Выбор между закупкой и самостоятельным изготовлением
ФЕДЕРАЛЬНОЕ АГЕНТСТВО ПО ЗДРАВООХРАНЕНИЮ И СОЦИАЛЬНОМУ РАЗВИТИЮ
СЕВЕРНЫЙ ГОСУДАРСТВЕННЫЙ МЕДИЦИНСКИЙ УНИВЕРСИТЕТ
ИНСТИТУТ МЕНЕДЖМЕНТА
Кафедра менеджмента и маркетинга
КОНТРОЛЬНАЯ РАБОТА
по дисциплине «ЛОГИСТИКА»
на тему:
«Выбор между закупкой и самостоятельным изготовлением»
Вариант 16
Студентки Звягиной Натальи Федоровны
Шифр МДО - 06416
Специальность 080507 «Менеджмент организации»
Курс 3
Форма обучения: заочная
(с элементами дистанционного обучения)
Преподаватель: к.ф.н. доцент Иойлева Г.В.
Архангельск
2008
Содержание
Введение
1. Выбор между закупкой и самостоятельным изготовлением. Оптимизация размеров поставок
1.1. Выбор между закупкой и самостоятельным изготовлением
1.2. Оптимизация размеров поставок.
2. Организация логистического управления
2.1.Основные функции управления
2.2. Механизм межфункциональной координации управления материальными потоками
2.3. Контроллинг в логистических системах
Заключение
Список использованной литературы
Введение
После определения потребности в ресурсах и расчета их количества часто возникает необходимость принятия решения о том, покупать те или иные материалы, комплектующие изделия и др. или производить их на собственном предприятии. В зарубежной литературе эта встречается под названием «Make – or Buy Problem (MOB)». Ее решение зависит от ряда внешних факторов, а также от условий хозяйствования на самом предприятии. Предпринимались неоднократные попытки формализации указанной выше задачи. В качестве критерия оптимальности нередко принимается максимум прибыли, получаемой предприятием, однако практические расчеты обычно усложняются тем, что приходится учитывать большое количество факторов, значения которых в заданном интервале времени могут изменяться (сокращение спроса на продукцию, разработка и внедрение новых технологий ее производства и др.), в результате чего решение может оказаться неверным. Если решение принято в пользу покупки материалов, необходимо определить размер поставок.
Задача логистики закупок и управления запасами заключается в бесперебойном обеспечении предприятия материальными ресурсами, отвечающими установленным стандартам качества, с наименьшими общими затратами и издержками на движение материалопотока, включающими: номинальную цену, затраты на доставку, расходы на содержание запасов и иные выигрыши и потери. Одним из важных инструментов оптимизации управления запасами и является расчёт оптимального размера поставки.
Целью данной работы является изучение следующих вопросов:
- каким образом должен происходить выбор между закупкой и самостоятельным изготовлением;
- что представляет оптимизация размеров поставок;
- какова организация логистического управления.
1. Выбор между закупкой и самостоятельным изготовлением. Оптимизация размеров поставок
1.1. Выбор между закупкой и самостоятельным изготовлением
Для решения задачи «покупать или производить» обычно сопоставляются затраты на закупку ресурсов и на организацию их производства.
В целом затраты на закупку определяются ценой поставщика. Необходимо также учесть затраты на оформление заказа на ресурсы, их транспортировку, страховку и упаковку, складирование, переработку, сортировку и т.п., заработную плату персонала, осуществляющего закупку, и др.
Затраты на производство включают стоимость сырья, энергии, рабочей силы, хранения ресурсов, накладных расходов.
Сравнив затраты на организацию собственного производства по каждому материалу (детали, изделию) с затратами на их закупку, можно принять экономически обоснованное решение.
К примеру, предположим, что автозавод в настоящее время производит коленчатые валы для сборки двигателей внутреннего сгорания. Издержки на изготовление данных изделий определяются из расчета потребности в двигателях в количестве 8000 ед. в месяц (Табл. 1).
