Методы изучения трудовых процессов работающих и нормирования труда
Министерство образования и науки Украины
Харьковский Национальный Экономический Университет
Кафедра: управление персоналом
Курсовая работа
По курсу: «Нормирование труда»
На тему: «Методы изучения трудовых процессов работающих и нормирования труда»
м. Мариуполь
Введение
Целесообразность и эффективность любого общественного труда и общественного производства обеспечивается в первую очередь его рациональной организацией.
Рациональная организация труда прежде всего требует четко определенных расходов всех видов ресурсов, которые тратятся в производстве: живого труда, сырья, энергии, финансов, и тому подобное. Первым шагом на пути оптимизации расходования производственных ресурсов является нормирование труда. Следовательно, речь идет о том, что существует объективная необходимость определения конкретного количества живого труда для обеспечения высокой эффективности производства.
Во всех направлениях производственной деятельности существует необходимость определения расходов ресурсов: нормативы использования сырья, топлива, материалов, инструментов, оборотных средств. Но важнейшим вопросом является установление меры труда, необходимого для выполнения определенного объема работ. Это можно объяснить особенностью «человеческого фактора» в отличие от других.
Живой труд, труд рабочих, которые используют другие виды ресурсов, должен быть определен особенно точно и обоснованно. Поскольку любой процесс труда происходит во времени, то универсальной мерой количества живого труда является рабочее время.
Однако нужно иметь в виду, что не всякое рабочее время отражает общественно необходимые затраты на выполнение конкретной работы. Если на производстве отсутствует надлежащая организация труда, не применяются прогрессивные технологические процессы, передовые технологии, если сами рабочие не работают на высоком профессиональном уровне, то достичь общественно необходимых затрат труда невозможно, а следовательно, и надеяться на достижение успеха в рыночной экономике напрасно.
Таким образом, сущность нормирования труда заключается в установлении необходимых затрат живого труда на выполнение определенной работы при нормальной организации и интенсивности труда.
Чтобы понять значение нормирования труда, следует рассмотреть целый пакет вопросов.
Норма труда является тем первичным звеном организации труда и производства, от которой начинаются и на которой основываются все планово-экономические расчеты на предприятии. Иначе говоря, норма труда — это важнейшая экономическая и планово расчетная категория.
Раздел 1.Аналитическая часть
1.1 Сущность нормирования труда
Первой проблемой на пути к оптимизации расходования ресурсов является нормирование, то есть научное обоснованное определение количества ресурсов, объективно необходимых для эффективного предпринимательства.
Нормирование труда – это вид деятельности по управлению производством, связанный с определением необходимых затрат труда и его результатов, контролем за мерой труда.
Нормирование труда – составляющая организации труда и производства. Оно является важным звеном технологической и организационной подготовки производства, оперативного управления им, неотъемлемой частью менеджмента и социально – трудовых отношений.
Нормы труда являются основой системы планирования работы предприятия и его подразделов, организации оплаты труда персонала, учета затрат на продукцию, управление социально – трудовыми отношениями и тому подобное.
Нормы труда на предприятии могут использоваться для определения трудоемкости отдельных видов продукции и соответствующих затрат труда для выполнения производственной программы. Следовательно, нормирование труда является средством определения как меры труда для выполнения той или другой конкретной работы, так и меры вознаграждения за труд в зависимости от ее количества и качества.
Цель нормирования труда в новых условиях ведения хозяйства заключается в том, чтобы на основе роста технической вооруженности и усовершенствования организации производства и труда, улучшения ее условий, сократить затраты на выпуск продукции, повысить производительность, что, в свою очередь, будет способствовать расширению производства и росту реальных доходов работников.
1.2 Система норм и нормативов труда
Важность норм для стимулирования эффективной производственной деятельности выплывает из необходимости установления объемов ресурсов, необходимых для достижения заданных производственных результатов. Обоснованность объемов и состава ресурсов, которые имеет работник или производственный коллектив, является обязательным условием действенности системы стимулирования. Потому что все эти системы базируются на сопоставлении фактических расходов ресурсов с нормативными.
Сегодня предприятиями используется система норм труда, который отображает разные стороны трудовой деятельности. Наиболее распространено применяются нормы времени, выработки, обслуживания, численности, управляемости, нормируемые задания.
Норма времени определяет необходимые расходы времени одного работника (бригады, звенья) на выполнение единицы работы (продукции), измеряется в человеко-часах.
Норма выработки определяет количество единиц продукции, которые должны быть изготовлены рабочим (бригадой, звеном) за конкретный отрезок времени (час, изменение), определяется в натуральных измерителях продукции за единицу времени и выражает необходимый результат деятельности работников.
Норма обслуживания определяет необходимое количество единиц оборудования, рабочих мест, производственной площади и других производственных объектов, закрепленных за работником (бригадой, звеном).
Норма численности определяет численность работников, которая необходима для выполнения конкретного объема работы (работ) или для обслуживания одного или нескольких агрегатов.
Норма управляемости (числа подчиненных работников) определяет численность работников, которая должна быть подчинена одному руководителю.
Нормируемое задание определяет необходимый ассортимент или объем работ, которые могут быть выполнены одним работником (бригадой, звеном) за данный отрезок времени (изменение, сутки, месяц). Как и норма выработки отображает необходимый результат деятельности работников и может устанавливаться не только в натуральных единицах измерения, но и в нормо-годинах, нормо-гривнях. В этой связи, норма выработки может рассматриваться как частный случай нормируемого задания.
Все перечисленные нормы устанавливаются из необходимых расходов времени на осуществление элементов производственного процесса. Та работа из установления норм не сводится только к нормированию времени.
В целом нормирование труда – это вид деятельности из управления предприятием, направленный на установление необходимых расходов и результатов труда, а также необходимых соотношений между численностью работников разных групп и количеством единиц оборудования.
