Анализ процессов на региональном рынке труда
Содержание
Введение
1 Понятие рынка труда. Показатели, характеризующие региональный рынок труда
1.1 Понятие рынка труда
1.2 Показатели, характеризующие предложение на рынке труда
1.3 Показатели, характеризующие спрос на рынке труда
1.4 Показатели, характеризующие равновесие на рынке труда
2. Предложение труда
2.1 Популяционные изменения
2.2 Модели миграции
2.3 Участие рабочей силы
3. Определение заработной платы и ее дифференцирование
3.1 Кривая Филлипса и распределение заработной платы
3.2 Межрегиональные дифференциалы заработной платы
Заключение
Список использованных источников
Введение
Анализ регионального рынка труда включает в себя синтез экономических и демографических моделей. Миграция изменяет численность населения и, таким образом, вместе с долями участия рабочей силы определяют предложение труда. Изменение численности населения также затрагивает спрос на товары и услуги в пределах области, таким образом, затрагивая спрос на рабочую силу. Вместе спрос и предложение труда определяют заработную плату, безработицу и уровни занятости, которые, в свою очередь, влияют на миграцию. Учитывая эти взаимозависимости и пространственный контекст регионального роста, анализ регионального рынка труда затрагивает понятия и подходы прикладной эконометрики, макроэкономики, экономики труда, и географии, так же как региональную экономику и демографию.
Данный курсовой проект содержит обсуждение теоретических основ и способов моделирования, необходимых для изучения предложения рабочей силы, спроса на труд, и определения заработной платы.
Эта тема является актуальной, по моему мнению, для нашей страны в особенности, так как до сих пор не известны методы и подходы к полному анализу рынков труда, причин миграции и дифференциации заработной платы. Очень важно для нашей страны найти подходы, позволяющие определять более экономически развитые регионы и пути, по которым отстающие могли бы их догнать. Кроме того, для нашей страны актуальна проблема миграций, проявляющейся как в "утечке мозгов" за границу, так и прирост неквалифицированных нелегальных рабочих в нашу страну их ближнего зарубежья, которые также влияют на занятость коренного населения и количество рабочих мест.
Определение региона очень важно при изучении региональных рынков труда. Одна общая процедура должна применяться к административно
определенным областям, в пределах которых уместные меры политики рынка труда могут быть приняты.
Эта стратегия имеет преимущество доступности данных для этих регионов. Недостаток состоит в обычной необходимости сокращать и подразделять функционально связанные сферы рынка труда, которые часто не придерживаются административных границ. Игнорирование функциональных взаимозависимостей может иметь серьезные последствия в обоснованности параметрической оценки теоретических моделей рынка труда.
Функциональные регионы рынка труда обычно определяются на теоретических основаниях, хотя в этом случае имеются несколько недостатков в случае практического моделирования. Первый следует из замечаний выше, то есть такие области могут подчиняться власти нескольких правительственных учреждений, которая делает формулировку изменений политики в модели довольно трудным заданием. A второй недостаток состоит в произвольности пределов для региона, определяющего переменную.
Рассматривая более, чем один регион, возникают дополнительные проблемы. Необходимо определить, какая из пространственных моделей является соответствующей: без пересечений или с накладывающимися областями.
Целью проекта является проведение анализа рынка труда. Для достижения данной цели были сформулированы следующие задачи:
исследование областей рынка труда;
изучение моделей миграции;
проведение расчета коэффициентов, характеризующих рынок труда;
построение графиков и математической модели;
формирование вывода по полученным результатам.
1 Понятие рынка труда. Показатели, характеризующие региональный рынок труда
1.1 Понятие рынка труда
Рынок труда отражает основные тенденции в динамике занятости, ее основных структурах, то есть в общественном разделении труда, а также мобильность рабочей силы, масштабы и динамику безработицы.
Рынок труда - это социально-экономическая система, включающая в себя совокупность общественных отношений, связанных с куплей и продажей рабочей силы; это также экономическое пространство - сфера трудоустройства, в которой взаимодействуют покупатели и продавцы рабочей силы; наконец, это механизм, обеспечивающий согласование цены и условий труда между работодателями и наемными работниками.
Рынок труда можно рассматривать широко - как совокупный рынок труда, охватывающий все совокупное предложение (все экономически активное население) и совокупный спрос (общую потребность экономики в рабочей силе). В узком смысле принято говорить о текущем рынке труда как составной части совокупного рынка труда основными характеристиками которого являются предложение рабочей силы, т.е. контингент незанятого населения, ищущего работу, и спрос на рабочую силу или неукомплектованные рабочие местa, отражающие неудовлетворенную часть общей потребности экономики в кадрах.
Текущий рынок труда состоит из отдельных элементов:
открытый рынок труда - это экономически активное население, ищущее работу и нуждающееся в подготовке и переподготовке, а также все вакантные рабочие места во всех секторах экономики;
скрытый рынок труда - это лица, которые формально заняты в экономике, но в то же время в связи с сокращением производства или же с изменением его структуры могут быть высвобождены без ущерба для производства.
Оба рынка имеют официальную (зарегистрированную) и неофициальную части [1].
Рынок труда включает в себя два больших блока - занятость и безработицу.
Проблема занятости населения является одной из важнейших социально-экономических проблем. Занятость неразрывно связана как с людьми и их трудовой деятельностью, так и с производством, распределением, присвоением и потреблением материальных благ. В силу этого категория занятости представляет собой всеобщую экономическую категорию, характерную для всех общественно-экономических формаций. Характеристики занятости, использования трудового потенциала общества представляют не только экономический интерес, они являются и основными показателями, отражающими политику государства в сфере труда, отношение к человеку и как к главной производительной силе общества, и как к личности.
Существуют теоретическая и практическая трактовки занятости. Теоретически занятость - это общественно полезная деятельность граждан, связанная с удовлетворением личных и общественных потребностей и приносящая, как правило, заработок или трудовой доход. В практическом смысле занятость - это соотношение между числом трудоспособного населения и числом занятых, характеризующее степень использования трудовых ресурсов общества и ситуацию на рынке труда. Однако обе трактовки не учитывают глубинные процессы, свойственные занятости. Занятость имеет ярко выраженный социальный характер. Она отражает потребность людей не только в доходах, но и в самовыражении посредством общественно полезной деятельности, а также степень удовлетворения этой потребности при определенном уровне социально-экономического развития общества.
Безработица представляет собой макроэкономическую проблему, оказывающую наиболее прямое и сильное воздействие на каждого человека. Потеря работы для большинства людей означает снижение жизненного уровня и наносит серьезную психологическую травму. Поэтому неудивительно, что проблема безработицы часто является предметом политических дискуссий.
В соответствии с положением МОТ безработным признается человек, не имеющий занятия, приносящего доход, готовый работать и ищущий работу.
1.2 Показатели, характеризующие предложение на рынке труда
Информация о предложении на рынке труда рассматривается в следующих аспектах:
демографическом;
социально-экономическом;
профессиональном.
а) Показатели демографического аспекта:
численность населения, постоянно проживающего на данной территории;
площадь территории;
половозрастная структура населения;
структура маятниковой миграции;
структура движения населения за год;
численность вступивших в трудоспособный возраст в%;
структура иммигрантов по статусу за год;
половозрастная структура иммигрантов и эмигрантов за период;
численность граждан, выехавших на работу за пределы региона (за период);
численность рабочей силы, привлеченной из других регионов (за период);
средняя предстоящая продолжительность жизни для лиц, достигших трудоспособного возраста.
