Инвестиционный менеджмент (работа 1)
МИНИСТЕРСВТО ОБРАЗОВАНИЯ УКРАИНЫ
Донбасская Государственная Машиностроительная Академия
Кафедра «Менеджмента»
Контрольная работа
по дисциплине «Инвестиционный менеджмент»
зач. книжка № 3100
выполнил: студент гр. ПВ-02-3з
Тесленко А.Г.
проверил: Байдукова И.Н.
Краматорск 2004
Содержание
Теоретическая часть
1. Экономическая сущность инвестиций в инвестиционной деятельности
2. Показатели оценки эффективности реальных инвестиционных проектов
Практическая часть
Задача 1.1
Задача 2.1
Задача 5.1
Список использованной литературы
1. Экономическая сущность инвестиций в инвестиционной деятельности
Инвестиции — одна из наиболее часто используемых в экономической системе категорий как на макро-, так и на микро уровне. Однако, научная мысль до сих пор не выработала универсальное определение инвестиций, которое отвечало бы потребностям как теории, так и практики, а также было бы адекватным с позиций конкретного субъекта их осуществления — государства, предприятия, домашнего хозяйства.
Наиболее типичная неточность многих определений заключается в том, что под инвестициями понимается любое вложение финансовых средств, которое часто не связано с решением инвестиционных целей субъектов их осуществления. К ним часто относятся так называемые "потребительские инвестиции", которые по своему экономическому содержанию к инвестициям не относятся — средства в приобретение этих товаров расходуются в данном случае на долгосрочное их потребление. Кроме того, часто не проводится различие между инвестиционными затратами финансовых средств и текущими их затратами, обслуживающими операционный процесс предприятия.
Многие существующие определения связывают инвестиции исключительно с целями прироста капитала или получения текущего дохода (прибыли). Хотя в условиях рыночной экономики эта цель является определяющей, инвестиции могут преследовать и иные как экономические, так и внеэкономические цели вложения капитала.
Многообразие понятий термина "инвестиции" в современной отечественной и зарубежной литературе в значительной степени определяется широтой сущностных сторон этой сложной экономической категории. Поэтому для уточнения содержания этой категории следует рассмотреть основные характеристики, формирующие ее сущность.
Основные сущностные характеристики категории инвестиций предприятия как объекта управления представлены на рис. 1.1.
Рассмотрим более подробно каждую из характеристик инвестиций, определяющих их сущность как объекта управления на уровне предприятия.
1. Инвестиции как объект экономического управления.
Предметная сущность инвестиций непосредственно связана с экономической сферой ее проявления. Категория "инвестиции" входит в понятийно-категориальный аппарат, связанный со сферой экономических отношений, экономической деятельности. Соответственно, выступая носителем преимущественно экономических характеристик и экономических интересов, инвестиции являются субъектом экономического управления как на микро-, так и на макроуровне любых экономических систем.
2. Инвестиции как наиболее активная форма вовлечения накопленного капитала в экономический процесс.
В теории инвестиций их связь с накопленным капиталом (сбережениями) занимает центральное место. Это определяется сущностной природой капитала как экономического ресурса, предназначенного к инвестированию. Только путем инвестирования капитал как накопленная ценность вовлекается в экономический процесс.

Рисунок 1.1. Основные сущностные характеристики инвестиций предприятия как объекта управления.
Однако не весь накопленный предприятием запас капитала используется исключительно в инвестиционных целях. Часть денежного или иного капитала в силу требований ликвидности представляет собой форму страхового резерва, обеспечивающего ритмичность хозяйственной деятельности, платежеспособность и т. п., сохраняя пассивную форму. Инвестиции же в противовес этому, следует рассматривать как наиболее активную форму использования накопленного капитала.
Уровень потребления накопленного капитала как инвестиционного ресурса, вовлекаемого в реальный производственный процесс предприятия, имеет минимальные экономические границы. Эти границы определяются, с одной стороны, предельным продуктом капитала а с другой - нормами выбытия (амортизации) капитала в производственном процессе, подлежащего возмещению для обеспечения простого воспроизводства.
Ситуация, при которой сумма инвестируемого (накапливаемого) капитала равна сумме выбытия (амортизации) капитала как фактора производства, характеризует так называемый "золотой уровень накопления капитала".
Формирование "золотого уровня накопления капитала" как инвестиционного ресурса, вовлекаемого в производственный процесс, может быть проиллюстрировано графически (рис. 1.2).
Точки З>1>; З>2>; З>3> характеризуют конкретные параметры " золотого уровня накопления капитала" как инвестиционного ресурса, вовлекаемого в производственный процесс, при соответствующих значениях предельного продукта капитала и нормы его выбытия (амортизации). Регулируя нормы выбытия капитала в производственном процессе, можно соответствующим образом влиять на пропорции накопления и потребления производственного дохода (операционной прибыли).

Рисунок 1.2. График формирования кривой „золотого уровня накопления капитала" как инвестиционного ресурса, вовлекаемого в реальный производственный процесс.
3. Инвестиции как возможность использования накопленного капитала во всех альтернативных его формах.
В инвестиционном процессе каждая из форм накопленного капитала имеет свой диапазон возможностей и специфику механизмов конкретного использования. Наиболее универсальной с позиций сферы использования в инвестиционном процессе является денежная форма капитала, которая, однако для непосредственного применения в этом процесса требует в большинстве случаев его трансформации в иные формы. Капитал, накопленный в форме запаса конкретных материальных и нематериальных благ, готов к непосредственному участию в инвестиционном процессе, однако сфера его использования в таких формах имеет узко функциональное значение.
Используемый в инвестиционном процессе капитал во всех его формах может быть задействован, прежде всего, в производственной деятельности предприятия. В процессе производства товаров и услуг инвестируемый капитал совместно с другими производственными факторами используется не как простой их конгломерат, а как взаимодействующий комплекс с целенаправленно формируемыми определенными внутренними пропорциями. В теории инвестирования капитала взаимозаменяемость факторов производства является одной из фундаментальных концепций.
Возможная взаимозаменяемость факторов производства в процессе выпуска продукции характеризуется обычно так называемой "производственной функцией", которая в наиболее обобщенном виде имеет следующий вид:
ПР = f(К,3,Т,П),
где ПР — предусматриваемый объем производства продукции (товаров, услуг);
f — функция взаимодействия факторов производства в различных количественных пропорциях;
К — объем задействованного капитала;
3 — объем задействованных природных ресурсов (земли);
Т — объем задействованных трудовых ресурсов (труда);
П —объем задействованных прочих производственных ресурсов.
Для выяснения диапазона возможностей сочетания (пропорций) затрат капитала и труда, обеспечивающих выпуск заданного количества продукта при неизменной технологии воспользуемся "криваой безразличия производства" или "изокванта", которая характеризующая все возможные значения векторов производственной функции (сочетаний объемов затрат рассматриваемых факторов производства) для выпуска конкретного объема продукта (рис. 1.3).
Приведенные на графике точки А, Б, В, Г, размещенные на изокванте (кривой безразличия производства), показывают различные возможные сочетания объема затрат капитала и труда на выпуск заданного количества продукта. При этом наклон изокванты характеризует предельную норму технологического замещения рассматриваемых факторов производства.

