Оценка качества продукции (работа 4)
1. Понятие качества, показатель качества, группы показателей качества
В квалиметрии применяется ряд специфических терминов, требующих однозначного толкования.
Традиционно в нашей стране существовало два подхода к определению понятия "качество". Первый такой подход был отражен в первых терминологических стандартах – ГОСТ 150467-70 "Качество продукции. Термины" и ГОСТ 15467-79 "Управление качеством продукции. Основные понятия. Термины и определения":
"Качество продукции – совокупность свойств продукции, обуславливающих ее пригодность удовлетворять определенные потребности в соответствии с ее назначением".
Второй подход отражен в следующем определении:
"Качество продукции означает степень соответствия свойств продукции комплексу и уровню тре6ований, установленных стандартами, техническими условиями или образцами(эталонами), а в случаи отсутствия нормативно – технических документов или при согласовании более высоких либо детализированных по сравнению с ними требований - поставки"[1].
С этим определением совпадает по существу определение, данное в международном документе ИСО/ОПМС 9000 : 2000 "Системы менеджмента и качества. Основные положения и словарь ":
"Качество: степень соответствия совокупности присущих характеристик требованиям" (формулировка по ГОСТ Р ИСО 9000 – 2001, представляющему аутентичный текст упомянутого международного стандарта).
Последние два определения являются определениями качества как правовой категории. Понятие качества как правовой категории необходимо для регулирования отношений сторон при купле – продажи товаров.
Таким образом, можно сделать вывод о том, что приведенные понятия качества продукции дополняют одно другое.
Качество характеризуется показателями:
Показатель качества продукции - количественная характеристика одного или нескольких свойств продукции, составляющих её качество.
Единичный показатель качества - показатель качества, относящийся только к одному из свойств объекта.
При любом измерении нужен эталон сравнения (метр, килограмм и т.д.)
Для этого в квалиметрии:
Базовый показатель качества - показатель качества объекта, принятый за эталон при сравнительных оценках качества.
Базовые показатели так же могут быть единичными и комплексными.
Относительный показатель качества - отношение показателя качества оцениваемого объекта к базовому показателю качества, выраженное в относительных единицах.
Комплексный показатель качества - показатель качества продукции, характеризующий несколько ее свойств. Комплексный показатель качества позволяет в целом дать характеристику качеству продукции.
В зависимости от характеризуемых свойств можно выделить несколько групп показателей качества.
1.Показатели технического эффекта (назначения) – показатели, характеризуют свойства продукции, определяющие основные функции, для выполнения которых она предназначена, и обуславливают область ее применения.
В эту группу входят:
а) классификационные показатели, устанавливающие принадлежность изделий к классификационной группировке (классы автомобилей, точности приборов и т.д.);
б) функциональные (эксплуатационные), характеризующие полезный результат от эксплуатации изделий (быстродействие компьютера, производительность стана, точность измерительного прибора и т.д.);
в) конструктивные, дающие точное представление об основных проектно-конструкторских решениях изделий (двигатели дизельные, бензиновые, электрические и т.д.);
г) показатели состава и структуры, определяющие содержание в продукции химических элементов, их соединений (процентное содержание серы и золы в коксе и т.д.). Показатели этой группы играют основную роль в оценке уровня качества, они часто используются как критерии оптимизации и применяются совместно с другими видами показателей.
2. Показатели надежности характеризуют свойства безотказности, долговечности, ремонтопригодности и сохраняемость
Надежность – свойство объекта сохранять во времени в установленных пределах значения его параметров.
Безотказность – свойство изделия сохранять работоспособность в течение некоторого времени или наработки.
Работоспособное состояние, работоспособность – состояние объекта, при котором его параметры находиться в установленных допусках.
Отказ – событие, заключающееся в нарушении работоспособного состояния.
Долговечность – свойство изделия сохранять работоспособность до предельного состояния с необходимыми перерывами для технического обслуживания и ремонта. Предельное состояние – это такое состояние, при котором дальнейшая эксплуатация товара (объекта) невозможна или нецелесообразна.
Показателем долговечности служит средний ресурс. т. е. среднее время работы до достижения предельного состояния. Другим показателем долговечности является средний срок службы – среднее календарное время до достижения предельного состояния.