б) Показатели социально-экономического аспекта:
численность трудовых ресурсов - это сумма численностей трудоспособных граждан в трудоспособном возрасте, работающих подростков (до 16 лет) и работающих пенсионеров;
численность работающих инвалидов;
численность работников, числившихся в списочном составе весь предыдущий год;
численность работающих инвалидов;
численность находящихся в вынужденных отпусках по инициативе администрации;
численность добровольно работающих неполное рабочее время (день, неделю);
половозрастная структура занятого населения;
структура занятых в материальном производстве/ непроизводственной сфере;
структура занятых по секторам экономики;
структура занятых по отраслям экономики;
структура занятых трудовой деятельностью по статусу занятости;
численность экономически активного населения;
структура экономически активного населения по отношению к занятости;
половозрастная структура экономически активного населения;
половозрастная структура реальных безработных;
структура реальных безработных по социальным группам, к которым они относились до начала периода безработицы. Имеются данные по следующим социальным группам: рабочие, служащие, без квалификации;
уровень экономической активности населения - это доля численности экономически активного населения в общей численности населения;
уровень экономической активности по половозрастным группам;
уровень безработицы - удельный вес численности безработных в численности экономически активного населения;
уровень безработицы по половозрастным группам;
структура реальных безработных по продолжительности безработицы;
половозрастная структура безработных, зарегистрированных в службе занятости;
структура зарегистрированных безработных по причинам не занятости;
структура зарегистрированных безработных по продолжительности безработицы;
численность высвобожденных по инициативе администрации за квартал по данным отчетности по труду;
состав зарегистрированных безработных по группам, требующим особой социальной защиты;
структура высвобожденных по инициативе администрации по секторам экономики за квартал;
структура высвобожденных по инициативе администрации по отраслям экономики за квартал;
изменение численности занятых в народном хозяйстве за квартал - это разность между численностями принятых на работу и выбывших из числа работающих по данным отчетности по труду;
структура выбывших из числа работающих по причинам выбытия за квартал по данным отчетности по труду (по собственному желанию);
движение рабочей силы на официальном рынке труда за квартал по данным службы занятости;
участие службы занятости в трудоустройстве населения за квартал;
естественный уровень безработицы - это сумма численностей фрикционных и структурных безработных. Фрикционные безработные - это люди, не занятые в данный момент времени из-за добровольного перехода с одной работы на другую по всевозможным причинам. Структурная безработица обусловлена изменением спроса на товары и услуги и соответствующей этому трансформацией профессиональной и отраслевой структуры занятости населения.
в) Показатели профессионального аспекта:
профессиональный состав экономически активного населения по укрупненным группам;
профессиональный состав незанятых, обратившихся в службу занятости, по укрупненным группам с указанием распределения по полу в каждой группе;
структура экономически активного населения по уровню образования;
структура обратившихся в службу занятости по уровню образования;
численность учащихся ПТУ, техникумов и ВУЗов очной формы обучения;
уровень безработицы по укрупненным профессиональным группам;
структура профессионального обучения зарегистрированных безработных по типу учебного заведения за период;
профподготовка обратившихся в службу занятости за период;
численность выпускников дневных отделений ВУЗов и техникумов за год;
численность выпускников ПТУ за год;
профессиональный состав иммигрантов и эмигрантов за период;
профессиональный состав привлеченных на работу из других регионов за период;
профессиональный состав выехавших на работу за пределы региона за период (для тех регионов, где это существенно);
структура иммигрантов и эмигрантов за период по уровню образования.
1.3 Показатели, характеризующие спрос на рынке труда
Информация о спросе на рынке труда рассматривается в следующих аспектах:
социально-экономическом;
профессиональном.
а) Показатели социально-экономического аспекта:
общее число предприятий и производств на данной территории;
структура предприятий и производств по формам собственности;
группировка промышленных предприятий по объему выпускаемой продукции;
группировка промышленных предприятий по среднесписочной численности;
валовой общественный продукт в ценах с учетом инфляции - это суммарная стоимость продукции и услуг в текущих ценах, произведенных на данной территории;
структура валового общественного продукта по отраслям экономики;
произведенный национальный доход на душу населения - это отношение национального дохода, произведенного на данной территории, к общей численности населения региона;
национальный доход - это стоимость валового общественного продукта за вычетом стоимости израсходованных в производственном процессе средств производства;
прожиточный минимум - это минимальная стоимость жизненных средств, физически необходимых для поддержания жизнедеятельности и восстановления рабочей силы человека;
распределение населения по размеру среднедушевого дохода;
стоимость основных фондов (по балансовой стоимости);
структура основных фондов по отраслям экономики;
структура основных фондов - производственная/непроизводственная сфера;
коэффициент износа основных фондов ("Возраст оборудования");
объем производства и услуг (в оптовых ценах предприятий);
структура производства и услуг по отраслям экономики;
структура производства и услуг по секторам экономики;
капитальные вложения в экономику - это совокупность затрат материальных, трудовых и денежных ресурсов, направленных на расширенное воспроизводство основных фондов.
структура капитальных вложений производственное/ непроизводственное назначение;
структура капитальных вложений по отраслям экономики. В структуре отражены размеры капитальных вложений в отрасли экономики региона, а также их процентное соотношение;
структура капитальных вложений по секторам экономики. В структуре отражены размеры капитальных вложений в сектора экономики по формам собственности, а также их процентное соотношение;
удельный вес преобладающей отрасли (по объему производства) - это доля преобладающей отрасли по стоимости выпущенной продукции или произведенных услуг в общем производстве. Преобладающая отрасль - это отрасль, имеющая максимальную стоимость выпущенной продукции или произведенных услуг;
удельный вес преобладающего (градообразующего) предприятия (по объему производства) - это доля преобладающего предприятия по стоимости выпущенной продукции или произведенных услуг в общем объеме производства. Преобладающее предприятие - это предприятие, имеющее максимальную стоимость выпущенной продукции или произведенных услуг;
число вакансий в народном хозяйстве - количество незанятых рабочих мест, на которые могут быть приняты работники;
структура вакансий по отраслям экономики. В структуре отражены количества вакансий по отраслям, а также их процентное соотношение в общей численности вакансий;
спрос на рабочую силу в народном хозяйстве - это сумма численности занятых в народном хозяйстве и количества вакансий;
структура спроса на рабочую силу по отраслям экономики. В структуре отражены абсолютные значения спроса по отраслям, а также процентные соотношения этих значений в общем спросе на рабочую силу;
численность скрытых безработных по народному хозяйству - это возможное количество высвобожденных работников без снижения объемов производства и услуг при производительности труда, равной производительности базового периода (резерв рабочей силы);
структура скрытой безработицы по отраслям экономики. В структуре отражены численности скрытых безработных по отраслям экономики, а также их процентные соотношения в общем объеме скрытой безработицы в регионе;
доля скрытой безработицы в общей численности занятых. В структуре занятых по отраслям с указанием только процентных соотношений уточнить долю скрытых безработных в каждой отрасли в общей численности занятых;
среднемесячная заработная плата рабочих и служащих по отраслям народного хозяйства и отраслям промышленности. В связи с постоянным изменением заработной платы эти данные желательно иметь за календарный месяц, предшествующий отчетной дате;
среднемесячная заработная плата колхозников (желательно за последний календарный месяц);
ввод основных фондов за год - это стоимость основных фондов, введенных за год в эксплуатацию;
выбытие основных фондов за год - это стоимость основных фондов, выбывших за год из эксплуатации;
индекс динамики объема производства и услуг по отраслям и по хозяйству в целом. Индекс динамики объема производства и услуг рассчитывается как отношение объема производства и услуг к аналогичному показателю в базовом периоде;
индекс динамики спроса на рабочую силу по отраслям и по хозяйству в целом. Индекс динамики спроса на рабочую силу рассчитывается как отношение спроса на рабочую силу к аналогичному показателю в базовом периоде;
индекс изменения производительности труда по отраслям и по хозяйству в целом. Индекс изменения производительности труда рассчитывается как отношение индекса динамики объема производства и услуг к индексу численности занятых. Индекс численности занятых - это отношение численности занятых в отрасли или в народном хозяйстве к аналогичному показателю в базовом периоде;
коэффициент эластичности прироста скрытой безработицы на 1% падения производительности труда по отраслям и по хозяйству в целом. При неизменной трудоемкости производственных процессов коэффициент эластичности определяется долей условно-постоянных работников, занятых управлением и организацией производства, наладкой и ремонтом оборудования, зданий, сооружений и т.п.; их численность связана в малой степени с объемами производства. Например, для промышленности в целом эта доля составляет примерно 50% в общей численности занятых, следовательно, коэффициент эластичности для промышленности можно считать равным 0,5. Для отраслей промышленности требуются уточнения в соответствии с их долей условно-постоянных работников. Для других отраслей экономики этот коэффициент корректируется с учетом другой трудоемкости продукции и другой долей работников ручного труда. Эти коэффициенты устанавливаются экспертным путем и являются исходными данными для системы оценки ситуации на рынке труда;
темпы роста среднемесячной заработной платы. Темпы роста среднемесячной заработной платы определяются отношением среднемесячной заработной платы данного периода к аналогичному показателю для предыдущего периода. Данные приводятся отдельно для категорий рабочих и служащих и колхозников.
