Організація проектного аналізу господарської діяльності ВАТ "Бердичівський пивоварний завод"
Організація проектного аналізу господарської діяльності ВАТ „Бердичівський пивоварний завод”.
ПЛАН
Вступ. 3
1. Методологія проектного аналізу господарської діяльності підприємства. 4
2. Підприємство як суб’єкт господарської діяльності та об’єкт аналізу. 9
3.Функціональні аспекти аналізу привабливості господарської діяльності підприємства 18
3.1 Маркетинговий аналіз діяльності підприємства. 18
3.2 Технічний аналіз діяльності підприємства. 21
3.3 Інституційний аналіз діяльності підприємства. 24
3.4 Соціальний аналіз діяльності підприємства. 25
3.5 Фінансовий аналіз діяльності підприємства. 27
4. Проблеми та шляхи удосконалення методологічних та функціональних аспектів проектного аналізу. 29
Висновки. 34
Список використаної літератури. 35
Вступ.
В Україні з усіх галузей харчової промисловості пивоварна промисловість є останнім часом однієї з найбільш благополучних. Проте швидке відновлення колишніх обсягів виробництва за рахунок власних коштів на більшості пивоварних заводів буде неможливо, тому що недостача оборотних коштів, неплатежі роблять практично нездійсненною задачу технічного переоснащення виробництва. Наявні в розпорядженні вітчизняних підприємств прибутки мінімум у 2-3 рази менше потреби в оборотних коштах. Крім того, за роки падіння обсягів виробництва на багатьох пивоварних заводах відбулося перепрофілювання виробничих потужностей на випуск лимонадів, мінеральних вод, горілки, і тепер задача поновлення профілю підприємства потребує значних капіталовкладень.
У той же час активна частина основних фондів галузі має знос 40%, а потреба в устаткуванні задовольняється вітчизняними виробниками менш, ніж на третину. Тільки 5-7 заводів України з більш 40 підприємств пивобезалкогольної промисловості по технічному оснащенню знаходяться на рівні розвитих європейських країн, і то 5-10 літньої давності. Галузь має потребу в інвестиціях.
В даній курсовій роботі, на прикладі діючого підприємства ВАТ „Бердичівський пивоварний завод” розглянуто реалізацію інвестиційного проекту покращення виробничих потужностей підприємства.
1. Методологія проектного аналізу господарської діяльності підприємства.
Проектний аналіз – методологія, яка застосовується для визначення, порівняння та обґрунтування альтернативних управлінських рішень і планів, що дозволяє, в свою чергу, здійснювати вибір і приймати вивірені рішення в умовах обмеженості ресурсів.
Концепція проектного аналізу являє собою набір методичних принципів, які визначають послідовність збору та способів аналізу даних, методів вивчення інвестиційних пріоритетів, способів урахування широкого кола аспектів до прийняття рішень про реалізацію планів. Вона концентрується на з’ясуванні витрат на здійснення проекту та вивченні результатів з різнобічних позицій: інтересів акціонерів (або інших власників); економіки в цілому; організацій, які беруть участь у здійсненні господарської діяльності підприємства, природного та соціального зовнішнього середовищ, в яких здійснюватиметься підприємницька діяльність.
Методологія проектного аналізу ґрунтується на системі таких принципів: альтернативність, обумовленість, маржинальність, порівняння ситуації „за планом”, „альтернативний план”, та фактично досягнутий рівень господарювання”.
Одним з основних завдань проектного аналізу є визначення цінності проекту. Цінність проекту визначається як різниця його позитивних результатів, або вигід, та негативних результатів, або витрат, тобто
Цінність проекту = Вигоди – Витрати
Для визначення цінності проекту необхідно оцінити всі вигоди, одержувані від проекту, і з’ясувати, чи вони перевищують витрати на нього протягом усього циклу життя. Оскільки багато активів проекту розраховані на тривалий строк служби, в проектному аналізі порівнюються майбутні вигоди з необхідними теперішніми витратами по проекту.
Для проведення аналізу проектів використовується декілька концептуальних положень, серед яких виділяють додаткові витрати і вигоди.
Якщо новий проект є продовженням діяльності підприємства, здійснюється на розвиток діючого виробництва, то метою проектного аналізу є встановлення відмінності між ситуаціями “з проектом” та “без проекту”. Врахування прирощених у результаті проекту вигід і витрат вимагає уточнення наведеної раніше формули.
|
Цінність проекту |
= |
Зміна вигоди в результаті проекту |
- |
Зміна витрат в результаті проекту |
Такий підхід не тотожний зіставленню ситуацій “до проекту” та “після проекту”, оскільки порівняння станів “до” і “після” проекту не бере до уваги змін у капіталовкладеннях і виробництві, що відбулися незалежно від проекту, і відтак призводить до неточного підрахунку витрат і вигід проекту.
Загалом, усі рішення щодо визначення цінності проекту, а в результаті й доцільності вкладення коштів в його реалізацію, випливають саме з порівняння додаткових вигід з додатковими витратами. На практиці це втілилось у так звану концепцію граничності (або маргіналізму – від англ. marginal). Наведемо простий приклад.
На підприємстві випускається продукція з використанням трьох верстатів.
Таблиця 1
Розрахунок витрат на виготовлення продукції.
|
Верстат |
Витрати на виготовлення за годину |
Максимально можлива кількість виготовлення за годину |
Кількість виготовлення за годину |
Собівартість одиниці продукції |
|
1 |
1000 |
100 |
100 |
10=1000/100 |
|
2 |
1200 |
100 |
100 |
12=1200/100 |
|
3 |
1600 |
100 |
50 |
16=800/50 |
Таким чином, загальні витрати на виробництво 250 одиниць продукції становлять 3000 (1000+1200+800). Середні витрати на виготовлення продукції становлять 12 (3000/250). Але для того, щоб збільшити кількість виготовлення продукції на одну одиницю за таких умов, необхідно зробити додаткові витрати в сумі 16. З огляду на це, рішення про збільшення обсягу виробництва продукції має прийматися з розрахунку саме цієї суми, а не середньої собівартості випуску одиниці продукції. Це і є додатковими або граничними витратами.
Приймаючи рішення про обсяги випуску продукції, керуються правилом, згідно з яким обсяг випуску має збільшуватися доти, доки граничні витрати менші або дорівнюють граничним вигодам.
Важливим методологічним принципом у розрахунках грошових потоків є врахування безповоротних витрат та неявних вигід.
Безповоротні витрати – це вже зроблені витрати, які неможливо відшкодувати прийняттям чи неприйняттям даного проекту.
Якщо провадиться оцінка доцільності здійснення інвестиційного проекту, то всі витрати, вже зроблені до прийняття рішення про реалізацію проекту, не повинні враховуватися, бо їх не можна відшкодувати і вони жодним чином не впливають на його ефективність. Такі витрати треба виключити з вартості проекту при вирішенні питання про те, чи продовжувати роботу за проектом. На цьому етапі мають вагу лише ті витрати, які треба буде зробити (а іноді, можливо, й уникнути їх). Цінність проекту, який має завершити інший, розпочатий раніше і незакінчений проект, залежить не від зроблених до того витрат, а лише від вартості завершення проекту. Подібно до цього, вигодами нового проекту є лише ті вигоди, які з’являться після і понад ті вигоди, які, можливо, надходять від попередньої незавершеної діяльності.
Прикладом зроблених витрат є витрати на проведення досліджень та розрахунків ефективності проекту. Незважаючи на їх чималий обсяг, вони не повинні враховуватися при визначенні показників проекту.
Неявні вигоди – це не одержані доходи від найкращого альтернативного використання активу, внаслідок чого відбувся неявний грошовий приплив.
Необхідність урахування в проектному аналізі неявних витрат випливає з принципу альтернативної вартості. Неявні вигоди можна визначити і як грошові потоки, котрі можна було б одержати від активів, які фірма вже має. Береться до уваги, що вони не використовуються у проекті, який розглядається. Наприклад, фірма має у власності споруду, яку збирається використати у проекті. Явного грошового потоку не передбачається, але споруда є складовою витрат проекту. Її можна продати за 200 тис. грн. Це і є неявні витрати. Неявні грошові потоки у вигляді внесків до статутного фонду або використання матеріальних і нематеріальних активів називають ще матеріальними та нематеріальними потоками.
До неявних вигід відносять також вигоди, які не мають прямої грошової оцінки і в радянській економічні літературі називалися “соціальним проектом”. Їх врахування є досить складним економічним завданням, що постає, скажімо, при проведенні екологічного аналізу. Невідчутні вигоди мають враховуватися при оцінці вигід і як зміцнення іміджу фірми (“гудвіл”), і як інші види нематеріальних активів.
У проектному аналізі необхідно уникати подвійного рахунку.
Оцінюючи проект, слід брати до уваги всі витрати і вигоди проекту, але не можна їх враховувати двічі. Наприклад, виплата процентів за кредит або одержання доходів від реалізації основних фондів можуть бути враховані як витрати двічі. Тому перелік вигід і витрат слід максимально деталізувати і дбати, щоб не допустити подвійного рахунку.
Важливе значення в проектному аналізі має підхід, при якому розрізняється економічний і фінансовий аналіз проекту.
Економічний аналіз витрат і вигід треба проводити в такому обсязі, щоб можна було визначити з достатньою точністю економічну цінність проекту і встановити відносну цінність вибору варіантів проекту. Цей аналіз повинен з’ясувати, чи проект забезпечить збут продукції за цінами, що дають прибуток. При аналізі проектів, які не передбачають одержання товарної продукції, також необхідно прогнозувати потребу в результатах його здійснення. Так, для проекту по прокладанню шосе необхідно визначити відповідні проектно-конструкторські стандарти, для освітніх проектів – кількість і розміри освітніх закладів.
Фінансовий аналіз покликаний встановити фізичну привабливість капіталовкладень для організації, яка фінансує проект, а також для гаданих учасників та осіб, що одержують вигоду від реалізації проекту, і дати загальну схему фінансового плану, який би забезпечував наявність коштів на здійснення проекту. Як і у випадку технічної експертизи, економічний, фінансовий та інші види аналізу можуть, при потребі, провадитись детальніше після аналізу здійснимості проекту.