Ремонтопригодность – свойство объекта, заключающееся в приспособленности к поддержанию и восстановлению работоспособного состояния.
Для совместной характеристики двух свойств – безотказности и ремонтопригодности – используются коэффициент готовности и коэффициент технического использования. Коэффициент готовности – это вероятность того, что объект окажется в работоспособном состоянии в произвольный момент времени, когда может потребоваться его применение по назначению. Коэффициент технического использования - это отношение математического ожидания суммарного времени пребывания объекта в работоспособном состоянии за некоторый период к сумме математических ожиданий времени пребывания объекта в работоспособном состоянии, простоев, обусловленных техническим обслуживанием и ремонтом за тот же период.
Сохраняемость – свойство изделий и продуктов сохранять исправное и пригодное к потреблению состояние в течение установленного в технической документации срока хранения и транспортирования, а также после него.
Для характеристики сохраняемости могут использоваться те же показатели, которые используются для характеристики безотказности, но применительно к режиму хранения ,а не работы.
Например, показатели транспортабельности характеризуют приспособленность продукции к транспортированию, не сопровождающемуся ее использованием или потреблением. Определяются экспериментальным, расчетным или экспертным методами. Например, показатель пригодности продукции к сохранению потребительских свойств при перевозках, он отражен в нормах естественной убыли для отдельных видов продукции (стекло, цемент и т.д.)
3.Экономические показатели или показатели экономного использования ресурсов – это показатели, характеризующие затраты на разработку, изготовление, эксплуатацию или потребление продукции, учитываемые в интегральном показателе качества продукции (различные виды затрат, себестоимость, цена и пр.), при сопоставлении различных образцов продукции – технико-экономические показатели.
4.Эргономические показатели – это, показатели которые характеризуют систему "человек – изделие" и учитывают комплекс свойств человека, проявляющихся в производственных и бытовых процессах. К ним относятся гигиенические (освещенность, температура, давление, влажность), антропометрические (одежда, обувь, мебель, пульты управления) и психофизиологические (скоростные и силовые возможности, пороги слуха, зрения и т.п.).
Эргономические показатели можно разделить натри группы. Антропометрические показатели характеризуют продукцию с точки зрения размеров и форм человеческого тела. Примеры таких показателей - высота сидения воителя в кабине автомобиля, угол наклона спинки сидения, расстояние до рычагов управления.
Физиологические показатели характеризуют продукцию с точк5и зрения силовых возможностей человека, возможностей его органов чувств – зрения, слуха.
Гигиенические показатели характеризуют гигиенические свойства продукции – уровень шума, вибрации, излучений, температура, влажность, запыленность.
5.Эстетические показатели характеризуют информационную выразительность, рациональность формы, целостность композиции, совершенство производственного исполнения, стабильность товарного вида (характеристики художественных стилей, оттенков, запахов, гармоничности и т.д.).
6.Экологические показатели характеризуют уровень вредных воздействий на окружающую среду, возникающих при эксплуатации или потреблении продукции. Например: содержание вредных примесей, выбрасываемых в окружающую среду, вероятность выброса вредных частиц, газов, излучений при хранении, транспортировании и использовании продукции, уровень ПДК.
7.Показатели безопасности характеризуют особенности продукции, обусловливающие при ее эксплуатации или потреблении безопасность человека. Они отражают требования к нормам и средствам защиты людей, находящихся в зоне возможной опасности при возникновении аварийной ситуации, и предусмотрены системой Госстандартов по безопасности труда, а также международными стандартами.
Кроме перечисленных групп показателей для характеристики качества продукции могут применяться показатели, характеризующие другие свойства, обусловленные спецификой, как самой продукции, так и условий ее применений. А также показатели, относящиеся к условиям разработки, изготовления и транспортирования продукции: показатели стандартизации и унификации, патентно-правовые, технологичности, транспортабельности и т.п. Наоборот, некоторые из перечисленных групп не характерны для отдельных видов продукции и поэтому не применяются для характеристики их качества.
