Преобразования Лоренца, постоянство скорости света и требование однородности времени
Преобразования Лоренца, постоянство скорости света и требование однородности времени.
С. В. Мельничук
В работе обсуждается довольно устоявшегося раздела физики, а именно приложений преобразований Лоренца в кинематике весомой материи. Рассматривается проблема совместимости требований постоянства скорости света и однородности времени в преобразованиях Лоренца. Делается акцент на том, что первоосновы таких понятий как пространство и время будут отождествляться с состоянием системы отсчета (мерой пространственно-временных характеристик), а не результатами ее использования (координатами). Связывая понятие пространства с его мерой (стержни с метрической меткой), показано, что действие преобразований Лоренца приводит к анизотропии, как пространства, так и времени. Предлагается способ решения проблемы анизотропии времени, при переходе к описанию явлений макромира.
Инвариантность уравнений Максвелла при переходах между инерциальными системами отсчета
Введение
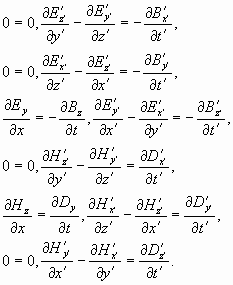
Выражения:
(1)
были получены Лоренцем, как преобразования
координат и времени, оставляющие
инвариантными вид уравнений Максвелла
во всех инерциальных системах отсчета,
при условии постоянства скорости
распространения электромагнитного
поля. Решаемая им задача может быть
сформулирована следующим образом.
Рассматриваются две системы отсчета.
Первая считается покоящейся, вторая
движущейся относительно первой с
постоянной скоростью
.
Координаты событий и компоненты поля
в покоящейся системе отсчета обозначают
и
.
Они считаются заданными или исходными.
Координаты событий и компоненты поля
в движущейся системе отсчета обозначают:
и
.
Они считаются искомыми. Согласно
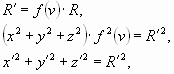
Максвеллу, записываются шесть уравнений
для компонент свободного электромагнитного
поля в покоящейся и движущейся системах
отсчета:
(2)
Где
(3)
Требуется найти такую взаимосвязь всех штрихованных переменных с не штрихованными переменными, чтобы после их соответствующей подстановки, штрихованные уравнения перешли в не штрихованные, без изменяя своего вида.
Рассмотрим простой случай свободного электромагнитного поля в вакууме с плоским фронтом волны. Это поперечный волновой процесс, в котором вектора электрического и магнитного поля ортогональны друг другу, а так же направлению своего распространения. Следовательно, можно выбрать направление осей покоящейся системы координат таким образом, что компоненты электрического и магнитного поля будут иметь только по одной составляющей. Для определенности положим:
(4)
т.е. электрическое поле направленно
вдоль оси
,
магнитное поле вдоль оси
.
Ось
совпадает
с направлением распространения
электромагнитного поля. С учетом этого
система (2) принимает вид:
(5)
Является очевидным, что с математической точки зрения, данная система уравнений неразрешима однозначно. Для ее решения Лоренцу пришлось обратиться к ряду физических требований (автор не оспаривает их разумности), а именно: искомые преобразования для пространственно-временных переменных должны быть линейными, координаты событий вдоль направлений ортогональных направлению перемещения движущейся системы отсчета преобразуются тождественно. Поэтому решение, представленное Лоренцем, нельзя назвать строгим, в том плане, что вводимые ограничения не позволяют говорить об общем классе решений, оставляющих уравнения Максвелла инвариантными.
Решение поставленной задачи можно будет считать строгим, если его разбить на два этапа. Первый - поиск в рамках электромагнитной теории не зависимой от (5) задачи, приводящей к искомым преобразованиям координат и времени. Второй – на основании известных преобразований пространственно-временных переменных и уравнений Максвелла установить взаимосвязь между компонентами электромагнитного поля в движущихся друг относительно друга системах отсчета. Второй этап не вызывает затруднений при условии выполнимости первого этапа.