Таблица 1
Издержки на изготовление коленчатых валов, долл.
|
Основные статьи затрат |
Расходы на единицу продукции, долл. |
Затраты на месячную программу, долл. |
|
Основные производственные материалы |
6 |
48 000 |
|
Расходы на заработную плату |
4 |
32 000 |
|
Переменные расходы |
1 |
8000 |
|
Постоянные расходы |
5 |
40 000 |
|
Дискреционные затраты |
5 |
40 000 |
|
Итого |
21 |
168 000 |
Поскольку есть вероятность построения в ближайшем будущем других автомобилестроительных предприятий, то рассматриваемый автозавод получил предложение от предприятия-производителя о поставке 8000 коленчатых валов каждый месяц по цене 19 долл. за ед., включая издержки на отгрузку. Должен ли автозавод принять данное предложение?
Администрации автозавода следует обратить внимание на будущие издержки (релевантные издержки), для чего ей необходимо подготовить таблицу, показывающую, как в результате рассматриваемых вариантов изменятся издержки (Табл. 1).
Если проанализировать постоянные расходы автозавода, то, например, можно определить, что из 40 000 долл.:
- 24 000 долл. предназначены для содержания аппарата управления;
- 16 000 долл. составляют амортизационные отчисления, учитывающие износ оборудования, применяемого для изготовления коленчатых валов.
Таким образом, 24 000 долл. (или 3 долл. на коленчатый вал) – это релевантные издержки, а 16 000 долл. – нет, т.к. если даже оборудование не используется, то амортизация на него начисляется.
Анализ показывает следующие результаты (Табл. 2).
Таблица 2
Анализ вариантов производства и приобретения коленчатых валов для сборки двигателей внутреннего сгорания
|
Основные статьи затрат |
Расходы на единицу продукции, долл. |
Затраты на месячную программу, долл. |
|
Основные производственные материалы |
6 |
- |
|
Расходы на заработную плату |
4 |
- |
|
Переменные расходы |
1 |
- |
|
Содержание аппарата управления |
3 |
- |
|
Итого |
14 |
19 |
Следовательно, прибыль собственного производства коленчатых валов (отказ от их приобретения на стороне) составляет 5 долл. за единицу.
Принимая решение о закупке ресурсов или об организации их производства на собственном предприятии, необходимо принимать во внимание ряд дополнительных факторов. Так, например:
а) в периоды снижения деловой активности, руководствуясь исключительно желанием сохранить кадры, предприятие может принять решение организовать производство на своем предприятии;
б) если потребность в данной продукции носит временный характер, предприятие скорее всего решит заказывать его у поставщика. Это утверждение относится к тем случаям, когда производство соответствующей продукции на своем предприятии требует капиталовложений в основные фонды;
в) производство продукции на своем предприятии требует привлечения работников управленческих и инженерно-технических служб; если это обстоятельство является или станет в будущем препятствием в осуществлении других проектов, оно в таком случае при прочих равных условиях может быть использовано как аргумент в пользу закупки ресурсов у других производителей;
г) при производстве продукции на своем предприятии достигается известная степень надежности снабжения;
д) когда производство на собственном предприятии требует крупных инвестиций, предприятие может попасть в уязвимое положение, если рентабельность продукции окажется запланированной (увеличение средних постоянных издержек);
е) в отношении поставщика со стороны речь чаще всего идет о продукции, на производстве которой он специализируется и поэтому обладает большим технологическим опытом ее производства. Для предприятия, налаживающего собственное производство, речь, напротив, идет о побочной продукции, которой, весьма вероятно, нет возможности уделять достаточно внимания. Это обстоятельство является аргументом в пользу закупки продукции у сторонних поставщиков.1
1.2. Оптимизация размеров поставок
Одним из важных инструментов оптимизации управления запасами является расчёт оптимального размера поставки. Среди моделей расчёта особо выделяется формула Вильсона, которую также часто называют формулой оптимального размера заказа или формулой экономичного размера заказа (Economic order quantity - EOQ).
Но данная формула имеет ряд серьёзных ограничений и допущений. Допущения для формулы оптимального размера поставки EOQ следующие:
· расход ресурсов непрерывный и равномерный;
· период между двумя смежными поставками постоянен;
· спрос удовлетворяется полностью и мгновенно;
· транзитный и страховой запасы отсутствуют;
· ёмкость склада не ограничена;
· затраты на размещение и выполнение заказа не зависят от размера заказа и постоянные в течение планового периода;
· цена поставляемой продукции в течение планового периода постоянная;
затраты на содержание запаса единицы продукции в течение единицы времени постоянные и не зависит от суммы вложенных в запасы средств и сроков.