2. Основные методы оценки уровня качества. Комплексный метод оценки
Согласно ГОСТ 15467-79 уровнем качества продукции называется относительная характеристика качества продукции, основанная на сравнении совокупности показателей ее качества с соответствующей совокупностью базовых показателей. Базовые значения показателей качества продукции - это показатели качества эталонного или базового образца. Отсюда ясно, что выбор базовых образцов - важнейший элемент оценки уровня качества продукции. Согласно ГОСТ 2.116 - 84 базовым называется образец продукции, соответствующий передовым научно-техническим достижениям в установленном периоде, как в нашей стране, так и в других промышленно развитых странах.
Установлению базовых образцов предшествует определение цели оценки, в зависимости от которой применяются разные группы базовых образцов.
При оценке уровня качества разрабатываемой продукции за базовые принимают перспективные образцы, характеризующиеся прогнозируемой совокупностью реально достижимых показателей качества в будущем периоде. Это может быть гипотетическое изделие, в котором при его разработке получили бы техническое воплощение на современном этапе развития все известные достижения науки и техники. Таким образом, результат сравнения параметров гипотетического и разрабатываемого изделий характеризует степень реализованности параметров гипотетического образца в разрабатываемом изделии.
При оценке выпускаемой продукции за базовый образец принимают продукцию, показатели качества которой соответствуют мировому уровню или лучшим отечественным образцам.
Выбор базовых образцов производится соответствующими отраслевыми НИИ, центральными и головными КБ, головными и базовыми организациями по стандартизации.
Уровень качества продукции, оцениваемый по совокупности показателей, в которую не входят экономические, называется техническим уровнем качества продукции. Когда учитываются и экономические показатели, то говорят о технико-экономическом уровне качества продукции.
Для оценки уровня качества продукции используются следующие методы: дифференциальный, комплексный.
Дифференциальный метод оценки уровня качества состоит в сравнении единичных показателей качества оцениваемой продукции (изделия) с соответствующими единичными показателями качества базового образца.
Имеются показатели оцениваемой продукции X1, X2...., XР и соответствующие показатели качества базового образца X1б,X 2б.....,Xр6. Для сопоставления показателей дифференциальным методом вычисляют значения относительных показателей качества продукции по формулам:
Q=Xi/Xib i-1,2,….,p (1.1)
Q=Xib/Xi (1.2)
где Xi - значение i-го показателя качества оцениваемой продукции;
X ib - значение i-го показателя качества базового образца.
p – количество рассматриваемых показателей качества продукции.
В зависимости от характера показателя качества выбирают ту или иную из этих формул. Для позитивных показателей, с увеличением значений которых качество повышается, выбирают формулу (1.1), а для негативных показателей, с увеличением значений которых качество продукции снижается, выбирают формулу (1.2).Вместо применения формулы (1.2) можно i – ый негативный показатель заменить соответствующим позитивным.
В тех случаях, когда значение Q >1,по данному i-му показателю оцениваемая продукция превосходит базовый образец, если Qi =1,то она соответствует базовому образцу, а если Qi< 1,то уступает ему.
При использовании дифференциального метода можно не вычислять значения относительных показателей Qi . Достаточно фиксировать результат сопоставления по каждому i-му показателю и качественной форме: продукция по i-му показателю превосходит базовый образец, соответствует или уступает ему. В результате сопоставления показателей дифференциальным методом могут быть сформулированы следующие результаты оценивания в качественной форме:
- уровень качества оцениваемой продукции выше уровня базового образца, если все значения Qi ≥ 1,причем хотя бы одно назначение Qi > 1(т.е продукция по всем показателям не уступает базовому образцу и хотя бы по одному превосходит);
- уровень качества оцениваемой продукции равен уровню базового образца, если все значения Qi = 1(т.е. продукция по всем показателям соответствует базовому образцу );
- уровень качества оцениваемой продукции ниже уровня базового образца, если все значения Qi ≤ 1, причем хотя бы одно значение, строго меньше единицы;Qi < 1(т.е. продукция по всем показателям не превосходит балловый образец и хотя бы по одному показателю уступает ему).
В случаях, когда часть значений относительных показателей качества Qi >1, а часть Qi < 1 (т.е. продукция по одним показателям превосходит базовый образец, а по другим уступает ему), дифференциальный метод не дает результата.
