Проведение организационных изменений для совершенствования существующей организационной структуры
ВВЕДЕНИЕ
Структура организации – это способ построения взаимосвязи между уровнями управления и функциональными областями, обеспечивающий оптимальное при данных условиях достижение целей организации, т.е. «организационная структура управления" (ОСУ) - одно из ключевых понятий менеджмента, тесно связанное с целями, функциями, процессом управления, работой менеджеров и распределением между ними полномочий. В рамках этой структуры протекает весь управленческий процесс (движение потоков информации и принятие управленческих решений), в котором участвуют менеджеры всех уровней, категорий и профессиональной специализации. Структуру можно сравнить с каркасом здания управленческой системы, построенным для того, чтобы все протекающие в ней процессы осуществлялись своевременно и качественно. Отсюда то внимание, которое руководители организаций уделяют принципам и методам построения структур организации, выбору их типов и видов, изучению тенденций изменения и оценкам соответствия задачам организаций, - это показывает актуальность и важность данной темы в современных условиях.
Под структурой управления понимается упорядоченная совокупность устойчиво взаимосвязанных элементов, обеспечивающих функционирование и развитие организации как единого целого. ОСУ определяется также как форма разделения и кооперации управленческой деятельности, в рамках которой осуществляется процесс управления по соответствующим функциям, направленным на решение поставленных задач и достижение намеченных целей. С этих позиций организационная структура представляется в виде системы оптимального распределения функциональных обязанностей, прав и ответственности, порядка и форм взаимодействия между входящими в ее состав органами управления и работающими в них людьми.
На сегодняшний день, в России в интересах выживания и гибкого реагирования на динамично меняющиеся рыночные условия, повышения устойчивости и адаптационной способности в удовлетворении потребительского спроса, преодоления отставания в развитии техники и технологии, в обеспечении высокого качества выпускаемой продукции и предоставляемых услуг предприятия должны целенаправленно проводить организационные изменения. Благодаря этому преодолевается инертность и застой в структурах управления, в сложившейся системе связей и отношений. Поэтому, именно эта проблема легла в основу научных изысканий данного дипломного проекта.
Целью данного дипломного проекта, главным образом, будет являться выявление необходимости проведения организационных изменений, изучение этой проблемы и разработка предложений основных направлений организационных изменений на конкретном предприятии.
Главной задачей разработанного проекта является разработка предложений проведения организационных изменений для совершенствования существующей организационной структуры на предприятии.
Объектом исследования является Общество с ограниченной ответственностью «ЛаНе», г. Сочи ул. Краснодонская 6а.
Представленная дипломная работа состоит из трех глав (разделов), введения и заключения.
Первая глава включает в себя теоретический материал, касающийся основных вопросов организационных изменений. Здесь раскрыты понятия и причины организационных изменений, сопротивление организационным изменениям, рассмотрены предпосылки и условия способствующие организационным изменениям, основные этапы и методы проведения организационных изменений, описан вопрос эффективности организационных изменений.
Вторая глава данного дипломного проекта посвящена изучению объекта исследования. Сначала дается краткая общая характеристика предприятия, затем рассматривается организационная структура предприятия ООО «ЛаНе», миссия и приоритетные цели данного предприятия. Заканчивается эта глава выводами в выявлении потребности в SWOT – анализе для определения сильных и слабых сторон в деятельности предприятия, основных угроз и возможностей и направлений организационных изменений, направленных на достижение целей и задач предприятия.
Третья глава предлагаемого проекта посвящена изучению состояния предприятия, его позиций на рынке, изучение внешней и внутренней среды предприятия, разработке программы направлений организационных изменений а так же расчет эффективности совершенствования организационных структуры.
В заключении формулируется выводы по результатам выполненного дипломного проекта.
При написании работы использовалась экономическая литература отечественных и зарубежных авторов, устав предприятия ООО «ЛаНе».
Глава 1. Теория Определения эффективности организационной структуры
1.1 Понятие организационных изменений на предприятии и его необходимость
В настоящее время стало модным проявлять интерес к организационным изменениям. Это объясняется тем, что во многих фирмах изменение условий окружения и технологии вызывает необходимость соответствующих организационных изменений. Утверждают даже, что быстрота, с которой происходят социальные изменения, и растущая сложность условий окружения уже сами по себе определяют необходимость в частых организационных изменениях. На этом основании У. Беннис утверждает, что бюрократический тип организации будет вытеснен "органично - адаптивными" структурами, т.е. "адаптивными, быстро изменяющимися системами временного типа, состоящими из различных специалистов, объединенных в органичное целое усилиями специалистов по координации и оценке задач".
Понятие организационного изменения было введено в теорию менеджмента, и оно имеет место в самой системе управления.
воздействие
Кто управляет
Объект управления
Цель



информация
Обратная связь
Рис. 1.1 Модель системы управления
Чем быстрее реакция организации на внешние изменения и реализация ответных действий, тем быстрее организация выйдет из зоны нестабильности и сможет конкурентоспособно функционировать в новых условиях окружающей среды.
Обновление организации представляет собой процесс замены устаревших и неспособных в должной мере выполнять свои функции ее элементов новыми или дополнение их ранее не существовавшими с целью приблизить ее возможности к требованиям жизни. Отставание от нее сказывается прежде всего на общих результатах ее деятельности, приводят к сужению круга покупателей и клиентов, снижению качества товаров и услуг, уменьшению масштабов сбыта, и в итоге выражается в падении прибыли.
Организационные проблемы обычно бывают связаны с устаревшей структурой фирмы, системой управления ею, сбоями в информационном обмене, неблагополучии в персонале, финансах, технологиях.
Приближение к точке разрыва требует от организации принятия мер по обновлению основных направлений своей деятельности. Но даже если дела идут благополучно и, организация находится на подъеме, она все равно должна обновляться, если хочет достичь или сохранить лидирующее положение в своей сфере. Поэтому процесс совершенствования, по сути, непрерывен и является одним из важнейших объектов управления.
Преобразования, происходящие в организации, можно рассматривать с самых различных точек зрения. Прежде всего, они бывают запланированными и незапланированными. Первые осуществляются в рамках эволюционного развития, тенденции которого хорошо отслеживаются, и на основании этого заблаговременно намечается наиболее подходящий момент для преобразований. Незапланированные часто приходится осуществлять спонтанно, в неожиданных ситуациях, поэтому иногда их процесс может стать стихийным, неуправляемым.
Преобразования могут быть разовыми или многоступенчатыми, что во многом определяется их масштабом, располагаемым временем, внутренней гибкостью организации, ее способностью выдержать шок, вызванный переменами.
Если преобразования навязываются членам организации, они вызывают их недовольство и снижают деловую активность; правда, не всегда согласование тех или иных вопросов с исполнителями бывает возможным и целесообразным, тем не менее это по возможности рекомендуется делать, например, путем привлечения рядовых членов организации к совместной выработке решений, консультированию и т.п.
Методы, с помощью которых осуществляются преобразования, могут быть технологическими (модернизация оборудования, реконструкция
предприятия); организационными (реорганизация, создание прогрессивной системы норм и нормативов); пропагандистско - воспитательными (демонстрация преимуществ, убеждение, разъяснение); административными (принуждение, угроза наказания); экономическими (материальное стимулирование).
Направленность процесса преобразований и методов их осуществления должны быть согласованы друг с другом, а также с повседневной деятельностью организации и системой управления ею.
Любые преобразования требуют наличия определенных предпосылок, ослабляющих сопротивление членов организации и обеспечивающих конечный успех. Они могут быть идеологическими, организационными, кадровыми, материальными.
По мнению бывшего премьер-министра Новой Зеландии Р. Дугласа, успех преобразований зависит от следующих обстоятельств:
- наличия высококвалифицированных кадров;
- четкости постановки целей;
- энергичности и последовательности в деле их достижения;
- вовлеченности людей в процесс преобразований;
- уверенности руководства;
- доверия общественности;
- пользы, приносимой людям.
Особо необходимо подчеркнуть роль руководителя в преобразованиях.
Именно он и его непоколебимая вера в безграничность совершенствования, опыт, знания, неукротимая энергия и в то же время предусмотрительность, осторожность служат залогом успеха.
1.2 Причины изменения организационной структуры
Совершенствование организационной структуры предприятия, в соответствие с изменившимися условиями является одной из важнейших задач управления. В большинстве случаев решения о корректировке структур принимаются высшими руководителями организации как часть их основных обязанностей. Значительные по масштабам организационные преобразования не осуществляются до тех пор, пока не появится твердая уверенность в том, что для этого существуют серьезные причины, вызывающие их необходимость. Можно назвать некоторые ситуации в отдельности или в комбинации, когда оправданы затраты на корректировку структуры или разработку нового проекта.
■ Неудовлетворительное функционирование предприятия. Наиболее распространенной причиной необходимости разработки нового проекта организации являются неудачи в попытке применения каких-либо других методов снижения роста издержек, повышения производительности, расширения все сужающихся внутренних и внешних рынков или в привлечении новых финансовых ресурсов. Обычно, прежде всего, предпринимаются такие меры, как изменения в составе и уровне квалификации работающих, применение более совершенных методов управления, разработка специальных программ. Но, в конце концов, руководители на высшем уровне приходят к выводу, что причина неудовлетворительной деятельности предприятия заключается в определенных недостатках организационной структуры управления.
■ Перегрузка высшего руководства. Некоторым предприятиям удается функционировать удовлетворительно только ценою чрезмерной изнурительной нагрузки на нескольких высших руководителей. Если очевидные меры по изменению методов и процедур управления не позволяют уменьшить нагрузку, не приводят к сколько-нибудь продолжительному облегчению, то весьма эффективным средством решения этой задачи становится перераспределение прав и функций, корректировки и уточнения в формах организации.
■ Отсутствие ориентации на перспективу. Будущее развитие предприятия требует со стороны высших руководителей все большего внимания стратегическим задачам, независимо от характера предприятия и рода его деятельности. И в то же время до сих пор многие руководители высшего ранга продолжают основное время уделять оперативным вопросам, а их решения, которые будут иметь влияние и в далекой перспективе, основываются на простой экстраполяции текущих тенденций на будущее. Высший руководитель (или их группа) должен осознавать, что его важнейшая обязанность заключается в том, чтобы сделать предприятие способным разработать и реализовать стратегическую программу с той полнотой, которую позволяет юридическая и экономическая самостоятельность предприятия. Обеспечение такой способности почти всегда связано с преобразованиями организационных форм, а также с введением новых или измененных коренным образом процессов принятия решений.
■ Разногласия по организационным вопросам. Каждый опытный руководитель высшего ранга знает, что стабильность в организационной структуре предприятия, как правило, свидетельствует не столько о внутренней гармонии, сколько об успешном решении конфликтных ситуаций. Существующая структура, какова бы она ни была, создает препятствия для эффективной работы, затрудняет достижение целей некоторых отделов или подразделений, недостаточно четко отражает значение некоторых функциональных ролей, допускает несправедливое распределение власти, положений и полномочий и т.д. Когда возникают глубокие и устойчивые разногласия по поводу организационной структуры и особенно, когда высшее руководство сомневается относительно оптимальной формы, единственным выходом является тщательное изучение структуры. Смена руководства часто вызывает решение о реорганизации. Одна группа руководителей может эффективно действовать в рамках конкретной структуры. Группа, которая придет им на смену, может найти такую форму совершенно не соответствующей ее подходу к проблемам предприятия.
Эти обстоятельства, которые, как показал опыт, обычно предшествуют масштабному изучению организации, являются симптомом ряда причин, одни из которых действуют внутри предприятия, а другие полностью выходят из сферы его влияния.