Результатом аналізу здійснимості проекту може бути висновок про необхідність подальших пошуків в інших галузях з метою сприяння успішній реалізації проекту і досягнення намічених ним цілей. До таких заходів можуть відноситись удосконалення методів керівництва і підвищення кваліфікації персоналу організації, що здійснює проект; зміна політики в галузі макроекономіки або окремих секторів економіки; забезпечення підтримки з боку зацікавлених у проекті осіб. На практиці аналіз проекту вперше було застосовано щодо великих капіталомістких проектів (наприклад, спорудження гребель, електростанцій та автострад), а консалтингові фірми, які часто залучаються до розробки таких обґрунтувань, починали свою діяльність як інженерні фірми. Тож технічні аспекти здійснимості переважали над іншими і розроблялися краще.
Поняття альтернативної вартості (opportunity сost) є основоположним для проведення аналізу витрат і вигід. Більше того, визначальною рисою різних економічних систем є те, яким чином враховується альтернативна вартість при прийнятті рішень. Ефективнішою є система, що забезпечує найповніше врахування альтернативної вартості.
Оскільки для задоволення всіх потреб завжди бракує ресурсів, постає завдання оптимального використання доступних ресурсів. Потенційно будь-які ресурси можна використати кількома способами. Так, земельну ділянку в місті можна використати для спорудження на ній житла, адміністративних будинків, промислових підприємств або закладення парку. Резерви іноземної валюти країни можна використати для імпортування споживчих товарів, придбання промислової сировини або для інвестування в капітальне будівництво. Використання ресурсів на одні цілі неминуче виключає можливість іншого їх використання. Альтернативна вартість використовуваного певним чином ресурсу визначається цінністю, яку він міг би мати при використанні найкращим з можливих альтернативних способів. Концепція альтернативної вартості є простим, але потужним знаряддям, що відіграє центральну роль в аналізі витрат і вигід.
Зупинимось на розгляді альтернативної вартості докладніше.
Розглядаючи питання про витрати виробника, до уваги беруть сировину, сировину, матеріали, витрати робочого часу, необхідні інструменти й механізми тощо. Потім проводиться оцінка цих ресурсів у грошовому виразі. Вважається, що витрати на виробництво певного товару дорівнюють сумі проведених грошових оцінок. Тут немає помилки, але питання, чому ці ресурси мають саме таку грошову оцінку, лишається без відповіді.
Згідно з концепцією альтернативної вартості, грошова оцінка ресурсів відображає їх цінність при найкращому альтернативному використанні. Для пояснення цієї думки наведемо приклад. При збільшенні обсягів будівництва зростає попит на деревину, внаслідок чого її вартість збільшується. Відтак збільшуються і витрати на виробництво дерев’яних меблів, оскільки їх виробники мають сплачувати зрослу вартість сировини.
Розглянемо ще один, складніший приклад використання альтернативної вартості в економічному аналізі. Країна імпортує сухе молоко, після переробки якого одержує звичайних продукт для реалізації на внутрішньому ринку. Якою буде його економічна ціна, якщо розробити в країні програму розвитку тваринництва для виробництва звичайного молока? Дорівнюватиме вона витратам на його виробництво в країні з певною надбавкою чи має бути прирівняна до паритетної ціни імпорту? Саме вартість імпорту та переробки молока становить альтернативну вартість виробництва молока в країні. Звичайно, навіть якщо вітчизняні витрати будуть вищі, ніж імпортні паритетні ціни, країна може вирішити питання виробництва власного молока, щоб забезпечити зайнятість населення та незалежність від імпорту. Але таке рішення призведе до чистих втрат національного доходу.
Подібним чином концепція альтернативної вартості пояснює і вартість робочої сили. Так, при відкритті в країні спільних підприємств, заробітна плата на яких вища за звичайну, збільшуються витрати на заробітну плату і на інших підприємствах.
Споживча ціна на товар є його альтернативною вартістю. Люди платять за товар не ту ціну, яку вони складають самі, а ту, за якою цей товар оцінюється при найкращому альтернативному використанні.
Наведемо ще один приклад використання альтернативної вартості в проектному аналізі.
В одному з цехів підприємства стоїть верстат, балансова вартість якого становить 8000 гр.од. Завод одержав пропозицію щодо продажу цього верстата за 10000 гр.од. на умовах франко-вагон. Вартість демонтування верстата становить 500 гр.од., підготовка до відправки – 300 гр.од., транспортування на станцію та завантаження – 200 гр.од., податки – 40%. Тим часом є можливість використати цей верстат в іншому цеху заводу, що означай витрати на його демонтування – 500 гр.од., транспортування на самому заводі – 50 гр.од., повторний монтаж та налагодження – 750 гр.од. Як за таких умов вирахувати вартість верстата при його використанні в іншому цеху? Згідно з концепцією альтернативної вартості, розрахунок має бути такий.
У разі продажу верстата чисті надходження становитимуть
(10 000 - (500 + 300 + 200)) - ((10 000 - (500 + 300 + 200)) - 8 000) х 0,4 = 8 600.
Вартість використання верстата становитиме:
8 600 + (50 + 750) = 9 400.
Тут треба зробити застереження. Іноді при обрахунку цієї вартості помилково включають ще 500 гр.од. Утім, вартість монтажу вже було включено в розрахунок чистих надходжень.
Для визначення альтернативності вартості капіталу використовуються маргінальні або останні проекти оптимальної державної чи корпоративної інвестиційної програми. Це дає можливість враховувати як можливі інвестиції, так і найнижчий прийнятний прибуток від капіталу. Простіше кажучи, ми можемо визначити альтернативну вартість капіталу, якщо відомі всі можливості щодо вкладення капіталу та розміри доступного капіталу.
Управлінський підхід до управління раціональною структурою плану полягає у виборі такої технології й обсягу виробництва, які дозволяють мінімізувати витрати.
2. Підприємство як суб’єкт господарської діяльності та об’єкт аналізу.
ВАТ „Бердичівський пивоварний завод” відомий на ринку пива Житомирського регіону більше ніж 50 років. Максимальна виробнича потужність заводу складає 8,3 млн.дек.пива в рік, у 2004 р. було вироблено 4,6 млн.дек, на 2003р. заплановано 5,0 млн.дек. На сьогодення завод випускає 5 сортів пива і є власником двох захищених марок пива: „Бердичівське”, „Старий Бердичів”.
Успішно вирішуючи найважливіші задачі підвищення якості продукції, що випускається, завод домігся в 2004 році істотних результатів:
у квітні 2004 р. на Міжнародній спеціалізованій виставці „Київський пивний аукціон-2004” пиво „Старий Бердичів” одержало Велику Золоту медаль;
на Міжнародній виставці-ярмарку „Пиво-97” у м. Одесі в травні 2004 р. пиво „Бердичівське” одержало Срібну медаль,
В даний час фахівцями заводу розробляються дві нові марки пива, поява яких на ринку очікується вже в 2004 році. ВАТ „Бердичівський пивоварний завод” займає 16,5% ринку пива Житомирського регіону (за станом на 2003 р.) і має всі передумови для різкого збільшення частки ринку за умови реалізації інвестиційного проекту, що розглядається в даній курсовій роботі.
ВАТ „Бердичівський пивоварний завод” є пивним заводом з повним технологічним циклом, має у своєму складі солодовий цех, цілком забезпечений енергоресурсами і водою. Чисельність промислово-виробничого персоналу складає складає 635 чоловік. Середній коефіцієнт зносу технологічного устаткування складає 0,7, що свідчить про необхідності великомасштабних інвестицій у реконструкцію і розвиток виробництва. Основні показники діяльності підприємства за два останні роки наведено в таблицях 1 і 2.
Таблиця 1.
Розрахунок показників інтенсифікації господарської діяльності підприємства.
|
№ п/п |
Показник |
2004 |
2003 |
Темп зростання |
|
1 |
Чистий дохід, тис. грн. |
65426 |
90264 |
37,96 |
|
2 |
Середньооблікова чисельність працівників, чол. |
632 |
635 |
0,47 |
|
3 |
Оплата праці та відрахування на соціальні заходи, тис. грн. |
2697 |
3994 |
48,09 |
|
4 |
Матеріальні витрати, тис. грн. |
12032 |
18921 |
57,26 |
|
5 |
Основні засоби, тис. грн. |
26047 |
25333 |
-2,74 |
|
6 |
Амортизація, тис. грн. |
1448 |
1869 |
29,07 |
|
7 |
Оборотні активи, тис. грн. |
11811 |
14209 |
20,30 |
|
8 |
Продуктивність праці, тис. грн. |
103,52 |
142,15 |
37,31 |
|
9 |
Чистий дохід на 1 грн. оплати праці, грн. |
24,26 |
22,60 |
-6,84 |
|
10 |
Матеріаловіддача, грн. |
5,44 |
4,77 |
-12,27 |
|
11 |
Фондовіддача, грн. |
2,51 |
3,56 |
41,85 |
|
12 |
Амортвіддача, грн. |
45,18 |
48,30 |
6,89 |
|
13 |
Оборотність активів, обор. |
5,54 |
6,35 |
14,68 |
Таблиця 2
Оцінка економічної діяльності підприємства, як суб’єкта господарювання.
