Основи інноваційного менеджменту
Кафедра управління і ЗЕД
Контрольна робота
з дисципліни:
«Інноваційний менеджмент»
ЗМІСТ
1. Індекс рентабельності інновацій
2. На які групи поділяються суб'єкти інноваційного процесу?
3. Дайте визначення патенту
4. Тенденції в управлінні банківськими інноваціями
5. Ліцензійна угода з періодичними платежами (роялті)
Список літератури
1. Індекс рентабельності інновацій
Проблема визначення економічного ефекту і вибору найбільш кращих варіантів реалізації інновацій вимагає, з одного боку, перевищення кінцевих результатів від їхнього використання над витратами на розробку, виготовлення і реалізацію, а з іншого боку — зіставлення отриманих при цьому результатів з результатами від застосування інших аналогічних за призначенням варіантів інновацій. Особливо гостро виникає необхідність швидкої оцінки і правильного вибору варіанту на фірмах, що застосовують прискорену амортизацію, при якій терміни заміни діючих машин і устаткування на нові істотно скорочуються.
Метод обчислення ефекту (доходу) інновацій, заснований на зіставленні результатів їхнього освоєння з витратами, дозволяє приймати рішення про доцільність використання нових розробок.
Для оцінки загальної економічної ефективності інновацій може використовуватися система наступних показників:
1) інтегральний ефект;
2) індекс рентабельності;
3) норма рентабельності;
4) період окупності;
Інтегральний ефект Е>інт> являє собою величину різниці результатів й інноваційних витрат за розрахунковий період, доведених до одного, звичайно початкового, року, тобто з обліком дисконтування результатів і витрат:

де Тр — розрахунковий рік;
P>t> — результат у t-й рік;
З>t> — інноваційні витрати в і-й рік;
а>t> — коефіцієнт дисконтування (дисконтний множник).
Інтегральним ефектом називають також чистий дисконтований дохід, чиста наведена чи чиста сучасна вартість, чистий наведений ефект.
Метод дисконтування — метод порівняння різночасних витрат і доходів, допомагає вибрати напрямки вкладення засобів в інновації, коли цих засобів особливо мало. Даний метод корисний для організацій, що знаходяться на підлеглому становищі й одержують від вищестоящого керівництва вже жорстко зверстаний бюджет, у якому сумарна величина можливих інвестицій в інновації визначена однозначно. У таких ситуаціях рекомендується проводити ранжирування всіх наявних варіантів інновацій у порядку зменшувальної рентабельності.
Як показник рентабельності можна використовувати індекс рентабельності. Він має й інші назви: індекс дохідності, індекс прибутковості
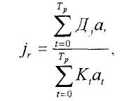
Індекс рентабельності являє собою відношення наведених доходів до наведених на цю ж дату інноваційних витрат. Розрахунок індексу рентабельності Jr ведеться за формулою:

де Д — дохід у періоді у;
К>t> — розмір інвестицій в інновації в періоді t.
У чисельнику цього виразу — величина доходів, наведених до моменту початку реалізації інновацій, а в знаменнику — величина інвестицій в інновації, дисконтованих до моменту початку процесу інвестування.
Іншими словами, тут порівнюються дві частини потоку платежів: дохідна й інвестиційна.
Індекс рентабельності тісно пов'язаний з інтегральним ефектом. Якщо інтегральний ефект Е>інт> позитивний, то індекс рентабельності Jr > 1, навпаки. При Jr > 1 інноваційний проект вважається економічно ефективним. У протилежному випадку (Jr < 1) — неефективним.
В умовах твердого дефіциту засобів перевага повинна віддаватися тим інноваційним рішенням, для яких найбільш високий індекс рентабельності.
2. На які групи поділяються суб'єкти інноваційного процесу?