■ Рост масштаба деятельности. Даже в условиях устойчивого ассортимента продукции, стабильных производственных процессов и сбыте при продолжительном увеличении размера предприятия появляется необходимость в значительном структурном преобразовании. К росту масштаба деятельности можно приспособиться и посредством небольших изменений в структуре. Тем не менее, если основная структура остается без изменений, от этого затруднится координация, руководители будут перегружены, ухудшится функционирование предприятия.
■ Увеличение разнообразия. Расширение номенклатуры выпускаемой продукции или услуг, выход на разнообразные рынки, дополнительное освоение новых производственных процессов вносят совершенно новые моменты в организацию. До тех пор пока эти разнородные элементы сравнительно невелики, их можно приспособить к какой-либо части существующей структуры. Но когда они принимают огромные размеры — по используемым ресурсам, потребностям, риску, будущим возможностям, то структурные изменения становятся неизбежными.
■ Объединение хозяйствующих субъектов. Слияние двух или нескольких предприятий, даже одинаковых по характеру, обязательно вносит некоторые изменения в организационную структуру. Проблемы совпадения функций, излишнего персонала, путаница в распределении прав и ответственности требуют немедленного решения. Соединение с небольшими по размеру единицами обычно в меньшей степени затрагивает структуру, но если такое слияние происходит в течение достаточно длительного времени, изменения основной структуры становятся неизбежными. Если же объединяются два или несколько больших предприятий, то следует ожидать крупных структурных перемен.
■ Изменение технологии управления. Научные достижения в области управления начинают оказывать все большее влияние на организационные структуры и процессы (прогрессивные методы обработки информации, исследования операций и планирования, проектные и матричные формы построения и т.п.). Появляются новые должности и функциональные подразделения, изменяются процессы принятия решений. Некоторые отрасли производство массовой продукции, обрабатывающие отрасли, транспортные и распределительные системы, некоторые финансовые учреждения — в действительности изменялись коренным образом благодаря успехам в области технологии управления. В этих отраслях предприятия, отстававшие в применении современных методов управления, оказывались в неблагоприятных условиях при жесткой и все более растущей конкуренции.
■ Влияние технологии производственных процессов. Влияние научных и технических изменений на организационную структуру было в последние годы в наибольшей степени исследованным и распространенным аспектом организационных изменений. Быстрое развитие отраслевых исследований, рост научных учреждений, повсеместное распространение управления проектами, растущая популярность матричных организаций — все это свидетельствует о распространении влияния точных наук на промышленные организации.
■ Внешняя экономическая обстановка. Большинство промышленных предприятий находится в постоянно изменяющемся экономическом окружении. Некоторые изменения совершаются резко, из-за чего нормальное прежде функционирование предприятия внезапно становится неудовлетворительным. Другие изменения, которые происходят медленнее и имеют более фундаментальный характер, вынуждают предприятия переключаться на другие сферы деятельности или же переходить к новым средствам и методам руководства деятельностью в их прежней области. В любом случае наиболее вероятным результатом будет изменение главных задач управления, а значит, и новая организационная структура.
Сопротивление организационным изменениям и его причины
Строго говоря, преобразования, особенно имеющие стратегический характер, всегда вызывают сопротивление у членов организации, в результате чего возникают отсрочки начала этого процесса, саботаж тех или иных мероприятий, связанных с внедрением новшеств, а следовательно, происходит отставание по сравнению с намеченными сроками достижения целей, а то и их полный срыв.
Правда, поскольку большинство организаций имеет несколько "силовых центров", причем расположенных на различных уровнях управленческой иерархии и обладающих различными интересами, степень, направленность и активность сопротивления в разных частях организации будут неодинаковыми.
Обычно сила сопротивления членов организации зависит от трех основных обстоятельств: степени разрушения сложившихся жизненных устоев, принципов и норм; скорости и интенсивности процесса изменений; характера и масштабов угрозы власти.
Рассмотрим теперь основные причины сопротивления преобразованиям. Условно их можно разделить на несколько групп, к первой из которых необходимо причислить экономические, связанные с потенциальной возможностью потери дохода или его источников. Конкретно сюда можно отнести страх перед перспективой безработицы, сокращением рабочего дня, интенсификацией труда, лишением льгот и привилегий. Экономические потери могут быть также обусловлены высокими затратами времени и средств, в связи с проведением самих преобразований. Другая группа причин, вызывающих сопротивление людей преобразованиям, - организационные. Здесь можно упомянуть нежелание менять сложившуюся систему отношений, нарушать существующую расстановку сил, опасение за будущую карьеру, судьбу неформальной организации.
К третьей группе причин можно отнести личностные, связанные преимущественно с психологическими особенностями людей. Здесь может идти речь о силе привычки, инертности, страхе перед новым, неизведанным. Большинству людей вообще не нравится, когда нарушается привычный ход событий. В процессе перемен неизбежно возникает угроза должности, личной власти, статусу, положению в организации, уважению в глазах руководства и коллег. Наконец, личное сопротивление может основываться на осознании своей некомпетентности, неверии в собственные силы, способность освоить новые виды деятельности, нежелании преодолевать трудности, брать на себя дополнительные обязанности, самостоятельно думать и работать.
Наконец, выделяется большая группа социально-политических причин характерных не только для отдельных членов организации и их групп, но и всего коллектива в целом. Здесь можно назвать такие факторы, как отсутствие у людей убежденности в их необходимости, во многом обусловленное недостаточной информированностью об их целях методах, ожидаемых выгодах и возможных потерях.
Сюда можно отнести недовольство методами осуществления преобразований, их навязанностью, внезапностью проведения, недоверие инициаторам перемен; угроза разрушения существующей организационной культуры, ценностей; неблагоприятный морально-психологический климат; стремление сохранить "старые добрые" порядки и традиции, уверенность большинства членов организации, что надвигающиеся перемены исключительно в интересах руководства. Усилению сопротивления способствуют такие обстоятельства как стабильность коммерческих результатов, позволявшая долгое время "почивать на лаврах", закостенелость, рутина, недостаточная квалификация и высокая текучесть кадров, нездоровая внутренняя атмосфера, господство авторитарных методов руководства.
Наряду с сопротивлением столь же часто можно будет встретить и поддержку перемен. Как правило, изменения проводятся легко в том случае, когда люди ощущают разницу между эффективностью выполняемой ими работы и эффективностью той работы, которую, по их мнению, они должны выполнять.
Говоря конкретно, изменениям способствуют:
1) кадровые изменения. Та часть персонала, которая чувствовала себя ущемленной в рамках старой системы управления, надеется, что в новых условиях сможет продемонстрировать свои творческие возможности, способности, компетентность;
2) изменения в технологии или условиях окружения, так как подобные изменения обычно подчеркивают имеющиеся недостатки и тем самым позволяют обнаружить резервы повышения эффективности.
1.4 Анализ и проектирование организационной структуры
Каждое из отмеченных выше обстоятельств приводит к изменениям структуры и может в такой же степени указывать на необходимость пересмотра главной стратегии предприятия. Ни стратегия, ни структура не могут быть установлены независимо друг от друга. Тем не менее, приоритет отдается задачам, целям, распределению ресурсов и основным программам, составляющим стратегию предприятия. Связано это с тем, что большинство серьезных проблем на крупных предприятиях имеет скорее стратегический, чем организационный характер.
Неспособность выжить и функционировать эффективно чаще всего является результатом того, что:
-принимаются необоснованные стратегические решения;
-предприятия пытаются продолжать деятельность в объеме, который уже не является экономичным;
-не удается наладить выпуск новой продукции или выпускается не находящая сбыта продукция и не там, где надо;
-фирмы, имеющие один рынок сбыта, не способны диверсифицировать производство.
Перераспределение задач, прав и ответственности, информационных потоков повышает эффективность организации путем роста производительности и по крайней мере временно сдерживает рост издержек, повышает прибыльность. Улучшение организационных форм нередко способствует выработке новых и более совершенных стратегических решений.
Если структура не может существовать без стратегии, то стратегия также не может быть успешной без соответствующей ей структуры. Почти на любом крупном предприятии можно найти примеры, когда осуществлению хорошо задуманных стратегических планов мешала организационная структура, которая задерживала их выполнение или отдавала предпочтение решению второстепенных вопросов.
Таким образом, структура неразрывно связана со стратегией. Одно время практиковался статический подход к разработке проекта организации и корректирующих изменений. Определялись задачи текущей деятельности предприятия, которые затем агрегировали по восходящим уровням в форме традиционной пирамиды. Теперь же ни одна организационная схема большого предприятия не может основываться только на текущей деятельности. Она обязательно должна отражать любые возможные изменения главной задачи предприятия, цели и стратегические программы высшего руководства.
Эта взаимосвязь стратегии и структуры лежит в основе всех рекомендаций по корректировке и изменению организации управления предприятием. Аналитический процесс по изучению стратегии предприятия является неотъемлемым элементом корректировок в структуре независимо от того, является ли производство многопрофильным или однородным, частным или государственным. Используемые методы анализа, как правило, состоят из пяти этапов.
Первый этап состоит в выяснении задачи предприятия, областей неопределенности и наиболее вероятных альтернатив развития. Точный и определенный ответ на вопрос о задачах предприятия в большой степени определяет общую структуру. Почти всегда можно дать ясный и недвусмысленный ответ на подобный вопрос для многих организаций или их частей. В случае образования совершенно новых предприятий определение задачи может быть ограничено установлением проектных параметров.
Второй этап анализа организационной структуры заключается в определении переменных, которые значительно влияют на выполнение задачи. На этом этапе необходим глубокий анализ экономической и производственной структуры предприятия и ее основных компонентов. Здесь необходим также анализ окружающей среды, в которой функционирует предприятие или планируется его деятельность. Исследование этих двух тесно связанных областей (внешней и внутренней) приводит к ключевым решениям, которые могут определить успех предприятия.
На третьем этапе изучаются цели и программы развития предприятия. Важно убедиться, что текущие цели соответствуют главной задаче предприятия, а программы согласованы с ключевыми факторами успешного функционирования. Это является существенным моментом, поскольку цели и планы оказывают непосредственное воздействие на организационную структуру путем определения приоритетов и значения ранее принятых решений. Любой организационный проект включает неизбежные изменения. Можно иметь различное соотношение между эффективностью производства и нововведениями, между объемом рынка сбыта и техническим качеством, между краткосрочным и долгосрочным планированием. Программы предприятия, его стратегия являются принципиальной основой для принятия таких решений при проектировании организации.
На четвертом этапе оценивают, насколько структура организации отвечает задачам, целям и факторам, от которых зависит успешность ее функционирования. Для этого необходимо тщательно изучить существующую формальную структуру, определить все ее сильные и слабые стороны, выяснить, какие недостатки в формальной структуре компенсируют неформальные элементы и насколько эффективно.
Трудным, но неизбежным моментом в анализе организации является оценка человеческих ресурсов предприятия. Иногда серьезную нехватку работников определенных специальностей невозможно восполнить достаточно быстрой подготовкой работников внутри предприятия или набором со стороны, чего нельзя не учесть в распределении функций в рамках имеющейся структуры. Исследователь изучает также основные процессы управления — планирование, распределение ресурсов, оперативный контроль — для того, чтобы установить, насколько они способствуют выполнению задачи, цели и стратегических программ. Рассматривается вероятность и обоснованность изменения самих процессов. Анализ организации и окружающей среды предоставляет колоссальный объем информации, который необходимо оценить так, чтобы можно было принять решение о структуре, что является конечным этапом аналитического процесса.
