Лидерство в организациях торговли и питания
Федеральное агентство по образованию РФ
гоу впо
Нижегородский коммерческий институт
Факультет менеджмента
Курсовая работа
по дисциплине «Менеджмент»
на тему «Лидерство в организациях торговли и питания»
Выполнила:
Студентка 2-ММ группы
менеджмента факультета
Алесич М.И.
Руководитель: к.в.н., профессор
Тихомиров Г.А.
Нижний Новгород
2006
оглавление
|
Введение |
3 |
|
ГЛАВА 1 Теоретические основы лидерства |
6 |
|
1.1 Сущность и определение понятия лидерства |
6 |
|
1.2 Значение лидера в управлении организацией. Лидер и менеджер |
12 |
|
1.3 Подходы к изучению лидерства. Традиционные концепции лидерства |
14 |
|
1.4 Стили управления |
18 |
|
Глава 2 Исследование влияния выраженности лидерских качеств на выбор стиля руководства организацией |
31 |
|
2.1 организация исследования |
31 |
|
2.2 Стиль управления, используемый на предприятии |
33 |
|
2.3 Исследование лидерских качеств и анализ результатов |
34 |
|
Глава 3 Новое в теориях лидерства |
42 |
|
3.1 Атрибутивный подход |
42 |
|
3.2 Харизматический подход |
44 |
|
3.3 Преобразующее лидерство или лидерство для изменений |
47 |
|
Заключение |
48 |
|
Список используемой литературы |
51 |
|
Приложение |
52 |
ВВЕДЕНИЕ
Лидерство является ключевым фактором успеха во многих современных профессиях. Трудно себе представить успешного продавца торгового зала без умения привлечь внимание потенциального покупателя к товару. Торговый агент не справиться со своими обязанностями, если не сумеет быстро наладить доверительный контакт с новым клиентом. Менеджер не будет эффективным руководителем без умения неформального влияния на подчиненного. Большинство профессий требуют той или иной степени проявления лидерства.
За последние 50 лет в теории и практике менеджмента проблема соотношения эффективности управления и лидерства является одной из самых ключевых. Любой менеджер, обеспокоенный эффективностью своей работы, должен стремиться стать лидером. Зачем? Почему? Что значит быть лидером? Ответы на эти вопросы дают ряд наук: социальная психология, философия, педагогика, экономика. В классическом менеджменте лидерство - это способность влиять на индивидуумов и группы людей, чтобы побудить их работать для достижения целей.
Лидерство, как и управление, является до некоторой степени искусством. До сегодняшнего дня вопросы о лидерстве остаются актуальными, поскольку ещё не дано каких-либо чётких и определённых ответов. Но различные модели и теории, которые рассматривает данная работа, помогают осознать необходимость гибкого подхода к руководству.
Актуальность проблематики обусловлена следующими факторами:
наличием довольно скупых исследований в некоторых сферах лидерства;
низким уровнем профессионализма некоторых современных руководителей, что влечет за собой неэффективность деятельность организации.
Изучение проблемы лидерства необходимо для выработки методов эффективного руководства, отбора и формирования лидеров. Руководитель должен уметь ставить задачи, определять средства достижения цели и методы контроля. Успешное руководство в значительной мере зависит от умения руководителя управлять мнением коллектива. Руководитель всегда должен быть готовым к переоценке суждений и, если необходимо, соответствующему изменению стиля руководства.
Очень немногие из тех, кто выбрал карьеру руководителя, согласны оставаться долгие годы на одной и той же работе. Многие активно стремятся к продвижению на должности с большей ответственностью. Руководитель, который выбрал определённый стиль лидерства и строго его придерживается, поскольку этот стиль хорошо зарекомендовал себя в прошлом, может оказаться неспособным осуществлять эффективное руководство в другой ситуации на более высоком посту, где все его непосредственные подчинённые ориентированы на достижения. Руководитель, который хочет работать как можно более эффективно, получить всё, что можно от подчинённых, не может позволить себе применять какой-то один стиль руководства на протяжении всей своей карьеры. Скорее руководитель должен научиться пользоваться всеми стилями, методами и типами влияния, наиболее подходящими для конкретной ситуации.
Из вышесказанного ясно, что проблемы руководства и лидерства в организации на данный момент стоят довольно остро, и поэтому большое значение имеет изучение феноменов руководства и лидерства
В данной курсовой работе описываются общепринятые теории лидерства, которые составляют теоретическую основу для практического применения в различных организациях, где одним из важных вопросов является эффективное лидерское управление.
Гипотезой курсовой работы является – предположение о том, что степень выраженности лидерских качеств влияет на выбор стиля руководства организацией.
Целью курсовой работы является – теоретическое и практическое изучение проблемы лидерства и руководства в менеджменте, изучить понятия и сущность лидерства, определить лидерские способности руководителя организации и сформировать рекомендации по изменению стиля его руководства, поведения.
Для достижения поставленной цели необходимо решить следующие задачи:
Теоретическое изучение поставленной проблематике в курсовой работе.
Проведение исследования по изучению лидерских качеств и их влияния на выбор стиля руководства.
Проанализировать результаты получившегося исследования.
Установить зависимость между выраженностью лидерских качеств и стилями руководства.
Объектом курсовой работы – генеральный директор, менеджеры отделов: маркетинга, сбыта, кадров. На предприятии «ООО Алюр» компания «Ваш компьютер».
Предметом курсовой работы является – изучение степени выраженности лидерских качеств и их влияние на деятельность менеджера.
При написании данной курсовой работы использовались достижения отечественной и зарубежной науки в исследовании особенностей лидерства. Книги таких авторов как Кричевский Р.Л, Виханский О.С., Веснин В.Р, остальные источники указаны в списке использованной литературы. В ходе работы проработана и изучена общая и специальная литература, материалы семинаров, а также периодика.
Глава 1.Природа и определение понятия лидерства
1.1 Сущность и определение понятия лидерства.
Практика показывает, что ни один фактор не обеспечивает большую выгоду и пользу для организации, чем эффективное лидерство. Лидеры нужны для определения целей и задач, для организации, координации, обеспечения межличностных контактов с подчиненными и выбора оптимальных, эффективных путей решения тех или иных проблем. Очевидно, что организации, где наличествуют лидеры, могут достичь всего этого гораздо быстрее, чем организации без лидеров.
Слово лидер происходит от английского lead (вести). Значит, лидер – это ведущий, идущий впереди. Лидер – член организации, обладающий высоким личным статусом, оказывающий сильное влияние на мнение и поведение окружающих его людей, членов какого-либо объединения, организации и выполняющий комплекс функций.
Организации, добивающиеся успеха, отличаются от противоположных им главным образом тем, что имеют более динамичное и эффективное руководство. В современном русском языке под руководством, с точки зрения собственника подразумевается либо индивид (руководитель) или группа (руководящий состав), либо же процесс, т.е обладающий индивидуальными особенностями способ управления организацией. Синонимами слов руководство и руководитель являются слова лидерство и лидер.1
Природа лидерства может быть лучше понята, если его сравнить с собственно управлением. Быть менеджером и быть лидером в организации – это не одно и тоже. Менеджер в своем влиянии на работу подчиненных и построении отношений с ними прежде всего использует и полагается на должностную основу власти и источники, ее питающие. Лидерство же, как специфический тип отношений управления, основывается больше на процессе социального воздействия, а точнее взаимодействии в организации. Этот процесс является гораздо более сложным, требующим высокого уровня взаимодействия его участников. В отличие от собственно управления лидерство предполагает наличие в организации последователей, а не подчиненных. Соответственно отношения «начальник-подчиненный», свойственные традиционному взгляду на управление, заменяются отношениями «лидер-последователь».
Обычно мы называем лидерами тех людей, которые способны увлечь за собой, вовлечь в общее дело, «зарядить» на результат. Человек, который умеет, используя формальные рычаги власти, поставить задачу, и проконтролировать ее исполнение, не является лидером. Использование имеющихся ресурсов, постановка задач, контроль результатов, раздача поощрений и наказаний – это навык «формального» управления исполнением. Здесь не требуется личностной вовлеченности в этот процесс, достаточно строго придерживаться технологии управления.
В отличие от способности к управлению, лидерство – это умение найти ресурсы в условии дефицита. Это умение влиять, не имея формальных рычагов власти. Это умение так общаться с людьми, что они сами ставят перед собой все более и более сложные задачи и сами повышают эффективность их выполнения. Итак, лидерство-это в первую очередь умение влиять неформально: силой своей личности, характера, обаяния, силой своей увлеченности и уверенности в общем успехе.
Так, если взять в качестве примера директора завода, то по должности он является менеджером. Должность открывает ему дорогу к лидерству. Процесс влияния на людей с позиции занимаемой в организации должности называется формальным лидерством. Однако в своем влиянии на людей директор не может полагаться только на занимаемую должность. Наглядно это становится очевидным, когда выясняется, что один из его замов, имеющий меньше формальной власти, пользуется большим успехом в управлении в стрессовых и конфликтных ситуациях или при решении жизненно важных для предприятия проблем. Этот заместитель пользуется поддержкой, доверием, уважением, а может быть, и любовью коллектива за свою компетентность, рассудительность и хорошее отношение к людям.
Быть менеджером еще не означает автоматически считаться лидером в организации, так как лидерству в значительной мере свойственна неформальная основа. Можно занимать первую должность в организации, но не быть в ней лидером. В вышеприведенном примере в коллективе лидером скорее будет считаться заместитель, чем его непосредственный начальник – директор завода.
Процесс влияния через способности и умения или другие ресурсы, необходимые людям, получил название неформального лидерства. Неформальный характер лидерской позиции в большей степени обусловлен использованием личностной основы власти и источников, ее питающих. Идеальным для лидерства считается использование эффективного сочетания обеих основ власти.
Лидерству в значительной мере свойственна неформальная основа. «Руководство, - пишет, в частности, Р. Л. Кричевский, - феномен, имеющий место в системе формальных (или, как еще говорят, официальных) отношений, а лидерство – феномен, порожденный системой неформальных (неофициальных) отношений. Причем роль руководителя заранее определена «на табло» социальной организации, оговорен круг функций реализующего ее лица. Роль лидера возникает стихийно, в штатном расписании учреждения, предприятия ее нет… Руководство есть социальный по своей сущности феномен, а лидерство – психологический»2.
В ходе изучения проблемы лидерства учеными было предложено много различных определений данного понятия. Согласно Дж. Терри, лидерство-это воздействие на группы людей, побуждающие их к достижению общей цели. Р.Танненбаум, И.Вэшлер и Ф.Масарик определяли лидерство, как межличностное взаимодействие, проявляемое в определенной ситуации с помощью коммуникационного процесса и направленное на достижение специфической цели или целей. Г. Кунц и С. О’Доннел считают, что лидерство связано с воздействием на людей, преследующим достижением общей цели.
