Рекомендации по усовершенствованию организационной структуры компании "Галакта"
Министерство образования и науки Российской Федерации
Федеральное агентство по образованию
Уральский государственный экономический университет
КОНТРОЛЬНАЯ РАБОТА
Рекомендации по усовершенствованию организационной структуры компании "Галакта"
По дисциплине: Менеджмент
Екатеринбург
2010
СОДЕРЖАНИЕ
1. Построение социограммы сотрудников компании "Галакта"
2. Выявление структуры и ролевых функций в каждой группе и компании в целом
3. Соответствие формальной и неформальной организационных структур
4. Расчет изменяемых структурных переменных по каждой неформальной группе сотрудников
Заключение
1. Построение социограммы сотрудников компании "Галакта"
На основе социометрических данных о межличностных коммуникациях в процессе работы, отраженных в коммуникационной матрице компании "Галакта", выявляются группы, в которых работники чаще контактируют друг с другом. Некоторые контракты односторонние, некоторые двусторонние. Коммуникационная сеть формируется тогда, когда несколько объектов связываются вместе многими каналами.
Группа – два лица или более, которые взаимодействуют друг с другом таким образом, что каждое лицо влияет на другого и испытывает на себе его влияние.

Социограмма групп работников компании "Галакта"
По итогам социограммы можно выделить 4 неформальных групп в компании "Галакта".
Группа А включает работников 2, 5, 8, 7
Группа Б включает работников 4, 11, 15, 16
Группа В включает работников 3, 12, 6, 13, 14
Группа Г включает работников , 9, 10, 6, 3
2. Выявление структуры и ролевых функций в каждой группе
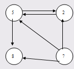
Группа А (2, 5, 8, 7)

Структура данной группы звездчатая, так как здесь имеется перекрещивающаяся связь. Такая структура очень эффективная и более подготовлена к неожиданным изменениям внешней и внутренней среды бизнеса. Она способствует созданию хорошего внутреннего климата и перед принятием решения происходит обсуждение вопроса в группе.
Для выявления лидера мнения необходимо рассчитать коэффициент центральности (отношение общего числа связей в группе к числу связей данного работника).
Работник № 2: 2 – 5 = 1
2 – 7 = 1
2 – 8 = 2
Итого: 4 связи
Работник № 5: 5 – 2 = 1
5 – 8 = 1
5 – 7 = 1
Итого: 3 связей
Работник № 8: 8 – 7 = 1
8 – 5 = 1
8 – 2 = 2
Итого: 4 связей
Работник № 7: 7 – 2 = 1
7 – 8 = 1
7 – 5 = 1
Итого: 3 связей
Работник № 9: 8 – 2 = 1
8 – 7 = 1
8 – 6 = 1
8 – 5 = 2 Итого: 5 связей
Общее количество связей в группе А = 19. Определим коэффициент центральности:
Работник № 2: 19 : 4 = 4,75
№ 5: 19 : 3 = 6,8
№ 8: 19 : 4 = 4,75
№ 7 : 19 : 3 = 6,3
№ 9: 19 : 5 = 3,8
Таким образом, в группе А "лидером мнения" является работник № 5, хотя формальным лидером является №7 .
Работник № 5 имеет влиятельное положение и является примером правильного поведения для своих последователей.
Сотрудник № 7 выполняет сторожевую функцию, он регулирует потоки сообщений, отсеивает маловажные и имеет двустороннюю связь с лидером формальным. Способствует уменьшению перегрузок у руководителя.
Космополитом в группе А является работник № 5. Именно он чаще, чем остальные взаимодействует с внешней средой и передает информацию другим участникам группы.
Группа Б (4, 11, 15, 16)