б) Показатели профессионального аспекта:
профессиональная структура вакансий по укрупненным группам. В структуре отражены количества вакансий по укрупненным профессиональным группам, а также их процентные соотношения в общем объеме вакансий;
число учреждений высшего и среднего специального образования, расположенных на данной территории;
число учреждений начального профессионального образования, расположенных на данной территории;
профессиональная структура учебных мест, предоставленных службой занятости для переобучения безработных за период. В структуре отражены количества учебных мест по укрупненным профессиональным группам, а также их процентные соотношения в общем объеме учебных мест, предоставленных службой занятости.
1.4 Показатели, характеризующие равновесие на рынке труда
Информация о сбалансированности спроса и предложения на рынке труда рассматривается в следующих аспектах:
социально-экономическом;
профессиональном.
а) Показатели социально-экономического аспекта:
разность между спросом и предложением рабочей силы по народному хозяйству в целом - это разность между спросом и численностью экономически активного населения;
доля удовлетворенного спроса по отраслям и хозяйству в целом. Доля удовлетворенного спроса определяется процентным отношением численности занятых в отрасли (в хозяйстве в целом) к спросу на рабочую силу в отрасли (в хозяйстве в целом).
б) Показатели профессионального аспекта:
количество не занятых, приходящихся на одну вакансию, по укрупненным профессиональным группам и по хозяйству в целом по данным государственной службы занятости;
перечень дефицитных профессий. Перечень дефицитных профессий составляется на основании данных тех профессиональных групп, для которых количество незанятых, приходящихся на одну вакансию меньше 1, должны включаться в этот перечень. Желательно по возможности уточнить конкретные профессии из укрупненных профессиональных групп, по которым наблюдается значительный дефицит. Такие перечни должны составляться регулярно (например, раз в квартал); они отражают положение дел в конкретный момент времени. Накапливая эти сведения, необходимо составлять перечень профессий, по которым наблюдается устойчивый дефицит в регионе. Как следует из сказанного, перечни составляются по данным государственной службы занятости, что далеко не всегда отражает положение дел на реальном рынке труда. Поэтому необходимо проводить постоянные наблюдения за требованиями рынка к профессиональной подготовке рабочей силы и соответственно корректировать перечни дефицитных профессий. Методики такого наблюдения разработаны в специальном документе;
затраты на социальную поддержку в связи с безработицей.
2. Предложение труда
2.1 Популяционные изменения
Экономическо-демографическое моделирование для регионов, государств, провинций и столиц более трудное, чем национальное моделирование из-за торговли и миграции внутри страны. Например, национальные модели могут сфокусироваться на естественном приросте населения (рождение и смертность) в объяснении изменений численности населения, потому что иностранная иммиграция является несущественной частью всего изменения. С другой стороны, региональные модели должны рассматривать рождение, смертность и внутреннюю миграцию с тем, что миграция в данном случае является намного большей пропорцией изменения численности населения, чем естественный рост.
Составляет трудность то, что данные, доступные для национального моделирования часто не надежны или даже не сведены в таблицу на региональном уровне. Следовательно моделирование стратегий и методов должно быть изобретено так, чтобы признавать и компенсировать это ограничение данных. В таком случае, модели являются продуктом запутанного взаимодействия теории, данных и метода.
В подходе, основанном на человеческом капитале, миграция является инвестициями для увеличения производительности человеческих ресурсов. Выгода миграции из одного места в другое - разница между пожизненным доходом, заработанным в родном регионе и в пункте назначения, минус затраты на миграцию.
Концептуальные рамки могут быть расширены, чтобы рассмотреть все затраты и выгоды миграции, включая психические затраты, типа оставления позади друзей. Если выгоды превышают издержки, "инвестирование" в миграцию увеличивает полезность.
Некоторые неоклассические теории регионального роста рассматривают более узкую перспективу миграции. Индивидуумы выбирают место работы в ответ на дифференцированные ставки заработной платы. Эти теории, однако, рассматривают полную занятость с заработной платой, изменяющейся до полного опустошения рынка труда. В отсутствии полной занятости и такой гибкости заработной платы, заработная плата, как мера ожидаемого дохода в месте, куда мигрирует индивид, должна быть умножена на вероятность получения работы.
Измерение вероятности получения рабочего места - ключевая проблема в исследование миграции. Основополагающая концепция проста. Численные данные необходимы для изучения количества существующих вакансий (предложение рабочих мест или вместимость предприятий) и для числа людей, ищущих работу (соревнование кандидатов на работу или спрос на рабочие места). К сожалению, данные относительно вакансий вообще не доступны. Кроме того, наблюдаемая безработица, как мера ожидаемой конкуренции между рабочими, игнорирует:
индивидуумов, которые не заняты активным поиском работы, но могут быть непосредственно нанятыми, если рабочее место становится доступным для них;
естественное увеличение рабочей силы за счет трудоспособных подростков или выход из ее состава пенсионеров,
других мигрантов, привлеченных теми же самыми вакансиями.
Географические исследования миграций пришли к выводу об обратной зависимости между миграцией и расстоянием. Хотя не всегда расстояние может быть включено в подход, основанный на человеческом капитале. Психические затраты могут стать результатом расставания с семьей и друзьями; чем больше расстояние и ниже вероятность воссоединения с семьей, тем больше психические затраты.
Так как поток информации уменьшается с расстоянием, неуверенность увеличивается и с этим растет ожидаемая ценность дохода, полученного в месте назначения.
Эти аргументы (информация и психические издержки) также могут использоваться при измерении прошлых миграций в структуре человеческих ресурсов.
Миграционный запас (число людей, рожденных в государстве i, но живущий в государстве j) - величина потока информации, вернувшегося в государство i из j; также присутствие друзей и родственников из дома обеспечивает поддержку новым переселенцам и уменьшает психические затраты миграции в новую окружающую среду.