Сила и принуждение при лидерстве часто заменяются побуждением и воодушевлением. В результате лидерского подхода воздействие основывается на принятии людьми требований лидера без явного или прямого проявления власти. Способность лидера влиять на людей дает ему возможность использования власть и авторитет, получаемые от его последователей.
Лидерство –это тип управленческого взаимодействия (в данном случае между лидером и последователями), основанный на наиболее эффективном для данной ситуации сочетании различных источников власти и направленный на побуждение людей к достижению общих целей. Из этого и других определений лидерства следует, что лидерство является функцией лидера, последователей и ситуационных переменных.
Важно также отметить, что управленческое взаимодействие типа «лидер-последователь» не обязательно предполагает его иерархический характер, как это имеет место в случае отношений «начальник-подчиненный». Лидерство, как и власть – это потенциал, имеющийся у человека.
Содержание понятия лидерства в управлении организацией.
Основой лидерства является специфический тип отношений управления, или лидерский тип. Это отношения «лидер-последователь». В целом лидерские отношения отличает то, что последователи признают лидерство составной частью группы/организации только тогда, когда оно доказало свою компетентность и ценность для них. Лидер получает свою власть от последователей, поскольку они признают его в качестве лидера. Для поддержания своей позиции лидер должен предоставлять им возможность удовлетворять свои потребности, которые не могут быть достигнуты по-другому. В ответ они удовлетворяют лидерскую потребность во властвовании и возвышении над ними, а также оказывают ему необходимую поддержку в достижении организационных целей.
Лидер становится привлекательным для последователей благодаря, умению видеть то, что в конечном счете будет достигнуто в результате его и последователей усилий. Однако это не любая цель или любое состояние организации в будущем. В большей степени это то, что последователи хотят (неэффективное лидерство) или могут (эффективное лидерство) иметь.
В передаче последователям видения в такой форме, чтобы оно вселяло в них энтузиазм и обязательства, лидеру может помочь использование эффективной коммуникации. В современных условиях людей может побудить к действиям факт их непосредственного осознанного участия (через собственность или процесс) в решениях и их творческой реализации. Что предполагает наделение их соответствующими правами и полномочиями. Это означает, что лидер должен обладать способностью и умением делить свою власть с последователями, делать их частью общего дела, а не слепыми исполнителями. В современных условиях эффективное лидерство – это не железная или твердая рука, а высокая чувствительность к потребностям последователей, которая проявляется в развитии работников, во включении их в групповую работу, в оказании им помощи в достижении личных целей.
Эффективное лидерство предполагает всесторонний самоанализ. Настоящие лидеры постоянно задают себе вопросы типа: Что у меня хорошо получается? В чем мои сильные стороны? Чего мне как лидеру не хватает? Над чем я еще должен работать, чтобы быть лучше?
Признается, что лидерскими способностями и умениями можно научиться. Известно также, что лидерами становятся не сразу. Этому обычно предшествует определенный тип карьеры в организации или в организациях, помогающий развить эти навыки и умения. В ведущих школах бизнеса существуют программы развития лидерских качеств у тех, кто собирается стать лидером.
Сила лидерского влияния прямо пропорциональна степени принятия последователями того, что лидер предлагает сделать. Власть и влияние являются главными в работе лидера.
Теперь рассмотрим то, как используется власть в рамках эффективного лидерства.
Экспертная власть может помочь лидеру вести последователей за собой, если они поверили в то, что лидер имеет больше специальных знаний в определенной области, чем они. Однако в целом экспертная власть имеет узкое применение, и возможность ее использования обратно пропорциональна уровню, занимаемому лидером в организации.
Другая ситуация наблюдается в случае, когда лидер пользуется властью примера, так как она является во многих случаях причиной признания и последующего обожания (харизма) лидера последователями. Данный источник власти исходит непосредственно от последователей, и для этого лидеру необходимо «найти» своих обожателей, а не наоборот.
Власть информации в лидерском варианте связана с индивидуальными способностями и умением лидера соединить на своем уровне несоединяемые внизу концы информационных потоков.
Принятие решения как источник власти важно для лидера на этапе его «последнего слова», которого, как правило, ждут от него последователи. Эффективное лидерство предполагает активное участие последователей на всех остальных этапах принятия решения и высокий уровень «решительности» у самого лидера.
Вознаграждение и принуждение как источники власти в рамках эффективного лидерства больше ассоциируются с возможностью быть или не быть в одной упряжке с эффективным лидером, нежели чем с месячной премией или выговором.
Все большее значение для достижения эффективного лидерства играет власть связей, реализуемая, в частности, путем создания так называемых сетевых структур, способствующих поддержания эффективного лидерства на должном уровне без количественного роста организации. Лидер должен стремиться к эффективному сочетанию всех возможных и имеющихся у него основ и источников власти, так как это является одним из главных условий эффективного лидерства.
Значение лидера в управлении организацией. Лидер и менеджер.
Различие между лидером и менеджером проводится по многим позициям. Эффективный менеджер не обязательно является эффективным лидером, и наоборот. Их основные характеристики находятся как бы в разных измерениях.
Менеджер – это человек, который направляет работу других и несет персональную ответственность за ее результаты. Хороший менеджер вносит порядок и последовательность в выполняемую работу. Свое взаимодействие с подчиненными он строит больше на фактах и в рамках установленных целей. Лидер воодушевляет людей, вселяет энтузиазм в работников, передавая им свое видение будущего и помогая им адаптироваться к новому, пройти этап изменений.
Менеджеры имеют тенденцию занимать пассивную позицию по отношению к целям. Чаще всего они по необходимости ориентируются на кем-то установленные цели и практически не используют их для проведения изменений. Лидеры, наоборот, сами устанавливают свои цели и используют их для изменения отношения людей к делу.
Менеджеры склонны разрабатывать свои действия в деталях и во времени, планировать привлечение и использование необходимых ресурсов для того, чтобы поддерживать организационную эффективность. Лидеры добиваются этого же или большего путем разработки видения будущего и путей его достижения, не вникая при этом в оперативные детали и рутину.
Менеджеры предпочитают порядок во взаимодействии с подчиненными. Они строят свои отношения с ними соответственно тем ролям, которые подчиненные играют в запрограммированной цепочке событий или в формальном процессе принятия и реализации решений. Это во многом происходит от того, что менеджеры видят себя определенной частью организации или членами особого социального института. Лидеры подбирают и держат людей, которые понимают и разделяют их взгляды и идеи, отражаемые в лидерском видении. Лидеры учитывают потребности работников, воспринимаемые ими ценности и движущие ими эмоции. Лидеры склонны к использованию эмоций и интуиции и всегда готовы вызвать у своих последователей сильные чувства, типа любви и ненависти. Лидеры не связывают уважение к себе с принадлежностью к определенной организации.
Менеджеры обеспечивают достижение целей подчиненными, контролируя их поведение и реагируя на каждое отклонение от плана.
Лидеры строят свои отношения с подчиненными на доверии, мотивируя и вдохновляя их. Они кладут доверие в основу групповой, совместной работы.
Используя свой профессионализм, различные способности и умения, менеджеры концентрируют свои усилия в области принятия решений. Они пытаются сузить набор путей решения проблемы.
Решения часто принимаются на основе прошлого опыта. Лидеры, в противоположность, предпринимают постоянные попытки разработки новых и неоднозначных решений проблемы. А самое главное, после того как проблема ими решена, лидеры берут на себя риск и бремя выявления новых проблем, особенно в таких случаях, когда существуют значительные возможности для получения соответствующего вознаграждения.
Очевидно, что на практике не наблюдается идеального соблюдения этих двух типов отношений управления. Исследования показывают, что значительная группа менеджеров во многом обладает лидерскими качествами. Однако обратный вариант встречается в жизни реже.
Таблица1 Отличие менеджера от лидера
|
Менеджер |
Лидер |
|
Администратор |
Инноватор |
|
Поручает |
Вдохновляет |
|
Работает по целям других |
Работает по своим целям |
|
План – основа действий |
Видение – основа действий |
|
Полагается на систему |
Полагается на людей |
|
Использует только доводы |
Использует как доводы, так и эмоции |
|
Контролирует |
Доверяет |
|
Поддерживает движение |
Дает импульс движению |
|
Профессионален |
Энтузиаст |
|
Уважаем |
Обожаем |
|
Делает дело правильно |
Делает правильное дело |
1.3 Подходы к изучению лидерства. Традиционные концепции лидерства.
Известно, что к сегодняшнему дню проведено более десяти тысяч различного рода исследований вопросов лидерства. Используя две переменные или два измерения (динамика поведения и уровень ситуационности), можно выделить основные группы лидерства.
Динамика поведения отражает то, как рассматривается лидер: в статике (анализ лидерских качеств) или в динамике (анализ лидерского поведения). В первом случае считается, что лидер как бы имеет определенные врожденные черты, которые необходимы ему для того, чтобы быть эффективным. В противоположность этому поведенческий подход основан на выводах, сделанных из наблюдаемых исследователями образцов лидерского поведения, т.е. действия лидера, а не наследованных им качеств.
Второе измерение связано с уровнем или степенью принятия ситуационности за основу анализа в рамках того или иного подхода к изучению лидерства. На одном полюсе находятся подходы, позволяющее к идее универсальности, на другом – ситуационность признается критической, решающей для эффективного лидерства.
Комбинация двух переменных приводит в конечном счете к выделению четырех типов подходов к изучению лидерства в организации (Рис 1). Первый тип включает подходы, основанные на анализе лидерских качеств, (теории лидерских качеств “X” и теория “Y” Дугласа Мак Грегора), необходимых эффективному лидеру в любом организационном контексте.
Второй тип рассматривает лидерство как набор образцов поведения, присущий лидеру также в любом организационном окружении (исследования Мичиганского университета и университета штата Огайо, системы управления Ликерта и управленческая сетка Блейка и Моутон).
Третий тип предполагает изучение лидерских качеств, но уже в зависимости от конкретной ситуации (концепции ситуационного лидерства).
Четвертый тип представляет ряд новых подходов, вновь изучающих лидерские качества, но уже в связи с конкретной ситуацией (причинно-следственный подход или «атрибутивная» теория, концепция лидера- преобразователя и харизматического лидера). В указанных подходах делается попытка определить набор качеств и образцов поведения, необходимых лидеру в специфическом организационном контексте.
Есть
поведение
-
ДИНАМИКА
ПОВЕДЕНИЯ

