Анализ качества рабочей силы в торговой сфере
Содержание
Введение
Глава 1. Качественные характеристики рабочей силы
Модель индивидуальной отдачи от инвестиций в человеческий капитал
Предложение и спрос на инвестиции в человеческий капитал
Глава 2. Развитие человеческого капитала в торговой сфере
2.1. Инвестиции торговой фирмы в человеческий капитал
2.2. Рынок труда специалистов торговой сферы
Глава 3. Анализ качества рабочей силы специалистов сети магазинов «Энергия» (г. Орел)
3.1. Наличие образовательного ценза
3.2. Отдача от образования для коллектива
Заключение
Список использованной литературы
Введение
Образование и образовательный процесс, посредством которого человек становится специалистом является необходимым условием качественной характеристики рабочей силы.
Норма отдачи от образования и объем человеческого капитала (измеряемый как количество лет обучения) имеют обратную зависимость. Во-первых, для человеческого капитала характерен закон снижающейся предельной отдачи. По мере роста знаний, навыков каждое следующее приращение человеческого капитала делает все меньший вклад в увеличение производительности. Так же как фирма имеет снижающуюся производительность труда (переменный фактор) при данном капитале (постоянный фактор), так и у человека снижается отдача от комбинирования образования (переменный фактор) с природными физическими и умственными способностями (постоянный фактор). Во-вторых, выгоды постепенно уменьшаются вместе с уменьшением предстоящего периода трудовой деятельности, а издержки растут, так как более высокий уровень образования требует больших прямых индивидуальных издержек, а альтернативные издержки будут увеличиваться по мере роста заработков и доходов.
Актуальность темы курсовой работы обоснована тем, что в связи со стремительным развитием торговых фирм и ростом торговли в стране все большую актуальность начали приобретать качественные характеристики рабочей силы, основанные на профессиональных навыках, умениях и опыте работы в торговой сфере. Наличие образовательного ценза становится одним из основных критериев принятия человека на работу.
Цель курсовой работы – раскрытие сущности анализа качества рабочей силы в торговой сфере.
Задачи курсовой работы следующие:
Раскрытие необходимости качественной характеристики рабочей силы;
Рассмотрение наличие человеческого капитала в торговой сфере;
Изучение анализа качества рабочей силы специалистов сети магазинов «Энергия» (г. Орел).
В написании курсовой работы использована следующая литература: Войтов Т.М. Условия труда в России. – М., 2005; Генкин Б. М. Эффективность труда и качество жизни. СПб., 2005; Генкин Е. М. Оптимизация норм труда. М.: Экономика, 2002 и др.
Глава 1. Качественные характеристики рабочей силы
1.1. Модель индивидуальной отдачи от инвестиций в человеческий капитал
Качественные характеристики рабочей силы, способности человека к трудовой деятельности, его умения, знания, навыки можно рассматривать как человеческий капитал. Этот капитал складывается из природных способностей отдельного человека и может быть увеличен в процессе образования, профессиональной подготовки, приобретения опыта работы. Затраты времени и денежных средств, необходимые для получения образования и профессиональной подготовки, можно рассматривать как инвестиции в человеческий капитал. Такие инвестиции будут экономически целесообразными, только если они принесут отдачу, окупятся, т. е. если полученное образование или профессиональная подготовка обеспечат более высокий уровень доходов.

Рис. 1. Профили возраст - доход
Эмпирические профили возраст—доход свидетельствуют о том, что заработки увеличиваются вместе с уровнем образования и опытом работы (рис.1). Основные тенденции, характеризующие профиль возраст—доход, следующие:
- средние заработки работающих в режиме полного рабочего времени растут с ростом уровня образования;
- наиболее быстрый рост заработков происходит в начале трудовой жизни — графики имеют выпуклую форму;
- различия в заработках, связанные с образованием, возрастают с ростом трудового стажа — графики имеют тенденцию к веерообразному разрастанию;
- графики возраст—заработки для мужчин оказываются более выпуклыми и разрастающимися, чем для женщин.
