Закон единства и анализа синтеза в организации
Содержание
Введение 3
Постоянный процесс анализа и синтеза в социальной и биологической системах. 4
Особенности анализа и синтеза в социальных организациях. 6
Формулировка закона единства анализа и синтеза и его математическая интерпретация. 9
Следствия, вытекающие из закона единства анализа и синтеза и их практическое значение. 11
Типовые варианты реализации закона. 15
Заключение 19
Список использованной литературы 21
Приложения 22
Введение
Анализ и синтез составляют мыслительный процесс любого разумного человека — этим он отличается от других представителей животного мира нашей планеты.
Анализ — это разделение целого на части, представление сложного в виде простых составляющих, изменение этих частей, добавление новых или ликвидация некоторых из них для более эффективной деятельности или удобства исследования.
Синтез — это соединение, объединение (мысленное или реальное) обновленного набора простых составляющих объекта в единое целое, согласование их деятельности для более эффективной деятельности или удобства исследования.
Целью данной курсовой работы является изучение такого вопроса, как закон единства анализа и синтеза.
В качестве задач работы выделим следующие:
рассмотрение постоянного процесса анализа и синтеза в социальной и биологической системах.
исследование особенности анализа и синтеза в социальных организациях.
формулировка закона единства анализа и синтеза и его математическая интерпретация.
изучение следствий, вытекающих из закона единства анализа и синтеза и их практическое значение.
рассмотрение типовых вариантов реализации закона.
Постоянный процесс анализа и синтеза в социальной и биологической системах.
Анализ и синтез являются элементами биологического и интеллектуального развития. В окружающем нас мире постоянно происходят изменения: крупные образования разделяются на более мелкие, а мелкие образования объединяются (например, образование семей).
Наличие преобразований свидетельствует о физическом существовании компании как социальной организации: происходят изменения выполняемых функций, меняется персонал компании и т.д.
Эти процессы повторяются, причем каждый и из них вносит что-то новое, более необходимое. Ненужные элементы отпадают, а необходимые — появляются, то есть достигается некоторая временная гармонизация элементов, входящих в состав какой-либо организации (приложение 2).
Например, распад СССР в 90-е годы на ряд независимых государств отражал реальные националистические интересы больших групп населения. Обратный процесс, процесс объединения Беларуси и Российской Федерации отражает интересы большинства их населения, но объединяются не две бывшие союзные социалистические республики, а две новые страны, каждая со своей экономикой и своими ценностными установками.
С точки зрения точных наук (математики или физики) разделение, выделение и согласование входят в состав процедур анализа, а согласование, объединение и соединение входят в состав процедур синтеза В теории организации термины «анализ» и «синтез» прочно закрепились.
Анализ — это разделение целого на части, представление сложного в виде простых составляющих, изменение этих частей, добавление новых или ликвидация некоторых из них для более эффективной деятельности или удобства исследования.1
Синтез — это соединение, объединение (мысленное или реальное) обновленного набора простых составляющих объекта в единое целое, согласование их деятельности для более эффективной деятельности или удобства исследования.2
Однако нельзя до бесконечности делить целое на части. Объединение элементов также должно иметь какие-то разумные границы, иначе можно прийти к «синдрому большого бизнеса».
Анализ и синтез составляют мыслительный процесс любого разумного человека — этим он отличается от других представителей животного мира нашей планеты.
Преимущественная аналитичность мышления находит свое отражение в использовании метода дедукции, то есть перехода от общего к частному ( любимый метод Шерлока Холмса). Преимущественная синтетичность в мышлении человека проявляется в использовании метода индукции, то есть перехода от частного к общему. Анализ и синтез свойственны также и коллективному мышлению ученых, специалистов. Преобладание коллективного анализа над синтезом приводит к дифференциации (разделению) наук, к более глубокому изучению узких вопросов.
Например, выделение из теории управления теории организации, контроллинга. Преобладание коллективного синтеза над анализом приводит к развитию наук о природе, человеке, космосе (например, философия, кибернетика, теория мозга, космогония), а также к созданию пограничных наук типа бионики, биофизики, информациологии, персономики, политологии.
Анализ и синтез в индивидуальном и коллективном мышлении переплетаются и не могут существовать друг без друга. Говоря о единстве анализа и синтеза, мы подразумеваем их неразрывность и взаимодействие в процессе любой мыслительной деятельности. Анализ и синтез имеют большое практическое значение при реформировании и реструктуризации компаний, организации коллективного труда, научных исследованиях.