Демографы отметили, что большая пропорция мигрантов - повторные мигранты или мигранты возвращения. Таким образом, высокая внутренняя миграция, вероятно, отражается в высокой эмиграции повторных мигрантов; якобы, психические затраты эмиграции ниже для людей, которые недавно мигрировали в регион, чем для давнего жителя. Аналогично, предыдущая эмиграция может привести к внутренней миграции возвращения мигрантов, которые подвергаются более низким психическим затратам при возвращении, чем при перемещение к другому месту назначения. Таким образом, предыдущая внутренняя миграция используется, чтобы предсказать эмиграцию и наоборот.
Демографы и экономисты также наблюдали различия в нормах миграции в зависимости от возраста, пола, расы, образования и квалификации. Например, молодые люди в свои 20 наиболее склонны к миграции, но с возрастом эта склонность монотонно уменьшается, кроме одного исключения, которое представляют люди в пенсионном возрасте, здесь наблюдается незначительный пик, когда нормы миграции детей отражают нормы их родителей. Эти наблюдения совместимы с подходом, основанном на человеческих ресурсах, потому что пожилые люди имеют меньше времени для того, чтобы пожинать плоды выгоды от миграции, а молодые люди менее обременены семьей и обязанностями перед обществом, недвижимостью и капиталовложениями. Таким образом, их затраты на миграцию ниже. Точно так же недавние исследования показали, что вероятность межгосударственной миграции ниже для семей с работающими женами. Эмпирические исследования выяснили, что экономические факторы, такие как занятость, безработица, и заработная плата не в состоянии объяснить миграцию потоков женщин и цветных.
Подход, основанный на человеческом капитале, предполагает, что экономические условия в "родном" месте и новом регионе играют важнейшие роли в объяснении миграции между двумя местами. Например, уровни дохода в каждом месте участвуют в вычислении сегодняшней выгоды от различия в доходах, связанных с перемещением и нахождением на прежнем месте. Однако, факторы, измеряющие экономические условия в "родном" месте, включая доход, безработицу, и заработную плату, часто признавались незначащими в некоторых исследованиях. Кроме того, положительные зависимости часто наблюдаются между внутренней миграцией и показателями безработицы в пункте назначения мигранта.
Другое важное понятие в моделировании миграции - альтернативные возможности. Вероятность выбора конкретного места назначения зависит частично от условий в альтернативном месте миграции. В литературе существует несколько разногласий касательно определения набора подходящих альтернатив. Некоторые ученые включают в набор альтернатив самое высокое население, самую низкую норму безработицы и наибольшую среднюю заработную плату из числа всех регионов, которые находятся от "родного" места не дальше, чем планируемый мигрантом регион.
Американские экономисты пришли к необходимости введения индекса качества жизни для каждого штата США, составленного из более чем 100 переменных сгруппированных в девять категорий. Например, в категорию "индивидуальный статус" включены четырнадцать переменных, среди них процент рабочей силы, число автомашин на душу населения, расходы на образование на человека и "качественный индекс медицинского обслуживания". Категория "условия жизни" включала индекс преступлений, процент семей в бедности, региональные акры на душу, телефоны на душу, библиотечные книги на душу, оркестры симфонии на душу, автомобильные аварии на душу, среднее число дней света, ежегодная влажность и десять других переменных. Каждая переменная в каждом компоненте давала равный вес, и компоненты были взвешены одинаково в составлении полного индекса. Другие экономисты выяснили, что экономические переменные гораздо более важны, чем качество жизни, экологические, или климатические переменные. Дифференциация заработной платы компенсирует различия в климате и удобствах. Спрос на климат и удобства, как на любой другой товар, склонен к изменению вместе с относительными ценами и доходом. Например, с увеличивающимися доходами, спрос на отдых в свободное от работы время увеличивается и с этим желание находиться в "более подходящей" богатой природой окружающей среде. Миграция в этом случае имеет место как результат изменяющегося спроса на удобства, не зависящие от местоположения.
Хотя этот спрос может быть завышенным, рассматривая климат и другие удобства как товары потребления, неэластичные по доходу (так называемые товары роскоши), благодаря ему можно предсказывать перемещение в пределах структуры человеческого капитала.
Социальная научная литература документировала роли экономических условий, демографических особенностей, расстояния и предыдущих примеров миграции, альтернативных возможностей, климата, удобств и других аспектов качества жизни.
2.2 Модели миграции
1) Демографический метод.
Американское Бюро Переписи сделало прогноз о внутренней миграции и эмиграции для каждого штата на основе предыдущей межгосударственной миграции и переписи населения. Перемещение студентов колледжа и вооруженных сил персонал смоделировал отдельно, иначе никакое различие не было бы сделано между рабочей силой и перемещением нерабочей силы. Эмиграция спроектирована, применяя эмиграцию по возрасту, полу и расой в каждом штате. Тогда получающаяся национальная сумма эмигрантов перемещена назад в свой штат как внутренняя миграция на основе долей штатов межгосударственных перемещений в течение данного исторического периода. Такие демографические подходы можно счесть беспочвенными, так как нормы миграции обращены в будущее. Таким образом, изменения в модели общей миграции являются полным результатом изменений в популяционном составе, то есть, число людей в каждом возрасте, расе, и половой группе в каждом штате. Экономические условия в данном методе демографического моделирования не применяются.
2) Временные модели.
Временные модели используют ежегодные данные о миграции, совместимые с эконометрическими моделями. Никакие надежные ежегодные временные данные не существуют для межгосударственной миграции. Временные серии в чистой миграции могут быть подсчитаны, оценивая население в течение каждого года, чтобы получить изменения численности населения и затем использовать данные относительно рождений и смертей, чтобы оценить чистую миграцию как результат уравнения: чистая миграция= оцененное популяционное изменение -рождаемость + смертность (1). Так как данные относительно рождений и смертельных случаев зарегистрированы статистикой и, по-видимому, весьма точные, ошибки в популяционных оценках отражены почти полностью в данных чистой миграции перемещения. Учитывая подобные величины ошибок в оценке популяционного изменения и нормы ежегодной чистой миграции, могут ожидаться ошибки равные 50 процентов или больше.
Несмотря на такие ошибки, метод чистой миграции использовался по крайней мере в трех экономико-демографических исследованиях США.
Плут (1981) ближе всех подошел к явному моделированию теории человеческого капитала. В его модели Техаса, ожидаемый доход представлен как относительная заработная плата и относительное отношение вакансии-к-безработице (он использовал данные относительно вакансий из объявлений в газетах). Реальный национальный доход на единицу населения взят как способ измерения изменений реакций населения на условия окружающей среды, и отстающее население включено в результате установки частичной модели регулирования. Пространственные факторы и демографические детали, однако, пропали из числа факторов, обсуждаемых в предыдущей секции.
Также стоит упомянуть подход моделирования Балларда, рассматривающего неявную чистую миграцию. Но ни одна попытка моделирования не рассмотрела непосредственно доли миграции. Вместо этого оценки численности населения самостоятельно смоделированы в пяти возрастных группах. Условие занятости представляет собой возможность работы, доход представляет "стимул, чтобы мигрировать" и временная тенденция представляет "исторические изменения в привлекательности окружающей среды". Необходимо отметить, это уравнение очень похоже на нормы миграции Плота. Здесь коэффициент из отстававшего популяционного условия, однако, измеряет естественное увеличение, а не задержки в миграции. В динамическом моделировании среднее число означает абсолютную процентную ошибку, которая в случае с 1963 до 1976 для всех пятидесяти штатов составляла только один процент от общего числа населения. Все же, эта статистика менее внушительна, чем это могло показаться, потому что ежегодная норма изменения популяции не превышала 1 процент для 26 штатов с 1970 до 1975. Короче говоря, Баллард и др. моделировали естественный прирост и миграцию неявно, включением их определителей в независимые переменные. Коэффициенты регресса по существу - грубые замены для демографов смертей и норм миграции. Этот подход не сохраняет преимуществ и информации демографических расчетов.
