Привод ленточного конвейера. Червячный редуктор.
КУРСОВОЙ ПРОЕКТ
расчетно-пояснительная записка
|
Схема редуктора
S>1> – S>2> = F S>2> S>1> График нагрузки ЗАДАНИЕ НА КУРСОВОЙ ПРОЕКТ Диаметр барабана D = 200 мм Окружное усилие на барабане F = 2.7 кН Окружная скорость V = 0.18 м/с
Тип червяка – ZA – архимедов цилиндрический червяк Расположение червяка – верхнее Электродвигатель фланцевый Срок службы 6 летK>год >= 0.6 K>сут> = 0.3
![]() |
||||||||
ДМ 2501.100.000 ПЗ |
||||||||
|
Изм |
Лист |
№ документа |
Подпись |
Дата |
||||
|
Разработал |
Неупокоев Д.А. |
Привод ленточного конвейера |
Лит. |
Лист |
Листов |
|||
|
Проверил |
Слесарев Е.Н. |
у |
2 |
44 |
||||
КГУ группа М-3115 |
||||||||
|
Н. контр. |
||||||||
|
Утв. |
Содержание:
Введение
1. Кинематический расчет
2. Расчет червячной передачи
3. Проектный расчет валов редуктора и подбор подшипников
4. Конструктивные размеры червяка и червячного колеса
5. Расчет элементов корпуса редуктора
6. Проверочный расчет валов
7. Проверка долговечности подшипников
8. Проверка прочности шпоночного соединения и посадки венца червячного колеса
9. Выбор смазки редуктора и уплотнительных устройств
10. Выбор муфт
11. Описание конструкции рамы
Приложения
Список использованной литературы
ВВЕДЕНИЕ
Редуктором называют механизм, состоящий из зубчатых или червячных передач, выполненный в виде отдельного агрегата и служащий для передачи мощности от двигателя к рабочей машине.
Назначение редуктора – понижение угловой скорости и повышение вращающего момента ведомого вала по сравнению с валом ведущим.
Нам в нашей работе необходимо спроектировать редуктор для ленточного конвейера, а также подобрать муфты, двигатель, спроектировать раму. Редуктор состоит из литого чугунного корпуса, в котором помещены элементы передачи – червяк, червячное колесо, подшипники, вал и пр. Входной вал посредством муфты соединяется с двигателем, выходной – с конвейером.
>1. КИНЕМАТИЧЕСКИЙ РАСЧЕТ>
>Проведем кинематический расчет привода ленточного конвейера, схема которого изображена на рис.1, при заданном окружном усилии на барабане >>F>>=2.7 к>>H>>, окружной скорости >>V>>=0.18 м/с и диаметре барабана >>D>>=400 мм.>
Кинематический анализ схемы привода.
Привод состоит из электродвигателя, одноступенчатого червячного редуктора и приводного барабана. Червячная передача служит для передачи мощности от первого (I) вала ко второму (II). При передаче мощности имеют место ее потери на преодоление сил вредного сопротивления. Такие сопротивления имеют место и в нашем приводе: в зубчатой передаче, в опорах валов. Ввиду этого мощность на приводном валу будет меньше мощности, развиваемой двигателем, на величину потерь.
>Мощность на приводном валу барабана (мощность полезных сил сопротивления на барабане)>




1.3. Общий коэффициент полезного действия привода.




>где >>>>пк>>=0.99 – к.п.д. пары подшипников качения>> (по таблице 1 [1]),>
> >>>>чп>>=0.40 – к.п.д. червячной передачи (по таблице 1 [1]),>
> >>>>пс>>=0.95 – к.п.д. пары подшипников скольжения (по таблице 1 [1]).>
> >
1.4. Потребная мощность электродвигателя (мощность с учетом вредных сил сопротивления)




>1.5. Частоты вращения барабана (третьего вала)>




>1.6. Ориентировочное передаточное число привода>



где U`1-ориентировочное значение передаточного числа червячной передачи (по рекомендациям [1]).
1.7. Ориентировочные частоты вращения вала электродвигателя.




1.8. Выбор электродвигателя.
По
таблице 5 из [1] выбираем электродвигатель
марки 4А1008УЗ, мощность которого P>дв>=1.5кВт,
частота вращения n>дв>=700
об/мин, отношения

>
>>и>>
>

>
>>,
>



1.9. Передаточное число привода.






1.10. Передаточные числа ступеней передач привода



>1.11. Частоты вращения валов привода.>
Для первого вала



Для второго вала




Частоты второго и третьего вала одинаковы, следовательно, n>III>=n>II>=17.189 об/мин
1.12. Мощности на валах.
Мощность на первом валу




>Мощность на втором валу>




>Мощность на третьем валу (для проверки) равна Р>>вых>




1.13. Моменты на валах












Таблица 1.1
Результаты кинематического расчета
-
Расчетные
параметры
Номера валов
I
II
III
Передаточное число ступени
U=40.724
Мощность Р, кВт
1.293
0.512
0.486
Обороты n, об/мин
700
17.189
17.189
Момент Т, Нм
17.64
284.461
270.016
>2. РАСЧЕТ ЧЕРВЯЧНОЙ ПЕРЕДАЧИ>
>2.1. Исходные данные для расчета:>
>а) вращающий момент на валу червячного колеса >>T>>2>>=284.461 Нм;>
>б) передаточное число >>U>>=40.724;>
>в) скорость вращения червяка >>n>>1>>=700 об/мин;>
>г) вращающий момент на валу червячного колеса при кратковременной перегрузке >
>Т>>2пик>> = 1.3>>>>Т = 1.3>>>>284.461 = 369.8 (Н>>>>м)>
>д
)
циклограмма нагружения (рис.2.1.)>
>Рис.2.1.>
>2.2. По известному значению передаточного числа определяем число витков (заходов) червяка и число зубьев колеса:>




>Принимаем >>Z>>2>>=40, следовательно, >>U>>ф>>=>>Z>>2>>/>>Z>>1>>=40/1=40>




>2.3. Выбор материала.>
>Ожидаемая скорость скольжения:>
>По таблице 26 из [2] с учетом >>V>>`>>s>> выбираем материал венца червячного колеса: БрА9ЖЗЛ>
>2.4. Расчет допускаемых напряжений.>
>Для колес из бронзы, имеющей предел прочности >>>>В>>>300 МПа, опасным является заедание, и допускаемые напряжения назначают в зависимости от скольжения >>Vs>> без учета количества циклов нагружения. В нашем случае (по таблице 27 из [2]) в зависимости от материала червяка и скорости скольжения без учета количества циклов нагружения принимаем [>>>>H>>]>>2>>=173 МПа.>
Определим вращающие моменты на валах:
Т>21> = 1.3Т>Н> = 1.3284.461 = 369.8 (Нм);
Т>22> = Т>Н> = 284.461 (Нм);
Т>23> = 0.3Т>Н> = 0.3284.461 = 85.338 (Нм);
>Определим срок службы передачи (в часах):>
>где >>l>>лет>> - количество лет безотказной работы передачи;>
> >>k>>год>> – годовой коэффициент, равный 0.6;>
> >>k>>сут>> – суточный коэффициент, равный 0.3>
>Определим время действия вращающих моментов:>












