Выбор медицинской страховой компании
КУРСОВАЯ РАБОТА (ПРОЕКТ)
по дисциплине:
«Принятие решения в условиях неопределённости»
ИСХОДНЫЕ ДАННЫЕ:
Выбор медицинской страховой компании
Фокус: выбор страховой компании.
Альтернативы: А, Б, В, Г.
Критерии: простота оформления, известность страховой компании, качество обслуживания, своевременность выплат, уровень страховых взносов, уровень страховки, степень охвата заболеваний.
1. ОПИСАНИЕ ПРОБЛЕМЫ
Необходимо сделать выбор медицинской страховой компании А (А1), Б (А2),
В (А3), Г (А4). Т.е. имеются четыре возможные альтернативы принятия решений.
Основными критериями при выборе медицинской страховой компании являются: простота оформления, известность страховой компании, качество обслуживания, своевременность выплат, уровень страховых взносов, уровень страховки, степень охвата заболеваний.
По отношению друг к другу данные критерии являются нейтральными, т.к. поиск решения по одному критерию никак не отражается на поиске решения по другому.
2. ПОСТРОЕНИЕ ИЕРАРХИЧЕСКОЙ СТРУКТУРЫ
|
Выбор страховой компании |
||||||
|
Простота оформления |
Известность страховой компании |
Качество обслуживания |
Своевременность выплат |
Уровень страховых взносов |
Уровень страховки |
Степень охвата заболеваний |
|
А |
Б |
В |
Г |
3. ПОСТРОЕНИЕ МАТРИЦ ПАРНЫХ СРАВНЕНИЙ АЛЬТЕРНАТИВ
Критерий: простота оформления
|
А1 |
А2 |
А3 |
А4 |
|
|
А1 |
1 |
2/1 |
4/1 |
8/1 |
|
А2 |
1/2 |
1 |
3/1 |
6/1 |
|
А3 |
1/4 |
1/3 |
1 |
4/1 |
|
А4 |
1/8 |
1/6 |
1/4 |
1 |
Критерий: известность страховой компании
|
А1 |
А2 |
А3 |
А4 |
|
|
А1 |
1 |
1/2 |
1/4 |
1/5 |
|
А2 |
2/1 |
1 |
1/3 |
1/4 |
|
А3 |
4/1 |
3/1 |
1 |
1/2 |
|
А4 |
5/1 |
4/1 |
2/1 |
1 |
Критерий: качество обслуживания
|
А1 |
А2 |
А3 |
А4 |
|
|
А1 |
1 |
3/1 |
4/1 |
5/1 |
|
А2 |
1/3 |
1 |
3/1 |
3/1 |
|
А3 |
1/4 |
1/3 |
1 |
2/1 |
|
А4 |
1/5 |
1/3 |
1/2 |
1 |
Критерий: своевременность выплат
|
А1 |
А2 |
А3 |
А4 |
|
|
А1 |
1 |
7/1 |
2/1 |
3/1 |
|
А2 |
1/7 |
1 |
1/6 |
7/1 |
|
А3 |
1/2 |
6/1 |
1 |
2/1 |
|
А4 |
1/3 |
1/7 |
1/2 |
1 |
Критерий: уровень страховых взносов
|
А1 |
А2 |
А3 |
А4 |
|
|
А1 |
1 |
1/3 |
1/5 |
0,17 |
|
А2 |
3/1 |
1 |
1/2 |
1/4 |
|
А3 |
5/1 |
2/1 |
1 |
1/2 |
|
А4 |
6/1 |
4/1 |
2/1 |
1 |
Критерий: уровень страховки
|
А1 |
А2 |
А3 |
