Общий менеджмент
Общий менеджмент
Преподаватель:
к.э.н., профессор
Лариса Александровна Бирман
Москва, 2009
Цели и задачи дисциплины
Цель дисциплины "Общий менеджмента" – дать слушателю представление о том разделе управления, который рассматривает общие принципы управления применительно к первичной ячейке хозяйственной жизни – организации - и сформировать основные понятия современных принципов управления организацией. Теоретическим фундаментом предмета являются "Макро- и Микро- экономика"; в свою очередь менеджмент формирует базовые знания для изучения таких важных дисциплин как "стратегический менеджмент", "финансовый менеджмент", "инвестиционный менеджмент", "стратегия выхода из кризиса", сравнительный менеджмент. Значение дисциплины определяется тем, что, опираясь на ее основы и претворяя в жизнь ее рекомендации, передовые страны добиваются постоянного роста эффективности производства и преодолевают проблемы, возникающие в ходе хозяйственной деятельности. Особенно интересен опыт стран Юго-Восточной Азии как удачный пример построения менеджмента в полном соответствии с менталитетом соответствующей нации.
Задачи дисциплины не только в том, чтобы сформировать представление об основах управления, но и позволить освоить определенные навыки профессии менеджера с учетом специфики современного состояния экономики России.
Особое внимание будет обращено на методику принятия эффективных управленческих решений и разрешение психологических проблем, возникающих в процессе формирования коллектива и управления им. Практическое применение должны найти рекомендации по рационализации труда руководителя и воспитанию им психологической устойчивости.
Основой изучения курса является предлагаемое учебно-методическое пособие, курс лекций, читаемый по дисциплине, а также рекомендованная литература, список которой прилагается.
Программа дисциплины
менеджмент психологический руководитель управление
Раздел 1. Менеджмент как теория и практика управления организацией.
Тема 1. Сущность менеджмента.
Место менеджмента в общей теории управления; менеджмент как наука и искусство.
Экономическая и социальная эффективность, возрастание влияния социальной эффективности на достижение конкурентных преимуществ.
Развитие менеджмента как результат обобщения практики управления. Основные этапы формирования и развития менеджмента. Менталитет и его влияние на принципы и формы менеджмента.
Значение менеджмента в достижении целей организации в связи с глобализацией производства, усилением фактора неопределенности, усложнением социальной ситуации.
Организация как объект менеджмента.
Основные признаки организации. Формальные и неформальные организации. Этапы жизненного цикла организации.
Факторы, определяющие деятельность организации.
Тема 2. Характеристики организации.
Понятие внешней среды организации:
Факторы прямого воздействия (поставщики, покупатели, конкуренты, государственная законодательная деятельность, профсоюзы);
Факторы косвенного воздействия (состояние экономики, политические, социальные, экологические, культурные факторы, научно-технический прогресс, международные отношения).
Взаимозависимость, сложность, подвижность, неопределенность факторов внешней среды, степень их влияния на разные организации и разные подразделения организаций. Усиление влияния внешней среды на деятельность организаций по мере усложнения производства, развития международного разделения труда и интеграционных процессов в мировом хозяйстве.
Внутренняя среда организации.
Современная классификация ресурсов организации. Понятие материальных, людских, инвестиционных и информационных ресурсов. Интеллектуально-креативный ресурс и его элементы. Связь характера организации и используемых ресурсов. Особенности состава и структуры ресурсов в производственной и непроизводственной сферах.
Постоянное повышение эффективности использования всех видов ресурсов – главное условие выживания в рыночной экономике. Пути повышения эффективности:
снижение расхода материальных ресурсов и инвестиций на единицу потребительского эффекта за счет их рационального использования и повышения качества продукции;
рост эффективности использования человеческих ресурсов за счет внедрения новой техники, технологии современной организации труда, опирающейся на принципы теории управления, психологические методы;
ускорение получения информации и повышение ее достоверности за счет внедрения достижений науки и техники.
Внутренняя структура организации:
Горизонтальное и вертикальное разделение труда. Структура организации, различные типы структур, подразделения и группы.
Необходимость координации деятельности подразделений и обеспечения едино-направленности их целей для эффективной деятельности организации.
Коммуникации и их роль в деятельности организации. Понятие и виды коммуникаций. Типы коммуникационных сетей, факторы, влияющие на коммуникацию.
Организационная (корпоративная) культура и ее место в повышении эффективности производства.
Прочие факторы, влияющие на организацию: формы собственности, сфера функционирования, размер организации.
Раздел 2. Функции менеджмента.
Административное, социально-психологическое и экономическое управление. Необходимость сочетания всех методов.
Развитие принципов менеджмента по мере усложнения производства и роста благосостояния населения. Смещение центра тяжести в менеджменте с процесса принятия решения на пути наиболее эффективного претворения их в жизнь. Возрастание роли психологического аспекта в менеджменте.
Функции менеджмента, их неразрывная связь и взаимообусловленность.
Тема 3. Стратегическое планирование.
Необходимость и сущность стратегического планирования в современных условиях, процесс стратегического планирования.
Определение миссии организации. Факторы и критерии выбора миссии.
Выбор целей, их конкретность, измеримость, временная определенность, достижимость. Долгосрочные, среднесрочные, краткосрочные цели. Понятие дерева целей и луковица целей, принципы их построения.
Оценка и анализ внешнего окружения: макро- и микроэкономические среды как факторы, влияющие на выбор цели.
Управленческое обследование внутренней среды и его воздействие на выбор цели.
Анализ стратегических альтернатив и выбор стратегии: рост, ограниченный рост, сокращение, комбинация вариантов. Влияние на выбор стратегии этапа жизненного цикла организации.
Реализация стратегии – выбор тактики и политики, разработка процедур, правил, бюджетов. Планирование и организация процесса реализации стратегии.
Тема 4. Делегирование ответственности и полномочий.
Необходимость и сущность делегирования как критерия квалификации менеджера. Понятие ответственности и полномочий, концепция принятия и пределов полномочий и ответственности. Проблемы осуществления делегирования с точки зрения руководителя и подчиненных.
Необходимость определения структуры организации, исходя из системы разделения труда и делегирования.
Бюрократическая структура, ее достоинства и недостатки. Функциональная организационная структура, границы ее применения. Продуктовая, потребительская, региональная структуры; сферы их использования. Матричные и проектные структуры. Достоинства и недостатки разных типов структур.
Централизация и децентрализация; показатели и факторы, определяющие степень децентрализации. Сравнительная характеристика централизованных и децентрализованных систем управления.
Изменение структуры и степени децентрализации в течение жизненного цикла организации.
Тема 5. Мотивация и потребности.
Сущность мотивации и ее роль в повышении эффективности организации.
Потребности как основа мотивации; первичные и вторичные потребности. Влияния пола, возраста, профессии, НТР, социального статуса и культурного уровня на уровень и структуру потребности личности.
Содержательные и процессуальные теории мотивации. Теории "х", "у", "z" и их воздействие на практику осуществления мотиваций.
Материальные и моральные формы поощрения и взыскания.
Современная практика мотивации
экономические методы;
управление по целям;
обогащение труда;
метод участия.
Возрастание роли нематериальных методов.
Тема 6. Контроль.
Сущность контроля и его роль в уменьшении влияния на организацию неопределенности, предупреждении возникновения кризисных ситуаций как результата ошибок в процессе управления, развитии успехов.
Принципы контроля, их неразрывная связь с функциями управления, воздействие на психологический климат в коллективе.
Виды контроля – предварительный, текущий, заключительный. Специфика каждого вида применительно к отдельным группам ресурсов.
Процесс контроля, необходимые условия успешности контроля – демократичность и гласность. Конечная цель контроля – переход к самоконтролю.
Раздел 3. Профессия менеджера.
Тема 7. Особенности профессии менеджера.
Менеджер – профессия или призвание. Специфика деятельности; менеджер и бизнесмен; влияние сферы деятельности (производство, обращение, сфера услуг, работа с кадрами и т.д.) на содержание деятельности. Эффективность деятельности менеджера.
Специфика деятельности руководителей высшего, среднего и низшего звена.
Роли менеджера в организации: межличностное общение, создание и использование коммуникаций, принятие решений.
Руководитель и лидер. Понятие лидерства. Влияние и власть. Формы влияния и власти. Стили руководства и типы руководителей. Теории "х" и "у" о типе руководителей. Решетка Блейк-Мутон. Связь стиля руководства и ситуации. Ведение переговоров как форма межличностного общения.
Тема 8. Менеджер как руководитель информационного процесса.
Значение информации в управлении. Достоверность и своевременность, полнота, объективность, экономичность – необходимые качественные характеристики информации. Этапы передачи информации. Принципы построения информационных систем. Причины искажения информации в информационном процессе и пути их устранения.
Тема 9. Принятие решений.
Сущность процесса принятия решений, виды решений.
Особенность управленческих и организационных решений. Принципы классификации решений:
по степени воздействия на организацию;
по времени воздействия;
по степени обязательности;
по способам принятия;
по полю действия;
по среде осуществления;
по методам принятия;
по степени повторяемости.
Достоинства и недостатки рационального подхода. Этапы принятия решений: диагноз проблемы, формулирование критериев и ограничений, выявление альтернатив и их оценка по критериям второго этапа, окончательный выбор. Реализация решений и анализ их правильности.
Раздел 4. Социальный аспект менеджмента.
Тема 10. Психологический климат в коллективе.
Комфортный психологический климат – важнейшее условие эффективной деятельности коллектива в современных условиях. Факторы, влияющие на психологический климат: объективные и субъективные условия создания комфортного психологического климата.
Конфликт как органическая составляющая жизни общества и организации. Сущность и стадии развития конфликта.
Конструктивные конфликты как выявление различных точек зрения на проблему и фактор повышения результативности деятельности. Консенсус как форма разрешения конструктивного конфликта.
Деструктивные конфликты и их разрушительное действие. Формализация отношений и психологический антагонизм.
Типы конфликтов: внутриличностные, межличностные, между личностью и группой, межгрупповой.
Объективные и субъективные условия возникновения конфликта.
Модель конфликта как процесса.
Предупреждение деструктивного конфликта и поощрение конструктивного конфликта – важнейшая задача руководителя.
Пути выхода из деструктивного конфликта.
Тема 11. Труд руководителя.
Понятие производительности труда руководителя, показатели производительности труда. Время – важнейший и дефицитнейший ресурс. Использование времени как показатель эффективности труда руководителя. Основные направления улучшения использования времени.
Совершенствование методов личной работы: организация рабочего дня, рабочей недели. Порядок проведения переговоров, совещаний, бесед с подчиненными и посетителями. Ведение телефонных разговоров, оформление инструктивных материалов. Организация взаимоотношений с сотрудниками.
Психологическая устойчивость руководителя как основа нормальной обстановки в организации. Обстоятельства, осложняющие деятельность руководителя.
Стресс как органическая составляющая психологического состояния, позитивные и негативные стрессы. Негативный стресс как проявление внутренней дисгармонии, энергетического дисбаланса.
Учение Берне о 4-х типах жизненных позиций и их использование в работе с людьми.
Пути предупреждения стресса и борьба с ним.
СПИСОК РЕКОМЕНДОВАННОЙ ЛИТЕРАТУРЫ
Основная литература:
Веснин В.Р. Основы менеджмента. М.: Инфра-М, 2006.
Виханский О.С., Наумов А.И. Менеджмент М.: Изд-во МГУ, 2004
Герчикова И.Н. Менеджмент М.: Высшая школа, 2006.
Мескон М.Х., Альберт М., Хедоуори Ф. Основы менеджмента/ Пер.с англ. М.: Дело, 2004.
Медведев В.П. Основы менеджмента -. М.: ООО Издателько-консалтинговая компания "ДеКА", 2002.
Смолкин А.М. Менеджмент: основы организации. М:,ЮНИТИ-ДАНА, 2002.
Мильнер Б.З. Теория организации. М.: Дело, 2003.
Управление современной компанией . Под ред. Мильнера Б.З. и Лииса Ф. М.:2001
Юкаева В.С. Менеджмент. М.: 2006
Дополнительная литература.
Басовский Л.Е. Менеджмент. М.: Инфра – М, 2006.
Друкер П. Задачи Менеджмента в 21-ом веке. М.:Вильямс, 2000.
Якокка Л. Карьера менеджмера / Пер. с англ. М.: "Прогресс", 1999.
Раздел 1. Менеджмент как теория и практика управления организацией
Тема 1. Сущность менеджмента
Менеджмент – это деятельность, направленная на превращение неорганизованной толпы в группу, которая целенаправленно и эффективно действует по заранее намеченному плану, постоянно совершенствуя методы и приемы достижения цели.
Менеджмент является частью общей теории управления, рассматривающей ее проблемы применительно к организации (фирме), важнейшим признаком которой является эффективность деятельности, т.е. нахождение оптимального пути к достижению заранее поставленной цели.
Экономическая и социальная эффективность, их связь и взаимовлияние.
Экономическая эффективность деятельности отражает, как правило, соотношение между результатами усилий и теми ресурсами, которые затрачены на их достижение; рентабельность – отношение прибыли к сумме доходов или сумме издержек; фондоотдача – съем продукции с определенных фондов и т.д.
Социальная эффективность не имеет показателей выражения, а характеризуется комплексом явлений – текучестью кадров, патриотизмом членов коллектива по отношению к фирме, комфортностью психологического климата.
Оба вида эффективности неразрывно связаны между собой, однако во времени могут не совпадать.
Объекты менеджмента: производство, материально-техническое снабжение и сбыт готовой продукции, инновации, маркетинг, кадры, финансы, эккаунтинг (учет и анализ хозяйственных процессов).
Менеджмент производства заключается в определении оптимального объема и структуры выпуска продукции; обеспечении условий эффективного использования ресурсов всех видов и превращения их в продукцию, которая будет признана рынком.
Менеджмент материально-технического снабжения и сбыта состоит в обеспечении наиболее выгодных для фирмы условий получения сырьевых ресурсов и реализации произведенной продукции (услуг).
Инновационный менеджмент имеет своим предметом инновационный процесс и отношения, возникающие в нем.
Управление маркетингом предполагает создание непрерывно действующей системы изучения рынков, поведения конкурентов, формирования стратегии и тактики продвижения товаров на рынке (рекламная и ценовая политика, развитие каналов сбыта).
Кадровый (социальный) менеджмент решает задачи подбора и расстановки кадров, создания условий для высшей производительности труда и максимальной удовлетворенности членов коллектива условиями труда.
Финансовый менеджмент и управление эккаунтингом призваны обеспечить использование учетных и финансовых инструментов для выявления и устранения проблем хозяйствования, вскрытия и более полного использования резервов.
Возрастание роли менеджмента в процессе исторического развития производства в связи с глобализацией производства, возрастанием неопределенности внешней среды, усилением дефицитности материальных и инвестиционных ресурсов, усложнением социальной ситуации.
Влияние менталитета на основы и практику осуществления менеджмента.
Американский и японский менеджмент. Особенности российского менеджмента.
Организация как объект менеджмента.
Организация – группа людей, осуществляющих координируемую совместную деятельность для достижения заранее поставленной цели (целей), открытая система, получающая все виды ресурсов из внешней среды и реализующая результат своей деятельности во внешней среде.
Причины создания организации – необходимость преодоления физических, биологических, интеллектуальных ограничений, свойственных отдельной личности. Взаимоотношения между личностью и организацией, баланс этих отношений – основа успешного развития организации.
Формальная организация – это организация, имеющая устав, регистрацию, действующая в течение длительного срока, представляющая собой юридическое лицо (завод, школа).
Неформальная организация – это организация, которая возникает сама по себе и так же сама по себе распадается. Такой тип организации возникает в любом коллективе, сообществе людей и обладает основными характеристиками организации (группа болельщиков, самодеятельный туристический поход).
Объективная обусловленность жизненного цикла организации. Основные этапы жизненного цикла.
1. Создание – формирование капитала, определение сферы функционирования, обеспечение доступа к необходимым ресурсам.
2. Рост – выход на рынок, овладение механизмом конкуренции.
3. Зрелость – стабильное положение на рынке, поиск новых путей закрепления на нем (повышение уровня сервиса, качества продукции).
4. Упадок – снижение спроса на продукцию, ужесточение конкуренции, падение рентабельности, замедление инновационных процессов.
Менеджмент организации определяется совокупным воздействием факторов внешней, внутренней среды, формами собственности, сферой функционирования и размером организации.
Тема 2. Характеристики организации
Внешняя среда.
Факторы внешней среды – это факторы, которые находятся вне организации и не зависят от чьей-то субъективной воли.
По степени воздействия они делятся на факторы прямого влияния (микросреда), непосредственно определяющие деятельность организации, и факторы косвенного влияния, действующие опосредованно, через факторы прямого влияния (макросреда).
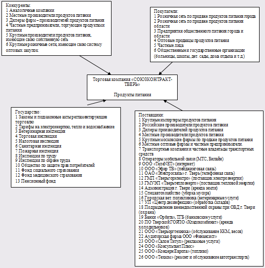
К факторам прямого влияния относятся покупатели, поставщики, конкуренты и государство в его законодательной и регулирующей деятельности (схема 1).
Покупатели – важнейшее условие существования организации, т.к. только если продукция или услуга пользуются спросом можно осуществлять меры по повышению ее эффективности.
При всей самостоятельности покупателя организация располагает определенными возможностями воздействия как на общую массу покупателей, так и на отдельные группы. К таким мерам воздействия можно отнести прежде всего цены, особенно на товары первой необходимости, единства цен и качества товаров. Активно действуют все виды рекламных мероприятий: реклама, пробные продажи по сниженным ценам, выставки-продажи; очень важную роль играют льготы и стимулы для постоянных покупателей, периодические уценки, разного рода лотереи, которые привлекают покупателей возможностью бесплатно или по сниженной цене приобрести интересующий их товар. Очень важным фактором влияния является качественный сервис, систематический учет требований покупателя при обновлении производства и организации торговли, личная деятельность продавцов.
Поставщики – обеспечивают организацию необходимыми для ее деятельности товарами и услугами (производители сырья, топлива, оборудования, транспортные организации, банки, кадровые агентства, наемные работники).
Степень воздействия поставщика и складывающиеся с ним взаимоотношения зависят от многих факторов, главными из которых являются: степень монополизации поставщиком поставляемых материальных ценностей и услуг и доля поставщика в удовлетворении потребности данной организации. В том случае, когда поставщик является монополистом (в условиях России это государство при поставке электроэнергии, осуществлении железнодорожных перевозок), он диктует цену на реализуемый продукт, условия поставки и другие взаимоотношения.
Если поставщик не является монополистом, но без его продукции деятельность организации будет неэффективной (поставщик тары для фирм производящих соки, безалкогольные напитки и т.д.) преодоление монополизма достигается наличием у фирмы-производителя нескольких поставщиков, способных заменить друг друга. Во всех остальных случаях взаимоотношения между поставщиком и покупателем регулируются соотношением спроса и предложения.
Конкуренты – организации, производящие аналогичные или взаимозаменяемые товары и услуги. Понятие конкуренции включает в себя несколько явлений. Во-первых, внутриотраслевая, то есть между предприятиями, производящими определенный вид продукции ( металл, уголь, хлеб, ткани). Она складывается из конкуренции внутри стратегических групп и между стратегическими группами. Стратегическая группа – это совокупность фирм, работающих в одной ценовой нише, с примерно одинаковым ассортиментом, удовлетворяющим одну группу потребностей.
Конкуренция между стратегическими группами возникает в пограничных слоях потребителей, т.е. тех, кто еще не достиг по уровню доходов ВИП-покупателей, но выше среднего дохода, а также в специфических условиях. Например, производители электротоваров "Бош" и "Электролюкс", относящиеся к разным стратегическим группам, конкурируют на тендерах, объявляемых строительными компаниями.
Помимо этого действует межотраслевая конкуренция – конкуренция разных отраслей, выпускающих товары для удовлетворения одной потребности (соки, безалкогольные напитки, бутилированная вода, пиво). И, наконец, конкурентная борьба за направление расходов покупателей (холодильник, телевизор, стиральная машина).
Взаимоотношения с конкурентами могут строиться на основе достаточно широкого спектра альтернатив: от ожесточенной конкурентной борьбы до различных временно возникающих союзов, направленных на раздел рынка, вытеснение общего конкурента, и для решения других маркетинговых задач. Особенно сложными и интересными являются взаимоотношения между конкурентами в настоящее время при возникновении виртуальных и паутинных сетей, в которых одни и те же фирмы могут выступать в одном случае как непримиримые конкуренты, а в другом случае как временно, но очень тесно сотрудничающие организации.
Государство – фактор императивный, не предполагающий инициативы и альтернативных действий со стороны организации, поскольку законы, инструкции, постановления подлежат исполнению. В микросреде государство выступает в следующих ролях:
- властная структура, в функции которой входит разработка правовой основы предпринимательства, контроль за соблюдением законодательства;
- менеджмент экономического регулирования, включающий в себя утверждение единых общих правил поведения хозяйствующих субъектов, установление дифференцированных правовых и экономических режимов для отдельных групп хозяйствующих субъектов, использование отдельных административных актов управления;
- собственник государственного имущества, осуществляющий распоряжение и управление им (создание, ликвидация, продажа, покупка).
Схема 1. Факторы прямого воздействия ТК "СОЮЗКОНТРАКТ-ТВЕРЬ"