Перечисленные выше нормы труда (нормы времени, выработки, обслуживания, численности, управляемости, нормируемое задание) повсеместно используются в практической деятельности. Но они не исчерпывают относительных характеристик трудового процесса, объективно необходимых для этого процесса. В анализе таких характеристик в первую очередь выходят из оценки трудового процесса по его производительности (за соотношением между расходами и результатами труда).
Объективно существуют две формы расходов труда:
1. Расходы рабочего времени;
2. Расходы рабочей силы (физической и нервной энергии).
Соответственно с этим можно выделить нормы расходов рабочего времени и нормы расходов рабочей силы.
Норма расходов рабочего времени устанавливает время на выполнение единицы или конкретного объема работы одним или несколькими работниками. В зависимости от конкретных условий нормы расходов рабочего времени могут определять длительность работы, время на ее выполнение одним или несколькими работниками, численность работников. В соответствии с этим к нормам расходов рабочего времени относятся нормы длительности и трудоемкости работ (операций) и нормы численности. Нормы длительности и трудоемкости работ являются формами выражения норм времени.
Норма длительности определяет время, за которое может быть выполнена единица работы на единице оборудования или на одном рабочем месте. Это время включает длительность технологического влияния на предмет труда и размер объективно необходимых перерывов, которые приходятся в среднем на единицу работы. Норма длительности измеряется в единицах времени: минутах, часах.
На основании рассмотренных классификаций норм и нормативов между ними есть следующие отличия:
Таблица 1.1
Отличия норм от нормативов
|
Нормы |
Нормативы |
|
Строго определены значения факторов по размеру в условиях конкретного производственного процесса |
Установленные для множественного числа факторов |
|
Устанавливаются для конкретной работы |
Многоразово используются для установления разных норм на работы одного типа |
|
Пересматриваются каждый раз при изменении условий, для которых они были установлены |
Действуют длительное время, пока сохраняется как раз и а не другая зависимость |
1.3 Методы нормирования труда
В нормировании труду применяют аналитические и суммарные методы.
Аналитические методы предусматривают установление норм на основании анализа конкретного трудового процесса; проектирование рациональных режимов работы оборудования и способов труда работников; определение норм за элементами трудового процесса с учетом специфики конкретных рабочих мест и производственных подразделов.
Суммарные методы - установление норм без анализа конкретного трудового процесса, а на основе опыта нормировщика (опытный метод) или на основе статистических данных о выполнении аналогичных работ (статистический метод). Суммарные нормы не могут считаться достаточными для определения эффективного использования производственных ресурсов и должны заменяться нормами, установленными аналитическими методами.
В нормировании труду применяют аналитические и суммарные методы. Аналитические методы предусматривают установление норм на основании анализа конкретного трудового процесса; проектирование рациональных режимов работы оборудования и способов труда работников; определение норм за элементами трудового процесса с учетом специфики конкретных рабочих мест и производственных подразделов. За методикой получения выходных данных аналитические методы разделяются на аналитически расчетных и аналитически опытных. Если затраты времени на каждый элемент операции в целом определяются на основе нормативных материалов(научно обоснованных межотраслевых, отраслевых или местных нормативов), такой метод называется аналитически расчетным.
Суммарные методы - установление норм без анализа конкретного трудового процесса, а на основе опыта нормировщика или на основе статистических данных о выполнении аналогичных работ. Суммарные нормы не могут считаться достаточными для определения эффективного использования производственных ресурсов и должны заменяться нормами, установленными аналитическими методами.
На практике самый распространенный аналитически расчетный метод, поскольку его приложение менее трудоемко, дает возможность рассчитывать нормы еще до начала трудового процесса и способствует равнонапряженности норм.
Раздел 2.Проектная часть
2.1 Цели и задачи изучения трудовых процессов
Большинство задач, связанных с проектированием организации труда и ее нормирования, решаются исходя из информации, получаемой в результате исследований трудовых процессов.
Исследование трудового процесса допускает анализ всех его характеристик, влияющих на расходы труда и эффективность использования производственных ресурсов. Изучаются конструктивно технологические параметры оборудования, его соответствие продукции, которая изготовляется, эргономичные требования; профессионально квалификационные, психофизиологические и социальные характеристики работников; условия труда, употребляемая технология, организация рабочего места, его обслуживание. Исходя из целей исследования использования выбираются методы получения и обработки информации.
При организации труда наибольшее значение имеют два определения фактических расходов времени на выполнение элементов операций (трудовых движений, действий, приемов, и так далее); 2) установление структуры расходов времени в течение рабочей смены или ее части.
Определение длительности выполнения элементов операций необходимо для разработки нормативов времени, выбора самых рациональных методов труда, установления составных норм времени, анализа качества норм и нормативов. Данные о структуре расходов рабочего времени используются при разработке нормативов времени обслуживания рабочего места и подготовительно завершающего времени, оценке эффективности использования рабочего времени, анализе существующей организации труда и производства.
Исследование трудовых процессов должно проводиться с учетом того, что время, которое расходует на выполнение элемента операции или определенного вида работ, зависит от множества организационно- технических и психофизиологических факторов, которые обычно не поддаются полному контролю. В частности, измерение длительности одного и того же элемента операции в одних и тех же условиях дает ряд величин, в большинстве случаев не совпадающих друг с другом, то есть результаты данного измерения будут составлять вариационный ряд. Поэтому для получения достоверных выводов о длительности элементов операций и структуре расходов рабочего времени должны использоваться такие методы организации и обработки наблюдений, которые позволяют учитывать характер достоверности исследуемых процессов. Для получения необходимой информации с минимальными расходами весьма важно обоснование количества наблюдений.
Методы исследования трудовых процессов могут классифицироваться по: цели исследования, количества наблюдаемых объектов, способа проведения наблюдения, форме фиксации его данных и так далее
В соответствии с целью исследования выделяют следующие методы: хронометраж, фотография рабочего времени, хронометраж.