А4 |
|
|
А1 |
1 |
6/1 |
3/1 |
2/1 |
|
А2 |
1/6 |
1 |
1/3 |
1/5 |
|
А3 |
1/3 |
3/1 |
1 |
1/2 |
|
А4 |
1/2 |
5/1 |
2/1 |
1 |
Критерий: степень охвата заболеваний
|
А1 |
А2 |
А3 |
А4 |
|
|
А1 |
1 |
1/2 |
1/4 |
1/5 |
|
А2 |
2/1 |
1 |
1/3 |
1/4 |
|
А3 |
4/1 |
3/1 |
1 |
1/2 |
|
А4 |
5/1 |
4/1 |
2/1 |
1 |
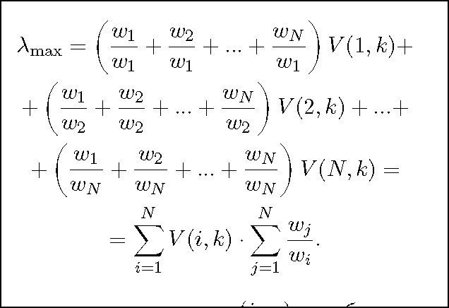
4. ВЫЧИСЛЕНИЕ СОБСТВЕННЫХ ЗНАЧЕНИЙ МАТРИЦ ПАРНЫХ СРАВНЕНИЙ
Осуществляется по формуле:
V*(i,k) = (wi/w1*wi/w2*wi/w3*…*wi/w4)1/4,
i - строка, k - матрица сравнений
V*(1,1) = (1×2×4×8)1/4= 2,8284
V*(2,1) = 1,7321
V*(3,1) = 0,7598
V*(4,1) = 0,2686
V*(1,2) = 0,3976
V*(2,2) = 0,6389
V*(3,2) = 1,5651
V*(4,2) = 2,5149
V*(1,3) = 2,7832
V*(2,3) = 1,3161
V*(3,3) = 0,6389
V*(4,3) = 0,4273
V*(1,4) = 2,5457
V*(2,4) = 0,6389
V*(3,4) = 1,5651
V*(4,4) = 0,3899
V*(1,5) = 0,3247
V*(2,5) = 0,7825
V*(3,5) = 1,4953
V*(4,5) = 2,6321
V*(1,6) = 2,4495
V*(2,6) = 0,3263
V*(3,6) = 0,8388
V*(4,6) = 1,4953
V*(1,7) = 0,3976
V*(2,7) = 0,6389
V*(3,7) = 1,5651
V*(4,7) = 2,5149
5. НОРМАЛИЗАЦИЯ СОБСТВЕННЫХ ЗНАЧЕНИЙ МАТРИЦЫ
Осуществляется по формуле:

V(1,1) = 2,8284 / (2,8284+1,7321+0,7598+0,2686)1/4= 0,5061
V(2,1) = 0,3099
V(3,1) = 0,1360
V(4,1) = 0,0481
V(1,2) = 0,0777
V(2,2) = 0,1249
V(3,2) = 0,3059
V(4,2) = 0,4915
V(1,3) = 0,5388
V(2,3) = 0,2548
V(3,3) = 0,1237
V(4,3) = 0,0827
V(1,4) = 0,4953
V(2,4) = 0,1243
V(3,4) = 0,3045
V(4,4) = 0,0759
V(1,5) = 0,0620
V(2,5) = 0,1495
V(3,5) = 0,2857
V(4,5) = 0,5028
V(1,6) = 0,4794
V(2,6) = 0,0639
V(3,6) = 0,1641
V(4,6) = 0,2926
V(1,7) = 0,0777
V(2,7) = 0,1249
V(3,7) = 0,3059
V(4,7) = 0,4915
6. ОПРЕДЕЛЕНИЕ СОГЛАСОВАНОСТИ МАТРИЦ
И
ндекс
согласованности определяется по формуле:
С = (>max>
– N)/N
– 1).
Параметр >max>> >вычисляется как: >max>
>max>> >1 = 4,0684 C1 = 0,0228
>max> 2 = 4,0486 C2 = 0,0162
>max>> >3 = 4,1112 C3 = 0,0371
>max> 4 = 4,8372 C4 = 0,2791
>max> 5 = 4,0473 C5 = 0,0158
>max> 6 = 4,0389 C6 = 0,0130
>max> 7 = 4,0486 C7 = 0,0162
Используя значение ИСР, из таблицы для N=7, (1,32) получим:
Для А1 = 0,0228/1,32*100% = %<20%
Для А2 = 2,5348 %<20%
Для А3 = 1,8005 %<20%
Для А4 = 4,1178 %<20%
Для А5 = 31,0059 %<20%
Для А6 = 1,7517 %<20%
Для А7 = 1,4399 %<20%
Для А8 = 1,8005 %<20%
Расчёты для всех матриц <20%, что говорит о согласованности матриц.