2.Особенности анализа и синтеза в социальных организациях
В процессах совершенствования деятельности компаний анализ обычно предшествует синтезу.
Однако встречаются случаи, когда синтез является началом процесса. Например, при моделировании вариантов построения холдинга, финансово-промышленной группы, консорциума.
В этом случае сначала объединяют несколько компаний или подразделений и оценивают результаты совместной работы.
Если они неудовлетворительны, то проводят объединение новых структурных образований или анализируют деятельность существующих.
Таким образом, анализ в теории организации включает две основные процедуры: разделение целого на части и улучшение функционирования каждой из этих частей.
Синтез также включает две процедуры: согласование характеристик выделенных частей и объединение их в одно целое.
Процедуры: улучшения характеристик выделенных частей организации и согласования этих характеристик в большей мере относятся к теории управления и менеджменту, а разделение и объединение — непосредственно к теории организации.
При разделении целого на части необходимо учитывать зависимость частей друг от друга. Учитывают три возможности:
• выделенные части слабо зависят друг от друга, но сохраняют при выделении все свои свойства (например, филиалы Сбербанка РФ можно рассматривать как независимые в части их работы, связанной с обслуживанием физических и юридических лиц);
• выделенные части зависят друг от друга и при разделении теряют ряд не основных свойств, которые необходимо в дальнейшем учитывать (например, филиалы Сбербанка РФ можно рассматривать как зависимые части по работе, связанной с общей обслуживающей деятельностью со стороны центрального аппарата Сбербанка РФ — кадровая, бухгалтерская, материально-техническая и др.);
• выделенные части сильно зависят друг от друга и при разделении теряют основные свойства, то есть становятся неспособными выполнять свои основные функции (например, филиалы Сбербанка РФ можно рассматривать как сильно зависимые части от центрального аппарата по работе, связанной с размещением личных вкладов граждан, обслуживанием кредитов, корреспондентских счетов и др.).
Такие части обособленно рассматривать не следует иначе можно сделать много ошибок. Так, нельзя рассматривать обособленно членов семьи с целью совершенствования деятельности каждого для дальнейшего формирования идеальной семьи.
При объединении целого из подготовленных в результате анализа частей целого необходимо также учитывать степень будущей зависимости частей друг от друга.
Как и в случае разделения учитываются три возможности.
• объединяемые части слабо зависят друг от друга и они не ухудшают и не улучшают функционирование объединяемых частей в рамках целого;
• объединяемые части зависят друг от друга и при объединении могут несколько усилить или ослабить функционирование объединяемых частей в рамках целого. Это называется эмерджентностью,
• объединяемые части сильно зависят друг от друга и при объединении могут существенно (положительно или отрицательно) повлиять друг на друга в рамках целого. Это называется синергетическим эффектом.
Например, в компанию пригласили очень квалифицированного программиста и купили очень хороший компьютер, однако все решаемые задачи в компании требуют простого калькулятора. Программист, несомненно, попытается перевести все расчеты на компьютер. Затраты на эту работу, включая амортизацию компьютера и заработную плату работника, существенно превысят возможную прибыль.
Процессы разделения и объединения в природе и искусственных организациях идут постоянно и циклично (приложение 3).
Скорость и результат преобразований зависят от созидательных ресурсов компании, а также от диапазона изменения внешней или внутренней среды.
3.Формулировка закона единства анализа и синтеза и его математическая интерпретация.
Формулировка закона: «Каждая система (биологическая или социальная) стремится настроиться на наиболее экономный резким функционирования за счет постоянного изменения своей структуры или выполняемых функций».3
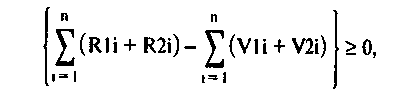
Математическая интерпретация закона может быть представлена следующим соотношением, не зависящим от времени:
4
где Rli, R2i - внутренний и внешний потенциал (ресурс) в области экономики, политики, финансов и т.д., способствующий развитию компании; VIi, V2i - внутренний и внешний потенциал (ресурс), стремящийся ликвидировать компанию или нанести ей ощутимый вред.
Изменения Rli, R2i и VIi, V2i достигаются за счет преобразований внутренней и внешней среды. Если эти преобразования дают положительный эффект, то материальная система функционирует успешно, а если нет - то время деятельности этой системы ограничено. В качестве примера рассмотрим результаты трех сочетаний потенциалов созидания и разрушения в компании (приложение 1).