>2.5>>. >>Предварительное значение коэффициента диаметра.>




>2.6>>. >>Ориентировочное значение межосевого расстояния.>


>где >>K>>>> - коэффициент неравномерности нагрузки;>
> >>K>>V>> – коэффициент динамической нагрузки.>
>В предварительных расчетах принимают произведение >>K>>>>K>>V>>=1.1…1.4 , мы примем это произведение равным 1.2>
> >>T>>2>> – вращающий момент на валу червячного колеса, Нм.>
> >
2
.7. Предварительное
значение модуля, мм.
>Значение модуля и коэффициента диаметра согласуется по рекомендации ГОСТ 2144-76 (таблица 28 [2]) с целью уменьшения номенклатуры зуборезного инструмента. Принимаем >>m>> = 5.0 и >>q>>=10>
>2
.8. Уточняем
межосевое расстояние.>
>Округляем его до ближайшего стандартного значения из ряда: …100;125;160…>
>Принимаем >>a>>w>> >>= 125мм.>
>2
.9. Коэффициент
смещения.>
>2.10. Проверочный расчет по контактным напряжениям.>
2.10.1. Угол подъема витка червяка.




>2.10.2. Скорость относительного скольжения в полюсе зацепления, м/с.>


г
де
d>1>
= mq
= 5.010
= 50 (мм)
2.10.3. По скорости скольжения V>S> выбираем (по таблице 29 [2]) степень точности передачи (8 степень) и определяем коэффициент динамической нагрузки K>V>=1.25
Коэффициент неравномерности нагрузки.


г
де
- коэффициент деформации червяка,
определяемый по таблице 30 [2] в зависимости
от q
и Z>1>,
равный 108
> >>T>>i>> и >>t>>i>> – вращающий момент и время его действия на >>i>>-той ступени по гистограмме нагружения;>
>Т>>2ср>> – среднее значение вращающего момента на валу червячного колеса;>
>Т>>2>>max>>– максимальный из числа длительно действующих вращающих моментов.>
>Т>>2>>max>> = 284.461 (Н>>>>м)>
Т
огда
коэффициент неравномерности нагрузки
равен:
>2.10.5>>. >>Расчетные контактные напряжения.>



>2.11. Проверочный расчет по напряжениям изгиба.>
>Эквивалентное число зубьев колеса.>




>Коэффициент формы зуба колеса выбираем по таблице 31 [2] :>


>Напряжения изгиба в зубьях червячного колеса.>


>[>>>>F>>]>>2>>=0.25>>>>T>>+0.08>>>>B>> >>– допускаемые напряжения для всех марок бронз, значения >>>>T>> и >>>>B>> приведены в таблице 26 [2]>
>[>>>>F>>]>>2>>=0.25>>>>245+0.08>>>>530=103.65 (МПа)>
>Условие прочности выполняется, так как >>>>F>>2>><[>>>>F>>]>>2>>, следовательно, >>m>> и >>q>> были нами выбраны верно.>
>2.12. Проверочные расчеты по пиковым нагрузкам.>
>2.12.1. Проведем проверку по пиковым контактным напряжениям во избежание деформации и заедания поверхностей зубьев.>
> Условие прочности имеет вид:>
max,
>г
де
[>>>>H>>]>>max>>=2>>>>T>>
>>–
предел прочности для безоловянистых
бронз, [>>>>H>>]>>max>>=2>>>>245=490(МПа)>
>>>H>>2>>max>><[>>>>H>>]>>max>>, следовательно, условие прочности по пиковым контактным напряжениям выполняется.>
>2.12.2. Пиковые напряжения изгиба.>
>Условие прочности по пиковым напряжениям изгиба:>


[
>F>>2>]>max>>
>=
0.8>T>>
>=
0.8245
= 196 (МПа)
>>>F>>2>>max>><[>>>>F>>2>>]>>max>>, следовательно, условие прочности по пиковым напряжениям изгиба выполняется.>
>2.13. Геометрический расчет передачи.>
> Основные геометрические размеры червяка и червячного колеса определяем по формулам, приведенным в таблице 32 [2].>
Диаметры делительных окружностей для червяка:
d>1> = mq = 510 = 50 (мм)
>для колеса:>
> >>d>>2>> = >>m>>>>Z>>2>> = 5>>>>40 = 200 (мм)>
>Диаметры вершин для червяка:>
d>a>>1> = d>1> + 2m = 50 + 25 = 60 (мм)
>для колеса:>
d>a>>2> = d>2> + 2m(1 + x) = 200 + 25(1 + 0) = 210 (мм)
>Высота головки витков червяка:>
h>a>>1> = m = 5 (мм)
>Высота ножки витков червяка:>
h>f>>1> = 1.2m = 1.25 = 6 (мм)
>Диаметр впадин для червяка:>
> >>d>>f>>1>> = >>d>>1>> – 2>>h>>f>>1>> = 50 - 2>>>>6 = 38 (мм)>
>для колеса:>
>d>>f>>2>> = >>d>>2>> - 2>>>>m>>>>(1.2 + >>x>>) = 200 - 2>>>>5>>>>(1.2 + 0) = 188 (мм)>
>Длина нарезанной части червяка (формула из таблицы 33 [2]):>
> >>b>>1>> = (11 + 0.06>>>>Z>>2>>)>>>>m>> = (11 + 0.06>>>>40)>>>>5 = 67 (мм)>
>Наибольший диаметр червячного колеса:>

Ш

ирина
венца червячного колеса:


>b>>2>> >>>> 45 мм>
>Радиус выемки поверхности вершин зубьев червячного колеса:>
> >>R>> = 0.5>>>>d>>1>> – >>m>> = 0.5>>>>50 – 5 = 20 (мм)>
>Межосевое расстояние (проверка):>
> >>a>>w>> = 0.5>>>>m>>>>(>>q>> + >>Z>>2>> + 2>>>>x>>) = 0.5>>>>5>>>>(10 + 40 + 2>>>>0) = 125 (мм)>
>2.14. Данные для контроля взаимного положения разноименных профилей червяка (в дальнейшем указываются на рабочих чертежах)>
> 
Делительная
толщина по хорде витка:>
> >
>Высота до хорды витка:>
> >


