Организация, нормирование и оплата труда (работа 4)
Министерство Российской Федерации по связи и информатизации
Сибирский Государственный Университет Телекоммуникаций и Информатики
Межрегиональный центр переподготовки специалистов
КОНТРОЛЬНАЯ РАБОТА
По дисциплине: « Экономика и социология труда»
Организация, нормирование и оплата труда
Выполнил:
слушатель Моисеева И. И
Гр. ЭПТ - 82
Проверил: Подкорытова
Арина Александровна
2010
Содержание
1 Расчет трудовых затрат и определение необходимой численности работников
2 Расчет необходимого количества бригад и их квалификационный состав
3 Расчет КТУ
4 Определение премии и расчет размера бригадного приработка
5 Произвести начисление заработной платы за месяц всем членам бригады
Выводы
Список литературы
1 Расчет трудовых затрат и определение необходимой численности работников
Расчет произведем в таблице 1
Таблица 1
Расчет трудовых затрат
|
Перечень видов работ |
Укрупненные нормы времени |
Задание (план) |
Выполнение |
||
|
Объем работы в натуральном измерении |
Трудоемкость по плану, чел - час |
Объем работы в натуральном измерении |
Трудоемкость по факту, чел - час |
||
|
1.Текущий ремонт кабальных сооружений шкафных районов, на один шкафной район |
250 |
5 |
1250 |
5 |
1250 |
|
2.Ремонт шахт АТС со станционными колодцами, на одну шахту |
35 |
4 |
140 |
3 |
105 |
|
3.Ремонт смотровых устройств, на один колодец |
25 |
89 |
2225 |
89 |
2225 |
|
4.Ремонт и чистка телефонной канализации, кан-км |
7,6 |
2 |
15,2 |
2 |
15,2 |
|
5.Исправление поврежденных пар кабеля, одна кабельная пара: a)межстанционного |
4,5 |
||||
|
1 |
2 |
3 |
4 |
5 |
6 |
|
б)магистрального |
3,1 |
- |
3,1 |
1 |
3,1 |
|
в)распределительного |
1,5 |
3 |
4,5 |
3 |
4,5 |
|
6.Содержание кабеля под воздушным давлением, одна негерметичность |
50,0 |
2 |
100 |
2 |
100 |
|
7.Осмотр смотровых устройств и кабелей в них, одно сооружение |
0,5 |
4 |
2 |
5 |
2,5 |
|
8.Осмотр кабельных сооружений шкафных районов, один район |
8,0 |
3 |
24 |
4 |
32 |
|
Ненормируемая работа |
|||||
|
9.Чистка колодца, на один колодец |
2,5 |
2 |
5 |
2 |
5 |
|
10.Установка распылительной коробки, шт. |
1,2 |
2 |
2,4 |
2 |
2,4 |
|
11.Замена боксов, шт. |
7,0 |
2 |
14 |
3 |
21 |
|
12.Ремонт и замена желобов, шт. |
2,0 |
2 |
4 |
2 |
4 |
Трудоемкость нормируемая находим по формуле:
Т = (H вр.i. * q пл.i.),
Общая нормируемая трудоемкость составляет:
по плану: 3763,8 чел-часов
по факту: 3737,3 чел-часов
Ненормируемая трудоемкость составляет 20 %, поэтому общая трудоемкость будет равна 0,5 и 0,7
Трудоемкость выполнения рассчитывается по формуле :
,
где
- установленные нормы времени по видам
производственных операций или комплексам
работ, час или чел.-час:
-
планируемый объем работ по видам за
месяц:
-
удельный вес нормированной работы в
общем объеме.
Т общ. пл = 3763,8 / 0,5= 7527,6
Т общ. факт = 3737,3 / 0,7= 5339
Среднесписочная численность работников рассчитывается по формуле:
=
,
где То.пл – общая плановая трудоемкость выполнения работ за месяц, ч.-час;
–
нормативный среднемесячный
фонд рабочего времени, час.;
Крез
– коэффициент, учитывающий резерв на
отпуск,
.
Ч ср.сп. пл. =
=
48,9 чел.
Найдем теперь численность постоянно отсутствующих по формуле:
Ч рез. = Ч н - Ч Н. я,
Ч н.я. =
,
К в.з. =
,
К в.з. =
=
1,4
Ч н.я.пл. =
= 35 чел.
Ч рез. = 49-35 = 14 чел.
