Теория организации (работа 4)
План работы
1 Организационные системы
1 . Организация как система, организационные отношения 2
2 Общие понятия систем. Классификация 5
2 Самоорганизация и самоуправление
1 Регламентация и самоорганизация в процессе управления 9
2 Виды самоорганизации 10
3 Основные элементы самоуправления 11
4 Основные элементы самоорганизации 12
5 Схемы коммуникаций при самоорганизации 13
3. Тесты 14
Список использованной литературы 16
I.Организационные системы
1. Организация как система, организационные отношения.
Организация — это одно из самых древних общественных образовании на Земле. Так, по сведениям археологов, при раскопках древнего Шумера (существовавшего ок. 3 тыс. лет до н.э.) были найдены глиняные таблички, на которых записаны сведения о коммерческой деятельности организованных групп людей.
Развитие организаций шло медленно, постепенно накапливался опыт их создания, появлялись известные в мире заводы, фабрики; талантливые руководители, фабриканты, заводчики и т.д. Постепенно расширялся состав общественных организаций. Первый научный подход к анализу организаций и процессу управления ими приписывают Фредерику Тейлору (США), который в 1911 г. опубликовал книгу «Принципы научного управления». С этого времени устойчивый общественный интерес к управлению социальными системами способствовал развитию всех направлений научных исследований в данной сфере, в том числе и организаций. Постепенно в наборе управленческих наук формируется новое научное направление — теория организации (рис. 1.1).
Новый Гражданский кодекс РФ (далее ГК) внес существенные изменения в перечень форм построения юридических лиц и в условия их функционирования. В табл. 1.1 приведены названия вновь введенных и постепенно упраздняемых форм построения организаций. В современном виде типология организаций может быть представлена схемой рис. 1.1.

Рис. 1.1. Типология организаций
Таблица 1.1. Введенные и упраздняемые формы организаций
|
Введенные формы |
Упраздняемые формы |
|
Полное товарищество как юридическое лицо Товарищество на вере Дочерние и зависимые общества Общество с ограниченной ответственностью Общество с дополнительной ответственностью Производственные кооперативы |
Полное товарищество как неюридическое лицо Смешанное товарищество Товарищество с ограниченной ответственностью Индивидуальное (семейное) частное предприятие |
Термин «организация» имеет множество производных, например, организация производства, организованный человек, организатор, профсоюзная организация, дезорганизация и др.
Организация производства — это форма, порядок соединения труда с вещественными элементами производства в целях обеспечения выпуска высококачественной продукции, достижения высокой производительности труда на основе лучшего использования производственных фондов и трудовых ресурсов.
Организационные отношения — это взаимодействие или противодействие между элементами организации внутри и вне нее (рис. 1.2) при создании, функционировании, реорганизации и разрушении организации.

Pиc.1.2. Среда организационных отношений
(В - взаимодействие, П - противодействие)
Организационные отношения могут быть трех уровней:
• здравого смысла;
• взаимного уничтожения;
• заранее спроектированного взаимодействия.
Внешняя среда включает условия и организации, в том числе политические, экономические и экологические условия; конкурирующие организации, поставщиков и потребителей, социальную инфраструктуру и тд. Так, для учебного института внешней средой будет город, где он расположен, отношение общества к образованию и др. Внешние организационные отношения возникают с чиновниками различных муниципальных и федеральных служб, спонсорами, поставщиками и потребителями и т.д. Внутренней средой для учебного института являются все его подразделения, в том числе кафедры, деканаты, хозяйственные службы, персонал, студенты.
Создание благоприятной атмосферы взаимодействия организации с внешней средой и во внутренней среде — это задача профессионального управления.
Город со множеством организаций также имеет внешнюю и внутреннюю среду. Методология деятельности специалиста по организации не зависит от интеграции (сложности) организации.
В организации может быть вертикальное (по уровням управления) и горизонтальное (по выполняемым функциям) разделение труда.
2. Общие понятия систем. Классификация
Основой теории организации является теория систем.
Система — это целое, созданное из частей и элементов, для целенаправленной деятельности.
Признаки системы: множество элементов, единство главной цели для всех элементов, наличие связей между ними, целостность и единство элементов, структура и иерархичность, относительная самостоятельность, четко выраженное управление.
Система может быть большой и ее целесообразно разделить на ряд подсистем.
Подсистема — это набор элементов, представляющих автономную внутри системы область (например, экономическая, организационная, техническая подсистема).