Простая модель принятия решений об инвестициях в образование, или модель индивидуальной отдачи от инвестиций, предполагает, что процесс образования непосредственно не увеличивает и не уменьшает полезность человека, т. е. образование — объект для инвестиций, а не потребительское благо, и что потоки доходов, связанные с различными уровнями образования, известны.[10, С.116]

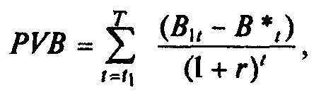
Рис. 2. Модель отдачи в человеческий капитал
При принятии решений об инвестициях сравниваются индивидуальные выгоды и издержки от образования. Выгоды от образования ( рис 2) выражаются в более высоком уровне заработков после получения образования (В1) по сравнению с уровнем заработков без образования (В*). Издержки С на получение образования включают прямые издержки (плата за обучение, расходы на приобретение учебников и т. д.) (пространство Q), альтернативные издержки, или упущенный заработок (пространство С1).
Выгоды от образования представляют поток выгод во времени или сумму ежегодных выгод для предстоящего периода трудовой деятельности после получения образования. Так как решение об инвестициях принимается в настоящий момент времени, то для сопоставления издержек Си выгод (В\ — В*) последние необходимо дисконтировать, т. е. привести их к текущей стоимости выгод (PVB):

где r — норма отдачи от инвестиций в образование (или ставка процента), характеризующая индивидуальную предпочтительность настоящего по отношению к будущему;
Т— период предстоящей трудовой деятельности;
B>1>>r> — заработки в году t после получения образования;
В*>r> — заработки в году / без образования.
t — индекс времени,
t>1> — время обучения.
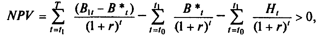
Возможны два способа оценки выгодности инвестиций в человеческий капитал:
- первый: определение чистой текущей стоимости (NPV) инвестиций;
- второй: определение внутренней нормы отдачи.
Определение чистой текущей стоимости инвестиций предполагает нахождение текущей стоимости разницы потоков выгод и издержек при определенной ставке процента. Если чистая текущая стоимость инвестиций больше 0, то и они выгодны, чем больше значение чистой текущей стоимости инвестиций, тем более они выгодны (рис.2):

- где первое слагаемое — текущая стоимость потока выгод, второе слагаемое — текущая стоимость упущенных заработков, третье слагаемое — текущая стоимость прямых издержек на образование.
текущих Стоимостей потока выгод и Потока издержек и нахождение внутренней нормы отдачи р, которая уравнивает эти текущие стоимости:
Затем эта внутренняя норма отдачи сравнивается с рентабельностью инвестиций в экономике в данный момент времени, т. е. с процентной ставкой. Если р > 1, то инвестиции в образование целесообразны.
Модель инвестиций в человеческий капитал имеет простые следствия, соответствующие основным параметрам модели. Инвестировать в человеческий капитал тем выгоднее, чем: больше период предстоящей трудовой жизни и, следовательно, больше отдача от инвестиций; чем меньше издержки, связанные с получением образования; чем больше различия в заработках высокообразованных и низкообразованных работников; чем в большей степени материальное положение и способности позволяют ориентироваться на будущее, а не на настоящий момент. [5, С.245]
1. 2. Предложение и спрос на инвестиции в человеческий капитал
Норма отдачи от образования r и объем человеческого капитала (измеряемый как количество лет обучения) имеют обратную зависимость. Во-первых, для человеческого капитала характерен закон снижающейся предельной отдачи. По мере роста знаний, навыков каждое следующее приращение человеческого капитала делает все меньший вклад в увеличение производительности. Так же как фирма имеет снижающуюся производительность труда (переменный фактор) при данном капитале (постоянный фактор), так и у человека снижается отдача от комбинирования образования (переменный фактор) с природными физическими и умственными способностями (постоянный фактор). Во-вторых, выгоды постепенно уменьшаются вместе с уменьшением предстоящего периода трудовой деятельности, а издержки растут, так как более высокий уровень образования требует больших прямых индивидуальных издержек, а альтернативные издержки будут увеличиваться по мере роста заработков и доходов. Убывающая функция нормы отдачи от количества лет обучения показана на рис. 3.