В этом случаи можно применить комплексный метод.
Первой разновидностью этого метода является использование главного показателя, т.е. показателя, который может, по мнению экспертов, в основном охарактеризовать качество изделия.
При использовании этого метода сопоставление качества оцениваемой продукции может осуществляться с одним или с несколькими базовыми образцами.
Показатели качества оцениваемой продукции и аналогов нормируется следующим образом. Показатели качества. Характеризующие одно свойство, делаться на максимальное значение этого показателя у всех аналогов, включая оцениваемую продукцию, если этот показатель позитивный, то его минимальное значение делиться на показатели качества каждого из базовых образцов, т.е. нормированные значения показателей качества определяются по формулам:
Qij =Xij/maxXij (1.3 )
Qij= minXij/Xij (1.4)
где i-1,2,….p,i=0,1,2,...,n,максимальное и минимальное значение берутся при фиксированных значениях индекса i.
Формула (1.3)применяется для позитивных показателей, формула(1.4) – для негативных.
Второй разновидностью является метод средневзвешенного показателя.
Средневзвешенный показатель определяется по формуле
I
=
iqig,
где, mi – коэффициент весомости,

Оцениваемая продукция признается соответствующей уровню качества, определяемому данной группой аналогов, если
Qmin ≤ Q0 ≤ Qmax ,
где, Q0 – средневзвешенный показатель качества оцениваемой продукции;
Qmin ,Qmax – минимальное и максимальное значение средневзвешенных показателей аналогов.
Если Q0 меньше Qmin ,то оцениваемая продукция уступает уровню качества данной группы аналогов, если Q0 ,больше Qmax – то превосходит.
Метод средневзвешенного показателя допускает в обоснованных случаях применение в формуле для его определения не суммы, а произведения или иной функции входящих в нее аргументов.
Третьей разновидностью комплексного показателя является метод, основанный на интегральном показателе.
Интегральный показатель качества J – это технико – экономический показатель качества продукции, основанный на сопоставлении суммарного полезного эффекта Э от эксплуатации или потребления продукции и суммарных затрат З на создание и эксплуатацию или потребление продукции:
J = Э/З=Э/(Зс +Зэ),
Где суммарный полезный эффект Э за срок службы продукции выражается в натуральной или денежной форме, а суммарные затраты З=Зс+Зэ выражаются в денежной форме, где Зс – капитальные затраты на создание(покупку) продукции, Зэ – сумма текущих затрат на эксплуатацию или потребление продукции за срок ее службы.
Недостатки интегрального показателя – трудность применения к изделиям сферы потребления, неприменимость для сырья и материалов, не учет эргономических, эстетических и некоторых других свойств. Он применим для изделий, эффект от эксплуатации которых выражается в натуральной или денежной форме.
При использовании комплексных показателей оценка является числом, поэтому вывод о сопоставленной оценке очевиден: оцениваемая продукция признается соответствующей уровню качества, определяемому данной группой аналогов. Если
Kmin ≤ KОП ≤ Kmax,
где KОП – комплексный показатель качества оцениваемой продукции;
Kmin , Kmax – минимальное и максимальное значение комплексного показателя качества аналогов.
Если КОП < Кmin ,то оцениваемая продукция уступает уровню качества данной группы аналогов, если КОП >К max, то превосходит его.
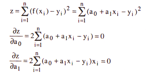
Обобщение дифференциального метода. Обобщение дифференциального метода оценки уровня качества продукции осуществляется в предложении. Что оценка осуществляется по двум показателям, причем оба эти показателя являются позитивными. Тогда каждому аналогу и оцениваемой продукции соответствует точка в двухмерном пространстве.
На рис.1.1. изображены три точки (х1,y2)(x2 ,y2) и (x2 ,y2).На основе этих точек может быть определена область соответствия, т.е. такая область. Попадание, в которую точки, соответствующей оцениваемой продукции, означает, что уровень качества оцениваемой продукции соответствует уровню качества группы аналогов. Если оцениваемая продукция попадает в нижнюю заштрихованную часть, то она уступает, если в верхнюю – превышает уровень аналогов область соответствия находиться между заштрихованными областями.







