Проект по запуску производства прибора "Светлон"
Министерство образования и науки Российской Федерации
Оренбургский государственный институт менеджмента
Факультет менеджмента
Кафедра производственного менеджмента
КУРСОВОЙ ПРОЕКТ
Запуск производства прибора для резервного
освещения помещений «Светлон»
Илья Уткин, МО — 54
Николай Шевченко, МО — 54
Оренбург 2008
Содержание
Резюме 3
Описание проекта 3
Структура разбиения работ по реализации проекта 4
Календарный план-график реализации проекта 6
Описание продукции 7
Маркетинговый план 9
Производственный план 13
Организационный план 16
Финансовый план 17
Оценка рисков 21
Резюме
|
Наименование проекта |
Прибор «Светлон» |
|
Наименование инициатора проекта |
ПО «Стрела» |
|
Юридический адрес инициатора проекта |
г. Оренбург, ул. Шевченко, 71 |
|
Ф.И.О. руководителя проекта |
Илья Александрович Уткин, Николай Васильевич Шевченко |
|
Автор проекта |
Илья Александрович Уткин, Николай Васильевич Шевченко |
|
Цель проекта |
Начать выпуск прибора «Светлон» 6 февраля 2009 г. на Машиностроительном заводе ПО «Стрела» |
|
Начало реализации проекта |
30.11.2008 |
|
Расчетный период (длительность) проекта |
60 месяцев (30.11.2008—01.10.2012) |
|
Общее финансирование проекта |
466 857,8 руб. |
|
Объем вкладываемых собственных средств инициатора проекта |
466 857,8 руб. |
|
Срок окупаемости |
0,5 года |
|
Ожидаемая чистая прибыль в 2009г. |
659 513,04 руб. |
|
Точка безубыточности |
2 310 изделий в месяц |
Описание проекта
В современном мире жизнь человека очень сильно зависит от электричества. Освещение — одна из важнейших функций электричества. Улицы и дома освещены электрическими лампами, люди практически не пользуются свечами, керосиновыми лампами и другими устаревшими способами освещения.
В связи с этим, сбой в электросети, временное отключение электроэнергии погружают людей во тьму. Каждый бывал в ситуации, когда свет отключается в самый неподходящий момент, и приходится на ощупь идти через всю квартиру за фонариком или свечами.
Прибор «Светлон», производство которого описано в данном проекте, позволяет освещать помещения при отключении электроэнергии. Он включается автоматически, как только исчезает ток в электросети.
Заказчиком проекта является ПО «Стрела». Прибор «Светлон» будет новым товаром, выпускаемым ПО «Стрела».
Проект является основным документом, по которому осуществляется организация и реализация поставленной цели.
Цель данного проекта — начать выпуск прибора «Светлон» 1 февраля 2009 г. на Машиностроительном заводе ПО «Стрела».
Для достижения поставленной цели необходимо решить следующие задачи:
Разработать схему прибора;
Составить список необходимых деталей;
Организовать производство;
Провести маркетинговые мероприятия.
Данный проект является коммерческим и предполагает получение прибыли.
Команда по реализации проекта:
Менеджер проекта;
Маркетолог;
HR-специалист;
Технолог.
Структура разбиения работ по реализации проекта
Подготовка приказа о реализации проекта;
Патентование прибора:
Подготовка заявления в патентное бюро;
Подача заявления (7 250 руб.);
Получение патента;
Закупка инструмента и оборудования:
Покупка паяльников (3 шт. ∙ 350 руб.);
Покупка плоскогубцев (3 шт. ∙ 95 руб.);
Покупка отверток (3 шт. ∙ 85 руб.);
Покупка кусачек (3 шт. ∙ 80 руб.);
Покупка тестеров (3 шт. ∙ 280 руб.);
Заключение договоров на поставку сырья и деталей:
Заключение договора на поставку выпрямительных диодов, аккумуляторов, сопротивления, ламп, проводов, клемм с ООО «Самара-ТехЭлектро»;
Заключение договора на поставку реле напряжения с ЗАО «Фирма “Новый день”»;
Заключение договора на поставку гранулированного полиэтилена с ООО «Сервис-Пласт»;
Наём обслуживающего и производственного персонала:
Размещение вакансий (менеджер, мерчендайзер, рабочие) в газете объявлений;
Проведение собеседования и отбор кандидатов;
Заключение трудовых договоров;
Пуско-наладочные работы:
Организация рабочих мест;
Обучение персонала;
Наладка оборудования и инструментов;
Проведение рекламной компании:
Выбор рекламного агентства;
Съемка рекламного ролика;
Размещение рекламы на телевидении;
Проведение демонстраций;
Производство рекламной продукции для точек продаж;
Запуск производства прибора «Светлон»;
Завершение проекта.