Рис. 3. Норма отдачи от образования и спрос на инвестиции в образование
Эта функция может быть интерпретирована как функция спроса на инвестиции в человеческий капитал, измеряемый количеством лет обучения е. Из модели индивидуальных инвестиций в человеческий капитал известно, что инвестиции целесообразны до тех пор, пока внутренняя норма отдачи г=р больше или равна ставке процента i. При ставке процента i>2> индивидуум сталкивается с совершенно эластичным предложением денежных средств для инвестиций в образование (рис.3). Горизонтальную кривую S>2> можно рассматривать как кривую предложения инвестиций при данной ставке процента i>2/> Исходя из нашей модели, наиболее выгодно инвестировать в е>2> лет обучения, так как в этом случае r = i2- Аналогично при ставке процента iз, iз > i2> выгодно приобретать человеческий капитал в размере е>3> (г = i>з>), при ставке процента i>l>, i>i>< i>2>> в размере e>l>(r = i>1>). Множество равновесных точек (1, 2, 3), полученных таким путем, образуют кривую, показывающую зависимость между объемом человеческого капитала (который можно рассматривать как характеристику объема инвестиций в человеческий капитал, предполагая, что между ними существует прямая линейная зависимость) и «ценой» денежных ресурсов, необходимых для инвестирования, т. е. образуют кривую спроса на инвестиции в человеческий капитал D.
Исследование кривых предложения и спроса на инвестиции в человеческий капитал Позволяет проанализировать влияние различных факторов на различия в инвестициях в человеческий капитал. Рассмотрим три таких фактора: различия в способностях, дискриминация на рынке труда, различный доступ к займу средств для инвестирования.
Различия в способностях будут приводить к различиям в спросе на инвестиции. На рис. 3а показаны две кривые спроса на инвестиции в человеческий капитал da и db. Предполагается, что работник В обладает большими способностями, чем работник А. Оба работника при данной ставке процента i имеют одинаковую кривую предложения инвестиций S, которая показывает, что финансовые средства одинаково доступны для обоих работников. Так как работник В более способный, это означает, что данное количество инвестиций в человеческий капитал будет трансформировано в большую производительность и соответственно в большие заработки, чем у работника А, и приведет к большей отдаче от образования у работника В. Поэтому для каждой данной ставки процента работнику В выгодно инвестировать в большее образование (большее количество лет обучения), чем работнику А, и кривая спроса на инвестиции db более способного работника будет расположена правее кривой спроса da менее способного работника. Работник В инвестирует в e>g> лет образования, а работник А — в е>A>.
Дискриминация на рынке труда приводит к тому, что работники, обладающие одинаковыми способностями и производительностью, будут получать при прочих равных условиях различную заработную плату. Предположим, что работник А относится к дискриминируемой группе, а работник В — к недискриминируемой. Тогда дискриминация для работника А будет сокращать возможность трансформации полученного образования в заработок по сравнению с работником В, т. е. отдача от образования у дискриминируемого работника будет меньше. Эту ситуацию также иллюстрирует рис.3а. При одинаковом предложении средств для инвестиций S у дискриминируемого работника кривая спроса на инвестиции da будет расположена левее, чем кривая спроса на инвестиции db недискриминируемого работника. [8, С.93]
На рис. 3>6> показана ситуация, когда индивидуумы различаются по доступности им финансовых средств. Кривая спроса на инвестиции в человеческий капитал для работников А и В одинакова (Од = Dg), что отражает одинаковые способности и возможности работников на рынке труда. Но для работника В финансовые средства доступны на лучших условиях, чем для работника А. В результате кривая предложения инвестиций sb для работника В будет расположена ниже, чем аналогичная кривая sa для работника А. В этих условиях индивидууму В выгодно инвестировать в большее образование ев, чем индивидууму А, который будет вкладывать в е>A> лет обучения.
