или невозможностью их выполнения самим специалистом предлагает клиенту услуги другого филиала компании или специалиста;
обеспечивает комфорт пребывания клиента в офисе (салоне, помещении), где проходят переговоры или процесс оказания услуги;
вносит предложения руководителю сбытового подразделения по изменению цен на услуги;
анализирует информацию по своим индивидуальным показателям, характеризующим уровень успешности выполнения функций продавца и дистрибьютора;
принимает к обязательному исполнению рекомендации, направленные на повышение уровня владения маркетинговыми технологиями, активно участвует в индивидуальных и групповых занятиях по данному направлению деятельности.
Коммерческая матрица устанавливает ответственность специалиста за результаты выполнения только тех маркетинговых функций, на результаты которых он оказывает влияние в процессе выполнения работы продавца и дистрибьютора. При этом обязанностью организации по отношению к специалисту является его маркетинговая подготовка для обеспечения необходимой компетенции при выполнении перечисленных выше функций.
Таким образом, к зоне маркетинговой ответственности профильного специалиста можно отнести следующее.
Ответственность за маркетинговые показатели спроса на собственные услуги (зона ответственности О1):
количество первичных клиентов, пришедших лично к нему по рекомендации своих клиентов или их знакомых и родных. Данный показатель отражает, насколько успешно специалист овладел и может использовать на практике методики (технологии) маркетинга взаимодействия и отношений в направлении инициации дистрибьюции своих клиентов;
количество повторных клиентов, приглашенных специалистом или — по его поручению — менеджером по продажам для возобновления отношений. В этот поток входят и постоянные клиенты, пришедшие по своей инициативе. Показатель отражает, насколько специалист активно организует свою дозагрузку клиентами, ранее закончившими у него цикл получения услуги или прервавшими его по неизвестной причине;
количество клиентов, пришедших от других специалистов (внутренняя и внешняя дистрибьюция). Показатель отражает, насколько в компании хорошо поставлена система дистрибьюции клиентов и частично — отклик других специалистов на активность данного работника.
Ответственность за маркетинговые показатели результативности первичных переговоров (зона ответственности О2):
доля клиентов, оставшихся для получения услуги после первичных переговоров. Показатель отражает умение специалиста убедить потенциального потребителя, что именно в данной компании могут решить его проблемы наилучшим образом;
структура отказов (с выделением группы отказов по причине «дорого + будет думать»). Показатель отражает умение специалиста убедить потенциального потребителя в том, что стоимость планируемого комплекса услуг соответствует по своему содержанию и качеству интересам потребителя;
количество клиентов, направленных к другим специалистам компании (показатель внутренней дистрибьюции). Этот показатель отражает активность специалиста в процессе загрузки своих коллег других специальностей. При активной работе в этом направлении специалист может рассчитывать на взаимность (отклик), то есть косвенно решать свою дозагрузку клиентами, направленными к нему специалистами других специализаций или просто другими сотрудниками;
количество клиентов, направленных в другие филиалы/представительства сетевой сервисной компании (показатель внутрисетевой дистрибьюции). Это усиливает синергетический эффект деятельности компании и инициирует обратный поток клиентов (дозагрузка).
Ответственность за результаты маркетинга отношений и взаимодействия с клиентами (зона ответственности О3):
удовлетворенность клиентов результатами решения их проблем и взаимодействием;
соответствие стоимости комплекса услуг его качеству и сформированному ценностному восприятию;
готовность клиента стать постоянным потребителем услуг специалиста, филиала/представительства, компании в целом;
готовность клиента к добровольной дистрибьюции (готовность рекомендовать специалиста, филиал/представительство, компанию в целом своим знакомым и родным).
Вышеперечисленные показатели определяются по установленной методике на основании опроса клиентов (обратная связь), закончивших или прервавших получение услуг.
Ответственность за выполнение плана продаж услуг (зона ответственности О4):
фактическая выработка в месяц (интегральный показатель, отражающий финансовую успешность работы специалиста);
коэффициент выполнения плана (показатель, отражающий объективность планирования и успешность выполнения планового задания);
стоимость одного посещения (удельный показатель, отражающий, насколько успешно специалист может продавать свои услуги). Этот показатель особенно важен при использовании в ценообразовании таких подходов, как «коэффициенты сложности» или «коридоры цен»;
количество и стоимость переделок (показатель характеризует финансовые потери компании/филиала, вызванные низким качеством предоставляемых услуг и процессов).
Все вышеперечисленные показатели могут выражаться в абсолютных и относительных величинах. Относительные или удельные показатели позволяют проводить сравнительный анализ, что является чрезвычайно важным для установления успешности выполнения своих функций профильным специалистом или другими участниками процесса.
Ответственность руководителя сбытового подразделения (или филиала) за выполнение маркетинговых функций
Объем и характер маркетинговых функций, выполняемых руководителем сбытового подразделения, зависит от размеров компании и ее организационной структуры. Чаще всего руководитель сбытового подразделения компании или филиала осуществляет следующие функции:
1) планирует (участвует в планировании) для каждого специалиста на предстоящий месяц:
количество рабочих часов/смен и график его работы;
индивидуальный план объемов продаж (выработку);
2) контролирует спрос на услуги компании/филиала/специалиста средствами сбытового подразделения компании или филиала/представительства (поток первичных клиентов от «знакомых и родных»):
анализирует информацию по потоку первичных клиентов от «знакомых и родных» и их распределение по специалистам;
контролирует индивидуальные показатели профильных специалистов по внутренней и внешней дистрибьюции и проводит с ними индивидуальную работу по улучшению показателей;
3) организует спрос на услуги компании/филиала/специалистов средствами сбытового подразделения компании или филиала/представительства (поток «повторных» клиентов):
анализирует информацию по потоку повторных клиентов в компанию/филиал и его составляющих по специалистам;
контролирует работу профильных специалистов и менеджеров по продажам по организации вызовов клиентов для возобновления отношений по получению услуг;
вносит предложения (план мероприятий) по активизации процесса;
контролирует выполнения плана мероприятий;
4) анализирует величину и структуру потока клиентов, сформированного деятельностью компании по продвижению услуг, его распределение по филиалам/специалистам. Готовит предложения для руководства/директора департамента маркетинга по активизации продвижения услуг/специалистов подразделения/филиала;
5) контролирует процесс информационно-психологической (предпродажной) подготовки клиентов:
анализирует показатели предварительной работы менеджеров по продажам;
формирует предложения по улучшению показателей работы менеджеров по продажам и организует их внедрение и контроль эффективности;
6) организует и контролирует процесс продажи услуг в подразделении/филиале:
осуществляет контроль эффективности продаж услуг специалистами по их индивидуальным показателям;
анализирует показатели результативности первичных переговоров, проводимых специалистами (отказы, цены, умение продавать и т. д.);
контролирует успешность использования профильными специалистами средств мотивации клиентов к покупке услуг;
вносит предложения по улучшению показателей продаж специалистов;
анализирует ассортимент услуг, предлагаемых компанией/филиалом;
вносит предложения по оптимизации ассортимента услуг для руководства компании;
организует внедрение услуг в подразделении/филиале в соответствии с утвержденным планом и выделенной ответственностью в рамках регламентирующих документов;
вносит предложения по установлению цен на новые услуги и изменению цен на существующие;
7) организует и контролирует работу в подразделении/филиале по обслуживанию клиентов в рамках системы сервиса и осязаемых факторов:
контролирует выполнение принятых для подразделения/филиала стандартов и требований нормативной документации по осязаемым факторам и организации сервиса;
проводит анализ отклонений и организует их устранение;
8) анализирует результаты работы подразделения/филиала за отчетный период. Вносит предложения по улучшению показателей работы конкретных исполнителей;
9) организует составление отчетов на бумажных носителях или в электронном виде в соответствии с утвержденными перечнем и формами;
10) вносит предложения по развитию компании/подразделения/филиала, стратегии их рыночного поведения.
Руководитель сбытового подразделения обязан периодически (ежемесячно, раз в квартал) проводить совещание специалистов для рассмотрения и анализа результатов их маркетинговой деятельности за предыдущий период. При невыполнении основного показателя — плана продаж за месяц, руководитель сбытового подразделения устанавливает причины его невыполнения (анализ промежуточных показателей). Для анализа используется информация, предоставляемая специалистами и менеджерами по продажам, а также отделом внутреннего маркетинга.
По результатам анализа руководитель сбытового подразделения формирует предложения для устранения выявленных отклонений и организует их выполнение в рамках своих полномочий и ответственности, а при необходимости обращается к высшему руководству.
Кроме того, в функции руководителя сбытового подразделения входит контроль наличия и состояния осязаемых факторов в подразделении/филиале и на рабочих местах сотрудников (менеджеров по продажам и специалистов), свидетельствующих о высоком уровне качества обслуживания и способствующих продаже услуг по высоким ценам. При установлении несоответствия внутрифирменным требованиям он незамедлительно обязан обратиться к руководству.
В его задачи входит постоянный анализ соотношения спрос/цена на услуги в подразделении/филиале, для чего он привлекает службу маркетинга. При необходимости он формирует предложения об изменении цен на услуги или их ассортимент и передает их на рассмотрение руководству.