Інноваційний менеджмент створює суб'єкт господарювання, що виступає як носій інновації, сприятливі і вигідні конкурентні переваги. Вирвавши ресурси з рутинного кругообігу, підприємець використовує їх новим способом. При цьому може бути не менше п’яти можливих різновидів нововведень:
створення нового товару (послуги);
створення нового способу виробництва;
відкриття нового ринку збуту;
застосування нового джерела чи виду сировини, енергії;
введення нових принципів організації діяльності фірми.
Успіх чи невдачу в діяльності інноваційного менеджера повною мірою розкриває ринок, що висуває строгі вимоги до результатів його діяльності.
Процес введення новації на ринок прийнято називати комерціалізацією. Період часу між появою новації і втіленням її називається інноваційним лагом.
У повсякденній практиці, як правило, ототожнюють поняття нововведення, новація, нововведення, інновація, що цілком зрозуміло. Будь-які винаходи, нові явища, види послуг чи методи тільки тоді одержать визнання, коли будуть прийняті до поширення (комерціалізація), і вже в новій якості вони виступлять як інновації.
Перехід від однієї якості до іншої вимагає витрат ресурсів (енергії, часу, фінансів і т.п.). Процес переходу новації в інновації також вимагає витрат різних ресурсів, основними з яких є інвестиції і час. В умовах ринку як системи економічних "відносин купівлі-продажу товарів", у рамках якої формуються попит, пропозиція і ціна, основні компоненти інноваційної діяльності — це новації, інвестиції й інновації.
Під інноваціями в широкому значенні розуміється прибуткове використання новацій у вигляді нових технологій, видів продукції і послуг, організаційно-технічних і соціально-економічних рішень виробничого, фінансового, комерційного, адміністративного чи іншого характеру.
Інноваційний менеджмент повинен гарантувати ефективне вико-ристування інновацій і напрямків на підвищення ефективності функціонування та розвиток організацій у ринковому середовищі. Основними функціями інноваційного менеджменту є:
аналіз,
прогнозування,
планування (стратегічне, поточне, та оперативне),
організація,
мотивація,
облік.
контроль.
координація,
регулювання,
керівництво.
Конкретне поповнення цих функцій залежить від рівня управління: держава, регіон, конкретне підприємство. Здійснення інноваційного менеджменту в цілому включає:
розробку планів та програм інноваційної діяльності;
нагляд за розробкою нової продукції та технології, її впровадження;
розгляд програм розробки нової продукції та технології;
забезпечення єдиної інноваційної політики та координації;
забезпечення фінансовими та матеріальними ресурсами програм інноваційної діяльності;
затвердження тимчасових цільових груп для комплексного вирішення інноваційних проблем — від ідеї до серійного виробництва продукції.
Таким чином, ключову роль в ініціації інноваційних процесів відіграє наукова сфера, яка регулюється Законом України "Про основи державної політики в сфері науки і науково-технічної діяльності" і визначає:
роль держави в розвитку науки і техніки, використанні науково- технічних результатів для перетворення суспільного виробництва та задоволення потреб людей;
основні цілі, напрями та принципи державної науково-технічної політики;
форми та методи державного регулювання в науково-технічній сфері;
повноваження державних органів у здійсненні науково-технічної політики;
економічні та правові гарантії розвитку науково-технічної діяльності.
Інновації на сучасному етапі розвитку економіки стають головним засобом збереження конкурентоспроможності і стають невід'ємною частиною підприємницької діяльності] Управління нововведеннями здійснюється паралельно з управлінням діючим традиційним виробництвом. Але методи управління інноваціями відрізняються від методів управління традиційним виробництвом, оскільки інноваційні процеси спрямовані на створення раніше неіснуючих продуктів, якісне оновлення виробничих сил та виробничих відносин.
3. Дайте визначення патенту
Патент – документ, що підтверджує авторство на винахід і дає власнику патенту виключне право на використання винаходу протягом визначеного в цьому документі терміну.
