Организация труда и её формы
1. Организация труда и её формы
Сущность, цель и задание организации труда
Функционирование производства, производственных систем всех уровней реализуется организованным трудом людей. Сущность организации труда заключается в создании оптимального взаимодействия работающих людей, орудий и предметов труда на основе целесообразной организации рабочих систем (рабочих мест) с учетом производительности и потребностей человека. Организация труда направлена на создание самых благоприятных условий труда, сохранение и поддержку на высоком уровне работоспособности работников, повышения степени привлекательности их труда и достижения полного использования средств производства.
Другими словами, организация труда – совокупность технических, организационных, санитарно-гигиенических мероприятий, которые обеспечивают более эффективное использование рабочего времени, оборудования, производственных навыков и творческих способностей каждого члена коллектива, устранения тяжёлого ручного труда и осуществления благоприятных влияний на организм человека.
Цель организации труда состоит из двух взаимоувязанных частей: повысить доходность предприятия или коэффициент полезного действия рабочей системы, то есть производить большее количество продукции надлежащего качества при низких расходах; гуманизировать труд путем снижения высокой нагрузки на работников и повышения безопасности труда. В условиях рыночной экономики на всех уровнях управления можно выделить экономические и социально-психологические задания относительно улучшения организации труда.
Экономические задания предусматривают достижение максимальной экономии живого труда, повышение производительности, снижения расходов на производство продукции и предоставление услуг надлежащего качества.
Социально-психологические задания заключаются в создании благоприятных условий труда и повышении культурно-технического уровня работников для обеспечения высокой их работоспособности и удовольствия от работы до основных практических заданий организации труды принадлежат:
1) разработки и улучшения процессов, методов и условий труда;
2) проектирование и рационализация рабочих мест, машин, инструментов, вспомогательных средств, процессов обработки предметов труда с учетом характера трудовых процессов.
Объектами организации труда являются рабочие системы (рабочие места) или системы труда разной величины, иерархического уровня сложности.
На уровне рабочих мест предметом организации являются трудовые движения, действия, приемы (комплексы) и условия их эффективного осуществления. На уровне нескольких взаимосвязанных «организованных» рабочих мест (например, участки) предметом организации выступают процессы труда, которые связывают эту группу в единственный технологический (производственный) процесс. На уровне подразделений или предприятия в целом предметом являются производственные процессы (производства), где основной составляющей являются трудовые процессы. Организация труда непосредственно связана с рационализацией, также анализом себестоимости и стоимости процессов и изделий.
Организация труда предусматривает комплекс мероприятий, который охватывает: организацию трудовых процессов, рабочих мест и средств производства с ориентацией на критерии: количественный результат, качество, расходы, нагрузка на работающих, безопасность; Организацию процесса труда в пределах нескольких рабочих мест с ориентацией на критерии: время прохождения материала, использование средств труда; проектирование изделия по критериям: функция, продуктивность, форма.
Направления организации труда
Рыночная ситуация требует от предприятий осуществления постоянных технико-технологических нововведений, результативность которых зависит от уровня организации труда работников. Основными направлениями повышения уровня организации труда и ее эффективности являются:
• распределение и кооперация труда, которые заключаются научно в обоснованном распределении работников по определенным трудовым функциям, рабочим местам, а также объединение их в производственные коллективы;
• организация и обслуживание рабочих мест, которые способствуют рациональному использованию рабочего времени;
• нормирование труда, что предусматривает определение норм трудовых затрат на производство продукции и предоставления услуг как основу для организации труда и определения эффективности производства;
• организация подбора персонала и его развитие, которые охватывают планирование, профориентацию, профотбор, наем персонала, повышение его квалификации, планирование карьеры и тому подобное;
• оптимизация режимов труда и отдыха, которые предусматривают установление самого рационального дежурства времени работы и отдыха на протяжении рабочей смены, недели, месяца. Отдых, его содержание и длительность должны максимально способствовать достижению высокой работоспособности на протяжении рабочего времени;
• рационализация трудовых процессов, приемов и методов труда на основе обобщения прогрессивного опыта. Рациональным считается такой способ работы, который обеспечивает минимальные затраты времени;
• улучшение условий труда, что приводит к минимизации вредности производства, тяжелых физических, психологических нагрузок, а также формирования системы охраны и безопасности труда;
• укрепление дисциплины труда, повышения творческой активности работников;
• мотивация и оплата труда.