Приведённые выше допущения накладывают много ограничений практического характера, без которых достоверность расчётов по данной формуле вызывает серьёзные сомнения.
Рассмотрим, как получена формула Вильсона (EOQ - Economic order quantity). Со стандартными условиями и ограничениями она имеет следующий вид:
,
(1.1.)
где A - затраты на размещение и выполнение заказа; S - годовая потребность в ресурсах; q - размер единовременной поставки; r - процентная ставка на хранение ресурсов (ставка дисконтирования); p - цена единицы закупаемых ресурсов.
Для того чтобы разобраться в возможностях и ограничениях формулы EOQ, надо знать её природу.
Определение экономического размера заказа на поставку товара основано на минимизации общей стоимости двух видов затрат: затрат на хранение запасов, прямо пропорциональных размеру заказа и затрат на размещение заказа.
,
(1.2.)
где С>общ> - суммарные затраты за определённый период времени (для упрощения расчётов, период времени обычно принимается равным одному году); С>р> - затраты на размещение заказа; С>х> - затраты на хранение ресурсов.
Общие расходы на материальный поток определяются по следующей известной формуле:
,
(1.3.)
где С>з> - затраты на закупку ресурсов. В развернутом виде формула будет следующей:
(1.4.)
Оптимальный размер поставки может быть найден с помощью метода исследования функции, поиска её экстремума. Если указанную формулу суммарных затрат принять за функцию и последовательно изменять размер поставки q, то оптимальный размер поставки будет соответствовать минимальному значению суммарных затрат.
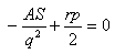
С другой стороны, функция суммарных затрат является непрерывной и дифференцируемой на интервале (0; inf). Задача определения оптимального размера поставки, соответствующего минимальным суммарным затратам, заключается в поиске минимального значения функции путём исследования. Минимальное значение находится в точке её экстремума. Исследуем функцию на указанном интервале. Если продифференцировать её по q, то производная функции будет следующей:
(1.5.)
Для того чтобы утверждать о нахождении экстремальной точки, первая производная функции должна иметь решение, а точка, в которой первая производная равна нулю, должна быть стационарной. Формула имеет следующий вид:
(1.6.)
Соответственно точка экстремума функции, минимум затрат и оптимальный размер поставки будут находиться в точке q>опт>. Решая уравнение относительно q, получим:
(1.7.)
Это и есть формула оптимального размера заказа (Economic order quantity) - формула Вильсона.
Математический вывод формулы Вильсона важен для понимания некоторых её возможностей и ограничений. А понимание нужно, для того чтобы исключить ошибки, возможные при попытках практического применения расширенных возможностей, которые предоставляет эта формула.
Главный вывод, касающийся ограничений использования формулы EOQ, заключён в том, что функция затрат должна быть непрерывной и дифференцируемой на интервале (0; inf). Соответственно задача нахождения оптимального размера поставки будет решаться за один шаг. Изменение алгоритма расчёта, например для анализа системы скидок, приводит к тому, что в функции суммарных затрат появляются точки разрыва первого рода. Формально такая функция не подлежит дифференцированию. Решение задачи заключается в поиске минимальных значений суммарных затрат на каждом из интервалов между точками разрыва и в самих точках. Но этот метод уже будет называться не исследованием функции, а методом перебора значений. Вариантов же, которые нужно посчитать и сравнить между собой, будет ровно столько, сколько будет комбинаций самих параметров в формуле суммарных затрат.2
2. Организация логистического управления
2.1. Основные функции управления
В промышленных фирмах стран с рыночной экономикой в основном применяются две формы организации материально-технического обеспечения, функционирующего на принципах логистики, - централизованная и децентрализованная. Каждой из указанных форм может быть присуща сгруппированная или разбросанная служба снабжения и сбыта. При сгруппированной службе все ее подразделения, выполняющие отдельные функции (снабжение, сбыт, хранение запасов, перевозки и т.д.), находятся в ведении одного отдела. Для разбросанной службы характерно рассредоточение линейных подразделений по двум или более отделам.
Централизация в принципе считается целесообразной, если только она не сковывает инициативу предприятий, входящих в ту или иную фирму и специализирующихся на выпуске определенных видов продукции. Основные преимущества централизации управления службами материально-технического обеспечения заключается в снижении издержек и создании условий для разработки единой заготовительной, сбытовой и транспортной политики фирм. Импульсом к более широкому применению на фирмах западных стран централизованной формы организации управления материально-техническим обеспечением послужила переориентация производства на выпуск товаров, нужных определенных категориям потребителей. Это привело к росту расходов, вязанных с реализацией готовой продукции.
