Эйкозаноиды - общая группа физиологически и фармакологически активных соединений
Содержание
Эйкозаноиды
Субстраты для синтеза эйкозаноидов
Структура, номенклатура и биосинтез эйкозаноидов
Биосинтез
Механизмы действия эйкозаноидов, основные биологические эффекты
Механизмы действия эйкозаноидов
Роль эйкозаноидов в тромбообразовании
Действие на сердечно-сосудистую систему
Действие на водно-электролитный обмен
Действие на нервную систему
Действие на желудочно-кишечный тракт
Влияние на репродуктивную систему
Воздействия на бронхи, трахею и гладкие мышцы
Воспалительное действие
Эффекты лейкотриенов
Иммунное действие
Воздействия на кожу
Инактивация эйкозаноидов
Эйкозаноиды
Эйкозаноиды - это общая группа физиологически и фармакологически активных соединений включающая в себя простаноиды (простагландины, простоциклины, тромбоксаны) и лейкотриены. Они имеют очень короткий Т1/2, поэтому оказывают эффекты как "гормоны местного действия".
История открытия
Еще в начале нашего века было известно, что водные и спиртовые экстракты, полученные из везикулярных (парных половых) желез многих видов животных и предстательной железы (простаты) человека, понижают кровяное давление у собак и кроликов. Тогда же было сделано предположение о существовании в предстательной железе "неизвестного сосудистого гормона". До 30-х годов это вещество оставалось загадочным; правда, никто из исследователей и не пытался выделить его из таких экстрактов и дать ему характеристику.
В 1930 г. два американских гинеколога, Курцрок и Либ, описали сокращение и расслабление изолированной полоски матки человека под действием человеческой спермы. Несколькими годами позже Гольдблатт в Англии и Ульф фон Эйлер в Швеции, независимо друг от друга, сообщили о том, что сперма, а также секреты семенных пузырьков предстательной железы вызывают сокращение гладких мышц.
Ульф фон Эйлер, шведский физиолог, с чьим именем связывают открытие простагландинов, обнаружил их (вернее, одно вещество) случайно в 1934 - 1936 гг., пытаясь изучить известную в то время субстанцию Р - вещество белковой природы, обладающее способностью понижать кровяное давление и стимулировать сокращение стенок кишечника. Однако, вопреки ожиданию, активное вещество экстрактов предстательной железы и семенной жидкости он обнаружил во фракции жирорастворимых кислот, а не в белковой фракции. У. Эйлер описал некоторые химические и фармакологические свойства активного экстракта, назвал его простагландином (от prostate glond), и предположил, что простагландин имеет широкое регуляторное значение в организме. Но ни выделить вещество в чистом виде, ни изучить химическую структуру в то время не позволял примитивный уровень аналитических способов исследования.
Работу над простагландинами продолжил ученик Эйлера С. Бергстрем, перед которым стояла задача выделить в кристаллическом виде активное начало, т.е. простагландин, из экстрактов простаты и семенной жидкости баранов. Вначале С. Бергстрему удалось сделать немногое: он выяснил только, что простагландин находится во фракциях вместе с ненасыщенными жирными оксикислотами, и вынужден был прервать дальнейшие исследования на несколько лет. Одной из главных причин, обусловивших этот перерыв, были затруднения с исходным материалом для выделения простагландинов - везикулярными железами барана, самым богатым простагландинами источником. Но поскольку уже к тому времени биохимики и фармакологи заинтересовались простагландинами, в 1956 г. в ряде стран северного полушария была организована специальная программа исследований простагландинов, в которую вошел и сбор замороженных везикулярных желез барана.
Уже в следующем году С. Бергстрем и Дж. Шьевалл получили несколько миллиграммов индивидуального вещества в кристаллическом состоянии и назвали его простагландин F за его растворимость в фосфатном буфере. Полученного количества хватило лишь на то, чтобы установить, что простагландин F - это ненасыщенная жирная кислота, определить температуру его плавления и продемонстрировать способность в концентрации всего 5*10 - 9 г в 1 мл раствора давать хороший эффект по сокращению гладкой мышцы. Затем в кристаллическом же состоянии было получено еще одно вещество подобного типа - простагландин Е (обозначение возникло от слова ester - эфир, которым извлекался этот простагландин). Оба соединения были одинакового молекулярного веса и очень сходного строения, но в корне различались биологическими свойствами: простагландин Е понижал кровяное давление, а простагландин F сокращал гладкую мускулатуру.
Работы по простагландинам развивались быстрыми темпами, и за 1972 - 1976 годы С. Бергстрем, Б. Самуэльссон и Дж. Вейн получили в чистом виде еще 10 простагландинов, установили их структуру и определили биологические свойства. В 1979 г. Б. Самуэльссон с коллегами открыл еще один тип соединений - близкие простагландинам лейкотриены.
