Антиокислительные эффекты биологически активных веществ в составе растительных масел

УДК 665.3

АНТИОКИСЛИТЕЛЬНЫЕ ЭФФЕКТЫ БИОЛОГИЧЕСКИ АКТИВНЫХ ВЕЩЕСТВ В СОСТАВЕ РАСТИТЕЛЬНЫХ МАСЕЛ

М.С. Ростова, Г.М. Бальбекова, М.В. Филатова, С.Ф. Андрусенко

ГОУ ВПО Ставропольский государственный университет

С давних времен человечество использовало масла растений в различных целях (пищевой, косметической, промышленной, медицинской). Но всегда существовала проблема сохранности полезных свойств масел при длительном хранении. С развитием науки и новых методов исследования выяснилась роль антиоксидантов – биологически активных веществ, предотвращающих прогоркание масел. Существует большое многообразие антиоксидантов, в связи с чем необходим выбор оптимального антиоксиданта для определенных веществ. На данный момент открыты различные виды природных и синтетических антиоксидантов 1.

Антиокислительная ценность продуктов значительно снижается не только от длительного хранения, но и от чрезмерной очистки. Например, из-за слишком тщательного рафинирования, растительное масло теряет свою естественную защиту в виде натуральных антиоксидантов. В связи с чем, масла прогоркают более интенсивно, чем до очистки 2.

Целью наших исследований является изучение влияния использования некоторых природных антиоксидантов как антиокислителей биологически активных веществ в растительных маслах.

Объектом исследования служили три масла: подсолнечное, касторовое и рыбий жир. В качестве антиоксидантов использовались: β–каротин, α–токоферол и аскорбиновая кислота, с концентрацией 1% (с учетом количества антиоксидантов в маслах). А также смесь этих трех антиоксидантов для подтверждения теории синергизма 3.

Эксперимент проводился на протяжении 6 месяцев, в течение которых осуществлялся контроль за физико-химическими показателями свежести растительных масел (кислотное, перекисное и йодное числа).

Анализы проводились каждые две - три недели, результаты которых представлены следующими рисунками.

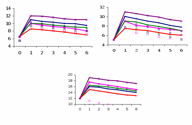
Данные по изменению показателей кислотного числа подсолнечного масла представлены на рисунке 1А.

В течение первого месяца хранения подсолнечного масла происходило увеличение значений кислотного числа, после чего они постепенно уменьшались. При этом надо отметить, что значения кислотного числа для всех исследуемых объектов оставалось в пределах допустимых значений. Но в контрольном опыте (чистое подсолнечное масло) изменение кислотного числа после первоначального скачка происходило менее заметно, по сравнению с изменениями кислотного числа подсолнечного масла с добавками антиоксидантов.

КЧ, КЧ

мл КОН мл КОН

срок хранения, мес. срок хранения, мес.

А Б

КЧ,

мл КОН

срок хранения, мес.

В

Рисунок 1 – Изменение показателей кислотного числа различных масел

А – подсолнечное масло; Б – касторовое масло; В – рыбий жир

 – β–каротин; ■ – α–токоферол; ▲ – аскорбиновая кислота;

ייсмесь трех антиоксидантов;  – контрольная проба (без добавок)

Данные по изменению показателей кислотного числа касторового масла представлены на рисунке 1Б.

Прослеживается тот же характер изменения кислотного числа касторового масла, что и для подсолнечного масла. То есть в первый месяц происходил рост значений кислотного числа касторового масла, а, начиная со второго месяца, шло постепенное снижение значений кислотного числа. Конечное значение кислотного числа в контрольном опыте вышло за пределы допустимого, а конечные значения кислотного числа анализируемых проб касторового масла с добавками антиоксидантов укладывалось в допустимый предел значений кислотного числа для касторового масла.

Данные по изменению показателей кислотного числа рыбьего жира представлены на рисунке 1В.

Конечные значения кислотного числа во всех опытах не вышли за пределы допустимых для рыбьего жира.

Проанализировав характер изменения кислотного числа, можно убедиться в том, что для подсолнечного и касторового масел из предложенных антиоксидантов наибольшую активность проявил –токоферол, для рыбьего жира - β–каротин. А также, что смесь антиоксидантов проявила самую высокую активность, подтверждая явление синергизма.