3) Динамические экономико-демографические модели нормы миграции
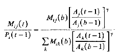
Большая часть региональных экономик влечет за собой изобретение методов для преодоления проблемы ограниченности и недоступности данных. Примеры основной экономической модели, модели затраты-выпуск и региональной эконометрической модели - актуальные моменты. Моделирование миграции похоже на эти модели. Так как природа и периодичность изданных данных относительно миграции изменяются широко из страны в страну, так что приходится создавать методы, подходящие к каждой. Недавно созданный ряд данных для американской внутренней миграции, например, дает возможность соединить в одном методе преимущества демографического подхода и теоретическую структуру экономики. Данные найдены, благодаря налоговым отчислениям в бюджет между двумя периодами и сравнением адресов налогоплательщиков. Данные о ежегодных потоках миграции в настоящее время доступны в течение некоторых лет. Они являются достаточными, чтобы моделировать миграцию совместимом с региональными эконометрическими моделями, основанными на ежегодных данных. Этот экономико-демографический подход влечет за собой связанные нормы миграции с мультирегиональной демографией. Матрица перехода или Маркова содержит вероятность, что человек из одного региона останется в этом регионе на некоторый период и вероятность, что человек будет мигрировать в каждый из других регионов системы. Эти вероятности обычно основаны на прошлых нормах. В условиях, при которых существует миграция из региона i в регион j (Mij), является обоснованным следующее уравнение: Mij (t) = Pi (t - 1) [Mij (b) /Pi (b-1)], (2), где Р относится к населению региона i в году (t - 1) переходящему к году t, и b является базисным годом. Число в скобках - уровень миграции, наблюдаемой в базисном году. Предполагается, что данные остаются постоянными на протяжении всего периода проектирования.
Роджер отметил, что эмпирические результаты использования цепей Маркова были неутешительными в проектировании будущей общей численности населения в результате "ограничительного предположения о неизменных вероятностях перемещения" и Роджерсон доказал, что линейное регулирование вероятностей при использовании двух или более транзитивных матриц может привести к большей точности. Финей рекомендовал регулирование матриц миграции для отражения пространственного изменения распределения экономических возможностей. Этот метод был развит Айсерманом. Его ключевое уравнение:
(3)
где k включает весь набор регионов, Мij относится к людям, которые остаются в регионе i ("стайеры"), A относится к индексу привлекательности региона, и y - параметр, измеряющий величину миграции в ответ на изменяющуюся привлекательность региона.
С двумя наборами матриц потоков миграции y может быть оценен для минимизации среднеквадратичной ошибки между предполагаемым и наблюдаемым уровнем миграции в следующем году. Отметим, что все уровни миграции являются взаимозависимыми; вероятности перемещения из региона i в регион j изменяются, если нет никаких изменений в привлекательности или региона i или региона j, когда есть изменения в привлекательности любых других регионов в системе.
Когда этот подход был осуществлен, используя индекс привлекательности, состоящий из вакантных мест и данных относительно потоков миграции в предыдущих периодах, чтобы спроектировать потоки миграции в будущем, это привело к ошибке проектирования 20 процентов, меньшей, чем стандартная демографическая модель Маркова.
В использовании экономико-демографического матричного подхода, необходимо сделать предположение, что устойчив. Так как все больше лет данные о миграции становятся доступными в США и когда подход используется в немногих странах с ежегодными сезонными миграциями, свойства y могут быть оценены опытным путем и, возможно, даже быть смоделированы как эндогенная переменная. К сожалению, отсутствие надежных серийных данных относительно миграции в пределах большинства стран мира, что природа моделируемого явления все еще неизвестна. Региональным экономистам остается только изобрести методы, использующие только небольшую часть, которую составляют общедоступные данные, а это не легче, чем собрать огромную мозаику со множеством недостающих деталей.
2.3 Участие рабочей силы
Современный анализ предложения труда все еще широко соответствует концептуальной структуре, выделенной в оригинальной работе Лайонела Роббинса, изданной в 1930г. В самой простой форме предложение труда может быть представлено выбор потребителя между товарами, которые он может себе позволить, доходом и досугом.
Полезно отличать два понятия предложения труда: (1) решение участвовать в рабочей силе (двойной выбор) и (2) число предлагаемых часов работы при принятии решения участвовать в рабочей силе.
доход
Рисунок 1 - Решение участвовать в рабочей силе
доход
досугРисунок 2 - Число предлагаемых часов работы при принятии решения участвовать в рабочей силе
Эти два выбора изображены на рисунках 1 и 2.
Горизонтальная ось показывает часы, доступные для досуга, T-максимальное количество часов, и вертикальная ось измеряет доход.
Yn - доход неработающего потребителя и набор кривых Ui изображают предпочтения потребителя между досугом и доходом. Для решения участия в рабочей силе (Рисунок 1), критический параметр - абсолютная величина наклона линии wr, касательной к кривой безразличия в точке, где часы работы равны нулю и доходом, не связанным с работой - Yn. Этот наклон - минимальная заработная плата потребителя (или теневая заработная плата в нулевые часы работы), зависящая как от Yn, так и от предпочтений потребителя между доходом и временем, доступным для отдыха. Набор потребительских выборов между доходом и досугом, показывается линией, идущей из точки (T, Yn) с абсолютным наклоном wm, где wm является рыночной заработной платой. Для wm <wr (то есть Wm1 на рисунке 1), потребитель максимизирует полезность в угловом решении (T, Yn), то есть не участвуя в рабочей силе. Для wm> wr (Wm2 на рисунке 1), участие происходит с уровнем затрачиваемых на работу часов, отличным от нуля (T-h0 для wm2 на рисунке 1).
Отметим, что увеличение wm должно иметь неотрицательное воздействие на решение потребителя об участии в рабочей силе. Участие указывает только на 2 положения: или потребительское максимизирующее полезность решение - в углу (T, Yn), отражающее неучастие, или оно во внутренней точке левее досуга = T, отражающей участие.
Для всех wm <=wr, решение в угловой точке и для всех wm>= wr решение находится во внутренней точке, таким образом, увеличение wm может либо оставить решение об участии в рабочей силе неизменным, либо переключить его из состояния неучастия к участию.
Тот же самый результат не верен для случая влияния увеличения заработной платы на предложенные потребителем часы, учитывая начальное внутреннее решение. Ситуация изображена на рисунке 2. Получая начальную рыночную заработную плату wm0, потребитель готов "отдать" на работу T-h часов. Увеличение заработной платы с wm0 до wm1 имеет два противоречивых эффекта. Эффект замещения заработной платы, влияние на часы, предложенные постоянным начальным уровнем полезности, однозначно положительно, так как повышение ставки заработной платы увеличивает цену досуга. На рисунке 2 эффект компенсации заработной платы часами, предложенными потребителем при изменении заработной платы с wm0 до wm1 - это изменение предложения рабочих часов с h0 до H2. Однако, изменение заработной платы также имеет эффект дохода на предложение часов работы. Предполагается, что этот эффект является отрицательным, вытекая из предположения, что досуг не является инфериорным благом. На рисунке 2, эффект дохода - сокращение в предложенных часах работы, или увеличение часов досуга с H3 - H2. Общий эффект изменения заработной платы на предложение рабочих часов может быть либо отрицательным, либо положительным в зависимости от относительных величин компенсирующей заработной платы или эффекта замещения и эффекта дохода.