Обычно централизованная форма управления материально-техническим обеспечением применяется на фирмах, выпускающих однородную продукцию и имеющих небольшое число предприятий, расположенных в одном регионе. Предпочтение децентрализованной форме управления отдается на фирмах с предприятиями, размещенными в различных районах и специализирующихся на выпуске одного или несколько видов продукции (т.е. на фирмах с диверсифицированным производством). Иногда используется смешанная форма управления. Она встречается на фирмах с предприятиями, потребляющими разное сырье и материалы и вместе с тем имеющими большой объем поставок некоторых из них.
Сокращении издержек обращения при централизации материально-технического обеспечения достигается за счет того, что она, способствуя укрупнению партий приобретаемых товаров у поставщиков (т.е. при такой организационной форме фирмы могут выходить на рынок как крупные оптовые покупатели), делает возможным более широкий выбор последних и создает условия для выгодного контрактования транспорта и получения скидок на цену товаров. При децентрализованной форме организации служб снабжения и сбыта производственные отделения и предприятия фирмы вынуждены делать закупки сравнительно небольшого объема и нести из-за этого существенные транспортные расходы.
Централизация материально-технического обеспечения сокращает издержки обращения еще и за счет уменьшения материальных запасов в каждом производственном отделении и предприятии фирмы, снижения затрат на проектирование и эксплуатацию меньшего числа информационных контролируемых систем. В то же время повышается координация работ с другими службами фирмы, создается основа для более успешного разрешения возникающих между ними конфликтов и установления более действенного контроля за распределением и потреблением.
Вместе с тем хотелось бы отметить, что централизация управления материально-техническим обеспечением вызывает определенные сложности. Это, в частности, относится к тем фирмам, в которых отдельные предприятия и подразделения несут полную ответственность за получение прибыли. Обладая автономией и подвергаясь относительно менее жесткому контролю со стороны руководства фирмы, они опасаются, что централизация в области материально-технического обеспечения может привести к ущемлению свободы их выбора.
Как при централизованной, так и при децентрализованной схеме управления функции службы материально-технического обеспечения могут быть объединены с производственными функциями в пределах одного отдела. Возможен и другой вариант объединения функций, при котором службе снабжения и сбыта товаров передается часть производственных функций (см. рис. 1 и 3). Это делается для достижения лучшей координации между отдельными службами фирмы и свидетельствует об определенной степени гибкости применяемых организационных структур.
Выбор конкретной формы организации управления снабжением и сбытом на уровне фирм в различных отраслях экономики в западных странах, помимо уже отмеченных выше общих причин, зависит также от целого ряда других факторов. Во многом структура организации и управления материально-техническим обеспечением связана с направлением потоков продукции, ее многообразием, особенностями поставщиков и потребителей, стратегическими целями фирмы.
Так, например, в добывающих отраслях и аграрном секторе экономики, где снабжение в основном характеризуется относительно небольшим объемом закупок средств производства и материалов, функции материально-технического обеспечения, как правило, организационно не разграничены на службу снабжения и сбыта. Они совмещаются в единой службе. В обязанность этой службы входит также управление запасами и поддержание высокого качества обслуживания потребителей. Отдельно выделяется транспортная служба, отвечающая за перевозку товаров вне фирм и их предприятий и выполнение вспомогательных операций в терминалах.
На транспорте, в связи, финансовых учреждениях и сфере услуг, наоборот, основная работа в области материально-технического обеспечения связана со снабжением, так как объем операций по распределению готовой продукции незначителен или является особым видом технологии. Здесь за организацию поставок, внутренних и внешних перевозок, а также управление запасами, как, правило, отвечает одно подразделение. Особенность системы материально-технического обеспечения состоит в том, что операции транспортных предприятий и сферы обслуживания могут быть разбросаны по различным регионам. Например, авиакомпания может иметь функциональные подразделения во многих аэропортах, а телефонная компания - несколько региональных строительных и производственных подразделений. В таких случаях организация закупок и перевозок товаров осуществляется централизованно, а управление запасами — подразделением поставщика в каждом региональном производственном центре.