Тип 2. Анализ образцов лидерского поведения
Тип 3. Ситуационный анализ эффективного поведения лидера.
Нет
поведения

Тип 1. Анализ лидерских качеств без учета ситуации.
Тип 4. Ситуационный анализ характера эффективного лидера.
Уровень ситуационности
Нет учета ситуации
Есть учет ситуации


Рис 1 Типы подходов к изучению лидерства
Теория лидерских качеств является наиболее ранним подходом в изучении и объяснении лидерства. Исходя из этого подхода, ученые пытались определить лидерские качества, научиться измерять их и использовать для выявления лидеров. Этот подход базировался на вере в то, что лидерами рождаются, а не становятся.
В этом направлении были проведены сотни исследований, породивших предельно длинный список выявленных лидерских качеств. Ральф Стогдилл в 1948 г. и Ричард Манн в 1959 г.попытались обобщить и сгруппировать все ранее выявленные лидерские качества. Так, Стогдилл пришел к выводу, что в основном пять качеств характеризуют лидера:
ум или интеллектуальные способности;
господство или преобладание над другими;
уверенность в себе;
активность и энергичность;
знание дела.
Однако эти пять качеств не объясняли поведение лидера. Многие люди с этими качествами так и оставались последователями. Манна постигло аналогичное разочарование. Среди семи личностных качеств лидера, которые он выявил, ум является лучшим предсказателем того, что его обладатель будет лидером. Однако практика этого не подтвердила. Несмотря на это, изучение лидерских качеств было продолжено вплоть до середины 80-х г.
Последующее изучение привело к выделению четырех групп лидерских качеств: физиологические, психологические или эмоциональные, умственные интеллектуальные и личностно-деловые.
К физиологическим относят такие качества человека, как рост, вес, сложение или фигура, внешний вид или представительность, энергичность движений и состояние здоровья. Конечно, в какой-то степени может существовать связь между наличием этих качеств и лидерством. Однако быть физически выше и крупнее, чем средний человек в группе, еще не дает никакого права быть в ней лидером.
Психологические или эмоциональные качества проявляются на практике главным образом через характер человека. Изучение их взаимосвязи с лидерством привело к появлению очень длинного списка этих качеств. Большинство из них так и не получило подтверждения практикой своей связи с лидерством.
Изучение умственных или интеллектуальных качеств и их связи с лидерством проводилось многими учеными, и в общем их результаты совпадают в том, что уровень этих качеств у лидеров выше, чем у нелидеров. К этому, видимо, привело то, что успех лидера во многом зависит от его способностей и умения решать проблемы и принимать правильные решения.
Личностно-деловые качества носят в большей степени характер приобретенных и развитых у лидера навыков и умений в выполнении своих функций. Их значимость для успеха возрастает по уровням организационной иерархии. Однако точное их измерение затруднено. Еще не удалось доказать что эти качества являются определяющими для эффективного лидерства.
Теория лидерских качеств имеет ряд недостатков. Во-первых, перечень потенциально важных лидерских качеств оказался практически бесконечным. По этой причине стало невозможным создать «единственно верный» образ лидера, а следовательно – заложить какие-то основы теории.
Во-вторых по различным причинам, таким, например как неудача в поиске путей измерения многих лидерских качеств, а также в силу непризнания возможных различий в зависимости от организации или ситуации, не удалось установить тесную связь между рассмотренными качествами и лидерством и помочь практическому выявлению последнего.
Суммируя сказанное, можно сделать заключение, что подход, изучающий лидерские качества, несомненно интересен, но к сожалению, до сих пор не принес пользы практике. Однако он послужил толчком к появлению и развитию других концепций лидерства.
Концепции лидерского поведения
Общим с рассмотренной концепцией лидерских качеств было то, что опять начался поиск одного единственно верного пути, но по другому направлению: лидерское поведение.
Фокус в исследованиях сдвинулся от поиска ответа на вопрос кто является лидером, к ответу на вопрос что и как лидеры делают.
Наиболее известными концепциями данного типа являются следующие:
три стиля руководства;
исследование университета штата Огайо;
исследования Мичиганского университета;
системы управления (Лайкерт)
управленческая сетка (Блейк и Моутон);
концепция вознаграждения и наказания;
заменители лидерства.
Поведенческий подход создал основу для классификации стилей руководства или стилей поведения. Это стало серьезным вкладом и полезным инструментом понимания сложностей лидерства. Этот подход к изучению лидерства сосредоточил свое внимание на поведении руководителя. Согласно поведенческому подходу, эффективность определяется не личными качествами руководителя, а скорее его манерой поведения по отношению к подчиненным. Важный вклад поведенческого подхода в теорию лидерства заключается в том, что он помог провести анализ и составить классификацию стилей руководства.
1.4 Стили управления
Наиболее ранним подходом к оценке стиля управления был взгляд, основанный на оценке личных качеств. Согласно личностной теории лидерства, также известной под названием теории великих людей, лучшие из руководителей обладают определенным набором общих для всех них личных качеств (уровень интеллекта, знания, впечатляющая внешность, честность, здравый смысл, инициативность, социальное и экономическое образование и высокая степень уверенности в себе). Поэтому, если можно выявить у себя эти качества, то, возможно, их развитие, позволяющее в будущем стать хорошим руководителем.
В дальнейшем возник другой, поведенческий подход, который создал основу для более точного определения: стиль управления - это относительно устойчивая система способов, методов и форм практической деятельности менеджера, привычная манера поведения руководителя по отношению к подчиненным, нацеленная на влияние и побуждения их к достижению целей организации.
Но и такой подход оказался не полным. Дальнейшие исследования показали, что в эффективности руководства значительную роль играют ситуационные факторы, которые, например, включают потребности и личные качества подчиненных, характер задания, требования и воздействие среды, имеющуюся у руководителя информацию. На практике это означает, что руководитель-лидер должен по-разному вести в различных ситуациях.
Таким образом, представители поведенческой школы выработали подход к определению значимых факторов эффективного руководства: подход с позиции:
личных качеств;
особенностей поведения человека в организации;
конкретной ситуации.
Согласно поведенческому подходу к руководству, по способу и методу отношения к подчиненным, каждая организация представляет собой уникальную комбинацию индивидов, целей и задач. А каждый управляющий – это уникальная личность, обладающая рядом способностей. Поэтому стиль руководства должен быть соотнесен с какой-то позицией руководителя. По классификации Курта Левина стиль является одномерным и может быть авторитарным, демократическим или либеральным. Рис. 1 иллюстрирует автократично-либеральный континуум3

Рис 2 Стили руководства.
В своем знаменитом исследовании Левин обнаружил, что авторитарное руководство добивалось выполнения большего объема работы, чем демократичное. Однако на другой чаше весов были низкая мотивация, меньшая оригинальность, меньшее дружелюбие в группах, большая агрессивность, проявляемая как к руководителю, так и к другим членам группы, большая подавляемая тревога и одновременно более зависимое и покорное поведение. По сравнению с демократичным руководством, при либеральном объем работы уменьшается, качество работы снижается, появляется больше игры, и в опросах выражается предпочтение демократичному руководителю.
Исследование Левина дало основу для поисков других ученых стиля поведения, который может привести к высокой производительности труда и высокой степени удовлетворенности.
А
вторитарный
стиль руководства
Автократичный лидер в управлении авторитарен. Он обладает достаточной властью, чтобы навязывать свою волю исполнителям, и в случае необходимости без колебаний прибегает к этому.
Было установлено, что автократическое руководство обеспечивало более высокую продуктивность деятельности, но более низкую степень удовлетворенности, чем демократическое. Дуглас Мак Грегор разработал теорию лидерства, выделив руководителей двух типов «X», «Y». Согласно теории “Х”:
Люди изначально не любят трудиться и при любой возможности избегают работы.
У людей нет честолюбия, и они стараются избавиться от ответственности, предпочитая, чтобы ими руководили.
Больше всего люди хотят защищенности.
Чтобы заставить людей трудиться, необходимо использовать принуждение, контроль и угрозу наказания.
Лидер такого типа, обладая достаточной властью, единолично принимает и отменяет решения, не дает возможности проявить инициативу подчиненным, категоричен, часто резок с людьми. Основное содержание его управленческой деятельности состоит из приказов и команд. Все новое воспринимается таким руководителем с осторожностью, или вообще не воспринимается, в управленческой работе он практически пользуется одними и теми же методами.
Таким образом, вся власть сосредоточивается в руках такого руководителя, получившего название автократа. Даже размещение сотрудников в процессе проведения совещания ориентировано на постоянный контроль их деятельности (Рис 3). Это создает напряженную обстановку, подчиненные в этом случае сознательно или интуитивно стремятся избегать тесного контакта с таким руководителем.
Когда автократ избегает негативного принуждения, а вместо этого использует вознаграждение, он получает звание благосклонного автократа. Хотя он продолжает оставаться авторитарным руководителем, благосклонный автократ проявляет активную заботу о настроении и благополучии подчиненных. Он может даже пойти на то, чтобы разрешить или поощрить их участие в планировании заданий. Но он сохраняет за собой фактическую власть принимать и исполнять решения.
Как правило, руководитель становится автократом тогда, когда он по своим деловым качествам стоит ниже подчиненных, которыми руководит, или если его подчиненные имеют слишком низкую общую и профессиональную культуру. Такой стиль руководства не стимулирует инициативу подчиненных, что делает невозможным повышение эффективности работы организации.

Руководитель
Рис 3 Место расположения руководителя-автократа при проведении деловых переговоров.
Демократический стиль руководства
Представление демократичного руководителя Мак Грегор назвал теорией руководителя “Y”, ее содержание сводится к следующим позициям:
Труд – процесс естественный. Если условия благоприятные, люди не только примут на себя ответственность, они будут стремиться к ней.
Если люди приобщены к организационным целям, они будут использовать самоуправление и самоконтроль.
Приобщение является функцией вознаграждения, связанного с достижением цели.
Способность к творческому решению проблем встречается часто, а интеллектуальный потенциал среднего человека используется лишь частично.
Руководитель, использующий преимущественно демократический стиль, стремится решать вопросы коллегиально, информировать подчиненных о положении дел, правильно реагировать на критику. Требователен, но справедлив. В подготовке к реализации управленческих решений принимают участие члены коллектива. Довольно часто, объяснив цели организации, руководитель позволяет подчиненным определить свои собственные цели в соответствии с теми, которые он сформулировал. Демократичный менеджер при проведении деловых совещаний размещается, как правило, в середине групп (Рис 4). Это создает непринужденную обстановку при обсуждении проблем развития организации.
Руководитель
Рис. 4 Место расположения руководителя-демократа при проведении деловых переговоров.
Либеральный стиль руководства
Руководитель с либеральным стилем руководства практически не вмешивается в деятельность коллектива, а работникам предоставлена полная самостоятельность, возможность индивидуального и коллективного творчества. Такой руководитель с подчиненными обычно вежлив, готов отменить принятое им ранее решение, особенно если это угрожает его популярности (таблица 2).
Таблица 2 Содержание трех стилей руководства
|
Стиль управления |
Авторитарный |
Демократический |
Либеральный |
Природа стиля |
Сосредоточение всей власти и ответственности в руках лидера Личное установление целей и выбор средств их достижения Коммуникационные потоки идут преимущественно с верху |
Делегирование полномочий с удержанием ключевых позиций у лидера Принятие решений разделено по уровням на основе участия Коммуникации осуществляются активно в двух направлениях |
Снятие лидером с себя ответственности и отречение в пользу группы или организации Предоставление группе возможности самоуправления в желаемом для группы режиме Коммуникации строятся в основном по горизонтали |
|
Сильные стороны |
Внимание срочности и порядку, предсказуемость результата |
Усиление личных обязательств по выполнению работы через участие в управлении |
Позволяет начать дело так, как это видится без вмешательства лидера |
|
Слабые стороны
|
Сдерживается индивидуальная инициатива |
Требует много времени на принятие решений |
Группа может потерять направление движения и уменьшить скорость без вмешательства лидера |
Влияние стилей управления на эффективность работы групп в течение продолжительного времени исследовали и немецкие ученые. Было установлено, что результативность труда постоянно повышалась у коллектива, где преобладал демократический стиль руководства, снижение эффективности – у коллектива с либеральным и авторитарным стилем.4
Модель Лайкерта
Рэнсис Лайкерт и его коллеги в Мичиганском университете разработали альтернативную систему, сравнивая группы с высокой производительностью труда и группы с низкой производительностью в различных организациях. Они считали, что разницу в производительности может объяснить стиль лидерства. Аналогично континууму по теориям “Х” и “Y” Мак Грегора, руководители групп с высокой и низкой производительностью классифицировались по континууму, находящемуся в пределах от одной крайности сосредоточенные на работе (теория “Х”), до другой сосредоточенные на человеке (теория “Y”). Этот континуум представлен на Рис 5.