|
№ п/п |
Показники |
За фінансовою звітністю |
Рівень беззбитковості |
||
|
2003 |
2004 |
2003 |
2004 |
||
|
1 |
2 |
3 |
4 |
5 |
6 |
|
1 |
Чистий дохід |
24030 |
35421 |
8552 |
14972 |
|
2 |
Собівартість реалізованої продукції за виробничою собівартістю |
19590 |
28904 |
5950 |
9751 |
|
3 |
Валовий прибуток |
4440 |
6517 |
2602 |
5221 |
|
4 |
Адміністративні витрати |
984 |
1361 |
984 |
1361 |
|
5 |
Витрати на збут |
1426 |
1902 |
1426 |
1902 |
|
6 |
Прибуток від операційної діяльності |
2030 |
3254 |
192 |
1958 |
|
7 |
Маржинальний прибуток |
4440 |
6517 |
2602 |
5221 |
|
8 |
Обсяги реалізованої продукції в умовно-натуральних одиницях, т. |
71598 |
98462 |
25154 |
41589 |
|
9 |
Ціна умовно-натуральної одиниці продукції, грн. |
0,34 |
0,36 |
0,34 |
0,36 |
|
10 |
Чистий дохід на 1 тис. грн. виробничих витрат собівартості реалізованої продукції, грн. |
1,23 |
1,23 |
1,44 |
1,54 |
|
11 |
Виробничі витрати собівартості реалізованої продукції на 1 тис. грн. чистого доходу, грн. |
0,82 |
0,82 |
0,82 |
0,82 |
|
12 |
Операційний прибуток на умовно-натуральну одиницю продукції, грн. |
0,03 |
0,03 |
0,00 |
0,00 |
|
13 |
Виробнича собівартість умовно-натуральної одиниці продукції |
0,27 |
0,29 |
0,27 |
0,29 |
|
14 |
Коефіцієнт безпеки підприємницької діяльності |
0,65 |
0,58 |
х |
х |
|
15 |
Операційні витрати |
22000 |
32167 |
8360 |
13014 |
|
16 |
Операційні витрати на умовно-натуральну одиницю продукції, грн. |
0,31 |
0,33 |
0,33 |
0,31 |
|
17 |
Постійні витрати |
2410 |
3263 |
2410 |
3263 |
|
18 |
Постійні витрати на умовно-натуральну одиницю продукції, грн. |
0,03 |
0,03 |
0,10 |
0,08 |
|
19 |
Операційний ліверидж |
2,19 |
2,00 |
х |
х |
|
20 |
Середньорічна вартість власного капіталу. |
35110 |
36143 |
35110 |
36143 |
|
21 |
Рентабельність власного капіталу |
5,78 |
9,00 |
0,00 |
0,00 |
Метою інвестиційного проекту розвитку ВАТ „Бердичівський пивоварний завод” є досягнення стійкого обсягу виробництва і реалізації пива на рівні 8 317 тис. дек. у рік і, у міру освоєння капіталовкладень, збільшення обсягу виробництва і реалізації пива до 12 317 тис. дек. у рік. Вихід на зазначений обсяг реалізації планується в 2005 р. за рахунок підвищення якості і стійкості пива і розширення ринків збуту в результаті вдосконалення діяльності в області маркетингу.
Для досягнення поставленої мети підприємству потрібно вирішити наступні задачі:
заміна існуючих установок новим більш ефективним високоякісним обладнанням;
освоєння і просування на ринок нових сортів пива;
перехід до використання нових видів тари;
проведення комплексу маркетингових заходів щодо дослідження ринку і просування продукції.
Особливостями і перевагами розглядаємого інвестиційного проекту у відповідності з поставленими цілями, є:
спрямованість на підтримку вітчизняного товаровиробника;
спрямованість на підвищення виробничо-технологічного потенціалу і конкурентноспроможності підприємства;
спрямованість на просування на ринки вітчизняних продуктів;
спрямованість на реконструкцію діючого виробництва.
Загальна потреба в інвестиціях визначена в24 млн.USD, що надаються у виді інвестиційного кредиту терміном на 5 років по ставці 17,5% річних із щорічною виплатою відсотків (наприкінці кожного року) і поверненням основної суми боргу наприкінці терміну. Графік фінансування проекту, виплати відсотків і повернення кредиту приведений у таблиці 3.
Таблиця 3
Графік фінансування проекту, виплати відсотків і повернення кредиту.
|
Показники, млн. USD |
2003 |
2004 |
2005 |
2006 |
2007 |
2008 |
|
Отримано кредит |
20,0 |
4,0 |
||||
|
Плата за кредит |
3,85 |
4,2 |
4,2 |
4,2 |
4,2 |
|
|
Повернення кредиту |
24,0 |
Підвищення рівня прибутковості ВАТ „Бердичівський пивоварний завод” ґрунтується на передбаченому інвестиційним проектом розвитку підприємства збільшенні обсягів виробництва і реалізації продукції. Розподіл прибутку заводу і надходжень у бюджет, плановане відповідно до дійсного інвестиційного проекту, наведено в таблиці 4.
Таблиця 4
Основні показника інвестиційного проекту.
|
|
VII-XII |
I-VI |
VII-XII |
I-VI |
VII-XII |
I-VI |
VII-XII |
I-VI |
VII-XII |
I-VI |
|
2003 |
2004 |
2004 |
2005 |
2005 |
2006 |
2006 |
2007 |
2007 |
2008 |
|
|
Виручка (тис. $) |
||||||||||
|
пиво масових сортів |
12250 |
12250 |
20377 |
20377 |
30177 |
30177 |
30177 |
30177 |
30177 |
30177 |
|
пиво дорогих сортів |
9000 |
9000 |
14971 |
14971 |
22171 |
22171 |
22171 |
22171 |
22171 |
22171 |
|
Всього (тис.$) |
21250 |
21250 |
35347 |
35347 |
52347 |
52347 |
52347 |
52347 |
52347 |
52347 |
|
Податки |
531 |
531 |
884 |
884 |
1309 |
1309 |
1309 |
1309 |
1309 |
1309 |
|
Чистий об’єм продаж (тис.$) |
20719 |
20719 |
34464 |
34464 |
51039 |
51039 |
51039 |
51039 |
51039 |
51039 |
|
Прямі ВАТрати (тис. $) |
||||||||||
|
пиво масових сортів |
7756 |
7756 |
12901 |
12901 |
19106 |
19106 |
19106 |
19106 |
19106 |
19106 |
|
пиво дорогих сортів |
6648 |
6648 |
11058 |
11058 |
16377 |
16377 |
16377 |
16377 |
16377 |
16377 |
|
Всього (тис.$) |
14404 |
14404 |
23960 |
23960 |
35483 |
35483 |
35483 |
35483 |
35483 |
35483 |
|
ВАЛОВИЙ ПРИБУТОК |
6315 |
6315 |
10504 |
10504 |
15556 |
15556 |
15556 |
15556 |
15556 |
15556 |
|
Загальні витрати (тис. $) |
||||||||||
|
Виробництво |
2004 |
2004 |
2004 |
2004 |
2004 |
2004 |
2004 |
2004 |
2004 |
2004 |
|
Управління |
438 |
438 |
438 |
438 |
438 |
438 |
438 |
438 |
438 |
438 |
|
Всього (тис.$) |
2442 |
2442 |
2442 |
2442 |
2442 |
2442 |
2442 |
2442 |
2442 |
2442 |
|
Амортизація |
0 |
211 |
351 |
1 069 |
1 069 |
1 069 |
1 069 |
944 |
944 |
944 |
|
Процентні платежі по кредитам |
3850 |
4200 |
4200 |
4200 |
4200 |
|||||
|
Прибуток до виплати податків (тис. $) |
3873 |
-188 |
7711 |
2793 |
12045 |
7845 |
12045 |
7970 |
12170 |
7970 |
|
Податок на прибуток |
1355 |
-66 |
2699 |
978 |
4216 |
2746 |
4216 |
2789 |
4259 |
2789 |
|
ЧИСТИЙ ПРИБУТОК |
2517 |
-122 |
5012 |
1815 |
7829 |
5099 |
7829 |
5180 |
7910 |
5180 |
Потік чистих засобів інвестиційного проекту розвитку заводу сформований на основі балансів одноразових і поточних доходів і витрат (активів і пасивів), надходжень у бюджет, виплат по кредитних зобов’язаннях та ін., наведено у таблиці 5. Грошові надходження від збуту продукції скоректовані на величину податку на додану вартість.
Таблиця 5
Потік грошових засобів інвестиційного проекту.
|
статті |
VII-XII |
I-VI |
VII-XII |
I-VI |
VII-XII |
I-VI |
VII-XII |
I-VI |
VII-XII |
I-VI |
|
2003 |
2004 |
2004 |
2005 |
2005 |
2006 |
2006 |
2007 |
2007 |
2008 |
|
|
Надходження від збуту продукції (тис. $) |
||||||||||
|
пиво масових сортів |
14700 |
14700 |
24452 |
24452 |
36212 |
36212 |
36212 |
36212 |
36212 |
36212 |
|
пиво дорогих сортів |
10800 |
10800 |
17965 |
17965 |
26605 |
26605 |
26605 |
26605 |
26605 |
26605 |
|
Всього (тис.$) |
25500 |
25500 |
42417 |
42417 |
62817 |
62817 |
62817 |
62817 |
62817 |
62817 |
|
Прямі витрати (тис. $) |
||||||||||
|
пиво масових сортів |
9307 |
9307 |
15482 |
15482 |
22927 |
22927 |
22927 |
22927 |
22927 |
22927 |
|
пиво дорогих сортів |
7977 |
7977 |
13270 |
13270 |
19652 |
19652 |
19652 |
19652 |
19652 |
19652 |
|
Всього (тис.$) |
17285 |
17285 |
28752 |
28752 |
42579 |
42579 |
42579 |
42579 |
42579 |
42579 |
|
Загальні витрати (тис. $) |
||||||||||
|
Виробництво |
2405 |
2405 |
2405 |
2405 |
2405 |
2405 |
2405 |
2405 |
2405 |
2405 |
|
Управління |
526 |
526 |
526 |
526 |
526 |
526 |
526 |
526 |
526 |
526 |
|
Всього (тис.$) |
2930 |
2930 |
2930 |
2930 |
2930 |
2930 |
2930 |
2930 |
2930 |
2930 |
|
Податки |
2 768 |
2 522 |
4 276 |
4 708 |
7 308 |
7 702 |
7 602 |
7 702 |
7 602 |
7 192 |
|
Cash-Flow від операційної діяльності. |
2517 |
2763 |
6459 |
6026 |
9999 |
9604 |
9705 |
9604 |
9705 |
10115 |
|
ВАТрати на придбання активів |
20000 |
4000 |
||||||||
|
Надходження від реалізації активів |
||||||||||
|
Cash-Flow від інвестиційної діяльності |
-20000 |
-4000 |
||||||||
|
Власний капітал |
||||||||||
|
Позички |
20000 |
4000 |
||||||||
|
Виплати в погашення займів |
24000 |
|||||||||
|
Виплати % по займам |
0 |
3850 |
4200 |
4200 |
4200 |
4200 |
||||
|
Виплати дивидендів |
||||||||||
|
Cash-Flow від фінансової діяльності. |
20000 |
150 |
0 |
-4200 |
0 |
-4200 |
0 |
-4200 |
0 |
-28200 |
|
Баланс готівки на початок періоду |
0 |
2517 |
1430 |
7889 |
9715 |
19715 |
25119 |
34824 |
40228 |
49933 |
|
Баланс готівки на кінець періоду |
2517 |
1430 |
7889 |
9715 |
19715 |
25119 |
34824 |
40228 |
49933 |
31848 |
|
Дисконтування |
ставка дисконтування в % =15 |
|||||||||
|
Дисконтоване сальдо CF |
2189 |
1243 |
6127 |
7508 |
14083 |
17637 |
23185 |
26275 |
31100 |
22109 |
Інвестиційним проектом розвитку виробництва передбачений графік реконструкції об’єктів (див. табл 6.)