Вывод: 35 человек необходимо для выполнения комплекса
2 Расчет необходимого количества бригад и их
квалификационный состав
Зная среднесписочную численность работников и количество работников в одной бригаде, мы можем найти, сколько потребуется бригад для выполнения работ.
N
бр. пл. =
= 2,06 бригады, в одной бригаде работает
17 человек, в другой 18 человек
Теперь определим квалификационный состав работников, полученные данные сведем в таблицу 2.
Численность одной бригады примем равной 17 человек.
Таблица 2
Определение квалификационного состава работников
|
Наименование должности |
Доля работников в общей численности, % |
Численность работников, чел. |
|
Электромонтер 3 разряда |
20 |
3 |
|
Электромонтер 4 разряда |
20 |
3 |
|
Электромонтер 5 разряда |
50 |
9 |
|
Электромонтер 6 разряда |
10 |
2 |
Вывод: необходимо создать примерно 2 бригады, в которых будет 3 электромонтера 3 разряда, 3 электромонтера 4 разряда, 9 электромонтеров 5 разряда и 2 электромонтера 6 разряда.
3 Расчет КТУ
Коэффициент трудового участия представляет собой обобщенную оценку реального трудового вклада каждого члена бригады в общие результаты. В качестве основных показателей, определяющих величину КТУ, используется индивидуальная производительность труда и качество работы. Базовый КТУ принимается равным 1. С учетом понижающих и повышающих факторов он может изменяться от 0 до 1,5.
В таблице 3 представлены понижающие и повышающие факторы и их количественные значения.
Таблица 3
Показатели для расчета КТУ
|
Перечень повышающих и понижающих факторов |
Вариант 2.4 |
||||
|
Работники |
|||||
|
1 |
2 |
3 |
4 |
5 |
|
|
Выполнение задания на 100% с оценкой "отлично" |
|
|
|
|
|
|
Выполнение задания на 100% и более с оценкой "хорошо" |
+ +0,1 |
+ +0,1 |
+ +0,1 |
+ +0,1 |
+ +0,1 |
|
Выполнение плановых заданий от 90% до 100% |
|
|
|
|
|
|
Устранение повреждений в срок |
+ +0,1 |
+ +0,1 |
+ +0,1 |
+ +0,1 |
+ +0,1 |
|
Наличие сверхконтрольных повреждений |
|
|
|
|
|
|
Экономное расходование материалов |
|
+ +0,1 |
+ +0,1 |
|
|
|
Рациональное использование инструмента |
|
+ +0,1 |
+ +0,1 |
|
|
|
Нерациональное использование материалов |
+ -0,2 |
|
|
|
|
|
Нерациональное использование инструмента |
+ -0,2 |
|
|
+ -0,2 |
|
|
Внедрение передовых методов труда |
|
+ +0,2 |
+ +0,2 |
|
|
|
Нарушение трудовой дисциплины |
|
|
|
|
|
|
Выполнение непривлекательных работ |
+ +0,1 |
+ +0,1 |
+ +0,1 |
+ +0,1 |
+ +0,1 |
|
Передача опыта |
|
|
|
|
|
|
Невыполнение распоряжений бригадира |
|
|
|
|
|
|
Нарушение производственной дисциплины |
|
|
|
|
+ -0,2 |
|
Расчетный КТУ |
0,1 |
0,7 |
0,7 |
0,1 |
0,1 |
КТУ 1 работника – 0,1
КТУ 2 работника – 0,7
КТУ 3 работника – 0,7
КТУ 4 работника – 0,1
КТУ 5 работника – 0,1
Остальные работники имеют КТУ равный 0,083
4 Определение премии и расчет размера бригадного приработка
Положения о премировании бригады представлены в таблицах 4 и 5:
Таблица 4
Положения о премировании бригады
|
Показатели премирования |
Условия премирования |
Процент премии |
Примечание |
|
1 Выполнение плана задания |
100% |
40% |
За каждый процент перевыполнения начисляется дополнительно 0,5% премии, но не более 10% |
|
2 Оценка качества работы |
100б – отлично |
30% |
|
|
90-99,9б-хор. |
20% |
|
|
|
70-89,9б-удовл. |
15% |
|
|
|
Ниже 70б-неуд. |
---- |
Премия не начисляется |
Таблица 5
Оценка качественной работы кабельно-канализационной бригады
|
Наименование показателей |
Норматив качества |
Максимальное количество баллов снижения |
Условия снижения в баллах |
|