6.6. Планирование доходов
Правильно спланировать работу филиала/представительства на предстоящий период времени — значит сделать существенный шаг к достижению поставленной цели. В качестве цели мы в данном случае рассматриваем максимизацию дохода филиала как основного производственно-сбытового подразделения компании. При этом предполагается, что стремление обеспечить получение максимально возможного финансового результата не противоречит стратегическим целям компании, исключает нарушение принятых стандартов и этических норм. В качестве одной из стратегических целей можно выделить сохранение лояльности клиентов к филиалу/представительству и компании в целом.
В принципе действующий филиал/представительство может находиться в одном из двух состояний:
выхода на проектную мощность после открытия;
работа в установившемся или близком к нему режиме на рынке услуг.
Независимо от состояния, каждый филиал/представительство обладает определенным производственно-сбытовым потенциалом. Определение этого потенциала является первой задачей или этапом планирования. Второй этап в планировании предполагает решение более сложной задачи, относящейся к числу оптимизационных, так как эффективное использование производственно-сбытового потенциала возможно только при оптимальном сочетании всех факторов, влияющих на доходность филиала/представительства.
Оба вышеназванных этапа составляют традиционные стадии планирования в управленческом цикле.
Рассмотрим более подробно задачи, которые приходится решать в процессе планирования, на примере филиала, в котором услуги оказываются на двух рабочих местах. Для максимально возможного использования производственных мощностей филиал рассчитан на двухсменную работу, с длительностью одной смены 6 часов.
Как было установлено выше, одним из существенных факторов, влияющих на выработку специалиста, является число смен, которые он отрабатывает, например, в месяц.
Для выбранного филиала временной потенциал определяется через максимально возможное число смен в месяц (Nсммакс), а следовательно, и соответствующий фонд рабочего времени (Fрврмакс):
Nсммакс = Nкр × nсм/день × nраб.дн,
Fрврмак = Nсммакс × tсм,
где: Nкр — число рабочих мест профильных специалистов;
nсм/день — количество смен в день;
nраб.дн — количество дней в месяце;
tсм — длительность смены, часов.
Нетрудно подсчитать, что для месяца с nраб.дн = 30 дней : Nсммакс = 120 смен, Fмакс = 720 часов, а для месяца с nраб.дн = 31 день : Nсммакс = 124 смены, Fмакс = 844 часа.
Для филиала эти временные показатели, собственно, и отражают максимальный временной ресурс, в течение которого он может осуществлять свою производственно-сбытовую деятельность. Если в филиале планируется меньшее число смен в месяц (Nсм), то коэффициент использования рабочего времени (Kрвр) будет меньше единицы:
Kрвр = Nсм / Nсммакс или
Kрвр = Fрвр / Fрврмакс .
В действительности плановое значение коэффициента использования рабочего времени определяется с учетом плановых простоев оборудования (Fплпр). Эти простои могут быть вызваны необходимостью профилактических ремонтов оборудования или помещений, режимом работы филиала в воскресные и праздничные дни и т. д. С учетом этих факторов устанавливаются расчетные плановые показатели:
Fрвр = Fрврмакс – Fплпр,
Nсм = Fрвр / tсм.
Например, в планируемом месяце (30 дней) предстоит один праздничный день и четыре воскресных, для которых запланирован режим работы:
воскресный день — работает одна установка в две смены (простои составляют 1 рм × 4 дн × 2 см × 6 ч = 48 ч);
праздничный день — выходной (простои составляют 2 рм × 1 дн × 2 см × × 6 ч = 24 ч).
В результате принятых допущений вышеустановленные показатели приобретают плановые задания в виде следующих численных значений:
Fрвр = 720 – 48 – 24 = 648 ч,
Nсм = 648 ч / 6 ч = 108 смен,
Kрвр = 648 ч / 720 ч = 0,9.
Очевидно, что для рассматриваемого примера временной ресурс работы филиала составляет 90 % от максимально возможного. Если принять в качестве усредненного норматива работы одного специалиста 22 рабочие смены в месяц, то для филиала с двумя оборудованными рабочими местами профильных специалистов потребность в специалистах (если они работают в одиночку) составит примерно пять штатных единиц.
В идеальном случае, если бы все специалисты являлись «универсалами», то они без труда решили бы все проблемы клиентов, обратившихся за услугами в филиал. Структура спроса на услуги не играла бы существенной роли, так как профильные возможности каждого специалиста покрывали бы потребности клиентов, обратившихся за получением услуг.
На самом деле структура спроса на услуги, их количество и трудоемкость выполнения определяет ассортимент услуг, который должен предоставлять филиал, специализацию профильных специалистов, их количество и загрузку. Собственно, как уже отмечалось выше, это и есть вторая задача планирования работы филиала. Ее квалифицированное решение возможно при условии, что в компании хорошо поставлен управленческий учет и в распоряжении менеджеров, планирующих показатели работы, имеются данные за предыдущий период работы подразделения.
При выполнении этих условий упрощается процедура планирования показателей работы методом «от достигнутого». Необходимый для планирования банк данных рассматривается нами предметно в главе 5, в разделе «Маркетинговая информационная система». Отметим лишь, что наличие в компании регулярного менеджмента предполагает внедрение автоматизированной системы управленческого учета, позволяющей вести оперативный мониторинг всех показателей специалистов и филиала/представительства в целом.
В качестве исходных данных, необходимых для планирования, система управленческого учета должна предоставить за прошедший период (год, а лучше два-три):
1) выручку филиала/представительства за год и ее распределение по месяцам и видам работ;
2) состав специалистов, их специализации (виды выполняемых работ);
3) количество рабочих часов/смен по месяцам и их распределение по профильным специалистам соответствующих специальностей;
4) загрузку производственного подразделения по месяцам;
5) по каждому специалисту (производственной единице) по месяцам:
количество отработанных часов/смен;
загрузку;
выручку;
среднюю выручку в смену/рабочий день/час.
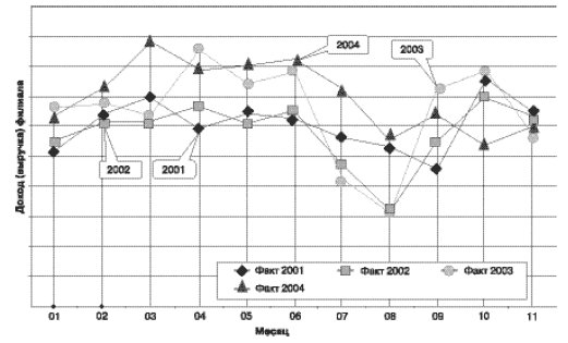
На основании исходных данных составляется план-прогноз основных показателей работы специалиста/филиала на год/квартал/месяц. Для примера на рисунке 6.7 показана динамика изменения выручки филиала, состоящего из двух производственных бригад (или специалистов), по месяцам для четырех лет.
Опыт показывает, что процедура планирования — задача непростая и требует соответствующей квалификации менеджеров при условии, что в компании базовые процессы имеют высокий уровень «зрелости». Особенно это касается процессов, определяющих формирование спроса на услуги и управление ценообразованием.

Рис. 6.7. Динамика изменения выручки филиала на два рабочих места

1 Исключение составляют разовые услуги (моноуслуги), такие, например, как заключение сделки в области долевого строительства (практически никогда не бывают частыми).
Список литературы
Для подготовки данной применялись материалы сети Интернет из общего доступа
А.Л. Разумовская, В.М. Янченко
Ты с умом и со свечкой к нему подступай,
С упованьем и крепкой дубиной,
Понижением акций ему угрожай
И пленяй процветанья картиной…
Л. Кэрролл. «Охота на Снарка»
6.1. Получение прибыли — основная цель сервисной компании
В соответствии со статьей 779 ГК РФ к компаниям, работающим по договору возмездного оказания услуг, относятся организации, оказывающие медицинские, ветеринарные, аудиторские, консультационные, информационные услуги, а также услуги связи, услуги по обучению, туристическому и иному обслуживанию. С финансовой точки зрения любую коммерческую организацию можно рассматривать как механизм вырабатывания денежных средств, а проблемы ее развития — как способность эффективно преобразовывать имеющиеся активы в денежные средства.
В соответствии с вышесказанным, а также исходя из наиболее общего подхода к решаемой задаче, учитывающего наличие сетевых компаний, будем рассматривать отдельный филиал/представительство как самостоятельное структурное подразделение сервисной компании, осуществляющее свою производственно-хозяйственную и сбытовую деятельность в сфере оказания платных услуг и ставящее своей основной целью извлечение прибыли.
При этом мы делаем допущение, что сервисная компания, не имеющая филиалов (несетевая), рассматривается как единая бизнес-единица, следовательно, все сказанное о филиале верно и для нее. Кроме того, для упрощения понимания расчетной модели принимаем процесс оказания услуги как комплекс, состоящий из всей цепочки подготовки к самому оказанию услуги, выполняемой контактным персоналом (продажа), и, собственно, обслуживания клиента, выполняемого специалистом.
Как известно, любая коммерческая организация, оперирующая на рынке, стремится извлечь для себя максимальную коммерческую выгоду, то есть прибыль:
P
max.
Однако в конечном счете получение прибыли не является самоцелью для коммерческой организации. Прибыль используется организацией для расширения и совершенствования производства, разработки и внедрения новых услуг и т. д. Опыт показывает, что для устойчивого положения на рынке коммерческая организация должна иметь несколько «точек опоры», то есть производить разные услуги или выпускать несколько различных видов продукции.