Факторы косвенного воздействия включают в себя изменение политического и экономического состояния страны, развитие научно-технического прогресса, экологию, международные отношения, социальные, культурные, религиозные традиции.
Продемонстрируем действие комплекса факторов на следующем примере (схема 2).
Возникший в Юго-Восточной Азии птичий грипп (фактор экологии, т.е. макросреды) оказал комплексное воздействие на микросреду покупателей (туристов) и поставщиков (авиакомпании, гостиницы, магазины, рестораны, культурно-развлекательные учреждения).
Те из них, которые работали с туристами, желающими провести отпуск на курортах Ю-В Азии, понесли огромные убытки – сданные путевки, авиабилеты, некупленные сувениры, незанятые гостиницы и т.п. Не получили своих доходов и жители курортов.
И, наоборот, спрос на весь спектр услуг в Западной Европе и странах Южной и Центральной Америки многократно вырос. Сфера услуг оказалась неготовой к такому спросу (в частности, Аэрофлот).
Многие не сумели отдохнуть за рубежом, переориентировались на свои страны, но в полной мере удовлетворить свои потребности не смогли.
Туристический бум в Западную Европу дал толчок развитию сервиса в Хорватии и Черногории, инвестициям в гостиничное хозяйство, рестораны. Это позволило занять местное население (поставщики), т.е. обе эти страны получили огромный выигрыш, но проиграли туристы (покупатели) – выросли цены на тур путевки, гостиницы, продукты и сувениры. Выиграли также фармацевтические компании и аптеки, т.к. резко вырос спрос на лекарства и вакцины.
Комплексное влияние внешней среды на организацию
Схема 2 Макросреда (экология)