=
>2.15. Силы в зацеплении червячной передачи.>
>2
.15.1. Окружная
сила червячного колеса (>>F>>t>>2>>)
и осевая сила червяка (>>F>>a>>1>>).>
>Окружная сила червяка (>>F>>t>>1>>) и осевая сила червячного колеса (>>F>>a>>2>>).>
>F>>t1>> = F>>a2>> = F>>t2>>>>tg(>>>> + >>>>) = 2844.61>>>>tg(5.7106 + 2.2) = 395.259 (H)>
>здесь >>>> - это угол трения, который может быть определен в зависимости от скорости скольжения >>Vs>> по таблице 34 [2]. Для нашего случая >>>>=2.>>2>>>
>Радиальная сила червяка (>>F>>r>>1>>) и червячного колеса (>>F>>r>>2>>).>
F>r1> = F>r2> = 0.37F>t2> = 0.372844.61 = 1052.506 (H)
>2.16. Тепловой расчет червячной передачи.>
>2.16.1. Приближенное значение К.П.Д. червячной передачи.>
0.95 в данном случае – это множитель, учитывающий потери энергии на перемешивание масла при смазывании окунанием.
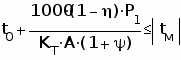
Температура масляной ванны в редукторе при естественной конвекции воздуха.


>[>>t>>м>>] – максимально допустимая температура нагрева масла (обычно 75…90>>>>C>>);>
>P>>1>>=1.293кВт – подводимая мощность (мощность на валу червяка);>
>К>>Т>>=8…17.5 Вт/(м>2>>>С) – коэффициент теплопередачи корпуса (большие значения принимают при хорошей циркуляции воздуха) Примем К>>Т>>=14 Вт/(м>2>>>С);>
>t>>0>> – температура окружающего воздуха, 20>>>>С;>
>A>
>
– площадь свободной поверхности
охлаждения корпуса, включая 70% площади
поверхности ребер и бобышек, м>2
>а – межосевое расстояние червячной передачи, м;>
>>
>
-
коэффициент,учитывающий теплоотвод в
раму или плиту (>>>>=0.2)>
>tм < [tм] , следовательно, редуктор специально охлаждать не надо.>
2.17. Расчет червяка на жесткость.
Расстояние между серединами опор вала червяка при приближенном расчете можно принимать равным:
L = 0.95d>2> = 0.95200 = 190 (мм)
> Правильность зацепления червячной пары может быть обеспечена лишь при достаточной жесткости червяка. Средняя допускаемая стрела прогиба >>[f]>> червяка может быть принята:>

Стрела прогиба червяка, вал которого опирается на два радиально-упорных подшипника определяется по формуле:


Здесь


>L>> – расстояние между серединами опор;>
>J>>пр – приведенный момент инерции сечения червяка, определяемый по эмпирической формуле:>
Найдем реальную стрелу прогиба:
f < [f], следовательно, условие жесткости выполняется.
3. ПРОЕКТНЫЙ РАСЧЕТ ВАЛОВ РЕДУКТОРА И ПОДБОР ПОДШИПНИКОВ.
Рассчитаем входной и выходной валы. Из предыдущих расчетов редуктора известно:
а) моменты передаваемые валами Т>I> = 17.64 Нм и Т>II> = 284.461 Нм;
б) диаметры d>1> = 50 мм и d>2> = 200 мм;
3.1. Входной вал червячного редуктора.
3.1.1. Выбор материала вала.
Назначаем материал вала - сталь 40ХН. Принимаем по таблице 3 [3]:
>В> = 820 МПа, >Т> = 650 МПа.
3.1.2. Проектный расчет вала.