Глава 2. Развитие человеческого капитала в торговой сфере
2.1. Инвестиции фирмы в человеческий капитал
Человеческий капитал разделяется на общий и специфический.
Общий человеческий капитал Может быть реализован на различных рабочих местах, на различных фирмах.
Специфический человеческий капитал может быть применен только на определенном рабочем Месте, в конкретной фирме.
Человеческий капитал приобретается не только в процессе получения образования в школе, институте, но и при последующей профессиональной подготовке (формальной или неформальной, иногда непосредственно на рабочем месте).
Модель инвестиций фирмы в человеческий капитал предполагает, что существуют два периода: первый — когда производятся инвестиции в обучение работника, второй — когда обучение закончено и начинает приносить отдачу.
а) общая подготовка б) специальная подготовка

Рис. 4. Модель инвестиций фирмы в человеческий капитал
Если фирма предоставляет работнику общую профессиональную подготовку (рис. 4а), то для того чтобы компенсировать свои издержки на образование, она должна в период после обучения платить работнику зарплату ниже его предельного продукта, но тогда работник уйдет, так как профессиональная подготовка увеличила его общий человеческий капитал и он может в другой фирме получить зарплату, равную его предельному продукту. Поэтому фирме после обучения придется платить заработную плату, равную предельному продукту, и ей невыгодно проводить общее обучение работников. Если фирма это делает, то зарплата работника в период обучения устанавливается меньше его предельного продукта, т. е. издержки на общее образование несет сам работник.
Если предельный продукт и заработная плата без обучения (MP*=W*), МP2 и W2 — предельный продукт и заработная плата после обучения — предельный продукт и заработная плата в период обучения (МР>1><МР*, так как производительность работника в период обучения немного снижается), t>1> — продолжительность обучения, а Н — издержки обучения, то для работодателя выгодность общей профессиональной подготовки будет определяться условием:

т. е. текущая стоимость заработной платы должна быть снижена на время обучения на текущую стоимость издержек на обучение.
Для работника выгодность обучения будет определяться условием, когда текущая стоимость потерь в заработной плате за время обучения должна быть меньше текущей стоимости выигрыша в заработной плате в период после обучения. [15, С.111]
Если фирма предоставляет работнику специфическую профессиональную подготовку (рис. 4.6), то работник не сможет реализовать свой специфический человеческий капитал, полученный в результате этой подготовки, на другом рабочем месте. Поэтому фирма в период после обучения может платить работнику заработную плату более высокую, чем она была до обучения, но более низкую, чем его предельный продукт после обучения (работник, уволившись, не получит на другой фирме большую заработную плату). Таким образом, при специфической профессиональной подготовке фирма может компенсировать все или часть издержек на обучение. Условия выгодности инвестиций для фирмы и работника те же, но при этом MP2>W2. Создается ситуация, когда издержки на обучение фирма и работник делят между собой, текущая стоимость снижения заработной платы работника на период обучения меньше, чем текущая стоимость издержек на обучение. Пропорция такого, разделения будет зависеть и от степени специфичности человеческого капитала, приобретаемого при профессиональной подготовке.
2.2. Рынок труда специалистов торговой сферы
Модель рынка труда специалистов (рис. 5) может быть представлена как взаимодействие относительного спроса и относительного предложения квалифицированного труда (предполагая, что существует только один вид или уровень образования).