Таблиця 6.
Графік реконструкції об’єктів.
|
Найменування об’єктів |
Початок |
Закінчення |
|
1.Фільтраційне відділення |
01.09.03 |
30.08.04 |
|
2.Цех розливу |
01.09.03 |
30.12.04 |
|
3.Відділення водопідготовки |
01.09.03 |
30.04.04 |
|
4.Бродильно-лагерне відділення та вуглекислотний цех |
01.09.03 |
30.12.04 |
|
5.Повітряно-компресорний цех |
01.09.03 |
30.04.04 |
|
6.Електроцех |
01.09.03 |
30.12.04 |
|
7.Котельна |
01.09.03 |
30.12.04 |
|
8.Солодовенний цех |
01.09.03 |
30.12.04 |
З метою успішної реалізації інвестиційного проекту розвитку на підприємстві планується:
створити спеціальну робочу групу під керівництвом Генерального директора підприємства, до складу якої будуть уведені провідні спеціалісти підприємства, представники інвестора і банківських фахівців із проектного фінансування;
організувати службу маркетингу із підпорядкуванням її заступнику Генерального директора;
реорганізувати систему керування якістю продукції, що випускається.
Проведені розрахунки показників, що характеризують економічну, комерційну і бюджетну ефективність інвестиційного проекту розвитку заводу показали, що проект є високоефективним і привабливим для фінансування. Значення показників економічної ефективності наведені в таблиці 7.
Таблиця 7
Значення показників економічної ефективності.
|
Показники |
Позначення |
Значения |
|
Період окупності (місяці) |
PP |
37 |
|
Індекс прибутковості |
PI |
1,05 |
|
Внутрішня норма рентабельності (%) |
IRR |
42,5 |
|
Чистий приведений доход (USD) |
NPV |
15517000 |
Оцінка комерційного ризику була зроблена по стадіям реалізації інвестиційного проекту з використанням методів експертних оцінок. Зведені по всіх стадіях інвестиційного проекту ризики приведені в таблиці 8.
Таблиця 8.
Інвестиційні ризики.
|
Стадія |
Ризик |
|
Подготовча |
1,67 |
|
Будівельна |
9,83 |
|
Функціонування |
10,29 |
|
Всього |
21,79 |
Найбільш значимі прості ризики інвестиційного проекту і їхніх величин наведені в таблиці 9.
Таблиця 9.
Найбільш значимі прості ризики.
|
Найменування ризику |
Коефіцієнт |
|
Непередбачені витрати |
5,83 |
|
Недостача оборотних засобів |
3,33 |
|
Валютний ризик |
1,67 |
|
Платоспроможність постачальників |
1,67 |
Для подолання ризиків передбачаються наступні дії:
укладання контрактів на постачання і виконання робіт на умовах „під ключ”;
одержання від першокласних банків гарантій належного виконання контрактів;
розробка системи заходів щодо зниження потреби підприємства в оборотних коштах за рахунок підвищення ритмічності роботи, зменшення запасів, і роботи з дебіторами;
укладання довгострокових контрактів з чіткими умовами і штрафними санкціями;
використання механізмів страхування валютних ризиків (хеджування, закриття відкритої валютної позиції й ін.).
Політика ціноутворення Бердичівського пивоварного заводу спрямована на підтримку оптимального сполучення ціни і якості пива. Відпускні оптові ціни пива в даний час складають від 1,0 до 1,2 грн. за пляшку ємністю 0,5 літра і є конкурентоспроможними на ринку масових сортів пива.
Привабливий для підприємств торгівлі і споживачів рівень цін разом із заходами щодо підвищення якості продукції й активному просуванню її на ринок дозволяють з великою імовірністю прогнозувати збільшення обсягу продажів у 2005р. до 12,3 млн. дек. у рік і розширення частки заводу на регіональному ринку пива.
Проведений фінансово-економічний аналіз проекту показав, що проект по розвитку виробництва на ВАТ „Бердичівський пивоварний завод” є економічно ефективним, забезпечує зворотність вкладених інвестицій за умови залучення інвестиційного кредиту величиною 24 млн. USD терміном на 5 років під 17,5% річних із щорічною виплатою відсотків по кредиту і виплаті основної суми боргу наприкінці терміну.
З метою юридичного захисту прав інвестора, забезпечення гарантій реалізації проекту і як забезпечення виконання зобов’язань по кредиту Рада акціонерів ВАТ „Бердичівський пивоварний завод” закладає кредитору на весь термін дії кредитного договору пакет звичайних (голосуючих) акцій „Бердичівський пивоварний завод”, який складає 25% статутного капіталу підприємства. Для забезпечення можливості участі кредитора в керуванні заводом на час дії договору застави Рада акціонерів видає доручення для участі в керуванні підприємством на весь пакет акцій, що закладається.
Отримане в результаті реалізації інвестиційного проекту збільшення обсягу випуску пива на приведе до відповідного росту податкових надходжень, відрахувань у позабюджетні фонди.
Схема 1.
Блок-схема організації проекту розвитку ВАТ „Бердичівський пивоварний завод”
по роках реалізації інвестиційного проекту

По роках
Фінансово-економічні показники проекту
По роках
3.Функціональні аспекти аналізу привабливості господарської діяльності підприємства.
3.1 Маркетинговий аналіз діяльності підприємства.
Мета маркетингового аналізу полягає у зборі та розгляді ринкової інформації з метою розробки стратегії плану, формування програми продажу продукту і маркетингової діяльності за планом.
Розглянемо, на прикладі одного з постійних покупців продукції підприємства, як впливає сезонна компонента на попит на продукцію підприємства. Як видно з даних таблиці 10 пік максимального попиту на продукцію припадає на липень-серпень місяць. Мінімальний об’єм реалізації припадає на зимові місяці та частину весняних, це пояснюється специфікою продукту, адже попит на пиво завжди є максимальним у літній період.
Таблиця 10
Економічна діагностика покупців підприємства на прикладі ПП „Віктор”
Назва продукції: пиво кегове
Одиниця виміру: літри
|
Період (роки) |
Кількість |
Ціна за літр продукції |
Сума, грн. |
|
2003 |
1500 |
0,6 |
900,00 |
|
2004 |
2000 |
0,7 |
1400,00 |
|
в тому числі: |
|
|
0,00 |
|
січень |
100 |
0,7 |
70,00 |
|
лютий |
100 |
0,7 |
70,00 |
|
березень |
100 |
0,7 |
70,00 |
|
квітень |
100 |
0,7 |
70,00 |
|
травень |
150 |
0,7 |
105,00 |
|
червень |
250 |
0,7 |
175,00 |
|
липень |
300 |
0,7 |
210,00 |
|
серпень |
300 |
0,7 |
210,00 |
|
вересень |
250 |
0,7 |
175,00 |
|
жовтень |
150 |
0,7 |
105,00 |
|
листопад |
100 |
0,7 |
70,00 |
|
грудень |
100 |
0,7 |
70,00 |
Для виробництва пива підприємство використовує цілий ряд інгредієнтів, що потребують постійного поповнення. Тому завод уклав довгострокові договори на поставку продукції, що використовується в процесі приготування пива з цілим рядом сільгосппідприємств області. У таблиці 11 проведено економічну діагностику одного з постачальників заводу. З даним підприємством було укладено договір на постачання ячміню.
Таблиця 11
Економічна діагностика постачальників підприємства на прикладі КСП „Світанок”
Назва продукції: ячмінь
Одиниця виміру: тони
|
Період (роки) |
Кількість |
Ціна за тону продукції |
Сума, грн. |
|
2003 |
35 |
500 |
17500,00 |
|
2004 |
48 |
600 |
28800,00 |
У таблиці 12 проведено економічну діагностику декількох постачальників заводу. В дійсності підприємство співпрацює з більшою кількістю постачальників проте, дана інформація є комерційною таємницею і навести її повністю в даній роботі не має можливості.