Приближенно
оценим диаметр консольного участка
вала при []=15МПа.
По стандартному ряду принимаем d>в>=18 мм, тогда по таблице 2 из [3] t =2 мм, r = 1.6 мм,
f =1.
3.1.3. Определим диаметры участков вала.
Диаметры участков вала рассчитаем в соответствии с рекомендациями пункта 4 таблицы 1 [3].
Диаметры подшипниковых шеек:
d>п1> = d>в>+2t = 18+22 = 22 (мм);
Значения d>п> должны быть кратны 5, поэтому принимаем d>п1> = 25 мм
d>бп1> = d>п1>+3.2r = 25+5.12 = 30.12 (мм)
По стандартному ряду принимаем d>бп1> = 30 мм
Здесь (по таблице 2 из [3]) t = 2.2 мм, r = 2 мм, f = 1.
Параметры нарезанной части: d>f>>1> = 38 мм; d>1> = 50 мм и d>a>>1> = 60 мм
Расстояние между опорами червяка примем равным диаметру червячного колеса, то есть
l>1> 210 мм
Расстояние от середины выходного конца до ближайшей опоры f>1> = 70 мм
3.2. Выходной вал.
3.2.1. Выбор материала вала.
Выберем сталь 45
3
.2.2. Приближенно
оценим диаметр выходного конца вала
при []
= 30 МПа.
По стандартному ряду принимаем d>в>=36 мм, тогда по таблице 2 из [3] t =2.5 мм, r = 2.5 мм, f=1.2
3.2.3. Определим диаметры участков вала.
Диаметры участков вала рассчитаем в соответствии с рекомендациями пункта 4 таблицы 1 [3].
Диаметры подшипниковых шеек:
d>п2> = d>в>+2t = 36+22.5 = 41 (мм);
Значения d>п> должны быть кратны 5, поэтому принимаем d>п2> = 40 мм
d>бп2> = d>п2>+3.2r = 40+3.22.5 = 45 (мм)
По стандартному ряду принимаем d>бп2> = 45 мм
Здесь (по таблице 2 из [3]) t = 2.8 мм, r = 3 мм, f = 1.6
d>к> > d>п> , примем d>к> = 48 мм. Для 48 мм принимаем t = 2.8 мм, r = 3 мм, f = 1.6, тогда
d>бк> = d>к >+ 3f = 48 + 31.6 52 (мм)
Диаметр ступицы червячного колеса:
d>ст2> = (1.6…1.8)d>бп2> = (1.6…1.8)45 = 72…81 (мм)
Принимаем d>ст2> = 76 мм.
Длина ступицы червячного колеса:
l>ст2> = (1.2…1.8)d>бп2> = (1.2…1.8)45 = 54…81 (мм)
Принимаем l>ст2> = 60 мм.
3.3. Подбор подшипников.
3.3.1. Подбор подшипников для червяка.
Для червяка примем предварительно подшипники роликовые конические 7205 легкой серии. Схема установки подшипников – враспор. Из таблицы 19.24 [4] выписываем: d = 25 мм, D = 52 мм, Т = 16.25 мм, e = 0.36. Расстояние между заплечиками вала по компоновочной схеме l>T>> >= 200 мм. Тогда расстояние между широкими торцами наружных колец подшипников:
l>П >= l>Т >+ 2Т = 200 + 216.25 = 232.5 (мм)
С
мещение
точки приложения радиальной реакции
от торца подшипника:
Искомое расстояние l>3> равно:
l>3> = l>П> – 2а = 232.5 - 212.745 208 (мм)
3.3.2. Подбор подшипников для вала червячного колеса.
Для вала червячного колеса примем подшипники роликовые конические 7208 легкой серии. Схема установки подшипников – враспор. Из таблицы 19.24 [4] выписываем: d = 40 мм, D = 80 мм, Т = 19.25 мм, e = 0.38. Расстояние между заплечиками вала по компоновочной схеме l>T>> >= 80 мм. Тогда расстояние между широкими торцами наружных колец подшипников:
l>П >= l>Т >+ 2Т = 80 + 219.25 = 118.25 (мм)
С
мещение
точки приложения радиальной реакции
от торца подшипника:
Искомое расстояние l>3> равно:
l>6> = l>П> – 2а = 118.25 - 217.225 84 (мм)
Другие линейные размеры, необходимые для определения реакций, берем по компоновочной схеме: l>1> = мм, l>2 >= 104 мм, d>1 >= 50 мм, l>4> = мм, l>5> = мм, d>2 >= 200 мм.
КОНСТРУКТИВНЫЕ РАЗМЕРЫ ЧЕРВЯКА И ЧЕРВЯЧНОГО КОЛЕСА.
4.1. Размеры червяка.
Червяк выполняем за одно целое с валом. Размеры вала и червяка были определены ранее, поэтому только выпишем их для удобного дальнейшего использования:
диаметр делительной окружности d>1> = 50 мм;
диаметр вершин d>a1> = 60 мм;
диаметр впадин d>f1 > = 38 мм;
длина нарезанной части червяка b>1> = 67 мм;
диаметр вала d>бп1> = 30 мм.
Расчет конструктивных размеров червячного колеса.
Все расчеты в данном пункте ведем в соответствии с методикой приведенной в [4] §6 главе 4.
Основные геометрические размеры червячного колеса были нами определены ранее. Для удобства дальнейшего использования выпишем их:
диаметр делительной окружности d>2> = 200 мм;
диаметр вершин d>a2> = 210 мм;
диаметр впадин d>f2 > = 188 мм;
ширина венца червячного колеса b>2 > = 45 мм;
диаметр отверстия под вал d > >= 48 мм;
диаметр ступицы червячного колеса d>ст2> = 76 мм;
длина ступицы червячного колеса l>ст2> = 60 мм.
Колесо конструируем отдельно от вала. Изготовим червячное колесо составным (рис.4.1.): центр колеса из серого чугуна, зубчатый венец – из бронзы БрА9ЖЗЛ. Соединим зубчатый венец с центром посадкой с натягом. Так как у нас направление вращения постоянное, то на наружной поверхности центра сделаем буртик. Такая форма центра является традиционной. Однако наличие буртика усложнит изготовление и центра, и венца.
Червячное колесо вращается с небольшой скоростью, поэтому нерабочие поверхности обода, диска, ступицы колеса оставляем необработанными и делаем конусными с большими радиусами закруглений.
Острые кромки на торцах венца притупляем фасками f 0.5m, где m – модуль зацепления.
f = 0.55 = 2.5 (мм)
В зависимости от диаметра отверстия червячного колеса принимаем стандартное значение фасок по таблице 4.1 из [4], то есть f = 1.6 мм
Рассчитаем основные конструктивные элементы колеса:
h 0.15b>2> = 0.1545 = 7 (мм);
t = 0.8h = 0.87 = 5.6 (мм);
S>ч> = 2m = 25 = 10 (мм);
S>о> = 1.3S>ч> = 1.310 = 13 (мм);
C = 1.25S>o> = 1.2513 16 (мм).
5. РАСЧЕТ ЭЛЕМЕНТОВ КОРПУСА РЕДУКТОРА.
5.1. Конструирование корпуса.
Конструкцию корпуса червячного редуктора принимаем по рис.11.15 из [4]. Для червячного редуктора с межосевым расстоянием меньшим 160 мм рекомендуется неразъемный корпус с двумя окнами на боковых стенках, через которые при сборке вводят внутрь корпуса комплект вала с червячным колесом.

Боковые
крышки корпуса центрируем по переходной
посадке и крепим к корпусу болтами.
Диаметры болтов принимаем по формуле:
г
де
Т – вращающий момент на тихоходном
валу, Нм.
принимаем М8, число болтов z = 8.
Для удобства сборки диаметр D отверстия окна выполняем на величину 2С = 4 мм больше максимального диаметра колеса d>ам2 >= 210 мм. Чтобы добиться необходимой жесткости, боковые крышки выполняем с высокими центрирующими буртиками (Н). Соединение крышек с корпусом уплотняем резиновыми кольцами круглого сечения.

