Об алгоритмах самоорганизации в задаче синтеза информационных технологий обработки сигналов
Об алгоритмах самоорганизации в задаче синтеза информационных технологий обработки сигналов
Леонид Соломонович Файнзильберг, к.т.н.
Показано, что в условиях ограниченной априорной информации синтез ИТ обработки сигналов должен базироваться на двух этапах: конструировании потенциально полезных признаков и самоорганизации моделей. Приведены практические результаты, подтверждающие эффективность использования алгоритмов самоорганизации при решении сложных прикладных задач.
Введение.
Предложенный А.Г. Ивахненко индуктивный метод самоорганизации моделей сложных систем (метод МГУА) достаточно подробно описан в работах [1-4]. Автор данной статьи относится к той многочисленной группе исследователей, которые, в силу своей профессиональной деятельности, так или иначе нуждаются в использовании методов построения зависимостей по экспериментальным данным. Именно поэтому возникло острое желание поделиться своими соображениями о роли и месте алгоритмов самоорганизации МГУА в задаче синтеза информационных технологий обработки сигналов, взглянув на эти алгоритмы со стороны потребителя. Другими словами, исполнить роль одного из “внешних критериев”, да простит меня школа А.Г. Ивахненко за столь вольное толкование известного термина.
Следует заметить, что, помимо реализма, в среде потенциальных потребителей алгоритмов МГУА, бытует как необоснованный пессимизм, так и неоправданный оптимизм (рис. 1). Более того, чрезмерные оптимисты нередко переходят в противоположный лагерь только из-за первых неудач, полученных при использовании конкретного алгоритма для разрешения собственных проблем.
Разумеется, такие противоположные взгляда неверны как любые крайности и возникают, главным образом, из-за недопонимания самой сути алгоритмов МГУА. Понятно, что истина лежит где-то между этими суждениями, о чем неоднократно говорили сами разработчики алгоритмов МГУА.

Рис.1. Вульгаризация идей самоорганизации моделей
Целью данной статьи является попытка продемонстрировать реалистичный взгляд на возможность использования алгоритмов МГУА при синтезе прикладных информационных технологий (ИТ) обработки сигналов различной физической природы и на примерах решения практических задач показать достоинства данного метода.
Задача синтеза ИТ обработки сигнала. Под информационной технологией будем понимать [5] совокупность методов и средств, объединенных в технологическую цепочку, на вход которой поступают исходные данные (сырье), а на выходе образуется информационный продукт, подготовленный в соответствии с потребностями конкретных пользователей в той или иной предметной области (рис. 2).

Рассмотрим следующую задачу. Имеется
некоторый технический или биологический
объект, о состоянии Z которого необходимо
получить количественную и/или качественную
информацию (рис. 3). В первом случае
пользователя интересуют значения
интервальных переменных - компонент
вектора
,
а во втором – значение категориальной
переменной
,
характеризующей принадлежность текущего
состояния объекта к одному из классов
заданного множества
.

Рис.3. Описание состояния объекта
Существуют примеры задач, когда определение параметра Z не представляет особого труда: имеются достаточно надежные средства измерения (датчики и индикаторы), которые позволяют непосредственно получить интересующую пользователя информацию о состоянии объекта. Однако довольно часто на практике встречаются задачи, когда непосредственное определение Z невозможно. Например, агрессивность и высокая температура среды препятствует созданию датчиков для непосредственного определения содержания углерода и других легирующих элементов в расплавленном металле. Невозможно также при массовых обследованиях определять состояние внутренних органов человека на основе прямых (инвазивных) методов диагностики, например метода коронарографии для диагностики заболеваний сердечно-сосудистой системы: этот метод достаточно дорогой и, самое главное, небезопасный для обследуемого.
Аналогичные примеры достаточно часто встречаются в технике, медицине и других областях приложения.
Решения подобных задач является главной целью ИТ для косвенного контроля параметров и диагностики состояния объекта.
Какую же рабочую гипотезу разумно положить в основу синтеза таких технологий?
Предположим, что при фиксированном значении Z на выходе объекта порождается нестационарное скалярное или векторное поле (электрическое, магнитное, температурное и т.п.). Будем считать, что величина этого поля определяется функцией
,
(1)
зависящей от параметра Z, где
-
время,
-
точка пространства,
-величина
поля в этой точке. При измерении поля
(1) в фиксированной точке
функция
вырождается
в функцию времени
.
Если же датчики для измерения поля (1)
установить в нескольких точках
,
то (1) можно представить совокупностью
функций времени
,
(2)
представляющих собой сигналы на выходе датчиков.
Для удобства будем записывать (2) в виде одного соотношения
,
(3)
понимая под
скалярную
функцию времени, если сигнал измеряется
в одной точке, или вектор-функцию
,
если измерение поля производится в
нескольких точках.
Поскольку мы предполагаем, что сигнал
(3) зависит от состояния Z, то с формальной
точки зрения ИТ, вообще говоря, должна
обеспечивать решение обратной задачи:
требуется оценить неизвестное значение
Z по результатам наблюдения сигнала
на
фиксированном отрезке наблюдения
(рис.
4).