Рисунок 1.3. График изокванты (кривой безразличия производства).
Наряду с анализом возможностей взаимозамещения представляет интерес выявление возможных комбинаций рассматриваемых факторов, при которых совокупные затраты по их привлечению будут равны. Если соединить на осях абсциссы и ординаты графика точки, в которых затраты на привлечение этих ресурсов будут равными, получим линию, называемую в экономической теории "изокостой". В основе построения изокосты лежит бюджет производства заданного количества продукта и стоимость единицы рассматриваемых факторов производства.
Графики изокосты могут быть построены и для любого совокупного бюджета производства иного заданного количества продукта. Наклон изокост характеризует соотношение стоимости привлечения (цен) рассматриваемых факторов производства.

Рисунок 1.4. График изокосты.
Механизм взаимозамещения факторов производства эффективен в том случае, если он позволяет минимизировать совокупные затраты капитала и труда. Если совместить рассмотренные ранее графики изокванты и изокосты, можно получит точку их касания (но не пересечения), в которой совокупные затраты факторов производства (капитала и труда) будут минимальными (рис. 1.5).

Рисунок 1.5. График формирования точки минимальных совокупных затрат факторов производства в процессе их взаимозамещения.
Если бюджет производителя в процессе хозяйственной деятельности возрастает, он может обеспечивать более высокие объемы выпуска продукта, т.е. формировать новые виды изоквант и изокост. Соединив точки касания новых изоквант и изокост, можно получить линию экономического роста предприятия, называемую "изоклиналь". График изоклинали приведен на рис. 1.6.

Рисунок 1.6. График изоклинали, характеризующий экономический рост предприятия.
Таким образом, производственная функция, формирующая условия взаимозаменяемости инвестируемого капитала, позволяет не только выявлять возможный диапазон этой взаимозаменяемости, но и решать конкретные производственные задачи:
а) максимизировать технологическую эффективность производства, характеризующую максимально возможный объем выпуска продукта в процессе использования имеющегося объема факторов производства;
б) максимизировать экономическую эффективность производства, характеризующую минимальный объем совокупных затрат факторов производства, обеспечивающих выпуск заданного объема продукта;
в) прогнозировать темпы экономического развития предприятия, обеспечиваемого оптимальными пропорциями отдельных факторов производства.
4. Инвестиции как альтернативная возможность вложения капитала в любые объекты хозяйственной деятельности.
Инвестируемый предприятием капитал целенаправленно вкладывается в формирование имущества предприятия, предназначенного для осуществления различных форм его хозяйственной деятельности и производства различной продукции. При этом из обширного диапазона возможных объектов инвестирования капитала предприятие самостоятельно определяет приоритетные формы имущественных ценностей (объектов и инструментов инвестирования), которые в учетно-финансовой терминологии носят название "активы". Иными словами, с экономических позиций инвестиции можно рассматривать как форму преобразования части накопленного капитала в альтернативные виды активов предприятия. С позиций возможностей вложения капитала в производство различных видов продукции инвестиции характеризуются как комбинаторный процесс. В комбинации с другими факторами производства инвестируемый капитал может быть использован для выпуска как продукции потребительского назначения, так и капитальных товаров в форме средств и предметов труда (формируя в последнем случае отложенное потребление в виде запаса реального капитала). Комбинация определенного объема производственных факторов, опосредованных участием инвестируемого капитала, формирует так называемую "кривую производственных возможностей", которая графически представлена на рис. 1.7.
С помощью "кривой производственных возможностей" может быть на альтернативной основе определена оптимальная структура производства продукта при избранной экономической стратегии развития и изменяющихся условиях производственной деятельности.

Рисунок 1.7. График производственных возможностей комплекса факторов производства, сформированного с участием капитала.
5. Инвестиции как источник генерирования эффекта предпринимательской деятельности.
Целью инвестирования является достижение конкретного заранее предопределяемого эффекта, который может носить как экономический, так и внеэкономический характер (социальный, экологический и другие виды эффекта). На уровне предприятий приоритетной целевой установкой инвестиций является достижение, как правило, экономического эффекта, который может быть получен в форме прироста суммы инвестированного капитала, положительной величины инвестиционной прибыли, положительной величины чистого денежного потока, обеспечения сохранения ранее вложенного капитала и т.п.
Достижение экономического эффекта инвестиций определяется их потенциальной способностью генерировать доход. Как источник дохода инвестиции являются одним из важнейших средств формирования будущего благосостояния инвесторов. Вместе с тем, потенциальная способность инвестиций приносить доход не реализуется автоматически, а обеспечивается лишь в условиях эффективного выбора инвестиционных объектов (инструментов). Осуществление такого выбора предопределяет одну из важных функций инвестиционного менеджмента.
В основе генерирования дохода реальных инвестиций лежит производительность инвестируемого капитала. Носителем этой характеристики инвестируемый капитал выступает как и все другие факторы производства. Производительность капитала или капиталоотдача определяется как отношение результата производственной деятельности (объема производственного продукта) к сумме примененного (инвестированного) капитала.
Средняя производительность характеризует общий объем продукта, приходящегося на единицу используемого капитала и определяется по следующей формуле:

где СПК — средняя производительность (средний продукт) капитала;
ПР — объем продукта (товаров, услуг), произведенного в определенном периоде;
К — средняя сумма используемого капитала в периоде.
Предельная производительность характеризует прирост объема производства продукта в натуральном выражении на каждую единицу вновь добавленного (дополнительно инвестированного) капитала. Расчет этого показателя осуществляется по следующей формуле:

где ППК — предельная производительность (предельный продукт) капитала;
ΔПР —прирост объема производства продукции (товаров, услуг) в натуральном выражении;
ΔК — прирост инвестированного капитала.
Производительность капитала, используемого конкретным субъектом хозяйствования в рамках неизменной технологии производства, не носит стабильный характер, а изменяется при увеличении объема его инвестирования. Вывод о постоянном уменьшении предельного продукта капитала (при неизменном объеме использования других факторов производства) в экономической теории известен как "закон убывающей производительности капитала ". Этот закон относится к любой сфере использования капитала как фактора производства.
Проявление закона убывающей производительности капитала графически представлено на рис. 1.8.