Таблиця 12
Економічна діагностика постачальників підприємства.
|
Постачальники |
Роки |
Відхилення |
|||||
|
2003 |
2004 |
||||||
|
обсяг господарських відносин, тис. грн. |
% |
обсяг господарських відносин, тис. грн. |
% |
+/- |
% |
пунктів в структурі |
|
|
КСП "Світанок" |
17,5 |
20,86 |
28,8 |
21,74 |
11,3 |
64,57 |
0,88 |
|
КСП "Зоря" |
15,4 |
18,36 |
26,1 |
19,70 |
10,7 |
69,48 |
1,34 |
|
ВАТ "Європейська тара" |
21,7 |
25,86 |
39,3 |
29,66 |
17,6 |
81,11 |
3,80 |
|
ТОВ "Альм" |
10,8 |
12,87 |
16,2 |
12,23 |
5,4 |
50,00 |
-0,65 |
|
ТОВ "Росана" |
18,5 |
22,05 |
22,1 |
16,68 |
3,6 |
19,46 |
-5,37 |
|
Разом |
83,9 |
100,00 |
132,5 |
100,00 |
48,6 |
57,93 |
0,00 |
Продукція підприємства реалізовується переважно підприємствам, що займаються роздрібною торгівлею харчовими продуктами, а також різного роду приватним кафе та барам. Економічну діагностику деяких покупців продукції підприємства наведено в таблиці 13. Повний перелік споживачів навести не має можливості через велику їх кількість і закритість даної інформації.
Таблиця 13
Економічна діагностика покупців підприємства.
|
Покупці |
Роки |
Відхилення |
|||||
|
2003 |
2004 |
||||||
|
обсяг господарських відносин, тис. грн. |
% |
обсяг господарських відносин, тис. грн. |
% |
+/- |
% |
пунктів в структурі |
|
|
ТОВ "Бакалія" |
34 |
31,22 |
46 |
34,28 |
12 |
35,29 |
3,06 |
|
ТОВ "Поліські роси" |
58 |
53,26 |
63 |
46,94 |
5 |
8,62 |
-6,32 |
|
ПП "Дарина" |
5 |
4,59 |
6,8 |
5,07 |
1,8 |
36,00 |
0,48 |
|
СП "Козаки" |
11 |
10,10 |
17 |
12,67 |
6 |
54,55 |
2,57 |
|
ПП "Віктор" |
0,9 |
0,83 |
1,4 |
1,04 |
0,5 |
55,56 |
0,22 |
|
Разом |
108,9 |
100,00 |
134,2 |
100,00 |
25,3 |
23,23 |
0,00 |
Ціль стратегії маркетингу інвестиційного проекту, що впроваджується на підприємстві , складається в збільшенні частки Бердичівського пивоварного заводу на регіональному ринку пива, а також в активному просуванні на ринок нових сортів пива і неухильному підвищенні якості і стійкості продукції, що випускається.
Задачу збільшення частки заводу на ринку і просування нових марок пива планується вирішувати з використанням:
масштабної рекламної компанії;
участі в українських і міжнародних виставках і ярмарках;
політики збереження доступних цін на продукцію.
3.2 Технічний аналіз діяльності підприємства.
Для досягнення поставлених в інвестиційному проекті цілей Радою акціонерів ВАТ „Бердичівський пивоварний завод” був розроблений і затверджений план першочергових заходів по розвитку підприємства.
План реалізації інвестиційного проекту розвитку виробництва в технічній частині на заводі включає наступні основні етапи:
Закупівля технологічного устаткування (як постачальників устаткування передбачається залучити відомі європейські фірми-виробники: "Альфа-Лаваль", "Тухенхаген", "Шенг", "Нагема", "Вестфалія-Сепаратор", "Італком", "Антон Ойлерт", "Данбру").
Будівництво (можливі підрядчики "Дамбру", "Продмонтаж").
Монтаж технологічного устаткування (можливі підрядчики: "Нагема", "Тухен-хаген", "Продмонтаж", "Аттрактор ЛТД", "Дамбру").
Остаточний вибір постачальників і підрядчиків для участі в реалізації даного інвестиційного проекту буде проведено на конкурсній основі.
Розподіл (пооб’єктно) капітальних вкладень, передбачене планом розвитку заводу, наведено в таблиці 14:
Таблиця 14
Розподіл капітальних вкладень по інвестиційному проекту.
тис. дол.. США.
|
Найменування робіт |
Будівельні роботи |
Монтажні роботи |
Устаткування |
Інші затрати |
РАЗОМ |
Постачальник (підрядчик) |
Термін реалізації |
|
1. Реконструкція фільтраційного відділення: |
0 |
825 |
2675 |
3500 |
01.09.03 30.08.04 |
||
|
Пристрій станції CІ |
0 |
0 |
200 |
“Тухенхаген” |
|||
|
Обв'язка форфасів новими трубопроводами |
0 |
456 |
0 |
“Тухенхаген” |
|||
|
Придбання другого переохолоджувача |
0 |
0 |
55 |
“Альфа-Лаваль” |
|||
|
Придбання двох кизельгурових фільтрів і двох бактерицидних фільтрів |
0 |
0 |
2100 |
“Шенк” |
|||
|
Придбання другого сепаратора |
0 |
0 |
320 |
“Вестфалія Сепаратор” |
|||
|
Придбання іншого сепаратора |
0 |
369 |
0 |
“Тухенхаген” |
|||
|
2. Реконструкція цеху розливу: |
0 |
700 |
8300 |
9000 |
01.09.03 30.12.04 |
||
|
Придбання
двох ліній розливу продуктивністю |
0 |
0 |
7000 |
“Антон Ойлерт” |
|||
|
Придбання лінії кег |
0 |
0 |
200 |
“Тухенхаген” |
|||
|
Придбання банкової лінії |
0 |
0 |
1100 |
“Італком” |
|||
|
Модернізація цеху сортового пива (пляшки 0,5л. та 0,33 л., переналагодження автоматів) |
0 |
300 |
0 |
“Нагема” |
|||
|
Монтаж устаткування |
0 |
400 |
0 |
“Тухенхаген” |
|||
|
3. Пристрій відділення водопідготовки: |
550 |
250 |
950 |
1750 |
01.09.03 30.04.04 |
||
|
Придбання устаткування |
0 |
0 |
950 |
“Антон Ойлерт” |
|||
|
Будівництво приміщення модульного типу |
550 |
0 |
0 |
“Продмонтаж” |
|||
|
Монтажні роботи |
0 |
250 |
00 |
“Продмонтаж” |
|||
|
4. Збільшення потужності бродильно-лагерного відділення з установкою ЦКТ і будівництва вуглекислотного цеху: |
500 |
500 |
4500 |
5500 |
01.09.03 30.12.04 |
||
|
Придбання й установка ЦКТ для збільшення потужності на 4 млн. Дек пива в рік |
0 |
0 |
4300 |
“Тухенхаген” |
|||
|
Придбання пристрою CІ для ЦКТ |
0 |
0 |
200 |
“Тухенхаген” |
|||
|
Будівництво вуглекислотного цеху для збору вуглекислоти від ЦКТ і її переробки |
500 |
0 |
0 |
“Аттрактор ЛТД” |
|||
|
Монтаж устаткування |
0 |
500 |
00 |
“Аттрактор ЛТД” |
|||
|
5. Реконструкція повітряно-компресорного цеху: |
250 |
200 |
300 |
750 |
01.09.03 30.04.04 |
||
|
Придбання компресорів зі збільшеною потужністю |
00 |
0 |
300 |
“Продмонтаж” |
|||
|
Будівництво прибудови до цеху |
250 |
0 |
0 |
“Продмонтаж” |
|||
|
Монтаж устаткування |
0 |
200 |
0 |
“Продмонтаж” |
|||
|
6. Реконструкція електрогосподарства: |
400 |
0 |
350 |
750 |
01.09.03 30.12.04 |
||
|
Придбання устаткування |
0 |
0 |
350 |
“Продмонтаж” |
|||
|
Будівництво трансформаторної станції |
400 |
00 |
00 |
0 |
“Продмонтаж” |
||
|
7. Реконструкція котельні: |
00 |
250 |
500 |
0 |
750 |
01.09.03 30.12.04 |
|
|
Придбання котла типу ДКВР-4 |
00 |
00 |
500 |
0 |
“Аттрактор ЛТД” |
||
|
Монтаж устаткування |
00 |
250 |
00 |
0 |
“Продмонтаж” |
||
|
8. Реконструкція солодового цеху: |
00 |
1600 |
400 |
0 |
2000 |
01.09.03 30.12.04 |
|
|
Придбання вентиляційної системи |
00 |
0 |
400 |
0 |
“Данбру” |
||
|
Заміна вентиляційної системи солодовирощувальних шухляд |
00 |
100 |
00 |
0 |
“Данбру” |
||
|
Відновлення камер кондиціонування |
00 |
400 |
00 |
0 |
“Данбру” |
||
|
Автоматизація технологічних режимів |
0 |
1100 |
00 |
0 |
“Данбру” |
||
|
РАЗОМ: |
1700 |
4325 |
17975 |
24000 |
Розподіл капітальних вкладень (одноразових витрат) по напрямках витрат засобів приведені в таблиці 15.
Таблиця 15
Розподіл капітальних вкладень по проекту.
|
|
Усього, млн. |
У тому числі по роках інвестиційного циклу |
||||
|
USD |
2003 |
2004 |
2005 |
2006 |
2007 |
|
|
1.Вартість технологічного устаткування |
17,975 |
17,975 |
- |
- |
- |
- |
|
2. Вартість строительномонтажных робіт |
6,025 |
2,025 |
4,0 |
- |
- |
- |
|
Разом: |
24,0 |
20,0 |
4,0 |
- |
- |
- |
3.3 Інституційний аналіз діяльності підприємства.
Таблиця 16
Економічна діагностика зовнішнього середовища підприємства у сфері оподаткування.
|
Найменування податків |
Роки |
Відхилення |
|||||
|
2003 |
2004 |
||||||
|
податкові платежі, тис. грн. |
% |
податкові платежі, тис. грн. |
% |
+/- |
% |
пунктів в структурі |
|
|
Податок на прибуток |
636 |
10,69 |
940 |
10,61 |
304 |
47,80 |
-0,08 |
|
Податок з власників транспортних засобів |
0,5 |
0,01 |
0,6 |
0,01 |
0,1 |
20,00 |
0,00 |
|
ПДВ |
4100 |
68,91 |
6085 |
68,65 |
1985 |
48,41 |
-0,26 |
|
Прибутковий податок |
510 |
8,57 |
789 |
8,90 |
279 |
54,71 |
0,33 |
|
Соцстрах |
703 |
11,82 |
1049 |
11,83 |
346 |
49,22 |
0,02 |
|
Разом |
5949,5 |
100,00 |
8863,6 |
100,00 |
2914,1 |
48,98 |
0,00 |
Як бачимо з даних таблиці максимальну питому вагу у загальній сумі сплачених підприємством податкових платежів займає ПДВ, на другому місці стоїть податок на прибуток. Найменшу питому вагу займає податок з власників транспортних засобів.