Свойства систем:
• система стремится сохранить свою структуру-это свойство основано на объективном законе организации — законе самосохранения (см. гл. 3);
• система имеет потребность в управлении (существует набор потребностей человека, животного, общества, стада животных и большого социума);
• в системе формируется сложная зависимость от свойств входящих в нее элементов и подсистем (система может обладать свойствами, не присущими ее элементам, и может не иметь свойств своих элементов). Например, при коллективной работе у людей может возникнуть идея, которая бы не пришла в голову при индивидуальной работе; коллектив, созданный педагогом Макаренко из беспризорных детей, не воспринял воровства, матерщины, беспорядка, свойственных почти всем его членам. Каждая система имеет входное воздействие, систему обработки, конечные результаты и обратную связь (рис.1.3.).

Рис. 1.3. Схема функционирования системы
Классификация систем может быть проведена по различным признакам, однако основной является группировка их в трех подсистемах: технической, биологической и социальной.
Техническая подсистема
Включает станки, оборудование, компьютеры и другие работоспособные изделия, имеющие инструкции для пользователя. Набор решений в технической системе ограничен, и последствия решений обычно предопределены. Например, порядок включения и работы с компьютером, порядок управления автомобилем, методика расчета мачтовых опор для ЛЭП, решение задач по математике и др. Такие решения носят формализованный характер и выполняются в строго определенном порядке. Профессионализм специалиста, принимающего решения в технической системе, определяет качество принятого и выполненного решения. Например, хороший программист может эффективно использовать ресурсы компьютера и создавать качественный программный продукт, а неквалифицированный — может испортить информационную и техническую базу компьютера.
Биологическая подсистема
Включает флору и фауну планеты, в том числе относительно замкнутые биологические подсистемы, например, муравейник, человеческий организм и др. Эта подсистема обладает большим разнообразием функционирования, чем техническая. Набор решений в биологической системе также ограничен из-за медленного эволюционного развития животного и растительного мира. Тем не менее, последствия решений в биологических подсистемах часто оказываются непредсказуемыми. Например, решения врача, связанные с методами и средствами лечения пациентов; решения агронома о применении тех или иных химикатов в качестве удобрений. Решения в таких подсистемах предполагают разработку нескольких альтернативных вариантов решений и выбор лучшего из них по каким-либо признакам. Профессионализм специалиста определяется его способностью находить лучшее из альтернативных решений, т. е. он должен правильно ответить на вопрос: что будет, если...?
Социальная (общественная) подсистема
Характеризуется наличием человека в совокупности взаимосвязанных элементов. В качестве характерных примеров социальных подсистем можно привести семью, производственный коллектив, неформальную организацию, водителя, управляющего автомобилем, и даже одного отдельного человека (самого по себе). Эти подсистемы существенно опережают биологические по разнообразию функционирования. Набор решений в социальной подсистеме характеризуется большим динамизмом, как в количестве, так и в средствах и методах реализации. Это объясняется высоким темпом изменения сознания человека, а также нюансов в его реакциях на одинаковые и однотипные ситуации.
Социальные системы в зависимости от поставленных целей могут быть образовательными, экономическими, политическими, медицинскими и др.
Наиболее распространены социально-экономические системы. Социальные системы, которые реализуют себя в производстве товаров, услуг, информации и знаний, называются социальными организациями. Таким образом, существуют социально-политические, социально-образовательные, социально-экономические и другие организации. Каждый из этих видов имеет приоритет собственных целей.
Так, для социально-экономических организаций главная цель получение максимальной прибыли; для социально-культурных — достижение эстетических целей, а получение максимальной прибыли является вторичной целью; для социально-образовательных – достижение современного уровня знаний, а получение прибыли также является вторичной целью.
Социальные организации (в дальнейшем организации) играют существенную роль в современном мире
Их особенности:
* реализация потенциальных возможностей и способностей человека;
* формирование единства интересов людей (личных, коллективных, общественных). Единство целей и интересов служит системообразующим фактором;
* сложность, динамизм и высокий уровень неопределенности. Организации охватывают различные сферы деятельности людей в обществе. Механизмы взаимодействия людей через социализацию создают условия и предпосылки развития коммуникабельности, формирования позитивных моральных норм людей в
общественных и производственных отношениях. Он также создают систему контроля, включающую наказание и поощрение
индивидов, так чтобы выбираемые ими действия не выходили за рамки допустимых для данной системы норм и правил. В организации проходят объективные (естественные) и субъективные рамки допустимых для данной системы норм и правил, с организации проходят объективные (естественные) и субъективные (искусственные, по воле человека) процессы. К объективным относятся циклические процессы спада-подъема в деятельности организации, процессы, связанные с действиями законов организации, например, синергии, композиции и пропорциональности, информированности. К субъективным относятся процессы связанные с принятием управленческих решений (например, процессы, связанные с приватизацией организации).
