Анализ взаимосвязи человеческого капитала и экономического роста
Введение
Формирование рыночной среды в Украине и заострения международной конкуренции на фоне всеобъемлющей глобализации объективно требуют кардинально изменить взгляды на источники и факторы экономического роста национальной экономики. Утверждение в развитых странах „новой экономики”, что базируется на знаниях и инновациях, использовании информационных технологий, подталкивает к осознанию того, что поиск неиспользованных резервов, оптимальных путей для эффективного долгосрочного развития Украины следует вести в плоскости признания теории человеческого капитала и реального внедрения ее ведущих положений в практику рыночных превращений, в частности, идей относительно инвестирования в развитие человеческого капитала.
Концептуальные основы стратегии экономического и социального развития Украины на 2002-2011 гг. „Европейский выбор” определенные в ежегодном Послании Президента Украины в Верховную Раду. Они касаются конкретных аспектов заданий, которые необходимо решать нашей стране на современном этапе. Среди них вопросы научно-технического прогресса и перспективы развития человеческого занимают одно из главных мест [8].
В условиях стремительного сокращения часовых характеристик между основными этапами научно-технического прогресса человек становится неотъемлемой и главной составляющей всех без исключения технологических систем, а человеческий интеллект занимает место непосредственной и решающей производительной силы новой постиндустриальной эры.
Уровень развития стран во многом определяют темпы и пропорции накопления его невещественных элементов в результате изменения типа воссоздавания, форм накопления и представлений о критериях эффективности развития экономики, что обусловило переход к пересмотру системы признаков, которые отображают характер наблюдаемых экономических тенденций, и определило понятие нового качества экономического роста [1].
Целью контрольной работы является анализ факторов экономического роста; моделей экономического роста с учетом человеческого капитала; влияния уровней инвестирования в человеческий капитал на экономический рост; механизма влияния экстенсивного и интенсивного увеличения человеческого капитала на экономический рост.
Человеческий капитал является важнейшим фактором экономического развития, которое определяет эффективность использования производственного, финансового и естественного капитала и непосредственно влияет не только на темпы, но и на качество экономического роста.
1.Теоретические аспекты человеческого капитала
1.1 Сущность человеческого капитала
Понятие человеческий капитал вошло в науку в начале 60-х годов XX век в западной экономической литературе. Возникновение и развитие теории человеческого капитала связано с именами известных американских ученых-экономистов Т. Шульца, Г. Беккера, Л. Туроута других.
Человеческий капитал представляет собой самый ценный ресурс, намного важнее чем природные ресурсы или накопленное богатство.
Именно человеческий капитал является краеугольным камнем экономического роста и эффективности. Человеческий капитал — это экономическая категория, которая характеризует совокупность сформированных и развитых в результате инвестиций производительных способностей, личных черт и мотиваций индивидов, которые находятся в их собственности, используются в экономической деятельности, способствуют росту производительности труда и благодаря этому влияют на рост доходов (заработков) своего владельца и национального дохода.
Следовательно, человеческий капитал — это не просто совокупность отмеченных характеристик, а именно сформированный или развитой в результате инвестиций, а также накопленный определенный запас производительных способностей (здоровья, знаний, навыков, мотивов), которые принадлежат человеку и неотъемлемые от нее, и она целесообразно их использует.
На уровне предприятия человеческий капитал представляет собой совокупную квалификацию, физические и профессиональные способности всех работников. В XXI веке во время появления до сих пор не известных технологий, сокращения жизненных циклов товаров, специфика человеческого капитала оказывается в росте требований к его качеству в целом, непрерывности и ускорении приобретения работниками новых навыков, знаний и умений. Поэтому, если рассмотреть социально-историческое развитие деятельности в сфере образования в индустриально развитых странах, то можно констатировать факт их входа в фазу «бума» в направлениях повышения квалификации.
Для обеспечения конкурентоспособности предприятия необходимые инвестиции в человеческий капитал, и это прерогатива не только больших, но и реальность и потребность малых и средних предприятий, потому что именно они будут отвечать, по мнению большинства западных экономистов, за решение ведущих позиций экономическими гигантами планеты.
Следовательно, теория человеческого капитала сводится к тому, что в центре концепции инвестиционной политики есть человек, который рассматривается как наибольшая ценность для предприятия. Поэтому система управления предприятием (организацией) должна быть направлена на развитие разнообразных способностей работников с целью максимального их использования в процессе работы, а работник содействовал бы развитию организации, где работает. Инвестиции в образование выгодные как работнику, так и работодателю, причем второму больше, чем первому. Рентабельность инвестиции в человеческие ресурсы является всегда оптимальной. В результате повышения профессионального уровня работников они получают высшую заработную плату, но эффективность отдачи от их деятельности намного больше. Теория человеческого капитала основывается на признании экономической целесообразности капиталовложений, связанных с набором персонала, поддержкой его в работоспособном состоянии, непрерывной учебой, выявлением способностей, потенциальных возможностей, что заложенные в личности работникам следующим развитием тех способностей, которые являются важными в профессиональной деятельности. Характерными особенностями концепции человеческого капитала являются: применение экономических критериев для оценки роли человеческого фактора в производстве; внутриорганизационное управление; перестройка всей кадровой политики. Теория человеческого капитала, которая эффективно применяется на практике в странах с развитой рыночной экономикой, бесспорно доводит, что инвестиции в образование, профессиональную подготовку и мобильность работников ощутимо повышают стоимость и цену его рабочей силы и приносят существенную прибыль, а также обеспечивают конкурентоспособность работников на рынке труда.