Организация труда на предприятиях, в отдельных отраслях производства осуществляется в конкретных формах, разнообразие которых зависит от таких основных факторов: уровня научно-технического прогресса; системы организации производства; психологических особенностей людей; экологического состояния среды; а также от ряда факторов, обусловленных характером заданий, которые решаются в разных звеньях производственной системы.
Деление труда.
Обособление отдельных производственных процессов и работ предусматривает деление труда. Под внутренне производственным делением труда понимают отделение разных видов работ, которые представляют собой частичные процессы создания продукции и закрепления их за рабочими местами, участками производственного процесса.
Цель деления труда – выпуск в установленные сроки высококачественной продукции с минимальными затратами труда и материальных ресурсов.
Есть такие формы деления труда на предприятия: операционная, функциональная, технологическая, профессионально-квалификационная.
Кооперация труда – это объединение исполнителей для скоординированного участия в одном или разных, но связанных между собой процессах труда. Исходя из конкретных организационно-технических условий и особенностей производства, на предприятии используются такие основные формы кооперации труда: межцеховая, внутренне цеховая и внутренне участковая.
Границы деления и коопераций труда. Большое значение для организации трудовых процессов имеет установление рациональных границ деления и кооперации труда. У деления труда это: экономическая граница, в которой её предельно возможная величина увеличения совокупного фонда рабочего времени или производственного цикла; техническая граница, которая зависит от технических возможностей производства; физиологичная граница, связанная с допустимыми физическими и психическими нагрузками на рабочего; социальная граница, которую определяет минимально необходимое разнообразие выполняемых функций, которые обеспечивают содержательность и привлекательность труда. Кооперация труда зависит, главным образом, от организационных и экономических границ.
Организационные формы труда
Рациональное внутрипроизводственное деление труда предусматривает соблюдение таких обязательных условий:
• обеспечение использования трудового потенциала работников;
• расширение трудового профиля и рост квалификации;
• устранение однообразия труда и повышения ее содержательности.
Эффективность осуществления производственных процессов, использование средств труда, расходы на изготовление продукции и ее качество в значительной мере зависят от выбора той или другой формы организации труда: совмещения профессий (функций), многостаночного обслуживания, коллективного (бригадной) труда. – это выполнение одним работником разнообразных функций или работ при овладении несколькими профессиями или специальностями.
Совмещение профессий играет важную роль в обеспечении более рационального использования рабочего времени, более полной загрузки оборудования, эффективного использования кадров, повышении квалификации, а также является весомым фактором повышения эффективности труда без дополнительных трудовых ресурсов.
Среди эффективных форм организации труда, которые способствуют повышению производительности труда, важное место занимает многостаночное обслуживание.
Многостаночное обслуживание базируется на совмещении профессий и определении очередности выполнения ручных операций на нескольких единицах оборудования. Другими словами, один рабочий, или группа (бригада) исполнителей работает одновременно на нескольких станках (машинах, агрегатах), выполняя ручные приёмы на каждом из них во время автоматической работы всех других. В итоге несколько станков работают параллельно или параллельно-последовательно, при этом количество операторов будет меньше, чем количество единиц оборудования, что обслуживаются ими.
Расчет параметров многостаночного обслуживания
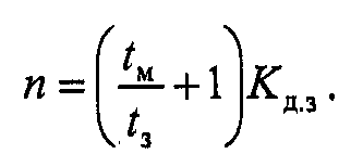
Количество станков (n), на которых может одновременно работать исполнитель, определяется за формулой:
,
где
tм – машинное время работы станка, мин;
tз – время занятости рабочего на станке, что обслуживается;
где
– общее время выполнения всех
ручных приемов на станке (установка,
снятие детали, включение агрегата,
подвод резца и т.д.) мин.;
– общее время активного контроля
рабочего-многоверстатника за работой
станков, мин.;
– время на переходы рабочего
между станками за установленным
маршрутом, мин.