Потенциал созидания «А» несколько превосходит потенциал разрушения — это соответствует математической интерпретации закона единства анализа и синтеза.
Потенциал созидания «Б» вначале существенно превосходил потенциал разрушения и это приводит к значительному уменьшению потенциала созидания за счет больших издержек, нерационального использования.
Потенциал созидания «В» изначально был меньше потенциала разрушения. Поэтому закономерно, что он стремительно уменьшается, не выдерживая давления потенциала разрушения. Компания, имеющая потенциал созидания «Б» и «В», неизбежно идет к ликвидации или банкротству.
Примеры реализации закона:
1) компании приспосабливаются к усилению налогового бремени, уменьшая налогооблагаемую базу за счет: освобождения от неэффективного имущества, увеличения оборота материальных и финансовых средств, использования труда инвалидов и т.д.;
2) при усилении внешнего рэкета, компании создают собственную службу безопасности;
3) в условиях повышенной радиации организм животного приспосабливается к новой жизни за счет мутации некоторых органов.
4.Следствия, вытекающие из закона единства анализа и синтеза и их практическое значение.
Следствие вытекающие из закона в случае, если Z(V1i + V2i) существенно меньше Z(R1I + R2i)
Следствие 1. «Если Z(V1i + V2i) существенно меньше Z(1i + R2i), то есть практически отсутствуют внешние и внутренние возмущающие воздействия, то компания идет к полному истощению ресурсов».
Отсутствие внешних и внутренних возмущающих воздействий приводит закон единства анализа и синтеза к следующему виду:
5
Данное соотношение означает, что созидательные ресурсы компании постепенно приближаются к нулю. Они оказываются не востребованными ни самой компанией, ни внешней средой.
Это означает, что либо ресурсы компании и ее потенциал не соответствуют потребностям общества, либо общество не информировано о возможностях данной компании. В любом случае, компания находится в состоянии застоя, истощения или порчи ресурсов.
Аналогичная картина характерна для животного и растительного мира. Особенно губительно это для человека, например, для молодого специалиста, обладающего хорошими знаниями, но не имеющего возможности их использовать ни для себя, ни для внешнего окружения.
Из приведенных рассуждений логично следует парадоксальный вывод о том, что для биологических и социальных организаций внешние возмущения и внутренние конфликты необходимы для «встряски», переосмысления их деятельности, наращивания потенциала и частично — для ликвидации слабых нежизненно-способных организаций.
Для человека также полезно наличие внешних и внутренних возмущающих воздействий — это удлиняет его физическую жизнь за счет более полной мобилизации жизненных сил, которые в иных условиях не были бы востребованы.
Следствие 2. «Если Z(Rli) существенно больше Z(R2i), то есть практически отсутствуют внешние созидательные ресурсы, то компания не занимается общественно полезной деятельностью (не удовлетворяет потребностей и интересов внешней среды)».
Отсутствие внешних созидательных ресурсов приводит закон единства анализа и синтеза к следующему виду.
6
В этом случае все созидательные силы компании будут направлены на преодоление разрушительных сил внутренней и внешней среды, при этом на помощь муниципальных, федеральных органов и других компаний рассчитывать не приходится.
Такое соотношение характерно для криминальных структур.
Следствие 3. «Если Z(Rli) существенно меньше I(R2i), то есть практически отсутствуют внутренние созидательные ресурсы, то компании требуются внешние субсидии или дотации».
Отсутствие внутренних созидательных ресурсов приводит закон единства анализа и синтеза к следующему виду:

В этой ситуации оказываются компании, которые делают основной упор на внешнюю помощь, например, компании типа «финансовых пирамид».
Распознать такие образования, и помогает приведенная выше формула. Необходимо составить набор внутренних ресурсов (RH), относящихся к созидательным, и сравнить их с набором внешних созидательных ресурсов (R2i). Если Rli существенно меньше R2i, то их положение определяется следствием 3.
Левая часть соотношения характеризует компании, действия которых основаны на внешних ресурсах, например, брокерские компании, частично банки.
Следствие 4. «Если Z(Vli) существенно больше £(V2i), то есть практически отсутствуют внешние возмущающие воздействия, то созидательные ресурсы компании (внутренние и внешние) тратятся на компенсацию внутренних возмущающих воздействий».
Отсутствие внешних возмущающих воздействий приводит закон единства анализа и синтеза к следующему виду:
7
Левая часть соотношения — это сумма созидательных ресурсов компании, а правая - это внутренние ресурсы разрушения.