1.2 Классификация человеческого капитала
Человеческий капитал, являясь частью совокупного капитала представляет собой накопленные затраты на общее образование, специальную подготовку, здравоохранение, перемещение рабочей силы12 . Виды «человеческого капитала» экономисты классифицируют по видам затрат, инвестиций в «человеческий капитал». И.В. Ильинский выделяет вследствие этого следующие составляющие: капитал образования, капитал здоровья и капитал культуры. Таким образом, по его мнению, формула человеческого капитала принимает следующий вид:
ЧК = Кз + Кк + Ко,
Где ЧК – человеческий капитал;
Ко – капитал образования;
Кз – капитал здоровья;
Кк – капитал культуры.
Капитал здоровья представляет собой инвестиции в человека, осуществляемые с целью формирования, поддержания и совершенствования его здоровья и работоспособности. Капитал здоровья является несущей конструкцией, основой для человеческого капитала вообще13 . Инвестиции в здоровье, его охрана, способствующие сокращению заболеваний и смертности, продлевают трудоспособную жизнь человека, следовательно, и время функционирования человеческого капитала. Состояние здоровья человека - это его естественный капитал, часть которого является наследственной. Другая часть является приобретённой в результате затрат самого человека и общества. В течение жизни человека происходит износ человеческого капитала. Инвестиции, связанные с охраной здоровья, способны замедлить данный процесс. Не всякие инвестиции в человека могут быть признаны вложениями в человеческий капитал, а лишь те, которые общественно целесообразны и экономически необходимы. Капитал здоровья является национальным достоянием.
И.В. Ильинский в понятии капитала здоровья выделяет базовый и приобретенный капитал. Первый, по его мнению, определяется совокупностью физиологических свойств человека, получаемых наследственным путём. Эти свойства во много определены заранее, хотя при современной генной инженерии возможны довольно успешные корректировки.
Приобретенный капитал образуется в процессе формирования и потребления физических свойств человека, осуществляемом в производственной деятельности. В условиях инновационного производства от человека требуется высокая скорость обработки информации, выносливость, быстрота реакции, скорость принятия решений.
С.Ю. Рощин, Т.О. Разумова человеческий капитал рассматривают как качественную характеристику рабочей силы, как способность человека к трудовой деятельности, его знания. По их мнению, человеческий капитал складывается из природных способностей отдельного человека. Они считают, что человеческий капитал может быть увеличен в процессе образования, профессиональной подготовки, приобретения опыта работы. Инвестиции в человеческий капитал – затраты времени и денежных средств, необходимые для получения образования и профессиональной подготовки. Если инвестиции приносят отдачу, окупаются, т.е. приносят более высокий доход, то только в этом случае они приносят более высокий доход14 .
Инвестиционный оборот имеет место в условиях качественного обновления и совершенствования физического капитала и требует не только значительных инвестиций, но и активного использования достижений НТП и новых научно-образовательных знаний (технологий). В процессе воспроизводства человеческого капитала С.А. Дятлов различает следующие циклы: микроциклы, локальные циклы и макроциклы оборота человеческого капитала.
Различают два вида человеческого капитала: потребительский, создаваемый потоком услуг, потребляемых непосредственно (творческая и образовательная деятельность); производительный, потребление, которого содействует общественной полезности (создание средств производства, технологий, производственных услуг и продуктов).
Человеческий капитал классифицируется по формам, в которых он воплощен:
живой капитал включает в себя знания, здоровье воплощённое в человеке;
неживой капитал создаётся, когда знания воплощаются в физических, материальных формах;
институциональный капитал представляет собой институты, содействующие эффективному использованию всех видов человеческого капитала.
2.Анализ оценки и развития человеческого капитала в Украине
2.1 Развитие методов количественной оценки человеческого капитала
Развитие современной экономической теории характеризуется колоссальным увеличением количества работ посвященных проблеме расширенного воспроизводства рабочей силы. Неоклассическая школа развивает теорию потребительской деятельности, в том числе теорию “инвестиций в человека” и теорию “производства человеческого капитала”. Как отмечает В. Гойло; “авторы этих доктрин значительное место в своих исследованиях отводят технико-экономическим разработкам прикладного назначения, и в ряде случаев их представления в данной области отражают реальные естественнонаучные, в том числе технические, элементы, как самого строения главной производительной силы общества, так и процессов, структуры и границ ее производства и воспроизводства”.
Неоклассическая школа занимается построением моделей индивидуального потребления на основе потребительских функций, зависящих от размера дохода, процентной ставки, от отношения вещного богатства к доходу и прочих факторов, касающихся вкусов потребителей и предпочтений к текущему потреблению за счет накопления. Теория потребительской деятельности, развиваемая этой школой, используется для изучения “поведения потребителя” с точки зрения отдельного капиталиста.
В 60-х годах Кэлвин Ланкастер выдвинул новую концепцию в теории “потребительской деятельности”, включив в сферу рассмотрения труд самого потребителя и членов его семьи, в частности “труд в домашнем хозяйстве”. Сторонники новой концепции отмечают, что только около 30 % времени, затрачиваемого работниками наемного труда, приходится на рабочее время, остальные 70 % времени расходуются в сфере досуга и потребления.