Выделение простагландинов, изучение структуры и свойств - работа чрезвычайно трудная: мало того что их концентрации в объектах выделения очень низки, вещества эти крайне неустойчивы, они теряют свою биологическую активность, по которой следят за веществом в ходе его выделения, в течение 1 - 2 мин. Недаром за исследования простагландинов С. Бергстрему, Б. Самуэльссону и Дж. Вейну в 1982 г. была присуждена Нобелевская премия.
Сейчас известно уже около 30 природных простаноидов. Они разделены на группы A, B, C, D, E, F, G, I. Краткое обозначение простаноидов складывается из двух букв английского prostaglandine и tromboxane или русского написания, третья буква в этом обозначении указывает на принадлежность к той или иной группе, например: PGF, ПГF - простагландин F; ТхА, ТксА - тромбоксан А.
Субстраты для синтеза эйкозаноидов
Главный субстрат для синтеза эйкозаноидов у человека - арахидоновая кислота, так как её содержание в организме человека значительно больше остальных полиеновых кислот - предшественников эйкозаноидов.
В образовании эйкозанондов принимают участие также и другие незаменимые жирные кислоты (линолевая и а-линоленовая), но только после элонгации на два углеродных атома и десатурацнн, т.е. после превращения в 20-углеродные тетраеновые кислоты. Арахидоновая, 8,11,14-эйкозатриеновая и 5,8,11,14,17-эйкозапентаеновая кислоты - предшественники эйкозаноидов.
Полиеновые кислоты с 18 и 20 атомами углерода поступают в организм человека с пищей или образуются из незаменимых (эссенциальных) жирных кислот с 18 атомами углерода. (Рис.1)

Рис.1. Синтез полиеновых жирных кислот с 20 углеродными атомами в организме человека.
Полиеновые жирные кислоты, которые могут служить субстратами для синтеза эйкозаноидов, входят в состав глицерофосфолипидов мембран. Под действием ассоциированной с мембраной фосфолипазы А2 жирная кислота отщепляется от глицерофосфолипида и используется для синтеза эйкозаноидов.
Структура, номенклатура и биосинтез эйкозаноидов
Хотя субстраты для синтеза эйкозаноидов имеют довольно простую структуру (полистовые жирные кислоты), из них образуется большая и разнообразная группа веществ. Наиболее распространены в организме человека простагландины, которые впервые были выделены из предстательной железы, откуда и получили свое название. Позже было показано, что и другие ткани организма синтезируют простагландины и другие эйкозаноиды.
Простагландины PG можно рассматривать как производные гипотетической С>2>о-кислоты, получившей тривиальное название простаноевой:

Простагландины обозначают символами, например PG А, где PG обозначает слово "простагландин", а буква А обозначает заместитель в пятичленном кольце в молекуле эйкозаноида.
Обнаружено шесть первичных природных простагландинов, три из них серии Е (PGE>1>, PGE>2>, PGE>3>) и три - серии F (PGF>1a>, PGF>2a>, PGF>3a>). Простагландины серии Е содержат в положении 9 кетогруппу, а простагландины серии F - гидроксигруппу. (Рис.2)

Рис.2 Шесть главных природных простагландинов
В дополнение к вышеприведенным шести первичным простагландинам имеются несколько вторичных простагландинов, большинство из которых являются продуктами ферментативного или химического превращения PGE. Характерным свойством простагландинов серии Е является их способность к дегидратации в PGA в кислой среде; образовавшиеся PGA затем в присутствии оснований изомеризуются в PGB, имеющие максимум поглощения при длине волны 237 нм. Эта последовательность реакций превращения PGE в PGB часто используется для идентификации PGE.

Простагландины серии F не претерпевают подобного превращения в кислой среде.
В зависимости от исходной жирной кислоты все эйкозаноиды делят на три группы:
1) Первая группа образуется из эйкозотриеновой кислоты. Хотя в пищевых продуктах этой кислоты нет, она способна образовываться в клетках при удлинении линолевой кислоты (С18: 3), которой много в растительных маслах. Для этой группы в соответствии с числом двойных связей простагландинам и тромбоксанам присваивается индекс 1: например, PgE>1>, PgI>1>

Вторая группа синтезируется из арахидоновой кислоты (С20: 4), по тому же правилу эйкозаноидам этой группы присваивается индекс 2. PgE>2>, PgI>2>.