Согласно теории тот же самый набор переменных определяет предложение труда если последнее определено решением участия в рабочей силе или предложением рабочих часов. В обоих случаях, критические параметры - определение предпочтений между досугом и доходом, рыночной заработной платой и нетрудовым доходом. Однако, оценки влияния заработной платы не обязательно одинаковы, влияние заработной платы на решение об участии в рабочей силе, положительно смещаемое относительно заработной платы воздействует на предложение рабочих часов.
Так как анализ, описанный выше, обеспечивает общую структуру, было введено множество модификаций. Главные концептуальные вклады сфокусировались на: (1)"Нерыночное время" против "досуга". Бекер признал, что время распределяется не просто между "работой" и "досугом", но между "рыночной работой", "нерыночной работой" и "досугом". Нерыночная работа - время, проведенное в производстве "домашних товаров" (уход за детьми, уборка дома и т.д.). Эти домашние товары как раз и обеспечивают полезность, хотя время необязательно тратится на их производство, они входят в производственную функцию домохозяйств.
Напротив, досуг - действительно время, положительно влияющее на функцию полезности. Важность различия Бекера заключается в следующем: (i) все часы, не потраченные на рабочем месте, не входят в функцию полезности на параллельном основании;
(ii) эффективность производственной функции домохозяйства - фактор, влияющий на предложение труда.; более высокий уровень полезности, заключающий в себе совместно больше часов труда и лучший досуг может быть достигнут за данную рыночную заработную плату, если производительность времени, проведенного за домашней работой увеличится. Строгий анализ влияния (i) на рыночное предложение труда является по природе частью микроэкономики, требуя явного присутствия функции полезности домохозяйств. Используя такой контекст, Уэльс и Вудлэнд показали, что эмпирические оценки воздействия рыночной заработной платы на предложение труда определяются различием между тем, как часы используются вне рабочего места, например, предполагаемая эластичность женского рынка труда поставляет относительно изменений как их собственной заработной платы, так и заработной платы мужа, если существует различие между работой по дому и досугом. Для более полного анализа, в части (i) предполагалось, что по крайней мере несколько нетрудовых часов могут быть инфериорным товаром, приводя к потенциально положительному эффекту дохода увеличения рыночной заработной платы на предложение труда. Для макроэкономического анализа часть (ii) может быть определена как компонент тенденции в предложении труда с увеличивающейся доступностью устройств, уменьшающих работу по дому, воздействующих на участие потребителей в рабочей силе и предлагаемые ими трудовые часы. (2) Контекст принятия решения. Простая модель, выделенная выше - для индивидуума и одиночного потенциально работающего домашнего хозяйства. Много решений о предложении труда было принято в контексте домашнего хозяйства с двумя потенциальными добытчиками.
Признание семьи основной единицей принятия решения и общность интересов мужа и жены при принятии решения о предложении труда породило обширное литературное исследование значения семейного контекста для спецификации заработной платы и дохода, интерпретации и оценки моделей предложения труда в одной определенной подгруппе населения, в данном случае - замужние женщины. (3) Мультипериодный анализ. Вышеупомянутый анализ, рассматривающий единственный период времени, был расширен для того, чтобы исследовать предложение труда в пределах жизненного цикла.
Формально, такие модели устанавливают мультипериод, пожизненную функцию полезности с аргументами C (t) и L (t), которые соответственно обозначают потребление и досуг во время
t. Функция полезности максимизируется с учетом бюджетного ограничения.
Два особенно интересных результата появляются из этих исследований. Во-первых, для единственного периода времени, зарезервированная заработная плата не обязательно независима от рыночной заработной платы, как предполагается в традиционных моделях с одним периодом. Во-вторых, анализ формальных моделей подвергает сомнению теоретическое основание для того, чтобы различать "временный" и "постоянный" эффекты заработной платы в эмпирических исследованиях предложения труда. (4) Неуверенность. Неявное участие в рыночном предложении труда в простой модели и предложение труда - это предположение, которое индивидуум должен выбирать и это работа, за которую платят рыночную заработную плату, доступная для него или нее. Однако, решение участвовать - это, скорее всего, решение о поиске работы и затраты, с ним связанные, а вероятность успешного поиска может повлиять на решение об участии. Влияние затрат, связанных с входом на рынок труда было проанализировано в микроэкономическом контексте, но воздействие изменения вероятности успешного поиска внес свой вклад в спецификацию в более обобщенной модели. Обычно эта вероятность измеряется нормой безработицы, хотя признано, что это она может не адекватно представлять состояние рынка труда. Например, были исторические периоды, когда норма безработицы была почти постоянна, но вакансии увеличились, увеличивая плотность рынка. Гипотеза о "не поощряемом рабочем" содержит информацию о том, что увеличение застоя на рынке труда, вызванного ростом общей нормы безработицы, не способствует начинанию людьми поиска работы и желанию стать частью рабочей силы.
Однако, отрицательная корреляция между уровнем безработицы и участием в составе рабочей силы не может быть выявлена опытным путем.
В подведении итогов анализа оценки участия в составе региональной рабочей силы, необходимо выделить возможные ситуации моделирования со следующих точек зрения: (1) деление данных в зависимости от возраста/пола; (2) временные периоды. Как правило, эти два фактора не являются независимыми, если рассмотреть детали возраста/пола более обширно, то окажется, что они связаны с данными периодов времени. Средняя норма участия в составе рабочей силы существенно изменяется среди различных групп населения, выделенных по возрасту/полу, из-за корреляции между этими демографическими группировками и главными факторами, затрагивающими предпочтения людей между трудовым временем и досугом.
В исследованиях поперечного сечения, дальнейшее разобщение может разрешить изоляцию групп дополнительными факторами, влияющими на общую привязанность рынка труда к населению, например, статус главы семейства. В пределах этих групп, данные также включают множество важных переменных, определяющих предпочтения рыночных владельцев труда и/или рыночную заработную плату, среди них: цвет кожи, средний уровень образования, и специально для замужних женщин - число детей и распределение по возрасту этих детей. В более объединенном анализе временных периодов ограниченность в доступных данных часто устраняет точность спецификации; исследователь вынужден в меньше удовлетворяющей ситуации, использовать итоговые переменные, которые могли бы захватить существенные межвременные изменения в этих переменных. После этих чрезвычайно важных переменных характеристик населения, остальные переменные рынка труда включают в себя заработную плату (у), нетрудовой доход и объективные особенности рынка труда, измеряющие вероятность успешного поиска работы (например, уровень безработицы, смешивание промышленности, степень урбанизации). В простой теоретической модели используются реальные заработная плата и нетрудовой доход, но Фридман привел доводы в пользу существования иллюзии денег в предложении труда так, что простое разделения данных номинальной заработной платы и дохода, исходя из уровня цен, является не подходящим. В частности, рабочие заключают контракт в денежной заработной плате, ощущая денежную заработную плату неизменно равной фактической денежной заработной плате, но это не всегда совпадает с реальной заработной платой. Рабочие могут неверно оценить денежную заработную плату, исходя из уровня цен, который не существует в настоящем, а распределен между прошлыми и настоящими ценами. Таким образом, если заработная плата и цены увеличиваются пропорционально по более высоким нормам, чем исторически сложившиеся средние нормы, рабочий чувствует реальное увеличение заработной платы.
Возвращаясь к рассмотрению реальной заработной платы, реального нетрудового дохода и нормы безработицы, полезно суммировать ожидаемые эмпирические характеристики этих переменных. Существующая теория разрешает любому из коэффициентов быть положительным, отрицательным или равняться нулю, но не всегда в произвольных комбинациях. Рассмотрим простую модель:
(4)
где L - участие региональной рабочей силы, w - реальная рыночная заработная плата, Yn-реальный нетрудовой доход, X - все другие факторы, является случайной ошибкой и ln обозначает натуральный логарифм. Теория разрешает быть a2 либо положительной, либо отрицательной.