Если же взять все население, самодеятельное и несамодеятельное, то не более 15 % всего общественного времени приходится на рабочее время, остальное время расходуется в сфере воспроизводства рабочей силы.
Среди имен западных экономистов, которые рассматривали людей или их мастерство как капитал, имеются такие хорошо известные в истории западной экономической мысли авторы, помимо Вильяма Петти и Адама Смита, как Жан-Батист Сэй, Нассау Сениор, Фридрих Лист, Иоганн фон Тюнен, Вальтер Багехот, Эрнст Энгель, Генри Сиджвик, Леон Вальрас и Ирвинг Фишер. В основном использовались два метода стоимостных оценок человеческих существ: стоимость производства и процедура капитализации заработка. Первая процедура заключается в оценивании реальных затрат (обычно чистого расхода средств существования (net of maintenance)) на “производство” человека; вторая - заключается в оценивании настоящей (приведенной к настоящему моменту времени) ценности будущего потока доходов индивидуума (чистого или валового дохода).
Вильям Петти оценивал величину запаса человеческого капитала капитализацией заработка как пожизненной ренты, с рыночной ставкой процента; величину заработка он определял путём вывода личного дохода из национального дохода.
Уильям Фарр усовершенствовал методику В. Петти для оценивания человеческого капитала. Его метод заключался в исчислении сегодняшней стоимости будущих чистых заработков индивидуума (будущие заработки минус личные затраты на жизнь), причем Фарр брал поправки, учитывающие возможность смерти, в соответствии с коэффициентами смертности.
Эрнст Энгель предпочитал метод цен производства для оценивания денежной ценности человеческих существ. Он считал, что выращивание детей стоило затрат их родителям, эти затраты могут быть оценены и взяты как мера денежной стоимости детей для общества.
Как бы то ни было, не имеется простого и непосредственного отношения между затратами на производство и соответствующей экономической ценностью. Все это особенно верно для человеческих существ, стоимость производства которых не предусмотрена непосредственно с точки зрения экономической цели.
Также видится очень мало пользы в методе цены производства для оценивания человеческих существ как таковых, тем не менее модифицированный подход Э. Энгеля полезен в оценивании компонентов человеческого капитала, таких как капитализированные услуги здравоохранения и образования.
Теодор Витстейн рассматривал человеческие существа как основные фонды (капитальные товары) и использовал подходы к оценке человеческого капитала, разработанные У. Фарром (капитализированный заработок) и Э. Энгелем (цена производства). Интерес Т. Витстейна к концепции человеческого капитала сформировался под влиянием потребностей сферы страхования жизни и необходимости разработки справочных таблиц, используемых для расчётов величин исков на компенсацию за потерю жизни. Он предположил, что величина заработка за время жизни индивидуума равна затратам на его содержание плюс затраты на образование. Этот подход порождает такие оценки человека, которые неизбежно равны нулю в момент его рождения.
Витстейном выведены следующие формулы:


где а - годовые расходы на потребление, включая образование на одного взрослого немца определенной профессии;
r = (1+i),
где i - рыночная процентная ставка;
P=1/r;
Ln - число людей в возрасте n в таблице жизни;
Rn - величина стоимости одноталерной ренты человека в возрасте n, приобретенной им в момент своего рождения (для данного r);
Х - величина будущего дохода на одного человека определенной профессии;
N - возраст, в котором человек вступает в трудовую жизнь.
Т. Витстейн предположил для простоты, что а и Х являются постоянными на протяжении жизни индивидуума, что первое уравнение (которое основывается на производственных затратах) может быть использовано для оценки стоимости человека в денежных единицах при N>n, в то время как при N<n более просто использовать второе уравнение (основывающееся на доходах).
Можно отметить неудовлетворительность основного положения, заключающегося в том, что заработок за время жизни человека и расходы на его содержание равны. Следует указать и на то, что какое-либо комбинирование методов капитализации заработков и цены производства является порочным, создающим возможность удвоения величины.
Американские экономисты и социологи Луис Дублин и Альфред Лотка также работали в сфере страхования жизни и отметили ценность подходов У. Фарра и Т. Витстейна к исчислению человеческого капитала для определения сумм при страховании жизни.
Они вывели следующую формулу:

где V0 - ценность индивидуума в момент рождения;

ценность в данный момент одного доллара, полученного через х лет;
Рх - вероятность дожития человека до возраста х;
Yx - годовой заработок человека с момента х до х+1;
Ех - доля занятых в производстве в возрасте от х до х+1 (У. Фарр предполагал полную занятость);
Сх - величина затрат на жизнь человека в возрасте от х до х+1.
Для определения денежной стоимости человека определенного возраста (например, а), формула может быть преобразована к виду:

Такой метод капитализации заработка индивидуума, за вычетом затрат на его потребление или содержание, дает полезную для многих целей оценку. Например, рассчитывается экономическая ценность человека для его семьи, что явилось целью для Дублина и Лотки.
Если работник умер, то семья обеднела на величину его вклада в нее, который равен величине дохода работника за вычетом расходов на его содержание. Кроме того, аналогичным путем может определяться экономическая ценность человека для самого себя и для общества. В расчетах оценок человека для этих целей может использоваться метод капитализации валовых заработков (включая расходы на существование) или капитализация налогов, выплаченных государству данным человеком.