За счет чего формируется прибыль сервисной компании? Прибыль представляет собой разницу между выручкой от реализации услуг D и полной себестоимостью оказанных услуг С:
P = D – С.
Возможности управленческого анализа, основанного на данных бухгалтерского и управленческого учета, чрезвычайно широки. Его задачей как раз и является сбор и обобщение информации, необходимой и полезной для принятия решений менеджерами и высшим руководством компании.
Ответы на поставленные вопросы в этих организациях могут быть получены на основе информации, собранной в системе «директ костинг», центральное место в которой принадлежит показателю маржинального дохода.
Управление доходами предполагает целенаправленные, последовательные и скоординированные воздействия на факторы, определяющие выработку филиала/специалиста как бизнес-единицы, с целью достижения максимального значения при результативном решении проблем клиентов и их полном удовлетворении. Управление осуществляется с помощью соответствующих процессов.
На доходы от продаж услуг влияет, как будет показано ниже, существенное число факторов, обладающих разным уровнем управляемости и значимости.
Управление доходами носит комплексный характер — в нем участвуют различные должностные лица со своими ролями, функциями, полномочиями и ответственностью. Следовательно, эффективное управление доходами возможно только при четком разделении функций, полномочий и ответственности участников процесса, регулярной оценке показателей их деятельности (вклада) и координации действий.
Управление доходами осуществляется в рамках процессов производства и продажи услуг. При этом очевидным фактом является то, что ключевой фигурой в производственно-сбытовой деятельности компании, оказывающей платные услуги, является специалист (основная — элементарная — «бизнес-единица» филиала).
Специалист не только является ключевой фигурой в процессе оказания услуги, но и сам продает ее клиенту за определенную цену. Эти права делегирует ему собственник (владелец бизнеса). Здесь важно отметить, что даже в случае разделения функций продажи и донесения параметров индивидуализированного предложения до клиента между менеджером по продажам и профильным специалистом специалист так или иначе участвует в формировании и последующем подтверждении предложения. Являясь полноправным участником рыночных отношений, специалист сам обязан «создавать» для клиента не только ценность тех услуг, которые он в состоянии предложить, но и свою «личностную» ценность. Это требование касается и других участников процесса взаимодействия с клиентом. Все они образуют единую команду, которая создает ценностное восприятие предлагаемых услуг.
В процессе предварительных переговоров с клиентом специалист (или менеджер по продажам в связке со специалистом) составляет и обсуждает план и стоимость предлагаемой клиенту индивидуализированной услуги. Опираясь на установленные в компании/филиале цены на услуги, объем и особенности работ, он договаривается с клиентом о стоимости проекта. При этом специалист в процессе совершения сделки должен стремиться получить для компании/филиала (а следовательно, и для себя) наивысшую выгоду — обеспечить компромиссно высокую стоимость работ при обязательном условии сохранения лояльного отношения клиента.
Выручку специалиста за определенный период времени d1 можно выразить через разные показатели его работы (табл. 6.1), например через количество оказанных услуг:
d1 = ∑ (ci ni),
где ci — цена i-й услуги;
ni — количество i-х услуг, оказанных специалистом за отчетный период времени.
С другой стороны, услуги специалист оказывает определенному количеству клиентов, поэтому:
d1 = ∑(Cj Nj),
где Cj — стоимость (цена) обслуживания j-го клиента;
Nj — количество клиентов, получивших маркетинговые консультации (см. табл. 6.1) у специалиста в отчетном периоде.
Таблица 6.1. Показатели работы специалиста

В процессе оказания услуг1 один и тот же клиент, как правило, получает несколько услуг за некоторое количество посещений. Следовательно,
d1 = ∑(Спi Nn),
где Cni — стоимость обслуживания на i-м посещении;
Nn — количество посещений клиентов в отчетном периоде времени.
Выручку специалиста можно также выразить и через количество рабочих дней/смен:
d1 = ∑Ссмi,
где Cсмi — выручка специалиста за i-й рабочий день/смену;
Nсм — количество рабочих дней/смен специалиста в отчетном периоде времени.
В соответствии со специализацией работники оказывают определенный вид (группу) услуг: консультационные, информационные, креативные, методические и т. д. Доход от реализации услуг одной группы Di складывается из выручек отдельных работников данной специализации:
Di = ∑di,
где di — выручка i-го работника данной специализации за отчетный период времени.
Выручка (доход) филиала/компании за отчетный период определяется суммой доходов от реализации по отдельным видам услуг:
Do = ∑Di,
где Di — выручка от реализации услуг i-й группы.
Совершенно очевидно, что базовым элементом выручки филиала/компании за отчетный период времени является выручка специалиста. Поэтому выручку филиала/компании, так же как и выручку специалиста, можно выразить через разные показатели:
Do = ∑∑∑Ссмi;
Do = ∑∑∑Сi;
Do = ∑∑∑Спi;
Do = ∑∑∑(cini).
При нормальном ведении управленческого учета для конкретного специалиста не представляет труда установить средние значения выручки за расчетную единицу времени, будь то рабочий день, смена, месяц или что-то более крупное: Ĉсм, стоимость обслуживания одного клиента Ĉ, одного посещения Ĉп и одной услуги ĉу:
Ĉсм = d1 : Nсм;
Ĉ = d1 : N = ∑Сi : N;
Ĉп = d1 : Nп = ∑СпiNп;
ĉу = d1 : nу = ∑(cini) : nу.
Аналогично можно установить средние значения Ĉсм, Ĉ, Ĉп, ĉу для каждой специализации и филиала/компании в целом. Эти величины могут быть использованы при сравнительном анализе маркетинговых показателей работы специалиста (специализации, филиала/компании), а также при планировании доходной части.
Таким образом, с математической точки зрения основными элементами, формирующими выручку филиала/компании, являются цены на услуги и спрос на услуги. В действительности эти элементы не только взаимосвязаны, но на них, в свою очередь, влияет еще достаточно большое количество факторов.
6.2. Взаимосвязь цен и спроса на услуги
На первый взгляд может показаться, что только цена активно влияет на принятие решения клиента воспользоваться платными услугами, то есть на величину спроса. Однако маркетинговая практика показывает, что немалое (а может, даже большее) влияние оказывают многие из вышеперечисленных факторов, эффект от действия которых сразу невозможно предугадать.
Как известно, вопросы ценообразования и спроса на услуги взаимосвязаны. Необоснованное завышение цен на оказываемые услуги может привести к оттоку потребителей, неполному использованию имеющихся производственных мощностей, а следовательно, к убыткам организации в целом. Гибкое ценообразование, предоставление потребителям услуг системы скидок и льгот, напротив, повышают спрос на услуги и в конечном итоге — финансовые показатели организации.
Что касается необоснованности или обоснованности цены, вопрос здесь может быть крайне неоднозначным. В главе 4 мы уже говорили о вариантах донесения до клиента ценности услуги и еще вернемся к этой теме в главе, посвященной управлению спросом. Однако именно здесь следует обратить внимание на личностные, психологические аспекты возникновения той или иной степени мотивации к получению услуг. Все зависит от того, на какой ступени пирамиды Маслоу находится услуга в момент возникновения нужды в ней. Примеры такого рода трансформаций наиболее показательны в области, связанной со здоровьем. Итак, сравним мотивацию и значимость обоснованности цены на услугу в двух случаях.
1. Клиент хочет заменить пломбу, которая, как ему кажется, уже не так хороша, как была раньше. При этом ему известно, что такого рода услуги оказывают стоматологи.
2. Клиент полночи «ходит по потолку» от острейшей зубной боли. И тоже понимает, что эту проблему может решить стоматолог.
Естественно, что важность цены в этих случаях будет очень разной вследствие огромного разрыва в мотивации к решению проблемы. В первом случае врачу придется долго обосновывать цену, так как клиенту «не очень-то и надо», а во втором клиент даже не будет спрашивать о цене и уж тем более — задумываться о ее обоснованности.
Закон спроса гласит, что потребители обычно приобретают больше товаров и услуг по низкой цене, чем по высокой. Ценовая эластичность спроса определяет чувствительность покупателей к изменениям в ценах с точки зрения количества услуг, которые они приобретают. Для установления зависимости между спросом и ценами используют различные методы:
статистический анализ имеющихся данных об установленных ценах и объемах продаж, оценка их соотношения за определенный период времени либо в различных регионах;
маркетинговый эксперимент с ценами;
опрос покупателей.
Поскольку простых услуг, оказываемых филиалом/компанией, как правило, достаточно много, равно как и факторов, влияющих на результат, точная оценка формы кривой эластичности спроса по каждому виду услуг — дело довольно сложное и трудоемкое.
Упростим задачу: уровень цен будем определять по средней стоимости (цене) одного посещения клиента, а величину текущего спроса — по количеству посещений за определенный период времени. Предположим, что зависимость между этими величинами имеет традиционную форму (рис. 6.1). Тогда для каждой конкретной специализации зависимость между уровнем цен и спросом на услуги можно выразить через коэффициент эластичности спроса:

где N n 1, N n 2 — количество посещений клиентов за определенный период времени соответственно при средней стоимости одного посещения Ĉn 1 и Ĉn 2,

Рис. 6.1. Кривая зависимости эластичности спроса
Эта формула показывает процентное изменение в величине спроса на каждый процент изменения в цене.