В Статті 156. „Правомочності щодо використання винаходу, корисної моделі та промислового зразка” Господарського кодексу України сказано:
Право інтелектуальної власності на винахід, корисну модель, промисловий зразок відповідно до законодавства України засвідчується патентом.
Відносини суб’єкта господарювання, що є роботодавцем для винахідника (винахідників) або автора (авторів) об’єктів, зазначених у частині першій статті 156 ГК, щодо прав на одержання патенту і права використання зазначених об’єктів інтелектуальної власності регулюються Цивільним кодексом України та іншими законами.
В Статті 462. „Засвідчення набуття права інтелектуальної власності на винахід, корисну модель, промисловий зразок” Цивільного кодексу України говориться:
1. Набуття права інтелектуальної власності на винахід, корисну модель, промисловий зразок засвідчується патентом.
2. Обсяг правової охорони визначається формулою винаходу, корисної моделі, сукупністю суттєвих ознак промислового зразка.
3. Умови та порядок видачі патенту встановлюються законом.
4. Тенденції в управлінні банківськими інноваціями
Розвиток бізнес-систем в Україні поступово привів ринок до потреби конкурувати не тільки шляхом проведення ефективних рекламних кампаній, але й шляхом вдосконалення продукту або розробки нових продуктів та послуг. Донедавна сфера інновацій у нашій країні була прерогативою наукових установ та промисловості. Тепер інновації переходять у галузь комерції та бізнесу. Банківська сфера в цьому плані – скоріш правило, ніж виняток.
Сьогодні інновації – не просто одне з явищ, що визначає економічне зростання, розвиток, структурні зрушення тощо. Інновації стали сутністю сучасного розвитку в усіх сферах економіки, в тому числі і в банківській справі. Розвиток економіки завжди базувався на впровадженні нових технологій, але протягом тривалого часу цей процес проходив надто повільно. В умовах сучасної НТР і особливо в останній час, коли провідні країни переходять до постіндустріального періоду, економічний розвиток має якісно новий характер. Основні його риси визначаються наступним: по-перше, налагодженням інноваційного процесу (створення, розповсюдження та використання інновацій) у центр якісних, кількісних та структурних зрушень; по-друге, перетворення інноваційного процесу в постійно діючий фактор; по-третє, безпрецедентно високою швидкістю змін. На наш погляд, можна констатувати, що сьогодні здійснюється новий тип економічного розвитку – інноваційний. Економіка знаходиться в процесі постійних змін, і цей процес суттєво впливає на банківську сферу і як на галузь застосування (об’єкт) інновацій, і як на фактор, що сприяє їх впровадженню в економіку в цілому. У будь-якому випадку банк має активізувати діяльність та використовувати новітні досягнення науково-технічного процесу.
Саме організація ефективного інноваційного процесу – наполеглива необхідність для українських банків. Для ініціювання інноваційної діяльності, спрямованої на розвиток та успішне функціонування банку та створення умов ефективного її здійснення, необхідно керуватися наступними принципами:
створення стимулів для виявлення тенденцій та кристалізації ідей, що потенційно є передумовами для інноваційних;
свідоме недовантаження інтелектуального потенціалу банку в розрахунку на спонтанне виникнення ідей та пропозицій, які можуть позитивно вплинути на розвиток продуктового ряду банку;
оптимізація рівнів управління (в бік скорочення) з метою прискорення циклу будь-якого інноваційного процесу;
мінімізація строків розробки та впровадження банківських продуктів не шляхом скорочення числа стадій інноваційного процесу, а шляхом координування декількох процесів, що проходять паралельно;
орієнтування всієї інноваційної діяльності банку на споживача продуктів з можливістю тотального контролю за першими кроками впровадження інновацій.
Організаційній структурі належить велика роль у процесі управління будь-якою організацією. Саме за допомогою неї структурують та формалізують підходи та методи управління, визначають групи виконавців, розробляють системи контролю та внутрішньо організаційних взаємовідносин. Очевидно, що від правильного вибору організаційної структури, від її успішного функціонування та здатності оновлюватися у зв’язку із зовнішніми умовами, що швидко змінюються, залежить життєздатність банку та його розвиток.