Стоимость производства (воспитания) человека в возрасте а - Са, по Дублину и Лотке, равна:

Эта формула может быть упрощена до вида:

Следовательно, стоимость
производства человека до возраста а
равна разнице между его ценностью в
возрасте а и ценностью в момент рождения,
умноженной на
.
Это усовершенствованный вариант метода
Э. Энгеля.
С точки зрения сторонников теории человеческого капитала, работы Фарра, Дублина и Лотки являются отправным пунктом для ученых, занимающихся методами оценивания величины человеческого капитала или его компонентов. Анализ метода капитализации заработка (как с чистыми, так и с валовыми расходами на существование) проделанный Л.Дублиным и А.Лоткой, является ясным, сжатым и одним из лучших изложений этого метода. Хотя имеются явные понятийные трудности, связанные с этим подходом, он дает наиболее точные результаты, если существуют необходимые для расчетов данные. Действительно, разработанные этими авторами методы оценивания экономической значимости способностей человека к труду (или человеческого капитала) технически совершенны и пригодны для практического использования на реальной информации.
Многие экономисты указывали на необходимость и возможность экономической оценки рабочей силы, а также говорили об использовании этих оценок для конкретных целей. Многие из них рассматривали человеческие существа или их приобретенные способности и мастерство как компонент капитала. Более того, некоторые пытались оценить величину этого капитала как на микроэкономическом, так и макроэкономическом уровнях и использовать эти оценки для частных целей (например, для оценки общих экономических потерь в результате войн); другие просто включали человеческие существа (или их приобретенные способности и мастерство) в свое определение капитала и признавали важность инвестиций в человеческие существа как средство увеличения их продуктивности. Это вторая группа теоретиков, никогда не пыталась ни оценить человеческий капитал, ни применить это понятие для каких - либо частных целей.
Большинство экономистов полагали, что человеческие существа должны быть включены в категорию капитала по трем причинам:
затраты на воспитание и образование человеческих существ являются реальными затратами;
продукт их труда увеличивает национальное богатство;
расходы на человека, которые увеличивают этот продукт, будут увеличивать национальное богатство.
Адам Смит, хотя и не определял точно понятие “капитал”, включал в эту категорию фиксированного капитала мастерство и полезные способности человеческих существ. Мастерство человека, говорил он, может быть рассмотрено как бы соответствующим свойствам машины, которая имеет подлинную стоимость и оборот прибыли. Жан-Батист Сэй утверждал, что поскольку мастерство и способности приобретаются за цену и увеличивают производительность рабочих, они должны рассматриваться как капитал. Эта тема рассматривалась также в работах Джона Стюарта Милля, Вильяма Рошера, Вальтера Багехота и на микроэкономическом уровне Генри Сиджвиком.
Согласно Фридриху Листу, мастерство и приобретенные способности человеческих существ, унаследованные большей частью от прошлого труда и самоограничений, являются наиболее важным компонентом национального запаса капитала. Он утверждал, что как в производстве, так и в потреблении может быть рассмотрен вклад человеческого капитала в выпуск.
2.2 Оценка человеческого капитала Украины на примере Автономной республики Крым
Украина как индустриальная держава находится на начальной стадии перехода к постиндустриальному типу общества, на этапе которого не только предприниматели, но и рабочие относят свои производительные способности к вложениям, как к капитализированным накоплениям.
Инвестиции в образование, здравоохранение, культуру человека, несомненно, влекут за собой возрастание человеческого капитала, а это, в свою очередь, ведёт к росту производительности труда, и, следовательно, к росту доходов, социальной отдачи от таких вложений.
Человеческий капитал – это адекватная индустриальному обществу форма выражения производительных сил человека, включенных в систему социально ориентированной смешанной экономики рыночного типа в качестве ведущего фактора общественного воспроизводства.
Человеческий капитал в национальной экономике имеет огромное значение. Экономическая эффективность производства обусловлена не только качественным составом индивидов человеческого капитала в общественном производстве, но и степенью их взаимного соответствия и сочетаемости качеств совокупного капитала нации, уровнем разделения труда, его специализации и кооперации. [1]
Сегодня, в период перехода к рыночным отношениям, в условиях падения жизненного уровня населения, безработицы, систематических многомесячных задержек оплаты труда, обострения социально-политической обстановки, роста алкоголизма, наркомании, возрастания экологического неблагополучия, роста заболеваемости, смертности, ухудшения питания человека и особенно детей, возрастания стрессовой ситуации, проблема кризиса воспроизводства человеческого капитала стала объективной реальностью.
Затраты на рабочую силу включают в себя расходы на воспроизводство рабочей силы, осуществляемые на протяжении всего жизненного цикла работников и обеспечивающие нормальную жизнедеятельность как самих работников, так и членов их семей.
Источниками необходимых средств являются:
затраты работодателей;
бюджетные расходы социальных программ;
индивидуальные расходы граждан на формирование способностей к труду и поддержание здоровья.
Нужно отметить, что одним их главных источников финансирования затрат на рабочую силу являются затраты работодателя.
Источники финансирования в руках работодателей - это часть затрат на производство (часть себестоимости) и часть прибыли предприятий.