Рисунок 1.8. График, иллюстрирующий закон убывающей производительности инвестируемого капитала.
Из приведенного графика видно, что по мере увеличения объема инвестирования капитала его предельный продукт уменьшается с каждой новой задействованной единицей (при неизменной технологии и объеме затрат других факторов производства).
6. Инвестиции как объект рыночных отношений.
Используемые предприятием в процессе инвестиций разнообразные инвестиционные ресурсы, товары и инструменты как объект купли-продажи формируют особый вид рынка — "инвестиционный рынок", - который характеризуется спросом, предложением и ценой, а также совокупностью определенных субъектов рыночных отношений.
Спрос на инвестиционные ресурсы, товары и инструменты предприятия предъявляют для реализации своей инвестиционной стратегии в сфере реального и финансового инвестирования. Кроме предприятий субъектами спроса на инвестиционные товары и инструменты выступают и иные участники экономического процесса, осуществляющие предпринимательскую деятельность.
Предложение инвестиционных ресурсов, товаров и инструментов исходит от предприятий-производителей капитальных товаров, собственников недвижимости, владельцев нематериальных активов, эмитентов, разнообразных финансовых институтов.
Цена на инвестиционные товары и инструменты в системе рыночных отношений формируется с учетом их инвестиционной привлекательности под воздействием спроса и предложения. Эта цена отражает экономические интересы продавцов и покупателей инвестиционных товаров и инструментов в конкретных условиях функционирования инвестиционного рынка. Ценой инвестиционных ресурсов выступает обычно ставка процента, которая формируется на рынке капитала.
7. Инвестиции как объект собственности и распоряжения.
Как объект предпринимательской деятельности инвестиции являются носителем прав собственности и распоряжения. Если на первоначальном этапе инвестирования капитала титул собственности и права распоряжения им были связаны с одним и тем же субъектом, то по мере дальнейшего экономического развития происходит постепенное их разделение. Первоначально это разделение произошло в сфере функционирования денежного капитала, вовлекаемого в инвестиционный процесс (по мере возникновения и развития кредитных отношений), а затем и капитала реального (по мере возникновения и развития лизинговых отношений). В современных условиях предприятие, использующее разнообразные формы капитала в инвестиционном процессе, может владеть правами распоряжения без права собственности на него.
Инвестируемый капитал как объект собственности может выступать носителем всех форм этой собственности - индивидуальной частной, коллективной частной, муниципальной, общегосударственной и т.п. Носителем титула собственности капитал выступает прежде всего как накопленный инвестиционный ресурс. При разделении в экономическом процессе прав собственности и использования капитала как инвестиционного ресурса в разрезе различных субъектов, роль этого капитала как объекта собственности носит пассивный характер.
Инвестируемый капитал как объект распоряжения может выступать во всех разрешенных законодательством формах и видах этого распоряжения. Носителем прав распоряжения может выступать при этом как финансовый, так и реальный капитал. В экономическом процессе роль инвестируемого капитала как объекта распоряжения носит активный характер по отношению к капиталу как объекту собственности.
Как объект собственности и распоряжения капитал как инвестиционный ресурс формирует также определенные пропорции его использования отдельными предприятиями, отражаемые соотношением собственного и заемного капитала.
8. Инвестиции как объект временного предпочтения.
Процесс инвестирования капитала непосредственно связан с фактором времени. С позиций этого фактора предназначенный к инвестированию капитал может рассматриваться как запас ранее накопленной экономической ценности с целью возможного ее приумножения в процессе инвестиционной деятельности, а с другой, — как задействованный экономический ресурс, способный увеличить объем Потребления благ инвестора в любом интервале предстоящего периода. При этом экономическая ценность сегодняшних и будущих благ, связанных с инвестициями, для владельцев инвестируемого капитала неравнозначно. Экономическая теория утверждает, что сегодняшние блага всегда оцениваются индивидуумом выше благ будущих.
Между инвестированием капитала и получением инвестиционного дохода временной лаг может характеризоваться большим или меньшим интервалом. Соответственно перед инвестором всегда стоит альтернатива временного предпочтения использования капитала — избрать для инвестиционной деятельности кратко- или долгосрочные объекты (инструменты) инвестирования с соответственно дифференцированным уровнем инвестиционного дохода.
Альтернатива выбора варианта объема вовлекаемого в инвестиционный процесс капитала во времени связана с оценкой возможностей потребления, которые возникают в различные интервалы будущего периода. В процессе такой оценки учитывается относительная ценность, которую конкретный инвестор придает возможностям своего потребления во времени. Этот выбор осуществляется в пределах "кривой возможностей использования капитала во времени ", график которой представлен на рис. 1.9.
На приведенном графике кривая ХУ демонстрирует все сочетания возможного использования капитала во времени на цели текущего и будущего (будущий период ограничен одним годом) потребления. Отрезок ОУ на горизонтальной оси характеризует альтернативные возможности доступного для данного капитала текущего потребления (от полного отказа от текущего потребления в точке 0 до полного использования капитала на текущее потребление в точке У). Соответственно отрезок ОХ на вертикальной оси характеризует альтернативные для данного капитала потенциальные возможности будущего потребления. Конкретные возможности альтернативного соотношения объемов текущего и будущего потребления в пределах используемой суммы капитала демонстрируют точки А, Б, В и Г, расположенные на кривой ХУ. При выборе любой из этих альтернатив объем возможного потребления инвестора через один год будет превышать объем потребления, от которого он отказывается в текущем году.