Календарный план-график реализации проекта
-
Перечень мероприятий
Период времени
Ответственный
Подготовка приказа о реализации проекта
30.11 — 02.12
Инициатор
Патентование прибора
03.12 — 12.01
Менеджер
Подготовка заявления в патентное бюро
03.12 — 05.12
Менеджер
Подача заявления
06.12 — 12.12
Менеджер
Получение патента
13.12 — 12.01
Менеджер
Закупка инструмента и оборудования
04.12 — 08.12
Менеджер
Покупка паяльников
04.12 — 07.12
Менеджер
Покупка плоскогубцев
04.12 — 07.12
Менеджер
Покупка отверток
04.12 — 07.12
Менеджер
Покупка кусачек
05.12 — 07.12
Менеджер
Покупка тестеров
05.12 — 08.12
Менеджер
Заключение договоров на поставку
сырья и деталей
09.12 — 08.01
Менеджер
Заключение договора с ООО «Самара-ТехЭлектро»
09.12 — 20.12
Менеджер
Заключение договора с
ЗАО «Фирма “Новый день”»
21.12 — 28.12
Менеджер
Заключение договора с
ООО «Сервис-Пласт»
29.12 — 08.01
Менеджер
Наём персонала
09.01 — 28.01
HR-специалист
Размещение вакансий
09.01 — 15.01
HR-специалист
Проведение собеседования и отбор кандидатов
16.01 — 24.01
HR-специалист
Заключение трудовых договоров
25.01 —28.01
HR-специалист
Пуско-наладочные работы
29.01 — 05.02
Менеджер
Организация рабочих мест
29.01 — 01.02
Технолог
Обучение персонала
30.01 — 02.02
HR-специалист
Наладка оборудования и инструментов
01.02 — 05.02
Технолог
Проведение рекламной компании
17.01 — 20.02
Маркетолог
Выбор рекламного агентства
17.01 — 19.01
Маркетолог
Съемка рекламного ролика
20.01 — 24.01
Маркетолог
Производство рекламной продукции для точек продаж
20.01 — 24.01
Маркетолог
Размещение рекламы на телевидении
25.01 — 29.01
Маркетолог
Проведение демонстраций
07.02 — 20.02
Маркетолог
Запуск производства прибора «Светлон»
06.02
Менеджер
Описание продукции
Светлон — прибор для обеспечения освещения помещения в случае неожиданного отключения электроэнергии.
Прибор подключается к электросети через стандартную розетку. В рабочем режиме прибор анализирует наличие напряжения в электросети и при отключении электроэнергии включает лампу освещения, работающую от аккумуляторных элементов питания. При включении электроэнергии лампа выключается автоматически.
В случае разрядки аккумуляторов прибор можно перевести в режим зарядки с помощью переключателя режима зарядки. По окончании зарядки прибор необходимо перевести в рабочий режим. Заряда аккумуляторов хватает на пять часов беспрерывной работы.
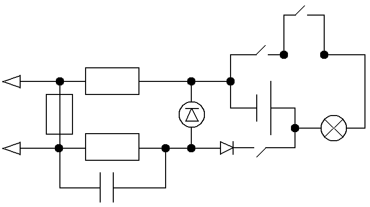
Устройство прибора.
Электрическая схема прибора изображена на рисунке 1.
Сопротив-ление R1
Сопротив-ление R2
Катушка реле
напряжения
Вилка
Светодиод
Конденсатор
Диод
Выключатель зарядки
Лампа
Выключатель
Ключ реле
Аккумулятор
Рисунок 1. Электрическая схема прибора «Светлон».