Следует, однако, заметить, что на практике
функция
чаще всего неизвестна. Обычно конструктору
ИТ приходится сталкиваться с достаточно
сложными объектами и процессами, а
знания в рассматриваемой предметной
области слабо структурированы и
формализации поддаются лишь отдельные
фрагменты общей постановки [6]. Для
упрощения изучения физических
закономерностей часто рассматривают
"идеализированные" условия, в
результате чего полученные таким
способом модели приводит к значительным
погрешностям.
И хотя есть все основания полагать, что модель вида (1) существует, ее получение только на основе физических представлений затруднительно, а иногда и просто невозможно.
Так, например, хорошо известно, что электрическое и магнитное поле сердца, зарегистрированные в течение кардиоциклов, несут информацию о состоянии сердечно-сосудистой системы живого организма [7], однако до сего времени не получены и вряд ли будут получены в ближайшем будущем “хорошие” модели, адекватно описывающие процесс порождения таких полей.
Есть все основания считать, что температурное поле, образуемое внутри и вокруг слитка кристаллизующегося металла, несет информацию о его механических свойствах и химическом составе. В то же время, согласно [8], процесс кристаллизации представляет собой теснейшее переплетение физико-химических (зарождение и рост кристаллов, диффузия элементов, коагуляция примесей), гидродинамических (движение расплава внутри слитка) и тепловых явлений. Сложность этих процессов препятствует построению модели вида (1), адекватно описывающей формирования температурного поля в процессе кристаллизации.
Перечень подобных примером можно было бы продолжить.
Поэтому модель (1) можно рассматривать лишь как рабочую гипотезу, позволяющую обосновать принципиальную возможность оценки параметра состояния объекта по наблюдаемым сигналам.
По-видимому, к задаче синтеза ИТ обработки сигналов на современном этапе развития науки следует подходить не столько с позиций математической проблемы, требующей формального разрешения, а как к научной методологии решения конкретных задач. При этом уместно напомнить, что сам термин “технология” происходит от греческого слова “téchnë” (искусство, мастерство, умение), а задача технологии как науки состоит в выявление закономерностей с целью определения и использования на практике наиболее эффективных и экономных производственных процессов [9].
Вполне понятно, что алгоритмы самоорганизации МГУА, ориентированные на структурную и параметрическую идентификацию моделей по экспериментальным данным, являются одним из элементов таких технологий. Главным достоинством алгоритмов МГУА, отличающим их от других методов идентификации, является разделение имеющихся наблюдений на две выборки: обучающую, по которой производится идентификация моделей заданного класса структур, и контрольную, обеспечивающую селекцию моделей оптимальной сложности с точки зрения некоторого внешнего критерия.
Роль алгоритмов самоорганизации в ИТ обработки сигналов. Рассмотрим три объекты разной физической природы - расплав железоуглеродистого металла, сердце человека и биологическую жидкость (кровь, слюна и т.п.). Несмотря на различие физической природы этих объектов, для них правомерна общая рабочая гипотеза (1): объекты порождают сигналы, несущие ценную информацию об их состоянии (рис. 5).