Рисунок 1.9. График, характеризующий кривую возможностей использования инвестируемого капитала во времени.
Количественным измерителем эффективности использования капитала во времени выступает "норма временного предпочтения". Она определяет соотношение оценок инвестором потребительских благ будущего и текущего периода. Расчет этого показателя осуществляется по следующей формуле:
,
где НВП — норма временного предпочтения, выраженная десятичной дробью;
ПБ>Б> — суммарная оценка будущих потребительских благ, приобретаемых на единицу имеющегося капитала;
ПБ>Т> — суммарная оценка текущих потребительских благ, приобретаемых на единицу имеющегося капитала.
Норма временного предпочтения носит индивидуальный характер. Она формируется с учетом размера доходов инвестора, сложившегося уровня его потребления, насыщенности потребительского рынка товарами и услугами и ряда других факторов.
Между продолжительностью периода использования капитала в экономическом процессе и нормой временного предпочтения существует прямая связь. Чем продолжительней интервал времени отложенных возможностей использования капитала на цели текущего потребления, тем выше должен быть размер нормы временного предпочтения (размер соответствующего вознаграждения собственника капитала). Прирост нормы временного предпочтения с увеличением интервала использования капитала характеризует "предельную норму временного предпочтения".
С увеличением интервала использования капитала в инвестиционном процессе предельная норма временного предпочтения имеет тенденцию к росту. Это связано с тем, что индивидуум при прочих равных условиях будет рассматривать дополнительные возможности будущего потребления как все менее и менее ценные по сравнению с потреблением текущим. Эту тенденцию можно проследить по данным ранее рассмотренного графика кривой возможностей использования капитала во времени (рис. 1.9). Наклон кривой в любой точке будет характеризовать предельную норму доходности, которая, наоборот, с течением времени снижается.
Оптимальность использования инвестируемого капитала во времени характеризуется определенным критерием. В основе такого критерия лежит сопоставление предельной нормы временного предпочтения (индивидуализированной для данного собственника капитала) с предельной доходностью капитала.
Этот критерий гарантирует максимизацию благосостояния собственника капитала, если целью его вовлечения в инвестиционный процесс является оптимизация распределения потребления во времени.
9. Инвестиции как носитель фактора риска.
Риск является важнейшей характеристикой инвестиций, связанной со всеми их формами и видами. Носителем фактора риска инвестиции выступают как источник дохода в предпринимательской деятельности инвестора. Осуществляя инвестиции инвестор всегда должен осознанно идти на экономический риск, связанный с возможным снижением или неполучением суммы ожидаемого инвестиционного дохода, а также возможной потерей (частичной или полной) инвестированного капитала. Следовательно, понятия риск и доходность инвестиций в предпринимательской деятельности инвестора взаимосвязаны.
Уровень риска инвестиций находится в прямой зависимости от уровня ожидаемой их доходности. Чем выше ожидаемый инвестором уровень доходности инвестиций в любой из их форм, тем выше (при прочих равных условиях) будет сопутствующий ему уровень риска и наоборот.
10. Капитал как носитель фактора ликвидности.
Все формы и виды инвестиций характеризуются определенной ликвидностью, под которой понимается их способность быть реализованными при необходимости по своей реальной рыночной стоимости. Эта способность инвестиций обеспечивает высвобождение капитала, вложенного в разнообразные объекты и инструменты при наступлении неблагоприятных экономических и других условий его использования в определенной сфере предпринимательской деятельности, в отдельном сегменте рынка или в задействованном регионе. Процесс высвобождения вложенного капитала, обеспечиваемый его ликвидностью, характеризуется термином "дезинвестиции". Ликвидность инвестиций позволяет формировать не только прямой, но и обратный поток капитала, задействованного как инвестиционный ресурс.
Различные формы и виды инвестиций обладают различной степенью ликвидности.
Основным параметром оценки степени ликвидности различных форм и видов инвестиций выступает уровень их ликвидности. Он определяется с учетом периода времени, в течение которого инвестированный в различные объекты и инструменты капитал может быть конверсирован в денежную форму без потери его реальной рыночной стоимости. Чем ниже возможный период конверсии ранее инвестированного капитала в денежную форму, тем более высоким уровнем ликвидности характеризуется тот или иной вид инвестиций.
Ликвидность инвестиций является объективным фактором, обуславливающим выбор конкретных их форм и видов при прогнозировании необходимого уровня их предстоящей доходности.
С учетом рассмотренных основных характеристик экономическая сущность инвестиций предприятия в наиболее обобщенном виде может быть сформулирована следующим образом:
Инвестиции предприятия представляют собой вложение капитала во всех его формах в различные объекты (инструменты) его хозяйственной деятельности с целью получения прибыли, а также достижения иного экономического или внеэкономического эффекта, осуществление которого базируется на рыночных принципах и связано с факторами времени, риска и ликвидности.
В системе обеспечения эффективного функционирования предприятия инвестиции играют важную роль. Об этом дает представление рис. 1.10.

Рисунок 1.10. Роль инвестиций в обеспечении эффективного функционирования предприятия.
Из приведенной схемы видно, что осуществление инвестиций является важнейшим условием решения практически всех стратегических и значительной части текущих задач развития и обеспечения эффективной деятельности предприятия.
Практическое осуществление инвестиций обеспечивается инвестиционной деятельностью предприятия, которая является одним из самостоятельных видов его хозяйственной деятельности и важнейшей формой реализации его экономических интересов.
Инвестиционная деятельность предприятия представляет собой целенаправленно осуществляемый процесс изыскания необходимых инвестиционных ресурсов, выбора эффективных объектов (инструментов) инвестирования, формирования сбалансированной по избранным параметрам инвестиционной программы (инвестиционного портфеля) и обеспечения ее реализации.
Инвестиционная деятельность предприятия характеризуется следующими основными особенностями:
1. Она является главной формой обеспечения роста операционной деятельности предприятия и по отношению к ее целям и задачам носит подчиненный характер. Инвестиционная деятельность предприятия призвана обеспечивать рост формирования его операционной прибыли в перспектив-ном периоде по двум направлениям: 1) путем обеспечения возрастания операционных доходов за счет увеличения объема производственно-сбытовой деятельности; 2) путем обеспечения снижения удельных операционных затрат.
2. Формы и методы инвестиционной деятельности в гораздо меньшей степени зависят от отраслевых особенностей предприятия, чем операционная его деятельность. Эта связь опосредствуется только объектами инвестирования. Это определяется тем, что инвестиционная деятельность предприятия осуществляется преимущественно в тесной связи с финансовым рынком (рынком капитала и рынком денег), отраслевая сегментация которого практически отсутствует, в то время как операционная его деятельность осуществляется преимущественно в рамках конкретных отраслевых сегментов товарного рынка и имеет четко выраженные отраслевые особенности операционного цикла.
3.Объемы инвестиционной деятельности предприятия характеризуются существенной неравномерностью по отдельным периодам. Цикличность масштабов этой деятельности определяется рядом условий — необходимостью предварительного накопления финансовых средств (инвестиционных ресурсов) для начала реализации отдельных крупных инвестиционных проектов; использованием благоприятных внешних условий осуществления инвестиционной деятельности (на отдельных этапах экономического развития страны неблагоприятный "инвестиционных климат" резко снижает эффективность этой деятельности); постепенность формирования внутренних условий для существенных "инвестиционных рывков" (сформированный предприятием потенциал внеоборотных операционных активов имеет обычно достаточный "запас прочности".
4 Инвестиционная прибыль предприятия (а также иные фирмы эффекта инвестиций) в процессе его инвестиционной деятельности формируется обычно со значительным "лагом запаздывания". Это означает, что между затратами инвестиционных ресурсов (инвестиционными затратами) и получением инвестиционной прибыли проходит обычно достаточно большой период времени, что определяет долговременный характер этих затрат. Дифференциация размера "лага запаздывания" зависит от форм протекания инвестиционного процесса (рис. 1.11.).

Рисунок 1.11. формы протекания процессов инвестирования капитала и получения инвестиционной прибыли предприятия во времени.
Как видно из приведенного рисунка, при последовательном протекании инвестиционного процесса инвестиционная прибыль формируется сразу же после завершения инвестирования средств; при параллельном его протекании формирование инвестиционной прибыли возможно еще до полного завершения процесса инвестирования средств; при интервальном его протекании между периодом завершения инвестирования средств и формированием инвестиционной прибыли проходит определенное время.
5. Инвестиционная деятельность формирует особый самостоятельный вид денежных потоков предприятия, которые существенно различаются в отдельные периоды по своей направленности. Принципиальная схема формирования денежных потоков в процессе инвестиционной деятельности представлена на рис. 1.12.