1.Выполнение плановых показателей Выполнение плана снижения числа поврежденных пар в кабеле Выполнение плана снижения числа кабелей с негерметичной оболочкой Выполнение плана ремонта осмотра шкафных районов Выполнение плана измерения электрического состояния кабелей Выполнение плана ремонта смотровых устройств |
100% 100% 100% 100% 100% |
10 8 10 5 10 |
За 1% снижения уменьшается на МСС на 3б, на маг. кабеле -2б, на распределительном - 1б. Менее 100% - снимается 8б. За каждый шкафной район без осмотра снимается 5б. За невыполнение на 1% снимается 0,5б. За каждый процент невыполнения снимается 0,5б, за каждое устройство без осмотра снимается 3б. |
|
2. Обеспечение надежности работы и качества обслуживания Удерживание на уровне предыдущего года процента повреждений, устраняемых в контрольные сроки Продолжительность устранения повреждения сверх контрольного срока на 100 телеф. аппаратов Количество случаев аварии |
Уровень предыдущего года |
10 10 8 |
За каждый процент ухудшения качества снимается 1б. При удержании показателя на уровне среднесетевого и одновременном снижении индивидуальных показателей за 1% снимается 1б. За каждый случай на МСС - снимается 2б, на маг. кабеле -1,5б, на распределительном - 1б. |
|
Трудовая и производственная дисциплина Выполнение правил технической эксплуатации и инструкций Выполнение правил внутреннего трудового распорядка и требований охраны труда |
Без нарушений Без нарушений |
5 не ограничивается |
За каждое нарушение -1б. За каждое замечание снимается 1б, за нарушение -3б. |
Определение премии сведем в таблицу 6
Таблица 6
|
Показатели и условия премирования |
Выполнение плана – задания за месяц |
Процент премии Снижение баллов |
|
Качество работы – снижение поврежденных пар в кабеле: межстанционном магистральном распределительном |
- 93 100 |
- 8б |
|
Снижение негерметичности кабеля, % |
97 |
8б |
|
Выполнение плана ремонта и осмотра шкафных районов, % |
100 |
- |
|
Остались без осмотра, шт. |
||
|
Удержание на уровне предыдущего года количества повреждений, устраняемых в контрольные сроки или ухудшение показателя, % |
На уровне прошлого года |
|
|
Количество аварий по вине бригады на магистральном кабеле, случай |
||
|
Нарушение правил технической эксплуатации и инструкций, случай |
1 |
1б |
|
Выполнение правил внутреннего трудового распорядка, случай нарушение замечание |
2 1 |
6б 1б |
|
Выполнение требований охраны труда и техники безопасности, случай нарушение замечание |
1 |
1б |
В количественном выражении план был выполнен почти на 100 %
Премия начислена в размере 30%
В качественном выражении начислены баллы в количестве 25,
100-25 = 75 балов, что соответствует оценке удовлетворительно
Премия начисляется 15 %
5 Произвести начисление заработной платы за месяц всем членам бригады
Бригадный приработок в целом для бригады определяется как разница между плановым гарантированным Фондом оплата труда всей бригады и гарантированным минимумом заработной платы за фактически отработанное время.
Количественный показатель (уровень выполнения производственного задания) определяется расчетным путем. Для этого используются данные об объемах работы (Таблица 1) по плану и фактически.
Для распределения
бригадного приработка (БП) рассчитывается
доля, приходящаяся на рубль расчетной
зарплаты (
)
(5)
Величина БП, начисленная каждому члену бригады, определяется путем умножения доли БП на расчетную зарплату каждого работника
Начисление заработной платы произведем в таблице.
Бригадный приработок равен (гр.4- гр.7) 175600 – 173960 = 1640
Доля бригадного приработка равна: 1640 / 25326,40 = 0,0648
Бригадный приработок электромонтеров рассчитаем в таблице 7.