Принято считать, что одним из способов снятия проблемы первого этапа, является решение задачи о вспышке света представленной в работе [1]. Переходя к рассмотрению этой задачи, заметим общеизвестный факт, что преобразования Лоренца так же могут быть получены из требований инерциальности рассматриваемых систем отсчета (дробно линейные преобразования Лоренца-Фока). Из этого же требования вытекает постоянство скорости (света) объектов, координаты которых связывают эти преобразования в различных системах отсчета. Далее, основываясь на анализе преобразований Лоренца, будут установлены причинно-следственные связи природы не одновременности, в соответствии с этим очерчен круг проблем, в решении которых, требование постоянства скорости света определит свою особую роль.
Задача о вспышке света
В виду принципиальности рассматриваемого вопроса и для того, чтобы далее не возникало разночтений, задача формулируется полностью.
Пусть имеется две системы отсчета
и
начала,
которых совпадали в некий момент времени.
Показания часов этих систем отсчета в
этот момент времени считаем синхронизованными
и равными нулю. Систему отсчета
условимся
считать покоящейся, а систему отсчета
движущейся
со скоростью
в
положительном направлении оси
покоящейся
системы отсчета. Расположим в начале
системы отсчета
точечный
источник, который в момент
дает
сферически симметричную вспышку света.
Эту систему отсчета считаем избранной,
в том смысле, что источник света и ее
начало покоятся друг относительно
друга. Поскольку скорость света не
зависит от выбора системы отсчета, то
наблюдатель
системы
также должен видеть вспышку света как
сферическую поверхность, центр которой
находится в начале его системы отсчета.
Вспышка может считаться сферической,
если свет одновременно достигает
равноудаленных точек пространства.
Промежуток времени, в течение которого
производится вспышка, полагается
бесконечно малым, по сравнению с
интервалом времени, по истечению которого
происходит регистрация событий.
Наблюдатели в обеих системах отсчета следят за вспышкой с момента ее возникновения. Для них вспышка сопоставима с множеством событий, которые появляются одновременно из одной точки и начинают распространяться во всех направлениях с одинаковой скоростью. Эти события, перемещаясь в пространстве, существуют одновременно. Исходным требованием является то, чтобы для обоих наблюдателей, поверхность, образованная множеством появившихся событий, одновременно достигала равноудаленных точек от начал координат, их систем отсчета. Постановка задачи заключается в том, чтобы найти связь между координатами событий в этих системах отсчета. Таким образом:
Преобразования должны переводить световую сферу покоящейся системы отсчета в световую сферу движущейся системы отсчета.
Трактовка сути происходящих явлений в движущейся системе отсчета, с точки зрения покоящегося наблюдателя, основанная на найденных преобразованиях, не должна содержать противоречий.
Является очевидным, что при рассмотрении
любого конкретного случая
происходит
геометризация задачи, т.е. фактор времени
становится несущественным.
Математическим выражением пункта 1 является запись двух уравнений (см. например [2]):
,
(6)
где
и
-
координаты одного и того же события
(показания приборов) покоящейся и
движущейся систем отсчета, соответственно.
Воспользовавшись, также как и Лоренц,
его требованиями, принято искать
преобразования в виде:
,
(7)
,
(8)
где связь между переменными обеих систем
отсчета устанавливается с помощью
коэффициентов, которые могут зависеть
только от скорости относительного
движения (однородность пространства и
времени). Приравнивая уравнения (6) между
собой и совершая в новое уравнение
подстановку равенств (7) и (8) можно найти
вид коэффициентов
.
Преобразования (7) и (8) с найденными
коэффициентами являются преобразованиями
Лоренца (1).
Установив вид этих преобразований, Эйнштейн проверяет совместимость двух постулатов СТО следующим образом. Цитата из работы [1]:
“ Пусть в момент времени
из
общего в этот момент для обеих систем
начала координат посылается сферическая
волна, которая распространяется в
системе
со
скоростью
.