Третья группа эйкозаноидов происходит из тимнодоновой кислоты (С20: 5). Эйкозаноидам этой группы присваивается индекс 3. Например, PgE>3>, PgI>3>

PG I - простациклины. Имеют 2 кольца в своей структуре: одно пятичленное, как и другие простагландины, а другое - с участием атома кислорода. Их также подразделяют в зависимости от количества двойных связей в радикалах (PG I>2>, PG I>3>).
Тромбоксаны. В отличие от простагландинов, тромбоксаны синтезируются только в тромбоцитах, откуда и происходит их название, и стимулируют их агрегацию при образовании тромба.
Тромбоксаны имеют шестичленное кольцо, включающее атом кислорода. Так же, как и другие эйкозаноиды, тромбоксаны могут содержать различное число двойных связей в боковых цепях и отличающиеся по активности. ТХ В>2> - продукт катаболизма ТХ А>2> и активностью не обладает.

Рис.3. Структура тромбоксанов.
Биосинтез
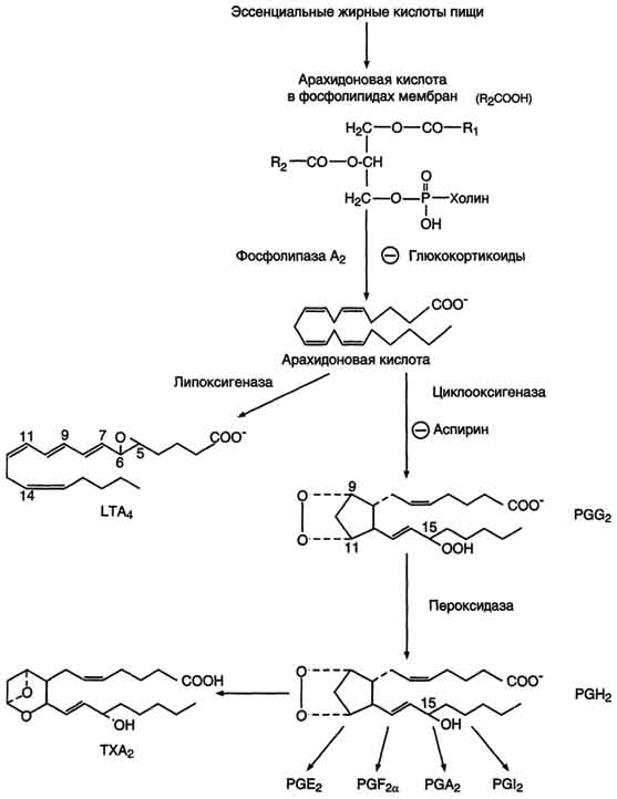
После отделения арахидоновой кислоты от фосфолипида она выходит в цитозоль и в различных типах клеток превращается в разные эйкозаноиды. В клетках имеется 2 основных пути превращения арахидоновой кислоты: циклооксигеназный, приводящий к синтезу простагландинов, простациклинов и тромбоксанов, и липоксигеназный, заканчивающийся образованием лейкотриенов. (Рис.4)

Рис.4 Синтез эйкозаноидов из арахидоновои кислоты.
Циклооксигеназный путь: синтез простагландинов и тромбоксанов
С>20>-три-, тетра - и пентаеновая жирные кислоты, служащие предшественниками простагландинов, входят в состав внутриклеточных фосфоглицеридов, из которых они высвобождаются под действием фосфолипазы А>2>. Активация фосфолипаз, ассоциированных с мембранами, происходит под действием многих факторов: гормонов, гистамина, цитокинов, механического воздействия. Этот процесс высвобождения предшественника, вероятно, играет роль регулирующей стадии в биосинтезе простагландинов, с помощью которой варьирует количество субстрата, подвергающегося последующему действию простагландинсинтазы. Последняя представляет собой связанный в мембране мультиферментный комплекс, содержащийся в микросомальной фракции тканевых гомогенатов. Необходимо отметить, что ингибиторное действие кортикостероидов на биосинтез простагландинов, связанное с торможением активности фосфолипазы А>2>, может служить объяснением антивоспалительного действия этих стероидных гормонов.
Фермент, катализирующий первый этап синтеза простагландинов, называется PG Н2 синтазой и имеет 2 каталитических центра. Один из них называют циклооксигеназой, другой - пероксидазой. Этот фермент представляет собой димер гликопротеинов, состоящий из идентичных полипептидных цепей. Фермент имеет гидрофобный домен, погружённый в липидный слой мембран ЭР, и каталитический домен, обращённый в полость ЭР. В активном центре циклооксигеназы находится тирозин (385), в активном центре пероксидазы - простетическая группа - гем. В организме имеются 2 типа циклооксигеназ (PGН>2> синтаз). Циклооксигеназа 1 - конститутивный фермент, синтезирующийся с постоянной скоростью. Синтез циклооксигеназы 2 увеличивается при воспалении и индуцируется соответствующими медиаторами - цитокинами. Оба типа циклооксигеназ катализируют включение 4 атомов кислорода в арахидоновую кислоту и формирование пятичленного кольца. В результате образуется нестабильное гидропероксидпроизводное, называемое PG G>2>. Гидропероксид у 15-го атома углерода быстро восстанавливается до гидроксильной группы пероксидазой с образованием PG Н>2>. До образования PG Н>2> путь синтеза разных типов простагландинов одинаков. Дальнейшие превращения PG Н>2> специфичны для каждого типа клеток.