Рис 5 Стили лидерства
Руководитель, сосредоточенный на работе, также известный как руководитель, ориентированный на задачу, прежде всего, заботится о проектировании задачи и разработке системы вознаграждений для повышения производительности труда. Менеджеры, которые поддерживают подобный стиль поведения, требуют строгого подчинения рабочим распорядкам, четкого выполнения задач, стоящих перед всем коллективом. Они зачастую автократичны в своих решениях, превыше всего ставят правила, инструкции, процедуры.
В противоположность этому, первейшей заботой руководителя, сосредоточенного на человеке, являются люди. Он сосредоточивает внимание на повышении производительности труда путем совершенствования человеческих отношений: делает упор на взаимопомощи, позволяет работникам максимально участвовать в принятии решений, избегает мелочной опеки и устанавливает для подразделения высокий уровень производительности труда. При таком подходе руководитель уделяет особое внимание своим взаимоотношениям с подчиненными, поддерживает атмосферу доверия. Как правило, руководители такого типа отличаются мягким, открытым, дружелюбным характером.
На основании своих исследований, Лайкерт сделал вывод, что стиль руководства неизменно будет ориентированным либо на работу, либо на человека. Не встретилось ни одного руководителя, кто бы проявлял оба эти качества в значительной степени и одновременно. Результаты также показали, что стиль руководства, сосредоточенный на человеке, почти во всех случаях способствовал повышению производительности труда.
Четыре системы Лайкерта.
Как продолжение своих исследований, Лайкерт предложил четыре базовых системы стиля лидерства (табл. 3).
Таблица 3 Четыре системы Лайкерта
|
№ |
Стиль руководства |
Характеристика стиля |
|
1 |
Эксплуататорско-авторитарный |
Руководители мотивируют людей угрозой наказания, использованием поощрения, сами принимают решения. |
|
2 |
Благосклонно-автортраный |
Руководители уверены в себе и верят своим подчиненным, применяют основы мотивации, поощрения. Используют идеи подчиненных. |
|
3 |
Консультативно-демократический |
Руководители оказывают определенное доверие подчиненным, используют их идеи и точки зрения и консультируются с подчиненными в процессе принятия управленческих решений. |
|
4 |
Основанный на участии |
Руководители проявляют полное доверие к подчиненным, выслушивают их мнения, привлекают ко всем видам деятельности, относятся к подчиненным как к равным. |
Позднее было установлено, что каждый из указанных стилей “в чистом виде” встречается редко.
Лайкерт описывает руководителей, относящихся к системе 1, как эксплуататорско-авторитарных. Эти руководители имеют характеристики автократа.
Система 2 называется благосклонно-авторитарной. Эти руководители могут поддерживать авторитарные отношения с подчиненными, но они разрешают подчиненным, хотя и ограниченно, участвовать в принятии решений.
Руководители системы 3, называемой консультативной, проявляют значительное, но не полное доверие к подчиненным. Имеется двустороннее общение и некоторая степень доверия между руководителями и подчиненными. Важные решения принимаются наверху, но многие конкретные решения принимаются подчиненными.
Система 4 подразумевает групповые решения и участие работников в принятии решений. По мнению Лайкерта, она самая действенная. Эти руководители полностью доверяют подчиненным. Принятие решений в высшей степени децентрализовано. Кроме того, они ориентированы на человека, в противоположность руководителям системы 1, ориентированным на работу.
Исследования Лайкерта показали, что самые эффективные руководители низового звена уделяли внимание, прежде всего, человеческим аспектам проблем, стоящих перед их подчиненными, и создавали отношения, основанные на взаимопомощи. Они продуманно разделяли подчиненных на производственные группы и ставили перед ними усложненные задачи. Они использовали групповое руководство вместо традиционных индивидуальных бесед с подчиненными.5
Классификация стилей руководства, разработанная в университете штата Огайо
Начиная с 1945 года, группа учёных, работавшая под эгидой Бюро по исследованиям в области бизнеса в Университете штата Огайо, проводила комплексное исследование в области руководства. Они выявили серьёзную ошибку в концепции разделения руководителей на тех, кто сосредоточен или только на работе, или только на человеке. Они обнаружили, что хотя автократичный руководитель не может одновременно быть демократичным, но, тем не менее, уделял много внимания работе как таковой, он может проявлять большую заботу и о человеческих отношениях.
Это стало их главной находкой: люди могут вести себя так, что это будет одновременно ориентацией и на работу, и на человека. Группа в Университете Огайо разработала систему, согласно которой поведение руководителя классифицировалось по двум параметрам: структуре и вниманию к подчинённым. Согласно этой точке зрения, руководители могут оказывать влияние на людей своим поведением, которое различается по этим двум критериям. Структура подразумевает такое поведение, когда руководитель планирует и организует деятельность группы и свои взаимоотношения с ней. Внимание к подчинённым подразумевает поведение, которое влияет на людей, строя взаимоотношения на основе доверия, уважения, и контакта между руководителем и подчинёнными. Несколько самых распространённых типов поведения, подразумевающих внимание к подчинённым, приведены в табл. 4 (Приложение 4)
Было выявлено, что люди могут вести себя с разной степенью внимания к подчиненным и структурированию проблем; четыре возможных комбинации этих элементов в руководстве представлены на рис.6 (Приложение 4).Несмотря на то, что самая высокая производительность ассоциировалась с руководителем, который владеет и тем и другим стилем поведения, более поздние исследования показали, что эта классификация применима не ко всем ситуациям.
Управленческая решетка Блейка и Мутона
В современных условиях успех дела предопределяется не только характером отношений между руководителем и подчиненными и степенью свободы, которая им предоставляется, но и рядом других обстоятельств. Отражением этого является «многомерные» стили управления, представляющие собой комплекс взаимодополняющих, переплетающихся подходов, каждый из которых независим от других, поэтому может реализовываться наряду с ними.6
Концепция, разработанная в университете штата Огайо, была модифицирована и популяризована Блэйком и Мутоном, которые построили решетку (схему), включавшую 5 основных стилей руководства рис.6

1.9 Максимум внимания людям; минимум внимания организационно-техническим проблемам.
9.9 Максимум внимания людям и организационно-техническим проблемам.
5.5 Равное внимание людям и организационно-техническим проблемам.
9.1 Минимум внимания людям: максимум внимания организационно-техническим проблемам.
1.1 Минимум внимания людям: и организационно-техническим проблемам
Рис 6 «Решетка управления» Р. Блейка и М. Мутона
Вертикальная ось этой схемы ранжирует “заботу о человеке” по шкале от 1 до 9. Горизонтальная ось ранжирует “заботу о производстве” также по шкале от 1 до 9. Стиль руководства определяется обоими этими критериями. Всего мы получаем 81 позицию (9х9), т. е. 81 вариант стиля управления. Безусловно, нельзя четко определить, к какому именно квадранту матрицы относится данный конкретный вид руководства. Блейк и Мутон описали пять крайних и наиболее характерных позиций матрицы.
1.1. страх перед бедностью (примитивное руководство).
Эта позиция характеризует такой тип руководителя, который достаточно холодно относится как к своим подчиненным, так и к самому процессу производства. Как правило, такого управляющего нельзя назвать лидером. Он скорее просто «хранитель своего портфеля и кресла». Но такое положение вещей не может сохраняться долго. Рано или поздно самые серьезные трудности заставят либо пересмотреть стиль руководства, либо сменить самого руководителя.
1.9. дом отдыха (социальное руководство). Руководитель сосредоточивается на хороших, теплых человеческих взаимоотношениях, но мало заботится об эффективности выполнения заданий. Эта позиция характеризует руководителей, которые уделяют особое внимание нуждам и потребностям своих подчиненных, чего нельзя сказать о процессе производства.
9.1. авторитет подчинение. Руководитель очень заботится об эффективности выполняемой работы, но обращает мало внимания на моральный настрой подчиненных. Эта позиция характерна для менеджеров, которые во главу угла ставят заботу о производстве и практически не осуществляют никакой социальной деятельности.
5.5. организация (производственно-социальное управление). Руководитель, находящийся на этом поле примерно поровну делит свои «привязанности» между людьми и организационно-техническими факторами производства. Он твердо стоит на ногах во всех сферах управленческой деятельности, однако не хватает звезд с неба.
9.9. команда. Благодаря усиленному вниманию к подчиненным и эффективности, руководитель добивается того, что подчиненные сознательно приобщаются к целям организации. Это обеспечивает и высокий моральный настрой, и высокую производительность. Эта позиция характеризует такой тип руководителя, который одинаково бережно относится как к людям, так и к возглавляемому им производству. Причем наилучшим способом увеличения производительности, повышения качества выпускаемой продукции и услуг они считают активное вовлечение подчиненных в процесс принятия решений.
Блейк и Мутон исходили из того, что самым эффективным стилем руководства оптимальным стилем было поведение руководителя в позиции 9.9. Матрица стилей руководства несомненно является наиболее популярным подходом к изучению стилей руководства. Он является не только удачной комбинацией других исследований на эту тему, но также дает руководителям особую возможность оценить свою позицию и попытаться начать движение в сторону усовершенствования стиля управления.7
ГЛава 2 Исследование влияния выраженности лидерских качеств на выбор стиля руководства организацией
Профессионально важные качества руководителя – это личностные характеристики, обеспечивающие максимальную эффективность и успешность руководителя в сфере управленческой деятельности. Проблема определения универсального набора профессионально важных качеств и требований, которым должен соответствовать современный руководитель любого управленческого ранга, является весьма актуальной, так как ее исследование позволяет значительно повысить эффективность диагностики и прогнозирования оптимальной структуры личности руководителя.
В настоящее время проблема изучения лидерских качеств вызывает не только научный, но и практический интерес. С целью оценки профессионально важных качеств руководителей используются разные методы, в частности экзамен, экспертные оценки, психологическое тестирование, инструментальные измерения. На практике, с целью выявления индивидуально-психологические и личностные особенности претендента, наиболее часто применяется психологическое тестирование.
Организация исследования.
В практической части данной курсовой работы для исследования влияния выраженности лидерских качеств на выбор стиля руководства организацией рассматривается ООО «Алюр» компания «Ваш компьютер».
Миссией предприятия является реализация компьютерной техники и комплектующих, периферийных устройств и расходных материалов к ним, а также оказание услуг по обслуживанию и ремонту персональных компьютеров.
Для нормального функционирования предприятия проводится анализ его деятельности, в зависимости от постоянно меняющейся конъюнктуры рынка. Это позволяет сделать компанию устойчивой, прибыльной и конкурентоспособной, а также обеспечить ее дальнейшее развитие. Организация имеет хорошую прибыль, которая является не только финансовым результатом, но и основным финансовым ресурсом.
Для всесторонней оценки эффективности деятельности компании используются различные показатели: товарооборот, прибыль, рентабельность, издержки обращения и производства и др.
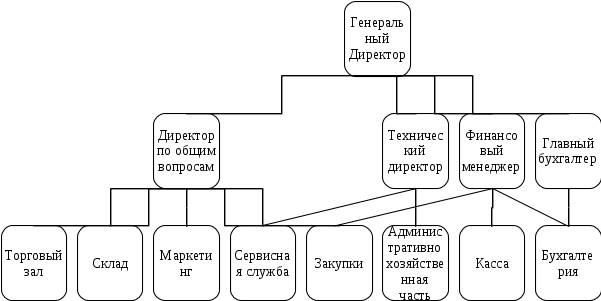
Организационная структура данного предприятия линейно-функциональная рис.7 Она имеет ряд достоинств: высокая надежность и гарантия исполнения, т.к. осуществляется одновременный контроль со стороны нескольких руководящих лиц.
Децентрализация управления в рамках линейно-функциональной структуры приводит к тому, что разделение прав и ответственности дробится между разными органами, руководящими техническими работами, закупкой сырья и материалов, производством, сбытом и т. д. Наиболее типичен такой процесс для предприятий, где устойчиво выпускается большое количество однородных продуктов. Одним из условий децентрализации структуры может служить ситуация, когда рынок представляет собой единое целое и отличается высокой степенью концентрации потребления.
Рис 7 Организационная структура ООО «Алюр» компания «Ваш компьютер»