Все созидательные ресурсы будут расходоваться на компенсацию различного рода ущербов, на страхование ресурсов, удовлетворения потребностей самих работников компании и т.п.
Это условие перерождения хозяйственной организации в общественную. Напомним, что хозяйственная организация производит продукцию для преимущественной реализации во внешней среде, а общественная во внутренней (для собственного потребления).
Например, хозяйственная организация ООО «Горячий хлеб» производит продукцию (Для внешней продажи, а патриотическое объединение инвалидов и воинов-интернационалистов «Панджер» функционирует для оказания социальной помощи инвалидам своего объединения.
Следствие 5. «Если Z(Vli) существенно меньше Z(V2i), то есть практически отсутствуют внутренние возмущающие воздействия, > то созидательные ресурсы компании (внутренние и внешние) тратятся на компенсацию внешних возмущающих воздействий».
Отсутствие внутренних возмущающих воздействий при водит закон единства анализа и синтеза к следующему виду:
8
Левая часть соотношения — это сумма созидательных ресурсов компании, а левая - это внешние ресурсы разрушения. Созидательные ресурсы компании будут расходоваться на компенсацию различного рода ущербов от внешних источников, в том числе на создание службы безопасности, дополнительных финансовых ресурсов, своего лобби в различных инстанциях и др.
Это означает, что в компании нет внутренних возмущающих воздействий или их не замечают. Такое состояние характеризуется полным согласием по всем управленческим и производственным вопросам в компании. Однако полное согласие— это проявление либо диктата руководителя, либо абсолютной пассивности подчиненных. То и другое плохо для компании, работающей в рыночных условиях.
5.Типовые варианты реализации закона
Закон единства анализа и синтеза относится к объективным законам организации.
Рассмотрим три варианта реализации этого закона.
Первый вариант. Руководитель и подчиненные не знают о законе.9
Характер стихийного действия закона.
Независимо от действий руководителя в любой компании постоянно происходят формальные и неформальные преобразования, направленные на текущую гармонизацию деятельности коллектива. Они касаются реформирования документооборота, перераспределения функций, перераспределения приоритетов в межличностных отношениях, изменения структуры компании, изменения количества персонала и качества его подготовки и т.д.
Например, преобразования в семье часто носят спонтанный характер: перераспределение домашних работ, приобретение товаров, выделение кого-либо из состава семьи и т.д.
Преобразования могут либо положительно отражаться на деятельности компании длительное время, оперативно разрешая возникшие проблемы (несоответствия), либо приводить к сиюминутным эффектам, а затем могут ухудшить ситуацию и усилить помехи.
Проблемы, достигшие больших масштабов, подталкивают работников к принятию радикальных решений в очень ограниченные сроки, что не способствует их обоснованности и может еще более ухудшить положение.
Закон формирует преимущественно неформальное направление устранения несоответствий, которое осуществляется всем персоналом, поскольку все заинтересованы в развитии своей компании.
Как правило, персоналу неведома стратегия развития компании или ее просто нет. Незнание закона приводит к большому количеству совещаний, собраний, митингов, демонстраций, опросов общественного мнения с целью выяснить мнение участников по «горящим» проблемам и разработать приемлемые решения.
В этот водоворот мероприятий вовлекается много случайных людей, некомпетентных, откровенно мешающих и незаинтересованных. Решения, принимаемые на таких тусовках, редко бывают эффективными. В результате, стихийное действие закона единства анализа и синтеза в области преобразования компании и общества часто приводит к появлению новых проблем в области имиджа, конкурентоспособности, прибыльности, коммуникабельности и т.д. Действие закона в таких ситуациях всегда приводит к быстрому уменьшению созидательных ресурсов и нарастанию разрушительных.
Второй вариант. Руководитель знает о законе, а его подчиненные нет.10
Характер действия закона. Закон формирует два направления для устранения несоответствий: формальное и неформальное.
Формальное осуществляется специалистами компании по реформированию и реструктуризации заранее (по упреждению).
Неформальное — работниками, на которых непосредственно сказываются возникающие несоответствия.
Работники осуществляют преобразования в реальном режиме времени, то есть оперативно, часто не дожидаясь результатов заложенных ранее преобразований.