Зная Kэл, можно определить, как изменится количество потенциальных потребителей при снижении или повышении уровня цен на услуги.
Площадь прямоугольников ОĈn 11NĈn 1, ОĈn 22NĈn 2, ОĈn 33NĈn 3 отражает выручку от реализации услуг при разных уровнях цен.
Эластичный спрос имеет место в тех случаях, когда Kэл >1: небольшие изменения в ценах приводят к большим изменениям в размерах спроса.
Неэластичный спрос наблюдается, когда Kэл <1: ценовые изменения незначительно влияют на объем спроса.
Опыт показывает, что наличие того или иного типа спроса на товары и услуги основывается на двух критериях:
доступности альтернативных услуг;
важности их потребности.
Если потребитель считает, что существует множество аналогичных услуг или услуг-заменителей, из которых можно выбрать, и нет срочности в совершении покупки, спрос является эластичным и значительно зависит от изменений в цене.
В тех случаях, когда потребители считают, что предложения компании уникальны или существует острая необходимость в совершении сделки, спрос неэластичен, и изменения цены влияют на него незначительно.
Необходимо также учитывать важность цен для различных сегментов рынка, поскольку не все потребители услуг одинаково воспринимают их. Потребители с высоким уровнем денежного дохода могут позволить себе заплатить за услугу высокую цену, поскольку на них могут оказывать влияние (причем зачастую достаточно сильное), например, следующий фактор: что в данной компании обслуживаются известные артисты, бизнесмены, политики и прочие представители «элиты» (естественно, это утверждение актуально далеко не для всех потребителей с высоким достатком, а только для некоторых…). Пациенты же среднего достатка, естественно, ведут себя по-другому.
Поэтому, безусловно, чем выше доход, тем выше доля потребителей, согласных оплачивать и получать услуги высокого качества. При этом они рассчитывают не только на высококвалифицированное обслуживание, но и на весь комплекс услуг, включая доброжелательное, вежливое обращение, меры безопасности, предпринимаемые в офисе сервисной компании, использование новейших технологий, гарантии качества, высокий уровень ориентации на клиента среди контактного персонала.
Первичной реакцией рыночного механизма на увеличение спроса является рост цен, увеличение дохода тех сервисных компаний, которые предоставляют услуги. Вторая реакция рынка — стремление предпринимателей вложить средства в прибыльное дело. В результате предложение стремится к соответствию спросу. Условия равновесия непрерывно изменяются (см. главу 3).
Развитие рынка услуг обусловлено весьма сложными и многообразными отношениями, объективными явлениями, происходящими на макроэкономическом и микроэкономическом уровнях. Поэтому спрос на услуги, равно как и цены на них, зависят от многих факторов, которые условно можно разделить на внешние и внутренние (табл. 6.2).
|
Таблица 6.2. Внешние и внутренние факторы, оказывающие влияние на спрос |
|
|
Внешние |
Внутренние |
|
Емкость рынка: динамика и параметры платежеспособности населения (фактор «ограничения»); структура потребления (фактор «ограничения») |
Финансовые возможности: собственные (фактор «ограничения» или «оптимизации»); привлечения заемных средств (фактор «ограничения» или «оптимизации»); портфельное управление (фактор «оптимизации»); управление финансовыми потоками (фактор «оптимизации») |
|
Параметры сегмента: демография (фактор «ограничения»); другие характеристики по критериям сегментации (факторы «ограничения»); приверженность целевых потребителей к получению услуг в престижных компаниях (фактор «максимизации» для компаний, предлагающих услуги по высоким ценам); имидж компании на рынке и параметры бренда (известность торговой марки) (фактор «максимизации»); количество потребителей, лояльно настроенных по отношению к компании (фактор «максимизации») |
Ресурсные возможности: количество специалистов (фактор «оптимизации»); общее количество рабочих часов/смен, отработанных в месяц (фактор «ограничения»); наличие и работоспособность маркетинговых систем (фактор «оптимизации»); количество филиалов/представительств или более мелких бизнес-единиц (фактор «ограничения») |
|
Особенности спроса на продукт: сезонность (фактор «ограничения»); чувствительность спроса к стимулированию (фактор «ограничения»); насыщение спроса (фактор «ограничения»); местоположение филиала/компании (фактор «оптимизации») |
Уровень подготовки персонала: ассортимент услуг, которые отдельный специалист лично может предложить клиенту в процессе решения его проблемы (фактор «оптимизации»); структура специализаций (фактор «оптимизации»). Уровень владения технологиями продаж услуг: умение менеджера по продажам, специалиста и других должностных лиц, ответственных за продажи, убедить потенциального потребителя в процессе взаимодействия, что именно в данной компании могут успешно решить его проблемы (фактор «максимизации»); умение специалиста обосновать стоимость услуги и продать ее по максимально возможным ценам с сохранением лояльного отношения клиента к себе и компании (фактор «оптимизации»); качество услуг и процессов. Базовый элемент стратегии дифференциации (фактор «максимизации») |
|
Конкурентная среда: количество конкурентов и долевое распределение целевого рынка (фактор «ограничения»). Рост количества предложений для стабильного целевого рынка приводит к усилению конкуренции и перераспределению спроса на услуги. Со стороны компании требуется постоянный мониторинг рынка по данным показателям, чтобы своевременно отслеживать тенденции в их изменениях; конкурентные позиции компании (фактор «ограничения» или «максимизации»); SWOT и рыночная активность основных игроков в отрасли (факторы «ограничения» или «оптимизации») |
Материально-техническая база: количество рабочих мест (фактор «оптимизации» при создании филиала); качество услуг и процессов в части материально-технической базы. Базовый элемент стратегии дифференциации (фактор «максимизации») |
|
Профильные (отраслевые) факторы: распространенность потребности в конкретной услуге (фактор «ограничения»); осведомленность населения о возможности получения конкретной услуги и наличие представления о том, где эта услуга может быть получена (фактор «ограничения») |
Возможности сервиса: уровень сервиса в компании. Дополнительная ценность, которую создают другие участники процесса (фактор «максимизации»); качество услуг и процессов в части сервиса. Базовый элемент стратегии дифференциации (фактор «максимизации») |
|
Факторы дальнего окружения: влияние властных структур, политические влияния, общественное мнение; экологические факторы; экономические факторы; технологические факторы |
— |
Наличие большого числа факторов с разными векторами влияния и весовыми значениями делает зависимость спроса от цен на услуги неэластичной практически для всех групп населения и большей части отраслей сферы услуг. Результаты наших исследований скорее подтверждают данное предположение, чем его опровергают (рис. 6.2). Условия, при которых были получены данные, представленны на рисунке 6.2.

Рис. 6.2. Оценка зависимости спроса на стоматологические услуги от уровня цен
Вместе с тем дополнительный анализ таблицы 6.2 позволяет выделить факторы с различным уровнем управляемости со стороны сервисной компании. Для этих целей обычно определяют соответствующие процедуры. Среди них важнейшее место занимают процессы формирования ценности услуг и их продажи.
6.3. Ценность услуг, или За что платят клиенты
Коммерческая сервисная компания предлагает (продает) своим целевым потребителям производимые ею услуги и сопутствующее обслуживание на возмездной (коммерческой) основе.
Основным продуктом сервисной компании, безусловно, является услуга.
Потребителем услуги является клиент, то есть индивид, испытывающий потребность в конкретной услуге, готовый ее приобрести и оплатить.
Клиент платит за общую ценность услуг, получаемых в компании в процессе обслуживания.
Для сервисной компании, планирующей свою долгосрочную деятельность на рынке с ориентацией на стратегию высоких цен на услуги, категория «ценность» имеет ключевое значение для успешного бизнеса.
Совсем недавно у российского гражданина понятие «ценность» в приложении к услугам однозначно ассоциировалось с образом отдельного («своего») специалиста: врача, парикмахера, тренера, массажиста, кафельщика и т. п. Его профессиональные навыки и умение психологически раскрепостить клиента решали все. Остальное было фоном. Кстати, каким он может быть, этот фон, мы плохо представляли! Казалось, что с формированием рынка услуг развитие коммерческого сектора и должно было пойти по пути преобладающего увеличения доли частнопрактикующих специалистов. Однако анализ состояния нынешнего рынка показывает, что это далеко не так. Более того, на рынке преобладают небольшие и средние компании, а лидерами являются крупные.
Ошибка многих руководителей сервисных компаний в оценке услуг своих конкурентов как раз и состоит в том, что они не хотят понять: клиенты бывают разные по своим притязаниям, платежеспособности и т. д. И они относятся к услуге уже совсем не так, как раньше, а оценивают ее в комплексе, то есть через «расширенное», ценностное восприятие.
В этом отношении показателен пример, приводимый П. Дойлем. Национальная служба здравоохранения Великобритании провела опрос пациентов в некоторых больницах. Было обнаружено, что в списке приоритетов качество лечения было поставлено на 14-е место! И здесь нет парадокса. Дело в том, что потребители быстро привыкают к определенному благу и воспринимают его как само собой разумеющееся. Они ожидают, что все услуги a priori качественны и безопасны. Особенно если речь идет об услугах медицинских.