На фирмах обрабатывающих отраслей промышленности имеются службы как для выполнения функций организации снабжения сырьем и материалами, так и для организации сбыта готовой продукции. Это вызвано главным образом значительной спецификой проблем сбыта готовой продукции, ее высокой удельной стоимостью и особыми свойствами по условиям хранения и доставки.
На посреднических фирмах организация и управление в области материально-технического обеспечения также отражают специфику их работы. Посредники на основе знания рыночной конъюнктуры осуществляют большие объемы закупок у различных поставщиков. Затем продукция сбывается мелкими или укрупненными партиями в адрес многочисленных потребителей. Посредники выполняют чисто снабженческо-сбытовые операции, как-то: организация внутреннего перемещения материалов, ведение складского хозяйства, управление запасами и др. В силу отмеченных особенностей в подобного вида посреднических организациях выполнение всех функций по закупке, хранению и сбыту товаров осуществляется единой службой.
2.2. Механизм межфункциональной координации управления материальными потоками
Постоянная перестройка работы крупной промышленной корпорации под воздействием НТП и конкуренции неизбежно связана с перемещением огромных объемов товарно-материальных ценностей, нарушением сложившейся и формированием новой системы взаимосвязей между различными функциональными звеньями, переориентацией производственных, сбытовых и снабженческих подразделений, что требует оперативного решения большого количества сложных, конфликтных проблем, возникающих на всех уровнях управления.
Важнейшей задачей управленческого аппарата в подобных условиях становится обеспечение такой переорганизации в кратчайшие сроки и с минимальными потерями. Необходимость принятия решений в короткие сроки, с привлечением большого количества специалистов значительно увеличивает нагрузку как на функциональных руководителей среднею звена, так и на высший уровень управления организацией. Практика американских фирм показывает, что объединение усилий специализированного аппарата управления крупной корпорации в условиях постоянных изменений во внешней среде невозможно обеспечить без создания на различных уровнях специальных управленческих механизмов, основной задачей которых становились бы объединение на временной или постоянной основе функциональных звеньев и координация их действий для достижения четко определенных целей.
В небольших корпорациях с массовым характером производства, действующих в относительно стабильных условиях, весь объем координирующих функций, как правило, сосредоточен на высшем уровне управления. Однако по мере роста масштабов производства, номенклатуры продукции, расширения сферы деятельности корпорации, увеличения числа уровней управления процесс управления материальными потоками усложняется настолько, что встает вопрос о создании специальных механизмов межфункциональной координации в этой области.
Можно выделить два основных направления совершенствования координации в подсистеме управления материальным потоком на фирме. Первое направление — это усиление взаимодействия между различными функциональными звеньями за счет улучшения различных экономических механизмов, использование которых выступает как один из основных путей обеспечения координации между различными функциональными областями в пределах фирмы. Второе направление — достижение необходимого уровня координации через организационные преобразования в структуре корпорации. Эти направления, как правило, на практике не противопоставляются друг другу, а развиваются параллельно, дополняя друг друга, причем их оптимальное соотношение рассматривается как необходимое условие успеха при формировании подсистемы управления материальным потоком. Важной задачей при формировании подсистемы выступает также обеспечение такого баланса между процедурными и организационными механизмами, который в наибольшей степени соответствовал бы условиям данной фирмы.
На практике довольно широко используются различные методы координации с помощью специально разработанных процедур и моделей, регламентирующих действия менеджеров в области управления материальными потоками. Это должностные инструкции, общие и специальные нормативные документы, определяющие задачи, полномочия и последовательность действий управляющих различных функциональных служб и их подчиненных по управлению материальными ресурсами и запасами на различных этапах их движения.
Особенность такого механизма координации состоит в том, что он действует надежно только в условиях достаточно высокой стабильности, так как правила и инструкции указывают исполнителям не только, что следует делать, но и каким образом.