Структура данной группы звездчатая.
Определим лидера мнения данной группы.
Работник № 4: 4 – 11 = 1
4 – 15 = 1
4 – 16 = 1
Итого: 3 связей
Работник №11: 11 – 4 = 1
11 – 15 = 1
11 – 16 = 2
Итого: 4 связей
Работник №15: 15 – 4 = 1
15 – 11 = 2
15 – 16 = 2
Итого: 5 связей
Работник №16: 16 – 15 = 1
16 – 11 = 2
16 – 4 = 1
Итого: 4 связей
Общее количество связей в группе Б = 16. Определим коэффициент центральности:
№ 4 16 : 3 = 5,3
№ 11 16: 4 = 4
№ 15 16 : 5 = 3,2
№ 16 16 : 4 = 4
Анализируя показатели коэффициента центральности видим, что в данной группе № 4 – лидер группы. Сотрудник № 4 выполняет сторожевую функцию. Именно у него с руководителем двусторонняя связь.
Космополитом в группе Б является № 15. Он больше всех общается с внешней средой.
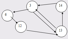
Группа В (3, 12, 6, 13, 14)

Структура данной группы – звездчатая. Эффективная и более подготовлена к неожиданным изменениям внешней и внутренней среды бизнеса.
Выявим лидера мнения.
Работник № 14:14 – 3 = 1
14 – 13 = 2
14 – 12 = 2
14 – 6 = 2 Итого: 7 связи
Работник №13: 13 – 14 = 1
13 – 3 = 1
13 – 12 = 1
13 – 6 = 2
Итого: 5 связей
Работник №3 3 – 14 = 2
3 – 6 = 1
3 – 12 = 2
3 – 13 = 1 Итого: 6 связей
Работник №6: 6 – 3 = 3
6 – 12 = 1
6 – 13 = 2
6 – 14 = 3 Итого: 9 связей
Работник №12: 12 – 13 = 1
12 – 14 = 2
12 –3 = 2
12 –6 = 1 Итого: 6 связей
Общее количество связей = 33
№14 = 33 : 7 = 4,7
№ 3 = 33 :6 = 5,5
№ 6 = 33 : 9 = 3,6
№ 12 = 33 : 6 = 5,5
№ 13 = 33 : 5 = 6,6
Лидером мнения данной группы является сотрудник № 13, у него самый высокий коэффициент центральности = 6,6
Сторожем является № 13. Он контролирует все связи в группе В.
Космополитом в группе является сотрудник № 3. Он больше всех общается с внешним миром, и передает всю необходимую информацию руководителю группы.
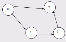
Группа Г (9, 10, 6, 3)

Структура данной группы круговая. Она наиболее восприимчива к трудностям и может прекратить функционирование из-за отсутствия одного из сотрудников. Положительным качеством такой структуры является высокая независимость сотрудников. Такая структура группы с низкой централизацией эффективна при решении проблем более сложных, когда требуется творческий подход и адаптация решений к возникающей ситуации. Но совершенно неэффективна в качестве организационной структуры управления фирмой.
Выявим лидера мнения в данной группе:
Сотрудник № 9: 9 – 10 = 1
9 – 6 = 1
9 - 3 = 1 Итого: 3
Сотрудник № 10: 10 – 9 = 1
10 – 6 = 1
10 – 3 = 1 Итого: 3
Сотрудник № 6: 6 – 9 = 1
6 – 3 = 1
6 – 10 = 1 Итого: 3
Сотрудник №3 3 – 9 = 1
3 – 10 = 1
3 – 6 = 1 Итого 3
Общая сумма связей в группе = 12
Кц № 9 = 12: 3 = 4
Кц № 10 = 12 : 3 = 4
Кц № 6 = 12 : 3 = 4
Кц № 3 = 12 : 3 = 4
Анализируя показатели коэффициента центральности видим, что в данной группе нет лидера мнения. У всех участников группы одинаковые условия общения.
Сотрудник № 10 является связным между сотрудниками 6 и 9. Связной является центральной фигурой, обеспечивающей эффективное функционирование межличностной сети организации. Связные занимают стратегические позиции в организации. Они могут либо ускорять обмен сообщениями, либо быть узким местом. При удалении связных система начинает распадаться на изолированные группы.
Таким образом, группа Г выполняет одну из самых важный функций в организации: она посредством общения связывает участников группы А, Б и В.
3. Наложением схемы формальных и неформальных организационных структур определяется их соответствие друг другу