Поэтому выбор основывается на дополнительных особенностях и сопутствующем обслуживании. Для многих потребителей очень важны время и удобство, для других — сервис и т. д. Другими словами, понятие «ценность услуги» включает не только ее профильную компоненту. Так что же подпадает под категорию «ценность» в сфере услуг и кто и за счет чего может формировать именно ценностное восприятие услуги? Для этого необходимо рассмотреть эту категорию с двух позиций, то есть глазами потребителя и производителя (в данном случае сервисной компании).
Испытывая потребность в каких-либо конкретных услугах, потребитель понимает, что в процессе обмена за получение этих услуг он должен нести издержки: денежные, временные, энергетические и эмоциональные.
Понятно, что под издержками понимается некая условная величина, воспринимаемая каждым потребителем по-своему. Во-первых, ее составляющие имеют разную размерность и разную измеримость. Во-вторых, каждый человек имеет свою собственную шкалу ценностей и приоритетов. Для одних затраты на какую-либо конкретную услугу — это денежные издержки, другие далеко не на последнее место ставят эмоциональные затраты, третьи дорожат своим временем и т. д. В целом же каждому потребителю хотелось бы, чтобы суммарные издержки были минимальны, поскольку они идут для него в «минус». И это естественно!
А что взамен? А взамен потребитель желает получить такую услугу, чтобы быть твердо уверенным в полезности приобретения.
Вот эта полезность проявляется у клиента через чувство удовлетворенности, которое возникает у него, естественно, если общая ценность полученной услуги преобладает над его затратами (рис. 6.3).

Рис. 6.3. Уравнение ценности услуги, воспринимаемой потребителем
Однако не следует доводить ориентацию на потребителя до абсурда (см. главу 4). Потребители, несомненно, предпочли бы высочайшее качество, первоклассное обслуживание и минимальные цены (а лучше — вообще бесплатно, хотя «бесплатности» у нас принято бояться). Однако сервисная компания, поставившая во главу угла полное удовлетворение всех этих достаточно противоречивых желаний, поступает по меньшей мере неблагоразумно. На практике необходимо найти равновесие между интересами производителя (высокая прибыль) и желаниями потребителей (высокая ценность).
Уровень владения технологиями продаж услуг:
умение менеджера по продажам, специалиста и других должностных лиц, ответственных за продажи, убедить потенциального потребителя в процессе взаимодействия, что именно в данной компании могут успешно решить его проблемы (фактор «максимизации»);
умение специалиста обосновать стоимость услуги и продать ее по максимально возможным ценам с сохранением лояльного отношения клиента к себе и компании (фактор «оптимизации»);
качество услуг и процессов. Базовый элемент стратегии дифференциации (фактор «максимизации»)

Рис. 6.4. Уравнение прибыли для производителя услуг
Поэтому приведенное выше уравнение должно быть дополнено уравнением, отражающим интересы производителя, поскольку предложения высокой ценности для потребителя должны быть выгодны и для самой сервисной компании. Эта выгода выражается через уравнение прибыли (рис. 6.4).
Совместное решение этих уравнений позволяет установить тот баланс интересов, который отражает условия сделки между производителем и покупателем услуг (клиентом). Подход к решению системы представленных уравнений может быть разный. Можно выбрать упрощенный вариант, то есть решить для себя второе уравнение, отражающее интересы производителя. Действительно, свои общие издержки компания определит, добавит планируемую прибыль и выйдет таким образом на цены услуг. Налицо затратный метод ценообразования, широко используемый сервисными компаниями, интуитивно или сознательно выбравшими для себя стратегию минимизации издержек.
А дальше? Дальше, мол, рынок рассудит, соответствуют ли назначенные производителем цены произведенным услугам, точнее, общей ценности этих услуг. Но в данном случае под рынком понимаются прежде всего потребители, которые и регулируют соотношение через спрос на услуги. Может ли производитель услуг влиять на издержки потребителя? Может, конечно. Но вот подход к их изменению зависит от выбранной рыночной стратегии.
Например, за счет предоставления дополнительных услуг, расширения технологических и сервисных возможностей можно сократить временные, эмоциональные и энергетические издержки. Естественно, затраты производителя при этом возрастут, что не может не отразиться на его денежных издержках. Понятно, что он может пойти на это, если потребитель готов к такому перераспределению своих затрат. Но право выбора всегда остается за потребителем.
Есть, конечно, и исключения. Мы, потребители, можем, конечно, решительно отказаться от ставших притчей во языцех услуг ЖКХ, цены на которые никогда ничего общего с рынком не имели. Но с чем мы тогда останемся?!
В итоге мы снова вернулись к первому уравнению, отражающему интересы потребителя, где ключевой составляющей является общая ценность услуги.
Общая рыночная ценность услуг, создаваемых производителем, включает несколько составляющих: собственно ценность самой услуги, ценность персонала, ценность сервиса и ценность имиджа.
Если рассматривать эти составляющие по отдельности, то вряд ли кто-то будет оспаривать очевидное: основу общей ценности услуги составляет ее профильная компонента. Именно ей потребители будут отдавать приоритет во всех сегментах этого рынка. Однако если учесть особенности услуг, можно легко установить, что все перечисленные выше составляющие общей ценности взаимосвязаны. Очень часто ценность услуг отождествляется с их качеством. Хотя дать четкую оценку качеству услуг, учитывая их особенности, — задача довольно трудная не только для потребителей, но и для самих сервисных компаний.
Поэтому основным критерием суждений потребителей об общей ценности полученных услуг является их соответствие ожиданиям. Если воспринимаемая общая ценность превысила ожидания, потребитель будет доволен услугами. Если результаты не оправдали его представлений, он останется неудовлетворенным и, возможно, в следующий раз обратится в другую компанию. Это легко можно проследить прежде всего по оттоку постоянных клиентов. Ожидания потребителей формируются на основе их опыта, отзывов других потребителей, рекламы и других форм коммуникаций.
Ряд исследований, проведенных авторами, показывает, что общую ценность услуги формируют:
комплексность и качество оказания услуги (услуги предоставляются аккуратно, надежно, на стабильном уровне и с хорошей результативностью);
комфорт в процессе оказания услуги;
компетентность профильного и контактного персонала (обслуживающий персонал обладает требуемыми навыками и знаниями);
гарантии;
понимание/знание потребителя (удовлетворение индивидуальных потребностей и притязаний);
обходительность (отзывчивость, вежливость и предупредительность профильного и контактного персонала);
репутация и имидж фирмы;
доступность услуг и оперативность их предоставления (возможность выбора специалиста, филиала/представительства, времени для посещения, дополнительных услуг);
коммуникации (доступность информации об услугах компании, ее изложение на языке, понятном для потребителя);
осязаемые факторы (внешний вид сотрудников, помещений фирмы и другие факторы, отражающие имидж услуг высокого качества);
гарантии;
цены и условия оплаты;
доверительность (на компанию, равно как и ее сотрудников, можно положиться, так как они действительно стремятся удовлетворить любые запросы потребителей).
Следует подчеркнуть, что сервисная компания в процессе своей коммерческой деятельности продает не только профильные и сопутствующие услуги, но и «себя» как надежного и выгодного партнера. В результате компания реализует, по сути дела, четырехуровневую систему продаж услуг (табл. 6.3).
|
Таблица 6.3. Четыре уровня системы продажи услуг |
||||||
|
Уровень |
Что продается |
Что покупается |
Цель |
Средство |
Целевая группа |
Ресурсы: персонал, информация |
|
1. Компания |
Бренд |
Имидж, общее доверие к компании |
Сделать окружение компании более дружественным |
PR |
Местный рынок услуг (профильных) |
Персонал: менеджер по PR. Информация: о событиях в целевом сегменте |
|
2. Компания |
Ассортимент услуг и его привлекательные особенности |
УТП, понимание эксклюзивности, элитарности и особой полезности услуг компании |
Формирование в сознании потенциальных потребителей высокого уровня полезности услуг компании, четкое позиционирование услуг по отличиям от конкурентов и преимуществам перед ними |
Реклама |
Местный рынок услуг (профильных) |
Персонал: отдел продвижения услуг. Информация: о состоянии и динамике рынка |
|
3. Центр прибыли (филиал) |
Отличительные особенности услуг каждого филиала |
Полезность по цене, по месту, по времени |
Формирование покупательского поведения, направленного на филиал/ представительство/ компанию |
Директ-мейл |
В зоне или сегменте обслуживания филиала |
Персонал: отдел продвижения услуг. Информация: внешние базы данных |
|
4. Бизнес-единица (специалист) |
Отличительные особенности |
Психологический комфорт |
Формирование покупательского поведения, направленного на профильного специалиста |
Личная продажа |
В сегменте совместимых с профильным специалистом психотипов |
Персонал: отдел внутреннего маркетинга. Информация: внутренние базы данных |
Безусловно, перечисленные выше потребительские факторы приведены без ранжирования их приоритетности и в неполной мере отражают все притязания потребителей услуг. Однако несомненно одно: именно они и формируют общую ценность услуги, которая представляет единство ее качества в профильной области и потребительских свойств, обусловливающих ее способность удовлетворять определенные потребности конкретного потребителя. Поэтому общую ценность услуги потребитель воспринимает для себя как способность данной услуги удовлетворить его нужды в соответствии с ожиданиями.
