Расчет коэффициентов активности. Личный опыт
Расчет коэффициентов активности. Личный опыт.
Не так давно я вплотную столкнулся с расчетами коэффициента активности растворов электролитов. Нельзя сказать, что раньше я никогда не производил таких расчетов, однако сейчас у меня возникли некоторые вопросы, связанные с расчетами в области высоких концентраций.
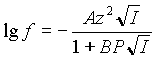
Известно, что до ионной силы 0,01М коэффициент активности (f) хорошо описывается расширенной формулой Дебая-Хюккеля:
|
|
(1) |
где z - заряд иона;
I - ионная сила раствора;
P - параметр Килланда, зависящий от размера иона;
A = 0,509 при 250С ;
B = 0,328 при 250С .
Ионная сила раствора равна
|
|
(2) |
где C>i> - концентрация ионов одного вида в исследуемом растворе.
Для области большей ионной силы, самой распространенной является следующая формула:
|
|
(3) |
Эта формула предполагает увеличение коэффициента активности после некоего значения ионной силы.
Большинство исследователей предпочитают в своих работах не упоминать об условиях, при которых следует от формулы (1) переходить к формуле (3). В связи с этим я предпринял собственные исследования, благо в моем распоряжении была программа IonCalc ( Программу можно получить здесь.).
Поскольку я располагал справочными данными ("Краткий химический справочник" В.А.Рабиновича и З.Я.Хавина, изд. "Химия",1977г.) об экспериментально полученных значениях коэффициента активности, то работа состояла в сопоставлении этих данных с расчет ными. Расчеты я производил по формуле (1), так как применение формулы (3) только усугубляло расхождение между экспериментальными и расчетными данными.
В справочнике приведены экспериментально полученные данные о среднем коэффициенте активности растворов солей. Средний коэффициент активности составляют коэффициенты активности аниона и катиона следующим образом:
f >ср>m+n = f>M>m + f>A>n , где
f>M> и f>A> - коэффициенты активности катиона и аниона:
m и n - стехиометрические коэффициенты исследуемой соли M>m>A>n>.
Если распоряжаться этой формулой, то можно легко рассчитать средний коэффициент активности и сравнить его с экспериментальным.
Проведенные мной расчеты представлены в таблице, которая содержит сведения об относительной разнице в процентах между экспериментальными и расчетными данными. Относительная погрешность представлена в двух видах: среднеарифметическая величина погрешности (первое число) и максимальная погрешность в серии расчетов (второе число).
Таблица 1.*)
-
I, M
0,1
0,2
0,3
0,4
0,6
0,8
MA 1)
1,8/2,8
3,6/5,9
-
7,2/10
-
-
MA>2 >2)
-
-
2,8/5
-
5,8/7,5
-
M>2>A 3)
-
-
3,8/5,5
-
5,9/11
-
MSO>4 >4)
-
-
-
-
-
76/91
LaCl>3>
-
-
-
-
16
-
H>3>PO>4>
-
-
-
-
16
-
1) AgNO>3> , HCl, HNO>3> , KBr, KCl, KOH, NaCl, NaOH, NH>4>Cl, NaCH>3>COO, NaNO>3> , KNO>3> .
2) BaCl>2> , CaCl>2> , FeCl>2> , MgBr>2> , MgCl>2> , Ca(NO>3>)>2> , Co(NO>3>)>2> , Cu(NO>3>)>2>.
3) K>2>CrO>4>, K>2>SO>4>, Na>2>CrO>4>, (NH>4>)>2>SO>4>, Na>2>SO>4>, Na>2>CO>3>, K>2>CO>3> .
4) ZnSO>4>, MgSO>4>, MnSO>4>, Cu SO>4 >.
Расчеты показывают, что для ионной силы в 0,3М максимальная погрешность составляет 5-6%.
Необъясненным остается тот факт, что коэффициент активности сульфатов двухзарядных металлов очень высок в сравнении с экспериментальными данными. Также высок средний коэффициент активности серной кислоты. Он составляет 0,266 для раствора с ионной силой 0,3 М, в то время как расчеты предоставляют величину 0,517.


.