Общие характеристики факторов внешней среды
- Взаимосвязь – изменение одного из факторов неизбежно затрагивает другие (см. вышеприведенный пример).
- Сложность – ею характеризуется количество факторов, влияющих на организацию. Она зависит от характера продукции, объема ее выпуска, региона реализации.
- Подвижность – скорость, с которой происходят изменения во внешней среде. Она, так же как и сложность различна в отдельных отраслях. Наиболее изменчивы факторы внешней среды в молодых отраслях – производстве компьютеров, аудио- и видеотехники, фармакологии, электронике. Значительно консервативней они в пищевой, мебельной, консервной, т.е. традиционных отраслях.
- Неопределенность – количество и степень достоверности возможной информации о факторах внешней среды. Этот показатель зависит от того, несколько далеко распространяется продукция организации, на каком расстоянии находятся поставщики, каков характер производимой продукции и какова степень ее новизны. Естественно, чем оригинальней продукция, тем выше неопределенность – признает ли рынок, найдутся ли соответствующие поставщики, как поведут себя конкуренты и т.п.
Внешняя среда может характеризоваться большей или меньшей стабильностью, переходящей иногда в нестабильность. Современное состояние внешней среды в России можно определить как динамичное с элементами нестабильности, порождаемой политическими, международными и экономическими факторами.
Поэтому основное внимание следует уделять методам управления в динамичной среде. (Б.З. Мильнер "Теория организации" М. ИНФРА-М,1999, стр.201)
Таблица 1
|
Элементы организации управления |
ОСНОВНЫЕ ХАРАКТЕРИСТИКИ |
|
|
В условиях стабильной среды |
В условиях динамичной среды |
|
|
Главная цель |
Выполнение заданий |
Обеспечение необходимого уровня прибыли за счет удовлетворения запросов и нужд покупателей |
|
Основная задача |
Увеличение объема выпуска продукции |
Изменение объема выпуска продукции и ее потребительских свойств в соответствии с изменением рыночного спроса |
|
Стратегия |
Пассивная, выжидающая – "сбыть то, что произведено" |
Активная, с элементами обоснованного риска – "производить то, что можно сбыть" |
|
Оценка результата |
По степени точности выполнения заданий |
По положению предприятия на рынке относительно конкурентов |
|
Тип организационной структуры |
Механическая, формализованная |
Адаптивная (определяется в зависимости от условий деятельности) |
|
Решения по управлению предприятием |
Главным образом оперативные – (принимаются по ходу возникновения проблем) |
Главным образом перспективные (носят стратегический характер и выбираются на основе альтернатив) |
|
Стимулирование |
В зависимости от выполнения заданий |
В зависимости от достигнутого результата |
|
Стиль управления |
Авторитарный |
Демократический |
|
Характер власти руководителя |
Законодательный |
Экспертный |
Внутренняя среда.
Внутренняя среда включает в себя ресурсы, структуру, коммуникации и организационную (корпоративную) культуру.
Ресурсы – это условия производства, в которые организация вкладывает денежные средства.
Можно выделить следующие виды ресурсов:
- Материальные – ресурсы, которые используются в одном производственном цикле или в течение одного календарного года (сырье, материалы, энергия, вода, инструменты и т.д.).
- Инвестиционные – средства, вложенные в те элементы производства, которые служат в течение всего производственного цикла или более года, т.е. в основные фонды (здания, сооружения, станки, оборудование).
- Информационные – вложения в получение необходимой информации (каталоги, справочники, реклама, обучение персонала и повышение его квалификации, обследования, заказываемые сторонним организациям).
- Человеческие – самый важный с точки зрения менеджмента вид ресурсов, поскольку именно он является объектом управления. Разнообразие людей безгранично, однако можно выделить некоторые признаки, подлежащие контролю при формировании коллектива: способности, склонности, потребности и ожидания, страхи, предрассудки, культурные, социальные, религиозные особенности. Влияние коллектива на личность.
В зависимости от сферы функционирования организации, размера организации, используемой технологии состав ресурсов может быть весьма различен. Точно так же будет различаться и их структура, то есть удельный вес каждого из видов ресурсов в общей их сумме.
Необходимость расчета структуры связана с тем, что для обеспечения эффективности производства следует оптимизировать расход ресурсов и начинать этот процесс следует с того вида ресурсов, который занимает наибольший удельный вес.
Внутренняя структура организации – входящие в нее подразделения – отделы, цеха, лаборатории – образуются в результате совмещения горизонтального и вертикального разделения труда.
Горизонтальное разделение труда основано на технологии производства и связано либо с различием в предмете труда, либо в производимых технологических действиях. Типичным примером горизонтального разделения труда является конвейер.
Схема 3 Горизонтальное разделение труда

Вертикальное разделение труда основано на разных масштабах ответственности и значимости принимаемых решений.
Схема 4 Вертикальное разделение труда

В зависимости от сочетания этих принципов образуются различные типы внутренних структур.
Типы внутренней структуры.
Схема 5 Линейно-функциональный тип.

Достоинства: простота построения, высокая степень контролируемости.
Недостатки: противоречия между функциональными подразделениями, непригодность при широком ассортименте выпускаемой продукции.
Стремление к повышению эффективности организации приводит к серьезным объективным противоречиям между руководителями подразделений. Для производственников главный путь – снижение издержек за счет увеличения объема производства и стабильности ассортимента. Для работников службы маркетинга – обновление производства и не слишком высокие издержки. Для финансистов – поиск источников покрытия расходов по освоению новой продукции и умеренные расходы на рекламу.
Совмещение всех этих требований практически невозможно, и поэтому президент вынужден постоянно выступать в роли арбитра.
При широком ассортименте практически невозможно в условиях функциональной структуры получить полную информацию об эффективности производства отдельных позиций и сформировать оптимальный ассортимент.
Решение вышеперечисленных проблем было найдено в конце 20-х годов с появлением дивизиональных типов внутренних структур в компании "Дженерал Моторс". Суть структуры в том, что принципиальные общие для компании вопросы решаются централизованно, а оперативные – в департаментах, построенных по продуктовому, потребительскому или региональному принципу.
Схема 6 Дивизионально-продуктовый тип (парфюмерно-косметическое производство)

Схема 7 Дивизионально-потребительский тип (производство верхней одежды)

Схема 8 Дивизионально-региональный тип (производство инструментов)

Достоинство типов 2, 3, 4 – возможность сосредоточить под началом одного человека все операции по производству и реализации одного продукта, комплекса продуктов для обособленной категории потребителей, определенного региона.
Недостаток – дублирование функциональных подразделений.
Инновационный тип производства, без которого невозможно повышение эффективности и выведение из кризиса, в который в течение жизненного цикла может попасть организация, привел к широкому распространению матричного типа структур которые строятся как горизонтальные структуры направленные на достижение какой-то определенной достаточно локальной цели. Это может быть освоение нового вида продукции, внедрение новой технологии, осуществление конкретных антикризисных мероприятий.
Матричная структура предполагает объединение в едином коллективе работников функциональных подразделений на определенный срок для выполнения определенных задач (Схема 9).
Схема 9 Матричный тип.
|
Вице-президент по производству |
Вице-президент по маркетингу |
Вице-президент по финансам |
Вице-президент по труду и социальным вопросам |
||
|
Руководитель проекта Господин N |
Переход на полностью автоматизированное производство изделия А |
8 чел. |
3 чел. |
2 чел. |
Достоинство: многофункциональное единонаправленное подразделение, позволяющее интегрировать лучших специалистов всех функциональных структур.
Недостаток: двойное подчинение сотрудников и возможное противодействие руководителей функциональных подразделений.
Коммуникации – процесс обмена информацией и передача сведений между отдельными людьми или группами.
Значение коммуникаций в жизни организации – передача информации от руководителя к подчиненным, получение сведений путем обратной связи о фактическом состоянии организации, осуществлении контроля, мотивации, эмоциональном настрое.
Горизонтальные коммуникации – перемещение информации между членами организации, находящимися на одном уровне (начальники цехов, рабочие одной бригады).
Вертикальные коммуникации (нисходящие и восходящие) – перемещение информации между уровнями управления, влияющее на достоверность и своевременность информации (таблица 2).
Таблица 2
|
Должность в фирме |
Достоверность информации |
Член совета директоров |
100% |
|
Вице-президент |
64% |
|
Руководитель среднего звена |
50% |
|
Бригадир |
30% |
|
Рядовой рабочий |
20% |
Элементы коммуникаций: источник (кодирование) – канал – получатель (расшифровка кода) – обратная связь (контроль).
Модели коммуникационных сетей:
Схема 10