Рис. 5. Рынок квалифицированного труда
Относительная заработная плата wr показывает отношение средней~3аработной платы образованных работников W>e> к средней заработной плате необразованных работников W>v> l>r> — доля образованных работников среди всех работников, кривая Dm — от-нбсительный спрос на специалистов, кривая sir — относительное предложение труда специалистов. Кривые спроса и предложения имеют традиционный наклон. Кривая спроса — отрицательный, так как по мере возрастания относительной заработной платы работодатели будут заменять квалифицированный труд на неквалифицированный. Кривая предложения труда — положительный, так как чем больше разрыв в заработках, тем больше людей будут стремиться получить образование.
Из этой модели следует, что чем больше доля специалистов среди всех работников, тем меньше разница в заработках между специалистами и всеми работниками при данном относительном спросе на труд и соответственно меньше индивидуальная отдача от образования.
Действительно, среднюю заработную плату в экономике мы можем представить как

Тогда отношение средней заработной платы образованных работников к средней заработной плате в экономике равно

Полученное выражение означает, что распределение заработной платы между образованными и необразованными работниками (или wr, отношение их средних заработных плат) одновременно определяется долей образованной рабочей силы lr и рынком.
Для рынка труда специалистов характерен временной лаг в подстройке предложения труда в ответ на изменения в спросе на труд. Этот лаг вызван продолжительностью образовательных программ (например, 4—5 лет). В результате в краткосрочном периоде предложение труда совершенно неэластично и подстройка рынка труда при шоках в спросе на труд происходит по принципу паутинообразной модели (рис.6). В первоначальный период шок спроса выражается в росте заработной платы, и рынок труда переходит из точки А в точку В, в ответ на это предложение в долгосрочном периоде возрастает (переход от точки В к точке С), но оно оказывается избыточным при данной заработной плате, и заработная плата падает (рынок труда переходит из точки С в точку Е), что вызывает теперь в долгосрочном периоде снижение предложения (переход в точку F). После этого, так как спрос опять превышает предложение, происходит повторение цикла подстройки, пока колебания рынка не приводят к долгосрочному равновесию с заработной платой W. Такая подстройка растянута во времени и может быть прервана очередными шоками спроса на труд специалистов. [14, С.247]

Рис. 6. Паутинообразная модель рынка труда специалистов
Условием действия
паутинообразной модели является то,
что кривая спроса должна быть менее
крутой, чем кривая предложения (абсолютное
значение эластичности спроса на труд
должно быть больше,.чем абсолютное
значение эластичности долгосрочного
предложения труда, >
>),
иначе паутина разрастается, и равновесие
не достигается. [18, С.50]
Глава 3. Анализ качества рабочей силы специалистов
сети магазинов «Энергия» (г. Орел)
3.1. Наличие образовательного ценза
Альтернативный теории человеческого капитала взгляд на образование содержится в теории образовательных сигналов на рынке труда, которая связана с проблемой отбора работников, выяснения их производительности до начала трудовой деятельности. В основе этой теории находятся следующие предположения, которые хорошо использованы среди специалистов сети магазинов «Энергия»:
- образование не увеличивает способности, производительность работника;
- люди изначально имеют различные способности;
- образование связано с издержками, в том числе моральными;
- для более способных людей приобретение образования связано с меньшими издержками, т. е. издержки на образование и способности находятся в обратной зависимости;
- издержки на отбор работников и выяснение их истинной производительности для работодателей достаточно высоки.
На основе этих предпосылок можно сделать вывод о том, что более высокий уровень образования будет выявлять большую производительность работника, так как при прочих равных условиях из-за того, что у более способного работника меньше издержки на приобретение образовательного сигнала (образования), он получит большую отдачу от него.
Тогда может быть найден такой уровень образования, который служит разделяющим равновесием и отделяет более производительных работников от менее производительных.