Выработка такого решения является очень трудным, почти полностью эмпирическим процессом. Структура больших организаций стала необычайно запутанной из-за многочисленных изменений. Сделать выбор среди них бывает сложно, но еще труднее преодолеть сопротивление этим изменениям. Скорость изменений настолько увеличивается, что ищут не столько специфическую, постоянную структуру, сколько временную, которая отражает определенный этап развития организации. И, наконец, структура, зафиксированная в схемах и уставах, занимает все меньше места в проектах организации. Потоки информации, процессы принятия решений, проектные графики или временные предписания становятся все более существенными источниками информации о ролях и распределении прав и ответственности. Структуру можно выбрать и понять только при широком, комплексном подходе к изменениям предприятия и его окружающей среды.
Как показывает опыт, процесс внесения коррективов в организационную структуру управления должен предусматривать:
-систематический анализ функционирования организации и ее среды с целью выявления проблемных зон. Анализ может базироваться на сравнении конкурирующих или родственных организаций, представляющих иные сферы экономической деятельности;
-разработку генерального плана совершенствования организационной структуры;
-гарантию того, что программа нововведений содержит максимально простые и конкретные предложения по изменению;
-последовательную реализацию планируемых перемен. Введение незначительных изменений имеет большие шансы на успех, чем изменения крупного характера;
-поощрение повышения уровня информированности сотрудников, что позволит им лучше оценить свою причастность и, следовательно, усилит их ответственность за намеченные перемены.
При разработке принципов и методики проектирования структур управления важно отойти от представления структуры как застывшего набора органов, соответствующих каждой специализированной функции управления. Организационная структура управления — понятие многостороннее. Оно, прежде всего, включает систему целей и их распределение между различными звеньями, поскольку механизм управления должен быть ориентирован на достижение целей. Сюда же относятся: состав подразделений, которые находятся в определенных связях и отношениях между собой; распределение задач и функций по всем звеньям; распределение ответственности, полномочий и прав внутри организации, отражающее соотношение централизации и децентрализации. Важными элементами структуры управления являются коммуникации, потоки информации и документооборот в организации. Наконец, организационная структура — это поведенческая система, это люди и их группы, постоянно вступающие в различные взаимоотношения для решения общих задач.
Такая многосторонность организационного механизма несовместима с использованием каких-либо однозначных методов — либо формальных, либо неформальных. Именно поэтому необходимо исходить из сочетания научных методов и принципов формирования структур (системного подхода, программно-целевого управления, организационного моделирования) с большой экспертно-аналитической работой, изучением отечественного и зарубежного опыта, тесным взаимодействием разработчиков и тех, кто практически будет внедрять и использовать проектируемый организационный механизм. В основу всей методологии проектирования структур должно быть положено четкое формулирование целей организации. Сначала — цели, а затем — механизм их достижения. При этом организация рассматривается как многоцелевая система, поскольку ориентация на одну цель не отражает ее многообразную роль в развитии экономики.
М. Мескон определяет следующий подход (последовательность действий) при проектировании структуры управления:
-осуществить деление организации по горизонтам на блоки, соответствующие направленности деятельности по реализации стратегии. Определить, какие виды деятельности линейные, какие штатные;
-установить соотношение полномочий должностей. Определить уровни иерархии;
-определить должностные обязанности.
Кроме того, при проектировании организационной структуры имеет место определение следующих вопросов:
-формализация управления, то есть насколько необходимо формальное взаимодействие.
-уровень принятия решений: где, кто, когда.
-системность организационной структуры
А. Файоль так сформулировал принципы хорошей организации:
-единство управления – независимо от структуры ответственность несёт за всё один человек;
-скалярный метод передачи полномочий. Полная ответственность предполагает право не только управлять но и делегировать полномочия;
-единство подчинения – у каждого только один начальник;
-принцип соответствия: делегированные полномочия соответствующей условно ответственности;
-масштабы управления, число подчинённых лимитировано; Эффективность и надёжность коммуникативных связей;
-принцип ориентированности – организации строятся на основе задач и не зависят от субъективных факторов;
-избирательность – руководитель получает информацию, относящуюся к исключительному типу, то есть выходящую за рамки плана и требующую корректирования действий;
-дифференциация труда: линейный, штабной принцип; квалифицированный и мало квалифицированный труд;
-сегментация и специализация – разбивка структуры на простые и специализированные составляющие (специалист по налогам, специалист по учёту движения материальных средств и т. д.);
-контроль за операциями – должен быть орган, следящий за ходом дел и выполнением распоряжений;
-планирование предшествует делу;
-гибкость – структура отвечает ситуации;
-доступность уровней управления – сотрудник имеет возможность обратиться к любому руководителю по вопросам работы.
Особое значение имеет характер влияния внешней среды на построение организации и всю систему связей элементов структуры с элементами внешних воздействий. Системность самого подхода к формированию структуры проявляется в следующем: а) не упускать из виду ни одну из управленческих задач, без решения которых реализация целей окажется неполной; б) выявить и взаимоувязать применительно к этим задачам всю систему функций, прав и ответственности по вертикали управления — от генерального директора предприятия до мастера участка; в) исследовать и организационно оформить все связи и отношения по горизонтали управления, т.е. по координации деятельности разных звеньев и органов в связи с выполнением общих текущих задач и реализацией перспективных межфункциональных программ; г) обеспечить органическое сочетание вертикали и горизонтали управления, имея в виду нахождение оптимального для данных условии соотношения централизации и децентрализации в управлении.
Все это требует тщательно разработанной поэтапной процедуры проектирования структур, детального анализа и определения системы целей, продуманного выделения организационных подразделений и форм их координации.
Применявшиеся до последнего времени методы построения организационных структур управления характеризовались чрезмерно нормативным характером, недостаточным разнообразием, гипертрофированным использованием типовых решений, что приводило к механическому переносу применявшихся в прошлом организационных форм в новые условия. Нередко аппарат управления на самых разных уровнях повторял одни и те же схемы, наборы функций и состав подразделений, отличающихся только по численности. С научной точки зрения слишком узкую трактовку получали сами исходные факторы формирования структур: численность персонала вместо целей организации; постоянный набор органов вместо изменения их состава и комбинации в разных условиях; упор на исполнение неизменных функций в отрыве от менявшихся задач; устаревшие схемы и штаты как усредненные показатели существующих организаций без анализа их недостатков и пригодности.
Одним из главных недостатков применявшихся методик являлась их функциональная ориентация, строгая регламентация процессов управления, а не их результатов. Однако в условиях рыночных отношений состав и содержание функций управления становятся неустойчивыми. Поэтому цели и взаимосвязи различных звеньев системы управления приобретают зачастую более важное значение, чем строгое установление их функциональной специализации.
Системный подход, придавая важное значение научно обоснованному определению функций управления и нормативов численности как части общего процесса формирования организационно-управленческой структуры, ориентирует исследователей и разработчиков на более общие принципы проектирования организаций. Прежде всего, он предполагает исходное определение системы целей организации, которые обусловливают структуру задач и содержание функций аппарата управления.
Многообразие целей как на высшем, так и на среднем и низших уровнях организации обычно не может быть сведено к одному измерителю. Основное назначение большинства производственных организаций с точки зрения общества определяется целями удовлетворения рыночной потребности в производимой продукции и услугах, в любом случае каждая цель отражает одну из объективно необходимых сторон функционирования и развития организационной системы. Вместе с тем соответствие между системой целей и организационной структурой управления не может быть однозначным.
На рисунке 1.4 показана общая последовательность перехода от целей организации к ее структуре.
Применительно к реализации системных принципов формирования внутренней структуры аппарата управления следует учитывать, что организационная структура является сложной характеристикой системы управления.
В единой системе должны рассматриваться и различные методы формирования организационных структур управления, многие из которых появились лишь в последние годы. Эти методы имеют различную природу, каждый из них в отдельности не позволяет решить все практически важные проблемы построения организационной структуры аппарата управления и должен применяться в органическом сочетании с другими.

Рисунок 1.4 - Переход от целей организации к ее структуре
Содержание процесса формирования организационной структуры в значительной мере универсально. Оно включает в себя формулировку целей и задач, определение состава и места подразделений, их ресурсное обеспечение (включая численность работающих), разработку регламентирующих процедур, документов, закрепляющих и регулирующих формы, методы.
Весь этот процесс можно организовать по трем крупным стадиям:
1) формирование общей структурной схемы аппарата управления;
2) разработка состава основных подразделений и связей между ними;
3) регламентация организационной структуры.
Формирование общей структурной схемы во всех случаях имеет принципиальное значение, поскольку при этом определяются главные характеристики организации, а также направления, по которым должно быть осуществлено более углубленное проектирование как организационной структуры, так и других важнейших аспектов системы (внутриорганизационного экономического механизма, способов переработки информации, кадрового обеспечения).
К принципиальным характеристикам организационной структуры, которые определяются на этой стадии, можно отнести цели производственно-хозяйственной системы и проблемы, подлежащие решению; общую спецификацию функциональных и программно-целевых подсистем, обеспечивающих их достижение; число уровней в системе управления; степень централизации и децентрализации полномочий и ответственности на разных уровнях; основные формы взаимоотношений данной организации с окружающей средой; требования к экономическому механизму, формам обработки информации, кадровому обеспечению организационной системы.
Основная особенность второй стадии процесса проектирования организационной структуры управления — разработка состава основных подразделений и связей между ними — заключается в том, что предусматривается реализация организационных решений не только в целом по крупным линейно-функциональным и программно-целевым блокам, но и вплоть до самостоятельных (базовых) подразделений аппарата управления, распределения конкретных задач между ними и построения внутриорганизационных связей. Под базовыми подразделениями понимаются при этом самостоятельные структурные единицы (отделы, управления, бюро, сектора, лаборатории), на которые организационно разделяются линейно-функциональные и программно-целевые подсистемы. Базовые подразделения могут иметь свою внутреннюю структуру.
Третья стадия — регламентация организационной структуры — предусматривает разработку количественных характеристик аппарата управления и процедур управленческой деятельности. Она включает: определение состава внутренних элементов базовых подразделений (бюро, групп и должностей); определение проектной численности подразделений, трудоемкости основных видов работ и квалификационного состава исполнителей; распределение задач и работ между конкретными исполнителями; установление ответственности за их выполнение; разработку процедур выполнения управленческих работ в подразделениях, в том числе на основе автоматизированной обработки информации; разработку порядка взаимодействия подразделений при выполнении взаимосвязанных комплексов работ; расчеты затрат на управление и показателей эффективности аппарата управления в условиях проектируемой организационной структуры.
Структура управления производственно-хозяйственной организацией как объект проектирования — сложная система.
Она сочетает в себе как технологические, экономические, информационные, административно-организационные взаимодействия, которые поддаются непосредственному анализу и рациональному проектированию, так и социально-психологические характеристики и связи. Последние определяются уровнем квалификации и способностей работников, их отношением к труду, стилем руководства.
Специфика проблемы проектирования организационной структуры управления состоит в том, что она не может быть адекватно представлена в виде задачи формального выбора наилучшего варианта организационной структуры по четко сформулированному, однозначному, математически выраженному критерию оптимальности. Это — количественно-качественная, многокритериальная проблема, решаемая на основе сочетания научных, в том числе формализованных, методов анализа, оценки, моделирования организационных систем с субъективной деятельностью ответственных руководителей, специалистов и экспертов по выбору и оценке наилучших вариантов организационных решений.
Процесс организационного проектирования состоит в последовательности приближения к модели рациональной структуры управления, в котором методы проектирования играют вспомогательную роль при рассмотрении, оценке и принятии к практической реализации наиболее эффективных вариантов организационных решений.
Проектирование организационных структур управления осуществляется на основе следующих основных взаимодополняющих методов:
а) аналогий;
б) экспертно-аналитического;
в) структуризации целей;
г) организационного моделирования.