Каждая из моделей имеет свои достоинства и недостатки.
Модель "круг" не предполагает наличия руководителя в информационном процессе, обеспечивает свободный обмен информацией равноправных участников, при котором все в равной степени могут быть источниками и получателями информации. Наиболее пригодна на семинарах, конференциях.
Модель "звезда" обеспечивает непосредственную передачу информации от руководителя (А) каждому подчиненному (Б,В,Г,Д), что сводит к минимуму искажения информации, способствует высокой степени контролируемости коммуникационного процесса, облегчает обратную связь. Но эта модель может применяться лишь в небольшом коллективе (5-7 человек).
Модель "шпора" применима в средних организациях, поскольку предполагает, что у руководителя (А) имеются два менеджера среднего звена (Б,В), которые являются источниками информации для подчиненных (Г,Д). Количество блоков в "шпоре" может быть значительным (5-7), что усложняет информационный процесс. Положение Б и В таково, что они могут корректировать прямую и обратную информацию, принадлежащую А (невольно или сознательно).
Развитие процессов децентрализации в управлении приводит к моделям "палатка" и "дом", в которых помимо вертикальных коммуникаций возникают горизонтальные. С одной стороны, это факт положительный. Горизонтальные коммуникации освобождают руководителя от текущей информации и позволяют подчиненным самим собирать ту информацию, которая им необходима.
С другой стороны, значительно возрастает опасность искажения информации. Так, если в "шпоре" информация от А к Г и Д проходила два этапа, то в "доме" она может проходить 4 этапа (А-Б-В-Д-Г), что негативно скажется на ее современности и достоверности.
Еще большие искажения возможны при обратной связи (сговор Г и Д, Б и В).
Тем не менее, несмотря на недостатки, современные организации используют сложные коммуникации, включающие вертикальные, горизонтальные и перекрестные связи (например, Д – Б).
Организационная (корпоративная) культура – совокупность ценностей, морально-этических принципов, разделяемых всем коллективом, традиций, схема поведения сотрудников. Ее воплощением являются логотипы, слоганы, форменная одежда, мифы и ритуалы.
Роль корпоративной культуры чрезвычайно велика, т.к. именно она образует основу сплочения коллектива, обретение доверия.
Кроме вышеупомянутых на деятельность организации оказывают влияние следующие факторы: форма собственности, сфера функционирования, размер организации.
Ведущей в народном хозяйстве России является частная собственность, эффективность которой значительно выше, чем государственной. Однако последние годы наблюдается стремление государства усилить свою роль в ТЭКе, металлургии, оборонных предприятиях.
Каждая форма собственности накладывает отпечаток на методы управления и формирования финансовых ресурсов.
Особенности деятельности организации определяются сферой ее действия – производство, торговля, банковское дело, консалтинг и т.д.
Это сказывается на технологии функционирования, составе ресурсов, структуре фондов и т.д.
Например, сельскохозяйственное производство обладает особенностями, которые резко отличают его от промышленности. Прежде всего это влияние объективного природного фактора (качество земли, климат, погода), который в значительной степени определяет эффективность деятельности. Конечно, с помощью достижений научно-технического прогресса (удобрения, передовая агротехника, искусственный климат) можно оптимизировать действие природного фактора, однако дороговизна этого процесса чрезмерно увеличит стоимость продукта.
Не менее значительное воздействие оказывают биологические законы. Для созревания продуктов растениеводства необходимо определенное количество световых дней, для рождения животного и превращения его в продуктивный скот – определенное количество месяцев, которые будут отделять период вложения средств от получения результата. Тем самым результат может быть получен за пределами календарного года, что важно при получении кредита.
Спецификой обладают и транспортные фирмы, чья деятельность полностью зависит от уровня производства в конкретном регионе, степени развитости грузо- и пассажиропотоков, степени кооперации этого региона.
В последние десятилетилетия появились новые отрасли хозяйственной деятельности – посреднические услуги (подбор кадров, лизинг, факторинг), консалтинг, аудит.
Еще одна важная характеристика - размер организации, в зависимости от которого находятся такие важные характеристики, как ресурсы, внутренняя структура, коммуникации, строятся отношения с агентами внешней среды (государство, покупатели, поставщики).
Крупные организации обладают большими финансовыми возможностями, экономят на постоянных расходах, устойчивы в конкурентной борьбе.
В последней четверти ХХ века развитие получил малый и средний бизнес, на долю которого приходится в США 90% самостоятельных фирм, производящих свыше 50% ВНП; в Японии – 99%.
Принципиальное отличие малого бизнеса в том, что для него характерно единство права собственности и непосредственного управления предприятиями и связанного с ним риска. Вторая характерная черта – так называемая обозримость предприятия, ограниченность его масштабов, что вызывает особый, персонифицированный характер отношений между хозяином и работником. Третья – особое значение роли руководителя в жизни предприятия: он сам полностью ответственен за результаты хозяйствования. Четвертая – семейное ведение дела.
Сформулированные особенности обеспечивают малому и среднему бизнесу высокую мобильность, незначительные транзакционные издержки облегчают венчурные исследования, быструю перестройку производства и ассортимента под воздействием требований рынка.
Очень выигрышны малые предприятия в электронике, где они разработали в 2,5 раза больше новых видов продукции, чем крупные, создали производство полупроводников. Стоимость изобретения у них – 87 тыс. долл., в то время как у крупных предприятий – 2 млн. долл.; время необходимое для выхода на рынок – 2,3 года против 3,1 года у крупных.
Вместе с тем, малый бизнес испытывает большие трудности, связанные с доступом к инвестиционным и информационным ресурсам, квалификацией менеджеров, неопределенностью внешней среды.
В развитых странах существует комплекс мер по поддержке малого и среднего бизнеса, осуществляемый на государственном, муниципальном уровне, крупными корпорациями, учебными заведениями и т.п.
Он включает в себя меры по юридической, финансовой поддержке, лизинг, повышение квалификации кадров, аренду помещений, исследовательские работы.
В РФ принято множество постановлений на разных уровнях, осуществлен ряд налоговых изменений, но ситуация по-прежнему неудовлетворительная, о чем свидетельствует таблица 3.
Раздел 2. Функции менеджмента
Основное содержание менеджмента воплощается в четырех функциях, составляющих логическую цепь и отвечающих последовательно на следующие вопросы:
Что будет делать организация сегодня и в будущем – стратегическое планирование;
Кто будет обеспечивать его эффективное воплощение в жизнь – делегирование (иногда эту функцию называют организацией, что приводит, на наш взгляд, к путанице понятий);
Почему люди будут эффективно работать – мотивация;
Насколько эффективно осуществляется реализация всех упомянутых функций – контроль.
Рассмотрение функций следует осуществлять именно в такой последовательности, т.к. она логична, соответствует объективным связям функций.
Тема 3. Стратегическое планирование.
Стратегическое планирование – это процесс построения комплексной перспективной программы достижения цели, поставленной перед организацией, включающей максимальную приспособляемость к условиям внешней среды, эффективное использование ресурсов, гибкость внутренней структуры.
Любое предприятие, организация должны иметь свою стратегию, которую определяет руководитель. Он несет ответственность за выбранную стратегию.
Разработка стратегии представляет собой последовательный процесс, состоящий из нескольких этапов.
Рейтинг условий ведения малого и среднего бизнеса в разных странах мира
Таблица 3
|
Страны |
Комплексный рейтинг условий бизнеса |
Рейтинг условий ведения бизнеса по отдельным аспектам |
||||||||
|
Условия для начала бизнеса |
Обеспечение собственного строительства |
Трудовые отношения |
Возможность кредитования |
Защищенность инвестора |
Налоговая система |
Обеспечение внешнеторговых операций |
Закрытие и ликвидация бизнеса |
Регистрация прав собственника |
||
|
США |
3 |
3 |
22 |
1 |
7 |
5 |
62 |
11 |
16 |
10 |
|
Канада |
4 |
1 |
32 |
13 |
7 |
5 |
22 |
8 |
5 |
22 |
|
Великобритания |
8 |
8 |
48 |
17 |
1 |
9 |
12 |
14 |
10 |
19 |
|
Япония |
11 |
18 |
2 |
36 |
13 |
12 |
98 |
19 |
1 |
39 |
|
Германия |
21 |
66 |
21 |
129 |
3 |
83 |
73 |
7 |
28 |
42 |
|
Франция |
35 |
12 |
26 |
134 |
48 |
60 |
91 |
26 |
32 |
160 |
|
Италия |
82 |
52 |
104 |
101 |
85 |
83 |
117 |
110 |
48 |
53 |
|
Китай |
93 |
128 |
153 |
78 |
101 |
83 |
168 |
38 |
75 |
21 |
|
Россия |
96 |
33 |
163 |
87 |
159 |
60 |
98 |
143 |
81 |
44 |
|
Бразилия |
121 |
115 |
139 |
99 |
83 |
60 |
151 |
53 |
135 |
124 |
Высшая оценка 1
Низшая оценка 175
1 этап. Определение миссии организации.
Миссия организации является первым этапом планирования, который определяет предназначение организации и тем самым влияет на всю дальнейшую ее деятельность.
При определении миссии необходимо ответить на два вопроса: "Кто будут наши клиенты?" и "Какие потребности наших клиентов мы будем удовлетворять?"
Определение миссии необходимо для решения следующих задач:
- информации объектов внешней среды о сфере деятельности организации, основных принципах ее функционирования, имидже;
- подбора персонала соответствующих профессиональных и личностных качеств для создания в процессе совместной деятельности команды;
- формулирования целей организации;
- создание адекватной миссии корпоративной культуры.
Определение миссии происходит в зависимости от имеющейся общественной потребности, наличных ресурсов и личности владельца(цев) организации.
2 этап. Формулирование целей организации.
Цель отличается от миссии конкретностью; она должна быть всегда реальна, выражена в физических или стоимостных единицах, четко привязана к временному периоду, достижима.
В качестве целей фирмы могут выступать определенный уровень рентабельности, определенная сумма прибыли, объем производства, уровень затрат; доля на рынке, лидирующее положение в отрасли по качеству выпускаемой продукции или по уровню обслуживания клиентов; определенный уровень социальной защищенности коллектива, выход на мировой рынок и т.д. Цели могут носить также характер политический или социальный, например, меценатство, благотворительность.
Необходимо выбрать единую общую цель, которая должна быть дифференцирована на более мелкие подцели, в соответствии с внутренней структурой организации.
Результатом дифференциации целей является построение "дерева целей" (схема 11).
Схема 11

Требования к "дереву целей": единонаправленность целей нижнего уровня с целями верхнего уровня и внутри одного уровня; сумма целей нижнего уровня должна равняться цели верхнего уровня.
Противоречие целей.
Следует иметь в виду, что возможны противоречия целей как во вне организации, так и внутри ее. Внешние противоречия целей организации могут возникнуть при взаимоотношениях с поставщиками и потребителями и уж, безусловно, наиболее часто во взаимоотношениях с конкурентами. Помимо этого возможны противоречия целей между организацией и государственными органами. Например организация заинтересована в сокращении численности занятых для повышения производительности труда, но эта цель придет в противоречие с целями муниципальных органов, для которых увеличение числа безработных это снижение доходов, увеличение расходов на социальные нужды, усиление криминальной обстановки и т.д.
3 этап. Анализ факторов внешней среды.
Изучая условия достижения цели, необходимо рассмотреть поочередно факторы внешней среды, изложенные в теме 2, с точки зрения будут ли они способствовать или препятствовать достижению цели, т.е. будут факторами угрозы или возможностей.
Результатом анализа может быть корректировка целей во времени или количественном выражении.
4 этап. Анализ внутренних факторов.
При анализе внутренних факторов необходимо выяснить располагает ли организация необходимыми внутренними ресурсами и необходимой внутренней структурой для достижения поставленной цели. Факторы внутренней структуры надо рассмотреть с точки зрения силы и слабости.
5 этап построение матрицы SWOT.
Итогом 3 и 4 этапов должна быть матрица взаимных влияний факторов внешней и внутренней среды, имеющая следующую форму (схема 12):
Схема 12