Принцип действия
В рабочем режиме при наличии тока в электросети, катушка реле напряжения находится под напряжением; вокруг нее образуется магнитное поле, ключ реле под действием этого поля поднимается и размыкает цепь на участке между аккумулятором и лампой. Лампа не горит. Как только ток в электросети прекращается, магнитное поле вокруг катушки исчезает, ключ реле опускается и замыкает цепь на участке между аккумулятором и лампой. Лампа горит.
В режиме зарядки цепь на участке между аккумулятором и лампой разомкнута. Идет зарядка аккумулятора. Светодиод позволяет визуально определить наличие тока в электросети.
Внешний вид

Маркетинговый план
Направления маркетинга:
Анализ потребительского рынка и удовлетворение потребностей клиентов;
Выбор поставщиков и определение политики взаимодействия с поставщиками;
Анализ конкурентной среды и разработка стратегии повышения конкурентоспособности;
Определение сбытовой политики, стимулирование сбыта.
Потребители.
Потребителями на начальном этапе будут являться жители Оренбурга и Оренбургской области, затем продажа прибора планируется по всей территории Российской федерации.
Потребителями данного товара являются индивидуальные потребители, семьи или домохозяйства.
Причины приобретения прибора «Светлон»:
Необходимость резервного освещения гостиной, кухни и т.д.;
Необходимость резервного освещения в детской комнате.
В связи с этим необходимо разработать несколько дизайнов прибора — использовать несколько цветовых гамм для обеспечения возможности выбора, а также разработать вариант для установки в детских комнатах.
Характер спроса отличается низкой степенью вовлечения потребителей, некоторой пассивностью. В редких случаях потребитель примет решение о покупке заблаговременно, так как потребность в данном приборе скрытая до тех пор, пока потребитель не окажется в ситуации острой необходимости резервного освещения. Следовательно, необходимо информировать потребителей о ситуациях, в которых потребность в данном товаре становится явной, а также использовать напоминающую рекламу.
Поставщики
Детали, необходимые для производства прибора:
Выпрямительный диод VD
Поставщики:
ООО «Самара-ТехЭлектро» (г. Самара), цена — 2 руб.;
ЗАО «СнабЭлектро» (г. Уфа), цена — 2,3 руб.;
Аккумуляторы GB-Д-0,26 ДУ1
Поставщики:
ЗАО «Альбатрос» (г. Нижний Новгород), цена — 25,5 руб.;
ООО «Самара-ТехЭлектро» (г. Самара), цена — 20 руб.;
ЗАО «СнабЭлектро» (г. Уфа), цена — 23,3 руб.;
Сопротивление МЛТ-1; МЛТ-0,5
Поставщики:
ООО «Самара-ТехЭлектро» (г. Самара), цена — 1,5 руб.;
ЗАО «СнабЭлектро» (г. Уфа), цена — 3,1 руб.;
Реле напряжения ПЭ-20 220 В
Поставщик: ЗАО «Фирма “Новый день”» (г. Казань), цена — 30 руб.;
Лампа 2,5 В, 0,15 А
Поставщики:
ООО «Самара-ТехЭлектро» (г. Самара), цена — 6 руб.;
ЗАО «СнабЭлектро» (г. Уфа), цена — 8,9 руб.;
Провода
Поставщики:
ООО «Самара-ТехЭлектро» (г. Самара), цена — 20 руб./м;
ЗАО «СнабЭлектро» (г. Уфа), цена — 30 руб./м;
Клеммы
Поставщики:
ООО «Самара-ТехЭлектро» (г. Самара), цена — 0,45 руб.;
ЗАО «СнабЭлектро» (г. Уфа) цена — 0,5 руб.;
Гранулированный полиэтилен
Поставщики:
ООО «Сервис-Пласт» (г. Самара), цена — 123 руб./кг.;
ООО «ОСТ-3» (г. Москва), цена — 157 руб./кг.
Для снижения риска, связанного с нарушениями поставок необходимо диверсифицировать поставщиков. Кроме того разнообразие предприятий, предлагающих данные детали и высокая конкуренция между ними позволяет выбрать поставщика, предлагающего детали высокого качества, но по низкой цене. Наиболее предпочтительными поставщиками являются: ООО «Самара-ТехЭлектро», ЗАО «Фирма “Новый день”», ООО «Сервис-Пласт».