Метод аналогий состоит в применении организационных форм и механизмов управления, которые оправдали себя в организациях со сходными организационными характеристиками (целями, типом технологии, спецификой организационного окружения, размером и т.п.) по отношению к проектируемой организации. К методу аналогий относится выработка типовых структур управления производственно-хозяйственных организаций и определение границ и условий их применения.
Использование метода аналогий основано на двух взаимодополняющих подходах. Первый из них заключается в выявлении для каждого типа производственно-хозяйственных организаций и для различных отраслей значений и тенденций изменения главных организационных характеристик и соответствующих им организационных форм и механизмов управления, которые исходя из конкретного опыта или научных обоснований доказывают свою эффективность для определенного набора исходных условий. Второй подход представляет, по сути, типизацию наиболее общих принципиальных решений о характере и взаимоотношениях звеньев аппарата управления и отдельных должностей в четко определенных условиях работы организаций данного типа в конкретных отраслях, а также разработку отдельных нормативных характеристик аппарата управления для этих организаций и отраслей.
Типизация решений является средством повышения общего уровня организации управления производством, направленным на стандартизацию и унификацию организационных форм управления, ускорение внедрения наиболее рациональных, прогрессивных форм. Типовые организационные решения должны быть, во-первых, вариантными, а не однозначными, во-вторых, пересматриваемыми и корректируемыми с регулярной периодичностью и, наконец, допускающими отклонения в случаях, когда условия работы организации отличаются от четко формулированных условий, для которых рекомендуется соответствующая типовая форма организационной структуры управления.
Экспертно-аналитический метод состоит в обследовании и аналитическом изучении организации силами квалифицированных специалистов с привлечением ее руководителей и других работников для того, чтобы выявить специфические особенности, проблемы, "узкие места" в работе аппарата управления, а также выработать рациональные рекомендации по его формированию или перестройке исходя из количественных оценок эффективности организационной структуры, рациональных принципов управления, заключений экспертов, а также обобщения и анализа наиболее передовых тенденций в области организации управления. Данный метод, являющийся наиболее гибким и всеохватывающим, применяется в тесном сочетании с другими (в особенности методами аналогий и структуризации целей) и имеет многообразные формы реализации. В первую очередь, к ним относится осуществление диагностического анализа особенностей, проблем, "узких мест" в системе управления действующей производственно-хозяйственной организации или в организациях, аналогичных вновь создаваемой, с тем, чтобы предусмотреть организационное решение выявленных проблем в разрабатываемой структуре управления. Сюда же относится и проведение экспертных опросов руководителей и членов организации для выявления и анализа отдельных характеристик построения и функционирования аппарата управления, обработка полученных экспертных оценок статистико-математическими методами (ранговой корреляции, факторного анализа обработки списков и т.п.).
К экспертным методам следует отнести также разработку и применение научных принципов формирования организационных структур управления. Под ними понимаются выведенные из передового опыта управления и научных обобщений руководящие правила, выполнение которых направляет деятельность специалистов при выработке рекомендаций по рациональному проектированию и совершенствованию организационных систем управления. Принципы формирования организационных структур управления являются конкретизацией более общих принципов управления (например, единоначалия или коллективного руководства, специализации и т.п.). Примерами современных принципов формирования организационных структур могут служить такие, как "построение организационной структуры исходя из системы целей", "отделение стратегических и координационных функций от оперативного управления", "сочетание функционального и программно-целевого управления" и целый ряд других.
Особое место среди экспертных методов занимает разработка графических и табличных описаний организационных структур и процессов управления, отражающих рекомендации по их наилучшей организации. К такого рода описаниям относятся, в частности, маршрутная технология выполнения управленческих функций или их этапов, основанная на принципах научной организации труда, а также на прогрессивных методах и технических средствах осуществления управленческих работ, и регламентирующая порядок их выполнения. Этому предшествует разработка вариантов организационных решений, направленных на устранение выявленных организационных проблем, отвечающих научным принципам и передовому опыту организации управления, а также требуемому уровню количественно-качественных критериев оценки эффективности организационных структур. Как правило, при этом осуществляется табличное представление преимуществ и недостатков каждого из вариантов с целью их последующего обсуждения и анализа.
Метод структуризации целей предусматривает выработку системы целей организации, включая их количественную и качественную формулировки, и последующий анализ организационных структур с точки зрения их соответствия системе целей. При его использовании чаще всего выполняются следующие этапы:
а) разработка системы ("дерева") целей, представляющей собой структурную основу для увязки всех видов организационной деятельности исходя из конечных результатов, независимо от распределения этих видов деятельности по организационным подразделениям и программно-целевым подсистемам в организации;
б) экспертный анализ предлагаемых вариантов организационной структуры с точки зрения организационной обеспеченности достижения каждой из целей, соблюдения принципа однородности целей, устанавливаемых каждому подразделению, определения отношений руководства, подчинения, кооперации подразделений исходя из взаимосвязей их целей и т.п.;
в) составление карт прав и ответственности за достижение целей как для отдельных подразделений, так и по комплексным межфункциональным видам деятельности, где регламентируется сфера ответственности (продукция, ресурсы, рабочая сила, производственные и управленческие процессы, информация); конкретные результаты, за достижение которых устанавливается ответственность; права, которыми наделяется подразделение для достижения результатов (утверждать и представлять на утверждение, согласовывать, подтверждать, контролировать).
Метод организационного моделирования представляет собой разработку формализованных математических, графических, машинных и других отображений распределения полномочий и ответственности в организации, являющихся базой для построения, анализа и оценки различных вариантов организационных структур по взаимосвязи их переменных. Можно назвать несколько основных типов организационных моделей:
-математико-кибернетические модели иерархических управленческих структур, описывающие организационные связи и отношения в виде систем математических уравнений и неравенств или же с помощью машинных имитационных языков (примерами могут служить модели многоступенчатой оптимизации, модели системной, индустриальной динамики и др.);
-графоаналитические модели организационных систем, представляющие собой сетевые, матричные и другие табличные и графические отображения распределения функций, полномочий, ответственности, организационных связей. Они дают возможность анализировать их направленность, характер, причины возникновения, оценивать различные варианты группировки взаимосвязанных видов деятельности в однородные подразделения, "проигрывать" варианты распределения прав и ответственности между разными уровнями руководства и т.п. Примерами могут служить "метасхемные" описания материальных, информационных, денежных потоков совместно с управленческими действиями; матрицы распределения полномочий и ответственности; таблицы коэффициентов связей между функциями производства и управления и др.;
-натурные модели организационных структур и процессов, заключающиеся в оценке их функционирования в реальных организационных условиях. К ним относятся организационные эксперименты — заранее спланированные и контролируемые перестройки структур и процессов в реальных организациях; лабораторные эксперименты искусственно созданные ситуации принятия решений и организационного поведения, сходные с реальными организационными условиями; управленческие игры — действия практических работников (участников игры), основанные на заранее установленных правилах с оценкой их текущих и долгосрочных последствий (в том числе с помощью ЭВМ);
-математико-статистические модели зависимостей между исходными факторами организационных систем и характеристиками организационных структур. Они построены на основе сбора, анализа и обработки эмпирических данных об организациях, функционирующих в сопоставимых условиях. Примерами могут служить регрессивные модели зависимости численности ИТР и служащих от производственно-технологических характеристик организации; зависимости показателей специализации, централизации, стандартизации управленческих работ от типа организационных задач и других характеристик и т.п.
Процесс проектирования организационной структуры управления должен быть основан на совместном использовании охарактеризованных выше методов. На стадиях композиции и структуризации наибольшее значение имеют метод структуризации целей, экспертно-аналитический метод, а также выявление и анализ организационных прототипов. Более формализованные методы должны быть использованы для углубленной проработки организационных форм и механизмов отдельных подсистем на стадии регламентации. Для проектирования организационных структур новых организаций выше роль формально-аналитических методов и моделей, для совершенствования действующих — диагностических обследований и экспертного изучения организационной системы.
Выбор метода решения той или иной организационной проблемы зависит от ее характера, а также от возможностей для проведения соответствующего исследования (наличия методики, необходимой информации, а также квалификации разработчиков системы и сроков представления рекомендаций).
1.5 Эффективность организационных изменений
С общественной точки зрения эффективность представляет собой степень достижения организацией своих целей при использовании ограниченных ресурсов. Какими бы ни были основные или производные цели, структура организации и ее деятельность, организационные изменения должны оцениваться по их реальной эффективности. Наряду с этим целесообразно использовать понятие производительности, означающей максимизацию организацией своих целей при минимальной затрате ресурсов. Эффективность и производительность взаимосвязаны между собой, но вместе с тем существуют и определенные отличия.
Известно немало случаев эффективной, но непроизводительной деятельности. Если, например, издержки, связанные с загрязнением воздуха и воды, включаются в баланс доходов и расходов организации, от которой зависит это загрязнение, то цена продукции будет настолько высока, что может быть принято решение о прекращении ее потребления. Другим примером может служить монополия, которая может обеспечивать максимизацию прибыли путем непроизводительного использования ресурсов.
Таким образом, рассмотрение эффективности с точки зрения целей и ресурсов концентрируется на двух условиях: достижение цели является необходимым условием производительной деятельности организации и производительное использование ресурсов является необходимым, но недостаточным условием для эффективности. Эти два момента отражают материальную заинтересованность общества в результатах деятельности организации.
Руководители организаций тесно связаны с обществом, в котором они действуют, потому что в конечном счете ответственны перед теми группами, которые вкладывают ресурсы в организацию.
Было бы упрощением утверждать, что эффективность организационной структуры каким-то образом связана со способом, которым общество достигает своих целей посредством использования ограниченных ресурсов. Главное состоит в том, чтобы выявить, как руководители могут узнать, когда и при каких обстоятельствах их организации действуют эффективно.
Действительный процесс оценки эффективности организации значительно более трудный, чем можно себе представить. Эффективность может стать неопределенным и изменчивым критерием. Один руководитель определяет эффективность размерами прибыли, в то время как другой измеряет ее в таких понятиях, как конкурентоспособность, престиж в деловом мире или в глазах общественности, расширение предприятия. Или, например, президент компании, преследуя цели снижения себестоимости, завоевания рынка или получения прибыли, направляет ее деятельность по достижению поставленных целей такими методами, которые приводят к возникновению у подчиненных проблем морального характера, что в конечном счете наносит ущерб предприятию.
Какими бы критериями ни измерялась эффективность, принцип эффективности лежит в основе оценки любой организационной структуры и ее изменений. Выбор же подходящего критерия эффективности зависит от конкретных условий функционирования, назначения и стратегии организации, причин осуществляемых изменений.
Опираясь на теорию систем, эффективность можно определить и измерить в пределах, которые являются значимыми для руководителей организаций как частных предпринимательских, так и государственных.
Исходя из теории систем, как основы для выбора критериев эффективности организационной структуры, можно рассмотреть широкий спектр подходов к ее исследованию и измерению и на этой основе представить общую модель эффективности организационной структуры.
Согласно теории систем, эффективность организации определяется тем, в какой мере она достигает оптимума взаимоотношений во всех видах деятельности. Эффективность представляет собой составляющую ряда видов деятельности - цикла " вводимые факторы - процесс - выход продукции" и адаптации к окружающей среде. В свою очередь, каждый компонент (структурное подразделение) коммерческой фирмы - будьте производство, продажа, персонал, снабжение, проектно-конструкторские работы, исследования и развитие - может быть представлен в виде системы, со своими вводимыми ресурсами, процессом, адаптационной деятельностью, которые должны оптимизироваться для достижения общей организационной эффективности.
В последние годы значительные успехи в области проектирования организационных систем связанны с развитием информационных технологий прогнозирования. Несмотря на принципиальные различия в деятельности организаций, существуют общие закономерности, вытекающие из законов социального развития. Это позволило разработать ряд принципов организационного проектирования, которые были положены в основу создания программных комплексов, получивших название экспертных систем. Их можно успешно использовать как для оценки инвестиционного потенциала организаций, так и на заключительном этапе проектирования организационных систем, при оценке эффективности принятого решения и прогнозе дальнейшего развития организации.