В организации имеются формальные и неформальные лидеры. Лидер — это физическое лицо, которое оказывает наибольшее влияние на работников бригады, цеха, участка, отдела и т.д.
Он воплощает групповые нормы и ценности и выступает в защиту этих норм. Формальный лидер (руководитель) назначается вышестоящим руководством и наделяется необходимыми для этого правами и обязанностями. Неформальный лидер — это член организации, признанный группой людей как профессионал (авторитет) или защитник в интересующих их вопросах. Лидером обычно становится человек, у которого профессиональный или организаторский потенциал существенно выше потенциала его коллег в какой-либо области деятельности.
II.Самоорганизация и самоуправление
1. Регламентация и самоорганизация в процессе управления
В каждой организации имеются регламентирующие документы на систему управления организации (уставные документы, законодательные и нормативные акты и т.д.). Однако наряду со штатным управленческим процессом в организации происходят процессы, связанные с несанкционированным управлением и организацией, т. е. самоуправление и самоорганизация.
Самоуправление и самоорганизация свойственны живой и неживой материи. В ряде случаев самоуправление и самоорганизация более эффективны, чем искусственные управление и организация. В некоторых случаях они инициируют развитие искусственного управления в организации или же функционируют совместно. Иногда трудно определить, что послужило источником профессионального управления: оно само или элементы самоуправления (рис. 2.1.). В изображенном цикле процесс организации является следствием регламентного управления, а самоорганизация первична (инициирующая) для самоуправления.

Рис. 2.1. Схема цикличности управления и самоуправления, организации и самоорганизации
Самоорганизация может рассматриваться как процесс и как явление. Сущность ее как процесса состоит в формировании совокупности действий, ведущих к созданию устойчивых реакций в системе. Сущность самоорганизации как явления состоит в объединении элементов для реализации программы или цели и действующих на основании внутренних правил и процедур.
2. Виды самоорганизации
Выделяют техническую, биологическую и социальную самоорганизацию.
Техническая самоорганизация (как процесс) основана на программе автоматической смены алгоритма действия при изменении свойств управляемого объекта, цели управления или параметров окружающей среды (например, система самонаведения ракет). Как явление техническая самоорганизация — это набор альтернативных интеллектуальных адаптивных систем, обеспечивающих заданную работоспособность вне зависимости от условий функционирования. Среди них различают самонастраивающиеся, самообучающиеся и самоорганизующиеся системы.
Биологическая самоорганизация основана на генетической программе сохранения вида (как процесс), призванной обеспечить соматическое (телесное) построение объекта (как явление).
Социальная самоорганизация (как процесс) основана на общественной социальной программе гармонизации общественных отношений, включающей меняющиеся во времени приоритеты установок, интересов, ценностных ориентации, мотивов и целей относительно постоянных во времени законов организации. Самоорганизация реализуется путем самообучения, самовоспитания и самоконтроля. Как явление социальная самоорганизация — это конкретные поступки человека или организации, формы коммуникаций, выводы.
Основные качества, способствующие проявлению самоорганизации человека или организации, — это инициативность, мужественность, настойчивость, решительность, самоанализ, саморегуляция, самообладание, сдержанность, самодисциплина, терпение, умение предвидеть, самостоятельность, энергичность.
Позитивными формами проявления самоорганизации руководителя и специалиста выступают изобретательская и рационализаторская деятельность, создание эффективных машин и структур, техническое и управленческое консультирование.
Самообучение — это необходимое самопроизвольное стремление человека или организации к изменениям внутренней базы данных и базы знаний. Самообучение реализуется путем затрат собственного свободного времени и финансовых ресурсов на более полное удовлетворение потребностей и интересов в информации, знаниях и общении.
Самовоспитание может относиться как к человеку, так и к организации. Цель самовоспитания — преодоление вредных или создание, новых позитивных качеств личности или организации, в том числе формирование активной деловой политики, утверждение своей продукции, технологии или имиджа; самовнушение, самодисциплина и лояльность; самоодобрение и самостимулирование; преодоление отрицательных эмоций.