2.2 Методы изучения расходов рабочего времени
Анализ затрат рабочего времени базируется на материалах конкретных исследований (наблюдений), которые дают возможность получить объективную информацию об использовании рабочего времени. Систематическое тщательное изучение затрат рабочего времени на производстве способствует решению целого ряда заданий, которые стоят перед нормированием труда: получению достоверных сведений о фактических затратах рабочего времени; нагромождению первичной информации для последующей разработки нормативов и норм; изучению опыта передовых рабочих; выявлению причин невыполнения установленных норм; определению возможностей устранения потерь рабочего времени и тому подобное. Регулярные наблюдения рабочего времени дисциплинируют людей, помогают им совершенствовать организацию труда, применять рациональные приемы и методы труда, обогащать ее содержательность, что, в конечном итоге, способствует росту производительности труда.
Широкая разнообразность трудовых процессов, нестандартность целей, которые появляются перед исследователем (наблюдателем) рабочего времени требуют глубоких знаний методических основ изучения и анализа затрат труда на производстве. Большое внимание исследователя заслуживает правильный выбор объекта наблюдения, методов исследования, способов регистрации затрат времени, форм их записи и точности получаемой информации. Недостаточные знания методических основ анализа затрат рабочего времени, нехватку практического опыта нередко приводят к ошибочным результатам, бездоказательным выводам и оценкам эффективности использования живого труда, во времени.
Значительная часть спорных вопросов относительно объективности установления норм времени (выработке), необходимости их пересмотра, в ту или другую сторону могла быть снятой или вообще не возникла б, если бы специалисты службы нормирования труда имели оперативную и точную информацию о фактическом использовании переменного рабочего времени, причины избыточных перерывов, в работе, квалификацию исполнителей, условия их труда.
В теории и практике нормирования распространены два основных метода изучения затрат рабочего времени (рис.2.1): непосредственных измерений и наблюдений.
Метод непосредственных измерений заключается в том, что наблюдатель последовательно фиксирует тем или иным способом длительность разных элементов затрат рабочего времени. Преимуществом этого метода является достоверность и точность регистрации времени. Есть и недостатки: большая трудоемкость подготовки самого наблюдения и обработки его материалов, невозможность охватывания значительного количества рабочих мест одновременно.
Метод наблюдений основывается на использовании теории вероятности и таблиц случайных чисел, когда наблюдатель через неравные промежутки времени (моменты) фиксирует то, которое происходит на рабочих местах в избранной зоне наблюдения. При этом методе значительно растет количество наблюдаемых объектов (работников, станков, машин), улучшается оперативность получения нужной информации, обеспечивается достаточная точность результатов наблюдения.
Подготовка к наблюдению состоит из выборки объекта исследования и ознакомления с ним, планирование маршрута обхода наблюдателем зоны наблюдения, определения количества моментных наблюдений, предыдущего заполнения, специального бланка.
Необходимо количество моментных наблюдений определяется по формулам (таблицам, составленными на основании этих формул), выведенными с применением математической статистики.

Рис. 2.1. Классификационная схема методов изучения затрат рабочего времени
Для стабильного трудового процесса, присущего больше серийному и массовому типу производства, количество необходимых моментонаблюдений определяется за табличкой. 2.1. или за формулой:
,
где К — удельный вес затрат рабочего времени на непосредственное выполнение производственного задания (коэффициент загрузки рабочих);
Р — заданная или допустимая величина относительной погрешности результатов наблюдения (может колебаться в пределах 3—10%).
Для нестабильного трудового процесса число моментонаблюдений определяется за табличкой. 3.2 или за формулой:
.
Таблица 2.1
Количество моментонаблюдений для условий стабильного трудового процесса
|
Величина погрешности Р |
Количество моментонаблюдений М в зависимости от коэффициента загрузки рабочих К |
||||||||
|
0,1 |
0,2 |
0,3 |
0,4 |
0,5 |
0,6 |
0,7 |
0,8 |
0,9 |
|
|
3 4 5 6 8 10 |
20000 11250 7200 5000 2700 1800 |
8890 5000 3200 2220 1250 800 |
5180 2920 1870 1300 730 490 |
3330 1870 1200 830 470 300 |
2200 1250 800 550 310 200 |
1480 830 530 370 210 135 |
670 540 340 240 130 85 |
60 310 200 140 80 50 |
250 140 90 60 35 20 |
Таблица.2.2
Количество моментонаблюдений для условий нестабильного трудового процесса
|
Величина погрешности Р |
Количество моментонаблюдений М в зависимости от коэффициента загрузки рабочих К |
||||||||
|
0,1 |
0,2 |
0,3 |
0,4 |
0,5 |
0,6 |
0,7 |
0,8 |
0,9 |
|
|
3 4 5 6 8 10 |
30000 16850 10800 7500 4280 2700 |
13320 7500 4800 3330 1880 1200 |
7780 4380 2800 1940 1100 700 |
5000 2810 1800 1250 700 450 |
3300 1800 1200 830 470 300 |
2200 1150 800 560 310 200 |
1000 810 510 360 180 130 |
840 470 300 210 75 |
380 210 140 90 50 35 |
Что касается этапов проведения наблюдений, то их насчитывается четыре: подготовка к наблюдению, непосредственное наблюдение, обработка материалов и анализ результатов наблюдения. Целесообразно также внимательно ознакомиться с содержанием структурно логической блок-схемы 2.1, что ниже приведенная. Здесь нужно особенное внимание обратить на:
— цель наблюдения;
— причины, которые предопределяют выбор того или другого объекта исследования;
— точное определение количества объектов наблюдения;
— определение времени проведения наблюдений;
— ознакомление с особенностями организации труда на конкретном рабочем месте (участке);
— разъяснения цели и заданий наблюдений;
— заполнение лицевого стороны письма наблюдений (фотокарточки);
— точное определение количества объектов наблюдения;
— определение времени проведения наблюдений;
— ознакомление с особенностями организации труда на конкретном рабочем месте;
— разъяснение заданий и цели наблюдений, которые происходят;
— заполнение лицевого бока листа наблюдений (фотокарточки,).