Тогда образовательный сигнал позволяет работодателю разделить работников, так как менее производительному работнику невыгодно получать образование. Если он не приобретает образование, его выгоды больше, чем когда он приобретает образование. А более производительному, наоборот, выгодно. Образовательный сигнал является оптимальным образовательным сигналом (разделяющим равновесием), так как он позволяет разделить работников и не стимулирует более производительных из них получать излишнее образование и нести дополнительные издержки. Образовательный сигнал не будет срабатывать, такой уровень образования выгодно получать и менее производительным работникам. Образовательный сигнал будет срабатывать, но плохо. Его получение связано для производительных работников с большими издержками, и не все предпочтут получать его, что и подчеркивает практика применения данных предположений.
3.2. Отдача от образования для коллектива
Норма отдачи от образования для коллектива отличается от нормы отдачи от образования для индивидуума, так как и издержки, и выгоды от образования коллективом и индивидуумом рассчитываются по-разному.
Индивидуум рассчитывает частную норму отдачи от образования на основании информации о чистой (после уплаты налогов) заработной плате с учетом неденежных выгод и своих прямых издержек на образование.
Социальные издержки включают помимо затрат на образование самих студентов и их семей еще и затраты государства и некоммерческих организаций. Такие общественные издержки составляют значительную часть общих издержек, особенно для более низких ступеней образования, когда, как правило, финансирование осуществляется государством, а альтернативные издержки от упущенных заработков малы. Кроме того, социальные издержки превышают индивидуальные на величину налогов, которые могли бы быть получены с упущенных заработков. Социальные выгоды также больше индивидуальных. Общая коллективная отдача от образования рассчитывается без вычета подоходного налога на заработную плату, так как общество в целом выигрывает от услуг, предоставляемых за счет налогов, при этом выгоды возрастают, так как прогрессивное налогообложение приводит к тому, что дополнительная отдача для общества от высоких налогов растет быстрее, чем доход, по мере того как приобретается все больше образования. Социальные выгоды также включают внешние и побочные эффекты от образования, которые оценить сложнее. Считается, что более образованные члены коллектива являются более осведомленными продавцами, более законопослушны и приносят значительную выгоду профессиональными консультациями и неплохими продажами.
Помимо разного учета выгод и издержек сеть магазинов «Энергия» (г. Орел) также использует более низкую норму дисконтирования, чем индивидуумы. Оно действует на макроуровне таким образом избегает проблем индивидуального риска и несовершенства информации о возможности успешной реализации полученного образования и размерах будущих доходов, т. е. тех факторов, которые повышают индивидуальную норму дисконтирования.
Если рассматривать образование как сигнал, то социальная отдача от образования будет заключаться в том, что образование помогает «сортировать» работников в соответствии с их производительностью.. Предположим, что в коллективе существует два типа рабочих мест: 1 и 2, и что технология производства требует, чтобы на этих рабочих местах было равное количество работников. Каждый работник может выполнять работу типа 1, но лишь половина работников может выполнять работу типа 2. Распределение ресурсов по случайной выборке приведет к тому, что лишь половина способных работников займет рабочие места типа 2, что при заданной технологической пропорции сократит выпуск производства наполовину. Если образование эффективно определяет способных работников, то использование его как сигнала при распределении ресурсов позволит максимизировать выпуск.
Допустив, что рабочие места типа 1 и 2 являются совершенными заменителями в производстве национального дохода и предельный продукт типа 2 вдвое больше предельного продукта типа 1, получим, что оптимальное распределение ресурсов с учетом образовательных сигналов увеличит национальный доход в 1,5 раза по сравнению с распределением ресурсов по случайной выборке.
Если же он получает образование, то в период 1 он ничего не зарабатывает, а вынужден занять 2 тыс. руб. на оплату стоимости обучения и покупку учебников, зато в период 2 его заработок будет 10 тыс. руб., а в период 3—12 тыс. руб. в год. (Предположим, что нельзя прожить ни больше, ни меньше трех периодов.) Если рыночная ставка процента равна 10 за период, станет ли Григорий Андреевич занимать средства на инвестиции в человеческий капитал? Какова внутренняя норма отдачи от этих инвестиций?