В экспертных системах предусмотрена оценка соответствия организационной структуры целям организации, выбранной стратегии материальным и человеческим ресурсам. Оценка проводится на основе сравнения разработанной структуры с оптимальной структурой, предлагаемой экспертной системой для существующих условий работы организации.
В ходе диагностических исследований должны быть изучены не только возможности системы управления по выходу из проблемных ситуаций, но и её способности использовать сложившиеся обстоятельства для коррекции своей деятельности с целью эффективного решения задач, стоящих перед предприятием.
Первый этап диагностики предусматривает сбор информации о работе предприятия, за достаточно продолжительный период времени. Эта информация используется для построения эталонной модели работы предприятия.
Затем по выявленным отклонениям делается вывод об удовлетворительной эффективности работы обследуемой организации или о необходимости проведения процедур оперативной коррекции системы управления организацией.
Построение обобщенной оценки качества фиксирует невыполнение стандартов качества и отклонения от характеристик эталонной модели по всему набору оцениваемых параметров. Значения многих параметров определяются методом экспертных оценок.
После выполнения коррекции системы управления необходимо провести повторное обследование системы и убедиться в эффективности системы управления предприятием.
Оценка строится путём сведения различных показателей, характеризующих работу предприятия в единый интегральный ряд. Наивысший балл присваивается предприятию эталону.
При выполнении этой процедуры необходимо использовать два подхода:
- Микроподход – это анализ самой организации, её внутренней среды
- Макроподход – изучения взаимодействия предприятия с внешней средой.
Оценка степени влияния различных факторов внутренней среды выполняется с помощью экспертной оценки, путём ранжирования факторов по степени их важности, по пятибалльной системе.
По данным таблицы выводиться усреднённый показатель значимости каждого выделенного фактора, производиться их ранжирование.
Интегральная оценка абсолютного качества организации Р определяется, исходя из условия:

где k – число показателей, входящих в интегральную оценку;
А>i> – значение коэффициента важности показателя;
X>i> – числовое значение i-ой характеристики качества организации.
Найденная таким образом интегральная оценка абсолютного качества организации будет представлять собой комбинированный показатель, включающий в себя формальные и неформальные показатели.
1.6 Соответствие структуры управления предприятия современным требованиям эффективного управления
Организационную структуру любой коммерческой фирмы, больницы, банка, правительственного учреждения или органов с любым видом деятельности следует рассматривать с разных позиций и с учетом разных критериев. На ее действенность и эффективность влияют:
действительные взаимосвязи между людьми и их работой. Это отражается в схемах организационных структур и в должностных обязанностях;
действующая политика руководства и методы, влияющие на человеческое поведение; полномочия и функции работников организации на различных уровнях управления (низшем, среднем, высшем).
При умелом сочетании указанных трех факторов в организации может быть создана такая рациональная структура, при которой существует реальная и благоприятная возможность достижения высокого уровня эффективности производства.
Для построения рациональной структуры управления необходимо чтобы она соответствовала требованиям, предъявляемым к организационным структурам новыми условиями хозяйствования. Одно из них - ясность. Каждое подразделение предприятия, каждый ее сотрудник (в особенности каждый руководитель) должен четко знать, где он находится и куда ему обращаться за информацией, помощью или решением. Ясность не следует путать с простотой. Простым структурам может не хватать ясности. И наоборот, очень сложные структуры могут быть очень ясными. Структура, не обладающая ясностью, создает конфликты, впустую расходует время, раздражает работников и задерживает решения.
Тесно связано с ясностью требование экономичности. Контроль, надзор и стимулирование должны требовать минимума усилий. Организационная структура управления должна способствовать самоконтролю и мотивации. Чтобы удерживать предприятие на ходу, минимально возможное количество людей (особенно высококвалифицированных и работоспособных людей) должно посвящать внимание и силы «управлению», «организации», «контролю», «коммуникации», «кадровым проблемам».
Организационная структура, должна направлять внимание всех сотрудников не на усилия, а на результаты работы предприятия в целом. Работу руководителей нужно оценивать по экономическим результатам, а не по стандартам узко профессиональной компетентности или административного мастерства.
Организационная структура не должна ориентировать людей на псевдорезультаты. Она не должна поощрять тенденцию навешивать не прибыльную продукцию на прибыльные производственные линии. Она не должна ориентировать людей на интенсификацию усилий (т. е. повышение затрат), а мастерство превращать в самоцель.
Организация должна помогать каждому сотруднику понимать свою собственную задачу и общую задачу предприятия. Чтобы соотносить свои усилия с благом целого, каждый сотрудник должен понимать, как его задача сопряжена с общей задачей и как общая задача определяет его задачу, его усилия, его вклад.
Организация должна расцениваться также в соответствии с тем, облегчает она или затрудняет процесс принятия решений. Структура, подталкивающая решения вверх, вместо принятия их на максимально низком уровне, структура, оттягивающая критически важные решения, концентрирующая внимание на лишних или второстепенных проблемах - плохая структура.
Организация должна обладать устойчивостью во времени и способностью к самообновлению.
Организация должна быть способна сама производить лидеров завтрашнего дня. Обязательное условие для этого - минимум уровней управления. Способный человек, попадая на низовую управленческую работу, скажем, в двадцать пять лет, не должен тратить свою жизнь, поднимаясь со ступеньки на ступеньку. Иначе, когда он окажется на верху лестницы, у него уже не останется сил. Еще важнее опыт, который можно приобрести в организации. Структура должна помогать каждому сотруднику учиться и развиваться на любом занижаемом посту, она должна предусматривать непрерывное обучение. Организационная структура должна поощрять внедрение на предприятие новых идей и готовности к новым видам деятельности. Соблюдение вышеизложенных требований позволит создать гибкую, способную к быстрой перестройке организационную структуру, которая будет способствовать развитию системы управления на предприятии, повысит уровень ее организованности и создаст все условия для эффективного функционирования предприятия в целом.
Глава 2. Анализ деятельности организации и организационной структуры
2.1 Общая характеристика организации
В качестве своего объекта исследования я выбрала Общество с ограниченной ответственностью «ЛаНе». Предприятие находится по адресу: г. Сочи, ул. Краснодонская, 6а. Тел/факс 50-17-62, 50-17-65
ИНН 232000771820, р/с 40703810100000000007 в ООО КБ «Сочигазпромбанк» K/c 301018104000000000717, БИК 040396717
E- mail: lane_service@sochiclub.ru
Руководит ООО «ЛаНе» Самодурова Людмила Викторовна.
«ЛаНе» - общество с ограниченной ответственностью, учреждено несколькими лицами, уставный капитал разделен на доли, размер которых определен учредительными документами.
Этот сервисный центр начал работу, можно сказать, еще на заре компьютерной эры. Вот уже 22 года они на рынке компьютерных услуг. Чем же занимается ООО «ЛаНе»? Это, прежде всего:
продажа компьютеров и различных периферийных устройств
ремонт любой компьютерной техники и оргтехники, контрольно-кассовых аппаратов
продажа, установка компьютерных программ, а также первоначальное обучение работе с программами серии «1С» и «Консультант-Плюс»
локальные вычислительные компьютерные сети
различного рода услуги
гарантийное и послегарантийное обслуживание
Перескакивая через многочисленные ухабы российской экономики, многочисленные экономические кризисы, сочинские компьютерщики выжили, сохранили чувство уверенности в собственных силах. Кроме того, они открыли филиалы своего центра в Адлерском и Лазаревском районах, а в ближайшей перспективе – г. Туапсе.
Клиентами ООО «ЛаНе» являются многие предприятия г.Сочи и конечно же, частные лица.
Уставный капитал общества составляет 55000 (пятьдесят пять тысяч) рублей. Вкладом Участника общества могут быть здания, сооружения, оборудование и другие материальные ценности.
Таблица 2.1 Основные финансово-экономические показатели ООО «ЛаНе» за 12 месяцев 2005-2006 гг
-
Показатели
2005 тыс. руб.
2006 тыс.руб.
Отклонение тыс.руб.
Темп роста, %
Товарооборот за вычетом налогов
1643,8
1982,2
338,4
120,59
Товарооборот в сопоставимых ценах
1643,8
1679,8
36
102,19
Себестоимость продукции
1558,8
1957,7
398,9
125,59
Валовой доход за вычетом налогов
85
24,5
-60,5
28,82
Прибыль отчетного года
86,7
25,3
-61,4
29,18
Рентабельность, %
5,27
1,28
-4,0
24,20
Торговая площадь, кв.м.
211
211
0,0
100,00
Товарооборот на кв.м.
7,79
9,39
1,6
120,59
Товарные запасы
109,4
151,1
41,7
138,12
Товарные запасы в днях
24
27
3,5
114,54
Стоимость основных фондов
92,6
134
41,4
144,71
Фондоотдача
17,75
14,79
-3,0
83,33
Примечание: Источник: собственная разработка на основе статистических данных организации
Вывод: результаты, показанные в таблице 2.1 свидетельствуют о том, что ООО «ЛаНе» является недостаточно стабильным и развивающимся предприятием, поскольку не наблюдается не только рост валового дохода и прибыли, но и снижение уровня рентабельности продаж, снижение товарооборачиваемости и фондоотдачи. Выросла только производительность, но при этом снизилась прибыль на одного работника.
2.2 Организационно-правовая форма в организации
Фирма «ЛаНе», как организация является обществом с ограниченной ответственностью (ООО).
Общество с ограниченной ответственностью является разновидностью объединения капиталов, не требующего личного участия своих членов в делах общества. Характерными признаками этой коммерческой организации являются деление ее уставного капитала на доли участников и отсутствие ответственности последних по долгам общества. Имущество общества, включая уставный капитал, принадлежит на праве собственности ему самому как юридическому лицу и не образует объекта долевой собственности участников. Поскольку вклады участников становятся собственностью общества, нельзя сказать, что его участники отвечают по долгам общества в пределах внесенных ими вкладов. В действительности они вообще не отвечают по долгам общества, а несут лишь риск убытков (утраты вкладов). Даже те из участников, кто не внес свой вклад полностью, отвечают по обязательствам общества лишь той частью своего личного имущества, которая соответствует стоимости неоплаченной части вклада (п.1 ст.87 ГК РФ).
Статья 87. Основные положения об обществе с ограниченной ответственностью.
1. Обществом с ограниченной ответственностью признается учрежденное одним или несколькими лицами общество, уставный капитал которого разделен на доли определенных учредительными документами размеров; участники общества с ограниченной ответственностью не отвечают по его обязательствам и несут риск убытков, связанных с деятельностью общества, в пределах стоимости внесенных ими вкладов.
Участники общества, внесшие вклады не полностью, несут солидарную ответственность по его обязательствам в пределах стоимости неоплаченной части вклада каждого из участников.
3. Правовое положение общества с ограниченной ответственностью и права и обязанности его участников определяются настоящим Кодексом и законом об обществах с ограниченной ответственностью.
4.Учредительные документы товариществ с ограниченной ответствен-ностью, акционерных обществ и производственных кооперативов, созданных до официального опубликования части первой Кодекса, подлежат приведению в соответствие с нормами главы 4 Кодекса об обществах с ограниченной ответственностью, акционерных обществах и о производственных кооперативах в порядке и в сроки, которые будут определе-ны соответственно при принятии законов об обществах с ограничен-ной ответственностью, об акционерных обществах и о производственных кооперативах.