Количество верстатов, что обслуживаются, определяется с учетом коэффициента занятости (Кз)
Да, при одинаковой длительности операций количество станков, что обслуживается, определяется по формуле:

При разной длительности операций, которые выполняются, количество станков, которое подлежит обслуживанию, определяется по формуле:
где
сумма машинного времени на всех
станках, которые обслуживаются, мин. В
случае получения в результате расчета
мелкого числа станков его округляют к
меньшему или большему целому. Если
принятое число (n) меньше расчетного
(nр),
то (n-1)
tз <tм. При
этом рабочий имеет свободное время
(простой) (tв.роб) в цикле обслуживания,
величина которого рассчитывается по
формуле:

Если принятое число (n) больше расчетного (nр), то (n-1) tз >tм. При этом рабочий не успевает за время цикла обслуживать все станки и они будут определенное время простаивать (tв.уст), величина которого рассчитывается за формулой:

Дальше вычисляют длительность цикла многостаночного обслуживания. Длительность цикла многостаночного обслуживания (tц) состоит из периода времени от начала операций с обслуживания первого за маршрутом станка к моменту возвращения рабочего к нему.

или
,
где
–
максимальная длительность одной
из операций, которые выполняются при
многостаночном обслуживании; с точки
зрения структуры затрат времени
Коэффициент загрузки оборудования рассчитывается за формулой:

Коэффициент загрузки рабочего-многостаночника определяется:

Выбор оптимального количества станков, что экономически целесообразно обслуживать, связанный со сравнением расходов на единицу оперативного времени работы станка при разных вариантах обслуживания станков. Расчет производится по критериям минимума расходов на единицу продукции с использованием формулы:

где С – коэффициент,
что показывает отношение расходов,
которые связаны с простаиванием
оборудования,
к расходам на содержание одного рабочего;
– среднее количество рабочих верстатов
на протяжении цикла обслуживания.
2. Система создания и освоения новой продукции
Жизненный цикл изделия и инновации
Большинство товаров, которые способны удовлетворить существующие потребности многих покупателей, с воплощением единого правильного решения, что выбрано из множества вариантов. Изменяемый уровень потребностей в любых изделиях обусловливает изменения объемов продажи и получения прибыли во времени. С точки зрения спроса товары и услуги имеют свой естественный жизненный цикл, который состоит из стадий (фаз): внедрение, рост, зрелость, насыщение, спад. Концепция жизненного цикла товара рассматривает динамику конкурентоспособного присутствия его на рынке. Относительно производства цикл жизни изделия охватывает период от зарождения, начала его промышленного освоения, наращивание выпуска, стабилизации, спада выпуска к полному прекращению изготовления. Таким образом, жизненный цикл изделия – это совокупность взаимосвязанных процессов создания и последовательно изменения его состояния от формирования выходящих рыночных требований к окончанию эксплуатации или потреблению.
Возрастающая конкуренция заставляет предприятия проводить активную товарную политику, что учитывает условия рыночной среды и технологического прогресса. Концепция жизненного цикла товаров наглядно показывает, что независимо от успеха на рынке любое изделие через определенное время неминуемо идет с рынка. Предприятия в связи с этим вынужденные постоянно осуществлять инновационную деятельность, вести комплекс работ с подготовки и выпуска новых изделий или предоставления новых видов услуг.
Конкуренция заставляет самостоятельные фирмы быть заинтересованными в обновлении продукции, что обусловливает необходимость рыночного отбора конкурирующих нововведений. Известно, что в основу экономической жизни положены инновационные процессы, их воплощение в новых продуктах и новой технике. Инновационный процесс представляет собой подготовку и осуществление конструктивных изменений и состоит из взаимосвязанных фаз, что создают единое, комплексное целое. Результатом такого процесса является изменение – инновация, которая реализована и использована. С наращиванием глобализации рынков товаров значительно повысились требования к продукции, что изготавливается в разных странах, со стороны потребителей и посредников, которые бы хотели быть уверенными в ее качестве. Вероятность того, что созданная продукция будет отвечать требованиям потребителя, возрастает, если на предприятии действует эффективная система обеспечения качества продукции или услуг. Эти обстоятельства обусловили включения к коммерческим контрактам на снабжение продукции рядом с традиционными показателями требований к системам качества и их проверки у поставщика. Такой подход заставляет рассматривать жизненный цикл изделия с позиции обеспечения его конкурентоспособности на 12 этапах, начиная с этапа маркетинга и заканчивая утилизацией.
Жизненный цикл изделия охватывает такие этапы: 1) маркетинг, поиски и изучение рынка (необходимо установить, какая продукция нужна потребителю, какого качества и по какой цене; 2) проектирование и (или) разработка технических требований, разработка изделия (конструкторская подготовка производства, конструктор устанавливает возможность изготовления продукции, материалы и ориентировочную цену); 3) материально-техническое обеспечение; 4) подготовка и разработка производственных процессов (технологическая подготовка производства); 5) производство; 6) контроль, проведения испытаний и обследования; 7) упаковка и сохранение; 8) реализация и распределение продукции; 9) монтаж и эксплуатация; 10) техническая помощь в обслуживании; 11) сервис после продажи; 12) утилизация после использования.