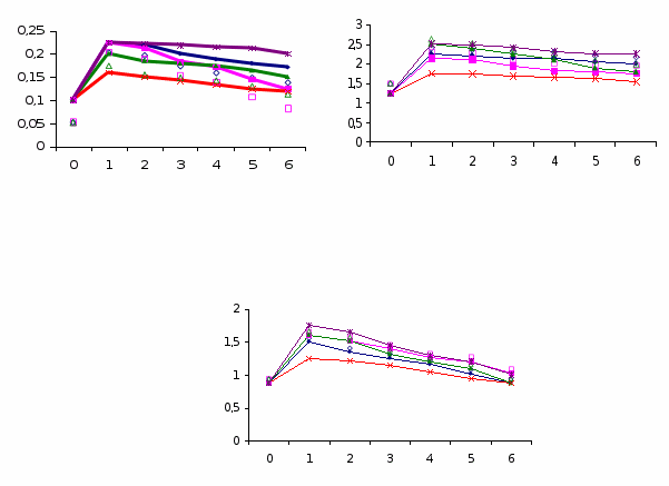
Степень ненасыщенности жирных кислот, входящих в состав масел характеризуется йодным числом. Изменение основных показателей йодного числа для масел представлено на рисунке 2.

ИЧ, % ИЧ, %

срок хранения, мес. срок хранения, мес.

А Б

ИЧ, %

срок хранения, мес.

В

Рисунок 2 – Изменение показателей йодного числа различных масел

А – подсолнечное масло; Б – касторовое масло; В – рыбий жир

 – β–каротин; ■ – α–токоферол; ▲ – аскорбиновая кислота;

ייсмесь трех антиоксидантов;  – контрольная проба (без добавок)

Из трех выбранных антиоксидантов эффективным для подсолнечного и касторового масел оказался -токоферол, для рыбьего жира - -каротин. Наибольшая антиокислительная активность соответствует смеси антиокислителей.

Количественное определение перекисей в маслах определяется перекисным числом и основано на реакции выделения йода перекисями из йодистого калия в кислой среде. Перекисное число характеризует степень устойчивости жиров при хранении.

Изменение показателей перекисного числа испытуемых масел под воздействием антиоксидантов представлены на рисунке 3.

ПЧ, % J ПЧ, % J

срок хранения, мес. срок хранения, мес.

А Б

ПЧ, % J

срок хранения, мес.

В

Рисунок 3 – Изменение показателей перекисного числа различных масел

А – подсолнечное масло; Б – касторовое масло; В – рыбий жир

 – β–каротин; ■ – α–токоферол; ▲ – аскорбиновая кислота;

ייсмесь трех антиоксидантов;  – контрольная проба (без добавок)

Из трех выбранных антиоксидантов эффективным для подсолнечного и касторового масел оказался -токоферол, для рыбьего жира - -каротин. Наибольшая антиокислительная активность соответствует смеси антиокислителей.

Проанализировав полученные данные, мы подтвердили, что характер изменения физико-химических показателей для всех масел одинаков на протяжение первого месяца и наблюдается рост значений, отображающих изменение показателей пригодности масел, а затем их постепенный спад. Это свидетельствует о том, что в течение первого месяца происходило накопление необходимого количества продуктов окисления для того, чтобы антиоксиданты могли вступить в реакцию. При достижении такого значения, антиоксиданты активировались, что влекло к снижению показателей определяемых чисел. Полученные данные свидетельствуют о том, что для растительных масел из выбранных антиоксидантов наиболее пригоден α-токоферол. А вот для рыбьего жира таковым явился β–каротин. Но и для растительных и для животных масел смесь этих антиоксидантов проявила себя еще более эффективно. Этот эффект можно объяснить явлением синергизма, то есть для того чтобы антиоксидант эффективно работал, необходимо присутствие восстановителей, которые будут переводить его в активную форму.

СПИСОК ЛИТЕРАТУРЫ

    Донченко Г.В., Кузьменко И.В., Коваленко В.Н. Биологическая роль антиоксидантов. // Биохимия, 1983, Т. 48, №6. - С. 998 - 1005.

    Ерин А.Н., Спирин М.М., Табидзе Л.В. Биоантиоксиданты. // Биохимия, 1983, Т. 48, №11. - С. 1855 - 1861.

    Нейфах Е.А., Ермачкова Е.В. Биоантиоксидант. - М.: Наука, 1986. - С.67 - 68.