3.4 Соціальний аналіз діяльності підприємства.
Таблиця 17
Економічна діагностика витрат підприємства на соціально-культурно-побутові заходи.
|
Вид витрат |
Роки |
Відхилення |
|||||
|
2003 |
2004 |
||||||
|
Витрати, тис. грн. |
% |
Витрати, тис. грн. |
% |
+/- |
% |
пунктів в структурі |
|
|
Матеріальна допомога |
25 |
23,47 |
28 |
23,20 |
3 |
12,00 |
-0,28 |
|
Трудові і соціальні пільги працівникам |
15 |
14,08 |
19 |
15,74 |
4 |
26,67 |
1,66 |
|
Оплата додатково наданих відпусток |
3 |
2,82 |
3,5 |
2,90 |
0,5 |
16,67 |
0,08 |
|
Одноразова допомога працівникам, що виходять на пенсію |
1 |
0,94 |
0,7 |
0,58 |
-0,3 |
-30,00 |
-0,36 |
|
Оплата за навчання в навчальних закладах дітей працівників підприємства |
17 |
15,96 |
18 |
14,91 |
1 |
5,88 |
-1,05 |
|
Вартість путівок на лікування |
6 |
5,63 |
6,2 |
5,14 |
0,2 |
3,33 |
-0,50 |
|
Страхові внески на добровільне страхування працівників |
4 |
3,76 |
4 |
3,31 |
0 |
0,00 |
-0,44 |
|
Вартість спецодягу та інших засобів індивідуального захисту |
5 |
4,69 |
6 |
4,97 |
1 |
20,00 |
0,28 |
|
Витрати на перепідготовку кадрів |
11 |
10,33 |
14 |
11,60 |
3 |
27,27 |
1,27 |
|
Оренда приміщень для проведення культурно-масових заходів |
2 |
1,88 |
1 |
0,83 |
-1 |
-50,00 |
-1,05 |
|
Виплачені дивіденди |
17 |
15,96 |
19 |
15,74 |
2 |
11,76 |
-0,22 |
|
Надання шефської допомоги |
0,5 |
0,47 |
1,3 |
1,08 |
0,8 |
160,00 |
0,61 |
|
Разом |
106,5 |
100,00 |
120,7 |
100,00 |
14,2 |
13,33 |
0,00 |
Як видно за даних таблиці найбільшу питому вагу за аналізований період у загальній структурі затрат підприємства на соціально-культурно-побутові заходи займає матеріальна допомога, оплата за навчання в навчальних закладах дітей працівників підприємства та виплата дивідендів. Суттєвих змін у динаміці витрат підприємства за два останні роки не спостерігалось.
3.5 Фінансовий аналіз діяльності підприємства.
Таблиця 18
Оцінка фінансового стану підприємства.
|
№ п/п |
Показник |
2003 |
2004 |
Економічний зміст |
Напрямок позитивних змін |
|
1 |
Власні обігові кошти (робочий функціонуючий капітал) |
8801,00 |
10558,00 |
Наявність Р>к> означає не лише здатність платити поточні борги, а й можливість розширити вир-во |
Збільшення |
|
2 |
Коефіцієнт забезпечення оборотних активів власними коштами |
0,75 |
0,74 |
Абсолютна можливість перетворення активів у ліквідні кошти |
Збільшення; |
|
3 |
Маневреність робочого капіталу |
0,99 |
0,97 |
Частка запасів, тобто матеріальних, виробничих активів у власних обігових коштах |
Зменшення; збільшення запасів призводить до уповільнення оборотності обігових коштів, в умовах інфляції - до залучення дорогих кредитів, що зменшує платоспроможність підприємства |
|
4 |
Маневреність власних обігових коштів |
0,01 |
0,04 |
Частка абсолютно ліквідних активів у власних обігових коштах |
Збільшення |
|
5 |
Коефіцієнт забезпечення власними обіговими коштами запасів |
1,01 |
1,03 |
Наскільки запаси, що мають найменшу ліквідність у складі оборотних активів, забезпечені довгостроковими стабільними джерелами фінансування |
Збільшення |
|
6 |
Коефіцієнт покриття запасів |
1,25 |
1,32 |
Скільки на одиницю коштів, що вкладені в запаси, припадає у сукупності власних коштів, довго- та короткострокових зобов"язань |
Збільшення |
|
7 |
Коефіцієнт фінансової незалежності (автономії) |
0,92 |
0,91 |
Характеризує можливість підпр.виконувати зовнішні зобов"язання за рахунок власних активів |
Збільшення; |
|
8 |
Коефіцієнт фінансової залежності |
1,09 |
1,10 |
Скільки одиниць сукупних джерел припадає на одиницю власного капіталу |
Зменшення; |
|
9 |
Коефіцієнт маневреності власного капіталу |
0,25 |
0,29 |
Частка власних обігових коштів у власному капіталі |
Збільшення; |
|
10 |
Коефіцієнт концентрації позикового капіталу |
0,08 |
0,09 |
Скільки припадає позикового капіталу на одиницю сукупних джерел |
Зменшення; |
|
11 |
Коефіцієнт фінансової стабільності (коефіцієнт фінансування) |
11,66 |
9,90 |
Забезпеченість заборгованості власними коштами; перевищення власних коштів над позиковими свідчить про фінансову стійкість підприємства |
нормативне значення > 1 |
|
12 |
Показник фінансового ліверіджу |
0,00 |
0,00 |
Характеризує залежність підприємства від довгострокових зобов"язань. Збільшення свідчить про підвищення фінансового ризику |
Зменшення; |
|
13 |
Коефіцієнт фінансової стійкості |
0,92 |
0,91 |
Частка стабільних джерел фінансування у їх загальному обсязі |
Має = 0,85 - 0,90 |
Спираючись на дані, що наведені в таблиці 15 можна стверджувати, що підприємство загалом є фінансово і ринково стійким. Всі основні фінансові показники діяльності підприємства відповідають нормативним значенням.
4. Проблеми та шляхи удосконалення методологічних та функціональних аспектів проектного аналізу.
Менеджерам часто приходиться аналізувати і порівнювати взаємовиключні проекти, що вимагають різних обсягів продисконтованих грошових потоків (наприклад, первісних інвестицій). За таких умов можуть виникнути конфлікти при ранжируванні проектів за різними критеріями: NPV, ІRR і PІ. Основною причиною цих конфліктів є те, що NPV вимірює абсолютну величину перевищення продисконтованих грошових надходжень над продисконтованими грошовими відтоками (що сприяє великим інвестиціям), у той час як PІ вимірює відносну прибутковість продисконтованих грошових відтоків на одну грошову одиницю, а ІRR - норму прибутковості первісних інвестицій чи ставку дисконтування, що зрівнює продисконтовані грошові надходження і продисконтовані грошові відтоки (обоє останніх критерія віддають перевагу невеликим інвестиціям).
Розглянемо приклад, що ілюструє дану невідповідність. Нехай фірма, чиї витрати на капітал рівні 12%, розглядає два взаємовиключних проекти, X і Y, з наступними характеристиками (див табл. 19):
Таблиця 19
Вихідні дані проектів.
|
|
Проект X (великий) |
Проект Y (маленький) |
|
Первісні інвестиції, $ |
500.000 |
100.000 |
|
Щорічні грошові надходження |
150.000 |
40.000 |
|
Термін життя проекту, роки |
10 |
10 |
Порівняємо проекти X і Y по всім трьох критеріях:
Таблиця 20
Порівняння проектів.
|
|
Проект X |
Проект Y |
|
Продисконтовані грошові надходження, $ |
847.533 |
226.008 |
|
Грошові відтоки |
500.000 |
100.000 |
|
NPV |
347.533 |
126.008 |
|
Ранжирування по NPV |
1 |
2 |
|
PI |
1.695 |
2.26 |
|
Ранжирування по PІ |
2 |
1 |
|
IRR |
27.3% |
38.5% |
|
Ранжирування по ІRR |
2 |
1 |
Отже, критерій NPV віддає перевагу проекту Х, у той час як ІRR і PІ - проекту Y. Перетинання Фішера знаходиться між 24% і 25%, NPV що відповідає цій крапці дорівнює $45,454. Яким чином вирішується даний конфлікт? Рішення залежить від умов, у яких фірма приймає рішення про інвестиції. Якщо всі шість перерахованих вище передумов виконуються, то конфлікт повинний бути вирішений на користь проекту, кращого по NPV, тому що проект, максимизуючий NPV, також максимізує добробут акціонерів, тобто ринкову ціну простих акцій.
Однак більш ймовірна ситуація, коли які-небудь передумови не виконуються; у цьому випадку правило модифікується. Якщо існує обмеження капіталу, варто оцінювати доходи на граничне (додаткове) капіталовкладення у великий проект. Якщо граничне капіталовкладення у великий проект оцінюється позитивно всіма трьома критеріями, то великий проект може бути прийнятий за умови, що це додаткове капіталовкладення не може бути поміщене в будь-який інший проект чи проекти, що дають велику сукупну NPV.