При данной организации существует непосредственная связь, исключающая вышестоящее руководство, между подразделениями. Например, отдел маркетинга может напрямую взаимодействовать с отделом закупок, разрабатывая определенные маркетинговые программы.
При такой структуре управления у каждого функционального подразделения существует свой руководитель.
Компетентный менеджер способен организовать эффективную деятельность формальных групп и управлять ею. Неформальный лидер может создать и управлять неформальной группой. И только формальный лидер, владеющий искусством эффективного лидерства, может оптимально управлять как формальными, так и неформальными группами.
2.2 Стиль управления, используемый на предприятии.
Для определения стиля руководства, применяемого директором на предприятии воспользуемся концепцией Блэйка и Мутона.
Из опроса работников можно сделать следующие выводы: руководитель уделяет много внимания сплочению коллектива путем организации отдыха и корпоративных культурных мероприятий. При этом организационно-технические условия не остаются в стороне. Однако большее внимание уделяется организационным условиям, таким как проведению собраний коллектива, тренингов, семинаров.
Директор внимательно выслушивает мнение каждого работника относительно поставленного вопроса, и только после этого принимает оптимальное управленческое решение.
Пользуясь «управленческой решеткой» из этого следует, что стиль руководства генерального директора относится к типу 5.5 организация (производственно-социальное управление).
Руководитель достигает приемлемого качества выполнения заданий, находя баланс эффективности и хорошего морального настроя. Эта позиция характеризует тот тип руководителя, который умело сочетает заботу о людях с заботой о производстве. Такой руководитель считает, что компромисс во всех случаях — лучшее решение, он есть основа для эффективного управления. Решения должны приниматься руководителем, но обязательно обсуждаться и корректироваться с подчиненными. Положительными чертами руководителей такого типа являются, постоянство, заинтересованность в успехе начинаний, нестандартность мышления, прогрессивные взгляды. Однако, к сожалению, прогрессивность взглядов мало распространяется непосредственно на сам стиль управления, что не способствует развитию и движению вперед всего производства. Конкурентоспособность фирм с таким стилем управления иногда оставляет желать лучшего. Как, впрочем, и некоторые стороны внутренней жизни коллектива.
2.3 Исследование лидерских качеств и анализ результатов.
Существует несколько способов выявления лидерских способностей. Это тестирование и другие психологические методы, особенно широко применяемые к молодым претендентам на руководящие должности, а также изучение биографии и трудового стажа, подбор уже как-то проявивших себя людей и т.д.
Для определения, является ли генеральный директор организации лидером, или он имеет это звание только формально, было проведено тестирование «Администратор или лидер?» (Приложение 1) В тесте представлено 20 высказываний. Необходимо тщательно их продумать и выразить степень согласия с каждым из них по одиннадцати балльной шкале. (0,1,2,3,4,5,6.7,8,9,0). 10 здесь означает полное согласие с высказыванием, 0 – полное несогласие, 5 – согласие наполовину. Остальные степени согласия располагаются по восходящей.8
Результаты теста следующие. По шкале лидерства генеральный директор набрал 73 балла, по шкале администратора – 42 балла. Это значит, что примерно на 63,5% он лидер и на 36,5% администратор. Налицо преобладание лидерских качеств директора перед административными.
По способности контролировать ситуацию, распоряжаться временем и управлять собственным стрессом различают 2 типа руководителей:
1 тип: Человек-иголка
Характерным для этого руководителя является то, что его мысли и поступки определяются частными мероприятиями и мелкими задачами (иголками), которые сыплются на него. Планы, совещания, поездки часто меняются из-за того, что внезапно возникают другие срочные дела. Компетенция и эффективность сотрудников оцениваются сиюминутно, исходя из того, решены ли данным руководителем мелкие задачи в тот момент, когда о них спрашивают. Вклад сотрудников большей частью используется для того, чтобы участвовать в решении «горящих» задач начальника.
2 тип: Человек-ветвь
Этот тип руководителя выделят время для решения важных задач, направленных на достижение главных целей. Мелкие дела выполняются в «окне» между большими делами. Совещания и поездки меняются редко. Руководитель четко представляет ключевые области своей деятельности. Руководитель и подчиненные одинаково оценивают степень важности задач и дел.
В данном случае по результатам собеседования с сотрудниками отдела и самим руководителем, можно сделать вывод о том, что он относится к типу «Человек-иголка». Конечно, это в большой степени обусловлено недостатками планирования на более высоком уровне иерархии, но, тем не менее, необходимо дать несколько рекомендаций.
Руководитель должен стремиться к тому, чтобы внешние обстоятельства и внезапно возникшие дела не управляли им, он должен понимать, какое значение его собственное планирование имеет для возможностей сотрудников в реализации их планов.
Так же, был проведено тестирование для определения уровня лидерских способностей руководителей по методике «Лидер» (приложение 2) . В тесте было предложено 50 вопросов, к каждому из которых было дано два варианта ответа. Тестируемый должен выбрать одни из вариантов и пометит его на бланке ключа.
При ответе на вопрос тестируемый получает балл только за вариант («а» или «б») в левой колонке.
Степень выраженности лидерства:
до 25 баллов – лидерство выражено слабо.
26-35 баллов – средняя выраженность лидерства.
36-40 баллов – лидерство выражено в сильной степени.
свыше 40 баллов – склонность к диктату.9
Руководитель набрал 32 балла, что говорит о средней выраженности его лидерских способностей.
Он работает в хорошей организации, но все же нельзя забывать о том, что для стабильного успеха ему нужно постоянно совершенствовать методы руководства и деятельности подчиненных, развивать собственную компетентность, самоконтроль и самокритичность; поощрять творческую атмосферу и командный дух в организации.
Для более успешной работы предприятия и сплочения коллектива генеральному директору необходимо развивать лидерство. Развитие лидерства — целенаправленное формирование и углубление соответствующих качеств и навыков. Данный аспект проблемы управления лидерством в организации учитывает возможности в большей или меньшей степени формировать и развивать лидерские способности путем обучения и самообучения, мотивирования, тренингов и практического опыта. Для развития лидерства используется ряд процедур, теоретическим обоснованием которых в той или иной мере являются рассмотренные ранее теории лидерства. Их использование помогает «стать лидером», обрести признание группы, коллектива. Эти процедуры таковы.
выработка личной мотивированности, устойчивого желания быть лидером, уверенности в себе, готовности принимать решения и брать на себя ответственность, последовательности и упорства в реализации общих целей, сознания собственной силы, веры в достижение цели, энтузиазма и т.п.;
развитие индивидуальных интеллектуальных и нравственных лидерских качеств;
обеспечение социальной компетентности лидера и его доброжелательности в отношениях с членами группы полагает культуру общения, умение ясно и четко выражать мысли, корректно выслушивать сотрудников, делать замечания, давать советы, внимательность, уважение достоинства других людей, умение понимать их, проникаться их заботами и проблемами, оказывать им поддержку и т.п.;
приобретения умения и навыков быстро и правильно оценивать ситуацию, знать и учитывать особенности, интересы, запросы и ожидания всех членов группы. Не менее важна для лидерства и правильная оценка ситуации, своих сил и возможностей группы. Без этого успех групповой деятельности не достижим. Повторяющиеся неудачи обычно ведут к утрате веры в лидера.
Лидеров можно найти на всех уровнях деловой активности, а не только на самом верхнем.
Исследование лидерских качеств и стилей руководства также проводилось среди 10 менеджеров ООО «Алюр» компания «Ваш компьютер», которые занимаются сбытом готовой продукции, маркетингом, работой с персоналом, закупкой продукции, финансами ит.д. Средний возраст опрошенных 30-45 лет. Опрос проводился на бланковой основе. Исследованию подверглись лидерские качества и стиль руководства.
Определение степени выраженности лидерских качеств определялось по методике «Лидер» (Приложение 2) . Эта методика предназначена для того, чтобы оценить способности человека быть лидером. В данной методике испытуемый отвечает на 50 вопросов, и по его ответам на эти вопросы делается вывод о том, обладает ли он персональными психологическими качествами, необходимыми лидеру. Из двух предложенных вариантов ответа на каждый вопрос необходимо выбрать и отметить только один. Результаты опроса приведены в табл. 5
Определение стиля руководства определялось по методике «Стили руководства» (Приложение 3). Эта методика предназначена для того, чтобы определить какой стиль руководства выбрал менеджер в своей управленческой деятельности. В данной методике испытуемый отвечает на 40 вопросов, и по его ответам на эти вопросы определяется стиль руководства. Результаты опроса приведены в табл. 6
Таблица 5 Результат опороса на определение степени выраженности лидерских качеств.
|
№ опрошенного |
Степень выраженности лидерских качеств |
|
1 |
Данный человек как лидер склонен к диктату |
|
2 |
Лидерские качества выражены сильно |
|
3 |
Лидерские качества выражены средне |
|
4 |
Лидерские качества выражены средне |
|
5 |
Лидерские качества выражены средне |
|
6 |
Лидерские качества выражены слабо |
|
7 |
Лидерские качества выражены сильно |
|
8 |
Лидерские качества выражены сильно |
|
9 |
Данный человек как лидер склонен к диктату |
|
10 |
Лидерские качества выражены сильно |
Обобщённые результаты этого опроса можно отобразить в столбчатой диаграмме.
Диаграмма 1 Степень выраженности лидерских качеств

Таблица 6 Результат опроса на определение стиля руководства
|
№ опрошенного |
Стиль руководства |
|
1 |
Авторитарный стиль руководства |
|
2 |
Авторитарный стиль руководства |
|
3 |
Либо стиль руководства не выработан, либо склонность к непоследовательному стилю |
|
4 |
Авторитарный стиль руководства |
|
5 |
Либерально попустительский |
|
6 |
Либерально попустительский |
|
7 |
Авторитарный стиль руководства |
|
8 |
Авторитарный стиль руководства |
|
9 |
Авторитарный стиль руководства |
|
10 |
Авторитарный стиль руководства |
Обобщённые результаты этого опроса можно отобразить в столбчатой диаграмме.
Диаграмма 2 Стили руководства

На основе проведённого исследования прослеживается зависимость. Авторитарный стиль управления преобладает у тех опрошенных, у которых наиболее выражены лидерские качества. Эту зависимость можно отразить в столбчатой диаграмме.
Диаграмма 3 Взаимосвязь стиля руководства от уровня выраженности лидерских качеств.