Поле 1 включает в себя те мероприятия стратегии, которые вытекают из сочетания сильных сторон организации и возможностей, создаваемых внешней средой (СИВ).
Поле 2 содержит действия, которые предпримет организация для преодоления угроз внешней среды (СИУ).
Поле 3 должно показать те потенциальные возможности, которые будут упущены из-за слабости факторов внутренней среды (СлИВ).
Поле 4 характеризует возможные потери, которые будут созданы комбинацией неблагоприятных условий внешней и внутренней сред (СлИУ).
На основе матрицы должны быть разработаны меры по ликвидации или ослаблению результатов поля 4, реализован положительный потенциал поля 2 и 3 и всемерно усилено влияние поля 1.
6 этап. Анализ альтернатив.
Достижение цели может иметь различные варианты как с очки зрения состава ресурсов, так и с точки зрения выбора (возможных контрагентов) темпов развития, высоких, средних, низких.
Высокие темпы означают, что организация развивается быстрее, чем отрасль в целом и, тем самым, быстрее конкурентов. Это позволяет ей получить выигрыш во времени для достижения цели – более низких издержек производства или более высокого качества продукции – и на этой основе завоевать дополнительную долю рынка.
Средние темпы – это темпы отрасли в целом, они не приводят к переделу рынка или завоеванию новых позиций.
Низкие темпы – более медленное, чем у других организаций движение вперед – могут быть вызваны трудностями в жизни фирмы, а могут сопровождать структурную или ассортиментную перестройку, т.е. быть преддверием подъема темпов.
Все эти альтернативы должны быть изложены и оценены.
В качестве альтернатив могут быть также рассмотрены различные стратегии завоевания рынка.
Как свидетельствует практика, рынок может быть завоеван тремя основными стратегиями:
- Лидерство по ценам, предполагающее массовое производство стандартной продукции, рассчитанной на самые низкооплачиваемые слои населения и минимизацию издержек производства и обращения. Прибыль фирмы формируется за счет объема реализации при низкой удельной норме прибыли. Стратегия не предполагает инвестиций в маркетинг, опирается на функциональный тип внутренней структуры, основное внимание уделяется жесткому соблюдению стандартов и постоянному поиску путей снижения издержек. Основной проблемой этой стратегии является необходимость периодической замены ассортимента при соблюдении низкого уровня цен, тем самым приходится решать проблему источника покрытия расходов по освоению.
- Дифференциация по ценам. Рассчитана на средний класс и предполагает выпуск продукции разнообразного ассортимента по качеству и уровню цен. Достоинством этой стратегии является устойчивость среднего класса как категории покупателя и его консерватизм при выборе фирмы поставщика. Проблема осуществления - дорогостоящие и широкомасштабные маркетинговые исследования, призванные определить профиль покупателей среднего класса, динамику его доходов, а также организация борьбы с подделками при постоянном обновлении ассортимента.
- Фокусная стратегия рассчитана на обслуживание узкого круга покупателей, отличающихся либо высокими доходами, либо не могущих удовлетворить свои потребности стандартной продукцией (люди очень высокого и очень низкого роста, обладающие определенными физическими дефектами и т.д.). Отличительной чертой этой стратегии является выпуск продукции единичными экземплярами, очень высокого качества, с высокими издержками, реализуемыми по эксклюзивным ценам. Проблемой этой стратегии является узкий круг потребителей продукции и бешеная конкуренция.
7 этап. Выбор стратегии.
Из всех вариантов выбирается один, который и служит программой деятельности организации на долгие годы. Выбор зависит от этапа жизненного цикла организации и набора критериев (время, стоимость, наличие ресурсов, степень риска).
8 этап. Реализация стратегии.
После разработки стратегии необходимо ее реализовать. Процесс реализации стратегии происходит по следующим этапам:
1) Выработка тактики, то есть краткосрочной стратегии.
Тактика отличается от стратегии тем, что она рассчитана на короткий срок и дает немедленный результат. Кроме того, тактику легче изменить, приспособить к внешним условиям и тесно связать с ними.
2) Определение политики.
Политика определяет общие методы решения проблем. Политику фирмы определяет ее руководитель, и она зависит от многих личностных особенностей.
3) Формулирование процедур и правил.
Правило – это указание подчиненным на характер поведения в конкретных случаях деятельности. ("Уходя, гасите свет!")
Процедура – это совокупность правил и условия их реализации. Процедуры и правила необходимы по следующим причинам:
освобождают руководителя от необходимости постоянно вмешиваться в деятельность подчиненных;
дают ориентацию подчиненным, как действовать в штатных ситуациях;
служат эталоном и критерием оценки качества работы подчиненных в процессе контроля.
Процедуры и правила должны быть понятны подчиненным.
4) Разработка бюджета.
Этот этап состоит в определении средств, необходимых для осуществления стратегии.
Завершение теоретического обоснования реализации стратегии позволяет перейти к практической организации этого процесса – конкретному планированию последовательности и этапов осуществления мероприятий, намеченных матрицей SWOT, определению тех, кто будет осуществлять намеченную программу, т.е. применению последующих функций менеджмента.
Заключительный шаг – оценка правильности выбранной стратегии. Стратегия оценивается спустя определенное время с начала реализации. Она происходит в процессе сопоставления результатов с поставленными задачами и целями.
Тема 4. Делегирование ответственности и полномочий.
Делегирование – перераспределение управленческих функций от руководителя к подчиненным.
Эффект делегирования – руководитель освобождается от рутинной работы, подчиненные включаются в процесс управления фирмой и реализуют свои организационные способности. Делегирование предполагает передачу подчиненным части полномочий и ресурсов.
Обычно делегируются следующие виды полномочий:
- решение частичных, узкоспециальных проблем, в которых исполнители разбираются лучше руководителя;
- осуществление подготовительных работ, написание проектов, подлежащих последующему обсуждению и утверждению;
- сбор информации и обмен опытом по определенному кругу проблем.
Не делегируется решение общих вопросов стратегии, принципов мотивации и контроля, проблем, предполагающих действия в критических ситуациях или условиях повышенного риска.
Процесс делегирования предполагает определение следующих составляющих:
- круг делегируемых функций;
- цель делегирования;
- место сотрудника в служебной иерархии (кому он подчиняется, кто ему подчиняется);
- знания и навыки, необходимые для выполнения порученных функций;
- ресурсы, передаваемые в распоряжение сотрудника;
- срок делегирования;
- система мотивации (оплата труда, премирование);
- сроки и системы контроля (виды отчетности).
Определение перечня вопросов, подлежащих делегированию, определяется с помощью матрицы Эйзенхауэра (схема 13):
Схема 13

Если делегирование рассчитано на длительный срок или постоянно, выше изложенные параметры закрепляются должностной инструкцией и формируют внутреннюю структуру.
Осуществление делегирования затрудняется нежеланием руководителей делиться властью, боязнью ответственности и некомпетентностью подчиненных.
Нежелание руководителей осуществлять делегирование свидетельствует об их низкой квалификации, поскольку аргументы, выдвигаемые этими руководителями, не выдерживают никакой критики.
- Первый аргумент. Если делегировать все полномочия, то сама должность руководителя становится ненужной. Совершенно очевидно, что есть достаточно широкий круг полномочий, которые никому не могут быть делегированы. К ним относятся определение стратегии организации, формулирование общих условий функционирования организации, то есть мотивация и контроль деятельности подчиненных, координация деятельности всех подразделений и устранение возникающих между ними противоречий.
- Второй аргумент. Делегирование полномочий приведет к падению авторитета руководителя, так как тем самым он признает, что какие-то функции подчиненные выполняют лучше, чем руководитель. Гигантский накопленный опыт показывает, что это утверждение справедливо только в том случае, если подчиненные выполняют лучше, чем он все функции руководителя. Признание, что подчиненные какие-то функции выполняют лучше, лишь укрепляет взаимоотношения руководителя с коллективом, так как свидетельствует о его объективности по отношению к подчиненным.
- Если поручить сотрудникам сколько-нибудь серьезные функции, то нет уверенности, что они будут выполнены на достаточном уровне. Недоверие к сотрудникам свидетельствует о том, что руководитель не уделяет должного внимания комплектованию коллектива и не хочет или не умеет заниматься обучением и воспитанием. Расчет эмпирической кривой, характеризующей зависимость между затратами на обучение и эффективностью труда руководителя, показывает, что затраты труда руководителя превышают полученный эффект лишь в течение очень короткого периода времени. В дальнейшем выигрыш, полученный организацией от хорошо обученных и самостоятельных сотрудников, не сопоставимо выше, чем затраты на их обучение.
Подчиненные отказываются включаться в делегирование по целому комплексу причин: нежелание привлекать к себе внимание начальства, отсутствие необходимой квалификации, времени, необходимых черт характера, недостаточная мотивация дополнительных усилий.
Правильная организация делегирования должна осуществляться с учетом особенностей человеческих ресурсов и содержания делегируемых функций.
С процессом делегирования неразрывно связана проблема соотношения централизации и децентрализации, т.е. сосредоточения решения проблем организации в руках высшего менеджмента.
Централизация управления дает возможность принимать решения узкому кругу высококвалифицированных лиц, обеспечивать пропорциональное развитие всех подразделений организации, контролировать все подразделения по единому принципу. Но централизация имеет и серьезные недостатки: бюрократизм, удлинение сроков информационного процесса, возрастание опасности искажения данных, воспитание иждивенчества у работников подразделений.
Децентрализация позволяет принимать решения тем, кто располагает наиболее достоверной информацией, быстро, создает возможность реализовать способности и опыт работников подразделений. Недостатком децентрализации является превалирование местнических интересов над общеорганизационными.
Степень децентрализации определяется долей важных решений, принимаемых на местах, может меняться по мере развития организации, зависит от конкретных условий хозяйствования.
Тема 5. Мотивация и потребности.
Мотивация – это побуждение себя и других к осуществлению действий, направленных на достижение цели с максимальным эффектом.
Мотивация может строиться по принципу удовлетворения потребностей или организации поощрения и наказания.
Виды потребностей (по А.Маслоу) представлены в схеме 14
- физиологические;
- потребность в безопасности (уверенность в завтрашнем дне);
- потребность в причастности (принадлежность к определенной общности людей);
- потребность в уважении;
- потребность в самореализации (или в творческом труде).
Пирамида потребностей
Схема 14

На формирование потребностей влияют следующие факторы:
- пол
- возраст
- профессия
- семейное положение
- экономическая ситуация
- политическая ситуация
- уровень образования
- воспитание
- социальная принадлежность.
Потребности как основа мотивации рассматриваются содержательной теорией мотивации. Ее сторонники (А. Маслоу, Д. МакКлелланд, Ф. Герцберг и др.) по разному классифицировали потребности и оценивали их роль в создании мотивационных систем.
Но все они обращали внимание на количественную сторону этого процесса, в то время как практика показала, что не меньшую роль играет организационно-психологический аспект.
Процессуальные теории акцентировали внимание на восприятии работником стимулов и санкций.
Теория ожиданий (В. Врум) утверждает, что должно быть твердое соотношение между результатами труда и вознаграждением и вознаграждение должно соответствовать ожиданиям работника.
Теория справедливости (А. Адама) утверждает, что мотивация будет осуществляться лишь тогда, когда работник считает вознаграждение справедливым в сравнении с другими.
Модель Портера-Лоулера объединяет обе теории и основывается на пяти переменных:
затраченные усилия;
восприятие;
результаты;
вознаграждение;
степень удовлетворения.
Практические системы мотивации:
1. Экономические методы (зарплата, премии, льготы, страховки, беспроцентные кредиты).
2. Управление по целям.
3. Обогащение труда.
4. Системы участия.
Разнообразные системы оплаты труда, направленные на его интенсификацию или повышение качества результатов, премии, стимулирующие либо личные, либо коллективные усилия, могут применяться в достаточно широкой палитре, особенно в настоящее время, когда регулирование систем оплаты во многом устанавливается руководителями предприятий, особенно вне государственной собственности.
Успешность применения экономических методов зависит от их признания коллективом, понятности принципов организации материального поощрения и его размеров.
Управление по целям требует разработки шкалы целей для подразделения или человека и соответствующей шкалы вознаграждений. Эта система широко используется в США и, безусловно, очень наглядна. Но ее применение требует серьезной предварительной работы и квалифицированных специалистов для формулирования целей, обеспечения их соответствия главной цели и непротиворечивости друг другу.
Обогащение труда предполагает расширение самостоятельности в использовании времени, ресурсов, принятии тактических решений.
Системы участия могут предполагать участие в принятии решений (японский менеджмент) или собственности.
Участие в принятии решения, являющееся одной из особенностей японской системы менеджмента, предполагает, что руководство компании дифференцирует цель, стоящую перед компанией на множество подцелей (смотри дерево целей), не определяя при этом тех путей, которыми коллектив должен прийти к достижению целей. Эти пути разрабатываются членами коллектива при совместном обсуждении, и итоговые результаты этих обсуждений передаются на более высокий уровень управления. Тем самым все члены коллектива принимают участие в принятии решения, реализуя тем самым потребность в причастности, уважении и самореализации. Система японского менеджмента предполагает поощрение инициатив сотрудников, даже если эти инициативы не были реализованы компанией.
Участие в собственности достигается за счет продажи акций компании сотрудникам при достижении определенного трудового стажа на льготных условиях: либо компания применяет опцион – то есть продает сотруднику акции по более низкой цене, нежели они сегодня стоят, либо добавляет ему определенную сумму (до 25%) на покупку акций.
Тема 6. Контроль.
Контроль – это система мер, целью которой является совместный и управляемый поиск наиболее эффективного достижения цели, предупреждения потерь, распространения передового опыта. Бытующее представление о контроле как о способе поиска виновных в низкой эффективности деятельности и их наказании абсолютно не соответствует сущности этой функции, а является лишь ее незначительной частью.
Принципы организации контроля:
1. Контроль – это органичная часть деятельности организации, формы и сроки которой должны быть сообщены подчиненному при приеме на работу или их изменении.
2. Всеобщность контроля, означающая, что контролируется деятельность всех работников организации, все осуществляемые процессы.
3. Объектами контроля должны быть существенные стороны деятельности, влияющие на результаты работы. Мелочный контроль не достигает цели, а лишь раздражает коллектив.
4. Формы контроля (явная или скрытая) должны быть выбраны в зависимости от состава коллектива.
5. Результаты контроля должны быть доведены до сведения проверяемых, в максимально тактично форме и способствовать сплочению коллектива.
По времени осуществления контроль делится на:
- предварительный (контроль элементов производства перед его началом),
- текущий (контроль процесса производства),
- заключительный (контроль результата).
Процесс контроля состоит из трех этапов:
1. Установление стандартов контроля и информирование о них сотрудников организации.
Стандарты контроля и допустимые от них отклонения определяются целью организации, т.е. тесно связаны со стратегией. Все сотрудники должны знать, что в их деятельности подлежит контролю, каковы показатели их труда, которые будут контролироваться, и в какие сроки и в какой форме будет осуществляться контроль.
2. Сравнение фактического состояния вещей с установленными стандартами.
Сопоставляется фактическое положение дел со стандартами, проверяется достоверность поступившей информации и делается вывод о том, достигнуты поставленные цели или нет. Результаты контроля доводятся до сотрудников.
Если цели достигнуты, то третий этап не нужен, если цели не достигнуты, то он осуществляется
3. Установление причин отклонений.
Причины отклонения могут быть в результате установления неправильных стандартов, тогда стандарты необходимо исправить, т.е. весь процесс контроля начать с первого этапа.
Если же стандарты правильны, то необходимо найти причины этих отклонений, устранить их и вновь сравнить фактическое положение со стандартами, т.е. вернуться ко второму этапу. Этот процесс возможно потребует нескольких итераций.
Связь между функциями управления может быть прямой (линейный принцип): разработка стратегии, осуществление делегирования, мотивация, контроль. Но может быть более сложная система связи функций (схема 15).
Схема 15

