Адсорбция поверхностно-активных веществ (ПАВ)
Контрольная работа
по биологии
2009
Содержание
1. Влияние природы ПАВ и поверхности твердого тела на адсорбцию ПАВ
2. Моделирование поверхности и методы определения адсорбции
2.1 Дисперсные системы
2.2 Макроскопические поверхности
3. Анализ адсорбции ПАВ на основе уравнения Ленгмюра
1. Влияние природы ПАВ и поверхности твердого тела на адсорбцию ПАВ
Адсорбция ПАВ на поверхности твердых тел имеет важное значение для многих промышленных процессов, например при диспергировании твердых тел в водных средах, в моющем действии, при солюбилизации различных химических веществ и др. Многие такие процессы связаны с диспергированием твердых тел в воде. Показателен расчет, из которого следует, что в одном литре краски на водной основе площадь поверхности равна - 15000 м и эта площадь доступна для адсорбции поверхностно-активных веществ. Таким образом, адсорбция ПАВ в подобных системах является важнейшей характеристикой, определяющей их свойства.
Адсорбция ПАВ зависит главным образом от двух факторов: от взаимодействия ПАВ с поверхностью и от гидрофобное ПАВ, обеспечивающей так называемый гидрофобный эффект. Этот эффект, безусловно, тесно связан со структурой молекул ПАВ и, следовательно, с растворимостью ПАВ в воде. Было установлено, что этот эффект является главной движущей силой адсорбции ПАВ в большинстве случаев. Например, взаимодействие ПАВ с поверхностью играет небольшую роль, если эти поверхности гидрофобны, поскольку молекулы ПАВ адсорбируются на гидрофобных поверхностях за счет образования контактов гидрофобных участков молекул с поверхностью, а гидрофильные групп остаются в контакте с раствором. Такая картина аналогична образованию мицелл: при адсорбции гидрофобные участки молекул переносятся из водного окружения в гидрофобное. И действительно, свободная энергия адсорбции ПАВ на гидрофобных поверхностях очень близка к свободной энергии ми-целлообразования соответствующего ПАВ.
В то же время на сильно полярной поверхности и при низкой концентрации ПАВ его молекулы адсорбируются, ориентируясь полярными группами к поверхности. При повышении концентрации ПАВ на поверхности могут возникнуть структуры двух типов. При сильном притяжении между полярной группой ПАВ и поверхностью образуется монослой, в котором "головки" молекул ПАВ контактируют с поверхностью, а гидрофобные части молекул оказываются в контакте с раствором. Такая структура адсорбционного слоя создает гид рофобную поверхность, которая, в свою очередь, вызывает дальнейшую адсорбцию ПАВ по типу, характерному для гидрофобных поверхностей, что приводит к формированию на поверхности бислоев молекул ПАВ. Такая ситуация реализуется, например, при адсорбции заряженных ПАВ на противоположно заряженных поверхностях. Кроме того, гидрофобный монослой ПАВ на поверхности может возникнуть и в результате химической реакции между полярной группой ПАВ и поверхностью. В качестве примера можно привести адсорбцию анионных алкилксантогенатов на поверхности сульфидных минералов, что широко используется для флотации этих минералов.