Проводимое исследование выявило, что чем выше выраженность лидерских качеств, тем больше менеджеры склоняются к авторитарному стилю управления.
Положительная сторона такого стиля руководства это большая производительность труда, дисциплинированность, системность и четкость исполнения поставленных задач. Однако этому противостоят такие минусы как, отсутствие инициативы, напряженная обстановка в группах, страх перед наказанием, препятствие осуществлению каких-либо творческих идей.
Выраженность управленческих качеств в большей степени проявляется среди снабженцев. Это, по всей видимости, связано с тем, что таким людям в стандартных, типовых ситуациях, в большей степени необходимо умение использовать накопленный (самим или другими людьми) управленческий опыт для решения текущих задач.
Однако подчиненные всегда желают видеть в руководителе не только начальника или лишенного эмоций и переживаний сухого технократа, но и человека, обладающего лучшими нравственными качествами, заботящегося не только об эффективности организации и о себе лично, но и о сотрудниках
Каждый тип подчиненного требует от лидера специфического подхода для максимально эффективного использования индивидуального потенциала любого сотрудника. Следует смотреть на эту проблему ситуационно, так как в небольших организациях к каждому работнику должен быть индивидуальный подход, с отдельными работниками нужно вести себя в духе автократа, а с некоторыми лучше быть демократичным, или даже либеральным.
Итак, можно сделать вывод, что в исследуемой организации существует смесь двух разных стилей управления. Демократический стиль осуществляется генеральным директором, а руководители функциональных подразделений склоняются к авторитарному руководству.
Но нужно отметить, что руководители, которые хотят работать как можно более эффективно, получить всё, что можно от подчинённых, не должны применять какой-то один стиль руководства на протяжении всей своей карьеры. Скорее руководителю следует научиться пользоваться всеми стилями, методами и типами влияния, наиболее подходящими для конкретной ситуации.
глава 3 Новое в теориях лидерства
Потребность в разработке новых подходов к изучению лидерства была вызвана не только неспособностью вышерассмотренных теорий определить и измерить лидерство и его управленческую эффективность, но ещё тем, что традиционные и ситуационные подходы делали односторонний упор либо на черты и поведение лидера, либо на ситуацию, в которой он выбирал нужный ему стиль. Поэтому появившиеся в последнее время теории лидерства пытаются соединить эти две хорошо изученные стороны вместе, провести ситуационный анализ эффективного лидерства как совокупности лидерских черт и их проявления в поведении.
3.1 Концепция атрибутивного лидерства (причинно-следственный подход к изучению лидерства)
Данная концепция опирается на теорию атрибуции, объясняющую причинно-следственную связь между тем, что произошло, и тем, что люди считают причиной происшедшего. Атрибутивный подход к лидерству исходит из того, что выводы лидера в равной мере, как и поведение последователей, обусловлено реакцией лидера на поведение последних. Наблюдая за работой подчиненных, лидер получает информацию о том, как она выполняется. В зависимости от этого он делает свои выводы о поведении каждого из работников и выбирает стиль своего поведения таким образом, чтобы адекватно реагировать на поведение подчиненного. Например, если лидер приписывает плохие результаты работы подчиненного его лености, то за этим может последовать выговор. Если же лидер считает, что виной являются внешние по отношению к подчиненному факторы, например резко возросший объем работы, то лидер постарается решить проблему по-другому.
Определение лидером причин поведения подчиненного базируется на трех составляющих: личность, сама работа, организационное окружение или обстоятельства.
В поиске причин лидер пытается получить три различных вида информации о поведении подчиненного, степень отличия, последовательность и степень уникальности. Первое связано с желанием руководителя понять связь между поведением и работой с той точки зрения, насколько данное поведение можно приписать отличительным особенностям задания. Во-вторых, лидера интересует то, насколько подчиненный последователен в проявлений данного поведения или как часто такое поведение у него проявляется. И наконец, лидер учитывает, насколько другие подчиненные ведут себя таким же образом. ТО есть, является ли данное поведение уникальным, характерным для одного подчиненного или наблюдается у многих.
На описанный выше процесс определения лидером причин случившегося влияют атрибутивные регуляторы или помехи, искажающие его восприятие и заставляющие лидера быть непоследовательным в своем поведении. Чем больше поведение подчиненного видится лидеру, как результат его личностных характеристик «внутренние причины», тем больше лидер возлагает на подчиненного ответственности за результаты. В этом случае отдельные черты личности подчиненного становятся атрибутивными помехами.
Изображенная на Рис 9 (Приложение 5) модель атрибутивного лидерства имеет существенные отличия от раннее рассмотренных традиционных моделей, являющихся излишне описательными и, главное, не отвечающих на вопрос, почему.
В модели имеются две важные связки. Первая связка отражает стремление лидера определить причины плохой работы. Этот поиск регулируется тремя типами информации о поведении подчиненного: отличительные особенности, последовательность и степень уникальности. Вторая связка отражает ответное лидерское поведение, являющееся следствием того, что, по мнению лидера, является причиной плохой работы. Взаимосвязь между установленными лидером причинами результатов работы и его последующим поведением определяется тем, кто, по мнению лидера должен нести ответственность за происшедшее. Если лидер считает что причины носят внутренний характер, то ответственность, по его мнению должен, нести подчиненный, и к нему принимаются соответствующие меры.
Приводимые ниже результаты исследований по данной модели представляют большой практический интерес:
подчиненные склонны видеть причины их плохой работы вне, а руководители - в подчиненных;
руководители, склонные отдавать предпочтение внутренним причинам при объяснении плохой работы подчиненных, обычно проявляют большую пунктуальность и направляют свое воздействие непосредственно на подчиненных;
плохая работа подчиненного в прошлом, согласно всем трем типам информации, скорее всего приведет к выявлению руководителем внутренних причин;
серьезность сложившейся ситуации приводит руководителя скорее всего к выявлению внутренних причин и к высокой степени пунктуальности в ответных мерах;
уклонение «с объяснением» подчиненного от ответственности или его извинения за случившееся делает руководителя менее суровым и пунктуальным в ответном поведении;
неизменный уровень выполнения работы переключает внимание руководителя с причин, связанных со способностями подчиненного, на причины, имеющие отношение к количеству прилагаемых усилий.
Последующие исследования показали, что в рамках данной модели скорее всего происходит не воздействие лидера на поведение подчиненного, а взаимодействие между лидером и подчиненным, то есть подчиненный своей реакцией на меры руководителя оказывает влияние на последующее поведение последнего.
3.2 Концепция харизматического лидерства.
Имеются две противоположные позиции формирования имиджа лидера. Одна отрицает вообще какое-либо влияние лидера на организационную эффективность, а другая - ведет к лидерской харизме и попытке последователей приписать лидеру почти магические, а в отдельных случаях божественные качества.
Харизма является формой влияния на других посредством личностной привлекательности, вызывающей поддержку и признание лидерства, что обеспечивает ее обладателю власть над последователями. Как источник лидерской власти харизма относится к власти примера, связанной со способностью руководителя влиять на подчиненных в силу своих личных качеств и стиля руководства. Многие считают, что получение харизмы связано со способностью лидера находить своих обожателей и почитателей и даже менять их состав в зависимости от ситуации. Другие определяют харизму как набор специфических лидерских качеств. Последнее легло в основу рассматриваемой ниже концепции харизматического лидерства, являющейся, по сути, продолжением концепции атрибутивного лидерства и строящейся на комбинации качеств и поведения лидера.
Харизматическим считается тот лидер, который в силу своих личностных качеств способен оказывать глубокое воздействие на последователей. Лидеры этого типа испытывают высокую потребность во власти, имеют сильную потребность в деятельности и убеждены в моральной правоте того, во что они верят. Потребность во власти мотивирует их в стремлении стать лидерами.
Исследования свидетельствуют, что у харизмы есть негативная сторона, связанная с узурпацией личной власти или полным фокусом лидера на самого себя, и позитивная - связанная с упором на разделяемую власть и тенденцией к делегированию части ее последователям табл. 5 (Приложение 4). В целом харизматическому лидеру приписывают наличие уверенности в себе, высокой чувствительности к внешнему окружению, видения решения проблемы за пределами статус-кво, умения свести это видение до уровня, понятного последователям и побуждающего их к действиям ; неординарного поведения в реализации своего видения.
Модели харизматического лидерства различаются количеством стадий развития самой харизмы и отношений с последователями. Считается, что вначале необходимо развить чувствительность к обнаружению проблемы, на которую можно было бы обрушиться с критикой. Затем необходимо развить в себе видение идеализированных путей решения этой проблемы. В видение должно быть включено что-то новое, ранее ни кем не предлагавшееся и относительно которого кажется, что оно может немедленно продвинуть решение проблемы.
Следующий шаг связан со способностью лидера передать значение своего видения посредством межличностной коммуникации «публикации, речь, жесты, позы и т.п.» последователям таким образом, чтобы это произвело на них сильное впечатление и стимулировало к действиям. Далее лидеру для сплочения последователей вокруг себя важно развить отношения доверия с ними, проявляя такие качества, как знание дела, умение добиваться успеха, принятия на себя риска и совершение неординарных действий или поступков. На заключительном этапе лидер обязан продемонстрировать способность к реализации своего видения через делегирование полномочий последователям. Это возможно сделать, ставя последователям напряженные и значимые задачи, привлекая их к участию в управлении, ослабляя бюрократические путы, вознаграждая их за результаты соответствующим образом.
Для бизнеса важность харизматического лидерства возрастает по мере необходимости проведения в организации радикальных изменений в связи с критичностью ситуации. Однако в этих обстоятельствах возникает другая концепция лидерства: концепция лидера - преобразователя или лидера реформатора 10
3.3 Преобразующее лидерство или лидерство для изменений.
Понятие преобразующего или реформаторского лидерства имеет много общего с харизматическим лидерством, но трактуется существенно рис 8. (Приложение 4) Лидер-реформатор мотивирует последователей путем повышения уровня их сознательности в восприятии важности и ценности поставленной цели, предоставление им возможности совместить свои личные интересы с общей целью, создания атмосферы доверительности и убеждения последователей в необходимости саморазвития.
Модель преобразующего или реформаторского лидерства предполагает наличие у лидера и последователей определенного поведения, пригодного, по мнению разработчиков модели, для творческого решения проблемы в кризисной ситуации.
Модель имеет ряд отличительных моментов. Во-первых, признается необходимым для лидера влиять на последователей через привлечение их к участию в управлении, быть самому частью группы \ организации, а не «стоять над ней», с энтузиазмом поддерживать совместные усилия. От последователей требуется не слепое следование за лидером, а критическая оценка предоставляемых возможностей и осознанный подход к своим действиям, уменьшение влияние эмоций и увеличение значимости рациональности в поведении. Во-вторых, поскольку атмосфера доверия развивает сильную взаимозависимость между лидером и последователями, то возникает серьезная опасность того, что руководитель окружит себя соглашателями, либо же наоборот, руководитель пойдет на поводу у подчиненных. Эти два традиционных подхода не пригодны для лидера-преобразователя.
Заключение
Сделаем выводы по курсовой работе.
Проблема лидерства и руководства в менеджменте изучена теоретически и практически: рассмотрены понятия и сущность лидерства, определить лидерские способности руководителя организации, и даны рекомендации по изменению стиля его руководства, поведения.
Лидерство это способность влиять на индивидуумов и группы людей, чтобы побудить их работать для достижения целей. Человеческий фактор на любом предприятии, находящемся в любом состоянии, играет решающую роль. Поэтому желательно, чтобы руководитель организации сочетал в себе не только административные, но и лидерские качества, умел находить подход к своим подчиненным.
Существует несколько подходов к теории лидерства. Согласно личностной теории лидерства, лучшие из руководителей обладают определенным набором общих для всех личных качеств. Развивая эту мысль, можно утверждать, что если бы эти качества могли быть выявлены, люди могли бы научиться воспитывать их в себе и тем самым становиться эффективными руководителями. Некоторые из этих изученных черт это уровень интеллекта и знания, впечатляющая внешность, честность, здравый смысл, инициативность, социальное и экономическое образование и высокая степень уверенности в себе.
Поведенческий подход создал основу для классификации стилей руководства или стилей поведения.
Ни подход с позиций личных качеств, ни поведенческий подход не смогли выявить логического соотношения между личными качествами или поведением руководителя, с одной стороны, и эффективностью, с другой. Это не означает, что личные качества и поведение не имеют значения для руководства. Наоборот, они являются существенными компонентами успеха. Однако более поздние исследования показали, что в эффективности руководства решающую роль могут сыграть дополнительные факторы. Эти ситуационные факторы включают потребности и личные качества подчиненных, характер задания, требования и воздействия среды, а также имеющуюся у руководителя информацию.
Новые подходы концентрируют свое внимание на способности лидера создать новое видение решения проблемы и, используя свою харизму, передать ее значение последователям таким образом, чтобы это вдохновило и вызвало у них энтузиазм к осуществлению действий по достижению целей.
Для грамотного руководства современному менеджеру важно исходить из системного мышления в вопросах управления организацией и людьми в ней.