В формальной структуре представлены три группы сотрудников. Лидерами в группах являются начальники отделов. А данные Н-анализа выявляют 4 групп: А, Б, В, Г,. Группа Г образована фактическим взаимодействием работников № 9, 10, 6, 3, принадлежащих к разным группам формальным.
Видна довольно высокая близость и сходство формальной и неформальной структур. Большая часть межличностных коммуникаций осуществляется в пределах организационных подразделений фирмы.
4. Расчет измеряемых структурных переменных по каждой неформальной группе сотрудников. Определение связности, доминирования, открытости и интеграции групп
Связность группы – показатель, характеризующий степень сплоченности сотрудников в коммуникационной сети. Определяется отношением максимального числа связей в группе к фактическому.
Открытость группы – параметр, характеризующий обмен информации членов группы с внешней средой.
Доминирование в группе – параметр, характеризующий отклонение от схемы коммуникационных связей членов группы от отношений равенства.
Интеграция группы – характеризует силу, с которой группы связана в организации с другими равными группами.


Самая наибольшая связность наблюдается в группах А и Г. Это говорит о том, что каждый участник группы общается со всеми сотрудниками, находящимися в его неформальной группе.
Самая высокая открытость в группе Б, В. В группе Г имеется связной, который связывает группы В и Г. Именно эти группы наиболее открыты и восприимчивы к нововведениям. Именно благодаря их информации компания совершенствуется и развивается. Высокий уровень доминирования наблюдается в группе В, поскольку все потоки сообщений проходят через руководителя. Самой интегрированной является группа Г, так как она связывает собой группу В. Значение этой группы очень велико для компании потому, что именно благодаря ей происходит обмен информацией в организации. Также в компании связным является № 1 президент фирмы. Он связывает группы А, Б и В и не принадлежит ни одной из них. Он является регулятором всей деятельности компании.
Организационная структура компании в целом иерархическая. Здесь имеется многоуровневое управление и незначительный объем управления на каждом уровне.
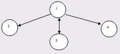
Выявление руководителя организации

Количество связей у сотрудника № 1 = 3
у сотрудника № 2 = 5
у сотрудника № 3 = 5
у сотрудника № 4 = 5
Определим коэффициент центральности
Кц № 1 = 18 :3 = 6
Кц № 2 = 18 : 5 = 3,6
Кц № 3 = 18 : 5 = 3,6
Кц № 4 = 18 : 5 = 3,6
Таким образом, лидером компании в целом является сотрудник № 1. Он и является формальным руководителем.
Заключение
социограмма сотрудник ролевой работник
Структура коммуникационных сетей в компании "Галакта" не достаточно развита. В компании вместо 3-х формальных групп образовано 4 неформальных. Группы А, Б и Г общаются между собой, а группа В общается с другими группами только лишь посредством руководителя компании. Таким образом, будет целесообразно провести в компании реструктуризацию. Выделить в компании 4 отдела. 1-ый отдел – сбыта (2, 5, 8, 7). Руководителем отдела назначить сотрудника № 5, так как он является лидером мнения в этой группе. Второй отдел – производства. Руководителем этого отдела будет сотрудник № 4 (он и является формальным руководителем). Третий отдел – административный. Руководителем этого отдела будет сотрудник № 3 (он и является формальным руководителем). Сотрудники № 3, 14, 13, 12, 6. Четвертый отдел – логистики. Руководителем этого отдела будет сотрудник № 10, так как он регулирует всю информацию, поступающую в группу. Организационная структура компании будет иерархический и будет выглядеть следующим образом.

Построенная структура компании будет более эффективной, так как она соответствует реальному взаимодействию сотрудников компании "Галакта".