Самоконтроль — это контроль собственной деятельности человека, коллектива или организации, осуществляемый с целью сравнения результатов деятельности с имеющимися нормами, правилами и стандартами. Это сравнение позволяет человеку или другому объекту организации неформально оценить свою деятельность, выявить свои возможности для улучшения деятельности или убедиться в несоответствии работы своим силам и знаниям. Для проведения самоконтроля применяются самоанализ, самоотчет, самооценка, самоисповедь, тестирование по индивидуальному тесту, внутренний голос. По отношению к общественному контролю результаты самоконтроля могут быть: адекватными, завышенными или заниженными.
3. Основные элементы самоуправления
Самоуправление присуще любой системе. Под самоуправлением понимается автономное функционирование какой-либо социальной системы (коллективов, организаций, объединений и даже одного человека). Оно реализует потребность человека и организации к свободе, самовыражению и самопроявлению.
Самоуправление может быть только конкретно, например, для высшего управленческого персонала организации, для персонала конструкторского бюро и тд. Процесс самоуправления служит элементом демократизации общего управления в результате непосредственного участия работников в разработке решений компании, стратегий ее развития и др.
Рассмотрим три принципа самоуправления.
Принцип вторичностн. Самоуправление не может быть первичным в организации. Любая организация создается для удовлетворения какой-то общественной потребности или интереса. Она включается в систему хозяйственных или общественных организаций с заданной структурой под общим государственным управлением. Если организация не будет следовать законодательным актам государства, она будет ликвидирована. Полностью самоуправляемая организация практически невозможна.
Принцип сочетания управления и самоуправления. В любой организации управление и самоуправление должны сочетаться на каждом уровне управления. Данный принцип основан на обязательности удовлетворения потребностей и интересов персонала в организации, относящихся как к управлению, так и к самоуправлению (табл. 2.1.).
Таблица 2.1. Базисные потребности человека и общества, реализуемые с помощью самоуправления
|
Потребности и интересы человека и общества |
|
|
относящиеся к управлению |
относящиеся к самоуправлению |
|
Организация жизни и деятельности Безопасность Управление Порядок и стабильность Информация Пища, жилье, одежда Творческий труд Вера и патриотизм Прибавочный продукт |
Самовыражение и самопроявление Управление Неформальная информация Отдых Свободное время Творческий труд |
Принцип мягкой регламентации. Процесс самоуправления не может быть жестко регламентированным законодательными актами и положениями организации. Самоуправление основано на субъективизме активного персонала. В случае жесткой регламентации самоуправление вырождается в обычное управление с потерей ряда активизирующих потребностей и интересов.
4. Основные элементы самоорганизации
Изначально самоорганизация возникает спонтанно, а затем постепенно формируется самоуправление и, наконец, профессиональное управление, которое создает организационные функции и структуры управления.
Внутренние и внешние возмущающие воздействия приводят к нарушению принятого порядка деятельности в организации (к нарушению гармонии). Вследствие этого возникают процессы, помимо воли и сознания людей стремящиеся сформировать новые пропорции, ввести новые элементы в деятельность организации или вывести из нее устаревшие. Люди являются проводниками (осознанными или неосознанными) этих процессов. Кроме того, возмущающие процессы могут инициироваться и самоуправлением, профессиональным управлением, реализацией функций и структур управления (рис. 2.2.). Таким образом, может быть достаточно много циклов возникновения самоорганизации и вследствие этого самоуправления.