Толщина
стенки корпуса:
принимаем = 8 мм.
Толщины стенок боковых крышек >1> = 0.9 = 0.98 7 (мм)
Диаметр отверстия под крышку D = d>ам2> + 2С = 210 + 4 = 214 (мм)
Размеры конструктивных элементов крышек: С = 2 мм, D = 214 мм,
D>к> = D + (4…4.4)d = 214 + (4…4.4)8 = 246…250 (мм),
примем D>к> равным 248 мм;
D>ф> = D>к> + 4 мм = 248 мм + 4 мм =252 мм;
Н 0.1D>к> = 0.1248 = 24.8 (мм).
Примем Н равным 30 мм.
Размер h>p> = 163 мм.
Диаметр d>ф> болтов для крепления редуктора к плите:
d>ф >= 1.25d = 1.258 = 10 (мм),
Принимаем М10, число болтов – 4.
Диаметр отверстия для болта d>0> = 12 мм (по таблице 11.11 из [4]).
Толщина лапы – 15 мм.
Высота ниши h>0 >= 2.5(d>ф> + ) = 2.5(10 + 8) = 45 (мм)
Глубина ниши – 24 мм.
Ширина опорной поверхности – 32 мм.
5.2. Конструирование стакана и крышек подшипников.
Стакан (рис. 5.1.) и крышки (рис. 5.2.) подшипников изготовим из чугуна марки СЧ15. Примем для всех подшипников привертные крышки, которые будем крепить к корпусу редуктора болтами. Рассчитаем все конструктивные элементы и, для удобства дальнейшего использования, занесем в таблицы 5.1 и 5.2.
Таблица 5.1.
Размеры конструктивных элементов крышек подшипников (мм)
-
D
d
z
>1>
>2>
C
D>ф>
для правой опоры червяка
52
6
6
4
7
5
8
88
для левой опоры червяка
52
6
8
4
7
5
14
98
для опор вала колеса
80
8
8
4
8
6
8
114
Таблица 5.2.
Размеры конструктивных элементов стакана (мм)
-
D
D>a>
>1>
>2>
C
D>ф>
t
болт
d
z
52
66
7
7
7
8
98
2
8
4
ПРОВЕРОЧНЫЙ РАСЧЕТ ВАЛОВ.
Для валов основным видом разрушения является усталостное, статическое разрушение наблюдается значительно реже. Оно происходит под действием случайных кратковременных перегрузок. Поэтому для валов расчет на сопротивление усталости является основным, а расчет на статическую прочность выполняется как проверочный.
Проверочный расчет входного вала.
Выбор расчетной схемы и определение опорных реакций.







































A
A
A
B
B
B
C
C
C
горизонтальная плоскость
вертикальная плоскость

M>z>
Нмм
M>y>
Нмм
О

порные
реакции в горизонтальной плоскости:
П



роверка:
-Z>A>>
>+
F>r>>1
>-Z>B>>
>=
-184.353 + 1052.506 – 868.153 = 0
О
порные
реакции в вертикальной плоскости:
П




роверка:
-Y>A>>
>+
F>t>>1
>-Y>B>
– F>M>
>
>=
-228.984 + 395.259 – 67.46 – 98.815 = 0
Построение эпюр изгибающих моментов.
Изгибающие моменты:
в горизонтальной плоскости
M>YA> = -Z>A>104 = -90287.9 (Нмм)
M>YB> = -Z>B>104 = -19172.7 (Нмм)
в вертикальной плоскости:
M>ZA> = -Y>A>104 = -23814.336 (Нмм)
M>ZB> = -F>M>66 = -6521.79 (Нмм)
Назначение опасных сечений.
Основываясь на эпюрах изгибающих и крутящего моментов и эскизе вала, назначаем сечение, для которого будет выполняться расчет. Это опасное сечение в точке С.
Проверка прочности вала в сечении С.
С
уммарный
изгибающий момент в сечении С:
М
оменты
сопротивления сечения вала-червяка (по
таблице 4[3]):
Н

апряжения
изгиба:
Н
апряжения
кручения:
Пределы выносливости материала (таблица 3[3]):
>-1 >= 360 МПа; >-1> = 210 МПа.
Коэффициенты, характеризующие чувствительность материала к асимметрии цикла напряжений для стали 40ХН:
>> = 0.15; >> = 0.1
Эффективные коэффициенты концентрации напряжений для сечения с червяком для стали 40ХН с пределом прочности >В >= 820 МПа (по таблице 4[3]):
K>> = 2.4; K>> = 1.8
Коэффициент влияния абсолютных размеров поперечного сечения при d = 50 мм (по таблице 6[3]):
>> = 0.70; >> = 0.70
Коэффициент влияния шероховатости поверхности (по таблице 7[3]):
K>F> = 1.12
Коэффициент влияния поверхности упрочнения (по таблице 8[3]):
K>V> = 1.3
Коэффициент перехода от пределов выносливости образцов к пределу выносливости деталей.
по нормальным напряжениям:
п

о
касательным напряжениям:
К
оэффициент
запаса только по нормальным напряжениям
изгиба:
К
оэффициент
запаса только по касательным напряжениям
кручения:
К
оэффициент
запаса сопротивлению усталости:

6.2. Проверочный расчет выходного вала.
Исходные данные, известные из предыдущих расчетов:
F>a2> = 395.259 H;
F>t2> = 2844.61 H;
F>r2> = 1052.506 H;
F>M> = 0.25F>t2> = 0.252844.61 = 711.153 H.
Выбор расчетной схемы и определение опорных реакций.

























A
A
A
B
B
B
C
C
C
горизонтальная плоскость
вертикальная плоскость
























































M>y>
Нмм
M>z>
Нмм
О

порные
реакции в горизонтальной плоскости:
П



роверка:
Z>A>
- >
>F>r>>1>
+ Z>B>>
>=
996.799 - 1052.506 + 55.707 = 0
О
порные
реакции в вертикальной плоскости:
П




роверка:
Y>A>>
>-
F>t>>2
>+
Y>B>
+ F>M>
>
>=
2099.593 – 2844.61 + 33.863 + 711.153 = 0
Построение эпюр изгибающих моментов.
Изгибающие моменты:
в горизонтальной плоскости
M>YA> = Z>A>42 = 41865.6 (Нмм)
M>YB> = Z>B>42 = 2339.7 (Нмм)
в вертикальной плоскости:
M>ZA> = Y>A>42 = 88182.9 (Нмм)
M>ZB> = F>M>80 = 56892.2 (Нмм)
Назначение опасных сечений.
Основываясь на эпюрах изгибающих и крутящего моментов и эскизе вала, назначаем сечение, для которого будет выполняться расчет. Это опасное сечение в точке С.
Проверка прочности вала в сечении С.
С
уммарный
изгибающий момент в сечении С:
М
оменты
сопротивления сечения вала при наличии
шпоночного паза (по таблице 4[3]):

Н
апряжения
изгиба:
Н
апряжения
кручения:
Пределы выносливости материала (таблица 3[3]):
>-1 >= 250 МПа; >-1> = 150 МПа.
Коэффициенты, характеризующие чувствительность материала к асимметрии цикла напряжений для стали 45:
>> = 0.1; >> = 0.05
Эффективные коэффициенты концентрации напряжений для сечения со шпоночной канавкой с пределом прочности >В >= 560 МПа (по таблице 4[3]):
K>> = 1.75; K>> = 1.5
Коэффициент влияния абсолютных размеров поперечного сечения при d = 48 мм (по таблице 6[3]):
>> = 0.82; >> = 0.71
Коэффициент влияния шероховатости поверхности (по таблице 7[3]):
K>F> = 1.05
Коэффициент влияния поверхности упрочнения (по таблице 8[3]):
K>V> = 1
Коэффициент перехода от пределов выносливости образцов к пределу выносливости деталей.
по нормальным напряжениям:
п