Благодаря проведенному тестированию руководителя организации выяснили, что тестируемый обладает лидерскими качествами в большей мере, чем административными, при чем лидерские способности у него на среднем уровне. Это является оптимальным для данного рода организаций, тем не мене, несколько рекомендаций все же было дано. Эти рекомендации носят корректирующий характер и не призывают кардинально менять стиль поведения, руководства. Руководитель должен стремиться к тому, чтобы внешние обстоятельства и внезапно возникшие дела не управляли им, он должен понимать, какое значение его собственное планирование имеет для возможностей сотрудников в реализации их планов.
Также было определено что выраженность лидерских качеств влияет на стиль управления предприятием. Проведенное исследование доказало, что чем сильнее выраженность лидерских качеств, тем больше руководитель склоняется к авторитарному стилю руководства.
Однако совершенно очевидно, что ни авторитарного ни демократического стиля управления персоналом в крайних своих проявлениях найти весьма трудно. Стили руководства могут быть смешанными и зависеть от ситуации, т.е. адаптивными. Это приносит больший результат, нежели приверженность только одному стилю.
Тем не менее в целом можно сказать, что основной упор в руководстве должен делаться на социально-психологические, экономические методы руководства и на демократичный стиль управления. Командный метод не подходит, т.к. по моему мнению, нельзя заставить, чтобы новые идеи, нестандартные подходы к решению проблем рождались по указке, только потому, что так хочет начальник.
Опираясь на демократический стиль, необходимо максимально предоставить свободу сотрудникам в выполнении поставленных перед ними задач. Одновременно необходимо определить контрольные точки для проверки, а возможно и корректировки хода выполнения задания, т.к. пользуясь чрезмерной свободой и даже попустительским стилем руководства подчиненные, не понимая конечной цели, могут решать поставленные задачи не в том направлении.
Список используемой литературы
Блейк Р.Р, Мутон Дж.С., «Научные методы управления», Киев, 1990
Веснин В.Р. Менеджмент для всех. - М.: Знание, 1994.
Виханский О.С., Наумов А.И. Менеджмент: Учебник, 3-е изд. – М. Гардарика, 1998
Герчикова И.Н. Менеджмент. М. Издательское объединение "Юнити ", 1994.
Грачев М.В. Суперкадры: управление персоналом в международной корпорации. – М.: Дело, 1998.
Кричевский Р. Л. Если Вы руководитель… Элементы психологии менеджмента в повседневной работе. М. 1993.
Ладанов И.Д. Практический Менеджмент М. 1995.
Лэнд П.Э. Менеджмент - искусство управлять. М., 1995.
Мескон М., Альберт М., Хедоури Ф. Основы менеджмента. М. изд. «Дело», 1998.
Психологические тесты.- М.: Эксмо, 2004.
Русинов Ф. М., Разу М. Л. «Менеджмент», М. 1999.
Трейси Д. Менеджмент с точки зрения здравого смысла. "Автор" 1993.
Ципкин Ю.А.. Управление персоналом. М. Изд. «Юнити» - 2001.
Якокка Л. Карьера менеджера. М., 1995.
Приложение 1
Тестирование «Администратор или лидер?».
Тщательно продумав нижеследующие высказывания, постарайтесь определить по одиннадцати балльной шкале (0, 1, 2, 3, 4, 5, 6, 7 8, 9, 10) степень вашего согласия с каждым из них. Зафиксируйте результаты ваших размышлений в соответствующих текстовых полях. Имейте в виду, что 10 здесь означает полное согласие с высказыванием, 0 - полное несогласие, 5 - согласие наполовину. Остальные степени согласия располагаются по восходящей от 0 до 5 и от 5 до 10.
1) Я доверяю людям.
2) Я считаю, что о решении своих социально-бытовых проблем люди должны заботиться сами, а не их руководители.
3) Я за то, чтобы члены трудовых коллективов сами выбирали себе руководителей.
4) Когда это необходимо, я умею заставить людей "крутиться".
5) Люди хорошо знают, что я умею хранить доверяемые мне их личные тайны.
6) Все люди хотят одного - власти; я не исключение.
7) Я склонен и готов вступиться за членов коллектива всякий раз, когда с ними обходятся несправедливо.
8) Думаю, что в интересах дела людям выгодней иметь руководителем человека непреклонного и жестокого (безжалостного).
9) Я за полную гласность.
10) Согласен с тем, что основное для достижения успеха в управлении - умение любыми средствами принудить людей выполнять полезную работу.
11) Я могу ладить (срабатываться) даже с теми людьми, которые мне не по душе.
12) Я отдаю команды, распоряжения, приказы, указания всем подчиненным в одинаковой форме.
13) Я склонен и способен использовать в интересах дела мнения, противоположные моей собственной точке зрения.
14) Мое глубокое убеждение состоит в том, что преуспевающим может быть лишь тот руководитель, которого боятся.
15) Мне кажется, что я хорошо знаю общие нужды и проблемы своего коллектива.
16) Мне легче руководить людьми, когда я знаю то, что они не хотели бы афишировать.
17) Я лично заинтересован в том, чтобы общие проблемы и трудности членов того коллектива, в котором я работаю, разрешились.
18) Я уверен, что боязнь наказания - более сильный стимул для любого работника, чем ожидание поощрения.
19) Я чувствую в себе способности и готовность практически действовать для решения общих для коллектива проблем.
20) Когда надо, я умею поставить себя так, что люди соглашаются со мной из опасения "нарваться на неприятности".
Приложение 2
Отвечая на вопросы за согласие ставьте - (а), за не согласие ставьте - (б).
Вопросы:
Часто ли вы бываете в центре внимания окружающих?
Считаете ли вы, что многие из окружающих вас людей занимают более высокое положение по службе?
Находясь на собрании людей, равных вам по служебному положению, испытываете ли вы желания не высказывать своё мнения, даже когда это необходимо?
Когда вы были ребёнком, нравилось ли вам быть лидером среди сверстников?
Испытываете ли вы удовольствие, когда вам удаётся убедить кого-то в чём-то?
Случается ли, что вас называют нерешительным человеком?
Согласны ли вы с утверждением: «Всё самое полезное в мире есть результат деятельности небольшого числа выдающихся людей»?
Испытываете ли вы настоятельную необходимость в советчике, который мог бы направить вашу профессиональную активность?
Теряли ли вы иногда хладнокровие в разговоре с людьми?
Доставляет ли вам удовольствие видеть, что окружающие побаиваются вас?
Стараетесь ли вы занимать за столом (на собрании, в компании и т. п.) такое место, которое позволяло бы вам быть в центре внимания и контролировать ситуацию?
Считаете ли вы, что производите на людей внушительное (импозантное) впечатление?
читаете ли вы себя мечтателем?
Теряетесь ли вы, если люди, окружающие вас, выражают несогласие с вами?
Случалось ли вам по личной инициативе заниматься организацией рабочих, спортивных и других команд и коллективов?
Если то, что вы наметили, не дало ожидаемых результатов, то вы:
а) будете рады, если ответственность за это дело возложат, но кого-нибуть другого;
б) возьмёте на себя ответственность, и сами доведёте дело до конца.
17. Какое из этих двух мнений вам ближе:
а) настоящий руководитель должен уметь сам делать то дело, которым он руководит, и лично участвовать в нём;
б) настоящий руководитель должен только уметь руководить другими и не обязательно делать это сам.
18. С кем вы предпочитаете работать?
а) с покорными людьми,
б) с независимыми и самостоятельными людьми.
19. Стараетесь ли вы избегать острых дискуссий?
20. Когда вы были ребёнком, часто ли вы сталкивались с властностью вашего отца?
21. Умеете ли вы в дискуссии на профессиональную тему привлечь на свою сторону тех, кто раньше был с вами не согласен?
22. Представьте себе такую сцену: во время прогулки с друзьями по лесу вы потеряли дорогу. Приближается вечер, и нужно принимать решение. Как вы поступите?
а) дадите возможность принять решение самому компетентному из вас;
б) просто не будете ничего делать, рассчитывая на других.
23.Есть такая пословица: Лучше быть первым в деревне, чем последним в городе». Справедлива ли она?
24. Считаете ли вы себя человеком, оказывающим влияние на других?
25. Может ли неудача в проявлении инициативы заставить вас больше никогда этого не делать?
26. Кто, с вашей точки зрения истинный лидер?
а) самый компетентный человек;
б) тот, у кого самый сильный характер.
27. Всегда ли вы стараетесь понять и по достоинству оценить людей.
28. Уважаете ли вы дисциплину?
29. Какой из следующих руководителей для вас предпочтительнее?
а) тот, который всё решает сам;
б) тот, который всегда советует и прислушивается к мнениям других.
30. Какой из следующих стилей руководства, по вашему мнению, наилучший для работы учреждения того типа, в котором мы работаем?
а) коллегиальный,
б) авторитарный.
31. Часто ли у вас создаётся впечатление, что другие злоупотребляют вами?
32. какой из следующих двух «портретов» больше напоминает вас?
а) человек с громким голосом, выразительными жестами, за словом в карман не полезет;
б) человек со спокойным, тихим голосом, сдержанный, задумчивый.
33. Как вы поведёте себя на собрании и совещании, если считаете, ваше мнение единственно правильным, но остальные с ни мне согласны?
а) промолчу,
б) буду отстаивать своё мнение.
34. Подчиняете ли вы свои интересы и поведение других делу, которым занимаетесь.
35. Возникает ли у вас чувство тревоги, если на вас возложена ответственность за какое-либо важное дело?
36. Что бы вы предпочли?
а) работать под руководством хорошего человека;
б) Работать самостоятельно без руководителя.
37. Как вы относитесь к утверждению: «Для того чтобы семейная жизнь была хорошей, необходимо, чтобы решение в семье принимал один из супругов»?
38. Случалось ли вам покупать что-либо под влиянием мнения других людей, а, не исходя из собственной потребности?
39. Считаете ли вы свои организаторские способности хорошими?
40. Как вы ведёте себя столкнувшись с трудностями?
а) у меня опускаются руки;
б) у мене появляется сильное желание их преодолеть.
41. Делаете ли упрёки людям, если они этого заслуживают?
42. Считаете ли вы, что ваша нервная система способна выдержать нервные нагрузки?
43. Как вы поступите, если вам предложат произвести реорганизацию вашего учреждения?
а) введу нужные изменения немедленно;
б) не буду, торопится и сначала всё тщательно обдумаю
44. Сумеете ли вы прервать слишком болтливого собеседника, если это необходимо?
45. Согласны ли вы с утверждением; «Для того, чтобы быть счастливым, надо жить незаметно»?
46. Считаете ли вы что каждый человек должен сделать, что либо выдающееся?
47. Кем вы предпочли бы стать?
а) художником, поэтом, композитором, учёным;
б) выдающимся руководителем, политическим деятелем.
48. Какую музыку вам приятнее слушать?
а) могучую и торжественною,
б) тихую и лирическую.
49. Испытываете ли вы волнение, ожидая встречи с важными и известными людьми?
50. Часто ли вы встречали людей с более сильной волей, чем ваша?
Приложение 3
Отвечая на вопросы, оцените в баллах степень своего согласия; 1-нет, так совсем не бывает 2-нет, как правило, так не бывает 3-неопределённая оценка
4-да, как правило, так бывает 5-да, так бывает всегда
Вопросы:
Я давал бы подчинённым нужные поручения даже в том случае, если есть опасность, что при их выполнении будут критиковать меня.
У меня всегда много идей и планов.
Я прислушиваюсь к замечаниям других.
Мне в основном удаётся привести логически правильные аргументы при обсуждении.
Я настраиваю сотрудников на то чтобы, они решали свои задачи самостоятельно
Если меня критикуют, то я защищаюсь несмотря ни на что.
Когда другие приводят свои доводы, я всегда прислушиваюсь.
Для того чтобы провести какое-то мероприятие, мне приходится строить планы заранее.
Свои ошибки я по большей части признаю.
Я предлагаю альтернативы к предложениям других.
Защищаю тех, у кого трудности.
высказываю свои мысли с максимальной убедительностью.
Мой энтузиазм заразителен.
Я принимаю во внимание точку зрения других.
Обычно я настаиваю на своей точке зрения и гипотезах.
Я с пониманием выслушиваю и агрессивно высказываемые аргументы.
Я ясно выражаю свои мысли.
Я всегда признаюсь в том, что не всё знаю.
Энергично высказываю свои взгляды.
Я стараюсь развивать чужие мысли так, как будто они были моими.
Всегда продумываю то, что могли бы ответить другие, и ищу контр аргументы.
Я помогаю другим советом, как организовать свой труд.
увлекаясь своими проектами, я обычно не беспокоюсь о чужих работах.
я прислушиваюсь и к тем, кто имеет точку зрения, отличающуюся от моей собственной.
Если кто-то не согласен с моим проектом, то я не сдаюсь, а ищу новые пути, как переубедить другого.
Использую все средства, чтобы заставить согласится со мной.
Открыто говорю о своих надеждах, опасениях и личных трудностях.
Я всегда нахожу, как облегчить другим поддержку моих проектов.
Я понимаю чувства других людей.
Я больше говорю о собственных мыслях, чем выслушиваю чужие.
Прежде чем защищаться, я всегда выслушиваю критику.
Излагаю свои мысли системно.
Я помогаю другим получить слово.
Внимательно слежу за противоречиями в чужих спорах.
Я меняю точку зрения для того, чтобы показать другим, что слежу за ходом их мыслей.
Как правило, я некого не перебиваю.
Не притворяюсь, что уверен в своей точке зрения.
Я трачу много энергии на то, чтобы убедить других, как им нужно правильно поступать.
Выступаю эмоционально, чтобы вдохновить людей на работу.
Стремлюсь, чтобы при подведении итогов были активны и те, которые очень редко просят слова.
Приложение 4
Таблица 4
|
Поведение руководителя, классифицированное по структуре и вниманию к подчинённым. |
|
|
Структура. |
Внимание к подчинённым. |
|
Распределяет производственные роли между подчинёнными. Расписывает задание и объясняет требования к их выполнению. Планирует и составляет графики работ. Разрабатывает подходы к выполнению работ. Передаёт своё беспокойство о выполнении задания. |
Участвует в двустороннем общении. Допускает участие подчинённых в принятии решений. Общается в одобрительной и не угрожающей манере. Даёт возможность людям удовлетворить свои потребности, связанные с работой. |
Таблица 5 Этика и харизма
|
Неэтический харизматический лидер |
Этический харизматический лидер |
|||
|
Использует власть только в личных интересах |
Использует власть в интересах других |
|||
|
Продвигает только своё личное видение |
Строит своё видение в соответствии с нуждами и стремлениями последователей |
|||
|
Пресекает критику в свой адрес |
Считается с критикой и извлекает из неё уроки |
|||
|
Требует беспрекословного выполнения своих решений |
Стимулирует у последователей творческий подход к делу и своим взглядам |
|||
|
Коммуницирует только в одном направлении: от себя вниз |
Поощряет открытую и двустороннюю коммуникацию |
|||
|
Нечуствителен к потребностям и нуждам последователей |
Научает, развивает и поддерживает последователей, делит свою славу с другими |
|||
|
Полагается на удобные внешние моральные стандарты для удовлетворения своих интересов |
Полагается на внутренние моральные стандарты для удовлетворения организационных и общественных интересов |
|||
|
Высокая
Низкая |
Низкая степень структурирования Высокая степень внимания к подчиненным |
Высокая степень структурирования Высокая степень внимания к подчиненным |
||
|
Низкая степень Структурирования Низкая степень Внимания к подчиненным |
Высокая степень СтруктурированияНизкая степень Внимания к подчиненным |
|||
|
Низкая Высокая |
||||
Структурирование |
Рис 6 Комбинации размерностей стилей руководства по классификации Университета Огайо.
Долгосрочные (изменение поведения)
-
ЦЕЛИ ПОСЛЕДОВАТЕЛЕЙ