Если
есть
точка, в которую приходит эта волна, то
мы имеем

Преобразуем это уравнение с помощью записанных выше формул преобразования; тогда получим

И так, рассматриваемая волна, наблюдаемая
в движущейся системе, также является
шаровой волной, распространяющейся со
скоростью
.
Тем самым доказано, что наши два принципа
совместимы” - конец цитаты.
Таким образом, на основании совпадения формы этих уравнений, сделан вывод, что преобразования Лоренца переводят сферическую поверхность в покоящейся системе отсчета в сферическую поверхность в движущейся системе отсчета. Тем самым было доказано соответствие преобразований (1) первому пункту исходных требований задачи о вспышке света и, является общепризнанным в физике. Однако, данное доказательство вызывает сомнение, исходя из рассуждений, которые приводятся ниже.
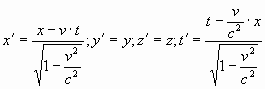
Если имеется сфера радиуса
(геометризация
задачи) в покоящейся системе отсчета:
(9)
то она может быть переведена в сферу движущейся системы отсчета только умножением радиуса заданной сферы на константу:
(10)
где
(11)
координаты этой же сферы относительно
начала новой системы отсчета. Коэффициент
пропорциональности
может
зависеть только лишь от скорости
относительного движения рассматриваемых
систем отсчета. В противном случае
третье равенство (10) не может считаться
уравнением сферы, т.к. величина, стоящая
в правой части этого равенства, не будет
являться постоянной величиной. Особо
отметим, что (11) также оставляют
инвариантными уравнения Максвелла,
следовательно, также могут считаться
решением задачи рассматриваемой
Лоренцем.
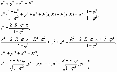
В свою очередь, преобразования Лоренца формально могут быть получены путем следующих тождественных преобразований:
(12)
Отсюда наглядно видно, что проводится
изменения координат
точек
сферы, а координаты
остаются
без изменений. Это приводит к деформации
поверхности сферы, что выражается
соответствующей зависимостью
от
.
Таким образом, из общих рассуждений
вытекает, что преобразования Лоренца
не являются преобразованиями сферы в
сферу.
Чтобы проверить справедливость сделанного
утверждения построим поверхность
вспышки света в движущейся системе
координат с использованием преобразований
Лоренца. Для этого зададим промежуток
времени
по
часам покоящегося наблюдателя, в течение
которого распространяется свет. Этот
промежуток времени однозначно определит
те координаты
точек
пространства покоящейся системы, до
которых дойдет сигнал. Воспользовавшись
преобразованиями Лоренца (1), мы найдем
координаты этих же событий в движущейся
системе отсчета. И согласно Эйнштейну
это должна быть сфера. Однако (1) являются
неудобными для графического построения.
Поэтому переведем их в полярную систему
координат.
Пусть
и
углы,
под которыми видно одно и тоже событие
в покоящейся и движущейся системах
отсчета, соответственно. Тогда:
(13)
Подставим (13) в первое и четвертое равенство (1). Получим
(14)
Поделив, первое равенство (14) на второе, установим связь между углами в движущейся и покоящейся системах отсчета:
(15)
(16)
Выражение (16) является обратным к (15).
Умножив левую и правую стороны второго
равенства (14) на
и
произведя замену
на
(16), получим выражение для преобразований
Лоренца в полярной системе координат:
,
(17)
где, для любого конкретного случая
.
На рис.1 представлены два графика в
полярной системе координат. График-1,
это координаты событий в покоящейся
системе отсчета. График-2, это координаты
этих же событий в движущейся системе
отсчета даваемые преобразованиями
Лоренца (формула (17)). Графики построены
при следующих параметрах:
.