Пример. Мастерская по ремонту антикварной мебели «Кварт» специализируется, в том числе и на восстановлении старых пианино и роялей. В компании работают 24 человека, в их числе 6 столяров и 5 настройщиков. Директор на основании общей, еще, слабой, тенденции уменьшения спроса на эти услуги решил постепенно осваивать новые виды услуг. Он заключил договор на поставку через 1 год технологического оборудования для восстановления старых скрипок, условился с двумя специалистами по восстановлению скрипок, что они перейдут к нему на работу из другой компании также через год Директор оказался прав, через 4—5 месяцев количество заказчиков уменьшилось на 20% и заработная плата работников постепенно уменьшилась. Несоответствие между возможностями компании и количеством заказов вызвала у работников настороженное отношение к директору за его якобы бездеятельность и появилось желание что-то предпринять. Они стали принимать заказы на восстановление других антикварных инструментов, в том числе гитар, скрипок и др Однако им недоставало необходимых навыков, поэтому качество ремонта оставляло желать лучшего Когда по плану директора в компанию пришли опытные специалисты и поставлено технологическое оборудование, репутация компании была уже несколько подорвана
Персонал компании часто противостоит дополнительным перспективам преобразования, если реальная ситуация кажется хорошей Этот вариант очень тяжелый для руководителя. При нарастании несоответствий руководитель должен убедить персонал в необходимости проводить преобразования. Если размер этих несоответствий будет, наконец осознан подчиненными, они конечно примут живейшее участие в этом процессе, но будет уже поздно.
Третий вариант. Руководитель и подчиненные знают о законе», единства анализа и синтеза 11
Характер действия закона. Закон формирует, преимущественно-формальное направление для устранения несоответствий. Оно осуществляется руководителями или специалистами компании заранее (по упреждению).
При этом неформальное направление будет идти в рамках формального как управляемая инициатива. Kaк правило, подчиненные привлекаются к обсуждению и формированию стратегии развития компании, в том числе и к вопросах реформирования и реструктуризации.
Зная стратегию, подчиненные лучше понимают маневры руководства и компании в целому а также более добросовестно выполняют функции, обусловленный разработанной стратегией
Для выполнения данного закона руководителю рекомендуется:
• составлять и реализовывать программы постоянного совершенствования компании, ее элементов и подразделений;
• проводить маркетинговые исследования в ключевых областях деятельности;
• использовать современную информационную технологию управления.
Результаты действия закона будут самыми благоприятными для компании
Заключение
Анализ и синтез являются элементами биологического и интеллектуального развития. В окружающем нас мире постоянно происходят изменения: крупные образования разделяются на более мелкие, а мелкие образования объединяются (например, образование семей).
Наличие преобразований свидетельствует о физическом существовании компании как социальной организации: происходят изменения выполняемых функций, меняется персонал компании и т.д.
Анализ в теории организации включает две основные процедуры: разделение целого на части и улучшение функционирования каждой из этих частей.
Формулировка закона: «Каждая система (биологическая или социальная) стремится настроиться на наиболее экономный резким функционирования за счет постоянного изменения своей структуры или выполняемых функций».
Математическая интерпретация закона может быть представлена следующим соотношением, не зависящим от времени:

где Rli, R2i - внутренний и внешний потенциал (ресурс) в области экономики, политики, финансов и т.д., способствующий развитию компании; VIi, V2i - внутренний и внешний потенциал (ресурс), стремящийся ликвидировать компанию или нанести ей ощутимый вред.
Изменения Rli, R2i и VIi, V2i достигаются за счет преобразований внутренней и внешней среды. Если эти преобразования дают положительный эффект, то материальная система функционирует успешно, а если нет - то время деятельности этой системы ограничено.
Были рассмотрены результаты трех сочетаний потенциалов созидания и разрушения в компании Следствие 1. «Если Z(V1i + V2i) существенно меньше Z(1i + R2i), то есть практически отсутствуют внешние и внутренние возмущающие воздействия, то компания идет к полному истощению ресурсов».
Следствие 2. «Если Z(Rli) существенно больше Z(R2i), то есть практически отсутствуют внешние созидательные ресурсы, то компания не занимается общественно полезной деятельностью (не удовлетворяет потребностей и интересов внешней среды)».
Следствие 3. «Если Z(Rli) существенно меньше I(R2i), то есть практически отсутствуют внутренние созидательные ресурсы, то компании требуются внешние субсидии или дотации».
Следствие 4. «Если Z(Vli) существенно больше £(V2i), то есть практически отсутствуют внешние возмущающие воздействия, то созидательные ресурсы компании (внутренние и внешние) тратятся на компенсацию внутренних возмущающих воздействий».