Отсюда было бы закономерным поднять вопрос об ответственности современных предпринимателей в вопросах воспроизводства человеческого капитала.
Отмена централизованного порядка установления пропорций и использования национального дохода и контроля над потреблением и накоплением в условиях падения производства привела к стихийному формированию этих соотношений.
Поэтому необходимость расчета величины человеческого капитала, его износа и его воспроизводства встала в настоящее время с особой остротой, т.к. пока будет существовать человеческое общество, будет существовать проблема воспроизводства человека, суммы его профессиональных знаний, суммы его здоровья. Этот процесс в товарном обществе выступает как движение капитала (как средств производства, так и человеческого капитала), его возрастание, его воспроизводство.
Важно, чтобы работник как личность постоянно сохранял отношение к рабочей силе как к своей собственности. Право владения остается у работника, а покупатель рабочей силы имеет право лишь временно распоряжаться и пользоваться ею в процессе производительного потребления. Речь должна идти, возможно, не просто о купле-продаже рабочей силы как о любом другом товаре, а об особых арендных условиях ее найма. При этом рабочая сила является товаром и по форме, и по содержанию.
В основе рассматриваемых явлений лежат стоимостные процессы. Стоимость рабочей силы не может сводиться к минимуму средств существования, она должна включать потребности, порожденные экономическими, социальными, культурными условиями формирования рабочей силы.
Важным свойством товара рабочая сила является его потребительная стоимость, то есть способность создавать качественный продукт и новую стоимость, причем большую, чем стоимость его рабочей силы. Потребительная стоимость подвержена влиянию исторических и социальных условий и находится в прямой зависимости от способностей рабочей силы к постоянному динамичному развитию и совершенствованию.
Любой человек как носитель способностей к труду является одновременно элементом природы и элементом общества. В первом случае он выступает со своими психофизиологическими характеристиками. Во втором – это человек экономический, т. е. часть единой системы воспроизводства. В домашнем хозяйстве – элемент семейной, социальной кооперации труда. В индивидуальном воспроизводстве ее фактор, элемент капитала. В общественном воспроизводстве это элемент производительных сил и общественного воспроизводства, товар.
Диалектический подход к познанию сущности рабочей силы позволяет исследовать эту категорию в развитии и самодвижении. В условиях рынка это приобретает особую важность, так как позволяет учитывать объем, структуру, темпы высвобождения рабочей силы и потребности в ней со стороны производства.
Однако в Украине до сих пор осуществляется процесс простого воспроизводства рабочей силы, причем он затрудняется низкой долей фонда заработной платы в национальном доходе. На деле произошел отрыв заработной платы от требований закона возмещения затрат рабочей силы и прожиточного минимума.
Заработная плата покрывает лишь часть расходов, другую часть, в этой ситуации, должно взять на себя государство. При этом важно учитывать динамику изменения всех качеств рабочей силы и потребностей в ней, чтобы рационально управлять ее движением.
В обществе должен произойти переход от управления персоналом к управлению человеческим капиталом, что определенным образом повлияет на систему воспроизводства рабочей силы предприятия. В центре внимания общества должен быть человек, с его интересами, потребностями и возможностями. Только в условиях уверенности в завтрашнем дне работник сможет развивать свой творческий потенциал. Эффективность использования той или иной формы государственного регулирования рынка рабочей силы предприятий обусловлена значением ее в общественном и индивидуальном воспроизводстве человеческого капитала, конкретным содержанием, параметрами функционирования во времени и пространстве, возможностями быстрого реагирования на потребности производства.
Из сказанного напрашивается вывод о необходимости тщательного, взвешенного подхода к расчету величины человеческого капитала, с тем, чтобы обеспечить его полное воспроизводство.
Рассмотрим этот вопрос детальнее. Существует несколько методов расчета величины человеческого капитала. Воспользуемся методом калькуляции затрат на воспроизводство рабочей силы, на определение стоимости человеческого капитала, аккумулированного за период от рождения человека до его совершеннолетия и начала трудовой деятельности.
Сложность применения этого метода для решения поставленной задачи состоит в соизмерении величины затрат в историческом плане из-за смены показателей денежной оценки, т. е. рубля на купон, купона на гривну и т. д. Было бы закономерным сегодня оценивать все виды затрат в национальной валюте. Однако рождение, детство, формирование здоровья, образование нынешнего работника пришлись на период рублевой оценки единицы затрат, затем появился купон как временная единица оценки расхода средств на жизнедеятельность человека. Причем купоны 1992, 1993, 1994, 1995 годов резко отличались как мера стоимости. Шла инфляция. Потому, делая оценку стоимости человеческого капитала в гривнах, придется приводить ее к сроку отсчета методом дисконтирования. Анализ многих работ показал, что украинские экономисты определили наиболее точным коэффициентом дисконтирования для описания тенденции роста экономики Украины, ее массы прибыли, темпов роста доходности, воспроизводства жизненных благ за длительный (20 лет) период как 5%. Это значит, что взятые 20 лет назад показатели возрастут в стоимостном значении в 2,65 раза, как 1,05 в степени 20. Можно признать справедливым использование коэффициента дисконтирования 1,05. Например, средняя оплата труда работника в 1960 г. была 59,97 руб. в месяц, а в 1980 г. - 158,77 руб. в месяц, т. е. рост оплаты труда составил 2,64 раза, т. е. отклонение от норматива составило 0,38%, что вполне приемлемо в инженерно-экономических расчетах.