Таблица 7
|
ФИО члена бригады |
Должность, квалификация |
Тарифный коэффициент |
Гарантированный минимум зарплаты за месяц |
Фактически отработанное время за месяц |
Причина отсутствия |
Гарантированная оплата с учетом фактического отработанного времени |
КТУ |
Расчетная заработная плата |
Распределение бригадного приработка |
Распределение премии |
Начисленная заработная плата |
|
1 |
2 |
3 |
4 |
5 |
6 |
7 |
8 |
9 |
10 |
11 |
12 |
|
1 |
Электромонтер 3 разряда |
1,69 |
8450 |
158 |
прогул |
8344 |
0,1 |
834,40 |
54,07 |
375,48 |
8773,55 |
|
2 |
Электромонтер 3 разряда |
1,69 |
8450 |
160 |
8450 |
0,7 |
5915 |
383,29 |
2661,75 |
11495,04 |
|
|
3 |
Электромонтер 3 разряда |
1,69 |
8450 |
160 |
8450 |
0,7 |
5915 |
383,29 |
2661,75 |
11495,04 |
|
|
4 |
Электромонтер 4 разряда |
1,91 |
9550 |
160 |
- |
9550 |
0,1 |
955 |
61,88 |
429,75 |
10041,63 |
|
5 |
Электромонтер 4 разряда |
1,91 |
9550 |
160 |
- |
9550 |
0,1 |
955 |
61,88 |
429,75 |
10041,63 |
|
6 |
Электромонтер 4 разряда |
1,91 |
9550 |
150 |
По болезни |
8953 |
0,083 |
743 |
48,15 |
334 |
9335,15 |
|
7 |
Электромонтер 5 разряда |
2,16 |
10800 |
157 |
прогул |
10597 |
0,083 |
879 |
56,96 |
395 |
11048,96 |
|
8 |
Электромонтер 5 разряда |
2,16 |
10800 |
160 |
10800 |
0,083 |
896 |
58,06 |
403 |
11261,06 |
|
|
9 |
Электромонтер 5 разряда |
2,16 |
10800 |
160 |
10800 |
0,083 |
896 |
58,06 |
403 |
11261,06 |
|
|
10 |
Электромонтер 5 разряда |
2,16 |
10800 |
160 |
10800 |
0,083 |
896 |
58,06 |
403 |
11261,06 |
|
|
11 |
Электромонтер 5 разряда |
2,16 |
10800 |
160 |
10800 |
0,083 |
896 |
58,06 |
403 |
11261,06 |
|
|
12 |
Электромонтер 5 разряда |
2,16 |
10800 |
160 |
10800 |
0,083 |
896 |
58,06 |
403 |
11261,06 |
|
|
13 |
Электромонтер 5 разряда |
2,16 |
10800 |
160 |
10800 |
0,083 |
896 |
58,06 |
403 |
11261,06 |
|
|
14 |
Электромонтер 5 разряда |
2,16 |
10800 |
154 |
прогул |
10395 |
0,083 |
862 |
55,86 |
387 |
10837,86 |
|
15 |
Электромонтер 5 разряда |
2,16 |
10800 |
154 |
прогул |
10395 |
0,083 |
862 |
55,86 |
387 |
10837,86 |
|
16 |
Электромонтер 6 разряда |
2,44 |
12200 |
145 |
По болезни |
11056 |
0,083 |
917 |
59,42 |
458 |
11573,42 |
|
17 |
Электромонтер 6 разряда ( бригадир ) 10% за руководство = 1220 руб |
2,44 |
12200 |
160 |
12200 + 1220 |
0,083 |
1113 |
72,12 |
500,82 |
13992,94 |
|
|
Итого |
|
175600 |
173960 |
25326,4 |
1641,14 |
114383 |
187039,44 |
6 Оценить социально-психологический климат в бригаде и возможность перевода бригады на коллективные формы оплаты и стимулирования труда
Оценка социально-психологического климата в бригаде
Для оценки социально-психологического климата принять по бригаде следующие данные.
1. Из общего количества работающих ( 17 человек): 2 человека крайне недовольны сложившимися отношениями внутри бригады; 6 человек довольны отчасти; остальные довольны вполне.
2. Анализ взаимоотношений руководителя с подчиненными показал, что 3 человека недовольны сложившимися отношениями; 5 человек довольны отчасти; остальные довольны
Чтобы трудовой коллектив перевести на коллективные принципы организации и стимулирования труда, необходимо исследовать социально-психологический климат, сложившийся внутри бригады.
При этом преследуется главная цель – выявить уровень конфликтности коллектива. Если в ходе исследования устанавливается, что отношения в коллективе напряженные, то при переходе на коллективные принципы стимулирования труда они могут обостриться еще сильнее, а это может привести к отрицательным последствиям.