Вполне естественно появляется вопрос: почему так важно сосредоточиться на первом этапе проведения наблюдений?
Структурно – логическая блок-схема 2.1
Основные способы изучения затрат рабочего времени и этапы их проведения
|
Этап |
Фотография рабочего времени |
Хронометраж |
|
|
Фотография методом непосредственных измерений |
Фотография методом моментных наблюдений |
||
|
Подготовка |
1. Выбор цели и объекта 2. Заполнение лицевого бока фотокарточки 3. Инструктаж |
1. Выбор цели и объекта 2. Заполнение лицевого бока фотокарточки 3. Инструктаж 4. Определение объема наблюдений |
1. Выбор цели, объекта, времени наблюдений (30 — 60 мн. после начала изменения, 1,5—2 год к окончанию) 2. Заполнение лицевого бока хронокарточки 3. Расчленение операции (фиксажные точки) 4. Количество наблюдений 5. Инструктаж |
|
Наблюдение |
Наблюдение: цифры, индексы, графики |
Форма записи |
Запись времени с точностью до 0,5 с Дефектные измерения |
|
Обработка |
1. Сводка одноименных затрат рабочего времени (фактический баланс рабочего времени) в минутах, процентах 2. Определение показателей, которые характеризуют фактический баланс рабочего времени (К1, К2, К3, К4) |
1. Сводка одноименных затрат рабочего времени в моментонаблюдений, процентах 2. Определение показателей, которые характеризуют фактический баланс рабочего времени (К1, К2, К3, К4) |
1. Определение длительности замеров 2. Стойкость хронорядов (факт) 3. Расчет средней длительности элементов операции и всей операции в целом |
|
Анализ |
1. Построение нормативного баланса 2. Возможен рост производительности труда (уплотнение рабочего времени) 3. Разработка мероприятий по ликвидации потерь рабочего времени 4. Расчет экономического эффекта |
1. Построение нормативного баланса 2. Возможен рост производительности труда (уплотнение рабочего времени) 3. Разработка мероприятий по ликвидации потерь рабочего времени 4. Расчет экономического эффекта |
1. Анализ затрат рабочего времени по элементам операции 2. Стойкость хронорядов (факт-норматив) 3. Режим работы 4. Проектирование рационального трудового процесса 5. Расчет нормы оперативного времени |
Ответ простой: потому что нужно получить действительные фактические затраты рабочего времени без их укрывательства, именно такие, которые имеют место в обусловленных организационно технических условиях производства и труда. Очень важно правильно выбрать объект наблюдения, который должен отвечать цели исследования. Одна вещь изучать как используют рабочее время высококвалифицированные рабочие и совсем другая — наблюдать затраты рабочего времени тех рабочих, которые не выполняют установленные нормы.
Пример 1
Средства оснастки рабочих мест механического цеха приведены в таблице 2.1. Они размещены не в соответствии с теоретическими положениями по рациональной организации планировочных решений. В результате чего станочник вынужден сделать ряд нерациональных перемещений при выполнении трудовых процессов и подготовке к ним изготовления продукции.
Таблица 2.1
Начальные данные о потерях рабочего времени при нерациональных планировочных решениях
|
Средства оснастки рабочего места |
Одноразовые потери рабочего времени (мин) |
Количество перемещений в изменение |
|
1. Вспомогательное оборудование |
6 |
7 |
|
2. Организационная оснастка - инструментальная тумбочка - подставка под детали - стеллаж |
0,4 0,6 0,9 |
11 10 8 |
|
3. Технологическая оснастка |
0,6 |
37 |
|
- набор инструментов |
||
|
4. Численность персонала у цеха, чел. |
123 |
|
|
5. Количество рабочих дней в году |
265 |
|
|
6. Год. объем производства, тыс. шт. |
120 |
|
|
7. Трудоемкость одной шт., нормо-ч. |
2,21 |
Примечание: Количество рабочих дней в году в году приведено с учетом работы цеха по субботним дням. Рабочие работают в две смены.
Следовательно, обнаружим расходы рабочего времени в год для рабочих всего цеха:

Дополнительное количество выработанной продукции составит:

Рост производительности в соответствии с полученными данными составит:

2.3 Роль хронометража для изучения приемов и методов труда и разработки нормативов времени
Хронометраж используется для анализа методов труда и определения длительности элементов операций, которые повторяются.
В основном хронометраж используется для определения элементов оперативного времени. Фотография рабочего места служит для установления структуры расходов рабочего времени по его разновидностям (оперативный, подготовительно итоговый, обслуживание) в течение рабочей смены или ее частей. Если объектом исследований при хронометраже является, как правило, только элементы оперативного времени, то ФРВ фиксирует все разновидности расходов рабочего времени и все разновидности перерывов. Фотохронометраж используется одновременно как для установления длительности элементов трудового процесса так и для структуры расходов рабочего времени. По количеству объектов, что наблюдаются отличают: индивидуальные наблюдения групповые наблюдения маршрутные наблюдения.
Индивидуальное наблюдение - наблюдение за 1 объектом (станком, рабочим...).
Групповое наблюдение - наблюдение за несколькими объектами: -бригадные наблюдения; - наблюдения за многостаночниками.
Маршрутные - это наблюдение за объектом, который перемещается, или за несколькими объектами, которые расположены далеко один от другого, и наблюдатель должен сам перемещаться по маршруту, чтобы проводить исследование.
Хронометраж выполняется в составе следующих этапов:
1. Выбор объектов для наблюдений.
2. Распределение операций на элементы.