Обществом с ограниченной ответственностью признается учрежденное одним или несколькими лицами общество, уставный капитал которого разделен на доли определенных учредительными документами размеров; участники общества с ограниченной ответственностью не отвечают по его обязательствам и несут риск убытков, связанных с деятельностью общества, в пределах стоимости внесенных ими вкладов.
Число участников общества с ограниченной ответственностью не должно превышать предела, установленного законом об обществах с ограниченной ответственностью. В противном случае оно подлежит преобразованию в акционерное общество в течение года, а по истечении этого срока - ликвидации в судебном порядке, если число его участников не уменьшится до установленного законом предела.
Высшим органом управления общества является собрание Участников. Общество раз в год проводит годовое собрание Участников независимо от других собраний. Собрание созывается генеральным директором общества, ревизионной комиссией или по требованию не менее 2 участников. Собрание избирает из числа участников ревизионную комиссию для контроля за финансово-хозяйственной деятельностью общества.
Для государственной регистрации
каждый из участников обязан внести не
менее 50% своей доли в уставный капитал.
Участник обязан полностью внести свою
долю не позднее года после регистрации
общества.
Собрание Участников может
в случае необходимости простым
большинством голосов увеличить или
уменьшить уставный капитал.
Общество прекращается (ликвидируется):
- по решению Собрания Участников;
- по решению суда, в случае неплатежеспособности или нарушения обществом действующего законодательства.
Ликвидация и реорганизация общества осуществляется в порядке предусмотренном действующим законодательством. Имеющиеся у общества средства, в том числе от распродажи имущества, после расчетов по оплате труда, выполнения обязательств перед кредиторами и бюджетом, распределяются между участниками. Разделение осуществляется путем создания на основе одного общества новых самостоятельных юридических лиц, с разделением балансов и капиталов.
Добровольная ликвидация Общества производится назначенной собранием участников ликвидационной комиссией, принудительная - в установленном действующим законодательством порядке.
Общество создавалось в целях:
- участие в ускоренном формировании товарного рынка;
- удовлетворения общественных потребностей в его продукции, работах, товарах и услугах.
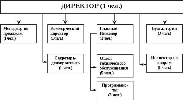
2.3 Организационная структура ООО «ЛаНе»
В данный момент штат сотрудников фирмы составляет 17 человек.
На предприятии используется линейная структура управления.
Организационная структура ООО «ЛаНе» выглядит следующим образом:

Рис. 2.3. Организационная структура ООО «ЛаНе»
Таблица 2.3 Функции и обязанности сотрудников ООО «ЛаНе»
|
Должность |
Функции и обязанности |
Директор |
Управление фирмой, контроль за деятельностью и взаимодействием структурных подразделений, ведение переговоров с крупными поставщиками и клиентами |
|
Коммерчес-кий директор |
Ведение переговоров, сбыт продукции, контроль и анализ финансового состояния фирмы |
|
Секретарь – делопроизв-ль |
Работа с документами, обеспечение и обслуживание работы руководителя |
|
Менеджер по продажам |
Изучение конъюнктуры рынка, разработка плана реализации продукции, разработка плана ценовой стратегии, подготовка и заключение договоров |
|
Бухгалтерия |
Ведение бухгалтерского учета и отчетности |
|
Главный инженер |
Руководство техническими службами, координация подразделений по разработке технического развития предприятия, обеспечение систематического повышения эффективности производства, производительности труда, обеспечение производства конкурентоспособной продукции. |
|
Отдел тех. обслуживания |
Техническое обслуживание и ремонт компьютерной и оргтехники |
|
Программисты |
Изготовление, установка и настройка программного обеспечения |
|
Отдел кадров |
Обеспечение подбора, расстановки, изучения и использования рабочих кадров и специалистов; организация системы учета кадров, анализ текучести кадров |
2.4 Миссия организации
Предназначение фирмы в условиях постоянно меняющейся внешней среды является миссией фирмы, которая определяется руководством фирмы. Четко сформулированная миссия показывает отличие фирмы от других, подобных ей. Для этого должны быть сформулированы следующие характеристики фирмы: философия фирмы, выбранная администрацией компании для организации работы; сфера деятельности фирмы, учет которой необходим для выбора ресурсов и продукта; система целей фирмы, показывающая, к чему стремится организация; технологические возможности фирмы.
Миссия организации в известной степени влияет на прогноз действия фирмы, который определяется рыночными условиями и выбранным сроком существования фирмы. Миссия — это совокупность стратегий, которые вырабатывает администрация компании для достижения глобальных целей.
При разработке миссии, т. е. совокупности стратегий, исследуются не только внешняя среда (геополитические, экономические и социальные условия), но и системные характеристики фирмы, совокупность ресурсов, производственных либо организационных процессов, продукции. При рассмотрении всех этих характеристик, важное значение приобретают разработка и определение долгосрочных и краткосрочных целей организации.
Миссия ООО «ЛаНе» состоит в обеспечении предприятий, организаций и населения компьютерной, оргтехникой, и другими видами современной техники, а также предоставлением качественных услуг в сфере компьютерных технологий. Благодаря эффективности и бесперебойности функционирования подобных учреждений зависит не только успех деятельности отдельных хозяйственных единиц, но и темпы экономического и научно-технического развития страны в целом.
Что же касается ООО «ЛаНе», то следует отметить, что предприятие имеет некоторую отраслевую направленность. Поскольку организация сформировывалась очень давно (по компьютерным меркам), она должна была решать задачи связанные с обеспечением предприятий г. Сочи высокотехнологичной и качественной техникой. Времена гонки вооружений ушли в прошлое, но взаимосвязи и тесное деловое сотрудничество осталось. По-прежнему ООО «ЛаНе» поставляет и обслуживает технику на многие предприятия г. Сочи. Все большее количество предприятий и организаций обслуживает сейчас «ЛаНе» – это частные, муниципальные и другие организации, а также, что особенно приятно, частные лица. В соответствии с этим и определяется его миссия - содействовать экономическому и научно-техническому развитию и благосостоянию предприятий и организаций, обслуживаемых ООО «ЛаНе», путем предоставления им качественной и надежной продукции и предоставления услуг, таким образом и в таком объеме, которые соответствуют высоким профессиональным стандартам. Сотрудники фирмы всегда придерживаются негласного правила: «Клиент всегда прав!».
Кратко миссию ООО «ЛаНе» можно изложить всего несколькими словами, которые произнес глава корпорации Microsoft Билл Гейтс:
«КОМПЬЮТЕР - НА КАЖДОМ СТОЛЕ!».
На основе общей миссии формулируются и устанавливаются цели предприятия - конкретные конечные состояния или желаемый результат, которого стремится достигнуть предприятие.
«Если вы идете без цели, то нет смысла выбирать дорогу»
Р. Эмерсон
2.5. Цели организации
Любая система управления — это, прежде всего целенаправленная система, имеющая иерархическое строение и организованная для достижения целей фирмы, которые принято называть целями функционирования.
Цели, стоящие перед системой управления, являются отправной точкой планирования. В сущности, планирование — это разработка целей и задач фирмы, нашедших конкретное выражение в перспективных и текущих планах.
Любая деятельность в системе оправдана только в том случае, если она способствует достижению ее конечной цели функционирования. Иначе говоря, любая организация должна быть спроектирована таким образом, чтобы вся деятельность в системе реализовала только те цели функционирования, для которых она создавалась.
Поскольку задачей менеджмента является достижение цели, важно правильно ее определить. Искусство выбора и формулирования правильной цели, управление процессом ее реализации, включая оценку достигнутой степени реализации, отличают действительно умелого руководителя.
Невозможно управлять людьми, если и руководителям, и подчиненным цели совершенно не ясны. Управлять — значить побуждать других к достижению ясной им цели, а не заставлять делать то, что считаешь правильным.
Определение целей функционирования — один из наиболее важных этапов в деятельности фирмы. От того, насколько правильно выбрана цель функционирования, насколько четко она сформулирована, зависит успех деятельности.
Ниже перечислены приоритетные цели ООО «ЛаНе», которые предприятие хотело бы достичь до конца 2007 года:
увеличение объема продаж ассортимента продукции
конкурентоспособность цен
увеличение доли рынка
повышение качества услуг
продвижение на рынок новинок
Выводы по Главе 2
Изучив работу предприятия, его миссию и цели, а так же действующую организационную структуру я пришла к выводу, что организация имеет слишком малый ассортимент продукции, а также, двое из программистов работают только с определенным программным обеспечением (Консультант-Плюс и 1С), в связи с чем организационная структура нуждается в переработке.
Для реорганизации организационной структуры предприятия я предлагаю провести SWOT-анализ который поможет изучить сильные и слабые стороны предприятия.
Для получения объективного результата высококвалифицированные эксперты должны оценить каждый фактор в соответствии с выбранной шкалой оценки, по пятибалльной системе. По данным таблицы выводится усреднённый показатель значимости каждого выделенного фактора, производится их ранжирование.
Глава 3. Предложения по совершенствованию организационной структуры ООО “ЛаНе”
3.1 SWOT-метод изучения сильных и слабых сторон организации, ее возможностей и угроз со стороны окружения
Любая организация обладает сильными и слабыми сторонами. Проведем SWOT-анализ, который позволяет выявить и структурировать сильные и слабые стороны нашей организации, а также потенциальные возможности и угрозы. Достигается это за счет того, что менеджеры должны сравнивать внутренние силы и слабости своей организации с возможностями, которые дает им рынок. Исходя из качества соответствия делается вывод о том, в каком направлении организация должна развивать свой бизнес и в конечном итоге определяется распределение ресурсов по сегментам.
3.1.1 Анализ факторов внутренней среды, основных угроз и возможностей
Таблица 3.1 Анализ факторов внутренней среды предприятия (до изменений)
|
Факторы внутренней среды |
Оценка качества |
Важность |
||||
|
5 |
4 |
3 |
2 |
1 |
||
|
1. МАРКЕТИНГ: |
||||||
|
1.1. Известность компании на рынке |
+ |
0,04 |
||||
|
1.2. Доля рынка |
+ |
0,04 |
||||
|
1.3. Репутация в отношении качества |
+ |
0,05 |
||||
|
1.4. Репутация в отношении обслуживания |
+ |
0,05 |
||||
|
1.5. Реклама |
+ |
0,06 |
||||
|
1.6. Эффективность продаж |
+ |
0,04 |
||||
|
1.7. Эффективность НИОКР |
+ |
0,03 |
||||
|
1.8. Месторасположение |
+ |
0,02 |
||||
|
2. ФИНАНСЫ: |
||||||
|
2.1. Стоимость капитала |
+ |
0,05 |
||||
|
2.2. Доступность капитальных ресурсов |
+ |
0,02 |
||||
|
2.3. Доходность капитала |
+ |
0,03 |
||||
|
2.4. Финансовая стабильность |
+ |
0,05 |
||||
|
3. ПРОИЗВОДСТВО: |
||||||
|
3.1. Современное оборудование |
+ |
0,04 |
||||
|
3.2. Удовлетворение покупательского спроса |
+ |
0,05 |
||||
|
3.3. Соблюдение сроков поставок |
+ |
0,04 |
||||
|
3.4. Ассортимент продукции |
+ |
0,05 |
||||
|
3.5. Затраты на производство |
+ |
0,02 |
||||
|
3.6. Технический уровень производства |
+ |
0,03 |
||||
|
4. ОРГАНИЗАЦИЯ: |
||||||
|
4.1. Квалификация руководства |
+ |
0,04 |
||||
|
4.2. Малый штат сотрудников |
+ |
0,04 |
||||
|
4.3. Квалификация и способности менеджеров |
+ |
0,05 |
||||
|
4.4. Реакция на изменение рыночной ситуации |
+ |
0,04 |
||||
|
4.5. Преданность работе сотрудников |
+ |
0,03 |
||||
|
4.6. Инициативность руководства |
+ |
0,04 |
||||
|
4.7. Оперативность принятия решений |
+ |
0,05 |
Таблица 3.2 Матрица анализа сильных и слабых сторон ООО «ЛаНе»
|
Оценка качества |
||||||
|
Очень слабое |
Слабое |
Нейтральное |
Сильное |
Очень сильное |
||
|
Важность |
Высшая |
1.4., 2.1., 3.2., 3.4. |
1.5., 4.3 |
1.3., 4.7. |
2.4. |
|
|
Средняя |
4.2. |
1.6., 4.1., 4.4. |
1.2. |
3.1.,3.3, 4.6. |
1.1. |
|
|
Низшая |
1.7, 1.8 |
2.2., 3.5. |
2.3.,3.6., 4.5. |
Вывод: Как видно из матрицы анализа слабых и сильных сторон, слабые стороны предприятия преобладают над сильными. Надо отметить, что самыми проблемными факторами являются те, которые расположены в верхнем левом углу матрицы – проблемной области, это – 1.4., 2.1., 3.2., 3.4., 4.2., 1.5., 4.3., 1.6., 4.1., 4.4.