Подстановка координат сферы покоящейся
системы отсчета для этих параметров в
(1) так же приводит к графику-2 рис.1,
показывая тем самым полную эквивалентность
(1) и (17), что доказывает справедливость
(17).
Анализ результатов
Из рис.1 видно, что координаты событий, даваемые формулой (17) ложатся не на сферу, а на поверхность эллипса. На основании этого можно заключить, что вывод Эйнштейна о сферичности получаемых результатов, для движущейся системы отсчета, сделан неверно. Преобразования (1) не удовлетворяют пункту 1 исходных требований поставленной задачи. Не смотря на то, что уравнения в цитате его работы совпадают по форме, они несут различное содержание. В первом уравнении цитаты координаты событий определяются только промежутком времени, который прошел с момента вспышки - это сфера. Переменные второго уравнения цитаты, т.е. координаты и промежуток времени, измеряемые наблюдателем движущейся системы отсчета, несамостоятельны. Они, посредством преобразований Лоренца, однозначно определяются переменными первого уравнения цитаты. Однако полученный эллипс не является нонсенсом для СТО. Более того, он находится в полном согласии с выводами СТО о сокращении стержней и не одновременности. Покажем это, выстроив логику покоящегося наблюдателя, проверяя тем самым пункт 2 исходных требований задачи.

Пусть с момента вспышки прошло
секунд.
Тогда, по мнению покоящегося наблюдателя,
движущийся наблюдатель и начало
движущейся системы отсчета сместятся
на расстояние
,
относительно покоящейся системы отсчета.
К этому моменту времени световой сигнал
прошел вдоль положительного направления
оси
путь
,
а вдоль отрицательного направления,
путь
.
Координатами этих событий, для движущегося
наблюдателя, были бы
и
.
Однако согласно СТО, покоящейся
наблюдатель знает, что длина стержней
расположенных вдоль оси
,
каковыми являются измерительные линейки,
в движущейся системе отсчета сокращается
в
.
Поскольку изменение длины линейки в
некоторое число раз приводит к изменению
измеряемых координат точек в обратное
число раз, то измеренные одновременно
движущимся наблюдателем координаты
рассматриваемых событий увеличатся в
раз.
Следовательно, вместо указанных координат
,
по мнению покоящегося наблюдателя,
движущийся наблюдатель зафиксирует
координаты
(18)
Эти координаты в точности совпадают с
(1), и они же являются точками пересечения
оси
с
эллипсом (график -2 рис.1.). Аналогичные
рассуждения можно провести для координат
любых точек графика -1 рис.1. При этом
координаты
событий останутся неизменными, поскольку
линейки (стержни) согласно СТО вдоль
этого направления не деформируются (в
этих рассуждениях содержится несущественный
изъян, суть которого будет раскрыта
ниже). Такого рода измерения, проведенные,
по мнению покоящегося наблюдателя,
движущимся наблюдателем, приводят к
наблюдению движущимся наблюдателем
эллипса (график -2 рис.1.). Следовательно,
эллипс, с точки зрения покоящегося
наблюдателя, является логическим
продолжением вывода СТО о деформации
стержней.