Условием лояльного отношения потребителя (клиента) к компании является превышение воспринимаемой общей ценности полученных услуг над ожиданиями. Лояльное отношение потребителей к сервисной компании выражается в их постоянной приверженности и добровольной дистрибьюции предлагаемых компанией услуг. Основу общей ценности услуги составляет ее профильная компонента. Интегральным показателем (критерием) ценности услуги является удовлетворенность потребителя процессом получения услуги и результатами ее приобретения.
6.4. Особенности формирования ценности услуг в сервисных компаниях
Общую ценность услуг сервисная компания формирует на протяжении всего процесса взаимодействия с клиентом, преимущественно через своих сотрудников первой линии.
Для большинства сервисных компаний характерно:
наличие большого количества услуг (процессов), необходимых для решения индивидуальных проблем каждого потребителя;
неосязаемость многих предоставляемых услуг, вносящая субъективизм и усложняющая оценку их качества;
участие потребителя в процессах оказания услуг и высокая степень взаимодействия с персоналом;
формирование взаимоотношений с потребителем (клиентом) на различных этапах процесса взаимодействия и зависимость их результатов как от удовлетворенности клиента услугами, так и от других элементов обслуживания;
участие разных функциональных единиц компании во взаимодействии с клиентами;
необходимость в информационной и психологической подготовке и сопровождении клиентов на всех этапах взаимодействия с ними;
решающая роль клиентов в оценке качества услуг и процессов их производства;
решающая роль профильного специалиста в процессе предоставления услуг и их продажи.
На результат сделки влияют многие факторы, которыми необходимо эффективно управлять, собственно, как самому специалисту, так и другим участникам процесса продаж.
На рисунке 6.5 приведены основные внутренние факторы, влияющие на общую ценность обслуживания в сервисной компании.
Факторы сгруппированы таким образом, что:
в левой ветви, «профильной», находятся факторы, определяющие ценность предлагаемой профильной услуги;
в правой, «маркетинговой», перечислены «надстроечные» факторы, то есть повышающие общую ценность услуги.
Понятно, что если компания разработала для себя четкую концепцию маркетинга, располагает возможностями формирования ценностного восприятия клиентом предлагаемых услуг, то результаты ее работы будут успешными.
Но все ли производители услуг обладают таким потенциалом, чтобы системно, разнопланово решать эти рыночные проблемы? Безусловно, нет! Достаточно посмотреть на цепочку создания ценности услуг сервисной компании, чтобы убедиться в этом (рис. 6.6). Как следует из представленной схемы, к основной деятельности сервисной компании относится не только оказание услуг, но и интегральный маркетинг. Дело в том, что компания, являясь сервисным предприятием, относится к числу организаций с высоким уровнем взаимодействия персонала с клиентами. Вследствие этого исключительно высока роль внутреннего маркетинга, маркетинга взаимодействий и отношений.

Рис. 6.5. Основные факторы, влияющие на показатели профильного качества и удовлетворенность клиента полученными услугами

Рис. 6.6. Цепочка создания ценности по Портеру [16] (переработано)
6.5. Коммерческая ответственность должностных лиц
Одной из важнейших задач при организационном проектировании является определение в сервисной компании матрицы коммерческой ответственности. Ее назначение — закрепление коммерческой ответственности структурных подразделений и отдельных должностных лиц за получение дохода от реализации коммерческой деятельности. Ниже приведены некоторые выдержки, характеризующие подход в решении данного блока вопросов применительно к примерным должностным обязанностям троих представителей персонала первой линии:
менеджера по продажам;
профильного специалиста;
руководителя сбытового подразделения.
Ответственность менеджера по продажам за выполнение маркетинговых функций
Менеджер по продажам является в большинстве случаев первым должностным лицом, с которым потенциальный потребитель вступает в непосредственный деловой контакт. В рамках матрицы коммерческой ответственности он обязан нести ответственность за выполнение маркетинговых функций, на результаты которых он оказывает реальное влияние в процессе деятельности продавца и дистрибьютора.
В соответствии с задачами компании в области продаж услуг менеджер по продажам выполняет следующие функции.
1. Осуществляет информационно-психологическую (предпродажную) подготовку для потенциальных потребителей, обратившихся в компанию:
информирует (консультирует) потребителей об услугах и ценах;
убеждает потенциальных потребителей, что именно в данной компании (филиале) успешно решат его проблему («продает» компанию/ филиал);
договаривается с потенциальным потребителем о первичных переговорах с профильным специалистом («продает» специалиста);
распределяет первичных клиентов по специалистам в соответствии с рекомендациями руководителя сбытового подразделения;
предлагает клиенту услуги другого филиала/специалиста (при несогласии с ценой услуги или отсутствием возможности ее оказания и т. д.).
2. Организует все встречи клиента со специалистом, курирует взаимодействие с филиалом, помогает ему в решении вопросов, возникающих по ходу оформления сделки, оказания услуги или поствзаимодействия. Участвует в других мероприятиях по формированию лояльности клиентов.
3. Проводит работу по активизации дистрибьюторской функции у клиентов, посещающих филиал, выполняет дистрибьюторские функции за пределами компании в процессе неформальных отношений.
4. Обеспечивает поддержание осязаемых факторов в помещениях приема клиентов. Активно использует осязаемые факторы при формировании ценности предлагаемых услуг.
5. Организует пребывание клиента в помещениях филиала и принимает меры по предотвращению и ликвидации конфликтных ситуаций:
создает клиенту комфортные условия пребывания;
следит за соблюдением точного времени начала встречи, своевременно предупреждает специалиста о приходе (или звонке) клиента;
оперативно информирует специалиста обо всех изменениях в договоренностях с клиентом;
при наличии у клиента долга информирует специалиста об этом до начала переговоров;
при неявке клиента обязательно связывается с ним, выясняет причину неявки, необходимость новых договоренностей;
информирует руководство о недостатках, принимает меры к их ликвидации.
6. Осуществляет все процедуры, связанные с оформлением сделки, оформляет (или организует оформление) необходимые документы и ведет отчетность.
7. Составляет соответствующие финансовые и маркетинговые отчеты и передает в полном объеме информацию, касающуюся работы филиала, следующей смене.
С учетом перечисленных функций можно выделить следующие зоны маркетинговой ответственности менеджера по продажам филиала.
Ответственность за результаты первичных переговоров (зона ответственности А1):
количество первичных клиентов, с которыми достигнуты договоренности о встрече для первичных переговоров (N З), в пересчете на рабочий день/смену за определенный период времени, например месяц работы:
ηсм3 = N3 / Nсм
где Nсм — количество рабочих дней/смен, отработанных менеджером по
продажам в месяц;
доля первичных клиентов, с которыми достигнуты договоренности о первичных переговорах, от общего числа первичных обращений за определенный период времени или количества рабочих дней/смен:
η3 = N3 / Nоб
Эти показатели характеризуют продуктивность и эффективность выполнения менеджером по продажам функций, изложенных в пункте 1.
Кроме того, оценка уровня навыков менеджеров по продажам в области телефонных продаж услуги может рассчитываться с помощью контент-анализа их телефонных переговоров с клиентами, а уровень личных продаж услуги в условиях офиса — по результатам наблюдений.
Ответственность за результаты возобновления повторными клиентами отношений с компанией по получению услуг (зона ответственности А2).
Данная зона ответственности предусматривает активное участие менеджера по продажам в управлении потоком клиентов, с которыми предполагается возобновить отношения. Ролевая функция менеджера по продажам должна быть четко определена и формализована, например в рабочей инструкции, регламентирующей процесс контакта с такими клиентами.
К показателям, характеризующим продуктивность и эффективность выполнения данной функции, можно отнести:
выполнение графика контактов (взаимодействия) с клиентами по процедуре возобновления отношений (соотношение факт/план);
долю клиентов, возобновивших отношения с филиалом/компанией по результатам взаимодействия с менеджерами по продажам;
количество и характер жалоб/положительных отзывов клиентов, поступивших на менеджеров по продажам по каналам обратной связи.
Ответственность за результаты внутренней и внешней дистрибьюции (зона ответственности А3).
Зона ответственности А3 охватывает выполнение менеджером по продажам функций, соответствующих пунктам 3 и 4 его должностных обязанностей. Качественное выполнение этих функций предполагает осуществление процедур:
выяснения сути запроса (обращения) потребителя;
определения возможности удовлетворения запроса в конкретном филиале или других филиалах компании;
информирования об условиях получения запрашиваемых услуг;
информирования об ассортименте услуг компании, включая родственные бизнесы;
достижения договоренности о дате, времени и месте первичных переговоров.
Показатели продуктивности и эффективности перечисленных выше процедур оцениваются по количеству распределенных клиентов в рамках системы учета потоков дистрибьюции методом контент-анализа результатов мониторинга телефонных переговоров менеджера по продажам с клиентами или методом включенного наблюдения в ситуациях личных продаж по месту работы менеджера.
Ответственность за результаты маркетинга отношений и взаимодействия с клиентами (зона ответственности А4).