Таблица 3.3 Итог анализа деятельности ООО «ЛаНе»
|
Факторы |
Сильные стороны |
Слабые стороны |
Последствия |
|
МАРКТИНГ |
Известность компании на рынке, занимает весомую долю рынка |
Низкий уровень обслуживания, низкая эффективность НИОКР, невысокая репутация в отношении качества, средняя эффективность продаж, имеет неудобное месторасположение, недостаточная реклама |
Падение уровня продаж, возможно, потеря клиентов |
|
ФИНАНСЫ |
Высокая доходность капитала, финансовая стабильность |
Невысокая стоимость капитала доступность капитальных ресурсов |
Благополучное финансовое состояние фирмы |
|
ПРОИЗВОДСТВО |
Высокотехнологичное современное оборудование, своевременная поставка продукции |
Очень «скудный» ассортимент продукции, большие затраты на производство, невысокая степень удовлетворения покупательского спроса |
Потеря клиентов, увеличение стоимости продукции |
|
ОРГАНИЗАЦИЯ |
Инициативное руководство, достаточно преданные организации работники |
Недостаточная квалификация руководства и менеджеров низкая реакция на изменение рыночной ситуации, больше необходимого число сотрудников |
Нескоординированная работа фирмы |
Выводы: Неважные показатели в сфере маркетинга. Желательно скорейшее изменение сложившейся ситуации. Сильные стороны финансового фактора несколько превосходя слабые, необходимо отметить, что к преимуществам сильных сторон относится финансовая стабильность предприятия. Главный изъян - в производственном факторе – недостаточный ассортимент продукции, это приводит к тому, что компания не может полностью удовлетворить покупательского спроса. Существенным минусом организационного фактора является недостаточная квалификация руководства и менеджеров фирмы. Необходимо повышение квалификации в первую очередь менеджеров, а также руководства фирмы.
3.1.2 Анализ факторов внешней среды, основных угрози возможностей
Таблица 3.4 Анализ факторов внешней среды предприятия
|
Факторы внешней среды |
Оценка качества |
Важность |
||||
|
5 |
4 |
3 |
2 |
1 |
||
|
ФАКТОРЫ ПРЯМОГО ВОЗДЕЙСТВИЯ: |
||||||
|
1. ПОКУПАТЕЛИ: |
||||||
|
1.1. Крупные клиенты |
+ |
0,05 |
||||
|
1.2. Мелкие клиенты |
+ |
0,04 |
||||
|
1.3. Угроза неплатежа со стороны покупателя |
+ |
0,04 |
||||
|
1.4. Угроза потери покупателя |
+ |
0,05 |
||||
|
1.5. Важность появления нового покупателя |
+ |
0,04 |
||||
|
1.6. Возраст покупателя |
+ |
0,03 |
||||
|
1.6.1. от 16 до 25 лет |
+ |
0,05 |
||||
|
1.6.2. от 26 до 45 лет |
+ |
0,04 |
||||
|
1.6.3. от 46 до 55 лет |
+ |
0,04 |
||||
|
1.6.4. от 56 и старше |
+ |
0,03 |
||||
|
2. КОНКУРЕНТЫ: |
||||||
|
2.1. Преимущества |
+ |
0,05 |
||||
|
2.2. Слабость |
+ |
0,04 |
||||
|
2.3. Борьба с конкурентами |
+ |
0,04 |
||||
|
3. ПОСТАВЩИКИ: |
||||||
|
3.1. Надежность |
+ |
0,05 |
||||
|
3.2. Необходимость поиска нового поставщика |
+ |
0,03 |
||||
|
3.3. Репутация |
+ |
0,04 |
||||
|
3.4. Цены поставок |
+ |
0,05 |
||||
|
4. ЗАКОНОДАТЕЛЬНАЯ БАЗА: |
||||||
|
4.1. Устойчивость законов, по которым работает фирма |
+ |
0,05 |
||||
|
4.2. Возможность появления новых законов |
+ |
0,03 |
||||
|
4.3. Субсидии |
+ |
0,05 |
||||
|
4.4. Налоги |
+ |
0,04 |
||||
|
ФАКТОРЫ КОСВЕННОГО ВОЗДЕЙСТВИЯ: |
||||||
|
5. Уровень социально-экономического развития |
+ |
0,02 |
||||
|
6. Уровень научно-технического развития экономики |
+ |
0,03 |
||||
|
7. Уровень научно-технической развития отрасли |
+ |
0,04 |
||||
|
8. Экономические кризисы внутри страны |
+ |
0,03 |
Таблица 3.5 Список основных угроз и возможностей
|
Угроза |
Возможность |
Последствия для фирмы |
Возможные меры для избежания угрозы или не использования возможностей |
|
Потеря клиента |
Финансовые потери, а в случае потери крупного клиента, значительные; возможно, уменьшение з/платы сотрудников или сокращение штата. Падение репутации фирмы |
Всевозможные меры для удержания клиента: скидки, дополнительные услуги. Поиск альтернативных решений проблемы с клиентом |
|
|
Появление клиента |
Дополнительный рынок сбыта, дополнительный источник поступления финансовых средств |
Скидки, рассрочки платежа, дополнительные услуги, заключение договора на длительный срок. |
|
|
Преимущества конкурентов |
Потеря клиентов как существующих, так и потенциальных; потеря занимаемой доли рынка |
Нахождение и устранение причин отставания от конкурентов. Постараться «обойти» конкурента другими преимуществами. |
|
|
Слабость конкурен-тов |
Увеличение занимаемой доли рынка, появление новых клиентов |
Постараться упрочить свои позиции на данной нише рынка. При очень бедственном положении конкурента, предложить ему объединиться для устранения других конкурентов |
|
|
Потеря постав-щика |
Срыв поставок, финансовые убытки, потеря клиентов, падение авторитета фирмы, поиск нового поставщика |
Улучшение деловых отношений, рассмотрение и, если возможно, решение существующей проблемы; иметь контракт с поставщиком на экстренные заказы |
|
|
Появление нового поставщика |
Выбор между поставщиками, наиболее приемлемых условий для заключения контрактов |
Перезаключение договоров имеет смысл делать только тогда, когда новый поставщик имеет хорошую репутацию или значительно более выгодные условия для сотрудничества. |
|
|
Введение дополнительных налогов |
Повышение стоимости продукции |
Попытка получения налоговых льгот |
|
|
Предоставление государством субсидий |
Снижение стоимости продукции, расширение предприятия и увеличение объемов производства |
Попытка получения новых субсидий |
Вывод: практически любая угроза ведет за собой цепь негативных факторов, конечным звеном которой всегда являются финансовые убытки, а вслед за этим и, возможно, падение репутации фирмы. И наоборот, любая возможность дает фирме шанс упрочить свое место на рынке, а также, при возможности, продвигаться дальше.
3.2 Предложения по совершенствованию организационной структуры ООО «ЛаНе»
Таким образом, проведя SWOT-анализ, я пришла к выводу, что данная структура организации не удовлетворяет ее потребностям, вследствие чего структура подлежит реорганизации.
Организация имеет слишком малый ассортимент продукции, а также, двое из программистов работают только с определенным программным обеспечением (Консультант-Плюс и 1С), в связи, с чем организационная структура нуждается в переработке.
Я предлагаю исключить должность менеджера по продажам и ввести две новые должности : менеджер по продажам (закупкам) компьютеров и менеджер по продажам (закупкам) оргтехники и периферии.
Данное решение поможет фирме решить проблему с недостатком ассортимента продукции.
Вместе с тем, необходимо выделить отдельно программиста по программе «1С» и программиста по «Консультант-Плюс». Также, для уменьшения штата сотрудников, необходимо сократить должность инспектора кадров, и перепоручить полномочия коммерческому директору.
Для чего будет утверждено новое штатное расписание, в котором на коммерческого директора дополнительно будут возложены обязанности инспектора по кадрам, в связи с чем, будет увеличен должностной оклад.
Так же я предлагаю переименовать должность главного инженера в должность технического директора, название, которое более соответствует условиям современной России.
УТВЕРЖДАЮ
Директор OOО «ЛаНе»
Самодурова Л.В.
Штат предприятия ООО «ЛаНе» с 01.01.2007
-
№
Наименование должностей
Количество штатных единиц
Оклад
1
Директор
1
11000
2
Главный инженер
1
9500
3
Коммерческий директор
1
8700
4
Главный бухгалтер
1
8500
5
Менеджер по продажам
1
6000
6
Инженер-электронщик
5
5500
7
Инженер-программист
3
5800
8
Бухгалтер
1
5500
9
Бухгалтер-кассир
1
5000
10
Инспектор по кадрам
1
4000
11
Секретарь-делопроизводитель
1
3800
Итого 106900 руб.
Дополнение к штату с 01.01.2007
-
№
Наименование должностей
Количество штатных единиц
Оклад
I
ИСКЛЮЧАЮТСЯ:
1
Главный инженер
1
9500
2
Коммерческий директор
1
8700
2
Менеджер по продажам
1
6000
3
Инспектор по кадрам
1
4000
I
ДОБАВЛЯЮТСЯ:
1
Коммерческий директор
1
9500
2
Технический директор
1
9500
3
Менеджер по продажам (закупкам) компьютеров
1
7000
4
Менеджер по продажам (закупкам) оргтехники
1
7000
Как видно из штатного расписания, введение новой должности менеджера и повышение заработной платы сотрудникам (коммерческому директору, техническому директору, и менеджерам по продажам (закупкам компьютеров)) влечет за собой повышение расходов для организации на заработную плату в размере 4800 рублей. Но вместе с тем эти расходы на реорганизацию оправданны, так как данное решение поможет фирме решить существующие проблемы с ассортиментом продукции, а более высокая оплата труда является мотивацией для более эффективной работы сотрудников, что сказывается на повышении качества оказываемых услуг, и вследствие этого, у предприятия будут более эффективные продажи и удовлетворение покупательского спроса. Тем самым данное решение поможет организации достичь поставленных целей.
Проведя SWOT-анализ и введя новое штатное расписание, перестроим организации оную структуру следующим образом:
Р
ис.
3.2. Реорганизованная структура ООО
«ЛаНе»
После реорганизации существующей организационной структуры необходимо провести повторное обследование системы и убедиться в эффективности системы управления предприятием. Для этого следует провести SWOT- анализ факторов внутренней среды предприятия.