Новый товар может быть нововведением или модификацией существующего, что потребитель считает значительным. Преимущества нового товара определяются уникальными свойствами, что выделяют его среди аналогичных по предназначению изделий. Уникальность свойств товара характеризуется степенью воплощения в нем желаемых для потребителя функциональных параметров и качеством выполнения. Для коммерческого успеха нового товара важно, чтобы потребители своевременно имели информацию о его характеристиках. Для производителя имеет не меньше значение определения сроков начала модернизации или проектирования и освоение новых изделий. Ответ на эти вопросы зависит от уровня организации комплекса взаимосвязанных работ, которые охватывают весь цикл создания и освоения продукции.
Разработать и внедрить в производство новое изделие означает реализовать знание, новую идею в материальном продукте, который удовлетворяет определенные потребности потребителей. Материализация знаний, идей потребует значительных затрат времени и расходов финансовых ресурсов. Рыночная конкуренция инициирует увеличения уровня новизны продукции и частоты изменения ее моделей, что, в свою очередь, увеличивает потребность в инвестициях в проектирование и производство. Например, только расходы на изготовление нового изделия в первый год его выпуска превышают вдвое и больше затраты пятого года выпуска.
Поэтому важно обеспечить такой выбор оптимального периода изменения моделей изделий, чтобы суммарные расходы на разработку и внедрение в производство, а также расходы от морального сноса были минимальны, а уровень их экономической эффективности был максимальным. С позиции фактора времени, жизненный цикл продукции охватывает период от начала разработки новой продукции, дальнейшим ее освоением, изготовлением и снятием с производства.
Система комплексной подготовки производства
На машиностроительных предприятиях процессы создания и освоения производством новой продукции образуют систему комплексной подготовки производства, как неизвестной части процесса производства. Комплексная подготовка производства представляет собой совокупность взаимосвязанных маркетинговых и научных исследований, технических, технологических и организационных решений, направленных на поиск путем исследований новых возможностей удовлетворить потребности потребителей в конкретных видах продукции или предоставлении существующим необходимых функциональных свойств; создания новых, модернизацию действующих конструкций техники, потребительских свойств товаров, технологических процессов, методов организации и управления производством, включая стадии эксплуатации и утилизации этих изделий; обеспечение конкурентоспособности новой продукции.
Комплексную подготовку производства следует рассматривать с позиции системного подхода. Системный подход благодаря взаимодействию частей или элементов, которые входят к комплексу, обеспечивает усиление его функции, направленной на достижение поставленной цели и получение эффекта. Система комплексной подготовки производства охватывает определенные взаимосвязанные стадии жизненного цикла нового изделия: 1) научно-исследовательские работы; 2) опытно-конструкторские работы; 3) конструкторская подготовка производства; 4) технологическая подготовка производства; 5) организационная подготовка производства; 6) освоение нового изделия в промышленном производстве.
Подсистема научно-исследовательской подготовки
Охватывает работы с комплексного исследования рынка, покупателей и конкурентов; изучение зарубежной патентной информации; поиска идет (замысла) нового товара; коммерческого анализа, оценки и отбора идей; разработка концепции товара рыночной новизны и определения его конкурентоспособности; создание передовых, совершенных, упрощенных конструкций изделий; завоевание частицы рынка. Организация выполнения этой фазы подготовки производства на предприятии опирается на службу маркетинга. Научно-исследовательские и исследовательно-конструкторские работы относительно конкретной продукции могут исполняться соответствующими научно-исследовательскими подразделами и предприятиями или специализированными научно-техническими организациями.
Подсистема подготовки производства охватывает совокупность процессов проектно-технического, технологического и организационного характера, направленных на разработку конструкторской документации и освоение производством новых видов конкурентоспособной продукции.
К основным заданиям техничной подготовки производства принадлежат: создание комплекта чертежей новой продукции с использованием результатов исследовательских работ, обеспечение функциональности и заданного уровня качества объекта проектирования; использование прогрессивных технологических процессов для изготовления новых изделий; сокращение длительности производственного цикла «проектирования – изготовление»; экономия трудовых, материальных и финансовых ресурсов; оперативное реагирование на изменение потребностей потребителей; подготовка всех организационно-технических мероприятий для ритмичного и высокопродуктивного функционирования производства.