Повернемося до нашого приклада:
Таблиця 21
Порівняння вихідних даних проектів.
|
|
Проект Х |
Проект Y |
Граничні потоки, X-Y |
|
Первісні інвестиції, $ |
500.000 |
100.000 |
400.000 |
|
Щорічні грошові потоки, $ |
150.000 |
40.000 |
110.000 |
|
NPV при 12% |
|
|
221.524 |
|
PI |
|
|
1.554 |
|
IRR, % |
|
24.4 |
Таким чином, згідно всім трьом критеріям додаткове капіталовкладення в $400,000 у проект Х виправдано створюваними додатковими доходами. Проект Х буде прийнятий, якщо в альтернативних проектах, куди можна вкласти додаткові $400,000, не буде створена сукупна NPV, більша ніж $221,524. Цю ж думку можна виразити інакше: якщо фінансові ресурси фірми обмежені $500.000, то проект Х повинний бути прийнятий, крім як у випадку, коли яка-небудь інша можлива комбінація проектів створить NPV, більше ніж $ 347,533 (NPV проекту Х).
По оцінці взаємовиключних проектів, що розрізняються послідовністю в часі грошових надходжень, також можуть виникнути конфлікти в ранжируванні проектів між критеріями NPV (чи PІ) і ІRR через різні передумови, що неявно припускають різну ставку, по якій реінвестуються проміжні грошові надходження. (Конфлікт між NPV і PІ виникнути в даному випадку не може, тому що обидва критерії використовують ту саму передумову про реінвестиції.) Розглянемо предмет такого конфлікту і способи його вирішення.
Нехай фірма з витратами на капітал, рівними 1%, порівнює два взаємовиключних проекти - А и В - з наступними характеристиками:
|
|
Проект А |
Проект В |
|
Інвестиції, $ |
70.000 |
70.000 |
Грошові потоки:
|
Період 1, $ |
10.000 |
50.000 |
|
Період 2, $ |
20.000 |
40.000 |
|
Період 3, $ |
30.000 |
20.000 |
|
Період 4, $ |
45.000 |
10.000 |
|
Період 5, $ |
60.000 |
10.000 |
|
Разом грошові потоки |
165.000 |
130.000 |
Тепер порівняємо проекти А и В за всіма критеріями:
|
|
Проект А |
Проект В |
|
Продисконтовані грошові надходження |
$116,150 |
$106,578 |
|
NPV |
$46,150 |
$36,578 |
|
PI |
$1,659 |
$1,523 |
|
IRR |
$27,2% |
$37,55% |
Отже, проект В має значно більш високу ІRR, але меншу NPV, чим проект А. Таким чином, критерій ІRR віддає перевагу проектам, що створюють великі грошові надходження в перших роках функціонування (тобто такі грошові надходження значно збільшують внутрішню норму прибутковості в силу припущення про те, що вони можуть бути реінвестовані по цій високій ставці). Навпроти, критерій NPV припускає, що ставка реінвестицій не так велика (дорівнює витратам фірми на капітал) і, отже, не розглядає значні грошові надходження наприкінці функціонування проекту (а не на початку) як недолік. Тому, якщо реально грошові надходження можуть бути реінвестовані по ставці, що перевищує витрати на капітал, то критерій NPV недооцінює прибутковість інвестицій, а якщо ставка реінвестицій менше внутрішньої норми прибутковості, то критерій ІRR переоцінює реальну норму прибутковості проекту.
У нашому прикладі проект А створює більші сукупні грошові надходження ($165,000) за весь термін функціонування, чим проект В ($130,000), і у випадку невисокої ставки реінвестицій (такої як витрати на капітал) ця різниця більш ніж компенсує розходження в послідовності грошових надходжень між проектами. Тому, критерій NPV віддає перевагу проекту А при всіх ставках дисконтування, менше 16,1% (крапка перетинання Фішера).
Такого роду конфлікт між NPV і ІRR може бути вирішений шляхом використання в розрахунках ставки реінвестицій, що задається екзогенно. Для цього розраховується кінцева вартість інвестицій за умови, що проміжні грошові надходження можуть бути реінвестовані по визначеній ставці. Потім кінцева вартість може бути приведена до поточної, використовуючи звичайний метод NPV. Аналогічно, реальна внутрішня норма прибутковості може бути знайдена шляхом визначення ставки дисконтування, що зрівнює кінцеву вартість і продисконтовані грошові відтоки.
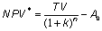
Кінцева вартість (TV) визначається наступним чином:

Де
St - грошові надходження від проекту наприкінці періоду r,
і - ставка реінвестицій;
n - термін життя проекту.
Отже, модифікована NPV(NPV*) буде розраховуватися так:

Де
k - витрати на капітал;
A>0 >- продисконтовані грошові відтоки.
Аналогічно буде розраховуватися модифікована ІRR(ІRR*):

За умови застосування модифікованих NPV* і ІRR конфлікти не будуть виникати. Дійсно, повернемося до нашого приклада і порівняємо проекти, використовуючи ставку реінвестування (а) і14% і (б) І=20%.

TVB=$191.101 (аналогічно)




Очевидно, що NPV*A > NPV*B і ІRR*A > ІRR*B, так що проект А очевидно більш кращий, чим проект В, якщо ставка реінвестицій дорівнює 14%.
(б) Проробивши аналогічні операції зі ставкою реінвестицій, рівної 20%, можна переконатися, що NPV*A < NPV*B і ІRR*A < ІRR*B, так що проект В очевидно більш кращий, чим проект А.
Таким чином, можна зробити наступний висновок: при даних графіках NPV із двох проектів більш кращим буде той, у якого ставка дисконтування, рівна ставці реінвестування проміжних грошових надходжень, відповідає більше значення NPV. Тому крапка перетинання Фішера, у якій переваги проектів міняються, відіграє надзвичайно важливу роль в аналізі чутливості по ставках реінвестування. У нашому прикладі проекту А віддається перевага доти, доки ставка реінвестування не перевищує 16,1%, а після переваги міняються на протилежні.
У такий спосіб вирішуються деякі можливі конфлікти між ранжировками взаємовиключних проектів за різними критеріями ефективності. Однак у ході оцінки ефективності інвестицій необхідно пам'ятати про можливість їхнього виникнення і не покладатися на упорядкування проектів лише по одному критерії, тим більше, що кожний із критеріїв підкреслює який-небудь особливий аспект фінансового стану проекту й у сукупності вони дають найбільш повну картину заможності інвестицій.
Методи аналізу вигод і витрат, розглянуті вище, застосовні до більшості проектів, у яких можна оцінити вигоди і витрати. Однак, існує ряд проектів, що не дозволяють вимірити вигоди. В останніх випадках аналіз ефективності витрат - єдиний спосіб оцінити варіанти проекту.
Аналіз ефективності витрат застосовується для вибору з ряду варіантів найменш дорогого проекту, що забезпечує виконання поставленої задачі. До таких проектів відносяться проекти в області охорони здоров'я, харчування, громадського управління, житлового будівництва, водопостачання і реалізовані проекти будуть мати місце протягом багатьох наступних літ. Для визначення цінності проекту недостатньо установити витрати на його здійснення і вишукати джерело фінансування. Перед ухваленням рішення про здійснення проекту необхідно оцінити всі аспекти проекту протягом усього періоду його існування. Оцінка витрат на проекти і позитивні результати проекту протягом усього періоду їхньої діяльності, що часто іменується калькуляцією витрат і доходів за термін служби, складає основу проектного аналізу. Оцінка всіх аспектів проекту за термін служби охороняє від проектів, що незаслужено заохочуються, що дають швидку віддачу, але характеризуються негативними довгостроковими результатами, а також допомагає уникнути упередження щодо проектів, що повільно набирають силу, але мають істотні довгострокові вигоди.
У принципі, створення моделі оцінки позитивних результатів досить нескладно. Потік витрат на проект дорівнює сумі продуктів за кожний рік існування проекту, потрібних для проекту ресурсів, що закуповуються чи маються в наявності для випуску продукції, і витрат на їхнє придбання. Витрати на експлуатацію, технічне обслуговування і поточний ремонт відбивають вартість матеріалів, робочої сили і послуг, необхідних для випуску продукції проекту і підтримка основних фондів проекту в гарному робочому стані. Вигоди оцінюються як приріст продукції проекту, помножений на ціну, що споживач чи користувачі платять чи погодяться платити за продукцію проекту. Наступні спрощені формули відносяться до одного виду ресурсів і одного виду продукції, що випускається.
Вигоди = Приріст * Ціна за будь-який рік обсягу продукції
Витрати = Приріст * Вартість за будь-який рік ресурсів
Усі стосовні до проекту витрати і вигоди варто брати до уваги при оцінці проекту, але не можна їх реєструвати двічі, тобто кількісно чи якісно. Наприклад, вигоди іноді заявляються в зв'язку з приростом персоналу проекту чи збільшенням доходів у твердій іноземній валюті на додаток до підрахованого економічного доходу проекту. У припущенні, що приплив робочої сили в проект і нагромадження іноземної валюти проектом уже були оцінені в прихованих цінах, що відбивають їхню вартість для економіки, будь-яке збільшення персоналу проекту чи ефекти обміну іноземної валюти уже враховані і їх не слід додавати чи показувати як окремі вигоди.
Висновки.
Спираючись на матеріал отриманий в процесі дослідження можна зробити наступні висновки:
концепція проектного аналізу являє собою набір методичних принципів, які визначають послідовність збору та способів аналізу даних, методів вивчення інвестиційних пріоритетів, способів урахування широкого кола аспектів до прийняття рішень про реалізацію планів. Вона концентрується на з’ясуванні витрат на здійснення проекту та вивченні результатів з різнобічних позицій: інтересів акціонерів (або інших власників); економіки в цілому; організацій, які беруть участь у здійсненні господарської діяльності підприємства, природного та соціального зовнішнього середовищ, в яких здійснюватиметься підприємницька діяльність;
метою інвестиційного проекту розвитку ВАТ „Бердичівський пивоварний завод” є досягнення стійкого обсягу виробництва і реалізації пива на рівні 8 317 тис. дек. у рік і, у міру освоєння капіталовкладень, збільшення обсягу виробництва і реалізації пива до 12 317 тис. дек. у рік;
проведений фінансово-економічний аналіз проекту показав, що проект по розвитку виробництва на ВАТ „Бердичівський пивоварний завод” є економічно ефективним, забезпечує зворотність вкладених інвестицій за умови залучення інвестиційного кредиту величиною 24 млн. USD терміном на 5 років під 17,5% річних із щорічною виплатою відсотків по кредиту і виплаті основної суми боргу наприкінці терміну;
отримане в результаті реалізації інвестиційного проекту збільшення обсягу випуску пива на приведе до відповідного росту податкових надходжень, відрахувань у позабюджетні фонди.