Рис.1.1 Двухмерная интерпретация оценки уровня качества
Определение этой области целесообразно осуществлять следующим образом. Вначале определяется зависимость вида
f(x)=a0 +a1 x,
определяющая прямую, аппроксимирующую точки(xi ,yi ),
i =1,…, n, где n – число аналогов, из условия, что величина
i)-yi
)2
,минимальна. Для определения а0 и а1 необходимо приравнять
нулю частные производные этой суммы по а0 и а1.

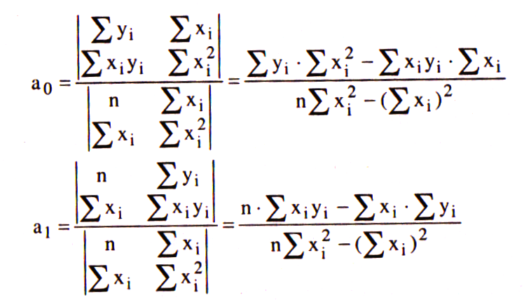
Запишем эти уравнения в стандартной форме:

Используя формулу Крамера для решения системы линейных уравнений, получаем:

Для решения задачи целесообразно исходные данные и результаты промежуточных расчетов представить в виде таблицы:
-
Xi
yi
Xi2
xiyi
№1
……..
№n
Σ
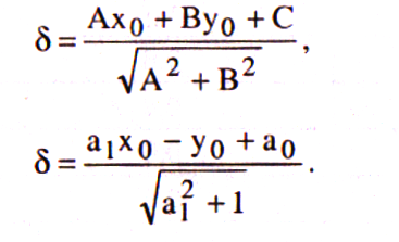
Область соответствия представляет собой полоску между отрезками линий, параллельных найденной изложенным методом и проходящих через максимально удаленные от нее точки, соответствующие аналогам, по обе стороны от этой линии. Для определения этой области необходимо определить расстояния от точек, соответствующих аналогам, и выбрать из них максимальные с каждой из сторон.
Если прямая задана уравнением стандартного вид Ах +Ву+С=0, то расстояние от точки (x0 ,y0) до этой прямой δ определяется по формуле

Знак перед корнем противоположен знаку С.
Расстояние δ положительно, если начало координат и точка (xi,yi) лежит по разные стороны от прямой. И отрицательно, если по одну сторону. Обозначим через δ+ максимальное отклонение точек с положительным расстояние, через δ- - с отрицательным, δ0 – отклонение точки, соответствующей оцениваемой продукции. Решение о соответствии уровня качества оцениваемой продукции в сопоставлении с аналогами принимается следующим образом:
δ0 < 0. В этом
случае, если (δ0)≤
-,
то оцениваемая продукция соответствует
аналогам. Если (δ0) >δ- ,то продукции
уступает аналогам.
δ0=0. Продукция соответствует аналогам.
δ0 >0.Если δ0≤ δ+, то оцениваемая продукция соответствует аналогам. Если δ0 > δ+, то продукция превосходит многие аналоги.
Проводиться кластеризация базовых изделий по трем уровням: высший, средний и низший.
Выбор базовых образцов высшего уровня осуществляется следующим образом: аналог не признается базовым изделием, если при сопоставлении с другим аналогом он уступает ему хотя бы по 1 одному показателю, не превосходя его пи по какому-либо из остальных; оба сопоставляемых аналога остаются для сопоставления с другими аналогами, если по одним показателям оказывается лучше один аналог, а по другим - другой. При этом значения некоторых показателей у этих аналогов могут совпадать. В результате попарного сопоставления всех аналогов остаются аналоги, каждый из которых не уступает ни одному из остальных по совокупности оценочных показателей. Эти аналоги являются базовыми объектами высшего уровня.
Выделение базовых объектов низшего уровня осуществляется следующим образом: аналог не признается базовым изделием, если при сопоставлении с другим аналогом он превосходит его, хотя бы по одному показателю, не уступая ему ни по какому-либо из остальных; оба сопоставляемых аналога остаются для сопоставления с другими аналогами, если по одним показателям оказывается хуже один аналог, а по другим - другой. При этом значения некоторых показателей у этих аналогов могут совпадать. В результате попарного сопоставления всех аналогов остаются аналоги, каждый из которых не превосходит ни один из остальных по совокупности оценочных показателей. Эти аналоги являются базовыми объектами низшего уровня.