Рис.5. Примеры практических задач
Остановимся вначале на первом примере. Известно [10], что всякое кристаллическое тело данного химического состава имеет вполне определенную температуру плавления (затвердевания). Именно этот закономерный факт и был положен нами в основу ИТ “ТЕРМОГРАФ” для косвенного контроля химического состава и прогнозирования механических свойств литейных чугунов [11]. Естественно, что при реализации такой технологии нам пришлось заниматься идентификацией моделей, связывающих выходные параметры с признаками термограммы.
Принимая во внимание цель данной статьи, именно об этой стороне задачи стоит поговорить более подробно, поскольку именно на этом примере можно продемонстрировать “вульгаризацию” идей МГУА, при которой необоснованный оптимизм может привести к неоправданному пессимизму.
Для этого предельно упростим задачу,
предположив, что конечного пользователя
ИТ (металлурга) интересует только один
технологический параметр – процентное
содержание углерода в металле
.
Обратимся к рис. 6, в левой части которого в координатах температура T (температура) – C (содержание углерода) показан фрагмент известной диаграммы состояния Fe-C сплава. На диаграмме имеется две линии - ликвидуса и солидуса. Выше линии ликвидуса металл находится в жидком состоянии (область L), ниже линии солидуса - в твердом состоянии (область S), а между этими линиями - в переходном состоянии (область L+S).
Как видно из рисунка, линия ликвидуса не параллельна оси температур, а значит при изменении содержания углерода изменяется температура начала кристаллизации металла (температура ликвидуса TL) - чем выше содержание углерода, тем при более низкой температуре начинается процесс кристаллизации расплава. Поэтому неизвестное содержание углерода C можно определить по температуре ликвидуса TL
Однако сталь является сложным по химическому составу сплавом и, помимо углерода, в ней имеется еще и целый ряд других примесей, таких как марганец, кремний, фосфор, сера и др., также влияющих на температуру ликвидуса. Поэтому зависимость между содержанием углерода и температурой ликвидуса, вообще говоря, отличается от теоретической зависимости, вытекающей из диаграммы состояния Fe-C сплава.

Рис.6. Иллюстрация идеи косвенного контроля С
В то же время оказалось, что если воспользоваться простейшей моделью в виде линейного уравнения регрессии
,
(4)
построенной для условий конкретного предприятия, то неизвестное содержание углерода можно косвенно оценить по температуре ликвидуса с достаточно высокой точность (порядка 0.02 абс. % С).
Разумеется, такая сравнительно высокая
точность может быть достигнута только
в той случае, когда будет правильно
определена сама температура ликвидуса
.
Однако возникает вопрос: каким образом
определить температуру ликвидуса?
Природа пошла навстречу в разрешении
этой проблемы. Дело в том, что в момент
начала кристаллизации происходит
экзотермическая реакция - выделения
скрытой теплоты кристаллизации. Поэтому,
если зарегистрировать процесс охлаждения
расплава (см. правую часть рис. 6), то на
графике процесса
(термограмме)
при достижении температуры ликвидуса
появляется своеобразный фрагмент в
виде температурной остановки (площадки).
Обнаружив такой информативный фрагмент
термограммы можно определить температуру
,
а затем и процентное содержание углерода
по модели (4).
Предположим теперь, что нам известна
лишь первая часть описанных выше
закономерностей, т.е. только гипотеза
о том, что термограмма несет информацию
об интересующем нас параметре
,
но неизвестно каким образом. Можно ли
в этих условиях воспользоваться идеями
самоорганизации для восстановления
зависимости (4) по экспериментальным
данным ?
На первый взгляд может показаться, что такую задачу имеет простое решение в классе алгоритмов самоорганизации, но в этом как раз и состоит “вульгаризация” идеи МГУА!
Пусть в нашем распоряжении имеется
выборка термограмм, зарегистрированных
для W проб металла, и для каждой такой
пробы на основании результатов химического
анализа известно точное значение
содержания углерода C1,…,CW . Будем считать,
что каждая из W термограмм представлена
своими дискретными значениями
.
Поскольку в векторах
содержится
вся доступная нам информация о термограмме,
то можно считать значения
потенциальными
регрессорами, для которых известно
точное значение отклика
.
Другими словами считать, что в нашем
распоряжении имеется выборка, содержащая
W точек наблюдений, образующих
матрицу
регрессоров и W-мерный вектор отклика
(см. таблицу 1).
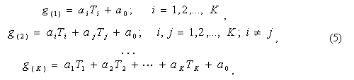
Казалось бы, имея такую выборку, легко можно восстановить закономерность (4), задав класс базисных функций в виде всевозможными линейных структур