Данная зона ответственности предусматривает обязательное соблюдение менеджерами по продажам требований алгоритма взаимодействия с клиентом. Требования могут быть формализованы в виде соответствующих инструкций или правил обслуживания клиентов менеджерами филиалов. Инструкция является внутрифирменным стандартом для менеджеров по продажам и касается:
информационного сопровождения клиентов;
элементов обслуживания;
правил разрешения конфликтной ситуации;
требований к внешнему виду менеджеров по продажам.
Оценка качества исполнения менеджерами по продажам требуемого алгоритма проводится:
методом включенного наблюдения за их работой;
по отзывам клиентов (обратная связь);
по количеству жалоб, рекламаций и замечаний клиентов и сотрудников компании.
Ответственность за результаты финансовых расчетов с клиентами (зона ответственности А5).
В зону ответственности менеджера по продажам за результаты финансовых расчетов входит качество оформления расчетов и полнота информирования клиентов о цене услуг и условиях оплаты, а также подготовка (или организация подготовки) всей необходимой документации (договора, графиков оплаты, приложений, смет и т. д.):
согласование с клиентами условий договора и расчетов по нему;
порядок предоставления скидок;
условий оплаты по безналичному расчету;
условий оплаты клиентов для корпоративных партнеров;
адаптация схемы оплаты под конкретного клиента, проведение необходимых согласований и т. д.
Показатели качества работы менеджера по продажам в данной зоне его ответственности устанавливаются по результатам экспертных оценок, количеству жалоб и замечаний со стороны клиентов и сотрудников компании, взаимодействующих с ним в рамках сквозных процессов.
Ответственность профильного специалиста за выполнение маркетинговых функций
Каждая сервисная компания вправе сама решать, выполнение каких маркетинговых функций возложить на профильных специалистов. Это зависит от выбранной матрицы коммерческой ответственности. Например, в соответствии с задачами компании в области продаж услуг профильный специалист может реализовать следующие задачи:
обеспечивает самозагрузку клиентами (клиенты от «знакомых и родных») через активизацию дистрибьюции своих постоянных клиентов, выполняет дистрибьюторские функции за пределами компании в процессе неформальных отношений;
контролирует процесс возобновления отношений с клиентами, сообщая им о необходимости или возможности повторного обращения в компанию (самозагрузка «повторными» клиентами);
вносит предложения по привлечению первичных клиентов средствами функциональных подразделений компании;
определяет стоимость проекта (и, возможно, альтернативных проектов) по оказанию комплексной услуги и согласует ее с клиентом;
мотивирует клиента к принятию решения о покупке услуг, используя систему скидок, осязаемые факторы и другие средства мотивации и стимулирования;
вносит предложения по ассортименту услуг, планируемых к личному освоению, или по оптимизации услуг, предлагаемых компанией;
при несогласии клиента со стоимостью работ или невозможностью их выполнения самим специалистом предлагает клиенту услуги другого филиала компании или специалиста;
обеспечивает комфорт пребывания клиента в офисе (салоне, помещении), где проходят переговоры или процесс оказания услуги;
вносит предложения руководителю сбытового подразделения по изменению цен на услуги;
анализирует информацию по своим индивидуальным показателям, характеризующим уровень успешности выполнения функций продавца и дистрибьютора;
принимает к обязательному исполнению рекомендации, направленные на повышение уровня владения маркетинговыми технологиями, активно участвует в индивидуальных и групповых занятиях по данному направлению деятельности.
Коммерческая матрица устанавливает ответственность специалиста за результаты выполнения только тех маркетинговых функций, на результаты которых он оказывает влияние в процессе выполнения работы продавца и дистрибьютора. При этом обязанностью организации по отношению к специалисту является его маркетинговая подготовка для обеспечения необходимой компетенции при выполнении перечисленных выше функций.
Таким образом, к зоне маркетинговой ответственности профильного специалиста можно отнести следующее.
Ответственность за маркетинговые показатели спроса на собственные услуги (зона ответственности О1):
количество первичных клиентов, пришедших лично к нему по рекомендации своих клиентов или их знакомых и родных. Данный показатель отражает, насколько успешно специалист овладел и может использовать на практике методики (технологии) маркетинга взаимодействия и отношений в направлении инициации дистрибьюции своих клиентов;
количество повторных клиентов, приглашенных специалистом или — по его поручению — менеджером по продажам для возобновления отношений. В этот поток входят и постоянные клиенты, пришедшие по своей инициативе. Показатель отражает, насколько специалист активно организует свою дозагрузку клиентами, ранее закончившими у него цикл получения услуги или прервавшими его по неизвестной причине;
количество клиентов, пришедших от других специалистов (внутренняя и внешняя дистрибьюция). Показатель отражает, насколько в компании хорошо поставлена система дистрибьюции клиентов и частично — отклик других специалистов на активность данного работника.
Ответственность за маркетинговые показатели результативности первичных переговоров (зона ответственности О2):
доля клиентов, оставшихся для получения услуги после первичных переговоров. Показатель отражает умение специалиста убедить потенциального потребителя, что именно в данной компании могут решить его проблемы наилучшим образом;
структура отказов (с выделением группы отказов по причине «дорого + будет думать»). Показатель отражает умение специалиста убедить потенциального потребителя в том, что стоимость планируемого комплекса услуг соответствует по своему содержанию и качеству интересам потребителя;
количество клиентов, направленных к другим специалистам компании (показатель внутренней дистрибьюции). Этот показатель отражает активность специалиста в процессе загрузки своих коллег других специальностей. При активной работе в этом направлении специалист может рассчитывать на взаимность (отклик), то есть косвенно решать свою дозагрузку клиентами, направленными к нему специалистами других специализаций или просто другими сотрудниками;
количество клиентов, направленных в другие филиалы/представительства сетевой сервисной компании (показатель внутрисетевой дистрибьюции). Это усиливает синергетический эффект деятельности компании и инициирует обратный поток клиентов (дозагрузка).
Ответственность за результаты маркетинга отношений и взаимодействия с клиентами (зона ответственности О3):
удовлетворенность клиентов результатами решения их проблем и взаимодействием;
соответствие стоимости комплекса услуг его качеству и сформированному ценностному восприятию;
готовность клиента стать постоянным потребителем услуг специалиста, филиала/представительства, компании в целом;
готовность клиента к добровольной дистрибьюции (готовность рекомендовать специалиста, филиал/представительство, компанию в целом своим знакомым и родным).
Вышеперечисленные показатели определяются по установленной методике на основании опроса клиентов (обратная связь), закончивших или прервавших получение услуг.
Ответственность за выполнение плана продаж услуг (зона ответственности О4):
фактическая выработка в месяц (интегральный показатель, отражающий финансовую успешность работы специалиста);
коэффициент выполнения плана (показатель, отражающий объективность планирования и успешность выполнения планового задания);
стоимость одного посещения (удельный показатель, отражающий, насколько успешно специалист может продавать свои услуги). Этот показатель особенно важен при использовании в ценообразовании таких подходов, как «коэффициенты сложности» или «коридоры цен»;
количество и стоимость переделок (показатель характеризует финансовые потери компании/филиала, вызванные низким качеством предоставляемых услуг и процессов).
Все вышеперечисленные показатели могут выражаться в абсолютных и относительных величинах. Относительные или удельные показатели позволяют проводить сравнительный анализ, что является чрезвычайно важным для установления успешности выполнения своих функций профильным специалистом или другими участниками процесса.
Ответственность руководителя сбытового подразделения (или филиала) за выполнение маркетинговых функций
Объем и характер маркетинговых функций, выполняемых руководителем сбытового подразделения, зависит от размеров компании и ее организационной структуры. Чаще всего руководитель сбытового подразделения компании или филиала осуществляет следующие функции:
1) планирует (участвует в планировании) для каждого специалиста на предстоящий месяц:
количество рабочих часов/смен и график его работы;
индивидуальный план объемов продаж (выработку);
2) контролирует спрос на услуги компании/филиала/специалиста средствами сбытового подразделения компании или филиала/представительства (поток первичных клиентов от «знакомых и родных»):
анализирует информацию по потоку первичных клиентов от «знакомых и родных» и их распределение по специалистам;
контролирует индивидуальные показатели профильных специалистов по внутренней и внешней дистрибьюции и проводит с ними индивидуальную работу по улучшению показателей;
3) организует спрос на услуги компании/филиала/специалистов средствами сбытового подразделения компании или филиала/представительства (поток «повторных» клиентов):
анализирует информацию по потоку повторных клиентов в компанию/филиал и его составляющих по специалистам;
контролирует работу профильных специалистов и менеджеров по продажам по организации вызовов клиентов для возобновления отношений по получению услуг;
вносит предложения (план мероприятий) по активизации процесса;
контролирует выполнения плана мероприятий;
4) анализирует величину и структуру потока клиентов, сформированного деятельностью компании по продвижению услуг, его распределение по филиалам/специалистам. Готовит предложения для руководства/директора департамента маркетинга по активизации продвижения услуг/специалистов подразделения/филиала;
5) контролирует процесс информационно-психологической (предпродажной) подготовки клиентов:
анализирует показатели предварительной работы менеджеров по продажам;
формирует предложения по улучшению показателей работы менеджеров по продажам и организует их внедрение и контроль эффективности;
6) организует и контролирует процесс продажи услуг в подразделении/филиале:
осуществляет контроль эффективности продаж услуг специалистами по их индивидуальным показателям;
анализирует показатели результативности первичных переговоров, проводимых специалистами (отказы, цены, умение продавать и т. д.);
контролирует успешность использования профильными специалистами средств мотивации клиентов к покупке услуг;
вносит предложения по улучшению показателей продаж специалистов;
анализирует ассортимент услуг, предлагаемых компанией/филиалом;
вносит предложения по оптимизации ассортимента услуг для руководства компании;
организует внедрение услуг в подразделении/филиале в соответствии с утвержденным планом и выделенной ответственностью в рамках регламентирующих документов;
вносит предложения по установлению цен на новые услуги и изменению цен на существующие;
7) организует и контролирует работу в подразделении/филиале по обслуживанию клиентов в рамках системы сервиса и осязаемых факторов:
контролирует выполнение принятых для подразделения/филиала стандартов и требований нормативной документации по осязаемым факторам и организации сервиса;
проводит анализ отклонений и организует их устранение;
8) анализирует результаты работы подразделения/филиала за отчетный период. Вносит предложения по улучшению показателей работы конкретных исполнителей;
9) организует составление отчетов на бумажных носителях или в электронном виде в соответствии с утвержденными перечнем и формами;
10) вносит предложения по развитию компании/подразделения/филиала, стратегии их рыночного поведения.