Раздел 3. Профессия менеджера
Тема 7. Особенности профессии менеджера
Сущность профессии менеджера и ее особенности на разных уровнях управления и в разных сферах.
Основные группы ролей менеджера:
1. Менеджер как руководитель организации, осуществляющий межличностное общение.
2. Менеджер как руководитель информационного процесса.
3. Менеджер как личность, принимающая решение.
Межличностное общение осуществляется в трех ролях:
1. Формальный руководитель организации – символический глава, выполняющий все функции и обязанности, определяемые его правовым и социальным статусом;
2. Лицо, олицетворяющее организацию в общении с контрагентами (поставщиками, покупателями и т.п.).
Как руководитель организации менеджер должен вступать во взаимоотношения с поставщиком, клиентом, партнером и т.д. Успешность переговоров зависит от того, насколько правильно учтен тип человека при переговорах.
При ведении переговоров с партнерами аналитического типа надо приготовить для аргументации полный логический ряд последующих действий, выстроить логическую цепочку процесса, события.
При беседе с человеком фактологического типа (человек – прагматик) надо приводить множество фактов, цифр, реальных ситуаций.
Третий тип партнера – это тип человека, для которого важно соблюдение закона или его выгоды независимо от степени законности.
Идеалиста – партнера интересуют только идеи, а не мелочи, факты. Все практические вопросы надо решать с его подчиненными.
Переговоры можно вести в разных стилях:
- давление (давите своей силой на партнера);
- уклонение от переговоров;
- компромисс (особого выигрыша не будет, но создается основа для будущего сотрудничества; пригодится в случае вашей заинтересованности в партнере);
- сотрудничество (форма общения, выгодная обоим контрагентам).
Необходимо вести переговоры в спокойном вежливом стиле. Не надо раскрывать себя, свои намерения перед противником.
3. Лидер коллектива.
"Лидерство – это способность поднять человеческое видение на уровень более широкого кругозора, вывести эффективность деятельности человека на уровень более высоких стандартов, а также способность формировать личность, выходя за обычные, ограничивающие ее рамки". – Питер Ф. Друкер.
Лидерство – это способность оказывать влияние на отдельных лиц и на группы лиц для достижения цели.
Влияние – это поведение личности, которое оказывает воздействие на мировоззрение и поведение другой личности или группы лиц, это форма реализации власти.
Власть – это реальное воздействие на других людей и их поведение.
Формы власти:
- законодательная (на стороне власти закон);
- власть, основанная на принуждении;
- власть, основанная на вознаграждении;
- эталонная власть (власть примера, харизматическая власть);
- экспертная власть (основана на разумной вере в то, что руководитель обладает знаниями, навыками и умением, позволяющими достичь цели; власть основана на доверии подчиненного).
Принуждение как основа власти может быть физическим, экономическим, моральным, комбинированным.
Власть, основанная на принуждении, в определенной доле должна присутствовать в любом стиле руководства, однако как господствующая тенденция она не приносит тех результатов, которые достигаются, например, при экспертной форме, т.к. она не предполагает удовлетворения трудом и базируется на жестком контроле. Власть, основанная на вознаграждении, также должна использоваться (мотивация), но она сама по себе порождает возможности вымогательства и, тем самым, конфликта.
Эталонная власть обычно свойственна известным личностям (политическим деятелям, актерам, спортсменам), базируется на эмоциях, вкусах. Она весьма желательна для руководителя как дополнение, но вряд ли может быть единственной формой, т.к. эмоции – вещь переменчивая.
Наилучшей формой власти, безусловно является экспертная, т.к. она базируется на рассудке, т.е. осознанном признании превосходства кого-либо в определенной области.
В реальной жизни экспертная власть руководителя дополняется законом, принуждением, вознаграждением в его роли главы организации.
В зависимости от теоретических основ лидерства и методов руководства лидеры делятся на автократов и демократов.
В теориях Х и Y Д. Мак-Грегором были сформулированы принципы взаимоотношений руководителя – лидера с подчиненными.
Теория Х: люди ленивы, боятся ответственности, управление – удел избранных; поэтому руководитель должен сам решать все проблемы, определять параметры деятельности подчиненных, жестко их контролировать, кнут предпочтительнее пряника.
Теория Y: потребность в труде присуща людям, но труд должен приносить удовлетворение; задача руководителя – создание условий, способствующих заинтересованности людей в высоких результатах труда.
Лидер – автократ признает авторитарный стиль общения – жесткий тон распоряжений, позиция лидера – над подчиненными, все решения единоличны, порицания преобладают в системе стимулов.
Лидер – демократ – делегирование полномочий, консультативный метод принятия решений, рекомендательная форма указаний, тактичный неуклонный контроль.
Рассмотрим практический пример.
1. Вернувшись среди дня на работу, руководитель обнаружил, что данное накануне поручение не выполнено, т.к. подчиненные готовили "капустник" к Новому Году.
Руководитель – автократ:
1. Резко отчитает сотрудников, может объявить выговор в приказе.
2. Оставит после работы для выполнения задания.
3. Может отменить празднование Нового Года или лишить премии ответственного за поручение.
Руководитель – демократ:
1. Выяснит, в чем причина подобного поведения сотрудников. Если аргументы убедительны, согласится с ними.
2. Обязательно проверит, выполнено ли поручение позже и не нанесен ли ущерб фирме.
3. Если ущерб нанесен, пригласит виновного, выслушает его аргументы, обоснует, почему они неубедительны, предложит виновному найти выход из положения. Может применить административные и материальные санкции, объяснив свои действия.
4. Обсудит с сотрудниками возникший инцидент и предложит сделать выводы.
Решетка БЛЕЙК – МУТОН и ее использование для классификации руководителей.
Решетка БЛЕЙК – МУТОН классифицирует всех руководителей по двум признакам – интерес к работе и интерес к людям – по девяти градациям.
Схема 15.