3. Установление фиксажных пределов.
4. Определение количества наблюдений.
5. Проведение измерений длительности элементов операции.
6. Обработка результатов наблюдений.
7. Анализ результатов наблюдений и определения нормативного времени выполнения операции.
1 этап: Выбор объектов определяется в зависимости от цели проведения наблюдений.
Если цель - определение нормативов значений норм искусственного или искусственно - калькуляционного времени или уточнения этих значений, то объектами исследований будут рабочие или бригады, производительность труда которых (коэффициент выполнения норм) находится в пределах между значениями: средней производительности труда по цеху или участку и наивысшими достижениями передовых рабочих.
Если цель - изучение передового опыта, то наблюдение - бригады, которые владеют передовыми приемами выполнения трудовых процессов.
Если цель хронометража - нормативное время, то объекты типичные исполнители работ, и чтобы они работали в необходимом темпе работы. Также хронометраж проводится с целью выявления причин невыполнения отдельных норм.
2 этап: Распределение операций на элементы. При подготовке к хронометражу операцию, которая исследуется разделяют на элементы: какие комплексы приемов приемы действия комплекс трудовых движений. Степень распределения на элементы при хронометраже зависит от организационного типа производства. Чем высший организационный тип производства (массовый), тем на более мелкие элементы распределяется операция. 3 этап: Установление фиксажных пределов. После разделения операции на элементы устанавливают пределы каждого элемента – фиксажные пределы.
Фиксажные пределы – это разно определенные по звуковому и зрительному восприятию моменты начала и окончания элементов операции. Определяют начальную и конечную фиксажные пределы. Если хронометраж проводится по текущему времени, то для 1-го элемента устанавливается начальная и конечная фиксажная пределу, а для следующих – только конечные.
Пример 1. Необходимо определить, какое количество хронометражных намерений нужно осуществить, если нормативный коэффициент хроноряда составляет 1,8, процент возможной погрешности — 5%.
Решение: Воспользуемся формулой

2.4 Сущность хронометража и условия его использования.
Под хронометражем понимается наблюдение и измерение затрат рабочего времени на осуществление отдельных повторяемых элементов операции или ее в целом. Непосредственным его объектом является оперативное или подготовительно заключительное время на машинно-ручных работах. В результате можно сделать расчет средней длительности той или другой операции по формуле:
Средняя продолжительность операции =средняя продолжительность всех операций/количество операций
Знание средней длительности операции и ее отдельных элементов помогает совершенствовать их содержание и структуру, рационализировать затраты времени на них и устанавливать оптимальные нормы.
Хронометраж может использоваться с целью:
установление фактической длительности основных и вспомогательных элементов производственной операции;
выявление причин невыполнения норм времени (выработке), установленных расчетным путем;
выявление и изучение передовых приемов и методов труда для их следующего распространения;
получение выходных данных для разработки нормативов из труда;
установление новых или уточненных действующих норм затрат труда.
В зависимости от числа работников, работа которых изучается хронометражным способом, различают индивидуальный и групповой хронометраж.
Индивидуальный хронометраж позволяет изучать трудовые процессы (операции) обстоятельнее всего, с максимальной детализацией.
Преимуществом группового хронометража является то, что он позволяет рядом с изучением структуры и трудоемкости операции определить реальную меру участия в коллективном результате каждого из членов бригады или звена с целью более рационального деления функций и обязанностей.
2.5 Фотография рабочего дня, порядок проведения и прорабатывания данных, использования результатов фотографии рабочего дня для разработки мероприятий по углублению использования рабочего времени
Разнообразие трудовых процессов очень широкое. Значительным является и количество разновидностей фотографии рабочего времени, каждый из которых имеет свои отличительные особенности.
Правильный выбор нормировщиком (экономистом) того или того вида фотографии для конкретных условий производства делает возможным хорошее знание методики и техники наблюдений, определен производственный опыт.
1. Индивидуальная фотография обычно проводится методом непосредственных измерений во время выполнения рабочим производственного задания на индивидуальном рабочем месте. Чаще всего объектом наблюдения являются рабочие, которые не выполняют переменные задания (то есть выполняют менее как на 100%). Цель: обнаружить причины, которые мешают рабочему в течение изменения. Объектом наблюдения также могут быть и передовые рабочие. В этом случае цель исследования заключается в изучении передового опыта с тем, чтобы эффективнее использовать рабочее время. Наблюдение может вестись в течение целой рабочей смены или отдельной ее части.
На подготовительном этапе тот, кто будет проводить наблюдение, после выбора объекта наблюдения должен ознакомиться с технологическим процессом, организацией рабочего места, порядком его обслуживания, взаимосвязями рабочего места с окружением и тому подобное.
Если фотография делается с целью выявления расходов рабочего времени, то ее выполняют при существующей организации труды со всеми ее недостатками. Когда материалы фотографии нужны для разработки нормативов и норм времени, то на подготовительном этапе необходимо создать такую организацию труда, на который будут ориентированы эти нормативы и нормы.
К началу наблюдения на фотокарту заносятся все нужные исходные сведения: название цеха, участка, технологического процесса, фамилия и инициалы рабочего, его профессия и квалификационный разряд, дата наблюдения.
С момента начала наблюдения (это может быть начало рабочей смены) наблюдатель, пользуясь прибором регистрации времени (хронометром, часами), записывает на фотокарте последовательно все фактические затраты времени на наблюдаемом рабочем месте независимо от их целесообразности, одновременно фиксируя текущее время в соответствующей графе. Заказная точность записи текущего времени — ±0,5 мин. закругляет до одной целой минуты. В графе "Перекрываемое время" отражается порядковый номер того элемента операции, который перекрывает данный элемент, а также длительность перекрываемого времени. В табл. 4.1 в строке 7 текущее время, взятое в скобку, значит, что идет речь именно о перекрытом элементе. Запись в графе 6 показывает, что элемент 7 длительностью 8 мин. был перекрыт элементом 6. Перекрытое время не учитывается в общем балансе времени, потому в графе 7 делается прочерк.