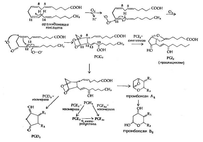
Рис.5. Предполагаемый механизм биосинтеза PGE>2> и PGF>2>>a> из арахидоновой кислоты.
Биосинтез PGE>2> и PGF>2>>a>, представленный на рис.5, начинается с арахидоновой кислоты и катализируется циклооксигеназой (М 70 000) жирных кислот, при этом образуется 15-оксиперокси-9-11-эндопероксид PGG>2>. Первая стадия в этой последовательности реакций приводит к потере атома водорода у С-13 с образованием свободного радикала. Эта стадия лимитирует скорость всего процесса. Затем происходят присоединение пероксидного радикала в положения 9 и 11 и образование 8,12 углерод-углеродной связи, которому предшествует изомеризация 11,12-двойной связи в 12,13-двойную связь и присоединение другого пероксидного радикала в положение 15, приводящее к изомеризации 12,13-двойной связи в 13,14-двойную связь. Все эти превращения рассматриваются как процесс одноэлектронного переноса, обозначенный на рисунке изогнутыми стрелками. Первый продукт этой последовательности реакций - это 15-оксиперокси-9,11-эндопероксид PGG>2>, существование которого было постулировано за несколько лет до его выделения и идентификации. PGG>2> затем превращается в PGI>2> или PGH>2>, вероятно, с помощью реакции пероксидазного типа. PGH>2> является предшественником PGE>2> и PGF>2>>a> в семенных пузырьках и других органах, а также тромбоксана А>2> в тромбоцитах и легких.
Превращение арахидоновой кислоты в PGG>2> блокируется ингибиторами циклооксигеназы жирных кислот. Наиболее известным среди этих ингибиторов являются аспирин (ацетилсалициловая кислота) и ряд других противовоспалительных лекарств (Рис.6). Торможение аспирином обусловлено переносом ацетильного остатка от молекулы аспирина к активному центру фермента с инактивацией последнего; такого рода механизм был предложен в качестве объяснения некоторых известных фармакологических эффектов аспирина.

Рис.6. Молекулярный механизм ингибирования циклооксигеназы ацетилсалициловой кислотой.
Аспирин - препарат, подавляющий основные признаки воспаления. Механизм противовоспалительного действия аспирина стал понятен, когда обнаружили, что он ингибирует циклооксигеназу. Следовательно, он уменьшает синтез медиаторов воспаления и, таким образом, уменьшает воспалительную реакцию. Циклооксигеназа необратимо ингибируется путём ацетилирования серина в положении 530 в активном центре (Рис.6). Однако эффект действия аспирина не очень продолжителен, так как экспрессия гена этого фермента не нарушается и продуцируются новые молекулы фермента. Другие нестероидные противовоспалительные препараты (например, ибупрофен и ацетаминофен) действуют по конкурентному механизму, связываясь в активном центре фермента, и также снижают синтез простагландинов.
Стероидные препараты обладают гораздо более сильным противовоспалительным действием, чем препараты нестероидного ряда. Механизм их действия заключается в индукции синтеза белков - липокортинов (или макрокортинов), которые ингибируют активность фосфолипазы А2 и уменьшают синтез всех типов эйкозаноидов, так
как препятствуют освобождению субстрата для синтеза эйкозаноидов - арахидоновой кислоты (или её аналога).
Использование стероидных противовоспалительных препаратов особенно важно для больных, страдающих бронхиальной астмой. Развитие симптомов этого заболевания (бронхоспазм и экссудация слизи в просвет бронхов) обусловлено, в частности, избыточной продукцией лейкотриенов тучными клетками, лейкоцитами и клетками эпителия бронхов. Приём аспирина у больных, имеющих изоформу липоксигеназы с высокой активностью, может вызвать приступ бронхиальной астмы. Причина "аспириновой" бронхиальной астмы заключается в том, что аспирин и другие нестероидные противовоспалительные препараты ингибируют только циклооксигеназный путь превращений арахидоновой кислоты и, таким образом, увеличивают доступность субстрата для действия липоксигеназы и, соответственно, синтеза лейкотриенов. Стероидные препараты ингибируют использование арахидоновой кислоты и по липоксигеназному и по циклооксигеназному пути, поэтому они не могут вызывать бронхоспазма.