Совершенствование плановых и контрольных процедур в процессе управления материальными потоками, происходящее на основе широкого использования ЭВМ, часто осуществляется одновременно с организационной перестройкой служб, вовлеченных в управление материалами, с целью консолидации управленческих усилий на поиск наилучшего решения проблем, возникающих в этой области. Это приводит к образованию новых организационных механизмов координации и контроля, интегрирующих усилия функциональны звеньев, которые ранее выполняли свои функции изолированно друг от друга. Наиболее широкое распространение получили три разновидности организационных механизмов:
1) когда формируются специальные функциональные звенья, в которых контролируются все или большая часть плановых, административных и контрольных функций, регламентирующих движение материального потока через корпорацию и нуждающихся в координации. Этот путь получил самое широкое признание на практике;
2) когда назначается специальный управляющий или группа координации, основной задачей которых является координация процесса принятия решений по управлению материальным потоком в основных функциональных блоках;
З) когда создаются матричные механизмы, основанные на двойном подчинении звеньев, от которых зависит эффективное управление материальным потоком. Использование программно-целевых механизмов преследует цель не только обеспечить высокий уровень внутрифункциональной координации, как это имеет место при формировании специализированного органа в рамках линейно-функциональной структуры, но и решить проблему межфункционального взаимодействия во всей ее полноте.
Успешное решение вопроса о межфункциональной и внутрифункциональной координации в области управления материалами во многом зависит от рационального построения организационной структуры подсистемы. В настоящее время при формировании внутренней структуры подсистемы управления материальным потоком разделение труда между ее элементами чаще всего основывается на функциональной специализации. Это происходит вследствие того, что линейно-функциональные структуры получили наибольшее распространение и в большинстве случаев выступают как базовые для создания более эффективных организационных форм.
Необходимо отметить, что развитие линейно-функционального аппарата управления материальными ресурсами является в настоящее время основным направлением совершенствования организационной структуры в этой области. Этот процесс включает не только объединение в специализированных отделах всех функций по управлению материальным потоком в корпорации, но и, что самое важное, их ориентацию на выполнение широкого круга функций, выходящих за рамки снабжения, вовлекая руководителя соответствующего отдела в работу по повышению общей эффективности использования товарно-материальных ценностей в организации.
В то же время недостатки структур функционального типа проявляются наиболее явно в условиях повышенной динамичности их функционирования и не позволяют обеспечить эффективное управление материальным потоком в корпорациях, осуществляющих постоянную перестройку своей деятельности. Это требует поиска и внедрения более гибких организационных и управленческих механизмов.
Следует подчеркнуть наличие больших возможностей совершенствования линейно-функциональных структур за счет создания различного рода координирующих механизмов. В области управления материалами это в первую очередь усовершенствование системы планирования, распределения и контроля средств, вложенных, материальные ресурсы, использование различного рода экономических механизмов.
Американские специалисты считают, что создание координирующих механизмов такого рода позволяет во многих случаях обеспечить сбалансированное функционирование аппарата управления. Такие механизмы могут действовать достаточно эффективно на малых и средних фирмах с серийным и крупносерийным производством. Однако недостатки, внутренне присущие структурам функционального типа, не позволяют использовать их в области управления материальными ресурсами во всех случаях. В первую очередь это относится к крупным корпорациям, осуществляющим серийное и мелкосерийное производство, пользующимся услугами многочисленных поставщиков и располагающим сложной сбытовой сетью.
2.3. Контроллинг в логистических системах
Логистическая система способствует созданию эффективного управления организацией, которое обладает некоторыми характерными чертами независимо от масштабов проблемы или управляемого процесса, как-то:
существование стратегических целей организации;
разработка тактических целей, подчиненных достижению стратегических целей;
правильный выбор единиц измерения, приближающий к конкретным целям (например, эффективность использования ресурсов или время);
определение нормы или контрольных цифр в выбранных единицах (например, срока выполнения заказа или суммарной трудоемкости в нормо-часах выполнения заказа);
сравнение информации об управляемом процессе со стандартами, нормами или контрольными цифрами;
принятие решения или корректирующих воздействий по результатам сравнения;
контроль результатов управляющих воздействий.
Обеспечивают ли эти черты достижение поставленной цели? Насколько они эффективны? Соответствуют ли усилиям в достижении цели? Стимулируют ли работу отдельных исполнителей или коллективов в организации? Решение всех перечисленных вопросов во многом зависит от функции контроллинга в логистической системе (Рис. 1).