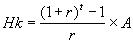
Следовательно, стоимость рабочей силы, человеческого капитала будет определяться расходами среднедушевого человека на питание, одежду, обувь, содержание жилья, транспортные расходы, культурно-зрелищные и духовные потребности человека, а также расходами на здравоохранение, образование, воспитание, начиная с детского возраста по формуле:

где Hk - человеческий капитал, денежная оценка стоимости рабочей силы одного работника; r - коэффициент дисконтирования, процентная ставка: 5% годовых; А - капитал, вклад, стоимость жизни одного человека; t - число лет (например, 20 до вступления в активную трудовую деятельность).
Для того, чтобы воспользоваться для расчетов стоимости человеческого капитала данной формулой, нужно знать стоимость физиологических потребностей взрослого человека. Они составляют 122,6 гривен в месяц. [2]
Кроме того, надо предусмотреть расходы на одежду, обувь, содержание жилища, транспортные расходы, удовлетворение культурных потребностей (газеты, телевидение, книги и т. д., телефон и т.д.). Они рассчитаны в той же статье на одного человека, как 129,94 грн. в месяц. Таким образом, суммарно все расходы составляют 122,60+129,94=252,54 грн. в месяц.
К этой потребительской корзине следует добавить расходы на образование, здравоохранение и другие из фондов общественного потребления, тогда расходы составят 2904 грн. (к сожалению, государство, общество далеко не удовлетворяет всю совокупность человеческих потребностей). Положив в основу потребности взрослого человека, следует их условно дифференцировать по возрастным периодам: до 5 лет включительно 25%, или 726 грн. в год от 6 до 12 лет включительно 50%, или 1452 грн. в год от 13 до 15 лет включительно - 80%, или 2323 грн. в год от 16 до 20 лет включительно -100%, или 2904 грн. в год.
Следовательно, средний ежегодный авансированный человеческий капитал при условии полного физиологического нормативного обеспечения должен составить:

Отсюда суммарный человеческий капитал работника в 20-летнем возрасте с учетом дисконтирования определяется как:

Исходя из различий в уровне полученного образования, работник со средним и ниже среднего образования имеет сумму вложений в свою подготовку и формирование здоровья в размере 45511 грн., а специалист, получивший среднее специальное и высшее образование, требует 64614 грн. инвестиций.
|
Отрасли народн. хозяйст. |
числоработн. тыс. чел. |
в т.ч. специал. тыс. чел. |
чел. капитал млн. грн. |
числоработн. тыс. чел. |
в т.ч. специал. тыс. чел. |
чел. капитал млн. грн. |
|
Всего |
922,5 |
316,7 |
48033,8 |
609,2 |
247,0 |
32443,6 |
|
Промышленность |
227,3 |
41,7 |
11141,2 |
117,9 |
27,4 |
5889,2 |
|
Сельское хоз-во |
123,8 |
18,4 |
5985,7 |
88,2 |
11,4 |
4231,8 |
|
Лесное хоз-во |
1,8 |
1,0 |
101,0 |
1,7 |
0,9 |
94,5 |
|
Транспорт |
73,2 |
15,2 |
3621,8 |
43,2 |
11,5 |
2185,7 |
|
Связь |
15,0 |
3,9 |
757,2 |
11,7 |
3,7 |
603,2 |
|
Строительство |
78,9 |
23,2 |
4033,9 |
40,3 |
10,6 |
2036,6 |
|
Торговля |
90,7 |
21,4 |
4536,6 |
47,4 |
11,7 |
2380,7 |
|
Инф.выч. Обслужив. |
2,5 |
2,2 |
155,8 |
0,4 |
0,4 |
25,8 |
|
ЖКО, быт |
52,5 |
10,3 |
2572,4 |
55,4 |
17,1 |
2834,3 |
|
Здравоохран. Физк. |
95,0 |
50,6 |
5290,1 |
81,6 |
52,3 |
4712,7 |
|
Образов. |
80,2 |
37,4 |
4364,4 |
65,9 |
50,0 |
3954,9 |
|
Культура |
13,8 |
8,9 |
798,0 |
11,4 |
10,4 |
717,5 |
|
Искусств. |
4,4 |
4,0 |
276,7 |
3,1 |
2,9 |
196,5 |
|
Наука |
28,7 |
10,1 |
1499,1 |
8,6 |
5,7 |
500,3 |
|
Кредитов., страхов. |
6,3 |
2,3 |
330,7 |
7,2 |
6,4 |
449,9 |
|
Коммерч. обслуж. |
- |
- |
- |
0,4 |
0,3 |
23,9 |
|
Аппаратвласти |
12,4 |
9,4 |
743,9 |
24,1 |
22,2 |
1520,9 |
О динамике человеческого капитала в отраслях народного хозяйства Крыма можно судить из приведенной таблицы. Из данных таблицы видно, что за период 2000-2005 годов Крым потерял человеческий капитал на общую сумму 15,6 млрд. грн. Это огромный урон. Часть специалистов и высококвалифицированных рабочих эмигрировала. Зарубежным государствам это очень выгодно: не надо затрачивать огромные суммы на подготовку специалистов. Они приехали из Крыма.