Рисунок 1.12. Принципиальная схема формирования денежных потоков по отдельному инвестиционному проекту.
6. Инвестиционной деятельности предприятия присущи специфические виды рисков, объединяемые понятием "инвестиционный риск". Уровень инвестиционного риска обычно значительно превышает уровень операционного (коммерческого) риска. Это связано с тем, что в процессе инвестиционной деятельности риск потери капитала имеет большую вероятность возникновения, чем в процессе операционной деятельности. Механизм формирования уровня инвестиционной прибыли строится в тесной связи с уровнем инвестиционного риска.
7. Важнейшим измерителем объема инвестиционной деятельности, характеризующим темпы экономического развития предприятия выступает показатель его чистых инвестиций. Чистые инвестиции представляют собой сумму валовых инвестиций, уменьшенную на сумму амортизационных отчислений в определенном периоде:
ЧИ = ВИ - АО,
где ЧИ -- сумма чистых инвестиций предприятия в определенном периоде;
ВИ — сумма валовых инвестиций предприятия в рассматриваемом периоде;
АО — сумма амортизационных отчислений предприятия в рассматриваемом периоде. Динамика показателя чистых инвестиций отражает характер экономического развития предприятия, потенциал формирования его прибыли. Если сумма чистых инвестиций предприятия составляет отрицательную величину, это свидетельствует о снижении производственного его потенциала и экономической базы формирования его прибыли. Если сумма чистых инвестиций равна нулю, это означает отсутствие экономического роста предприятия и базы возрастания его прибыли, так как его производственный потенциал остается при этом неизменным. И наконец, если сумма чистых инвестиций составляет положительную величину, это означает, что обеспечивается расширенное воспроизводство внеоборотных операционных активов предприятия и возрастание экономической базы формирования его прибыли.
2. Показатели оценки эффективности реальных инвестиционных проектов.
В системе управления реальными инвестициями оценка эффективности инвестиционных проектов представляет собой один из наиболее ответственных этапов. От того, насколько объективно и всесторонне проведена эта оценка, зависят сроки возврата вложенного капитала, варианты альтернативного его использования, дополнительно генерируемый поток прибыли предприятия в предстоящем периоде. Эта объективность и всесторонность оценки эффективности инвестиционных проектов в значительной мере определяется использованием современных методов ее проведения.
Рассмотрим базовые принципы и методические под ходы, используемые в современной практике оценки эффективности реальных инвестиционных проектов. Основные из таких принципов заключаются в следующем:
1. Оценка эффективности реальных инвестиционных проектов должна осуществляться на основе сопоставления объема инвестиционных затрат, с одной стороны, и сумм и сроков возврата инвестированного капитала, с другой. Это общий принцип формирования системы оценочных показателей эффективности, в соответствии с которым результаты любой деятельности должны быть сопоставлены с затратами (примененными ресурсами) на ее осуществление. Применительно к инвестиционной деятельности он реализуется путем сопоставления прямого и возвратного потоков инвестируемого капитала.
2. Оценка объема инвестиционных затрат должна охватывать всю совокупность используемых ресурсов, связанных с реализацией проекта. В процессе оценки должны быть учтены все прямые и непрямые затраты денежных средств (собственных и заемных), материальных и нематериальных активов, трудовых и других видов ресурсов. Как показывает современная практика в большинстве случаев оценка объема инвестиционных затрат не отражает непрямые расходы, связанные с подготовкой проекта к реализации, формированием необходимого объема инвестиционных ресурсов, контролем за реализацией проекта и т.п. Это не позволяет осуществлять сопоставимую оценку эффективности инвестиционных проектов.
3. Оценка возврата инвестируемого капитала должна осуществляться на основе показателя "чистого денежного потока" [net cash flow]. Этот показатель формируется за счет сумм чистой прибыли и амортизационных отчислений в процессе эксплуатации инвестиционного проекта. При проведении различных видов оценки этот показатель может рассматриваться как среднегодовой, так и дифференцированный по отдельным периодам эксплуатации инвестиционного проекта.
4. В процессе оценки суммы инвестиционных затрат и чистого денежного потока должны быть приведены к настоящей стоимости. На первый взгляд кажется, что инвестиционные затраты по отношению к чистому денежному потоку всегда выражены в настоящей стоимости, так как значительно предшествуют ему. В реальной практике это не так — процесс инвестирования в большинстве случаев осуществляется не одномоментно, а проходит ряд этапов. Поэтому, за исключением первого этапа, все последующие суммы инвестиционных затрат должны приводиться к настоящей стоимости (с дифференциацией каждого последующего этапа инвестирования).
5. Выбор дисконтной ставки в процессе приведения отдельных показателей к настоящей стоимости должен быть дифференцирован для различных инвестиционных проектов. В процессе такой дифференциации должны быть учтены уровень риска, ликвидности и другие индивидуальные характеристики реального инвестиционного проекта.
С учетом вышеизложенных принципов рассмотрим методы оценки эффективности реальных инвестиционных проектов на основе различных показателей. Система этих показателей приведена на рис. 2.1.

Рисунок 2.1 - Система основных показателей, используемых в процессе оценки эффективности реальных инвестиционных проектов.
Выше изложена система всех основных показателей, используемых в практике инвестиционного менеджмента для оценки эффективности реальных инвестиционных проектов. Вместе с тем, в зависимости от метода учета фактора времени в осуществлении инвестиционных затрат и получении возвратного инвестиционного потока все рассмотренные показатели подразделяются на две основные группы — дисконтные и статические (бухгалтерские).
Показатели оценки эффективности реальных инвестиционных проектов, основанные на дисконтных методах расчета предусматривают обязательное дисконтирование инвестиционных затрат и доходов по отдельным интервалам рассматриваемого периода. В то же время показатели оценки, основанные на статических (бухгалтерских) методах расчета, предусматривают использование в расчетах бухгалтерских данных об инвестиционных затратах и доходах без их дисконтирования во времени. Распределение рассмотренной системы показателей оценки эффективности реальных инвестиционных проектов по этому признаку приведено на рис. 2.2.

Рисунок 2.2 - Группировка основных показателей оценки эффективности реальных инвестиционных проектов по используемым методам расчета.
В современной инвестиционной практике показатели оценки эффективности реальных проектов, основанные на использовании дисконтных методов расчета, являются преобладающими. Они обязательно должны рассчитываться по всем средним и крупным реальным инвестиционным проектам, реализация которых носит долгосрочный характер. Показатели, основанные на использовании статических методов расчета, применяются, как правило, для оценки эффективности небольших краткосрочных реальных инвестиционных проектов.
Рассмотрим более подробно методику расчета и условия использования основных показателей оценки эффективности реальных инвестиционных проектов.
1. Чистый приведенный доход [net present value, NPV] позволяет получить наиболее обобщенную характеристику результата инвестирования, т.е. его конечный эффект в абсолютной сумме. Под чистым приведенным доходом понимается разница между приведенными к настоящей стоимости суммой чистого денежного потока за период эксплуатации инвестиционного проекта и суммой инвестиционных затрат на его реализацию. Расчет этого показателя при единовременном осуществлении инвестиционных затрат осуществляется по формуле:

где ЧПД>Е> — сумма чистого приведенного дохода по инвестиционному проекту при единовременном осуществлении инвестиционных затрат;
ЧПД>t> — сумма чистого денежного потока по отдельным интервалам общего периода эксплуатации инвестиционного проекта (если полный период эксплуатации инвестиционного проекта определить сложно, его принимают в расчетах в размере 5 лет);
из>е> — сумма единовременных инвестиционных затрат на реализацию инвестиционного проекта;
i — используемая дисконтная ставка, выраженная десятичной дробью;
n — число интервалов в общем расчетном пери оде t.
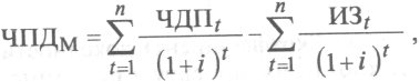
Если инвестиционные затраты, связанные с предстоящей реализацией инвестиционного проекта, осуществляются в несколько этапов, расчет показателя чистого приведенного дохода производится по следующей формуле:

где ЧПД>М> — сумма чистого приведенного дохода по инвестиционному проекту при многократном осуществлении инвестиционных затрат;
ЧПД>t> — сумма чистого денежного потока по отдельным интервалам общего периода эксплуатации инвестиционного проекта;
ИЗ>t> — сумма инвестиционных затрат по отдельным интервалам общего периода реализации инвестиционного проекта; i — используемая дисконтная ставка, выраженная десятичной дробью;
n — число интервалов в общем расчетном пери оде t.
Независимый инвестиционный проект, по которому показатель чистого приведенного дохода является отрицательной величиной или равен нулю, должен быть отвергнут, так как он не принесет предприятию дополнительный доход на вложенный капитал. Независимые инвестиционные проекты с положительным значением показателя чистого приведенного дохода позволяют увеличить капитал пред приятия и его рыночную стоимость. Из системы взаимоисключающих инвестиционных проектов принимается тот из них, по которому значение показателя чистого приведенного дохода является наивысшим.
2. Индекс (коэффициент) доходности также позволяет соотнести объем инвестиционных затрат с предстоящим чистым денежным потоком по проекту. Расчет такого показателя при единовременных инвестиционных затратах по реальному проекту осуществляется по следующей формуле:

где ИД>Е> — индекс (коэффициент) доходности по инвестиционному проекту при единовременном осуществлении инвестиционных затрат;
ЧДП>t> — сумма чистого денежного потока по отдельным интервалам общего периода эксплуатации инвестиционного проекта;
из>е> — сумма единовременных инвестиционных затрат на реализацию инвестиционного проекта;
i — используемая дисконтная ставка, выраженная десятичной дробью;
п — число интервалов в общем расчетном периоде t.
Если инвестиционные затраты, связанные с предстоящей реализацией инвестиционного проекта, осуществляются в несколько этапов, расчет индекса (коэффициента) доходности производится по следующей формуле:

где ИД>М> — индекс (коэффициент) доходности по инвестиционному проекту при многократном осуществлении инвестиционных затрат;
ЧДПt — сумма чистого денежного потока по отдельным интервалам общего периода эксплуатации инвестиционного проекта;
ИЗt— сумма инвестиционных затрат по отдельным интервалам общего эксплуатационного периода;
i — используемая дисконтная ставка, выраженная десятичной дробью;
n — число интервалов в общем расчетном периоде t.
Показатель "индекс доходности" также может быть использован не только для сравнительной оценки, но и в качестве критериального при принятии инвестиционного решения о возможностях реализации проекта. Если значение индекса доходности меньше единицы или равно ей, независимый инвестиционный проект должен быть отвергнут в связи с тем, что он не принесет дополнительный доход на инвестированные средства. По взаимоисключающим инвестиционным проектам по этому критерию выбирается тот из них, по которому индекс доходности является наивысшим.
3. Индекс (коэффициент) рентабельности в процессе оценки эффективности инвестиционного проекта может играть лишь вспомогательную роль, так как не позволяет в полной мере оценить весь возвратный инвестиционный поток по проекту (значительную часть этот потока составляют амортизационные отчисления) и не соизмеряет анализируемые показатели во времени. Расчет этого показателя осуществляется по формуле:

где ИР>И> —индекс рентабельности по инвестиционному проекту;
ЧП>И> — среднегодовая сумма чистой инвестиционной прибыли за период эксплуатации проекта;
ИЗ — сумма инвестиционных затрат на реализацию инвестиционного проекта.
Показатель "индекс рентабельности" позволяет вычленить в совокупном чистом денежном потоке важнейшую его составляющую — сумму инвестиционной прибыли. Кроме того, он позволяет осуществить сравнительную оценку уровня рентабельности инвестиционной и операционной деятельности (если инвестиционные ресурсы сформированы за счет собственных и заемных средств, индекс рентабельности инвестиций сравнивается с коэффициентом рентабельности активов; если же инвестиционные ресурсы сформированы исключительно за счет собственных финансовых средств, то базой сравнения выступает коэффициент рентабельности собственного капитала). Результаты сравнения позволяют определить: дает ли возможность реализация инвестиционного проекта повысить общий уровень эффективности операционной деятельности предприятия в предстоящем периоде или снизит его, что также является одним из критериев принятия инвестиционного решения.
4. Период окупаемости является одним из наиболее распространенных и понятных показателей оценки эффективности инвестиционного проекта. Расчет этого показателя может быть произведен двумя методами - статичным (бухгалтерским) и дисконтным.
Недисконтированный показатель периода окупаемости, определяемый статичным методом, рассчитывается по следующей формуле:

где ПО>Н> —недисконтированный период окупаемости инвестиционных затрат по проекту;
ИЗ — сумма инвестиционных затрат на реализацию проекта;
ЧДП>Г> —среднегодовая сумма чистого денежного потока за период эксплуатации проекта (при краткосрочных реальных вложениях этот показатель рассчитывается как среднемесячный).
Соответственно дисконтированный показатель периода окупаемости определяется по следующей формуле:

где ПО>Д> —дисконтированный период окупаемости единовременных инвестиционных затрат по проекту;
ИЗ>Е> — сумма единовременных инвестиционных затрат на реализацию инвестиционного проекта;
ЧДП>t> —сумма чистого денежного потока по отдельным интервалам общего периода эксплуатации инвестиционного проекта;
i — используемая дисконтная ставка, выраженная десятичной дробью;
n —число интервалов (лет, месяцев) в общем расчетном периоде t;
t — общий расчетный период эксплуатации проекта (лет, месяцев).
Показатель "периода окупаемости" используется обычно для сравнительной оценки эффективности проектов, но может быть принят и как критериальный (и этом случае инвестиционные проекты с более высоким периодом окупаемости будут предприятием отвергаться) Основным недостатком этого показателя является то, что он не учитывает те чистые денежные потоки, которые формируются после периода окупаемости инвестиционных затрат (см. рис. 2.3). Так, по инвестиционным проектам с длительным сроком эксплуатации после периода их окупаемости может быть получена гораздо большая сумма чистого денежного потока, чем по инвестиционным проектам с коротким сроком эксплуатации (при аналогичном и даже более быстром периоде окупаемости последних).