Если они измеряют количество предложения, коэффициенты 1 и 2 могут использоваться, чтобы анализировать совокупную эластичность заработной платы в эффектах дохода и замещения:
a1 = a* + a2 (E/Yn), (5)
то, где a* - эластичность компенсированной заработной платы и E - трудовой доход. Как отмечалось ранее, теория подразумевает, что эластичность a* всегда положительна, эффект замещения увеличения заработной платы должен увеличить часы, предлагаемые рынку. Если а2 положительна, тогда исходя из этой интерпретации данных участия рабочей силы, общий эффект заработной платы, a1, должен также быть положительным. Если a2 отрицателен, a1 может быть либо положительным, либо отрицательным.
Простая теория подразумевала, что общий эффект заработной платы однозначно положителен для решения об участии в рабочей силе. Однако, это не означает что, если интерпретация Льюиса данных участия в региональной рабочей силе поддержана, то a1 должен быть положительным независимо от a2. Простая модель была с одним периодом; результаты моделей жизненного цикла разрешают возможность отрицательной корреляции между решением об участии в рабочей силе и текущей заработной платой.
В то время как теория указывает на то, какие переменные нужно рассмотреть в эмпирических исследованиях участия в рабочей силе, она не предлагает функциональную форму. Последняя - определение соответствующей техники оценки. Однако, несколько функциональных форм / эконометрических методов должны быть кратко упомянуты. Во-первых, многие из более сложных методологий оценки, которые приводятся в общей литературе о предложении труда, не являются подходящими для оценки на более обобщенном региональном уровне. Они имеют дело с проблемами, относящимися к микронаборам данных. Однако, с обобщенными региональными данными относительно рабочей силы мы не имеем двойных наблюдений. Скорее мы имеем то, что может быть рассмотрено, как непрерывные наблюдения относительно популяционных вероятностей.
Логическая функциональная форма вероятности, в частности обыкновенна для регионального рынка труда:
(6)
где L - участие рабочей силы, X - вектор детерминантов L, a-константа и - вектор коэффициентов. Из этого уравнения вытекает следующее:
(7)
и учитывая вероятность случайной ошибки, , добавляем к предыдущему уравнению и получаем:
(8)
3. Определение заработной платы и ее дифференцирование
3.1 Кривая Филлипса и распределение заработной платы
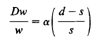
Кривая Филлипса, которая показывает отрицательные отношения между уровнем инфляции заработной платы и нормой безработицы, была впервые представлена в 1958 году в теперь известной книге Филлипса. Это отношение может быть представлено уравнением:
(9)
где Dw/w обозначает временную норму изменений заработной платы в процентах, d - спрос на рабочую силу, s - предложение рабочей силы и a> 0 - параметр регулирования. Данное уравнение воплощает обычно принимаемый закон спроса и предложения, заявляющий, что норма изменения цен на рынке является пропорциональной к лишнему спросу. Липси, однако, отметил, что измерение данных о лишнем спросе на рабочую силу не доступно, нуждаясь в использовании проверенной переменной такой, как норма безработицы. Таким образом, когда d = s, уровень безработицы будет положительным, представляя ненулевую фрикционную или структурную безработицу; когда d> s, падения уровня безработицы; и когда d <s, повышения уровня безработицы.
Другими словами, так как отношение Dw/w положительно связано с лишним спросом на труд, оно должно быть отрицательно связано с изменением уровня безработицы.
Отношения кривой Филлипса были широко обсуждены и проверены как с национальных, так и с региональных перспектив.
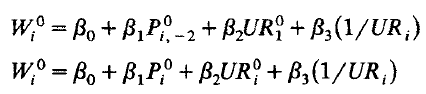
Эмпирические оценки отношения Филлипса на региональном уровне произвели смешанные результаты. Израэли и Кельман, например, исследуют спецификации, показанные в следующих уравнениях:
(10)
где Wi °, P i° и URi ° обозначают процентные изменения в заработной плате, ценах и показателях безработицы в регионе i, (1/URi) - аналог нормы безработицы в регионе i и Pi,2 - процентные изменения в ценах за два периода.
Важная особенность данных уравнений - то, что они определяют заработную плату только местными факторами. Однако, эта теория подразумевает, что рынки труда географически сегментированы и что могут существовать существенные межрегиональные дифференциалы заработной платы. Чтобы проверить, будут ли региональные рынки труда
лучше всего изучены в географической
изоляции, необходимо включить распределение
заработной платы в эмпирический анализ.
Маркис и Рид, например, исследовали
уравнение, похожее на
за исключением того, что четвертая
объяснительная переменная
(Wi,2*), был добавлен, измеряя отношение заработной платы в городе i к среднему уровню заработной платы на пяти городских рынках труда (Хьюстон, Лос-Анджелес, Портленд, Сан-Франциско и Сиэтл). Эта переменная была включена, чтобы учесть межрегиональный обратный эффект на процесс определения заработной платы города. В своих расчетах, Маркис и Рид нашли, что коэффициенты P0 и Wi,2* являются положительными и очень значительными, в то время как ни один из коэффициентов URi и 1/URi не были существенны. Рид, Хатчинсон и Рубин также сделали подобные выводы после передачи анализу переменных межрегиональной заработной платы.
Подход, основанный на ведущих регионах, представляет особенно интересный способ рассматривания перехода заработной платы и процесс распределения. Этот подход основан на идее, что изменения доходов на лидирующем рынке, определенные излишним спросом на рабочую силу, передаются, полностью или частично, на отстающие рынки.
Таким образом, в отличие от кривой Филлипса, гипотеза ведущего сектора экономики предполагает, что межрегиональные дифференциалы заработной платы будут устранены. Существует два возможных, но весьма непохожих, механизмов, которые могли привести к этому результату. Во-первых, в качестве процесса, благодаря которому отстающие регионы догоняют лидирующие, может быть в значительной степени установлен тот, в котором служащие заключают сделку на увеличение заработной платы, равной заработным платам в других регионах независимо от местного состояния рынка труда. Во-вторых, увеличение заработной платы отстающих регионов могут просто отражать эффект конкуренции на рынке товаров и услуг и подвижность факторов производства в движении экономики к равновесию. Хотя подход ведущего региона является общепризнанным, важная проблема все еще остается: в нем не существует уникального и однозначного способа выделить ведущие регионы экономики страны. Различные методы использовались, включая численность населения и ключевые группы промышленности, но экономисты согласны с тем, что любая процедура ранжирования будет произвольна.
3.2 Межрегиональные дифференциалы заработной платы
Межрегиональные различия в средней заработной плате и доходе вызвали огромное число эмпирических исследований, чтобы объяснить, почему эти дифференциалы получили поддержку. Причины часто включают препятствия, связанные с капиталом и трудовую мобильность так же, как и межрегиональные различия в силе профсоюзов, техниках производства, стоимости проживания, индустриальном и профессиональном составе, расовой дискриминации, снабжении и возвращении к человеческому капиталу и удобствами. Существует несколько типов рабочей силы, которым платят различные нормы равновесной заработной платы и не замещаются в производстве.
Привлекательность неоклассического типа модели в изучении межрегионального различия в средней заработной плате легко демонстрируются, используя пример, основанный на определенной формулировке фактора, предложенной Джонсом, функции производства показывают постоянные доходы и все рынки всегда находятся в конкурентоспособном равновесии. Эти два предположения подразумевают, что человеческий фактор полностью используется, и предприниматели зарабатывают нулевую прибыль.