Структура и синтез лейкотриенов
Наличие 3 сопряжённых двойных связей обусловливает название "лейкотриен". Лейкотриены также образуются из эйкозаноевых кислот, однако в их структуре отсутствуют циклы, как у простагландинов, и они имеют 3 сопряжённые двойные связи, хотя общее число двойных связей в молекуле больше (рис.7). Лейкотриены С>4>, D>4> и Е>4> имеют заместители в виде трипептида глутатиона, дипептида глицилцистеина или цистеина, соответственно.

Рис.7. Липоксигеназный путь синтеза эикозаноидов.
Синтез лейкотриенов идёт по пути, отличному от пути синтеза простагландинов, и начинается с образования гидроксипероксидов - гидропероксидэйкозатетраеноатов (ГПЭТЕ). Эти вещества или восстанавливаются с образованием гидроксиэйкозатетроеноатов (ГЭТЕ) или превращаются в лейкотриены. ГЭТЕ отличаются по положению гидроксильной группы у 5-го, 12-го или 15-го атома углерода, например: 5-ГЭТЕ, 12-ГЭТЕ.
Липоксигеназы действуют в 5-й, 12-й или 15-й позиции арахидоновой кислоты в зависимости от типа ткани. Например, в тромбоцитах - 12-липоксигеназа, в эозинофилах - 15-липоксигеназа.
Глюкокортикоиды ингибируют синтез всех типов эйкозаноидов, так как ингибируют фосфолипазу А2, и таким образом уменьшают количество субстрата для их синтеза. Аспирин и другие противовоспалительные препараты нестероидного действия ингибируют только циклооксигеназный путь.
Другие типы лейкотриенов образуются из LTА>4>, LTВ>4> образуется под действием эпоксидгидролазы в лейкоцитах и клетках эпителия сосудов. Другой путь приводит к образованию группы лейкотриенов: LTC>4>, LTD>4>, LTE>4>. Их синтез начинается с присоединения трипептида глутатиона к 6-му атому углерода с образованием LTС>4> в реакции, катализируемой глутатион-8-трансферазой. В следующей реакции удаляется глутамат, и LTD>4> содержит дипептид глицилцистеин. На последней стадии отщепляется глицин, и LTЕ>4> содержит только цистеин.
Механизмы действия эйкозаноидов, основные биологические эффекты
Эйкозаноиды - гормоны местного действия по ряду признаков:
образуются в различных тканях и органах, а не только в эндокринных железах;
действуют по аутокринному или паракринному механизмам;
концентрация эйкозаноидов в крови меньше, чем необходимо, чтобы вызвать ответ в клетках-мишенях.
Вариабельность картины действия различных простагландинов, описанная выше, позволяет считать, что в тканях-мишенях имеется не один-единственный рецептор, а несколько. Более того, различия в характере действия PGE>1> и PGE>2>, а также PG серий Е и F свидетельствуют о том, что небольшие структурные изменения могут иметь большое значение и обусловливать силу и характер ответной реакции. Действие отдельных простагландинов на сокращение матки и желудочно-кишечной мускулатуры, секрецию, транспорт ионов и различные метаболические процессы привлекли внимание к роли Са2+ и циклического AMP в механизме действия простагландинов. Однако наблюдаемые противоположные эффекты простагландинов на уровень сАМР в тканях, зависящие от вида изучаемой ткани, и на сопряжение интенсивности потока Са2+ со стимуляцией аденилатциклазы в настоящее время дают возможность только для спекулятивных рассуждений по вопросу о молекулярной основе действия простагландинов.
PGE>1> и PGE>2> заметно ускоряют мобилизацию Са2+ из костей. Этот эффект вызывается прямым действием простагландинов, независящим от гормона паращитовидных желез, и основан на стимуляции функций остеокластов (клеток, рассасывающих кость). В присутствии антивоспалительных, негормональных лекарств, которые тормозят простагландинсинтетазу, значительно уменьшается количество этих клеток, тогда как простагландпны увеличивают их число и активность. Избыточным образованием простагландинов в злокачественной ткани частично может объясняться гиперкальцемия и остеолиз, наблюдаемые у больных некоторыми видами рака.
Механизмы действия эйкозаноидов
Один и тот же тип эйкозаноида может действовать по паракринному и по аутокринному механизму. Например, ТХА>2>, продуцируемый тромбоцитами при их активации, действует на сами тромбоциты, увеличивая их способность к агрегации, и в то же время действует на окружающие ГМК кровеносных сосудов, способствуя их сокращению. Таким образом создаются условия для образования тромба и предотвращения кровотечения в области повреждения сосудов.