Произошло структурное изменение числа занятых в народном хозяйстве, что повлекло изменение в составе человеческого капитала. Если в его структуре в 2000 г. промышленность занимала 23,2%, то в 2005 г. только 18%. Сельское хозяйство в 2000 г. располагало человеческим капиталом на 5,9 млрд. грн., а в 2005 г. человеческого капитала осталось на 4,2 млрд. грн.
Учитывая специализацию Крыма как рекреационно-оздоровительного комплекса, можно считать позитивной тенденцией то, что доля человеческого капитала в отраслях здравоохранения, туризма, физкультуры возросла с 11% в 2000 г. до 14,5% в 2005 г.
Однако за этот же период неоправданно возрос человеческий капитал, занятый в аппарате управления Крыма. В 2005 г. он составил 4,68% всех занятых в народном хозяйстве, в то время как в 2000 году этот показатель составил всего 1,5%.
Приведенные данные свидетельствуют о серьезной угрозе в воспроизводстве кадров, подготовке специалистов и приводят к заключению, что проблема формирования человеческого капитала и его сохранения становится первостепенной задачей настоящего и будущего Крыма.
3.Мероприятия направленные на повышения уровня человеческого развития
Сложившаяся система образования не в полной мере соответствует потребностям рынка труда. В связи с этим приоритетными направлениями деятельности Верховной Рады Украины в сфере образования являются законодательное обеспечение модернизации украинской системы образования, приведение содержания и структуры профессиональной подготовки кадров в соответствие с современными потребностями рынка труда, повышение доступности качественных образовательных услуг, создание системы независимой оценки контроля качества образования.
Необходимо модернизировать систему образования, начиная с дошкольного и заканчивая высшим и послевузовским профессиональным образованием, путем совершенствования образовательных программ и стандартов, большей ориентации на потребности рынка труда, четкого определения границ обязательств государства в области образования на разных его уровнях. Предстоит провести реструктуризацию сети образовательных организаций, изменить систему бюджетного финансирования путем перехода на нормативно-подушевое финансирование и внедрения образовательных кредитов. Необходимо также повысить контроль за эффективностью использования внебюджетных средств.
Основные усилия Верховной Рады Украины в среднесрочной перспективе будут направлены на реализацию приоритетного национального проекта в сфере образования.
Предусматривается осуществление следующих мероприятий:
стимулирование образовательных учреждений, активно внедряющих инновационные образовательные программы;
информатизация образования;
расширение возможностей получения начального профессионального образования военнослужащими, проходящими военную службу по призыву;
формирование 2 национальных университетов и 2 бизнес-школ;
дополнительное вознаграждение учителей за классное руководство, в том числе учителей начальных классов;
ежегодное поощрение лучших учителей.
Кроме того, первоочередными мерами являются:
оказание государственной поддержки высшим и общеобразовательным учреждениям в приобретении лабораторного оборудования, программного обеспечения, модернизации учебных классов и подготовке преподавателей общеобразовательных учреждений, активно внедряющих инновационные образовательные программы;
внедрение в образовательных учреждениях современных образовательных технологий и дистанционных программ обучения, а также подключение общеобразовательных школ к сети Интернет;
переход на новую систему оплаты труда педагогов в школьных учреждениях, стимулирующую повышение качества образования, а также завершение перехода к нормативному финансированию учебного процесса;
оказание способной и талантливой молодежи государственной поддержки, включая предоставление грантов для школьников, студентов и молодых специалистов.Задачи обеспечения качества, доступности и эффективности образования определены в Концепции модернизации украинского образования на период до 2010 года и приоритетных направлениях развития образовательной системы. Применительно к предстоящему среднесрочному периоду эти задачи могут быть решены путем осуществления следующих мер:
а) обеспечение развития инфраструктуры непрерывного профессионального образования, включающей: создание общенациональной системы оценки качества образования на всех уровнях образования, а также при прохождении различных образовательных программ, обеспечивающих повышение квалификации, профессиональную переподготовку, смену форм и областей профессиональной деятельности;
расширение числа организаций, реализующих образовательные программы непрерывного профессионального образования (в первую очередь, повышения квалификации и переподготовки кадров) путем привлечения в эту сферу различных не образовательных организаций, имеющих ресурсы для осуществления разнообразных дополнительных профессиональных программ;
развитие общественных профессиональных организаций с широким представительством работодателей, деятельность которых будет направлена на формирование адекватных запросам рынка труда требований к реализации профессиональных образовательных программ подготовки специалистов, поиск и отбор современных образовательных технологий, а также проведение оценки (аттестации и аккредитации) качества образовательных программ;
реструктуризацию системы профессионального образования,
переход от управления образовательными учреждениями к управлению образовательными программами. Вследствие этого такие управленческие функции, как контроль, финансирование и оценка качества деятельности, будут осуществляться в отношении образовательных программ;
б) осуществление перехода на уровневую систему высшего профессионального образования, создание организационных и правовых механизмов интеграции программ начального и среднего профессионального образования, включения их в систему непрерывного профессионального образования.
Будут разработаны новые образовательные стандарты профессионального образования с учетом современных квалификационных требований к различным категориям работников, будет обеспечено участие работодателей в разработке указанных стандартов, учебных планов и программ, а также в итоговой государственной аттестации выпускников учебных заведений профессионального образования.