о
касательным напряжениям:
К
оэффициент
запаса только по нормальным напряжениям
изгиба:
К
оэффициент
запаса только по касательным напряжениям
кручения:
Коэффициент запаса сопротивлению усталости:


ПРОВЕРКА ДОЛГОВЕЧНОСТИ ПОДШИПНИКОВ.
7.1. Подшипники для входного вала.
Для червяка примем подшипники роликовые конические 7205 легкой серии. Из таблицы 19.24 [4] выписываем: d = 25 мм, D = 52 мм, Т = 16.25 мм, e = 0.36, С = 24000 Н.
Из условия равновесия вала:
о

т
сил, действующих в вертикальной плоскости,
F>r>
о

т
сил, действующих в горизонтальной
плоскости, F>t>
П
олные
радиальные реакции опор
Выбираем Х = 0.4 и Y = 0.92 (по рекомендациям [4])
Рассчитаем приведенную нагрузку первого подшипника
P>1> = (VXF>r>>1> + YF>a>>1>)K>б>K>т> , где
K>б> = 1.3 – коэффициент безопасности (по таблице 6.3 [4]);
K>Т> = 1.0 – температурный коэффициент (по таблице 6.4 [4]);
Х – коэффициент радиальной нагрузки;
V – коэффициент вращения относительного вектора нагрузки внутреннего кольца подшипника.
P>1> = (0.41898 + 0.9228844.61)1.31.0 = 3860 (H)
Р
есурс
подшипника:
m
=3.33 – показатель кривой выносливости.
L>h>> тр> = 9460.8 ч – требуемая долговечность.
L>h>>1 >> L>h>> тр> , подшипники удовлетворяют поставленным требованиям.
7.2. Подшипники для выходного вала.
Для вала червячного колеса примем подшипники роликовые конические 7208 легкой серии. Из таблицы 19.24 [4] выписываем: d = 40 мм, D = 80 мм, Т = 19.25 мм, e = 0.38, С = 46500 Н.
Из условия равновесия вала:
о

т
сил, действующих в вертикальной плоскости,
F>r>
о

т
сил, действующих в горизонтальной
плоскости, F>t>
П
олные
радиальные реакции опор
Выбираем Х = 0.4 и Y = 0.86 (по рекомендациям [4])
Рассчитаем приведенную нагрузку первого подшипника
P>1> = (VXF>r>>1> + YF>a>>1>)K>б>K>т> , где
K>б> = 1.3 – коэффициент безопасности (по таблице 6.3 [4]);
K>Т> = 1.0 – температурный коэффициент (по таблице 6.4 [4]);
Х – коэффициент радиальной нагрузки;
V – коэффициент вращения относительного вектора нагрузки внутреннего кольца подшипника.
P>1> = (0.412324.12 + 0.8665.191)1.31.0 = 1281.426 (H)
Р
есурс
подшипника:
m
=3.33 – показатель кривой выносливости.
L>h>> тр> = 9460.8 ч – требуемая долговечность.
L>h>>1 >> L>h>> тр> , подшипники удовлетворяют поставленным требованиям.
ПРОВЕРКА ПРОЧНОСТИ ШПОНОЧНОГО СОЕДИНЕНИЯ И ПОСАДКИ ВЕНЦА ЧЕРВЯЧНОГО КОЛЕСА.
8.1. Рассчитаем шпоночное соединение для входного вала с муфтой. Шпонку выбираем призматическую по ГОСТ 23360-78. Размеры шпонки выбираем по таблице 19.11 из [4]:
- сечение b h = 6 6 мм;
- фаска 0.3 мм;
- глубина паза вала t>1> = 3.5 мм;
- глубина паза ступицы t>2> = 2.8 мм;
- длина l = 32 мм.
Ш
понка
призматическая со скругленными торцами.
Материал шпонки – сталь 45 нормализованная.
Напряжения смятия и условия прочности
определяем по формуле:
При чугунной ступице []>см> = 70…100 МПа.
П
ередаваемый
момент Т = 17.64 Нм.
>см> < []>см >, следовательно, допустимо установить муфту из чугуна СЧ20
Рассчитаем шпоночные соединения для выходного вала.
Соединение вал-колесо.
Шпонку выбираем призматическую по ГОСТ 23360-78. Размеры шпонки выбираем по таблице 19.11 из [4]:
- сечение b h = 14 9 мм;
- фаска 0.5 мм;
- глубина паза вала t>1> = 5.5 мм;
- глубина паза ступицы t>2> = 3.8 мм;
- длина l = 48 мм.
Ш
понка
призматическая со скругленными торцами.
Материал шпонки – сталь 45 нормализованная.
Напряжения смятия и условия прочности
определяем по формуле:
При чугунном центре колеса []>см> = 70…100 МПа.
П
ередаваемый
момент Т = 284.461 Нм.
>см> < []>см >, следовательно, допустимо центр червячного колеса изготовить из серого чугуна СЧ20
Соединение вала с муфтой.
Шпонку выбираем призматическую по ГОСТ 23360-78. Размеры шпонки выбираем по таблице 19.11 из [4]:
- сечение b h = 10 8 мм;
- фаска 0.4 мм;
- глубина паза вала t>1> = 5 мм;
- глубина паза ступицы t>2> = 3.3 мм;
- длина l = 50 мм.
Ш
понка
призматическая со скругленными торцами.
Материал шпонки – сталь 45 нормализованная.
Напряжения смятия и условия прочности
определяем по формуле:
При чугунной ступице []>см> = 70…100 МПа.
П
ередаваемый
момент Т = 284.461 Нм.
>см> < []>см >, следовательно, допустимо установить муфту из чугуна СЧ20
Выбор посадки для венца червячного колеса.
Мощность, передаваемая червячным колесом Р>2> = 0.512 кВт;
Частота вращения n>2> = 17.189 об/мин;
Вращающий момент, передаваемый червячным колесом Т = 284.461 Нм.
Венец выполнен из бронзы БрА9ЖЗЛ отливка в кокиль (>Т> = 245 МПа), чугунный центр - из серого чугуна СЧ20 (>пч.р> = 118 МПа; = 0.25) Колесо изображено на рис.4.1.
М
инимальное
контактное давление, которое должно
быть создано по поверхностям сопрягаемых
деталей для передачи момента Т:
Определим величину минимального расчетного натяга:
Принимаем для материала охватываемой детали (чугуна) Е>1> = 1.3105 МПа и = 0.25; для материала венца - Е>1> = 1.1105 МПа и = 0.33.