Створення ефективних організаційних структур управління інноваційними процесами в банку, як правило, може проходити декількома способами. В одному випадку, в банку формується окремий структурний підрозділ, основною метою якого є розробка нововведень та узгодження цього процесу із довгостроковими планами розвитку банку. Другий спосіб передбачає інтеграцію та координацію інноваційного потенціалу всіх підрозділів банку та створення всередині банку механізму, що дозволяє налагоджено проводити розробку та впровадження нововведень. Банки можуть використовувати і комбінацію вищезазначених варіантів створення контролю над інноваційними процесами, змінюючи її пріоритети за необхідністю. Але обидва способи підтверджують, що процес розробки та впровадження інновацій у банківській діяльності носить не епізодичний, а системно організований та керований характер.
Основна помилка, якої припускаються сучасні аналітики в ході побудови інноваційного процесу в комерційному банку, – вибір оптимальної структури управління інноваційним процесом. Відомо, що будь-який процес функціонує лише за допомогою систем, що його забезпечують: фінансових, інформаційних, програмних та ін. Структура – це інструмент реалізації політики комерційного банку в галузі інновацій, в якому сукупність елементів та їхні взаємовідносини впливають на повноцінний розвиток. Тому, акцентуючи увагу на одному варіанті організації взаємодії елементів інноваційного процесу, банк позбавляє себе можливості повною мірою використовувати цей інструмент.
Аналіз основних видів організаційних структур дозволяє оцінити кожний з них. Необхідно зазначити, що не можна стверджувати переваги однієї структури над іншою. Так, функціональна структура до цього часу є найбільш розповсюдженою схемою організаційної побудови українських банків. Вона – найбільш оптимальна для невеликих організацій з обмеженим набором продуктів та послуг. Будується така структура на поопераційному поділу підрозділів. Її типові складові – кредитний, валютний та операційний відділи. Функціональна структура має свої переваги. Це простота, прозорість, покращена координація у функціональних зонах, відсутність дублювання функцій та робіт, централізація використання матеріальних ресурсів. Спеціалізація співробітників забезпечує постійне зростання їх професіоналізму. У рамках такої структури можливе створення відділу розвитку банку і в його складі спеціальної групи з впровадження інновацій. Головне завдання цієї групи здійснювати виконання плану інновацій. При цьому до її основних функцій належить організація механізму впровадження інновацій, виконання ролі центральної сполучної ланки між всіма учасниками інноваційного процесу, участь у плануванні роботи банку в цілому та розробка плану інноваційного розвитку, організація оперативних груп з впровадження окремих інновацій та координація їх роботи.
Але функціональна структура не є ідеальною для інноваційного розвитку організації. Створення відділу розвитку банку, функціями якого є ініціювання та організація інноваційних процесів, не вирішує проблеми ефективного управління інноваційною діяльністю. Недоліками такої структури, які особливо проявляються при зростанні організації, є традиційні конфлікти між підрозділами, їх зацікавленість у досягненні своїх цілей та вирішенні своїх, а не спільних завдань, роздрібненість.
Дивізіональні структури, орієнтовані на клієнта, найбільш розповсюджені в більшості зарубіжних кредитних організацій. Інші форми дивізіональних структур практично не зустрічаються у фінансовій сфері. Такі структури ідеально підходять у ситуації жорсткої конкуренції та боротьби за кожного клієнта, тому що дозволяють організувати краще обслуговування. Вони відрізняються більш високою контрольованістю процесів та кращою координацією всіх дій. Їм притаманна чіткість та ясність поставлених завдань. Головний недолік таких структур – дублювання деяких функцій та як наслідок – велика витратність. Причому необхідно зазначити, що ця негативна риса проявляється головним чином в організаціях з невеликою кількістю співробітників. Не дивлячись на це, дивізіональні структури починають впроваджуватися в багатьох українських банках. Вибір конкретного різновиду споживчої дивізіональної структури залежить від особливостей банку та клієнтури, що ним обслуговується. Іншим недоліком, що притаманний всім механістичним структурам, в тому числі і дивізіональних, є те, що вини недостатньо адаптовані до змін зовнішнього середовища та не орієнтовані на швидке та координоване вирішення нових завдань інноваційного розвитку, що постійно постають перед сучасними організаціями.