Все стадии комплексной подготовки производства требуют всесторонней информационной подготовки, экологической подготовки, а также экономического обоснования, благодаря чему подразделения, что выполняют работы по созданию та освоению выпуска нового изделия, системно и эффективно взаимодействуют для достижения поставленной цели удовлетворения потребителей и получения прибыли.
Каждая стадия научно-технической подготовки производства разделяется на определенные этапы, а этапы, в свою очередь, на отдельные работы.
Система разработки и освоения производства новой продукции зависит от номенклатуры, технического уровня изделий, которые выпускаются; периодичности и глубины изменения их конструкции; сложности технологии, что используется; технического уровня оборудования; материального обеспечения; организации труда и производства; квалификации персонала, его мотивации и др. Предприятия разных отраслей имеют определенную технико-технологическую и организацонно-экономическую специфику, поэтому каждое из них формирует свою систему комплексной подготовки производства, которая предвидит определенный состав работ и порядок их проведения в пределах жизненного цикла продукции.
Организация работ по подготовке производства
Процесс изготовления и освоения новых изделий имеет ряд особенностей, которые необходимо учитывать во время его организации: комплексность, рост сложности и масштабов научных исследований относительно объектов, что разрабатываются вероятный характер процессов подготовки производства, который обусловлен новизной, степенью объективности первоначальной информации и неопределенностью конечных результатов; неповторимость, динамичность научно-исследовательских и опытно-конструкторских работ; человеческий фактор.
В научно-технической подготовке производства новых изделий берет участие большое количество подразделений предприятия. По функциям, что используются, они группируются на тематические, функционально-тематические, производственные, обслуживающие подразделения, а также функциональные службы управления.
Бизнес в научно-технической сфере всегда связан с риском в получении ожидаемых научных, технических и финансовых результатов. Это влияет с природы новаторский деятельности. Рискованный характер работы определяет конкурентная борьба за потребителя.
В системе сотворения и освоения новых видов товаров и изделий к сфере венчурного предпринимательства относятся такие фирмы: опытные, деятельность которых распространяется на стадии исследований и разработок; внедренные, что специализируются на практическом освоении научно-технических разработок; обслуживающие (сервисные), которые специализируются на техническом обслуживании новостей; экспертные (аналитические, консультативные), которые выполняют аудиторские работы, консультируют и осуществляют другие виды услуг.
Задача №1
Определить производственное задание упаковочному отделению, если карамельный цех имеет 3 поточных линии, мощность каждой линии равна 6 тонн изделий в смену. Возвратные отходы на завертку карамели – 2%. Упаковка осуществляется в паки по 10 кг.
Решение:
1).Расчет задания производственной линии за смену:
Рассчитывается по формуле:
Вп.л.= пп*рс – (пп*рс)*Кот, где
Вп.л. – задание производственной линии,
Пп – кол-во поточных линий,
рс – мощность линии в смену,
Кот – возвратные отходы
Вп.л.=3*6 – (3*6)*2%=18–0,36=17,64 (т)
2). Расчет паков за смену:
17,64т=17640 кг
Мк – масса пака=10 кг
17640/10=1764 (шт.) производственное задание упаковочному отделению.
Ответ: 1764 пака нужно упаковать упаковочному отделению.
Задача №2
Определить коэффициент ритмичности при условии:
выпуск продукции по плану – 470,480,450,470., шт. Фактический выпуск продукции – 470,460,450,460 шт.
Решение:
Рассчитаем коэффициент ритмичности по формуле:
Критм=Афакт / Аплан*100%
1). Критм=470/470*100%=100% нет отклонений от плана
2). Критм=460/480*100%=0,96*100%=96% на 4% план не выполнен
3). Критм=450/450*100%=100% выпуск продукции идет по плану
4). Критм=460/470*100%=0,98*100%=98% отклонения от плана на 2%
Ответ: 100%, 96%, 100%, 98%. Есть небольшие отклонения от плана нужно проследить за работой цеха и устранить отклонения.
Список литературы
1. Васильков В.Г. Організація виробництва: Навч. Посібник. – К.: КНЕУ, 2003.-524 с.
2.
Фатхудинов Р.А.
Организация производства: Учебник для
Вузов М.: ИНФРА-М, 2002.-672 с.