7. АНАЛИЗ МАТРИЦЫ ПАРНЫХ СРАВНЕНИЙ КРИТЕРИЕВ
Будет страховой случай
|
Простота оформления |
Известность страховой компании |
Качество обслуживания |
Своевременность выплат |
Уровень страховых взносов |
Уровень страховки |
Степень охвата заболеваний |
|
|
Простота оформления |
1 |
1/2 |
1/3 |
1/5 |
2/1 |
3/1 |
1/4 |
|
Известность страховой компании |
2/1 |
1 |
1/2 |
1/4 |
3/1 |
4/1 |
1/3 |
|
Качество обслуживания |
3/1 |
2/1 |
1 |
1/3 |
4/1 |
6/1 |
1/2 |
|
Своевременность выплат |
5/1 |
4/1 |
3/1 |
1 |
6/1 |
7/1 |
2/1 |
|
Уровень страховых взносов |
1/2 |
1/3 |
1/4 |
1/6 |
1 |
2/1 |
1/5 |
|
Уровень страховки |
1/3 |
1/3 |
1/6 |
1/7 |
1/2 |
1 |
1/6 |
|
Степень охвата заболеваний |
4/1 |
3/1 |
2/1 |
1/2 |
5/1 |
6/1 |
1 |
Далее вычисляем собственные значения С*(i/L) (по принципу V*(i,k)):
С*(1/L) = 0,6518
С*(2/L) = 1,0000
С*(3/L) = 1,5746
С*(4/L) =3,3800
С*(5/L) = 0,4313
С*(6/L) = 0,3003
С*(7/L) = 2,3184
Нормализованные собственные значения (С(i/L)) равны (по принципу V(i,k)):
С(1/L) = 0,0675
С(2/L) = 0,1036
С(3/L) = 0,1631
С(4/L) =0,3500
С(5/L) = 0,0447
С(6/L) = 0,0311
С(7/L) = 0,2401
Не будет страхового случая
|
Простота оформления |
Известность страховой компании |
Качество обслуживания |
Своевременность выплат |
Уровень страховых взносов |
Уровень страховки |
Степень охвата заболеваний |
|
|
Простота оформления |
1 |
3/1 |
2/1 |
4/1 |
1/2 |
6/1 |
5/1 |
|
Известность страховой компании |
1/3 |
1 |
1/2 |
2/1 |
1/4 |
4/1 |
3/1 |
|
Качество обслуживания |
1/2 |
2/1 |
1 |
3/1 |
1/3 |
5/1 |
4/1 |
|
Своевремен-ность выплат |
1/4 |
1/2 |
1/3 |
1 |
1/5 |
3/1 |
2/1 |
|
Уровень страховых взносов |
2/1 |
4/1 |
3/1 |
5/1 |
1 |
7/1 |
6/1 |
|
Уровень страховки |
1/6 |
1/4 |
1/5 |
1/3 |
1/7 |
1 |
1/2 |
|
Степень охвата заболеваний |
1/5 |
1/3 |
1/4 |
1/2 |
1/6 |
2/1 |
1 |
Далее вычисляем собственные значения С*(i/L) (по принципу V*(i,k)):
С*(1/L) = 2,318
С*(2/L) = 1,000
С*(3/L) = 1,534
С*(4/L) = 0,652
С*(5/L) = 3,380
С*(6/L) = 0,296
С*(7/L) = 0,431
Нормализованные собственные значения (С(i/L)) равны (по принципу V(i,k)):
С(1/L) = 0,241
С(2/L) = 0,104
С(3/L) = 0,160
С(4/L) =0,068
С(5/L) = 0,352
С(6/L) = 0,031
С(7/L) = 0,045
8. ВЫЧИСЛЕНИЯ ВЕСА КАЖДОЙ АЛЬТЕРНАТИВЫ
Веса альтернатив если есть страховой случай
W(A>i>/L) = V(i,1)* С(1/L)+ V(i,2)* С(2/L)+ V(i,3)* С(3/L), i = 1,2,3…
W(A>1>/L) = 0,340
W(A>2>/L) = 0,158
W(A>3>/L) = 0,259
W(A>4>/L) = 0,244
При условии того, что будет страховой случай наилучшим вариантом при выборе страховой компании является «Медицинская страховая компания А».
Далее по убыванию: В (А3), Г (А4), Б (А2).
Веса альтернатив при условии отсутствия страхового случая
W(A>1>/L) = 0,290
W(A>2>/L) = 0,197
W(A>3>/L) = 0,224
W(A>4>/L) = 0,289
При условии отсутствия страхового случая наилучшим вариантом при выборе страховой компании является «Медицинская страховая компания А».
Далее по убыванию: Г (А4), В (А3), Б (А2).
9. ПРИНЯТИЕ ОПТИМАЛЬНОГО РЕШЕНИЯ С УЧЕТОМ ВЕРОЯТНОСТЕЙ ПРИРОДНЫХ УСЛОВИЙ.
|
А1 |
0,340 |
0,290 |
0,29 |
29,08 |
|
А2 |
0,158 |
0,197 |
0,20 |
19,62 |
|
А3 |
0,259 |
0,224 |
0,22 |
22,49 |
|
А4 |
0,244 |
0,289 |
0,29 |
28,81 |
|
|
0,020 |
0,980 |
1,00 |
W(A>1>/L) = 0,340
W(A>2>/L) = 0,158
W(A>3>/L) = 0,259
W(A>4>/L) = 0,244
С учётом вероятностей страхового случая преимущество имеет «Медицинская страховая компания А».
Далее по убыванию: Г (А4), В (А3), Б (А2).