Эйкозаноиды действуют на клетки через специальные рецепторы. Некоторые рецепторы эйкозаноидов связаны с аденилатциклазной системой и протеинкиназой А - это рецепторы PGE, PGD, PCI. PGF>2α>, ТХА>2> эндоперекиси (ГПЭТЕ) и лейкотриены действуют через механизмы, увеличивающие уровень кальция в цитозоле клеток-мишеней. Во многих клетках эйкозаноиды влияют на степень активации аденилатциклазной системы в ответ на действие других факторов, например гормонов. В этих случаях эйкозаноиды влияют на конформацию G-белков в плазматической мембране клеток. Если эйкозаноид связывается со стимулирующими Gs-белками, то эффект основного стимулирующего агента увеличивается; если с Gi-ингибирующими - эффект снижается. Эйкозаноиды действуют на клетки почти всех тканей организма. Избыточная продукция эйкозаноидов наблюдается при многих заболеваниях.
Роль эйкозаноидов в тромбообразовании
Свёртывание крови можно рассматривать как процесс, который поддерживается в состоянии равновесия противодействующими системами: свёртывания и противосвёртывания. В условиях патологии или при действии фармакологических средств это равновесие может смещаться в ту или другую сторону. В норме клетки эндотелия сосудов продуцируют простациклин I2, который препятствует агрегации тромбоцитов и сужению сосудов. При разрушении клеток эндотелия (например, в результате образования атеросклеротической бляшки) синтез PGI>2> снижается. Тромбоциты контактируют с повреждённой стенкой сосуда, в результате чего активируется фосфолипаза А>2>. Это приводит к увеличению секреции ТХ А2, стимулирующего агрегацию тромбоцитов и образование тромба в области повреждения сосуда, что часто приводит к развитию инфаркта.
В норме клетки эндотелия продуцируют PG I>2>, который вызывает релаксацию ГМК и ингибирует агрегацию тромбоцитов. Тромбоциты в неактивном состоянии не продуцируют тромбоксаны. В области повреждения стенки сосуда преобладает действие TXА>2>, стимулирующего агрегацию тромбоцитов и сокращение стенок сосуда. В результате на повреждённом участке образуется тромб, происходит резкое сужение просвета сосуда. В миокарде это может привести к развитию инфаркта миокарда.

PGI>2> является мощным ингибитором агрегации тромбоцитов, и было показано, что он синтезируется микросомальной фракцией гомогенатов кровеносных сосудов.
PGI>2> обладает двумя важными фармакологическими свойствами, которые обусловливают противодействие PGI>2> тромбоксану А>2>; дело в том, что PGI>2> является наиболее мощным из всех известных в настоящее время ингибиторов агрегации тромбоцитов и, кроме того, расширяет сосуды. Предполагается, что в результате соприкосновения тромбоцитов с эндотелием нормальных кровеносных сосудов происходит высвобождение PGG>2>, субстрата для образования PGI>2>; действие этого механизма способствует предотвращению агрегации тромбоцитов и сужению кровеносных сосудов. Если же тромбоциты вступают в соприкосновение с эндотелием кровеносных сосудов, который имеет разрывы или повреждения вследствие патологических изменений, то из-за недостаточной концентрации фермента, катализирующего образование простацнклина PGI>2>, количество последнего снижается; при этом агрегирующее действие тромбоксана А>2>, который синтезируется из эндопероксида, должно превалировать над антиагрегирующим действием PGI>2>, что приводит к тромбозу и местному спазму сосудов.
Действие на сердечно-сосудистую систему
Внутривенное введение PGE>1> или PGE>2> увеличивает кровоток путем общего расширения сосудов с уменьшением периферического сопротивления. Эти изменения находят отражение в увеличении сердечного выброса, сопровождающегося уменьшением артериального кровяного давления.
При изучении факторов риска инфаркта миокарда было показано, что люди, потребляющие большое количество рыбьего жира, значительно меньше подвержены этому заболеванию, так как у них реже образуются тромбы в сосудах сердца. Оказалось, что на семейства эйкозаиоидов, синтезируемых в организме, влияет состав жирных кислот пищи. Если с пищей поступает больше эйкозапентаеновой кислоты (20: 5, ω-3), в большом количестве содержащейся в рыбьем жире, то эта кислота включается преимущественно в фосфолипиды мембран (вместо арахидоновой) и после действия фосфодипазы А>2> служит основным субстратом для синтеза эйкозаноидов. Это имеет существенное влияние на свёртывание крови. При обычной диете с преобладанием арахидоновой кислоты (20: 4, ω-6) над эйкозапентаеновой действие ТХА>2> уравновешено действием PG I2 и другими простагландинами. В случае диеты с преобладанием ω-3 кислот в клетках эндотелия образуются более сильные ингибиторы тромбообразования (PGI>3>, PGE>3>, PGD>3>), что снижает риск образования тромба и развития инфаркта миокарда.