Вычислим
коэффициенты с>1 > и с>2 >:
Вычислим минимальный табличный натяг с учетом поправок:
>Т >>min> = >min>> >+ u = 306 + 14.4 320 мкм
По таблицам допусков и посадок [6] выбираем посадку в системе отверстия: >Т >>min>> >= 330 мкм; >Т>>max> = 420 мкм.
Проверку прочности соединяемых деталей производим при контактном давлении, соответствующем максимально возможной величине натяга:
Д
ля
опасных точек внутренней поверхности
венца червячного колеса при
= 1.0 получаем:
К
оэффициент
запаса прочности:
Такой коэффициент запаса достаточен.

Для
опасных точек колесного центра:

Таким
образом, колесный центр имеет весьма
большой запас прочности.
ВЫБОР СМАЗКИ РЕДУКТОРА И УПЛОТНИТЕЛЬНЫХ УСТРОЙСТВ.
9.1. Выбор системы и вида смазки.
Скорость скольжения в зацеплении V>S> = 1.842 м/с. Контактные напряжения >Н >= 142.58 Н/мм. По таблице 8.2 из [4] выберем масло И-Т-Д-220.
Используем картерную систему смазывания. В корпус редуктора заливаем масло так, чтобы венец червячного колеса был в него погружен на глубину h>м>:
h>м >>max> 0.25d>2 >= 0.25200 = 50 (мм);
h>м >>min>> >= 2m = 25 = 10 (мм)
При вращении колеса масло будет увлекаться его зубьями, разбрызгиваться, попадать на внутренние стенки корпуса, откуда стекать в нижнюю его часть. Внутри корпуса образуется взвесь частиц масла в воздухе, которым покрываются поверхности расположенных внутри корпуса деталей, в том числе и подшипники.
Объем масляной ванны V = 0.65P>пот> = 0.651.306 = 0.85 л.
Выбор уплотнений.
И для червяка, и для червячного колеса выберем манжетные уплотнения по ГОСТ 8752-79. Установим их рабочей кромкой внутрь корпуса так, чтобы обеспечить к ней хороший доступ масла.
ВЫБОР МУФТ.
Выбор муфты для входного вала.
Исходные данные известные из предыдущих расчетов:
вращающий момент на валу Т = 17.64 Нм;
частота вращения входного вала n = 700 об/мин;
диаметр консольного участка вала d>1> = 18 мм;
диаметр консольного участка двигателя d>2> = 28 мм.
Так как диаметры консольного участка вала (18 мм) и консольного участка двигателя (28 мм) неодинаковы, то муфта, соединяющая их, будет нестандартная. Правую полумуфту выберем по ГОСТ 21424-75 для d = 28 мм: D = 120 мм; l = 42 мм. Левую полумуфту изготовим сами для d = 18 мм: D = 120 мм; l = 42 мм. Длина всей муфты L = 89 мм.
Тип муфты – с цилиндрическими отверстиями (рис. 10.1.).
Выбор муфты для выходного вала.
Исходные данные известные из предыдущих расчетов:
вращающий момент на валу Т = 284.461 Нм;
частота вращения выходного вала n = 17.189 об/мин;
диаметр консольного участка вала d = 36 мм.
Для данных параметров наиболее подходящая муфта упругая с торообразной оболочкой (рис 10.2.). Размеры этой муфты возьмем по таблице 15.4 из [4] (ГОСТ 20884-75):
d = 36 мм; D = 250 мм; L = 240 мм; l = 60 мм; n>max> = 2000 об/мин.
Номинальный вращающий момент Т = 315 Нм.
Максимальный момент при кратковременной перегрузке 1000 Нм.
ОПИСАНИЕ КОНСТРУКЦИИ РАМЫ.
Для изготовления рамы используются швеллера по ГОСТ 8240-72. Швеллера соединяются между собой посредством сваривания плавящими электродами.
Два продольных швеллера №12 длиной по 565 мм скрепляются между собой с левой части швеллером №12 длиной 45 мм, справа встык к ним приваривается швеллер №30 длиной 180 мм. В правой же части сверху устанавливается швеллер №18 длиной 180 мм параллельно швеллеру №30. Редуктор крепится на 2 продольных швеллера №12, а двигатель на 2 поперечных швеллера №18 и №30. В местах их крепления привариваются пластины и сверлятся отверстия диаметром 12 мм, а снизу привариваются косые шайбы. На нижних полках швеллеров №12 и №30 в местах крепления рамы к фундаменту сверлятся отверстия диаметром 12 мм и привариваются косые шайбы.
Габаритные размеры рамы: длина 665 мм, высота 310 мм, ширина 180 мм.
|
Формат |
Зона |
Поз. |
Обозначение |
Наименование |
Кол. |
Приме-чание |
||
Документация |
||||||||
|
ДМ 2501.100.000 СБ |
Редуктор червячный |
|||||||
|
ДМ 2501.100.000 ПЗ |
Расчетно-пояснительная |
|||||||
|
записка |
||||||||
Сборочные единицы |
||||||||
|
1 |
ДМ 2501.110.000 |
Червяк |
||||||
|
2 |
ДМ 2501.120.000 |
Вал выходной |
||||||
Детали |
||||||||
|
3 |
ДМ 2501.100.001 |
Корпус |
1 |
|||||
|
4 |
ДМ 2501.100.002 |
Крышка смотровая |
1 |
|||||
|
5 |
ДМ 2501.100.003 |
Крышка смотровая |
1 |
|||||
|
6 |
ДМ 2501.100.004 |
Крышка подшипника |
1 |
|||||
|
7 |