В среднюю группу входят аналоги, оставшиеся после отбора аналогов, относящихся к высшей и низшей группам.
В зависимости от того, на каком уровне собирается конкурировать разработчик или изготовитель продукции, осуществляющий уровня качества своей продукции, выбираются аналоги высшего, среднего или низшего
С учетом сказанного выше могут быть систематизированы основные правила и положения по разработке методики оценки уровня качества.
1.Качество объекта характеризуется набором показателей X1, X2,…,Хр.
2.Уровень качества продукции оценивается на основе
составления ёе показателей с базовыми значениями. Относительная оценка качества продукции, полученная в результате сравнения значений показателей ёе качества с базовыми значениями соответствующих показателей, называется уровнем качества продукции.
3.Уровень качества можно рассматривать и оценивать по
совокупности
всех свойств и в различных аспектах:
функциональной 
пригодности,
надежности, безопасности, технологичности,
защиты окружающей среды, потребления
ресурсов и т. п.
4. Результаты оценки уровня качества, а также конкурентоспособности объектов (технологических систем, продукции, услуг, интеллектуальных продуктов) могут служить для внутреннего использования на предприятии при решении задач общего руководства качеством в целях:
маркетинга, изучения рынков сбыта продукции;
обоснования требований, закладываемых в техническое задание (ТЗ) на разработку продукции и нормативную
документацию;
-выбора варианта при разработке новой или модернизируемой продукции;
принятия решения о постановке продукции на производство;
выбора поставщиков сырья, материалов и комплектующих
изделий;
-формирования предложений по экспорту и импорту продукции;
-обоснования целесообразности замены или снятия продукции с производства;
- обоснования целесообразности добровольной сертификации продукции.
5.Процедура оценивания уровня качества любого объекта
включает следующие общие для всех методов этапы:
выбор номенклатуры показателей качества, необходимых для оценки объектов данного вида;
формирование группы аналогов оцениваемых объектов и установление значений их показателей качества;
определение совокупности базовых значений показателей качества;
- сопоставление показателей качества оцениваемых объектов с базовыми значениями;
формирование оценки как результата оценивания;
оформление заключения о результатах оценки.
6.Номенклатура показателей, выбираемых для оценивания
уровня качества, должна обеспечивать получение оценки в аспектах, соответствующих целям оценивания, и приниматься одинаковой для всех аналогов и оцениваемых объектов (технологий, продукции, услуг, интеллектуальных продуктов).
Выбор номенклатуры показателей производится с учетом показателей, указанных в следующих документах:
международных стандартах (ИСО, МЭК, ЕЭК ООН и др.);
национальных зарубежных и отечественных стандартах;
документации на поставку продукции;
каталогах, проспектах и стандартах фирм - изготовителей данного вида продукции;
патентной и конъюнктурно-экономической документации;
стандартах СПКП.
7. Различают классификационные, оценочные и ограничительные показатели.
По значениям классификационных показателей подбирают
группу аналогов оцениваемой продукции (или любого другого объекта).
Оценочные показатели характеризуют свойства продукции, связанные с ёе способностью удовлетворять определенные потребности, и используются для сопоставления образцов продукции при оценке уровня качества.
Каждый оценочный показатель характеризуется направлением его влияния на качество продукции: повышению качества соответствует увеличение значений одних, так называемых позитивных, показателей и уменьшение других - негативных.
Ограничительные показатели выделяются в зависимости от характера решаемой задачи и цели оценивания и используются в качестве ограничений.
8.Группа аналогов формируется с целью определения уровня требований, предъявляемых к объектам данного вида на определенном рынке. Все аналоги и оцениваемая продукция должны иметь одинаковые или сопоставимые значения классификационных показателей, определяющие их принадлежность к одной группе.
В зависимости от цели оценивания продукции в группу аналогов включаются перспективные образцы, поступление которых на рынок прогнозируется, и реальные образцы, которые реализуются на рынке на момент оценивания.