Список використаної літератури.
Бланк И.А. Инвестиционный менеджмент. – Киев, „ИТЕМ ЛТД”, 1995.
Брігхем Є.Ф. Основи фінансового менеджменту. – Київ, „Молодь”, 1997.
Гитман Л.Дж., Джонк М.Д. Основы инвестирования. – М.: Дело, 1999.
Идрисов А.Б, Картышев С.В., Постников А.В. Стратегическое планирование и аналіз эффективности инвестиций. – Москва, „Филинъ”, 1997.
Пересада А.А. Основы инвестиционной деятельности. – Киев, „Либра”, 1996.
Проектний аналіз. – Київ: ТОВ „Видавництво Лібра”, 1999.
Матеріали підприємства щодо впровадження інвестиційного проекту.
Додаток.
Баланс ВАТ „Бердичівський пивоварний завод” на 01.01.2004
|
Актив |
код рядка |
на початок звітного періоду |
на кінець звітного періоду |
|
1 |
2 |
3 |
4 |
|
1. Необоротні активи |
|
|
|
|
Нематеріальні активи : |
|
|
|
|
залишкова вартість (011-012) |
010 |
22,00 |
33,00 |
|
первісна вартість * |
011 |
35,00 |
49,00 |
|
знос * |
012 |
13,00 |
16,00 |
|
Незавершене будівництво |
020 |
79,00 |
58,00 |
|
Основні засоби : |
|
|
|
|
залишкова вартість (031-032) |
030 |
26047,00 |
25333,00 |
|
первісна вартість * |
031 |
45890,00 |
46812,00 |
|
знос * |
032 |
19843,00 |
21479,00 |
|
Довгострокові фінансові інвестиції: |
|
|
|
|
які обліковуються за методом участі в капіталі інших підприємств |
040 |
|
|
|
інші фінансові інвестиції |
045 |
161,00 |
161,00 |
|
Довгострокова дебіторська заборгованість |
050 |
|
|
|
Відстрочені подактові активи |
060 |
|
|
|
Інші необоротні активи |
070 |
|
|
|
Усього за розділом 1 |
080 |
26309,00 |
25585,00 |
|
|
|
|
|
|
2.Оборотні активи |
|
|
|
|
|
|
|
|
|
Запаси : |
|
|
|
|
виробничі запаси |
100 |
4587,00 |
5996,00 |
|
тварини на вирощуванні та відгодівлі |
110 |
|
|
|
незавершене виробництво |
120 |
405,00 |
599,00 |
|
готова продукція |
130 |
3150,00 |
2849,00 |
|
товари |
140 |
597,00 |
845,00 |
|
Векселі одержані |
150 |
|
4,00 |
|
Дебіторська заборгованість за товари, роботи, послуги: |
|
|
|
|
чиста реалізаційна вартість |
160 |
1615,00 |
1878,00 |
|
первісна вартість * |
161 |
1615,00 |
1878,00 |
|
резерв сумнівних боргів |
162 |
|
|
|
Дебіторська заборгованість за розрахунками : |
|
|
|
|
з бюджетом |
170 |
|
|
|
за виданими авансами |
180 |
|
677,00 |
|
з нарахованих доходів |
190 |
424,00 |
698,00 |
|
із внутрішніх розрахунків |
200 |
|
|
|
Інша поточна дебіторська заборгованість |
210 |
904,00 |
279,00 |
|
Поточні фінансові інвестиції |
220 |
|
|
|
Грошові кошти та їх еквіваленти: |
|
|
|
|
в національній валюті |
230 |
110,00 |
210,00 |
|
в іноземній валюті |
240 |
3,00 |
162,00 |
|
Інші оборотні активи |
250 |
|
|
|
Усього за розділом 2 |
260 |
11795,00 |
14197,00 |
|
|
|
|
|
|
3.Витрати майбутніх періодів |
270 |
16,00 |
12,00 |
|
|
|
|
|
|
БАЛАНС |
280 |
38120,00 |
39794,00 |
|
Пасив |
код рядка |
на початок звітного періоду |
на кінець звітного періоду |
|
1 |
2 |
3 |
4 |
|
1.Власний капітал |
|
|
|
|
Статутний капітал |
300 |
2284,00 |
2284,00 |
|
Пайовий капітал |
310 |
|
|
|
Додатковий капітал |
320 |
|
|
|
Інший додатковий капітал |
330 |
31533,00 |
32583,00 |
|
Резервний капітал |
340 |
401,00 |
461,00 |
|
Нерозподілений прибуток (непокритий збиток) |
350 |
892,00 |
815,00 |
|
Неоплачений капітал |
360 |
|
|
|
Вилучений капітал |
370 |
|
|
|
Усього за розділом 1 |
380 |
35110,00 |
36143,00 |
|
|
|
|
|
|
2.Забезпечення наступних витрат і платежів |
|
|
|
|
Забезпечення виплат персоналу |
400 |
|
|
|
Інші забезпечення |
410 |
|
|
|
Страхові резерви |
415 |
|
|
|
Частка перестраховиків у страхових резервах |
416 |
|
|
|
Цільове фінансування |
420 |
|
|
|
Усього за розділом 2 |
430 |
0,00 |
0,00 |
|
|
|
|
|
|
3.Довгострокові зобов"язання |
|
|
|
|
Довгострокові кредити банків |
440 |
|
|
|
Інші довгострокові фінансові зобов"язання |
450 |
|
|
|
Відстрочені податкові зобов"язання |
460 |
|
|
|
Інші довгострокові зобов"язання |
470 |
|
|
|
Усього за розділом 3 |
480 |
0,00 |
0,00 |
|
|
|
|
|
|
4.Поточні зобов"язання |
|
|
|
|
Короткострокові кредити банків |
500 |
361,00 |
408,00 |
|
Поточна заборгованість за довгостроковими зобов"язаннями |
510 |
|
|
|
Векселі видані |
520 |
|
|
|
Кредиторська заборгованість за товари, роботи, послуги |
530 |
1633,00 |
2509,00 |
|
Поточні зобов"язання за розрахунками: |
|
|
|
|
з одержаних авансів |
540 |
121,00 |
143,00 |
|
з бюджетом |
550 |
381,00 |
123,00 |
|
з позабюджетних платежів |
560 |
60,00 |
38,00 |
|
зі страхування |
570 |
53,00 |
103,00 |
|
з оплати праці |
580 |
208,00 |
277,00 |
|
з учасниками |
590 |
|
|
|
із внутрішніх розрахунків |
600 |
|
|
|
Інші поточні зобов"язання |
610 |
193,00 |
50,00 |
|
Усього за розділом 4 |
620 |
3010,00 |
3651,00 |
|
|
|
|
|
|
4.Доходи майбутніх періодів |
630 |
|
|
|
|
|
|
|
|
БАЛАНС |
640 |
38120,00 |
39794,00 |
|
Стаття |
Код рядка |
За звітний період |
За попередній період |
|
1 |
2 |
3 |
4 |
|
1.Фінансові результати |
|
|
|
|
Дохід (виручка) від реалізації продукції (товарів, робіт, послуг) |
010 |
41506 |
28130 |
|
ПДВ |
015 |
6085 |
4100 |
|
Акцизний збір |
020 |
|
|
|
|
025 |
|
|
|
Інші вирахування з доходу |
030 |
|
|
|
Чистий
дохід (виручка) від реалізації продукції
(товарів, робіт,послуг) |
035 |
35421 |
24030 |
|
Собівартість реалізованої продукції (товарів, робіт, послуг) |
040 |
28904 |
19590 |
|
Валовий
: |
050 |
6517 |
4440 |
|
збиток (035-040) |
055 |
|
|
|
Інші операційні доходи |
060 |
482 |
224 |
|
Адміністративні витрати |
070 |
1361 |
984 |
|
Витрати на збут |
080 |
1902 |
1426 |
|
Інші операційні витрати |
090 |
649 |
448 |
|
Фінансові
результати від операційної
діяльності: |
100 |
3087 |
1806 |
|
збиток (050,055+060)-070-080-090 |
105 |
|
|
|
Дохід від участі в капіталі |
110 |
|
|
|
Інші фінансові доходи |
120 |
|
|
|
Інші доходи |
130 |
10 |
1 |
|
Фінансові витрати |
140 |
89 |
87 |
|
Втрати від участі в капіталі |
150 |
|
|
|
Інші витрати |
160 |
1 |
|
|
Фінансові
результати від звичайної діяльності
до оподаткування: |
170 |
3007 |
1720 |
|
збиток 100,105+(110+120+130)-(140+150+160) |
175 |
|
|
|
Податок на прибуток від звичайної діяльності |
180 |
940 |
636 |
|
Фінансові
результати від звичайної
діяльності: |
190 |
2067 |
1084 |
|
збиток |
195 |
|
|
|
Надзвичайні: |
200 |
|
|
|
витрати |
205 |
|
|
|
Податки з надзвичайного прибутку |
210 |
|
|
|
Чистий: |
220 |
2067 |
1084 |
|
збиток 170,175-180+(200+205+210) |
225 |
|
|
2.Елементи операційних витрат
|
Стаття |
Код рядка |
За звітний період |
За попередній період |
|
1 |
2 |
3 |
4 |
|
Матеріальні затрати |
230 |
18921 |
12032 |
|
Витрати на оплату праці |
240 |
2945 |
1994 |
|
Відрахування на соціальні заходи |
250 |
1049 |
703 |
|
Амортизація |
260 |
1869 |
1448 |
|
Інші операційні витрати |
270 |
1145 |
861 |
|
Разом |
280 |
25929 |
17038 |