ДМ 2501.100.005 |
Крышка подшипника |
1 |
|||||
|
8 |
ДМ 2501.100.006 |
Крышка подшипника |
1 |
|||||
|
9 |
ДМ 2501.100.007 |
Крышка подшипника |
1 |
|||||
|
10 |
ДМ 2501.100.008 |
Стакан |
1 |
|||||
|
11 |
ДМ 2501.100.009 |
Прокладка |
1 |
|||||
|
12 |
ДМ 2501.100.010 |
Прокладка |
1 |
|||||
|
13 |
ДМ 2501.100.011 |
Прокладка регулировочная |
2 |
|||||
|
14 |
ДМ 2501.100.012 |
Прокладка регулировочная |
2 |
|||||
|
15 |
ДМ 2501.100.013 |
Маслоуказатель |
1 |
|||||
|
16 |
ДМ 2501.100.014 |
Отдушина |
1 |
|||||
|
17 |
ДМ 2501.100.015 |
Винт грузовой |
2 |
|||||
ДМ 2501.100.000 СП |
||||||||
|
Изм |
Лист |
№ документа |
Подпись |
Дата |
||||
|
Разработал |
Неупокоев Д.А. |
Редуктор |
Лит. |
Лист |
Листов |
|||
|
Проверил |
Слесарев Е.Н. |
у |
1 |
2 |
||||
КГУ группа М-3115 |
||||||||
|
Н. контр. |
||||||||
|
Утв |
|
Формат |
Зона |
Поз. |
Обозначение |
Наименование |
Кол. |
Приме-чание |
|
18 |
ДМ 2501.100.016 |
Кольцо уплотнительное |
2 |
|||
|
19 |
ДМ 2501.100.017 |
Пробка коническая |
1 |
|||
Стандартные изделия |
||||||
|
Болты ГОСТ 7798-70 |
||||||
|
21 |
М6 6g 25.5.8 |
4 |
||||
|
22 |
M8 6g 25.5.8 |
16 |
||||
|
23 |
M8 6g 30.5.8 |
12 |
||||
|
Винты ГОСТ 1491-80 |
||||||
|
24 |
М6 6g 18.5.8 |
4 |
||||
|
25 |
M8 6g 22.5.8. |
4 |
||||
|
Манжеты ГОСТ 8752-79 |
||||||
|
26 |
1 – 24 38 |
1 |
||||
|
27 |
1 – 40 56 |
1 |
||||
|
Шайбы ГОСТ 6402-70 |
||||||
|
28 |
665Г |
4 |
||||
|
29 |
865Г |
28 |
||||
ДМ 2501.200.000 СП |
Лист |
|||||
|
2 |
||||||
|
Изм. |
Лист |
№ документа |
Подпись |
Дата |
|
Формат |
Зона |
Поз. |
Обозначение |
Наименование |
Кол. |
Приме-чание |
||
Документация |
||||||||
|
ДМ 2501.200.000.СБ |
Сборочный чертеж |
|||||||
Детали |
||||||||
|
1 |
ДМ 2501.200.201 |
Пластина |
4 |
|||||
|
2 |
ДМ 2501.200.202 |
Пластина |
4 |
|||||
|
3 |
ДМ 2501.200.203 |
Швеллер 18 ГОСТ 8240-72 |
||||||
|
ст 3 ГОСТ 535-58 |
||||||||
|
L = 180 |
1 |
|||||||
|
4 |
ДМ 2501.200.204 |
Швеллер 12 ГОСТ 8240-72 |
||||||
|
ст 3 ГОСТ 535-58 |
||||||||
|
L = 565 |
1 |
|||||||
|
5 |
ДМ 2501.200.205 |
Швеллер 12 ГОСТ 8240-72 |
||||||
|
ст 3 ГОСТ 535-58 |
||||||||
|
L = 565 |
1 |
|||||||
|
6 |
ДМ 2501.200.206 |
Швеллер 12 ГОСТ 8240-72 |
||||||
|
ст 3 ГОСТ 535-58 |
||||||||
|
L = 45 |
1 |
|||||||
|
7 |
ДМ 2501.200.207 |
Швеллер 30 ГОСТ 8240-72 |
||||||
|
ст 3 ГОСТ 535-58 |
||||||||
|
L = 180 |
1 |
|||||||
|
8 |
ДМ 2501.200.208 |
Косые шайбы 12 |
12 |
|||||
ДМ 2501.200.000 СП |
||||||||
|
Изм |
Лист |
№ документа |
Подпись |
Дата |
||||
|
Разработал |
Неупокоев Д.А. |
Рама сварная |
Лит. |
Лист |
Листов |
|||
|
Проверил |
Слесарев Е.Н. |
у |
1 |
1 |
||||
КГУ группа М-3115 |
||||||||
|
Н. контр. |
||||||||
|
Утв |
|
Формат |
Зона |
Поз. |
Обозначение |
Наименование |
Кол. |
Приме-чание |
||
Документация |
||||||||
|
ДМ 2501.300.000 СБ |
Сборочный чертеж |
|||||||
Сборочные единицы |
||||||||
|
1 |
ДМ 2501.100.000 СБ |
Редуктор |
1 |
|||||
|
2 |
ДМ 2501.200.000 СБ |
Рама сварная |
1 |
|||||
|
3 |
ДМ 2501.300.000 СБ |
Муфта |
1 |
|||||
Стандартные изделия |
||||||||
|
Болты ГОСТ 7798-70 |
||||||||
|
4 |
М10 6g 38.5.8 |
4 |
||||||
|
5 |
M10 6g 50.5.8 |
4 |
||||||
|
Гайки ГОСТ 5915-70 |
||||||||
|
6 |
М10 |
8 |
||||||
|
Муфта торообразная |
||||||||
|
7 |
250 – 36 – 1.1 ГОСТ 20884-75 |
1 |
||||||
|
Шайбы |
||||||||
|
8 |
1065Г ГОСТ 6402-70 |
8 |
||||||
|
9 |
10 ГОСТ13371-68 |
8 |
||||||
|
Электродвигатель |
||||||||
|
10 |
4А1008УЗ ГОСТ 19523-74 |
1 |
||||||
ДМ 2501.300.000 СП |
||||||||
|
Изм |
Лист |
№ документа |
Подпись |
Дата |
||||
|
Разработал |
Неупокоев Д.А. |
Привод |
Лит. |
Лист |
Листов |
|||
|
Проверил |
Слесарев Е.Н. |
у |
1 |
1 |
||||
КГУ группа М-3115 |
||||||||
|
Н. контр. |
||||||||
|
Утв |
СПИСОК ИСПОЛЬЗАВАННОЙ ЛИТЕРАРУРЫ.
Смолин А.И. Кинематический расчет привода. Методические указания. Курган: 1989. 22 с.
Ратманов Э.В. Расчет передач зацеплением. Учебное пособие. Курган, 1995. 78 с.
Колесников В.Н. Расчет валов. Методические указания. Курган, 1996. 25 с.
Дунаев П.Ф., Леликов О.П. Детали машин. Курсовое проектирование. М.: Высшая школа, 1990. 400 с.
Чернавский С.А., Ицкович Г.М. и др. Курсовое проектирование деталей машин. М.: Машиностроение, 1979. 351 с.
Федоренко В.А., Шошин А.И. Справочник по машиностроительному черчению. Л.: Машиностроение, 1981. 416 с.














