9.Базовые значения показателей определяются по совокупности значений показателей качества аналогов. Применяются два способа определения этих значений:
- выделение базовых образцов;
- вычисление теоретических базовых значений


В
качестве базовых образцов выделяются
лучшие, худшие или типичные образцы из
группы шалотов в зависимости от пели
оценивания. В различных методах оценивания
используются различные принципы и
правила выделения базовых образцов, но
могу) использоваться и все аналоги
оцениваемой продукции.
Теоретические базовые значения показателей определяются расчетным путем по совокупности значений показателей качества аналогов. В различных методах используются различные принципы расчетов; в простейшем случае за базовые принимаются наилучшие значения показателей.
При определении базовых значений следует учитывать взаимосвязи различных показателей качества данного вида продукции Расчетный способ определения базовых значений должен удовлетворять этому условию. Простейший способ, когда в качестве базовых значений выбираются лучшие показатели из группы аналогов, может не удовлетворять этому условию, и поэтому его применение не всегда оправдано.
10. Основным принципом оценивания уровня качества продукции является сопоставление совокупности значений показателей оцениваемой продукции с совокупностью базовых значений этих показателей.
В различных методах оценивания используются различные правила такого сопоставления. При использовании дифференциального метода производится попарное сопоставление оцениваемого и базового образцов продукции по соответствующим показателям качества, в других методах такое сопоставление в явном виде не производится, а совокупность показателей оцениваемой продукции сопоставляется с базовыми значениями с помощью некоторой теоретической модели.
11. По результатам сопоставления значений совокупности показателей продукции с их базовыми значениями формулируется результат оценивания - оценка уровня качества продукции в целом или в отдельных аспектах. Эта оценка представляется в количественной или качественной форме.
В количественной форме оценка выражается одним числом, которое рассматривается как значение комплексного показателя качества, отражающего определенную совокупность свойств продукции.
В качественной форме оценка представляется в виде утверждения о том, соответствует ли в целом продукция по рассматриваемой совокупности свойств уровню требований определенного рынка, превосходит их или же уступает им.
3. Задание. Изучение последовательности оценки конкурентоспособности непродовольственных товаров
Последовательность.

Объекты исследования:
Объект №1 — солонка "Грибок" — керамическая, декорированная красками (5 цветов из краскопульта) и ручная дорисовка.
Объект №2 — солонка "Котенок" — из фарфора, декорированная подглазурно и надглазурно, ручная дорисовка.
Составление анкеты опроса.
|
Наименование показателя |
Ранг |
||||||||||
|