Рис.1. Поверхностно-активные вещества адсорбируются на неполярных поверхностях с образованием гидрофобных контактов с поверхностью, а на полярных поверхностях с образованием контактов полярных групп ПАВ с поверхностью
В том случае, если адсорбция происходит при высоких концентрациях, а между полярными группами ПАВ и поверхностью наблюдается притяжение умеренной силы, на поверхности возникают мицеллы или другие агрегаты ПАВ из-за гораздо более сильного притяжения между гидрофобными частями молекул. Образование агрегатов на поверхности контролируется балансом взаимодействий полярных групп с поверхностью и гидрофобных радикалов ПАВ друг с другом.
Поскольку критический параметр упаковки отражает как раз баланс взаимодействий между гидрофобными частями молекул и их полярными группами, КПУ регулирует и адсорбцию ПАВ независимо от степени гидрофильности или гидрофобности поверхности. Адсорбция, как правило, увеличивается при увеличении КПУ, так как при этом молекулы ПАВ упаковываются на поверхности более плотно и с большим выигрышем в энергии.
Обычно ПАВ в водных растворах используются в условиях, соответствующих низким значениям КПУ.
При определенных условиях это значение КПУ можно увеличить, а следовательно, повысить адсорбцию ПАВ. Ниже перечислены способы, которыми можно добиться увеличения КПУ в системах, где присутствует одно ионное ПАВ с неразветвленным гидрофобным радикалом:
1) Заменить ПАВ на другое ПАВ с более длинным углеводородным остатком.
2) Заменить ПАВ на другое ПАВ с разветвленным углеводородным остатком.
3) Использовать ПАВ с двумя углеводородными цепями.
4) Добавить в систему длинноцепочечный спирт, амин или другие гидрофобные дифильные компоненты.
5) Добавить в систему гидрофобное неионное ПАВ.
6) Ввести в систему небольшое количество противоположно заряженного ПАВ.
7) Добавить в систему соль.
Пункт 1 - это известное правило Траубе, которое утверждает, что адсорбция органических веществ из водных растворов сильно и закономерно возрастает в гомологическом ряду.
Увеличить КПУ в системе, содержащей одно неионное ПАВ с неразветвленным углеводородным радикалом, можно с помощью следующих приемов:
1) Заменить ПАВ на другое, с более длинным углеводородным остатком.
2) Заменить ПАВ на другое ПАВ с разветвленным углеводородным отстатком.
3) Использовать ПАВ с двумя гидрофобными остатками.
4) Заменить ПАВ на другое неионное ПАВ с более короткими полиоксиэтиленовыми цепями.
5) Повысить температуру.
6) Ввести в систему соль.
Уменьшения КПУ неионного ПАВ можно добиться введением в систему ионного ПАВ.
2. Моделирование поверхности и методы определения адсорбции
2.1 Дисперсные системы
В качестве модельных поверхностей при изучении адсорбции ПАВ обычно используют частицы латексов, причем чаще всего проводят исследования с полистирольными латексами. Реже используют другие латексы, например полиметилметакрилатные. Для этих целей латексы синтезируют в отсутствие ПАВ, а их стабильность обеспечивают наличием заряженных групп инициатора полимеризации, локализованных на концах полимерных цепей. Эти заряды сообщают латексам достаточную стабильность при невысоком содержании твердой фазы. Соблюдая определенные условия, можно получить монодисперсные латексы. Размер частиц латексов обычно лежит в интервале 0.1-0.4 мкм, что соответствует удельным поверхностям - 15-60 м2/г. Монодисперсность и большая удельная поверхность делает латексные системы очень удобными для изучения адсорбции.
Метод изучения адсорбции в дисперсных системах состоит в большинстве случаев в добавлении ПАВ, выдерживании системы в течение определенного времени, необходимого для достижения равновесия, отделении твердой фазы и в определении концентрации ПАВ в растворе. Уменьшение концентрации ПАВ позволяет определить адсорбцию по следующему уравнению:

где С и Со - равновесная концентрация ПАВ и начальная концентрация ПАВ соответственно, V - объем раствора; т - масса твердых частиц и a>sp> - удельная поверхность частицы. Определение концентрации ПАВ можно провести с помощью ионоселективных электродов, спектроскопии в УФ или видимой областях, измерений показателя преломления, а также титриметрией, хроматографией или измерениями поверхностного натяжения. В последнем случае не обязательно отделять твердую фазу, поскольку частицы не влияют на поверхностное натяжение, если они полностью смачиваются жидкостью.
Отсюда вытекает возможность титрования дисперсных систем поверхностно-активными веществами. Этот метод получил название "мыльного титрования". Точность определения изотерм адсорбции зависит от метода определения ПАВ. При использовании ионоселективных электродов точность невысока, поскольку измеряемый потенциал пропорционален логарифму концентрации ПАВ, и небольшие изменения потенциала соответствуют большим изменениям поверхностной концентрации ПАВ.
Используются также проточные системы, которые действуют на принципе замены дисперсионной среды. Дисперсная система помещается в проточную ячейку, снабженную фильтром, препятствующим выходу дисперсной фазы из ячейки, и мешалкой.
Раствор ПАВ медленно пропускается через ячейку, и на выходе из нее измеряется концентрация ПАВ. Схематически такая ячейка представлена на рис.2. На рис.3, а и б показаны соответственно концентрационный профиль ПАВ и изотерма адсорбции. Существенными параметрами в этом методе являются скорость протекания раствора через ячейку и скорость перемешивания.
Слишком большая скорость перемешивания может приводить к коагуляции, а слишком маленькая - к закупориванию фильтра.Время нахождения ПАВ в ячейке должно быть по крайней мере порядка одного часа, чтобы была уверенность в том, что в системе достигнуто равновесие.
Изотерма адсорбции рассчитывается по массовому балансу, и для "-ой порции выполняется уравнение

где А - общая поверхность частиц, находящихся в ячейке,
V>i> - объем г-й порции,
Со - концентрация ПАВ на входе в ячейку,
C>i> - концентрация в i-й порции,
С„>? с> - концентрация ПАВ в ячейке объемом V>c>.
Концентрацию в ячейке определяют из графика.