Рис. 2.2. Циклы возникновения самоорганизации в системе
Социальная самоорганизация может быть личной и коллективной. Личная самоорганизация в большей мере рассматривается в психологии и только частично в рамках теории организации в плане информационного обеспечения и формах самоорганизации. Коллективная самоорганизация может происходить в среде:
• внутренних коммуникаций (при выполнении работ в отделе, цехе, лаборатории и т.д.);
• внешних коммуникаций (при проведении региональных собраний, конференций, объединенных работ, при виртуальных контактах);
• рисковых (венчурных) операций (работа в условиях стрессов, неожиданностей, опасностей)
5. Схемы коммуникаций при самоорганизации
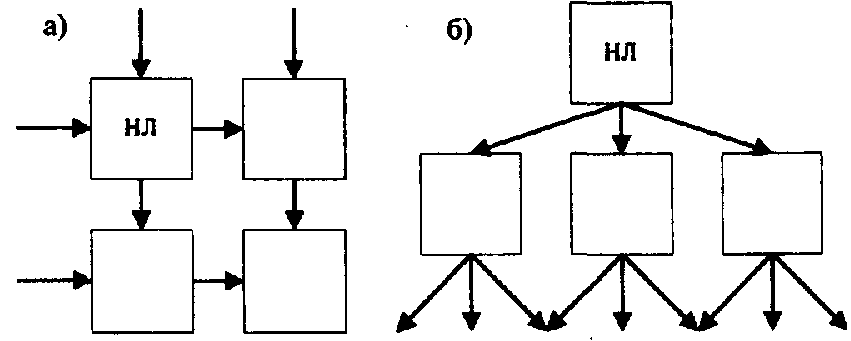
Схемы коллективной самоорганизации определяются типом среды коммуникаций. Для внутренней среды характерны типовые схемы отношений в виде линии, кольца, колеса, звезды и т.д., в которых узловым элементом является не руководитель, а неформальный лидер (НЛ) (рис. 2.3.).
Для среды внешних коммуникаций в добавление к приведенным на рис. 2.4. могут использоваться матричная и редко применяемая иерархическая схемы (рис. 2.5.), а также сочетания всех приведенных схем, которые могут быть реализованы в виртуальном виде.

Рис. 2.3. Некоторые схемы коллективное самоорганизации при внутренних коммуникациях:
а) пиния, б) кольцо, в) колесо, г) звезда, ( - члены неформальных организаций)

Рис. 2.4. Схемы коллективной самоорганизации при внешних коммуникациях:
а) матрица, б)иерархия
Для среды рисковых (венчурных) операций кроме приведенных на рис. 2.3. и 2.4. используется узловая схема на базе всех существующих схем, в которых на ключевых (узловых) местах выдвигаются неформальные лидеры. Они организуют только часть общей структуры и могут не знать о существовании других (рис. 2.5).

Рис. 2.5. Схема коллективной самоорганизации при рисковых операциях
III.Тесты
1. Основополагающие законы организации – это:
а) закон синергии;
б) корпоративная миссия;
в) закон самосохранения;
г) закон развития.
Основополагающими законами организации являются: закон синергии, самосохранения и развития.
Такие элементы как производительность, заинтересованность, научный потенциал, отношение к внешней среде, микроклимат в коллективе, кадровый потенциал, технический потенциал, перспективы развития, имидж составляют общий потенциал организации.
Закон синергии формулируется так: для любой организации существует такой набор элементов, при котором ее потенциал всегда будет либо существенно больше простой суммы потенциалов входящих в нее элементов (людей, компьютеров и т.д.), либо существенно меньше.
Этот закон важен т.к руководитель зная его будет стремиться найти такой набор элементов, который в совокупности будет носить созидательный характер и повысит способность к деятельности у организации.
Закон самосохранения: каждая материальная система (организация, коллектив, семья) стремится сохранить себя (выжить) и использует для достижения этого весь свой потенциал (ресурс).
Руководитель зная этот закон сможет вовремя распознать надвигающуюся опасность и принять меры, поэтому этот закон также важен.
Закон развития формулируется так: каждая материальная система стремится достичь наибольшего суммарного потенциала при прохождении всех этапов жизненного цикла. Является неотъемлемой частью жизни организации. Любая организация стремится к росту и развитию
2. Наиболее важные принципы организации:
а) лояльность организации;
б) полная самостоятельность в принятии организации;
в) принципы соответствия;
г) принципы приоритета цели.
Два последних принципа являются наиболее важными. Принцип приоритета цели – т.к любая организация создаётся с какой – либо целью, то стремление к ней и есть одно из важных условий для организации. Принцип соответствия важен, т.к организации всегда нужно соответствовать каким либо требованиям, например, соответствие принципу поставленных целей и выделенных ресурсов , для достижения поставленной цели и стабильному функционированию и развитию.
Список использованной литературы:
1. Смирнов Э.А. Основы теории организации. Учебное пособие. – М.: ЮНИТИ, 2000.
2. Мильнер Б.З. Теория организации. – М Инфра-М, 2004
3. Баранников А.Ф. Теория организации Учебник для вузов – М.: ЮНИТИ-ДАНА, 2004
4. Теория организации: Учебник/Под ред. В.Г. Алиева. – М Луч, 1999