По окончании наблюдения начинают обработку полученной информации. На фотокарте проставляют индексы всех зафиксированных затрат времени, определяют длительность каждого элемента.
На фотокарте текущее время в каждой строке означает окончание предыдущего элемента затрат времени и начало данного. Разница между значением текущего времени данной и предыдущей срок составляет длительность времени данного элемента операции или работы. Сумма длительности всех элементов должна равняться общей длительности всего наблюдения от начала до конца. Обеденный перерыв не является рабочим временами, потому ее длительность не учитывается при фотографии рабочего времени.
Анализ материалов фотографии начинается из составления сводки один именных затрат, фактического и нормативного балансов рабочего времени в минутах и процентах (табл.2.3.).
Как видно из таблицы 2.3, в течение наблюдения было сделано всего 35 записей о выполнении рабочим определенных действий или о перерывах в его работе по различным причинам. Нормативный баланс составлен на основании нормативных затрат времени Тпз, Тоб и Твоп, что отвечают конкретным условиям наблюдаемого трудового процесса.
Время непродуктивной работы Трн, перерывов, предопределенных недостатками в производстве Тпнт и нарушений трудовой дисциплины Тптд к|до| нормативному балансу не включается как таковой, что не является необходимым при хорошо организованном труде. Зато время на отдых и личные потребности Твоп должно вырасти к нормативному уровню, то есть на 23 мин. Нормативное оперативное время Топа увеличится за счет сокращения потерь на 73 мин. (4 + 8 + 12 + 43 + 29 - 23).
Таблица 2.3
Баланс рабочего времени по данным индивидуальной фотографии
|
Элементы затрат времени |
Индекс |
Количество измерений |
Фактический Баланс |
Нормативный баланс |
Отклонение (+; -) |
||
|
хв |
% |
хв |
% |
||||
|
Подготовительно завершающее время Оперативное время Время обслуживание Время непродуктивной работы Время перерывов, предопределенных недостатками в производстве Время перерывов, связанных с нарушением трудовой дисциплины Время на отдых и личные потребности Переменное изменяемое рабочее время |
Тпз Топ Тоб Трн Тпнт Тптд Твоп Тзм |
6 12 4 2 3 4 4 35 |
24 334 23 12 43 29 15 480 |
5.0 69,7 4,8 2,5 8,9 6,0 3,1 100 |
20 407 15 - - - 38 480 |
4,2 84,8 3,1 - - - 7,9 100 |
-4 +73 -8 -12 -43 -29 +23 - |
Процедура анализа использования рабочего времени предусматривает расчеты, по крайней мере, три относительных показателей (коэффициентов): эффективного использования переменного рабочего времени К1; нескрываемых (явных) потерь рабочего времени К2; скрытых потерь рабочего времени К3.
Коэффициент эффективного использования рабочего времени
К1= (Тпзн + Топф + Тобн + Твопн) : Тзм = (20 + 334 + 15+ + 38) : 480 = =407 : 480 = 0,848.
То есть переменное рабочее время по назначению использовано на 84,8%. Следовательно, потеряно рабочее время за изменение составлял 15,2% переменного фонда рабочего времени.
Коэффициент нескрываемых (явных) потерь рабочего времени
К2 =[(Трнф + Тпнтф + Тптдф) - (Твопн - Твопф)] : Тзм =[(12+ + 43 + 29) - (38 - -15)]: 480= (84 - 23) : 480 = 61 : 480 = 0,127.
Это значит, что явные потери рабочего времени составляют 12,7% общей длительности рабочей смены.
Коэффициент скрытых потерь рабочего времени
К3 = [(Тпзф – Тпзн) + (Тобф – Тобн) ] : Тзм = (4 + 8) : 480 = 12 : 480 = 0,025.
То есть скрыты потери рабочего времени незначительные, они составляют лишь 2,5% длительности рабочей смены.
Сумма трех коэффициентов (К1 + К2 + К3) должна равняться единице. Проверяем: 0,848 + 0,127 + 0,025 = 1,000.
Возможно уплотнение рабочего времени в результате устранения всех видов потерь (К4) можно рассчитать за такой формулой:

,
где показатели К2 и К3 выражаются в процентах.
Следовательно, каким же образом при потерях 15,2% переменного фонда времени можно плотнить рабочий день на 17,9%? Рабочий, потеряв 73 мин., потратил на выполнение переменного задания 407 мин. (480 — 73). За это время он выполнил 814 деталей операций (по 0,5 мин. на одну деталь). Увеличение времени оперативной работы на 73 мин. за счет устранения потерь позволит дополнительно обработать 146 деталей ( 73,0/0,5 = 146), что именно и равняется росту выработки на 17,9% (73/407*100= 17,9), или: (814+146/814*100-100=17,9).
Важно подчеркнуть, что рост выработки произойдет без повышения интенсивности труда, поскольку время выполнения каждой дополнительной деталей операции остается тем самым (0,5 мин.).
Таким образом, фотография рабочего времени позволяет обнаруживать имеющиеся потери, ничем не угрожая рабочему. Напротив, он заинтересован в том, чтобы при лучшей организации труда больше сделать полезной работы, итак иметь соответственно больший переменный заработок, поскольку расценка за каждую единицу работы не уменьшается.
На завершающем этапе анализа рабочего времени методом индивидуальной (да и всех других видов) фотографии составляют план мероприятий по улучшению организации труда, устранения причин потерь рабочего времени, с целью более производительного его использования.
2. Групповая фотография проводится тогда, когда есть потребность проанализировать использование рабочего времени группой рабочих, расположенных недалеко один от другого
3. Бригадная фотография применяется тогда, когда возникает необходимость анализа затрат времени бригадой, которая обслуживает коллективное рабочее место (поточную линию, сборочный конвейер, монтажный стенд, и тому подобное), то есть выполняет общее производственное задание.