Конкуренция
Прибор «Светлон» на данный момент не имеет аналогов в своем роде. Однако в связи с простотой конструкции необходимо предполагать появление в скорейшем времени приборов аналогичной конструкции.
Для повышения конкурентоспособности необходимо создать имидж надежного прибора, сделать марку «Светлон» узнаваемой посредством рекламы. Позиционирование товара должно быть четким: «Светлон» — прибор для обеспечения безопасности и комфорта.
SWOT-анализ
-
Возможности:
Расширение производства
Расширение функциональности прибора
Использование производственных мощностей для производства других изделий
Угрозы:
Вероятность появления конкурентов
Непредсказуемый спрос
Сильные стороны:
Низкая себестоимость
Простота конструкции
Не требует высококвалифицированного персонала
Отсутствие аналогов
Стандартные комплектующие
Четкое позиционирование товара
Развитие:
Выход на новые рынки
Освоение новых видов продукции
Минимизация риска:
Создание положительной репутации
Изучение и стимулирование спроса
Слабые стороны:
Скрытый характер потребностей
Не возможность защиты от появления аналогов
Компенсация:
Увеличение спроса путем повышения функциональности прибора
Опасности:
Низкий объем продаж
Невозможность реализации продукции
Организация сбыта товара
Прибор «Светлон» должен продаваться в магазинах электротехники, магазинах, специализирующихся на освещении (люстры, лампы), бытовых магазинах (бытовая химия, товары для дома).
Стимулирование сбыта.
Рекламу товара можно разделить на два уровня:
Информирующая реклама (реклама по ТВ, обрисовывающая жизненные ситуации, в которых может пригодиться «Светлон»);
Напоминающая реклама (реклама в местах продаж, привлекающая внимание к товару на полке и напоминающая о необходимости прибора).
Кроме рекламы необходимо проводить демонстрации прибора в крупных магазинах.
Производственный план
Детали и сырье, необходимые для производства:
Корпус;
Диод (VD);
Сопротивление (R1- МЛТ1; R2- МЛТ0,5);
Конденсатор (C=474, DK 250 В);
Аккумуляторы 3 шт. (GB-Д-0,26 ДУ1);
Реле напряжения (ПЭ-20 220 В);
Лампа (2,5 В, 0,15 А);
Патрон для лампы;
Светодиод;
Провода;
Вилка (XP);
Шурупы (2 шт.);
Клеммы для аккумулятора;
Переключатели (2 шт.);
Гранулированный полиэтилен.
Инструменты и оборудование:
Паяльник 350 руб.;
Плоскогубцы 95 руб.;
Отвертка 85 руб.;
Кусачки 80 руб.;
Тестер 280 руб.;
Станок «КуАСИ 170/55» для производства пластикового корпуса.
Рабочие операции
Изготовление пластикового корпуса производится на станке
«КуАСИ 170/55». Под действием высокой температуры гранулированный полиэтилен плавится и под давлением подается в формы. После застывания изделий их выдерживают в течении 12 — 24 часов при нормальных условиях. Производительность станка — 50 изделий в час.