На всех уровнях образовательной системы повышение качества и инновационный характер образования будут обеспечиваться путем внедрения новых образовательных технологий, развития интерактивных форм обучения, широкого использования проектных методов и методов, позволяющих имитировать реальные ситуации, а также современных обучающих программ. Повышение качества высшего и послевузовского образования будет основываться на интеграции образования, науки и практической деятельности;
в) значительное повышение эффективности системы образования детей предшкольного возраста с обеспечением максимального охвата программами предшкольного обучения детей 5 - 6 лет, в первую очередь детей из малообеспеченных семей, с тем чтобы предоставить им равные стартовые возможности в получении школьного образования.
Для удовлетворения индивидуальных потребностей детей в получении знаний в течение всего периода обучения в общеобразовательной школе им будут предоставляться услуги дополнительного образования;
г)создание условий для повышения инвестиционной привлекательности системы образования путем:
преобразования образовательных учреждений в новые организационно-правовые формы государственных (муниципальных) автономных учреждений, обладающих большей самостоятельностью в использовании ресурсов и получающих эти ресурсы по результатам своей деятельности;
повышения качества кадрового состава системы образования. Следует разработать и ввести в действие эффективные механизмы системы оплаты труда педагогических работников, ориентированных на повышение качества и эффективности работы. Важным элементом роста качества кадрового состава станет модернизация системы подготовки, переподготовки и повышения квалификации работников образования. Будут созданы условия для повышения квалификации и переподготовки действующего управленческого персонала среднего звена;
создания условий для развития общественных институтов в управлении образованием. Распространение практики использования таких форм общественного участия в управлении, как попечительские и наблюдательные советы, позволит повысить контроль за расходованием бюджетных и внебюджетных средств образовательных учреждений, что будет способствовать снижению инвестиционных рисков при инвестировании в образовательную сферу;
обеспечения прозрачности процессов финансово-хозяйственного управления образовательными учреждениями;
внедрения новых механизмов финансирования учебных заведений на основе нормативно-подушевого и программного принципов, разработки и апробации механизмов государственной поддержки образовательного кредитования.
Реализация указанных мер позволит обеспечить более эффективное включение образования в процессы повышения уровня благосостояния граждан, сохранения социальной стабильности, развития институтов гражданского общества и обеспечения устойчивого социально-экономического развития страны.
Заключение
Развитие, накопление и использование способностей человека к труду уже два с лишним века интересуют экономистов-теоретиков. Уже В. Петти, А. Смит, Дж.С. Милль и К. Маркс включали развитые полезные способности человека в понятие основного капитала. В Х1Х веке не прерывалась дискуссия о необходимости и целесообразности трактовки человека и его способностей как своеобразного основного капитала. Такие известные экономисты, как Жан-Батист Сэй, Джордж Маккуллох, Нассау Сениор, Вальтер Рошер, Генри Маклеод, Леон Вальрас, Иоганн фон Тюнен, Ирвин Фишер считали возможной и полезной трактовку человека как основного капитала. Для оценки величины человеческого капитала использовались методы "стоимости производства" и "капитализации заработков" (или их комбинации). Аналитическая схема человеческого капитала применялась для показа экономической выгодности миграции, инвестиций в здоровье, в образование, экономических потерь от болезней, войн и т.п.
Из трактовки человека как основного капитала непосредственно вытекала необходимость разработки количественной оценки человеческого капитала. Метод "стоимости производства", восходящий к А. Смиту, заключается в оценивании реальных затрат на "производство человека" (чистого расхода средств существования). Второй метод - "капитализация заработков" восходит к В.Петти и заключается в оценивании настоящей (приведенной к настоящему моменту времени) ценности будущего потока доходов индивидуума (чистого или валового дохода). У. Фарр, Э. Энгель, Т. Витстейн разработали методы экономической оценки человека, практически применимые в сфере страхования жизни. Американские экономисты Л.Дублин и А.Лотка усовершенствовали методику Т. Витстейна и Э. Энгеля и сделали её пригодной для оценки как величины человеческого капитала, так и его компонентов.
Экономические оценки человеческого капитала стали широко использоваться как на микроэкономическом, так и макроэкономическом уровнях для определения величины национального богатства, потерь общества от войн, болезней и стихийных бедствий, в сфере страхования жизни, выгодности инвестиций в образование, здравоохранение, миграцию и для многих других целей.
Литература
Гойло В.С. Современные буржуазные теории воспроизводства рабочей силы: Критический очерк. - М.: Наука, 1975.
Дятлов С.А. Основы теории человеческого капитала. - СПб.: СПбУЭФ,1994.
Дятлов С.А. Экономика образования в условиях переходного периода. - СПб.: СПбУЭФ,1995.
Додонова М.В. Источники выживания сельской семьи. « Экономика и управление». Симферополь, 2000. № 6 ;.22.
Экономический подход Гэри Беккера к человеческому поведению // Вестник РУДН, серия «Социология». — 2003. — № 4. — С. 268–280.
«Человеческий капитал в истории экономической мысли » ав.Т.Кирьян;
Серия «Экономика Украины» № 9 2008 г.с.64
«Человеческий капитал как основной источник экономического роста» ав. Е.Бородина; серия «Экономика Украины» № 7 2003г с.48