Особенности стиля руководителей типа 1.1; 9.1; 1.9; 5.5; 9.9
Руководитель 1.1. проявляет минимальный интерес к обеим характеристикам, поэтому вообще руководителем признан быть не может. Все решения он принимает руководствуясь личными критериями.
Руководитель 9.1. – критерий принятия решений интересы производства в максимальной степени, стиль отношений авторитарный. Эффективность деятельности может быть высокой.
Руководитель 1.9. - "санаторий" - все решения принимаются с ориентацией на мнение коллектива, главное – поддержание дружеских отношений. Эффективность деятельности низкая.
Руководитель 5.5 – "синица в руках предпочтительнее журавля в небе" - безрисковые решения, средние темпы развития.
Руководитель 9.9 - демократ, достигающий высоких результатов за счет мобилизации всех возможностей коллектива.
Рассмотрим еще одну практическую ситуацию.
Переезд в новое помещение фирмы сопряжен с уплатой неустойки по аренде помещения в размере 5 % годового дохода фирмы и расходами на переезд в размере трехмесячного дохода. Доходы от лучшего местоположения фирмы возрастут на 35% в год. Сотрудникам переезд неудобен, так как станция метро в 20 минутах ходьбы, а другого транспорта нет.
Наиболее вероятны следующие варианты решений:
- Руководитель 1.1. вряд ли осуществит переезд, поскольку для него лично он сопряжен с дополнительными хлопотами и необходимостью осуществления серьезных управленческих действий.
- Руководитель 9.1., безусловно, переедет, так как выигрыш фирмы достаточно очевиден, а неудобства сотрудников его не будут волновать ни в малейшей степени.
- Руководитель 1.9. подчинится решению коллектива, и потому заранее предсказать, каким будет это решение в данной ситуации, невозможно.
- Руководитель 5.5. скорее всего не переедет, так как твердой уверенности в эффективности этого мероприятия нет.
- Руководитель 9.9., обсудив с коллективом все плюсы и минусы, очевидно, осуществит переезд, но при этом найдет способ организации доставки сотрудников к месту работы.
Предложенные нами варианты решений отнюдь не являются безоговорочными, и слушателями могут быть предложены иные.
Тема 8. Менеджер как руководитель информационного процесса.
Содержание этой группы ролей руководителя - создание коммуникационной сети организации и постоянный контроль за ее работой, отбор информации, подлежащей распространению внутри и вне организации, и определение формы подачи этой информации; обеспечение обратной связи, информационное обеспечение принятия решений.
Менеджер, получив определенные данные, должен их понять, оценить возможность их использования, т.е. степень их релевантности.
Для этого он должен обладать определенной системной понятийной базой, которая зависит от способностей, квалификации, опыта.
Технология информационной деятельности:
- создание систем фиксации информации;
- создание систем носителей информации;
- формирование базы данных;
- создание пакетов прикладных программ;
- система защиты информации.
Основы требования к информации: достоверность, своевременность, релевантность, полнота, экономичность.
Очевидно, что совместить все эти требования в одном массиве невозможно – достоверность и полнота требуют времени и затрат. Поэтому задача менеджера построить информационный процесс таким образом, чтобы вы каждом случае обеспечить качество информации необходимое руководителю.
Информационный процесс состоит из следующих этапов:
1. Отправитель (источник информации).
2. Сообщение.
3. Канал связи.
4. Получатель.
Искажение информации может произойти на любом этапе.
На этапе "отправителя" искажение может произойти по следующим причинам:
- правильный ответ на неправильно поставленный вопрос;
- неполнота данных;
- использование средних величин, вместо реальных;
- сознательное искажение информации.
На этапе "сообщение" искажение может быть потому, что оно слишком кратко или излишне многословно, нелогично.
В "канале связи" искажения происходят в связи с тем, что устный или письменный способ не выполнили своей роли, либо по техническим причинам. Любой канал требует проверки.
Искажение информации при устном канале связи может быть связано с тем, что источник информации страдает дефектами речи, бедной мимикой, неприятным тембром голоса.
При письменном канале связи искажение информации может возникнуть в результате неразборчивости почерка, нечеткости печати, или невнимания получателя к печатной продукции в результате ее избыточного количества (рекламные листовки).
При техническом канале связи – искажение может быть вызвано низким качеством этих технических средств, а также злонамеренным искажением информации путем хакерства или запуска вирусов.
На этапе "получатель" искажение возможно из-за невнимательности получателя, разного смысла, вкладываемого людьми в одни и те же понятия, недоверия к источнику информации.
Хрестоматийным стал пример того, что И.В.Сталин, не доверяя Р.Зорге и Л.Маневичу, пренебрег их информацией о начале войны 22 июня 1941 года.
Не стоит использовать третьих лиц при передаче информации. Отправив информацию, надо проверить, дошла ли она, нет ли искажений.
Особое внимание руководитель должен обращать на обратную связь, т.к. именно она содержит реальную информацию о состоянии дел.
Тема 9. Принятие решения.
Управленческая деятельность руководителя представляет собой цепь решений.
Решение – это выбор одной из многих имеющихся возможностей, вариантов достижения цели.
Любой человек принимает решение, находясь в разных социальных ролях – мужчина и женщина, член семьи, член общества, член организации.
Решения, принимаемые человеком как ступенью определенной служебной иерархии, называются управленческими решениями.
Исходя из разных углов зрения, решения могут быть классифицированы следующим образом:
По источнику возникновения - инициативные, по предписанию.
По способу оформления – устные, письменные.
По субъекту – индивидуальные, коллективные, коллегиальные.
По степени уникальности – запрограммированные и незапрограммированные.
По методам разработки – количественные, эвристические.
По степени неопределенности – определенные, вероятные, неопределенные.
По количеству целей – одноцелевые и многоцелевые.
По степени регламентации – регламентирующие, ориентирующие, рекомендующие.
По содержанию (полю) - экономические, технические, управленческие, кадровые.
По сроку действия – долговременные, кратковременные.
По степени воздействия – стратегические, тактические, оперативные.
Способы принятия незапрограммированных решений:
1. интуитивный,
2. адаптивный,
3. экспериментальный,
4. рациональный.
Интуитивный способ широко распространен (в США им принимается до 2/3 правильных, эффективных решений), он очень дешев, так как не требует целенаправленного сбора и анализа информации. Но не все обладают интуицией и, кроме того, метод очень рискован.
Адаптивный метод предполагает использование уже известных решений в сходных ситуациях ("прошлый опыт"). Метод дешев, но грозит серьезными промахами. Внешне схожая ситуация может быть по существу иной, и в этом случае решение будет неправильным. Адаптивный метод не позволяет совершенствовать производство и повышать его эффективность.
Экспериментальный метод наиболее употребим в технике, но в виде моделей и игр может быть применен и в экономике, управлении, социологии. Однако далеко не все управленческие ситуации могут быть смоделированы достаточно близко к реальности.
Незапрограммированные решения наиболее эффективно принимаются рациональным (аналитическим) методом.
При выборе метода следует ответить на следующие вопросы;
- проблема или возможность;
- реальна или надумана;
- существует ли необходимость решения вообще или проблема решится в процессе другого решения;
- действие или решение;
- поле проблемы;
- существует ли алгоритм решения этой проблемы.
Рациональный способ принятия решения состоит из семи этапов.
1 этап. Постановка диагноза проблемы.
Проблема, устранение которой является целью принятия решения, порождается ситуацией – объективным стечением обстоятельств.
Анализ ситуации позволяет определить проблему.
Проблема - несовпадение фактического положения дел с нормативным. Следует сформулировать суть этого несовпадения и найти его причины. При этом надо знать, что у каждой проблемы есть две причины – очевидная и действительная. Выясняется реальная, а не видимая причина, и формулируется цель принятия решения.
В зависимости от характера выявленных причин определяется вид принимаемого решения. Весьма возможен вариант, когда одна и та же проблема может потребовать двух решений - тактического для снятия остроты ситуации и стратегического - для устранения проблемы.
2 этап. Формулировка ограничений и критериев эффективности принятия решения.
Исходя из цели принятия решения, формулируются ограничения – рамки, в пределах которых принимаются решения, и критерии – показатели эффективности принятого решения.
Ограничения касаются разных сторон проблемы (время, ресурсы, требования закона, этики, морали). Особо следует остановиться на должностных ограничениях – принимаемое решение должно соответствовать положению человека в служебной иерархии. При несоблюдении этого ограничения, принятое решение может быть отменено вышестоящим руководителем, что нанесет ущерб и сотруднику и даже организации в целом.
Критерии – показатели, необходимые для выбора решения по степени приближения ситуации к норме в результате принятия решения. В качестве примера критериев может служить решетка БЛЕЙК- МУТОН (тема 7), риск, связанный с реализацией решения, рентабельность, размер инвестиций, срок осуществления решения, степень риска.
3 этап. Рассмотрение альтернатив – вариантов решения проблемы.
Устранение проблемы может иметь несколько вариантов, основные из них (2-3) должны быть сформулированы.
Например, проблема повышения рентабельности фирмы может быть решена разными путями.
1. Увеличение выпуска и реализации продукции, пользующейся спросом. За счет роста объема произойдет снижение постоянных затрат, снизятся издержки, что приведет к росту прибыли. Необходимо при этом иметь в виду, что рост выпуска вызывает повышение уровня переменных расходов, т.е. следует тщательно просчитать все "за" и "против".
2. Изменение ассортимента за счет повышения доли более рентабельных видов продукции. Анализ рентабельности 12 продуктов, выпускаемых Кока-Колой на заре ее существования, показал, что 8 из них убыточны, 3 – низкорентабельны, и только Кока-Кола обеспечивает компании прибыль. Естественно, 11 продуктов были сняты с производства. Изменение ассортимента должно базироваться на очень качественном маркетинге и потребует изменения технологии, структуры сырья и т.п.
3. Повышение качества продукции и соответственно цен на нее, обеспечивающее рост рентабельности. Этот путь требует безусловно дополнительного маркетинга (есть ли достаточный сегмент рынка для этого товара), инвестиций, повышения квалификации кадров и т.д.
Т.е. как видно из примера, каждый вариант имеет свои плюсы и минусы, т.е. необходима совокупная оценка вариантов.
4 этап. Оценка альтернатив по ограничениям и критериям.
Каждый из возможных вариантов оценивается по из результатам второго этапа:сформулированные ограничения используются для отделения вариантов, пригодных для оценки, от абсолютно непригодных.
Принятые критерии могут использоваться для сравнительной оценки пригодных вариантов по следующей форме (таблица 4).
=
V1*
Е11 + V2*Е12
+ V3*Е13
+ V4*Е14
+ V5*Е15
+ V6*Е16
=
V1*
Е21 + V2*Е22
+ V3*Е23
+ V4*Е24
+ V5*Е25
+ V6*Е26
= V1*
Е31 + V2*Е32
+ V3*Е33
+ V4*Е34
+ V5*Е35
+ V6*Е36
К1, К2 и т.д. – это критерии, которые будут использованы при сравнительной оценке отобранных вариантов: сумма инвестиций, риск осуществления, рост рентабельности.
Е11, Е21 … - количественные значения критериев, выраженные в баллах. Например, если К1 – инвестиции, то для первого варианта (В1) они составят 2 млн. руб., для второго (В2) – 6 млн. руб., третьего (В3) – 8 млн. руб. В баллах это может выглядеть так (по 5 бальной системе):
В1 – 5
В2 – 3
В3 – 1
Аналогично оцениваются и другие критерии.
V1, V2 … - удельные веса критериев, выраженные в % и долях единицы; сумма удельных весов должна быть равна 100% или 1. Например, V1 – 15%, V2 – 8% и т.п.
{ В1 , { В2 , { В3 – суммированные значения произведений удельного веса критерия на оценку в баллах.
V1* Е11=15*5=75
V2* Е21=15*3=45
Преимуществом обладает вариант с максимальным числом баллов.
5 этап. Принятие решения.
Принятие решения означает выбор одного из вариантов и не свидетельствует о разрешении проблемы. При выборе варианта необходимо учитывать то, что каждое решение имеет отрицательные последствия. Поэтому необходимо взвесить все "за" и "против", плюсы и минусы, вытекающие из решения. Решения должны образовывать логическую цепь. Если же она нарушена, то надо объяснить подчиненным причину этого.
6 этап. Реализация решения.
Реализация решения предполагает использование руководителем функций менеджмента – делегирования, мотивации, контроля.
7 этап. Оценка качества принятого решения.
Оценка качества принятого решения обязательна для того, чтобы критически проанализировать все этапы принятия решения и использовать (или не использовать) применявшиеся методы в дальнейшем. Этот этап служит основой для разработки алгоритма принятия запрограммированного решения (адаптивного способа).
Рассмотрим вышеизложенный алгоритм на условном примере.
В ресторане в 20.00 назначен банкет на 150 человек, который очень важен для коллектива, так как банкет заказала рекламная компания. В 8.00 выяснилось, что мясо, полученное накануне, несвежее.
I. Диагноз проблемы: Если банкет сорвется, то рекламная компания не только не поместит рекламы нашего ресторана по льготной цене, но и, возможно, будет рекламировать нашего конкурента.
Сбор информации:
1. Заказано ли определенное блюдо, требующее специального мяса (вырезка, филе) или меню свободное.
2. Проверил ли менеджер по закупкам качество мяса, когда оно было привезено в ресторан.
3. Соблюдены ли были условия хранения мяса.
4. Поставлял ли мясо постоянный поставщик.
Получена следующая информация:
1. Заказано определенное блюдо, требующее мяса высшего качества.
2. Менеджер качества не проверял, т.к. оно было получено от постоянного поставщика, качество продукции которого никогда не вызывало сомнений.
3. После того, как мясо испортилось, проверили холодильники и выяснили, что в одном из них плохо закрывается дверь и, очевидно, это привело к тому, что мясо испортилось. Холодильники служат уже 8 лет.
Цель принятия решения:
1. Обязательно провести банкет на высшем уровне – тактическое решение.
2. Проинспектировать состояние всех холодильников и, в случае необходимости, заменить - стратегическое решение.
П. Принятие тактического решения