Покоящийся наблюдатель знает, что
скорость света одинакова во всех
инерциальных системах отсчета. Поэтому,
чтобы наблюдателю движущейся системы
узнать интервалы времени, через которые
будут зафиксированы события,
распространяющиеся вдоль оси
,
ему необходимо поделить модули (18) на
скорость света. При этом движущийся
наблюдатель получит:
(19)
Согласно (1) и как следствие (19), с точки зрения покоящегося наблюдателя, события одновременные в его системе отсчета (события находящиеся на поверхности сферы график-1 рис.1), не являются одновременными для движущегося наблюдателя (они находятся на поверхности эллипса график-2 рис.1 разновременных точек), что также находится в полном согласии со СТО. Однако, выстраивая далее логику, объясняющую суть происходящих явлений, с точки зрения покоящегося наблюдателя, мы приходим к следующему. Согласно исходной постановке задачи, с точки зрения покоящегося наблюдателя, в движущейся системе отсчета все часы на момент вспышки были синхронизованы. Следовательно, по его мнению, появление событий в движущейся системе отсчета можно считать одновременным. Далее, как мы выяснили, с точки зрения покоящегося наблюдателя, движущийся наблюдатель должен одновременно фиксировать координаты событий графика-1 рис.1. линейками деформированными согласно СТО. При этом он получает, что события, испущенные одновременно и зафиксированные одновременно, проводят различные интервалы времени, двигаясь в пространстве. Формулы (19) являются подтверждением сказанному. Если считать скорость света постоянной, единственно возможным логическим объяснением этого, с точки зрения покоящегося наблюдателя, является то, что время в движущейся системе отсчета имеет различную скорость хода в различных направлениях. Это природа не одновременности СТО. Сказанное находит свое математическое выражение в записи вида:
(20)
которая легко может быть получена из преобразований Лоренца в полярной системе координат (17).
Выводы
Выражения (17) и (20), как прямое математическое
следствие преобразований (1), являются
основой для переосмысления логики
приложений преобразований Лоренца в
кинематике весомой материи. Обобщая
полученные результаты можно сказать,
что требования (7),(8) и как следствие
деформация стержней (линеек)
,
находятся в конфликте с нашим представлением
об однородности времени. Факт (20) для
макромира с недоумением можно принимать
только лишь в исключительном случае,
когда нет другой альтернативы. Случай
с преобразованиями Лоренца не является
таковым. Задача о вспышке света
самодостаточна и может быть решена
математически точно без привлечения
дополнительных требований, даже если
их источником, казалось бы, являются
разумные и достаточно общие соображения.
Анизотропия (20) движущейся системы, является следствием вполне определенной деформации линеек этой системы. Поэтому, является разумным и методически правильным, сначала найти такую деформацию линеек движущегося наблюдателя, чтобы он, производя одновременные измерения, мог видеть световую сферу (обеспечивая тем самым выполнение требования однородности времени), а только потом измерять координаты этой сферы. Таким образом, задача о поиске преобразований координат, решение которой очевидно, исходя из (10) и (11), переходит в задачу о деформации меры пространственных характеристик (в данном случае линеек) движущейся системы отсчета.
Далее меру пространственно-временных характеристик будем понимать как физическую основу наблюдаемого мира, т.е. совокупность измерительных приборов (линейки, часы и т.д.), определяющих состояние и саму систему отсчета. Именно меру пространственно-временных характеристик будем отождествлять с понятиями пространства и времени, а не наблюдаемые с ее помощью координаты. Поэтому, говоря о пространстве времени, следует специально оговаривать, где речь идет о его мере, а где о результатах ее использования.
Понимая под состоянием пространства состояние меры пространства-времени, применение преобразований Лоренца приводит к неоднородности пространства, поскольку оно испытывает деформацию, переводящую поверхность смещенной сферы (график-1, рис.1) в поверхность эллипса (график-2, рис.1). Вид этой деформации представлен на рис.1, график-3. Заметим, что график-3, дает общую картину происходящих деформаций, частным случаем которой являются выводы СТО об изменении длины движущихся стержней.
Деформация меры линейных расстояний (линеек) с требованием перевода смещенной сферы (график-1) в несмещенную сферу для движущейся системы, по логике, является однотипной рассмотренному переводу смещенной сферы (график-1) в эллипс (график-2), поэтому такая постановка задачи может быть использована для выполнения требования однородности времени. Эта задача будет решена в следующей работе.
Список литературы
А. Эйнштейн. Собрание научных трудов. - М.: Наука, 1965. – С.7-35.
Китель Ч., Найт В., Рудерман М. Механика (Берклеевский .курс физики). - М.: Наука. -1983. – 448 с.
Для подготовки данной применялись материалы сети Интернет из общего доступа