ЛИДЕР
С ПОЛОЖИТЕЛЬНОЙ
ХАРИЗМОЙ
ЛИДЕР-
ПРЕОБРАЗОВАТЕЛЬ,
РЕФОРМАТОР
Краткосрочные (изменение среды)

ЛИДЕР
С ОТРИЦАТЕЛЬНОЙ
ХАРИЗМОЙ
ТРАДИЦИОННЫЙ
ЛИДЕР
ХАРАКТЕР ОТНОШЕНИЙ «лидер-подчиненный»
Чувственный
(люблю, ненавижу)
Сознательный (уважаю, рассчитываю)


Рис 8 Типы лидерства в зависимости от целей последователей и характера их отношений с лидером.
Приложение 5
-
Информация
о поведении
подчинённого
Отличительные особенности
Последовательность
Степень уникальности
Восприятия
лидера
в отношении
ответственности
за ситуацию


Показатели
плохой работы
Неприятие результатов
Много отходов
Брак
Непомерно высокая стоимость
Приписывание причин плохой работы
Внутренние
Недостаточные усилия
Низкая ответственность
Недостаточные способности
Внешние
Плохое оборудование
Мало времени
Перегруженность в работе
Ответное
поведение
лидера
Выговор
Перевод на другую работу
Понижение в должности
Перепроектирование работы
Личное внимание
Повышение квалификации


Св.1
Св.2
Рис 9 Модель атрибутивного лидерства.
1 Виханский О.С., Наумов А.И. Менеджмент: Учебник, 3-е изд. – М. Гардарика, 1998 с 367
2 Кричевский Р. Л. Если Вы руководитель… Элементы психологии менеджмента в повседневной работе. М. 1993. с 56
3 Герчикова И.Н. Менеджмент. М-1994. Издательское объединение "Юнити с.72
4 Веснин В.Р. Менеджмент для всех. - М.: Знание, 1994. с.112
5 Грачев М.В. Суперкадры: управление персоналом в международной корпорации. – М.: Дело, 1993.с 69
6 Веснин В. Основы менеджмента. М., 1996 с.275
7 Блейк Р.Р, Мутон Дж.С., «Научные методы управления», Киев, 1990; с 42
8 Психологические тесты.- М.: Эксмо, 2004.
9 Психологические тесты.- М.: Эксмо, 2004.
10 Виханский О.С., Наумов А.И. Менеджмент: Учебник, 3-е изд. – М. Гардарика, 1998; с.410