Руководитель сбытового подразделения обязан периодически (ежемесячно, раз в квартал) проводить совещание специалистов для рассмотрения и анализа результатов их маркетинговой деятельности за предыдущий период. При невыполнении основного показателя — плана продаж за месяц, руководитель сбытового подразделения устанавливает причины его невыполнения (анализ промежуточных показателей). Для анализа используется информация, предоставляемая специалистами и менеджерами по продажам, а также отделом внутреннего маркетинга.
По результатам анализа руководитель сбытового подразделения формирует предложения для устранения выявленных отклонений и организует их выполнение в рамках своих полномочий и ответственности, а при необходимости обращается к высшему руководству.
Кроме того, в функции руководителя сбытового подразделения входит контроль наличия и состояния осязаемых факторов в подразделении/филиале и на рабочих местах сотрудников (менеджеров по продажам и специалистов), свидетельствующих о высоком уровне качества обслуживания и способствующих продаже услуг по высоким ценам. При установлении несоответствия внутрифирменным требованиям он незамедлительно обязан обратиться к руководству.
В его задачи входит постоянный анализ соотношения спрос/цена на услуги в подразделении/филиале, для чего он привлекает службу маркетинга. При необходимости он формирует предложения об изменении цен на услуги или их ассортимент и передает их на рассмотрение руководству.
6.6. Планирование доходов
Правильно спланировать работу филиала/представительства на предстоящий период времени — значит сделать существенный шаг к достижению поставленной цели. В качестве цели мы в данном случае рассматриваем максимизацию дохода филиала как основного производственно-сбытового подразделения компании. При этом предполагается, что стремление обеспечить получение максимально возможного финансового результата не противоречит стратегическим целям компании, исключает нарушение принятых стандартов и этических норм. В качестве одной из стратегических целей можно выделить сохранение лояльности клиентов к филиалу/представительству и компании в целом.
В принципе действующий филиал/представительство может находиться в одном из двух состояний:
выхода на проектную мощность после открытия;
работа в установившемся или близком к нему режиме на рынке услуг.
Независимо от состояния, каждый филиал/представительство обладает определенным производственно-сбытовым потенциалом. Определение этого потенциала является первой задачей или этапом планирования. Второй этап в планировании предполагает решение более сложной задачи, относящейся к числу оптимизационных, так как эффективное использование производственно-сбытового потенциала возможно только при оптимальном сочетании всех факторов, влияющих на доходность филиала/представительства.
Оба вышеназванных этапа составляют традиционные стадии планирования в управленческом цикле.
Рассмотрим более подробно задачи, которые приходится решать в процессе планирования, на примере филиала, в котором услуги оказываются на двух рабочих местах. Для максимально возможного использования производственных мощностей филиал рассчитан на двухсменную работу, с длительностью одной смены 6 часов.
Как было установлено выше, одним из существенных факторов, влияющих на выработку специалиста, является число смен, которые он отрабатывает, например, в месяц.
Для выбранного филиала временной потенциал определяется через максимально возможное число смен в месяц (Nсммакс), а следовательно, и соответствующий фонд рабочего времени (Fрврмакс):
Nсммакс = Nкр × nсм/день × nраб.дн,
Fрврмак = Nсммакс × tсм,
где: Nкр — число рабочих мест профильных специалистов;
nсм/день — количество смен в день;
nраб.дн — количество дней в месяце;
tсм — длительность смены, часов.
Нетрудно подсчитать, что для месяца с nраб.дн = 30 дней : Nсммакс = 120 смен, Fмакс = 720 часов, а для месяца с nраб.дн = 31 день : Nсммакс = 124 смены, Fмакс = 844 часа.
Для филиала эти временные показатели, собственно, и отражают максимальный временной ресурс, в течение которого он может осуществлять свою производственно-сбытовую деятельность. Если в филиале планируется меньшее число смен в месяц (Nсм), то коэффициент использования рабочего времени (Kрвр) будет меньше единицы:
Kрвр = Nсм / Nсммакс или
Kрвр = Fрвр / Fрврмакс .
В действительности плановое значение коэффициента использования рабочего времени определяется с учетом плановых простоев оборудования (Fплпр). Эти простои могут быть вызваны необходимостью профилактических ремонтов оборудования или помещений, режимом работы филиала в воскресные и праздничные дни и т. д. С учетом этих факторов устанавливаются расчетные плановые показатели:
Fрвр = Fрврмакс – Fплпр,
Nсм = Fрвр / tсм.
Например, в планируемом месяце (30 дней) предстоит один праздничный день и четыре воскресных, для которых запланирован режим работы:
воскресный день — работает одна установка в две смены (простои составляют 1 рм × 4 дн × 2 см × 6 ч = 48 ч);
праздничный день — выходной (простои составляют 2 рм × 1 дн × 2 см × × 6 ч = 24 ч).
В результате принятых допущений вышеустановленные показатели приобретают плановые задания в виде следующих численных значений:
Fрвр = 720 – 48 – 24 = 648 ч,
Nсм = 648 ч / 6 ч = 108 смен,
Kрвр = 648 ч / 720 ч = 0,9.
Очевидно, что для рассматриваемого примера временной ресурс работы филиала составляет 90 % от максимально возможного. Если принять в качестве усредненного норматива работы одного специалиста 22 рабочие смены в месяц, то для филиала с двумя оборудованными рабочими местами профильных специалистов потребность в специалистах (если они работают в одиночку) составит примерно пять штатных единиц.
В идеальном случае, если бы все специалисты являлись «универсалами», то они без труда решили бы все проблемы клиентов, обратившихся за услугами в филиал. Структура спроса на услуги не играла бы существенной роли, так как профильные возможности каждого специалиста покрывали бы потребности клиентов, обратившихся за получением услуг.
На самом деле структура спроса на услуги, их количество и трудоемкость выполнения определяет ассортимент услуг, который должен предоставлять филиал, специализацию профильных специалистов, их количество и загрузку. Собственно, как уже отмечалось выше, это и есть вторая задача планирования работы филиала. Ее квалифицированное решение возможно при условии, что в компании хорошо поставлен управленческий учет и в распоряжении менеджеров, планирующих показатели работы, имеются данные за предыдущий период работы подразделения.
При выполнении этих условий упрощается процедура планирования показателей работы методом «от достигнутого». Необходимый для планирования банк данных рассматривается нами предметно в главе 5, в разделе «Маркетинговая информационная система». Отметим лишь, что наличие в компании регулярного менеджмента предполагает внедрение автоматизированной системы управленческого учета, позволяющей вести оперативный мониторинг всех показателей специалистов и филиала/представительства в целом.
В качестве исходных данных, необходимых для планирования, система управленческого учета должна предоставить за прошедший период (год, а лучше два-три):
1) выручку филиала/представительства за год и ее распределение по месяцам и видам работ;
2) состав специалистов, их специализации (виды выполняемых работ);
3) количество рабочих часов/смен по месяцам и их распределение по профильным специалистам соответствующих специальностей;
4) загрузку производственного подразделения по месяцам;
5) по каждому специалисту (производственной единице) по месяцам:
количество отработанных часов/смен;
загрузку;
выручку;
среднюю выручку в смену/рабочий день/час.
На основании исходных данных составляется план-прогноз основных показателей работы специалиста/филиала на год/квартал/месяц. Для примера на рисунке 6.7 показана динамика изменения выручки филиала, состоящего из двух производственных бригад (или специалистов), по месяцам для четырех лет.
Опыт показывает, что процедура планирования — задача непростая и требует соответствующей квалификации менеджеров при условии, что в компании базовые процессы имеют высокий уровень «зрелости». Особенно это касается процессов, определяющих формирование спроса на услуги и управление ценообразованием.

Рис. 6.7. Динамика изменения выручки филиала на два рабочих места

1 Исключение составляют разовые услуги (моноуслуги), такие, например, как заключение сделки в области долевого строительства (практически никогда не бывают частыми).
Список литературы
Для подготовки данной применялись материалы сети Интернет из общего доступа