Запись наблюдения удобнее всего вести индексно-графическим методом. После проведения бригадной фотографии рабочего времени складывается единственный фактический баланс на всю бригаду. Коэффициент загруженности работой вычисляется для каждого члена бригады отдельно. Тщательный анализ структуры затрат времени бригадой в целом и каждым ее членом даст ценную информацию для последующего усовершенствования организации коллективного труда.
4. Сама фотография — разновидность Индивидуальной фотографии, рассчитанная на то, что работник сам будет вести наблюдение за своей работой и фиксировать потери рабочего времени по различным причинам в первую очередь те, которые случаются не из его вины.
Этот достаточно эффективный метод наблюдения за трудовым процессом и выявления резервов экономии рабочего времени, связанных с качеством обслуживания, зародился еще в 1946 г. как своеобразное микросоциологическое обследование. Но достаточно быстро он был забыт из-за того, что администрация предприятий не была заинтересована в выявлении и использовании скрытых внутренних резервов.
Принимая во внимание эффективность самой фотографии как методу контроля снизу по качеству организации труда и производства, ее целесообразно проводить не менее как 2—3 разы в год на каждом рабочем месте. Последствиями каждого тура самой фотографии должны быть обобщение собранной информации, подробное обсуждение, разработка и реализация действенных мероприятий, по устранению причин потерь или непродуктивного использования рабочего времени.
5. Фотография рабочего дня многостаночника во многом похожа с групповой. Отличается тем, что одноименные затраты времени возводятся в двух вариантах: относительно к рабочему и к обслуживаемым им станкам, машинам, аппаратам. Материалы фотографии используются для обоснования нормы обслуживания многостаночника, определения длительности перерывов, в его работе и в работе оборудования.
6. Фотография производственного процесса применяется при условиях непрерывного аппаратурного производства. Наблюдение одновременно ведется за действиями оператора (аппаратчика), параметрами технологического процесса и выпуском готовой продукции. Впервые этот вид фотографии появился в 1934 г. под названием метода двусторонней фотографии.
Основное задание его заключается в установлении четкого взаимодействия людей и оборудования, разработке детальных профессиональных инструкций и карт организации труда.
Такой вид наблюдения нуждается в значительной специальной подготовке наблюдателя, который должен хорошо знать, в какой мере существующая организация труда отвечает проектной. Прорабатывание данных наблюдения ведется отдельно относительно к рабочему и оборудованию.
7. Маршрутная фотография применяется тогда, когда возникает потребность проанализировать загруженность рабочих, которые не имеют постоянных рабочих мест, а исполняют свои обязанности на передвижных рабочих местах (водители, машинисты кранов, трактористы, и тому подобное) или работают на достаточно развесистых зонах обслуживания (дежурный персонал слесарей, электриков, наладчики оборудования, уборщики, подсобные рабочие, и тому подобное).
Такой вид фотографии обычно выполняется двумя наблюдателями. Один находится в начале, а второй — в конце маршрута или зоны. Возможен и такой вариант, когда наблюдение ведет один человек, передвигаясь вместе с подвижным рабочим местом. Если наблюдатель один, он может, оставаясь на одном месте, фиксировать работу нескольких транспортных единиц, регистрируя их появление в одних и тех же пунктах, которые достали название фиксажных точек. Этот вид фотографии еще не приобрел широкого признания через недостаточное внимание к вспомогательному производству.
8. Целевая фотография — разновидность групповой фотографии. Применяется с целью решения узкого, конкретно целевого задания относительно оценки качества использования рабочего времени в течение определенной части рабочей смены или выполнения работниками конкретной производственной функции. Например, необходимо исследовать, как используется (за какими направлениями) рабочее время в первый или последний час изменения, какие величины потерь времени при получении инструментов, заготовок, чертежей, и тому подобное.
Проводится целевая фотография по большей части внезапно, без предупреждения соответствующих служб и людей с целью получения достоверной информации. Это действенное средство укрепления трудовой и исполнительской дисциплины, улучшения организации труда.
Описаны выше виды фотографии рабочего времени обычно осуществляются методом непосредственных измерений, фиксацией текущего времени с ограниченным количеством наблюдаемых объектов.
Если возникает потребность анализа загрузки оборудования или массовой фотографии с целью получения оперативной достоверной информации с привлечением к участию в этом процессе минимального количества наблюдателей, то больше всего оправдывает себя метод моментных наблюдений.
9. Фотография времени использования оборудования проводится 2—3 разы в год с целью определить степень загрузки оборудования во времени. Проходя за маршрутом, наблюдатель фиксирует лишь два события: "работает" или "не работает". В его задание также входит придерживаться методики наблюдения.
Использование метода моментных наблюдений позволяет незначительными силами квалифицированных специалистов наблюдать практически за всем станочным парком предприятия одновременно.
10. Массовая фотография рабочего времени применяется при одновременном обследовании большой совокупности работников методом моментных наблюдений. Распространенная на больших предприятиях, где достаточно подготовленных специалистов.
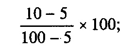
Пример 2. По данным фотографии рабочего времени «скрытые» потери составляют 16%, «нескрываемые» — 8%. На сколько процентов можно плотнить рабочий день, если ликвидировать потери соответственно на 30% и 50%?
Решение:
1. Рассчитываем новые значения К2 и К3 соответственно: 16% ? 0,7 = = 11,2% останется и 8% ? 0,5 = 4,0% останется.
Воспользуемся формулой

Следует заметить, что аналогичные расчеты при условии полной ликвидации потерь рабочего времени дадут возможность уплотнить рабочий день на 31,5% (100 (16 + 8) : (100 – (16 + 8))).