Рисунок 2.3 - График формирования чистого денежного потока по реальному инвестиционному проекту в течение его полного жизненного цикла.
5. Внутренняя ставка доходности является наиболее сложным показателем оценки эффективности реальных инвестиционных проектов. Она характеризует уровень доходности конкретного инвестиционного проекта, выражаемый дисконтной ставкой, по которой будущая стоимость чистого денежного потока приводится к настоящей стоимости инвестиционных затрат. Внутреннюю ставку доходности можно охарактеризовать и как дисконтную ставку, по которой чистый приведенный доход в процессе дисконтирования будет приведен к нулю (т.е. ВСД = i, при которой ЧПД = 0). Расчет этого показателя осуществляется исходя из следующей формулы:

где ВС>Д>— внутренняя ставка доходности по инвестиционному проекту, выраженная десятичной дробью;
ЧДП>t> — сумма чистого денежного потока по отдельным интервалам общего периода эксплуатации инвестиционного проекта;
n — число интервалов в общем расчетном периоде t.
При расчете показателя внутренней ставки доходности предполагается полная капитализация всей суммы чистого денежного потока с предстоящим уровнем доходности, равному этому показателю.
Значение ВСД может быть определено по специальным таблицам инвестиционных вычислений.
Показатель внутренней ставки доходности приемлем для сравнительной оценки не только в рамках рассматриваемых инвестиционных проектов, но и в более широком диапазоне. На каждом предприятии может быть установлен в качестве целевого норматива показатель "минимальная внутренняя ставка доходности" и инвестиционные проекты с более низким его значением будут автоматически отклоняться как несоответствующие требованиям эффективности реального инвестирования.
Все рассмотренные показатели оценки эффективности реальных инвестиционных проектов находятся между собой в тесной взаимосвязи и позволяют оценить эту эффективность с различных сторон. Поэтому при оценке эффективности реальных инвестиционных проектов предприятия их следует рассматривать в комплексе.
Если предприятие располагает рядом альтернативных реальных инвестиционных проектов, то по результатам оценки их эффективности разрабатывается сравнительная таблица, форма которой приведена в табл. 10.3.
Таблица 10.3.
Сравнительная таблица основных показателей эффективности рассматриваемых реальных инвестиционных проектов
|
Перечень рассматриваемых инвестиционных проектов |
Показатели эффективности инвестиционных проектов |
|||||||||
|
Чистый приведенный ДОХОД |
Индекс доходности |
Индекс рентабельности |
Период окупаемости |
Внутренняя ставка доходности |
||||||
|
Количественное значение показателя |
Ранговая значимость в системе рассматриваемых проектов |
Количественное значение показателя |
Ранговая значимость в системе рассматриваемых проектов |
Количественное значение показателя |
Ранговая значимость в системе рассматриваемых проектов |
Количественное значение показателя |
Ранговая значимость в системе рассматриваемых проектов |
Количественное значение показателя |
Ранговая значимость в системе рассматриваемых проектов |
|
|
1 |
2 |
3 |
4 |
5 |
6 |
7 |
8 |
9 |
10 |
11 |
|
Проект 1 |
|
|
|
|
|
|
|
|
|
|
|
Проект 2 |
|
|
|
|
|
|
|
|
|
|
|
Проект 3 |
|
|
|
|
|
|
|
|
|
|
|
и т.д. |
|
|
|
|
|
|
|
|
|
|
При составлении сравнительной таблицы значения отдельных показателей эффективности приводятся в сопоставимых для всех проектов единицах измерения, а ранговая значимость показателей формируется на регрессной ной основе (т.е. наименьшая ранговая значимость — "единица" - присваивается проекту с наилучшим значением рассматриваемого показателя оценки эффективности).
Обобщенная сравнительная оценка альтернативных инвестиционных проектов по критерию эффективности осуществляется двумя способами:
а) на основе суммированной ранговой значимости всех рассматриваемых показателей (лучшими по этому критерию считаются проекты с наименьшей суммой рангов);
б) на основе отдельных из рассмотренных показателей, которые являются для предприятия приоритетными.
Практическая часть.
Задача 1.1.
Первоначальная сумма вклада – 350 тыс.грн. Процентная ставка, выплачиваемая ежемесячно 1,5%. Определить сумму простого процента за год.
Решение.
При расчете суммы простого процента в процессе наращения стоимости используется следующая формула:
I = P * n * i,
Где I – сумма процента за обусловленный период времени в целом;
Р – первоначальная сумма денежных средств;
n – количество интервалов, по которым осуществляется расчет процентных платежей, в общем обусловленном периоде времени;
i – используемая процентная ставка, выраженная десятичной дробью.
Будущая сумма вклада S с учетом начисленной суммы процента определяется по формуле:
S = P + I = P * (1+ni).
Сумма простого процента за год равна:
I = 350 * 12 * 0,015 = 63 тыс.грн.
Будущая сумма вклада через год равна:
S = 350 + 63 = 413 тыс грн.
Вывод: сумма простого процента за год при первоначальной сумме вклада 350 тыс.грн. и процентной ставке выплачиваемой ежемесячно 1,5% составит 63 тыс.грн., а будущая сумма вклада составит 413 тыс.грн.
Задача 2.1
Определить годовой темп инфляции и годовой индекс инфляции. Если ожидаемый среднемесячный темп инфляции определен в размере 1,0%.
Решение
При прогнозировании годового темпа инфляции используется следующая формула:
ТИ>г>=(1+ТИ>м>)12-1,
Где ТИ>г> – прогнозируемый годовой темп инфляции, выраженный десятичной дробью;
ТИ>м> – ожидаемый среднемесячный темп инфляции в предстоящем периоде, выраженный десятичной дробью.
ТИ>г>=(1+0,01)12-1=0,1268
При прогнозировании годового индекса инфляции используются следующие формулы:
ИИ>г>=1+ТИ>г,>
или ИИ>г>=(1+ТИ>м>)12
где ИИ>г> – прогнозируемый годовой индекс инфляции;
ТИ>г> – прогнозируемый годовой темп инфляции, выраженный десятичной дробью;
ТИ>м> – ожидаемый среднемесячный темп инфляции в предстоящем периоде, выраженный десятичной дробью.
ИИ>г>=1+0,1268=1,1268
ИИ>г>=(1+ТИ>м>)12=(1+0,01)12=1,1268
Вывод: годовой темп инфляции составит 12,68%. А годовой индекс инфляции составит 112,68% при ожидаемом среднемесячном темпе инфляции в размере 1,0%.
Задача 5.1
Рассчитать по каждому инвестиционному проекту чистый приведенный доход, индекс доходности, период окупаемости инвестиций и внутреннюю ставку доходности. Определит какой из проектов является более эффективным.
|
Инвестиционный проект |
||
|
А |
Б |
|
|
1. Объем инвестируемых средств, тыс.грн. |
12000 |
9000 |
|
2. Период эксплуатации инвестиционного проекта, лет |
3 |
4 |
|
3. Сумма чистого денежного потока, тыс.грн. |
||
|
1 год |
4000 |
2000 |
|
2 год |
5000 |
3000 |
|
3 год |
6000 |
4000 |
|
4 год |
– |
4000 |
Решение
Для дисконтирования сумм денежного потока проекта «А» ставку процента принимаем в размере 10%, а проекта «Б» - 12%. Результаты дисконтирования денежного потока приведены в таблице:
|
Год |
Инвестиционные проекты |
|||||
|
А |
Б |
|||||
|
Будущая стоимость |
Дисконтный множитель при ставке 10% |
Настоящая стоимость |
Будущая стоимость |
Дисконтный множитель при ставке 12% |
Настоящая стоимость |
|
|
1 |
4000 |
0,909 |
3636 |
2000 |
0,893 |
1786 |
|
2 |
5000 |
0,826 |
4130 |
3000 |
0,797 |
2391 |
|
3 |
6000 |
0,751 |
4506 |
4000 |
0,712 |
2848 |
|
4 |
– |
– |
– |
4000 |
0,636 |
2544 |
|
Итого |
15000 |
– |
12272 |
13000 |
– |
9569 |
Чистый приведенный доход:

где ЧПД>Е> — сумма чистого приведенного дохода по инвестиционному проекту при единовременном осуществлении инвестиционных затрат;
ЧПД>t> — сумма чистого денежного потока по отдельным интервалам общего периода эксплуатации инвестиционного проекта (если полный период эксплуатации инвестиционного проекта определить сложно, его принимают в расчетах в размере 5 лет);
из>е> — сумма единовременных инвестиционных затрат на реализацию инвестиционного проекта;
i — используемая дисконтная ставка, выраженная десятичной дробью;
n — число интервалов в общем расчетном пери оде t.
По проекту А
ЧПД>Е> = 12272 – 12000 = 272 тыс.грн.
По проекту Б
ЧПД>Е> = 9569 – 9000 = 569 тыс.грн.
Индекс доходности определяется по формуле:

где ИД>Е> — индекс (коэффициент) доходности по инвестиционному проекту при единовременном осуществлении инвестиционных затрат;
ЧДП>t> — сумма чистого денежного потока по отдельным интервалам общего периода эксплуатации инвестиционного проекта;
из>е> — сумма единовременных инвестиционных затрат на реализацию инвестиционного проекта;
i — используемая дисконтная ставка, выраженная десятичной дробью;
п — число интервалов в общем расчетном периоде t.
По проекту А
ИД>Е> = 12272 / 12000 = 1,023
По проекту Б
ИД>Е> = 9569 / 9000 = 1,063.
Период окупаемости инвестиций (недисконтированный):

где ПО>Н> —недисконтированный период окупаемости инвестиционных затрат по проекту;
ИЗ — сумма инвестиционных затрат на реализацию проекта;
ЧДП>Г> —среднегодовая сумма чистого денежного потока за период эксплуатации проекта (при краткосрочных реальных вложениях этот показатель рассчитывается как среднемесячный).
Период окупаемости инвестиций (дисконтированный):

где ПО>Д> —дисконтированный период окупаемости единовременных инвестиционных затрат по проекту;
ИЗ>Е> — сумма единовременных инвестиционных затрат на реализацию инвестиционного проекта;
ЧДП>t> —сумма чистого денежного потока по отдельным интервалам общего периода эксплуатации инвестиционного проекта;
i — используемая дисконтная ставка, выраженная десятичной дробью;
n —число интервалов (лет, месяцев) в общем расчетном периоде t;
t — общий расчетный период эксплуатации проекта (лет, месяцев).
По проекту А
ПО>Н> = 12000 / 12272 * 3 = 2,93
По проекту Б
ПО>Н> = 9000 / 9569 *4 = 3,76.
Внутренняя ставка доходности:

где ВС>Д>— внутренняя ставка доходности по инвестиционному проекту, выраженная десятичной дробью;
ЧДП>t> — сумма чистого денежного потока по отдельным интервалам общего периода эксплуатации инвестиционного проекта;
n — число интервалов в общем расчетном периоде t.

По проекту А:
или 0,56%
По проекту Б
или 2,06%
В соответствии с полученными показателями заполним сводную таблицу.
Таблица 10.3 - Сравнительная таблица основных показателей эффективности рассматриваемых реальных инвестиционных проектов
|
Перечень рассматриваемых инвестиционных проектов |
Показатели эффективности инвестиционных проектов |
|||||||||
|
Чистый приведенный ДОХОД |
Индекс доходности |
Индекс рентабельности |
Период окупаемости |
Внутренняя ставка доходности |
||||||
|
Количественное значение показателя, тыс.грн |
Ранговая значимость в системе рассматриваемых проектов |
Количественное значение показателя |
Ранговая значимость в системе рассматриваемых проектов |
Количественное значение показателя |
Ранговая значимость в системе рассматриваемых проектов |
Количественное значение показателя |
Ранговая значимость в системе рассматриваемых проектов |
Количественное значение показателя |
Ранговая значимость в системе рассматриваемых проектов |
|
|
1 |
2 |
3 |
4 |
5 |
6 |
7 |
8 |
9 |
10 |
11 |
|
Проект А |
272 |
2 |
1,023 |
2 |
– |
– |
2,93 |
1 |
0,56 |
2 |
|
Проект Б |
569 |
1 |
1,063 |
1 |
– |
– |
3,76 |
2 |
2,06 |
1 |
Выводы:
Сравнение показателей чистого приведенного дохода по рассматриваемым инвестиционным проектам показывает, что проект «Б» является более эффективным чем проект «А» .
Сравнение инвестиционных проектов по показателю «индекс доходности» показывает, что проект «Б» является более эффективным.
Сравнение инвестиционных проектов по показателю «период окупаемости» свидетельствует о преимуществах проекта «А» перед проектом «Б».
Сопоставляя показатели внутренней ставки доходности видно, что по проекту «Б» она более чем в 3 раза выше, чем по проекту «А», что свидетельствует о существенных преимуществах проекта «Б» при его оценке по этому показателю.
В целом оценка альтернативных инвестиционных проектов осуществляется по показателям, которые для предприятия являются приоритетными.
По периоду окупаемости более предпочтительным является проект «А». а по всем остальным показателям предпочтительным является проект «Б»
Список использованной литературы
Бланк И.А. Основы инвестиционного менеджмента. Т.1. – К.: Эльга – Н, Ника-Центр, 2001. – 536с.
Бланк И.А. Основы инвестиционного менеджмента. Т.2. – К.: Эльга – Н, Ника-Центр, 2001. – 512с
Інвестування: Навчально-методичний посібник для самостійного вивчення дисципліни / А.А.Пересада та ін., К. – 2001.