Фирма предлагает работникам два типа годичных программ профессиональной подготовки для работников. Для каждого типа программ характерны следующие показатели:
- ежегодный объем продаж, производимый работником, не прошедшим подготовку;
- ежегодный объем продаж, производимый работником в период прохождения подготовки;
- ежегодный объем продаж, производимый продавцом после подготовки;
- материалы и дополнительные издержки на работника в период обучения.
Первая программа предоставляет навыки, которые могут быть использованы в некоторых других фирмах, вторая программа дает знания, полезные только для данной фирмы. Для каждой программы определяется заработную плату работников в период обучения и после него.
Заключение
Анализ качества рабочей силы специалистов необходим для развития торговой сферы предприятия, так он позволяет судить о том насколько важно иметь высококвалифицированных специалистов. Однако их обучение требует материальных затрат, которые берет на себя фирма, создавая все необходимые условия для переподготовки специалистов.
Качество и объемы продаж напрямую связаны с тем, насколько профессионально грамотно специалист разбирается в продажах. Но не все специалисты готовы подвергать себя обучению и переподготовки, так как понимают, что их профессиональные качества не станут высокими; в данном случае наблюдается тенденция необходимости переподготовки лишь тех кадров, которые осознанно стремятся заниматься определенным видом деятельности, который они выбрали не случайно.
Развитие и необходимость человеческого капитала в торговой сфере раньше не рассматривалось так глубоко и научно, как этому уделено внимание в наши дни, когда практически вся экономическая система страны построена на торговых отношениях и товарообороте, реализации продукции, продвижении продукции к потребителю. В настоящее время все больше идет тенденция инвестирования фирмами образования своих специалистов, с целью получения в дальнейшем высокого профессионального результата и высокой отдачи от своих сотрудников.
Развитие рынка труда специалистов торговой сферы еще раз подчеркивает необходимость высококвалифицированных специалистов, имеющих высокие качественные характеристики своей профессиональной подготовки.
Список использованной литературы
Автономов В. С. Модель человека в экономической науке. СПб., 1999
Алексеев Д.М. Экономика труда. – М., 2005
Ампилов Д.В. Моральное измерение науки и техники. М., 1998
Апчиишин А. И. Наука, техника, экономика. М.: Экономика, 2001.
Браун М. Теория и измерение технического прогресса. М.: Статистика, 2001.
Войтов Т.М. Условия труда в России. – М., 2005
Генкин Б. М. Эффективность труда и качество жизни. СПб., 2005.
Генкин Е. М. Оптимизация норм труда. М.: Экономика, 2002.
Дюркгейм Э. О разделении общественного труда. М.: Наука, 1991.
Мескон М. X., Альберт М., Хедоури Ф. Основы менеджмента. М.: Дело, 1992.
Москвин Д.Л. Экономика и социология труда. – М., 2003
Нехорошев А.А. Экономика и социология труда. – М., 2000
Николаев Т.Б. Условия труда на производстве. – СПб., 2001
Новожилов В. В. О тенденциях в развитии производительности труда. М.: Наука, 1992.
Ойкен В. Основные принципы экономической политики. М.: Прогресс, 2005.
Потапов Д.И. Экономика труда. – М., 2006
Прокофьева А.С. Трудовая дисциплина на производстве. – М., 2000
Тихомиров П.С. Экономика и социология труда. – М., 2001
Трудовые преобразования в России /Под ред. Лакомовой Е.П. – М., 2004
Усов Г.М. Процесс улучшения условий труда в России. – М., 2003
Фирсов Ю.С. Социально-трудовые отношения и производственный процесс. – М., 2004
Экономика труда и социально-трудовые отношения / Под ред. Г. Г. Меликьяна, Р. П. Колосовой. М.: Изд-во МГУ, 1999.
Эренберг Р., Смит Р. Современная экономика труда. Теория и государственная политика. М., 1996 г. Гл. 9.
Яковлев Ф.Г. Оптимизация трудовых процессов. – М., 2006