Рис.2. Схема ячейки с замещением дисперсионной среды для определения изотерм адсорбции ПАВ на поверхности суспендированных частиц
2.2 Макроскопические поверхности
В последние годы была доказана эффективность метода эллипсометрии для измерения адсорбции ПАВ из раствора на макроскопических поверхностях. Суть метода в том, что эллиптически поляризованный свет отражается от поверхности и измеряется изменение поляризации, зависящее от присутствия на поверхности адсорбционного слоя.
Таким образом количественно регистрируется адсорбция; предел детектирования 0.1 мг/м2. Это означает, что метод пригоден и для измерений адсорбции ниже плотного монослойного покрытия поверхности адсорбатом. Кроме того, метод позволяет измерять толщину и показатель преломления адсорбционного слоя.
Метод обладает существенным преимуществом, поскольку позволяет измерять адсорбцию in situ, т.е. когда поверхность в контакте с раствором; таким образом появляется возможность изучать кинетику адсорбции.
3. Анализ адсорбции ПАВ на основе уравнения Ленгмюра
Для интерпретации адсорбции ПАВ на молекулярном уровне необходимо анализировать результаты измерений в рамках определенной теоретической модели. Параметры, получаемые при таком анализе, в дальнейшем можно использовать для сравнения адсорбционных свойств различных ПАВ и для предсказания адсорбции в новых системах. Обычно анализ адсорбции ПАВ проводят на основе уравнения Ленгмюра. Это уравнение выполняется при соблюдении следующих условий:

Рис.3. Зависимость концентрации раствора ПАВ в вытекающем из ячейки потоке от объема элюирования и соответствующая изотерма адсорбции ПАВ
1) Поверхность однородна.
2) Поверхностно-активное вещество адсорбируется с образованием одного монослоя.
3) Отсутствуют взаимодействия между молекулами ПАВ и растворителя и взаимодействия молекул ПАВ между собой.
4) Молекулы ПАВ и растворителя имеют одинаковые площади поперечного сечения.
Первые два условия вполне очевидны, а два других - нет. Было показано, что учет взаимодействий и площади поперечного сечения ПАВ приводит к нивелирующим друг друга отклонениям от уравнения Ленгмюра. Таким образом, удовлетворительное описание изотерм адсорбции ПАВ уравнением Ленгмюра в известной мере случайно. Уравнение Ленгмюра можно вывести следующим простым способом. Пусть скорость адсорбции равна

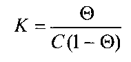
где С - равновесная концентрация ПАВ в растворе,© - доля поверхности, занятая молекулами ПАВ, к>а> - константа скорости. Аналогичным образом скорость десорбции записывается как

где kd - константа скорости десорбции. При равновесии скорости адсорбции и десорбции равны и тогда
или

где А' - константа равновесия. Уравнения и называются уравнениями Ленгмюра. Константа равновесия К описывает распределение ПАВ между поверхностной фазой и фазой раствора.
Это становится понятным, если рассмотреть уравнение Ленгмюра при бесконечно малых концентрациях:

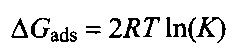
Таким образом, низкие значения К указывает на слабую адсорбцию, а высокие - на сильную адсорбцию адсорбата. Свободная энергия адсорбции G>a>d>S> связана с константой К уравнением

Долю поверхности, занятую молекулами ПАВ, определяют исходя из предположение о мономолекулярной адсорбции. В этом случае полное заполнение поверхности достигается при больших равновесных концентрациях в растворе.
Доля поверхности, занятая молекулами адсорбата, определяется соотношением

где Г - количество адсорбированного вещества, T>max> - предельная адсорбция, отвечающая полностью заполненному монослою.
Уравнение с учетом уравнения можно переписать в виде:

Зависимость 1/Г от 1/И позволяет определить T>max> и К по отрезку, отсекаемому на оси ординат, и по наклону прямой соответственно. Таким образом, из измеренных изотерм адсорбции определяют константы уравнения Ленгмюра T>max> и К, а также свободную энергию адсорбции AG>a>d>s>.
Альтернативным вариантом анализа является рассмотрение адсорбции ПАВ на твердой поверхности как его распределение между двумя фазами - поверхностной фазой и объемом раствора. При этом устанавливается равновесие между двумя фазами для молекул ПАВ и воды.
Следовательно,

Данное равновесие характеризуется константой равновесия К *

Пусть концентрация ПАВ на поверхности равна И, а концентрация воды - ; С-концентрация ПАВ в растворе, а концентрация воды в растворе постоянна из-за очень низкой концентрации ПАВ, тогда получим

или

В данном анализе сделано только предположение о том, что поверхностная и объемная фазы гомогенны, что для поверхностной фазы является приближением. При более глубоком рассмотрении это предположение приводит к условиям 1-4, перечисленным ранее.
Предположением об отсутствии взаимодействий между молекулами ПАВ и растворителя можно пренебречь, если такие взаимодействия одинаковы в поверхностной и в объемной фазах. Это предположение заключено в неявной форме в приведенном выше рассмотрении, поскольку вместо активностей использованы концентрации.