1. Диагноз проблемы – обеспечить банкет мясом высшего качества.
2. Ограничения и критерии:
Временное ограничение – у ресторана в распоряжении 6-8 часов для того, чтобы заменить мясо.
Морально этическое – дана гарантия, что банкет будет на высшем уровне, особенно потому, что заказчик принимает рекламодателей.
Финансовые – возможны, если мясо будет очень дорогим.
Ресурсные - мясо нужно строго определенного качества.
Критерий – репутация ресторана должна быть сохранена любой ценой, т.к. иное решение будет иметь очень неблагоприятные стратегические последствия.
3. Рассмотрение альтернатив:
а) Обратиться к постоянному поставщику и попросить его поставить мясо срочно снова;
б) Обратиться к другим известным поставщикам, объяснить ситуацию и попросить помощи;
в) Купить мясо на рынке за наличные деньги.
4. Оценка альтернатив (по 6 балльной системе):
Таблица 5
|
Критерии |
|||
|
Варианты |
качество |
цена |
время |
|
а |
6 |
5 |
2 |
|
б |
5 |
3 |
3 |
|
в |
5 |
1 |
5 |
|
Коэффициент значимости каждого критерия |
40 |
20 |
40 |
Коэффициент значимости определяется субъективно, для каждой конкретной ситуации
Σ а = 240 + 100 + 80 = 420
Σ б = 200 + 60 + 120 = 380
Σ в = 200 + 20 + 200 = 420
Принципы оценки
Критерий "качество".
Постоянный поставщик поставит мясо высшего качества, поэтому оцениваем его 6, другие поставщики вряд ли смогут обеспечить все мясо высшего качества, поэтому ставим 5, на рынке мы сами покупаем мясо, т.е. выберем его надлежащего качества, если оно будет в наличии – 5.
Критерий "цена".
Постоянный поставщик за срочность повысит цену, но не очень сильно – 5, разовые поставщики, естественно, цену запросят высокую – 3, наиболее дорогим будет мясо на рынке – 1.
Критерий "время".
Постоянный поставщик не сможет уложиться в необходимое временное ограничение, поэтому он оценивается низшим баллом, а покупка мяса на рынке – высшим. Как показал расчет, вариант В1 и В2 равнозначны по сумме баллов, но по критерию "время", занимающему 40% - В3 имеет неоспоримые преимущества.
5. Выбор альтернативы - принятое решение – закупить мясо необходимого качества на рынке за наличный расчет, затратив на это минимум времени.
6. Реализация решения - немедленно послать менеджера по закупкам на рынке за мясом высшего качества по любой цене. Указать ему на обязательность проверки качества всех партий поступающих продуктов от всех поставщиков. Через 3 часа мясо было закуплено и привезено в ресторан.
7. Оценка принятого решения. Высокая цена на мясо привела к тому, что рентабельность банкета составила 5%, вместо обычных 40%. Тем не менее, решение было правильным, т.к. клиенты были довольны, регулярно рекламировали наш ресторан по льготным расценкам. Дополнительно свидетельствует о правильности решения тот факт, что три компании-рекламодателя стали пользоваться услугами ресторана.
Раздел 4. Социальный аспект менеджмента
Тема 10. Психологический климат в коллективе.
В современных условиях хозяйствования (глобализация, ускорение НТП, Интернет) значительно обострилась конкурентная борьба, и достижение конкурентных преимуществ базируется на инновационных методах производства и управления. Они, в свою очередь зависят от человека, занятого в производстве, от того, насколько он заинтересован в максимальной отдаче своего интеллектуально-креативного ресурса, т.е. от психологического климата в коллективе.
Комфортный психологический климат – это обстановка, когда все заняты интересным для себя делом, каждый знает свое место в иерархии организации и доволен им, когда компетенции сотрудников не пересекаются и, следовательно, не возникают деструктивные конфликты, существует в организации атмосфера взаимопомощи.
Связь комфортного психологического климата с эффективной деятельностью организации.
Условия создания и поддержания комфортного психологического климата:
- четко поставленные цели, разделяемые коллективом;
- включение членов коллектива в менеджмент путем делегирования части управленческих полномочий, участия в принятии решений, разработке методов мотивации и контроля;
-ориентация коллектива на успех;
- высокая организационная культура.
Роль руководителя в создании и поддержании комфортного психологического климата в организации. Необходимые требования к нему – высокая управленческая квалификация, определенные черты характера, психологическая устойчивость, приверженность демократическим принципам руководства, корпораиътивная культура.
Проблемы коллектива в поддержании комфортного психологического климата.
Понятие конфликта как наличия разных точек зрения на явление или процесс.
Классификация конфликтов. Конструктивный (функциональный) конфликт разрешается выработкой общей позиции сторон, необходим для нормальной работы коллектива. Задача руководителя – создавать условия для существования конструктивных конфликтов.
Деструктивный (дисфункциональный) конфликт возникает тогда, когда компромисс не найден, и проходит в своем развитии две стадии:
- Формализация отношений, которая характеризуется расширением зоны конфликта, акцентом на разногласиях, сужением зон соприкосновения, сухим и иногда чрезмерно вежливым стилем общения.
На этой стадии выход из конфликта возможен при взаимном желании сторон и тактичном и психологически мотивированном вмешательстве третьего лица (руководителя, неформального лидера, обладающего экспертной властью).
Пути выхода из конфликта на этой стадии – изложение в спокойной форме взаимных недовольств и претензий, акцент на сходных позициях, выяснение недоразумений, поиск точек соприкосновения и, в случае успеха, выход из конфликта.
- Психологический антагонизм, который характеризуется взаимным беспричинным отталкиванием, накоплением отрицательных эмоций, разрешаемых взрывом. Доводить ли до взрыва или постараться смягчить ситуацию решает руководитель, поскольку каждый из способов разрешения имеет свои достоинства и недостатки. В частности, допустить взрыв или даже спровоцировать его, руководитель может в том случае, если абсолютно уверен в поддержке основной части коллектива и хочет развязать все накопившиеся противоречия разом.
Задача руководителя – предотвращение деструктивных конфликтов путем анализа причин их возникновения.
Деструктивный конфликт – это комбинация объективных предпосылок (конфликтная ситуация) и субъективного фактора (инцидент).
Конфликтная ситуация создается факторами внешней среды или организационными перестройками. Нестабильность экономической и политической ситуации, обесценение идеалов и моральных принципов, многовариантность выбора и ограниченность ресурсов – объективные условия расширения зоны возникновения конфликтной ситуации в обществе в целом.
Внутриорганизационные причины, порождающие конфликтную ситуацию: распределение ресурсов между подразделениями и отдельными исполнителями, взаимосвязь задач без четкого разделения полномочий и ответственности, различие в целях, представлениях, моральных и духовных ценностях, жизненном опыте, манере поведения, неудовлетворительные коммуникации.
Организационные изменения как источник конфликтов; причины и формы сопротивления переменам.
Субъективные условия возникновения конфликта (причины инцидента): ошибки руководителя – неумение поставить цели перед коллективом и отдельным работником, комплекс угрожаемого авторитета, ошибки в осуществлении делегирования и контроля, низкая квалификация личной работы; состав коллектива, сложившийся раньше психологический климат, наличие неформального лидера – антагониста.
Низкая квалификация руководителя и возникающее из нее "положение угрожаемого авторитета" - руководитель пытается избежать ситуаций, в которых может проявиться его некомпетентность и притесняет людей, способных это обнаружить.
Инцидент возникает вследствие грубого обращения руководителя с подчиненными, игнорирования высокой квалификации подчиненного, в результате несоответствия поощрения и наказания реальному вкладу сотрудников в деятельность организации, при проявлении недоверия к кому-либо из работающих, невыполнении обещаний, данных при приеме на работу. Пути предупреждения деструктивного конфликта – высокая управленческая квалификация менеджера и воспитание необходимых черт характера, постоянное повышение своей квалификации, укрепление высокой корпоративной культуры.
Высокая культура базируется на следующих принципах:
- сотрудники должны чувствовать, что они самое ценное достояние организации;
- самое широкое участие сотрудников в решении основных проблем жизни организации;
- сотрудники должны знать, что в любой момент организация готова способствовать повышению квалификации сотрудников, профессиональному росту, переквалификации;
- забота о здоровье работников;
- приоритетная роль сотрудников организации при повышении в должности;
- отсутствие привилегий для руководителей и руководящего состава;
- создание организацией в пользу сотрудников денежных накоплений.
Методы выхода из деструктивного конфликта: ликвидация объективных причин, уменьшение сопротивления переменам путем применения модели успешного проведения организационных изменений.
Межличностные стили разрешения конфликтов: уклонение, сглаживание, принуждение, компромисс, решение проблемы. Достоинства и недостатки каждого стиля и сферы их применения.
Структурные методы: разъяснение требований, координационные и интеграционные механизмы, общеорганизационные комплексные цели, структура и уровень системы вознаграждений. Сравнительная характеристика и способы реализации.
Проанализируем следующие ситуации.
Конструктивный конфликт.
Сотрудник А обратился к руководителю за разъяснением, почему он получил премию меньше, чем сотрудница Б. Он расценил это как плохое отношение к нему, т.к. он выполнил более сложную работу и намекнул, что р руководитель пристрастен к Б. Руководитель не счел возможным обсуждать второй аспект проблемы, а обратил внимание А на то, что нет объективных критериев качества работы каждого и спросил А, нет ли у него предложений.
А обещал подумать, через некоторое время он предложил определенный достаточно простой метод, который был одобрен руководителем, обсужден в коллективе и внедрен в практику. Сотрудник А был удовлетворен.
Деструктивное развитие ситуации.
Дополнительным аргументом А было то, что руководитель вообще не интересуется отделом – отдел не получил новых компьютеров, хотя имел на это право, лишился гранта, т.к. руководитель не стимулирует качественной работы, а поощряет любимчиков.
Руководитель отверг все обвинения, обвинил А в клевете и выгнал из кабинета. Так как А во многом был прав, то он нашел сторонников в коллективе и апеллировал к ним. Б обвинила А в клевете, коллектив раскололся на два лагеря, начались сплетни, ссоры. Резко упало качество работы. Б пошла к руководителю, пожаловалась на А. Конфликт перешел в разряд психологического антагонизма. В результате А не продлили контракт и его единомышленники, почувствовав угрозу, стали увольняться. Коллектив потерял квалифицированных работников.
Тема 11. Труд руководителя.
Во всех вышеизложенных темах неоднократно рассматривались роли руководителя – лидера, организатора, создателя комфортного психологического климата.
Следует подчеркнуть, что эта многосторонность деятельности предъявляет особые требования к квалификации, чертам характера, склонностям человека, занимающего руководящий пост. Одним из важнейших требований является умение управлять своим временем. Тот, кто умеет планировать свое время, контролировать его использование, создает нормальный рабочий ритм для подчиненных – важнейшее условие эффективности и комфортного психологического климата.
Наиболее распространенный порок – постоянный дефицит времени. Его причинами являются: неумение делегировать полномочия, стремление делать все руководящие дела самому; неумение дифференцировать дела на срочные, как правило тактические, подлежащие делегированию (см. матрицу Эйзенхауэра), и важные (стратегические), которые руководитель обязан делать сам.
Далеко не все руководители обладают техникой личной работы – ежедневно составляют расписание предстоящих дел и систематически контролируют его исполнение – это нужно не только руководителям высшего ранга, но и миддл-менеджерам.
К расточению времени ведут неумение сказать "нет" в случае, если предлагаемые встречи или телефонные звонки не относятся к важным, отсутствие умения вести заседания, беседы, переговоры.
Все эти навыки можно приобрести в процессе тренингов, семинаров. Иначе говоря, руководитель должен постоянно обучаться самоменеджменту.
Огромное влияние на психологический климат оказывает настроение руководителя, его умение противостоять стрессам. Позитивный пример руководителя окажет воздействие на его подчиненных, поможет формированию корпоративной культуры.
Контрольные вопросы по курсу
Раздел 1.
Тема 1.
Что такое менеджмент.
2. Социальная и экономическая эффективность. Их связи и различие.
3. Особенности российского менеджмента.
4. Понятие организации. Формальные и неформальные организации и их особенности.
5. Этапы жизненного цикла организации.
Тема 2.
Факторы макро- и микро среды и связь между ними.
Классификация ресурсов.
Горизонтальное и вертикальное разделение труда, как основа внутренней структуры.
Типы внутренних структур организации. Их достоинства и недостатки.
Коммуникации и их роль в деятельности организации.
Сравнительная характеристика моделей коммуникационных сетей.
Влияние формы собственности, сферы функционирования и размера организации на менеджмент.
Организационная культура.
Раздел 2
Тема 3.
Функции менеджмента и их логическая связь.
Стратегия и необходимость делегирования.
Основные этапы реализации стратегии.
Тема 4.
Сущность и необходимость делегирования.
Проблемы и принципы делегирования.
Сравнительная характеристика централизации и децентрализации.
Тема 5.
Сущность мотивации и принципы ее осуществления.
Потребности и факторы их определяющие.
Практические системы мотивации.
Тема 6.
Необходимость и сущность контроля.
Процесс контроля.
Виды контроля.
Раздел 3.
Тема 7.
Основные роли менеджера как выражение сущности его профессии.
Межличностное общение.
Понятие лидерства и типы лидеров. Теория Х и У.
Решетка Блейк-Мутон.
Тема 8.
Задачи менеджера в организации информационного процесса.
Информационный процесс и возможности искажения информации.
Тема 9.
Понятие решений и их классификация.
Методы принятия решений.
Рациональный способ принятия решений.
Раздел 4.
Тема 10.
Понятие комфортного психологического климата.
Конфликтная ситуация и инцидент.
Понятие конфликта и классификация конфликтов.
Причины конфликтов и пути выхода из конфликтов.
Тема 11.
Роль руководителя в организации комфортного психологического климата.
Планирование рабочего времени.
Борьба со стрессами как важное условие эффективного руководства.