Рис. 1. Контроллинг в логистической системе
Система управления имеет вход, т.е. определенную цель в зависимости от уровня иерархии управления. Не всегда ясно, как узнать, что реализация целей, определенных в самом начале цикла управления, является успешной. В самом деле, успех в одном аспекте деятельности может привести к неудаче в другом. Выбор параметров оценки деятельности, смысл которой достижение этих целей, диктует тип единиц измерения результатов деятельности. С этого этапа начинается контроллинг. Например, кого-либо назначили ответственным за освоение новой продукции, и он в первую очередь заинтересован в том, чтобы она была высокого качества. В то же время работники бухгалтерии заинтересованы в снижении издержек производства, а экономисты — в его эффективности. Каждый из участников производства прав со своей точки зрения, но может возникнуть ситуация, когда различные критерии сталкиваются и нужно выбирать наиболее важные из них. Такую ситуацию характеризуют, например, противоречия между сторонниками производства товаров или услуг высокого качества и сторонниками производства их по низкой цене. Как показывает опыт работы с персоналом, принимаемые контрольные цифры будут более напряженными, если привлечь сотрудников к определению параметров.
Не менее важный этап — получение информации по канал обратной связи о промежуточном результате. Здесь нельзя ошибаться в интервале времени получения информации и её объеме. Затем идет этап сравнения установленных параметров и норм с информацией о промежуточном результате. Искусство менеджера заключается в умелом определении уровня рассогласования между заданными и фактическими значениями параметров: ведь от этого зависит выработка регулирующего воздействия на процесс управления. При этом могут усиливаться или ослабляться воздействия механизма мотивации работников, включаться или отключаться дополнительные корректирующие звенья (а соответственно и ресурсы) или применяться сила власти.3
Заключение
Итак, в заключение работы приходим к следующим выводам.
В целом затраты на закупку определяются ценой поставщика. Необходимо также учесть затраты на оформление заказа; транспортировку, страхование и упаковку; складирование; обработку; оплату персонала, связанного с закупками. Затраты на производство состоят из стоимости сырья, энергии, рабочей силы, хранения и накладных расходов. Сравнив затраты на собственное производство по каждому материалу (детали, изделию) с затратами на закупку, можно принять решение. Решение в пользу собственного производства может быть принято и без помощи расчетов, например, если есть уверенность в том, что предприятие способно использовать свои основные фонды и персонал более эффективно, организовав производство некоторых деталей, необходимых для изготовления конечной продукции, сократив, кроме того, расходы на сырье, рабочую силу, энергию и складские помещения.
Одним из важных инструментов оптимизации управления запасами является расчёт оптимального размера поставки. Среди моделей расчёта особо выделяется формула Вильсона, которую также часто называют формулой оптимального размера заказа или формулой экономичного размера заказа (Economic order quantity - EOQ).
В промышленных фирмах стран с рыночной экономикой в основном применяются две формы организации материально-технического обеспечения, функционирующего на принципах логистики, - централизованная и децентрализованная. Каждой из указанных форм может быть присуща сгруппированная или разбросанная служба снабжения и сбыта. При сгруппированной службе все ее подразделения, выполняющие отдельные функции, находятся в ведении одного отдела. Для разбросанной службы характерно рассредоточение линейных подразделений по двум или более отделам.
Список использованной литературы
Аникин Б.А., Тяпухин А.П. Коммерческая логистика: учеб. – М.: ТК Велби, Изд-во Проспект, 2006. – 432 с.;
Логистика: Учебник / Под ред. Б.А. Аникина. – 2-е изд., перераб. и доп. – М.: ИНФРА-М, 2000. – 247 с.;
Неруш Ю.М. Логистика: Учеб. – 4-е изд., перераб. и доп. – М.: ТК Велби, Изд-во Проспект, 2006.- 520 с.;
Николайчук В.Е. Логистика. – СПб.: Питер, 2001.- 160 с.
Логистика, управление запасами: расширенные возможности модели EOQ. / По материалам сайта http://sklad-zakonov.narod.ru/Vlad_st/eoq.htm.
1 Аникин Б.А., Тяпухин А.П. Коммерческая логистика: учеб. – М.: ТК Велби, Изд-во Проспект, 2006. – 432 с.
2 Логистика, управление запасами: расширенные возможности модели EOQ. / По материалам сайта http://sklad-zakonov.narod.ru/Vlad_st/eoq.htm.
3 Логистика: Учебник / Под ред. Б.А. Аникина. – 2-е изд., перераб. и доп. – М.: ИНФРА-М,
2000. – 247 с.