Для оценки социально-психологического климата проводится анкетирование по следующей форме.
Таблица 6
Анкета для оценки уровня социально-психологических отношений в бригаде
|
Исследуемые вопросы |
Крайне недоволен |
Недоволен |
Доволен отчасти |
Доволен |
Доволен вполне |
|
Довольны ли Вы отношением к Вам членов бригады (коллектива)? |
2 чел |
0 чел |
6 чел |
0 чел |
9 чел |
|
Довольны ли Вы отношением к Вам руководителя? |
0 чел. |
3 чел. |
5 чел. |
9 чел |
0чел. |
Анкета выдается каждому члену бригады индивидуально, опрос проводится анонимно. Опрашиваемый, отвечая на вопрос, выбирает ситуацию, характеризующую его понимание сложившихся отношений, и ставит в соответствующей строке условный знак (V, +)..При обработке результатов используется следующая шкала оценок:
|
Оценки |
0 |
1 |
2 |
3 |
4 |
|
Варианты ответов |
Крайне недоволен |
Недоволен |
Доволен отчасти |
Доволен |
Доволен вполне |
В таблицу занесем готовые данные:
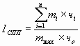
Анализируя полученные анкеты, социолог определяет, сколько человек дали ту или иную оценку. Уровень сложившихся отношений характеризуется индексом социально-психологических отношений (Iспо), который рассчитывается по формуле
,
=
= 0,7
индекс по первому вопросу
=

индекс по второму вопросу
где mi – оценка в баллах от 0 до 4;
чi – количество работников, давших ту или иную оценку;
mmax – максимально возможная оценка, по принятой шкале mmax = 4;
чо – общее количество работников в бригаде (коллективе).
Индекс Iспо=0,6-0,7 свидетельствует о среднем уровне отношений, при этом верхняя граница характеризует состояние повышенной конфликтности, а нижняя – стабилизацию отношений. Переход на коллективные (бригадные) формы организации и стимулирования труда возможен.
Выводы
Для выполнения комплекса необходимо 35 человек.
Из них создается 2 бригады численностью 17 и 18 человек в одной из которых будет 3 электромонтера 3 разряда, 3 электромонтера 4 разряда, 9 электромонтеров 5 разряда и 2 электромонтера 6 разряда.
2. Сумма премии составила 30%, только по результатам выполнения плана в количественном выражении. По качественным параметрам бригады сработали удовлетворительно, поэтому премия составит 15 %.
3. Бригадный приработок равен (гр.4- гр.7 ) 175600 – 173960 = 1640
Доля бригадного приработка равна: 1640 / 25326,40 = 0,0648
Низкий процент премии, естественно, сказался на зарплате. Из 17 человек, 6 имели пропуски на работе: четверо- прогулы, двое – по болезни.
Социально-психологический климат в бригаде при индексе Iспо=0,6-0,7 свидетельствует о среднем уровне отношений, при этом верхняя граница характеризует состояние повышенной конфликтности, а нижняя – стабилизацию отношений. Переход на коллективные (бригадные) формы организации и стимулирования труда возможен.
Список литературы
Конспект лекций
Бычин В.Б., Малинин С.В., Шубенкова Е. В. Организация и нормирование труда. Учебник. / Под ред. Ю.Г. Одегова. М. Экзамен, 2003.- 398 с.
Бычин В.Б., Малинин С.В. Нормирование труда. Учебник. / Под ред. Ю.Г. Одегова. М.: Экзамен, 2002.- 415 с.
Бычин В.Б., Малинин С.В., Шубенкова Е. В. Теоретико-методологические основы организации и нормирования труда // Нормирование и оплата труда в промышленности. №2, 2005.
Волгин Н.А. Оплата труда: производство, социальная сфера, государственная служба. Анализ, проблемы, решения. – М.: Экзамен, 2004. – 222 с.
Гейц И.В. заработная плата и другие расчёты с физических лиц: практическое пособие для бухгалтеров. - М.: Дело и сервис, 2003. - 640 с.
Генкин Б.М. Экономика и социология труда. – М: Юристъ, 1998. – 65
Малинин С.В. Применение нормирования труда в повышении эффективности управления персоналом (статья) //Известия Академии труда и занятости. № 3-4, Ижевск, 2001.
9. Мосейчук М.А. Нормирование труда // Заработная плата 2004г.