1.Основные геометрические размеры, см (мм) 2.Легкость пользования (высыпание соли) 3.Прочность декоративного покрытия к истиранию 4.Белизна 5.Блеск глазури 6.Прочность глазури к истиранию 7.Безопасность (ПДК) 8.Дизайн (соответствие моде) 9.Цвет (соотношение) 10.Способ укупорки |
3 2 5 8 9 4 6 1 7 10 |
||||||||||
|
Итого: |
55 |
||||||||||
|
Xl |
X2 |
X3 |
X4 |
X5 |
X6 |
X7 |
X8 |
X9 |
XlO |
Σ |
|
|
1 |
8 |
2 |
3 |
6 |
7 |
5 |
4 |
1 |
9 |
10 |
55 |
|
2 |
3 |
2 |
5 |
8 |
9 |
4 |
6 |
1 |
7 |
10 |
55 |
|
3 |
10 |
2 |
6 |
9 |
8 |
7 |
1 |
3 |
4 |
5 |
55 |
|
4 |
5 |
3 |
9 |
6 |
4 |
1 |
8 |
10 |
7 |
2 |
55 |
|
5 |
3 |
1 |
6 |
9 |
7 |
10 |
5 |
2 |
8 |
4 |
55 |
|
6 |
1 |
4 |
2 |
7 |
9 |
8 |
3 |
6 |
5 |
10 |
55 |
|
7 |
7 |
3 |
1 |
8 |
4 |
2 |
6 |
10 |
9 |
5 |
55 |
|
8 |
2 |
4 |
5 |
3 |
9 |
7 |
8 |
6 |
1 |
10 |
55 |
|
9 |
2 |
3 |
5 |
7 |
9 |
8 |
1 |
4 |
6 |
10 |
55 |
|
10 |
3 |
2 |
7 |
9 |
10 |
8 |
1 |
6 |
5 |
4 |
55 |
|
11 |
4 |
1 |
6 |
10 |
9 |
5 |
2 |
7 |
3 |
8 |
55 |
|
Σ |
48 |
27 |
55 |
82 |
85 |
65 |
45 |
56 |
64 |
78 |
605 |
|
S-S |
-12,5 |
-33,5 |
-5,5 |
21,5 |
24,5 |
4,5 |
-15,5 |
-4,5 |
3,5 |
17,5 |
0 |
|
(S-S)2 |
156,25 |
1122,25 |
30,25 |
462,25 |
600,25 |
20,25 |
240,25 |
20,25 |
12,25 |
306,25 |
2970,25 |
|
R(S) |
3 |
1 |
4 |
9 |
10 |
7 |
2 |
5 |
6 |
8 |
55 |
|
δ |
21,08 |
3,7 |
1,8 |
1,2 |
1,2 |
1,54 |
2,22 |
1,79 |
1,56 |
1,28 |
18,4 |
|
δK |
0,11 |
0,2 |
0,1 |
0,07 |
0,07 |
0,08 |
0,12 |
0,1 |
0,08 |
0,07 |
1 |
|
1 |
5 |
1 |
1 |
3 |
3 |
2 |
2 |
4 |
3 |
2 |
26 |
|
2 |
0 |
1 |
1 |
1 |
1 |
3 |
4 |
4 |
1 |
2 |
18 |
|
3 |
7 |
1 |
2 |
0 |
2 |
0 |
1 |
2 |
2 |
3 |
20 |
|
4 |
2 |
2 |
5 |
3 |
6 |
6 |
6 |
5 |
1 |
6 |
43 |
|
5 |
0 |
0 |
2 |
0 |
3 |
3 |
3 |
3 |
2 |
4 |
19 |
|
6 |
2 |
3 |
2 |
2 |
1 |
1 |
1 |
1 |
1 |
2 |
16 |
|
7 |
4 |
2 |
3 |
1 |
6 |
5 |
4 |
5 |
3 |
3 |
11 |
|
8 |
1 |
3 |
1 |
6 |
1 |
0 |
6 |
1 |
5 |
2 |
27 |
|
9 |
1 |
2 |
1 |
2 |
1 |
1 |
1 |
1 |
0 |
2 |
12 |
|
10 |
0 |
1 |
3 |
0 |
6 |
1 |
1 |
1 |
1 |
4 |
18 |
|
11 |
1 |
0 |
2 |
1 |
1 |
2 |
0 |
2 |
3 |
0 |
11 |
=
60,5
W = Σ(Si-S)2/l/12m2(n3-n),
где W — коэффициент конгордации;
m — количество экспертов;
n — количество показателей
W
- 2970,5/ 1/12
112(103
- 10) = 2970,5/ 1/12
121(1000
- 10)= 2970,5
12/121
990
=35646/119790 = 0,3.
Таким образом, 30% экспертов работают согласованно. Это делается до тех пор, пока коэффициент конгордации равен более чем 0,5 (50%)
Критерии Пирсена
X2p
= W
m(n-l)
X2табл.(p = 0,95или95%)
X2p > X2табл
£ — весомость/значимость = 100/ΣSi

=
1/10= 1/n
= 0,1
Вывод
Таким образом, разработана номенклатура показателей качества солонок, включающая в себя:
основные геометрические размеры;
легкость пользования (высыпание соли);
безопасность;
дизайн (соответствие моде);
прочность декоративного покрытия к истиранию.
-
Образец №1
Образец №2
Базовое значение
1. 60 мл/г
1. 45 мл/г
1. 70 мл/г
2. 3
2. 3
2. 5
3. 1
3. 5
3. 5
4. 3
4. 4
4. 5
5. 4
5. 3
5. 5
Список использованных источников
1. Емельянова М.Б. "Стандарты и качество продукции". М.: Изд-во стандартов, 1971.
2. Фомин В.Н." Квалиметрия. Управление качеством. Сертификация". М.: Изд-во ОСЬ-89, 2007,- 383c