Сборка производится двумя параллельными потоками:



|
№ |
Операция |
Длительность, секунд |
Результат (деталь) |
|
1.1 |
Припайка первого контакта катушки реле к первому штырю вилки |
18 |
Д11 |
|
1.2 |
Припайка одного контакта сопротивления R1 к первому штырю вилки |
16 |
Д12 |
|
1.3 |
Припайка первого контакта светодиода ко второму контакту сопротивления R1 |
16 |
Д13 |
|
1.4 |
Припайка минусовой клеммы аккумулятора ко второму контакту сопротивления R1 |
17 |
Д14 |
|
1.5 |
Припайка первого контакта основного выключателя ко второму контакту сопротивления R1 |
16 |
Д15 |
|
1.6 |
Припайка первого контакта ключа реле ко второму контакту основного выключателя |
16 |
Д16 |
|
2.1 |
Припайка первого контакта сопротивления R2 ко второму штырю вилки |
17 |
Д21 |
|
2.2 |
Припайка первого контакта конденсатора ко второму штырю вилки |
15 |
Д22 |
|
2.3 |
Припайка второго контакта конденсатора ко второму контакту сопротивления R2 |
12 |
Д23 |
|
2.4 |
Припайка первого контакта диода ко второму контакту сопротивления R2 |
12 |
Д24 |
|
2.5 |
Припайка первого контакта выключателя зарядки ко второму контакту диода |
13 |
Д25 |
|
2.6 |
Припайка плюсовой клеммы аккумулятора ко второму контакту выключателя зарядки |
13 |
Д26 |
|
2.7 |
Припайка первого контакта патрона для лампы ко второму контакту выключателя зарядки |
12 |
Д17 |
|
3.1 |
Припайка второго контакта катушки реле ко второму штырю вилки |
30 |
И31 |
|
3.2 |
Припайка второго контакта светодиода ко второму контакту сопротивления R2 |
28 |
И32 |
|
3.3 |
Припайка второго контакта патрона для лампы ко второму контакту выключателя зарядки |
28 |
И33 |
|
3.4 |
Присоединение лампы к патрону |
8 |
И34 |
|
3.5 |
Монтаж И343 в пластиковый корпус |
22 |
И35 |
|
3.6 |
Опробование схемы в работе |
13 |
Готовый прибор |
Сборка прибора производится тремя рабочими:
Первый рабочий выполняет операции 1.1 — 1.6, второй рабочий выполняет операции 2.1 —2.7, третий рабочий выполняет операции 3.1 — 3.6.
|
1 мин |
2 мин |
3 мин |
4 мин |
|||||||||||||
|
Первый рабочий |
1.1 — 1.6 |
|||||||||||||||
|
Второй рабочий |
2.1 — 2.7 |
|||||||||||||||
|
Третий рабочий |
3.1 — 3.6 |
Время изготовления одного изделия составляет 228 секунд.
Организационный план
ПО «Стрела» занимается производством широкого ассортимента товаров. Прибор «Светлон» будет производиться на машиностроительном заводе.
Персонал, задействованный в производстве и сбыте прибора «Светлон»:
Менеджер;
Мерчендайзер;
Рабочие (3).
Обязанности персонала:
Менеджер:
взаимодействие с поставщиками;
планирование объемов производства;
маркетинговая деятельность;
руководство персоналом;
Мерчендайзер:
расстановка товара на полках в магазинах;
оформление витрин;
обеспечение точек продаж рекламными материалами»
Рабочие:
производство прибора;
мониторинг качества.
Финансовый план
Расчет себестоимости изделия
Планируемый объем выпуска составляет 100 изделий в день.
Количество производственных рабочих — 3 человека.
Потребляемая мощность — 90 кВт.
Сумма затрат на изготовление единицы изделия:
|
Наименование |
Количество |
Цена |
Стоимость, руб. |
||
|
Выпрямит. диоды |
2 |
шт. |
2 |
руб./шт. |
4,0 |
|
Аккумуляторы |
3 |
шт. |
20 |
руб./шт. |
60,0 |
|
Сопротивление |
1 |
шт. |
1,5 |
руб./шт. |
1,5 |
|
Реле напряжения |
1 |
шт. |
30 |
руб./шт. |
30,0 |
|
Лампа накаливания |
1 |
шт. |
6 |
руб./шт. |
6 |
|
Патрон |
1 |
шт. |
5,5 |
руб./шт. |
5,5 |
|
Клеммы |
4 |
шт. |
0,45 |
руб./шт. |
1,35 |
|
Пластиковый корпус |
1 |
шт. |
12,3 |
руб./шт. |
12,3 |
|
Провод |
0,3 |
м. |
20 |
руб./м. |
6,0 |
|
Клеммы вилки |
2 |
шт. |
2 |
руб./шт. |
4,0 |
|
Шурупы |
2 |
шт. |
0,5 |
руб./шт. |
1,0 |
|
Затраты труда |
14,4 |
мин |
60 |
руб./ч |
14,4 |
|
Социальные отчислен. |
2,02 |
||||
|
Электричество |
0,9 |
кВт |
1,5 |
руб./кВт |
1,35 |
|
Амортизация |
14,4 |
мин |
1 250 руб./мес. |
1,34 |
|
|
Себестоимость |
150,76 |
Цена прибора составит: 150,76 · 1,15 = 173,3 (руб./шт.);
Рекомендуемая цена прибора на полках в магазинах составит не более 199,9 руб.