На наш погляд, оптимальною для управління інноваційним розвитком банківської установи є структура, що поєднує в собі переваги функціональних та дивізіональних структур та позбавлена багатьох вищезазначених недоліків. Характерна особливість матричної структури – наявність двох одночасно функціонуючих структур. Наслідком такого накладення є подвійне підпорядкування деяких співробітників, зайнятих у проектній роботі. У таких структурах, крім основної організаційної структури та, відповідно, базових завдань, періодично виникають окремі завдання, пов’язані з розробкою та впровадженням нових банківських продуктів, нових технологій тощо. Для їх вирішення спеціально створюються проекти. Вони формуються із співробітників різних підрозділів, які найбільше підходять для вирішення того чи іншого завдання. Керівництво здійснює спеціально виділене для цього “проектне керівництво”, яке має всі повноваження, необхідні для виконання поставленого завдання. Після виконання завдання проект розформовується. При цьому базова структура може бути як звичайною функціональною, так і дивізіональною, що орієнтована на споживача.
Залежно від кон’юнктури ринку інновацій, досвіду та знань спеціалістів, що працюють у банку, принципів делегування повноважень можуть бути використані різні структури організації інноваційного процесу. Багато елементів, від яких залежить інновація, схильні до постійних змін та, відповідно, вимагають перегляду принципів організації економічних процесів: підвищення вимог до структурної мобільності комерційного банку та кваліфікації персоналу, зміна асортименту та структури послуг.
Структурна мобільність комерційного банку – це його здатність порівняно швидко реорганізовувати свою структуру залежно від змін зовнішніх умов та внутрішніх вимог самої організації (перегляд цілей, стратегій, політики, принципів). Структурна мобільність необхідна для того, щоб мати можливість вдосконалювати нові технології, що підвищують ефективність діяльності організації, звільнюють від тягаря зайвих елементів, неефективних технологій.
5. Ліцензійна угода з періодичними платежами (роялті)
Роялті - платежі будь-якого виду, одержані як винагорода за користування або за надання права на користування будь-яким авторським правом на літературні твори, твори мистецтва або науки, включаючи комп'ютерні програми, інші записи на носіях інформації, відео- або аудиокасети, кінематографічні фільми або плівки для радіо чи телевізійного мовлення; за придбання будь-якого патенту, зареєстрованого знака на товари і послуги чи торгової марки, дизайну, секретного креслення, моделі, формули, процесу, права на інформацію щодо промислового, комерційного або наукового досвіду (ноу-хау).
Не вважаються роялті платежі за отримання об'єктів власності, у володіння або розпорядження чи власність особи або якщо умови користування такими об'єктами власності надають право користувачу продати або відчужити іншим способом такий об'єкт власності або оприлюднити (розголосити) секретні креслення, моделі, формули, процеси, права на інформацію щодо промислового, комерційного або наукового досвіду (ноу-хау), за винятком випадків, коли таке оприлюднення (розголошування) є обов'язковим згідно із законодавством України.
Доходи з авторських прав і ліцензій (роялті) - платежі будь-якого виду, одержані у вигляді винагород за використання або за надання права використання авторських прав на будь-які твори літератури, мистецтва, науки, включаючи кінофільми, записи для радіомовлення і телебачення та відеокасети, будь-якого патенту, товарного знака, креслень або моделі, схеми, комп'ютерної програми, секретної формули або процесу, чи за використання або надання права використання промислового, комерційного або наукового обладнання, чи за інформацію щодо промислового, комерційного або наукового досвіду ("ноу-хау");
Роялті та ліцензійні послуги - офіційно дозволене використання нематеріальних активів (патенти, ліцензії, авторські права, торговельні знаки, технології). Проте придбання та продаж таких активів враховується за рахунком операцій із капіталом (капітальні трансферти).