Действие на водно-электролитный обмен
Все изученные простагландины усиливают ионный поток через эпителиальные мембраны. Введение PGE>1> или PGA>1> в почечную артерию собак увеличивает объем мочи и выделение Na+, K+ и Сl-. Напротив, сообщалось, что местное образование PGE>2> в почке подавляет выведение Na+.
Действие на нервную систему
Простагландины присутствуют в нервной ткани и освобождаются при раздражении периферических нервов. Введенные простагландины повышают температуру тела, оказывают седативное и транквилизирующее действие и являются антагонистами противосудорожных препаратов. Простагландины модулируют действие адренергическнх факторов, например норадреналина, и являются антагонистами некоторых эффектов этих катехоламинов.
Действие на желудочно-кишечный тракт
Простагландины тормозят желудочную секрецию, но стимулируют секрецию поджелудочной железы и секрецию слизи в кишечнике, а также заметно усиливают моторику кишечника. Стимулируя кишечную аденилатциклазу, простагландины могут ингибировать поступление Na+ в клетки слизистой оболочки, что сопровождается увеличением секреции Сl-. Эти эффекты в сочетании с увеличением секреции Н>2>О и кишечной моторики являются основанием для развития вызываемой простагландинами диареи.
Влияние на репродуктивную систему
Простагландины, особенно PGF>2>>a>, стимулируют активность матки в период беременности; это нашло практическое применение при вызывании аборта, а именно изгнании плода и плаценты. Что бы вызвать аборт, требуются очень маленькие количества простагландинов, введенных внутривенно или непосредственно в полость матки. Как in vitro, так и in vivo PGF>2>>a> вызывают рассасывание функционирующего желтого тела и могут таким образом облегчать прерывание беременности, снижая уровень прогестерона в плазме крови.
Воздействия на бронхи, трахею и гладкие мышцы
Простагландины серии F вызывают сокращение, а простагландины серии Е раслабление мышц бронхов и трахеи у животных различных видов, в том числе у человека. Как PGE>1> так и PGE>2 >являются сильными бронходилятаторами (средствами, расширяющими просвет бронхов и бронхиол) при применении их в аэрозолях как людьми, так и животными, страдающими бронхоспазмами. В противоположность этому PGF>2>>a> вызывает интенсивное сокращение бронхов и бронхоспазм.
Влияние PGF>2>>a> на гладкие мышцы матки было описано выше. В течение ряда лет было известно, что специфический модулятор, названный веществом, сокращающим аорту кролика (rabbit aorta contracting sub>stance (RCS)), выделяется при анафилаксии в легких сенсибилизированных морских свинок. Недавно установили, что это вещество является смесью PGG>2>, PGH>2> и тромбоксана А>2>, причем большая часть RCS-активности связана именно с тромбоксаном А>2>. Согласно существующему мнению, выделение RCS контролируется декапептидом, который стимулирует образование эндопероксидов PG и тромбоксана А>2> путем ускорения освобождения арахидоновой кислоты из легочной ткани. Стероидные противовоспалительные средства блокируют это освобождающее действие и таким образом предотвращают образование эндопероксидов и тромбоксана А>2> в противоположность аспирину и близким к нему негормональным антивоспалительным лекарствам, которые непосредственно ингибируют активность циклооксигеназы.
Воспалительное действие
Основные источники простагландинов в очаге воспаления: тромбоциты, активированные лейкоциты, клетки эндотелия, тучные клетки.
Простагландины участвуют в формировании всех компонентов и многих проявлений воспаления. Наиболее выражено их влияние на: тонус стенок микрососудов (артериол, прекапилляров, капилляров, венул); адгезивно-агрегационные свойства тромбоцитов, лейкоцитов и эритроцитов (поэтому важна роль простагландинов в регуляции кровоснабжения тканей при воспалении, эмиграции в очаг воспаления лейкоцитов и фагоцитоза); образование других медиаторов воспаления; состояние системы гемостаза; проницаемость стенок микроциркуляторного русла; развитие лихорадки.
Эффекты лейкотриенов
Спазмогенное действие (на ГМК стенок сосудов, а также бронхиол и кишечника) не вызывает тахифилаксии, в связи с чем длительность эффекта лей-котриенов весьма велика. Спазм микрососудов, особенно артериол, в очаге воспаления приводит к развитию ишемии.