Раздел 3.Экономическая эффективность
При анализе использования рабочего времени необходимо сравнивать динамику часовая, дневная и годовая выработка рабочих. Если индекс дневной выработки меньше индекса часовой, то это является показателем увеличения внутренне переменных потерь рабочего времени, а превышение индекса годовой выработки над индексом дневной свидетельствует о росте числа явочных дней в году и на оборот. Сравнение динамики показателей часовой, дневной и годовой выработки рабочих позволяет сделать вывод об изменениях в использовании рабочего времени за отчетный период. Но этим методом можно получить только относительные показатели улучшения или ухудшения использования рабочего времени по сравнению с базисным периодом. Для выявления же резервов роста производительности труда за счет лучшего использования фонда рабочего времени необходимо знать абсолютные размеры потерь рабочего времени. Размер внутренне переменных потерь рабочего времени следует определять путем проведения фотографий рабочего дня, а также на основе изучения учетных материалов о простоях, доплатных листках, выписываемых за дополнительную работу при отступлении от нормальных условий технологического процесса, при переработке бракованной продукции и тому подобное Производительность труда растет прямо пропорциональная увеличению фонда рабочего времени в среднем на одного рабочего. Если потери рабочего времени составляли в базисном периоде n%, а в плановом намечены они сократить к т %,то производительность труда рабочего повысится на:

Расходы рабочего времени на каком-то участке производства составляют 15%, и есть возможность сократить их при осуществлении соответствующих мероприятий до 5%, тогда это повысит производительность труда на 11,8%:

Намечено сократить внутренне переменные потери с 10 до 5% рабочего времени, экономия в этом случае будет равняться 5.26:

Если данное мероприятие расширяется на 500 рабочих, то экономия численности составляет 26 чел. (500 х 5,26 : 100).
В ряде случаев эффективность мероприятий может быть незначительной. Тогда экономию рабочего времени следует вычислять в человеко-часах. Для определения экономии в численности рабочих нужно подытоживать экономию в часах по ряду мероприятий, а затем уже переводить в средне штатную численность рабочих по формуле:

где ФРВ — годовой фонд рабочего времени одного рабочего, ч;
Tсн — снижение трудоемкости в нормо-час;
К — коэффициент выполнения норм выработки.
Вывод
Таким образом нормирование труда — это основа ее организации на предприятии, это вид деятельности по управлению предприятием, направленный на установление оптимальных соотношений между расходами и результатами труда, а также между численностью работников разных групп и количеством единиц оборудования.
Основными объектами нормирования труда является рабочее время, объем работы, зона обслуживания, затраты энергии работников.
Рациональное использование рабочего времени на предприятии начинается с установления самых целесообразных режимов труда и отдыха. Различают переменный, суточный, недельный и месячный режимы. Для выявления резервов более рационального использования фонду рабочего времени работников проводится классификация видов затрат рабочего времени по таким направлениям:
а) время работы и время перерывов в работе;
б) нормируемое и ненормируемое рабочее время.
Коэффициент использования рабочего времени показывает уровень организации труда на предприятии и рассчитывается делением фактической продолжительности рабочего дня на нормальную.
Нормативные материалы (нормативы) — это комплекс справочной информации, необходимой для определения норм затрат труда для конкретных трудовых процессов аналитически расчетным методом. Они классифицируются за такими видами: нормативы режимов работы оборудования; нормативы времени; нормативы обслуживания; нормативы численности и нормативы подчиненности. Конкретные нормы труды для определенного трудового процесса определяются непосредственно на предприятии на основе одного или нескольких трудовых нормативов. По назначению различают нормы времени, выработки, обслуживания, численности, подчиненности, соотношение количества работников, нормируемые задания.
В практике нормирования труда пользуются опытно-статистическими и аналитическими методами. За методикой получения исходящих данных аналитические методы разделяются на аналитически-расчетные и аналитически опытные. На практике самый распространенный аналитически-расчетный метод, поскольку его приложение менее трудоемкое, дает возможность рассчитать нормы еще к началу трудового процесса и способствует равнонапряженности норм.
В рыночных условиях научно-обоснованное нормирование труда становится одним из самых действенных средств обеспечения конкурентоспособности предприятия, поскольку способствует сокращению затрат труда, экономии средств на оплату труда, а следовательно — снижении себестоимости продукции и повышению эффективности ведения хозяйства.
Литература
Абрамов В.М. и др. Нормирование труда: Учебник. /К.: ИСИО, 1995. -204 с. Генкин Б.М. Нормирование труда: Учебник. - Г.: Экономика, 1985. -212 с.
Задачник по научной организации и нормированию труда в ма-шиностроении. /Под ред. И.М. Разумова, С.В. Смирнова. - М: Машиностроение, 1984. - 224 с.
Научная организация и нормирование в машиностроение: Учебник. /Под ред. С.М. Семенова и Н.А. Сероштана. - Г.: Машиностроение, 1991.-212 с.
Нормирование труда. Учебно-методическое пособие для самостоятельной работы. - К.: КНЕУ, 2000. - 104 с.
Организация и нормирование труда. Учебн. пособие для вузов. -М.: Финстатинформ, 1999. - 302 с.
Справочник нормировщика. /Под ред. докт. экон. наук, проф. А. В. Ахумова. - Л.: Машиностроение, 1986. - 456 с.
Конспект лекцій з курсу "Нормування праці" для студентів спеціальності 8.050100 - "Управління персоналом і економіка праці " усіх форм навчання / Укл. Білоконенко В.І. – Харків: Вид. ХДЕУ,2004. - 144 с. (Укр. мов.)
8.Грішнова О.А. Економіка праці та соціально трудові відносини.: Підручник.--К.:Знання,2006р-553с.
9.Богиня Д.П. Грішнова О.Р. «Основи економіки праці», Навч.посіб.-2-ге вид.,стер. — К.: Знання – Пррес,2001-313с.