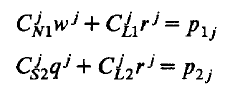
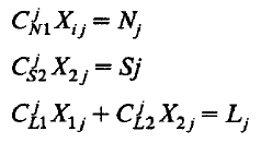
Алгебраически полные условия занятости могут быть выражены как:
(11)
и уравнения нулевой прибыли
(12)
где Cikj - коэффициент ввода - вывода, обозначающий среднее количество фактора i (i=N, S, L), использующегося при производстве товара k (k=1,2) в регионе j (j=A, B), Xkj обозначает количество товара k, произведенного в регионе j, N обозначает количество рабочей силы низкой квалификации, доступной в регионе j, Sj обозначает количество доступной квалифицированной рабочей силы в регионе j, Lj обозначает количество земли, доступной в регионе j, wj обозначает норму заработной платы, которую платят Nj, qj обозначает норму заработной платы, заплаченной Sj, r - норма ренты к Lj, а Pkj обозначает цену товара k в регионе j. Спецификация, показанная неявно предполагает, что все три фактора - межрегионально неподвижны и нет никакой торговли товарами. Кроме того, в пределах каждого региона, земля межсекторно мобильна, тогда как два типа рабочей силы - используются только в производстве одного из двух товаров региона.
Теперь предположим, что торговля товарами может происходить с нулевыми транспортными расходами, то есть PkA = PkB = Pk (k =1,2), и есть свободный поток знаний так, что производственные технологии в регионах идентичны. В модели типа Хекшера-Охлина, с равным числом товаров и факторов производства, предположения, сделанные к этому пункту были бы достаточным, чтобы гарантировать равновесные цены на фактор. Для равновесия цен на фактор, чтобы случиться в неоклассической модели, по крайней мере один из трех факторов должен быть полностью мобильным межрегионально. Таким образом, в вышеприведенной модели, нулевых уравнений прибыли не достаточно, чтобы определить цену на фактор, когда известны только цены на товары. Вместо этого цены на фактор зависят не только от цен на товары, но также и от предложения фактора производства, данного из уравнения полной занятости.
Равновесие цен на фактор в неоклассической модели, однако, может быть гарантировано наложением дополнительного и, в региональном контексте, очень вероятного предположения, что по крайней мере один из двух факторов труда является межрегионально мобильным. В настоящий момент, предположим, что только квалифицированная рабочая сила мобильна. В этом случае, заработная плата, заплаченная каждому фактору, была бы межрегионально равной. Однако, даже если WA = WВ = W и qA= qB = q, неоклассическая модель все еще учитывала бы межрегиональное различие в средней заработной плате, заплаченной рабочей силе. Чтобы проиллюстрировать, средняя заработная плата в регионе A получена, вычисляя взвешенную сумму w и q, где веса показывают пропорцию чернорабочих и квалифицированных рабочих, соответственно, в полной региональной рабочей силе. Даже после разрешения межрегионального перемещения квалифицированной рабочей силы, процентное отношение двух типов рабочих в рабочей силе каждого из этих двух регионов были бы одинаковыми только в результате большой удачи. Эта ситуация легко могла бы быть замечена с тех пор, когда начальное региональное снабжение землей отличался бы. Поэтому, предполагая, что q> w, регион с самым высоким процентом квалифицированной рабочей силы в общей рабочей силе также имел бы самую высокую среднюю заработную плату. Наконец, эта разница в средней заработной плате была бы устранена в описанной модели, если бы оба типа рабочей силы были межрегионально мобильны. В случае полной мобильности труда, равновесие цены на фактор все еще преобладало бы; однако, предложение фактора в регионе A закончилось бы быть постоянным сравнительно с регионом B. Следовательно, в формулировке модели, где межрегиональное различие в средней заработной плате - важная особенность, неоклассический подход с мобильностью только квалифицированной рабочей силы мог бы быть выбран. С этой точки зрения, разрыв в заработной плате может быть введен, не принимая полную неподвижность труда, существование препятствий к передаче знания или потоков фактора, или дефицитов на любом из рынков.
Заключение
Сложность моделирования региональных трудовых рынков должна быть очевидной исходя из предыдущей главы, даже, не принимая во внимание занятия, навыки и институциональные факторы. Различные компоненты системы рынка труда показаны на рисунке 3. Хотя существование экономико-демографических взаимосвязей может казаться очевидным, они составляют значительное упрощение функционирования рынков труда, демографы и экономисты очень редко моделируют население и экономику так, как будто они связаны.

Рисунок 3 - Компоненты рынка труда
Демографы вообще обычно игнорируют как экономические последствия, так и определители изменений населения, в пользу экстраполирования будущих тщательно изученных возрастных, половых и расовых норм миграции и смертности. Опираясь на иллюстрацию1.3, демографические модели популяционного изменения сосредоточились исключительно на нижней части схемы, квадратах 5, 6, и 7.
Модели, построенные региональными экономистами, главным образом не являются исчерпывающими. Они изменяются в зависимости от подходов. Некоторые экономические модели полностью игнорируют население; они содержат только квадраты 2, 3, и 4. Другие модели рассматривают население как экзогенную переменную, т.е. они состоят из квадратов 1, 2, 3, и 4 и включают последствия популяционных изменений, а не их причины. Другие игнорируют причины и только частично моделируют последствия популяционного изменения; они включают квадраты схемы под номерами 1, 3, и 4, эффекты спроса популяционного изменения, но не эффекты предложения.
Наконец, некоторые включают экономические определители популяционного изменения, но не моделируют изобилие или естественное увеличение и они игнорируют влияние населения на экономические условия; они состоят из квадратов 2 и/или 3, 4, и 7, типично просто добавляя популяционное уравнение к главной экономической модели.
Без более значащих представлений региональных рынков труда, без вкладов региональных экономических моделей в политику труда, анализ будет и должен оставаться очень ограниченным.
Список использованных источников
Социально-экономическая статистика: учебник для вузов, под. ред. Б.И. Башкатова. - М.: ЮНИТИ-ДАНА, 2007. - 261 с.
Рынок труда: учебник для вузов, под. ред.В.С. Буланова. - М.: Бином - Пресс, 2006. - 210 с.
Куликова В.П. Методы и модели прогнозирования: учебно-методическое пособие. Петропавловск: СКГУ им. М. Козыбаева, 2007. - 313 с., 32 рис., 52 табл., 60 библ. ссылок.
Социально-экономическая статистика: практикум, под ред. д-ра экон. наук, проф. С.А. Орехова. - М.: Эксмо, 2007. - 384 с.
Практикум по социально-экономической статистике: практикум, под ред.А.Н. Чижова. - СПб.: КОРОНА-Век, 2008. - 412 с.
Социально-экономическая статистика: учебник для вузов, под. ред.О.Г. Елемесова. - М.: Наука, 2008. - 586 с.
Экономическая статистика: учебник для вузов, под. ред. И.В. Иванова. - М.: ИНФРА - М, 2008. - 480 с.
Адамчук В.В., Томашов О.В., Сорокина М.Е. Экономика и социология труда. М.: Бином - Пресс, 2005. - 68 с.
Рынок труда: учебник, под ред. проф.В.С. Буланова и проф. Н.А. Волгина. - М.: "Экзамен", 2006. - 562с.
Теория статистики: учебник, под ред. Р.А. Шмойловой. - М: ИНФРА-М., 1996. - 312 с
Р. Хуссманс, Ф. Мехран, В. Верма. Обследование экономически активного населения: занятость, безработица и неполная занятость. Методическое руководство Международного бюро труда. М., Финстатинформ, 2007. - 524 с.
http://www.czn. kurganobl.ru/