Положительный хемотаксический эффект по отношению к фагоцитам.
Повышение проницаемости мембран.
Введение простагландинов подопытным животным увеличивает воспалительную реакцию, вызванную, например, гистамином. Простагландины, образуемые в местах, связанных с повреждением, ожогами или вредными воздействиями, ведут себя как медиаторы воспалительной реакции. Способность таких агентов, как аспирин или другие лекарства, тормозить воспалительную реакцию, связана с их ингибирующим действием на простагландинсинтазу.
Иммунное действие
Ингибирующее действие простагландинов на иммунный ответ объясняется тем, что активация антигенами Т-лимфоцитов, имеющая значение в иммунологическом ответе, ингибируется PGE>1>. В противоположность этому сообщалось, что PGE>1> усиливает иммуногенность (способность антигена вызывать иммунный ответ) клеток селезенки как in vivo, так и in vitro. Кроме того, макрофаги, которые в иммунологических реациях функционируют в тесном взаимодействии с лимфоцитами, изменяя их активность, также продуцируют и секретируют простагландины типа Е. Изучению роли простагландинов в модуляции иммунных реакций придается все большее значение. Предполагают, что продукция простагландинов злокачественными клетками может иметь отрицательные последствия для иммунной системы организма хозяина и, таким образом, может затруднить иммуннотерапевтические подходы к лечению новообразований у человека.
Воздействия на кожу
Воспалительные влияния простагландинов, описанные выше, частично являются результатом их способности вызывать местное увеличение секреции гистамина. В коже подопытных животных наблюдается увеличение проницаемости капилляров, а у человека отмечена стойкая эритема сосудов кожи (сильное покраснение кожи, вызванное расширением капилляров), сопровождаемая появлением волдырей и отека. Это воспалительное действие простагландинов можно предотвратить антивоспалительными агентами, в том числе аспирином.
Таблица 8-8. Характеристика биологического действия основных типов эйкозаноидов
|
Эйкозаноид |
Основное место синтеза |
Основное биологическое действие |
|
PG E>2> |
Большинство тканей, особенно почки |
Расслабляет гладкую мускулатуру, расширяет сосуды, инициирует родовую активность, подавляет миграцию лимфоцитов, пролиферацию Т-клеток. |
|
PG F>2>α |
Большинство тканей |
Сокращает гладкую мускулатуру, суживает сосуды, бронхи, стимулирует сокращения матки. |
|
PG D>3> |
Клетки гладкой мускулатуры |
Вызывает расширение сосудов, снижает агрегацию тромбоцитов и лейкоцитов. |
|
PG I>2> |
Сердце, клетки эндотелия сосудов |
Уменьшает агрегацию тромбоцитов, расширяет сосуды. В клетках-мишенях увеличивает образование цАМФ |
|
TX A>2> |
Тромбоциты |
Стимулирует агрегацию тромбоцитов, суживает сосуды и бронхи, в клетках уменьшает образование цАМФ. |
|
TX A>3> |
Тромбоциты |
Обладает функциями, одинаковыми с ТХ А>2>, но значительно менее эффективен. |
|
LT B>4> |
Лейкоциты, клетки эпителия |
Стимулирует хемотаксис и агрегацию лейкоцитов, освобождение лизосомальных ферментов лейкоцитов. Увеличивает проницаемость сосудов. |
|
Группа лейкотриенов |
Лейкоциты, альвеолярные макрофаги |
Стимулируют расширение сосудов, увеличивают их проницаемость. |
Использование производных эйкозаноидов в качестве лекарств
Хотя действие всех типов эйкозаноидов до конца не изучено, имеются примеры успешного использования лекарств - аналогов эйкозаноидов для лечения различных заболеваний. Например, аналоги PGЕ>1> и PGЕ>2> подавляют секрецию соляной кислоты в желудке, блокируя гистаминовые рецепторы II типа в клетках слизистой оболочки желудка. Эти лекарства, известные как Н>2>-блокаторы, ускоряют заживление язв желудка и двенадцатиперстной кишки. Способность PGЕ>2> и PGF>2>α стимулировать сокращение мускулатуры матки используют для стимуляции родовой деятельности.
Инактивация эйкозаноидов
Все типы эйкозаноидов быстро инактивируются. Т1/2 эйкозаноидов составляет от нескольких секунд до нескольких минут. Простагландины инактивируются путём окисления гидроксильной группы в положении 15, важнейшей для их активности, до кетогруппы. Двойная связь в положении 13 восстанавливается. Затем происходит β-окисление боковой цепи, а после него - ω-окисление. Конечные продукты (дикарбоновые кислоты) выделяются с мочой. Активный ТХA>2>