Следствие 5. «Если Z(Vli) существенно меньше Z(V2i), то есть практически отсутствуют внутренние возмущающие воздействия, > то созидательные ресурсы компании (внутренние и внешние) тратятся на компенсацию внешних возмущающих воздействий».
Существует три варианта реализации этого закона.
Первый вариант. Руководитель и подчиненные не знают о законе.
Второй вариант. Руководитель знает о законе, а его подчиненные нет.
Третий вариант. Руководитель и подчиненные знают о законе», единства анализа и синтеза
Список использованной литературы
1. Алиев В.Г., Варфоломеев В.П. Теория организации, курс лекций. «Самоорганизация в природе и обществе», Махачкала ИПЦ ДГУ, 1998.
2. Доблаев В.Л. Теория организаций. — М.: Институт молодежи, 1995. - 174 с
3. Зволев П.Н. Технология «Прорыв» или как управлять организационным развитием предприятия. М.: ж. «Консультант директора», № 5. 1996 г. с. 6—18.
4. Олицкий А.А. и др. Материалистическая диалектика и пути развития естествознания. М.: Наука, 1982.
5. Пригожий А.И. Организации: системы и люди. — М.: Политиздат, 1983.
6. Радченко Я.В. Теория организации. Часть 1/конспект лекций, М.: ГАУ, 1998.
7. Румянцева З.П. и др. Общее управление организацией: принципы и процессы. /Мод. прогр. для менеджеров № 3. - М.: ИНФРА-М, 1999. - 312 с.
8. Синк Д.С. Управление производительностью: планирование, измерение и оценка, контроль и повышение: Пер. с англ. — М.: Прогресс, 1989. - 528 с.
9. Словарь-справочник менеджера. — М.: ИНФРА-М, Под. ред. М.Г. Лапусты, 1996. - 608 с.
10. Смирнов Э.А. Теория организации: Учебное пособие. - М: ИНФРА-М, 2000. - 248 с.
11. Смирнова В.Г. и др. Организация и ее деловая среда. /Мод. прогр. для менеджеров № 2. — М.: ИНФРА-М, 1999. — 214 с.
12. Франчук В.И. Основы построения организационных систем. М.: Экономика, 1991.
13. Хаммер М. и Чампи Дж. Реорганизация корпораций, М.:1998.
14. Чернышев В.М. Производство организации. С-П.: МЕРА,1999. - 240 с.
Приложения
Приложение 112
Схемы функционирования компаний при преобразованиях

Приложение 213
Анализ и синтез – элементы гармонизации
АНАЛИЗ
СИНТЕЗ
Гармонизация отношений
элементов

Приложение 314
Циклический процесс преобразований

ОБЪЕДИНЕНИЕ
РАЗДЕЛЕНИЕ
1 Словарь-справочник менеджера. — М.: ИНФРА-М, Под. ред. М.Г. Лапусты, 1996. - 608 с.
2 Словарь-справочник менеджера. — М.: ИНФРА-М, Под. ред. М.Г. Лапусты, 1996. - 608 с.
3 Смирнов Э.А. Теория организации: Учебное пособие. - М: ИНФРА-М, 2000. - 248 с.
4 Радченко Я.В. Теория организации. Часть 1/конспект лекций, М.: ГАУ, 1998.
5 Смирнов Э.А. Теория организации: Учебное пособие. - М: ИНФРА-М, 2000. - 248 с.
6 Доблаев В.Л. Теория организаций. — М.: Институт молодежи, 1995. - 174 с
7 Смирнов Э.А. Теория организации: Учебное пособие. - М: ИНФРА-М, 2000. - 248 с.
8 Доблаев В.Л. Теория организаций. — М.: Институт молодежи, 1995. - 174 с
9 Алиев В.Г., Варфоломеев В.П. Теория организации, курс лекций. «Самоорганизация в природе и обществе», Махачкала ИПЦ ДГУ, 1998.
10 Алиев В.Г., Варфоломеев В.П. Теория организации, курс лекций. «Самоорганизация в природе и обществе», Махачкала ИПЦ ДГУ, 1998.
11 Алиев В.Г., Варфоломеев В.П. Теория организации, курс лекций. «Самоорганизация в природе и обществе», Махачкала ИПЦ ДГУ, 1998.
12 Радченко Я.В. Теория организации. Часть 1/конспект лекций, М.: ГАУ, 1998.
13 Смирнов Э.А. Теория организации: Учебное пособие. - М: ИНФРА-М, 2000. - 248 с.
14 Радченко Я.В. Теория организации. Часть 1/конспект лекций, М.: ГАУ, 1998.