Список літератури
Антонюк, Л.Л. Інновації: теорія, механізм розробки та комерціалізації [Текст] : монографія / Л. Л. Антонюк, А. М. Поручник, В. С. Савчук ; Мін-во освіти і науки України, КНЕУ. - К. : КНЕУ, 2003. - 394 с.
Галица, И. А. Система стимулювання інновацій [Текст] / И. А. Галица // Фондовый рынок. - 2008. - N 31. - C.18-21
Денисенко, М.П. Інноваційна діяльність підприємств України: суть, оцінка та напрями активізації [Текст] / М. П. Денисенко, Я. В. Шабліна // Проблеми науки. - 2008. - N 6. - C.9-17
Зубро, С. В. Інноваційна діяльність та роль держави як фактор її розвитку [Текст] / С. В. Зубро // Формування ринкових відносин в Україні. - 2006. - N 7. - C.66-72
Инновационный менеджмент [Текст] : учебное пособие / ред. Л. Н. Оголева. - М. : Инфра-М, 2003. - 238 с.
Краснокутська, Н.В. Інноваційний менеджмент [Текст] : навчальний посібник / Н. В. Краснокутська ; Мін-во освіти і науки України, КНЕУ. - К. : КНЕУ, 2003. - 504 с.
Кривич, Я. М. Поняття банківських інновацій та їх класифікація [Текст] / Я. М. Кривич // Проблеми і перспективи розвитку банківської системи України. Вип. 22. - Суми : УАБС НБУ, 2007. - C.104-111
Морозов, Ю.П. Инновационный менеджмент [Текст] : учебное пособие / Ю. П. Морозов, А. И. Гаврилов, А. Г. Городнов. - 2-е изд., перераб. и доп. - М. : ЮНИТИ-ДАНА, 2003. - 471 с.
Пересунько, Є. С. Принципи інноваційної діяльності підприємств України [Текст] / Є. С. Пересунько // Проблеми науки. - 2007. - N 8. - C.23-27
Правик, Ю.М. Інвестиційний менеджмент [Текст] : навчальний посібник / Ю. М. Правик. - К. : Знання, 2007. - 431 с.
Риск-менеджмент инноваций [Текст] : монография / , Т. А. Васильева, О. Н. Диденко, А. А. Епифанов. - Сумы : Деловые перспективы, 2005. - 260 с.
Русанов, Ю. Ю. Особенности банковского риск-менеджмента в инновационных проектах [Текст] / Ю. Ю. Русанов, М. М. Прошин // Финансы и кредит. - 2008. - N 9. - C.22-26
Фатхутдинов, Р.А. Инновационный менеджмент [Текст] / Р. А. Фатхутдинов. - 3-е изд. - СПб. : Питер, 2002. - 400 с.
Федулова, І. В. Теоретичні положення з визначення категорій інноваційний процес і інноваційна діяльність [Текст] / І. В. Федулова // Проблеми науки. - 2007. - N 8. - C.2-8
Федулова, Л. І. Інноваційний менеджмент в Україні: проблеми та шляхи формування [Текст] / Л. І. Федулова // Економіст. - 2002. - N 2. - C.52-55
Фірсова, С. Г. Інвестиційно-інноваційна діяльність:фактор попиту [Текст] / С. Г. Фірсова // Формування ринкових відносин в Україні. - 2007. - N 5. - C.64-69
Шабранська, Н. І. Інноваційна діяльність як чинник прискореного розвитку малого підприємництва [Текст] / Н. І. Шабранська // Проблеми науки. - 2007. - N 9. - C.20-26