Таблица 3.6 Анализ факторов внутренней среды предприятия (после изменений)
|
Факторы внутренней среды |
Оценка качества |
Важность |
||||
|
5 |
4 |
3 |
2 |
1 |
||
|
1. МАРКЕТИНГ: |
||||||
|
1.1. Известность компании на рынке |
+ |
0,04 |
||||
|
1.2. Доля рынка |
+ |
0,04 |
||||
|
1.3. Репутация в отношении качества |
+ |
0,05 |
||||
|
1.4. Репутация в отношении обслуживания |
+ |
0,05 |
||||
|
1.5. Реклама |
+ |
0,06 |
||||
|
1.6. Эффективность продаж |
+ |
0,04 |
||||
|
1.7. Эффективность НИОКР |
+ |
0,03 |
||||
|
1.8. Месторасположение |
+ |
0,02 |
||||
|
2. ФИНАНСЫ: |
||||||
|
2.1. Стоимость капитала |
+ |
0,05 |
||||
|
2.2. Доступность капитальных ресурсов |
+ |
0,02 |
||||
|
2.3. Доходность капитала |
+ |
0,03 |
||||
|
2.4. Финансовая стабильность |
+ |
0,05 |
||||
|
3. ПРОИЗВОДСТВО: |
||||||
|
3.1. Современное оборудование |
+ |
0,04 |
||||
|
3.2. Удовлетворение покупательского спроса |
+ |
0,05 |
||||
|
3.3. Соблюдение сроков поставок |
+ |
0,04 |
||||
|
3.4. Ассортимент продукции |
+ |
0,05 |
||||
|
3.5. Затраты на производство |
+ |
0,02 |
||||
|
3.6. Технический уровень производства |
+ |
0,03 |
||||
|
4. ОРГАНИЗАЦИЯ: |
||||||
|
4.1. Квалификация руководства |
+ |
0,04 |
||||
|
4.2. Малый штат сотрудников |
+ |
0,04 |
||||
|
4.3. Квалификация и способности менеджеров |
+ |
0,05 |
||||
|
4.4. Реакция на изменение рыночной ситуации |
+ |
0,04 |
||||
|
4.5. Преданность работе сотрудников |
+ |
0,03 |
||||
|
4.6. Инициативность руководства |
+ |
0,04 |
||||
|
4.7. Оперативность принятия решений |
+ |
0,05 |
Выводы
Как видно из таблицы 3.6 изменения в фирме сказались положительным образом на таких факторах внутренней среды предприятия как удовлетворение покупательского спроса, расширение ассортимента продукции, квалификации руководства и менеджеров.
Из реорганизованной структуры видно, что две новые введенные должности менеджеров будут ориентированы на определенную продукцию (компьютеры и оргтехнику), что, в свою очередь, должно привести к решению проблемы – устранению дефицита ассортимента. А также, был реорганизован отдел программистов по принципу специализации. Данные преобразования позволяют фирме достичь поставленных целей, таких как увеличение объёма продаж, повышение качества оказываемых услуг и продвижения на рынок новинок и увеличение доли рынка.
3.3 Расчет эффективности совершенствования организационной структуры
Для расчёта эффективности совершенствования организационной структуры произведем оценку абсолютного показателя качества организации P исходя из условия:

где k – число показателей, входящих в интегральную оценку;
А>i> – значение коэффициента важности показателя;
X>i> – числовое значение i-ой характеристики качества организации.
1. Используя таблицу 3.1 произведем оценку абсолютного показателя качества организации P исходя из факторов внутренней среды предприятия до изменений в предприятии (см. Приложение 1 “Расчёт эффективности”):
Получаем, что P = 2,4
2. Используя таблицу 3.6 произведем оценку абсолютного показателя качества организации P исходя из факторов внутренней среды предприятия после изменений в предприятии:
Получаем, что P = 2,79
3. Используя таблицу 3.4 произведем оценку абсолютного показателя качества организации P исходя из факторов внешней среды предприятия:
Получаем, что P = 3,33
Изменения в фирме в итоге коснулись таких факторов внутренней среды предприятия, как: ассортимент продукции, удовлетворение покупательского спроса, квалификация руководства, а также квалификация и способности менеджеров. Соответственно увеличилась и оценка абсолютного показателя качества организации. Она увеличилась с 2,4 до 2,79.
ЗАКЛЮЧЕНИЕ
Целью данного дипломного проекта заключается в выявлении необходимости проведения организационных изменений, изучения этой проблемы и разработка предложений по совершенствованию организационной структуры управления ООО «ЛаНе».
Для достижения поставленной цели, была определена основная задача, выработка программы проведения организационных изменений.
В работе были решены следующие задачи:
-изучена и проанализирована мировая и отечественная практика проектирования и совершенствования организационной структуры управления предприятием;
-проведен SWOT - анализ хозяйственной деятельности предприятия;
-проанализирована существующая организационная структура управления предприятием и выявлены следующие причины ее совершенствования: неудовлетворительное функционирование предприятия (снижение прибыли), малый ассортимент продукции, недостаточная эффективность продаж, невысокая степень удовлетворения покупательского спроса, недостаточная квалификация руководства и менеджеров фирмы.
-на основе SWOT - анализа организационной структуры были выдвинуты предложения по ее совершенствованию, такие как:
● исключить должность менеджера по продажам и ввести две новые должности: менеджер по продажам (закупкам) компьютеров и менеджер по продажам (закупкам) оргтехники и периферии.
● выделить отдельно программиста по программе «1С» и программиста по «Консультант-Плюс»
● для уменьшения штата сотрудников, необходимо сократить должность инспектора кадров, и перепоручить полномочия коммерческому директору.
-Был проведен расчёт эффективности совершенствования организационной структуры, который показал, что предложенное менеджерское решение положительным образом сказалось на таких факторах внутренней среды предприятия как: ассортимент продукции, удовлетворение покупательского спроса, квалификация руководства, а также квалификация и способности менеджеров, увеличилась оценка абсолютного показателя качества организации с 2,4 до 2.79.
На мой взгляд, предложенное менеджерское решение заслуживает подробного рассмотрения и может быть рекомендовано для реализации, руководству ООО "ЛаНе" в качестве инструмента, для повышения устойчивости и адаптационной способности предприятия.
В заключении необходимо подчеркнуть, что проведение организационных изменений может служить серьезным механизмом поддержки и развития системы управления предприятия. В руках компетентного руководителя осуществление организационных изменений представляет собой мощное средство усовершенствования работы предприятия и повышения его эффективности.
Список используемых источников
1. Акбердин Р.З., Кибанов А.Я. «Совершенствование структуры, функций и экономических взаимоотношений управленческих подразделений предприятий при формах хозяйствования». Учебное пособие. - М.: ГАУ, 2003г.
2. Аккофф Р.Планирование будущего корпорации – М.: Прогресс, 2001 – 246
3. Ансофф И. Стратегическое управление. Пер. c англ. - М.: Экономика, 1999 536 С.
4. Астахов А.С., Головко И.К. Технология прорыва и школа В. Эрхарда. – М.: 1997 – 268 c.
5. Большаков А.С. Менеджмент. Спб. Питер, 2003
Боумен К. Основы стратегического менеджмента. Пер. c англ. – М.: ЮНИТИ, 2004 - 486 c.
6. Вершигора Е.Е. Менеджмент: Учебное пособие для учащихся специальных учебных заведений экономического профиля - М.: ИНФРА-М, 2000 -256с.
7. Веснин В.Р. Основы менеджмента: Учебник / Институт международного права и экономики - М.: Триада ЛТД, 1999 - 384 с.
8. Виханский О.С., Наумов А.И. Менеджмент. – М.: Гардарика, 2003 – 528 с.
9. Виханский О.С. Стратегическое управление: Учебник. – М.: Изд-во МГУ, 2001 – 512 с.
10. Водачек Л., Водочкова О. Стратегия управления инновациями на предприятии. М., 1999 – 432 c.
11. Галькович Р.С., Набоков В.И. Основы менеджмента - М.: ИНФРА-М, 1997 - 189 с.
12.Герчикова И.Н. Менеджмент: Учебник для студентов вузов - 2-е изд.- М.: Банки и биржи, ЮНИТИ, 2005 - 480 с.
13. Джеймс Л. Гибсон, Д. Иванцевич, Джеймс Х. Доннелли – мл. «Организации: поведение, структура, процессы». – М.: Инфра – М, 2002 г.
14. Драккер П.Ф. Управление нацеленное на результаты. М., 1996
15.Друкер П. Управление, нацеленное на результаты. Пер. с англ. – М.: Технологическая школа бизнеса, 1994 – 368 с.
16.Дункан У. Дж. Основополагающие идеи в менеджменте: Пер. с англ.- М.: Дело, 2006 - 272 с.
17.Зотов В.В., Ленский Е.В. Задачи и организационные основы менеджмента. М.:ТОО “Корона принт”, 1998 – 456 с.
18.Кабушкин Н.И. «Основы менеджмента». – Минск: «Новое знание», 2000 г
19. Котлер Ф. Управление маркетингом – М.: Финансы 1990. 745с
20. Кравченко А.И. Прикладная социология и менеджмент: Учебное пособие- М.: изд-во МГУ, 2005 - 200 с.
21.Маслов Е.В. Управление персоналом предприятия: Учебное пособие - М.: Изд-во МГУ, 2000 - 312 с.
22. Менеджмент организации: Учебное пособие / Под ред. З.П. Румянцевой, Н.А. Соломатина. - М.: ИНФРА-М, 2001 - 429 с.
23. Мескон М.Х. и др. Основы менеджмента: Пер. с англ. / М.Х. Мескон, М. Альберт, Ф. Хедоури. - М.: Дело, 2002 - 800 с.
24. Мильнер Б.З. Теория организаций. Курс лекций - М.:
ИНФРА-М, 2002 - 336 с.
25. Райсс М. «Оптимальная сложность управленческих структур» // Проблемы теории и практики управления. - 2004. - №5.
26. Рогожин С.В., Рогожина Т.В. Теория организации - М.:изд. Экзамен, 2003 320с.
27. Сацков Н.Я. Практический менеджмент. Методы и приемы деятельности руководителя - Донецк: Сталкер,2003 - 448 с.
28. Таусенд Р. Секреты управления или как удержать компанию от подавления инициативы людей и снижени прибыли. – М., 2001 – 436 c.
29. Шонесси О.Дж. Принципы организации управления фирмой - М.: Прогресс 1989 - 378 c.
30.Уотерман Р. Фактор обновления: Как сохраняют конкурентоспособность лучшие компании. – М.: Прогресс,1998–248 c.
31.Управление персоналом организации. Учебник./Под ред. А.Я. Кибанова.- М.: Инфра-М 2000 - 512 c.
32.Управление персоналом в условиях социальной рыночной экономики. / Под ред. Р. Марра, Г. Шмидта. - М.: Изд-во МГУ, 1999 - 480 с.
33.Управление по результатам. Тимо Санталайнен, Эеро Воути, Пертти Поренне, Йоуко Х. Ниссенен. - М.: Прогресс, Универс, 2003 - 318 с.
34.Устав предприятия ООО "ЛаНе".
35.Уткин Э.А. Курс менеджмента: Учебник для вузов / Финансовая Академия при Правительстве РФ. - М.: Зерцало, 2001 - 448 c.
36.Уткин Э.А. Профессия - менеджер. - М.: Экономика, 2002 - 174 с.
37.Фатхутдинов Р.А. Инновационный менеджмент. Учебник для вузов - М.: ЗАО "Бизнес-школа", "Интел-Синтез", 2004 - 600 c.
38.Фостер Р. Обновление производства. – М.: Прогресс, 1997 – 424 с.
39.Ховард К., Коротков Э. Принципы менеджмента (Управление в системе цивилизованного предпринимательства): Учебное пособие. - М.: ИНФРА-М, 2006 - 224 с.
40.Шахмалов Ф.И. Американский менеджмент. Теория и практика. – М.: Наука, 2003 – 546 с.