Сумма затрат за месяц:
|
Статья затрат |
Сумма, руб. |
|
Оплата труда |
50 320 |
|
Отчисления на соц. нужды |
7 044,8 |
|
Материальные затраты |
373 243 |
|
В т.ч.: |
|
|
Сырье и материалы |
369 463 |
|
Электроэнергия |
3 780 |
|
Амортизация |
1 250 |
|
Прочие затраты (реклама и т.д.) |
35 000 |
|
Итого |
466 857,8 |
В первом месяце планируется закупка оборудования и инструментов на общую сумму 9 535.
Суммарная выручка за месяц:
100 шт. · 30 дней · 173,3 руб. = 519 900
Отчет о прибыли и убытках:
-
Период
Выручка
Затраты
Валовая прибыль
Налог на прибыль
Чистая прибыль
2008 г.
10
0
15
-15
0
-15
11
0
220
-220
0
-220
12
0
7250
-7250
0
-7250
2009 г.
1
0
9535
-9535
0
-9535
2
519900
466858
53042,2
7956,33
45085,87
3
530298
476195
54103,044
8115,457
45987,59
4
540904
485719
55185,105
8277,766
46907,34
5
551722
495433
56288,807
8443,321
47845,49
6
562756,5
505342
57414,583
8612,187
48802,4
7
574011,6
515449
58562,875
8784,431
49778,44
8
585491,8
525758
59734,132
8960,12
50774,01
9
597201,7
536273
60928,815
9139,322
51789,49
10
609145,7
546998
62147,391
9322,109
52825,28
11
621328,6
557938
63390,339
9508,551
53881,79
12
633755,2
569097
64658,146
9698,722
54959,42
2010 г.
I кв.
2585721
2321916
263805,23
39570,79
224234,4
II кв.
2637436
2368354
269081,34
40362,2
228719,1
III кв.
2690184
2415721
274462,97
41169,44
233293,5
IV кв.
2743988
2464036
279952,23
41992,83
237959,4
2011 г.
I полуг.
5487976
4928072
559904,45
83985,67
475918,8
II полуг.
5542856
4977352
565503,5
84825,52
480678
Срок окупаемости составит 0,5 лет.
Прогноз точки безубыточности
Затраты за месяц по категориям:
|
Статья затрат |
Сумма, руб. |
|
Постоянные затраты |
93 197,8 |
|
Оплата труда |
50 320 |
|
Отчисления на соц. нужды |
7 044,8 |
|
Амортизация |
1 250 |
|
Прочие затраты (реклама и т.д.) |
35 000 |
|
Переменные затраты |
|
|
Материальные затраты |
133,45 · объем выпуска |
|
В т.ч.: |
|
|
Сырье и материалы |
132,1 · объем выпуска |
|
Электроэнергия |
1,35 · объем выпуска |
Затраты и выручка,
тыс. руб.
Объем выпуска,
шт./мес.
100
200
300
400
500
600
700
800
900
Выручка
Затраты
2 310
0
1 155
3 465
Точка безубыточности проекта достигается при выпуске 2 310 изделий в месяц или 77 изделий в день.
Оценка рисков
|
№ |
Вид риска |
Вероятность, % |
Ущерб, руб. |
Премия за риск, руб. |
|
1 |
Неправильная оценка спроса |
2 |
112 380 |
10 114 |
|
2 |
Появление новых конкурентов |
27 |
79 120 |
4 747 |
|
3 |
Задержка в поставке деталей и сырья |
0,8 |
89 590 |
8 959 |
|
4 |
Риск аварий и отказов оборудования |
2 |
89 590 |
7 167 |
|
5 |
Риск неправильного подбора персонала |
1,2 |
79 120 |
5 538 |
|
6 |
Рост инфляции |
4 |
94 030 |
8 798 |
План управления рисками:
Идентификация риска;
Выявление причин и последствий риска;
Разработка стратегии управления риском;
Назначение исполнителей, ответственных за проведение мероприятий по снижению рисков.
Мероприятия по снижению риска:
Выделение 35 тыс. руб. на проведение маркетинговых исследований
Выделение средств на проведение качественного отбора персонала
Диверсификация поставщиков