Таблица 1. Гипотетическая выборка наблюдений
|
№ |
Регрессоры (аргументы модели) |
Отклик (выход) |
||||
|
T1 |
T2 |
T3 |
… |
TK |
||
|
1 |
T1[1] |
T2 [1] |
T3 [1] |
… |
TK [1] |
C1 |
|
2 |
T1[2] |
T2 [2] |
T3 [2] |
… |
TK [2] |
C2 |
|
… |
… |
… |
… |
… |
… |
… |
|
W |
T1[W] |
T2 [W] |
T3 [W] |
… |
TK [W] |
CW |
На самом же деле это не так! Дело в том,
что момент начала кристаллизации,
определяется множеством внешних факторов
(начальной температурой расплава,
условиями теплообмена и т.п.). А это
значит, что для различных наблюдений в
выборке, температуре ликвидуса TL будут
соответствовать различные номера
дискретных значений
.
Поэтому совершенно очевидно, что без
привлечения дополнительной информации
при сколь угодно большом объеме W выборки
невозможно восстановить истинную
зависимость (4) в классе структур (5),
поскольку для различных наблюдений
аргумент истинной зависимости (4) –
температура TL – будет соответствовать
различным аргументам моделей (5).
К тому же при больших значениях
возникают
непреодолимые вычислительные проблемы
в использовании известных алгоритмов
МГУА, но это уже другие проблемы.
Отсюда следует, что важным этапом синтеза
ИТ обработки сигналов, предшествующим
структурно-параметрической идентификации,
является переход от пространства
наблюдений
к
пространству потенциально полезных
признаков
меньшей
размерности (
),
а затем уже этап использования этих
признаков в качестве аргументов моделей
косвенного контроля и диагностики,
селектируемых тем или иным алгоритмом
самоорганизации на основе обучающей и
контрольной выборок.
Именно такой взгляд на роль алгоритмов МГУА при синтезе прикладных ИТ обработки сигналов в условиях ограниченной априорной информации представляется автору наиболее реалистичным. Структура инструментальной системы “СИДИГРАФ”, реализующая такой подход, обсуждалась в работах [5,12].
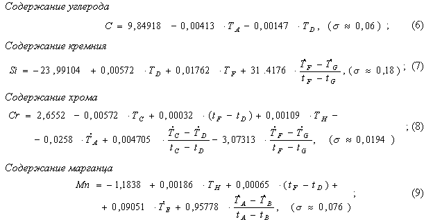
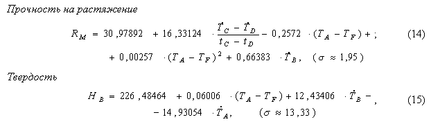
Практические результаты. Как уже
отмечалось, рассмотренный в предыдущем
разделе пример оценки только одного
содержания углерода является упрощенной
схемой задачи, которая была положена в
основу синтеза ИТ “ТЕРМОГРАФ”. Оказалось,
что используя всего лишь информацию о
дискретных значениях температуры
в
процессе охлаждения пробы удается
оценить с приемлемой точностью целый
ряд других химических элементов расплава
(содержание кремния
,
хрома
,
фосфора
,
марганца
,
и др.), а также прогнозировать механические
свойства металла, в частности прочность
на растяжение
и
твердость
.
Переход от пространства наблюдений
размерности
к
экономному пространству признаков
осуществлялся на основе специальных
вычислительных процедур, позволяющих
автоматически выделить на термограмме
и
ее первой производной
информативные
фрагменты (см. рис. 7). Границы этих
фрагментов (точки) соответствуют
характерным тепловым эффектам фазовых
превращений металла, а именно
А - максимальному тепловому эффекту дендритной кристаллизации;
B - максимальной скорости охлаждения после периода дендритной кристаллизации;
C - температуре начала кристаллизации эвтектики;
D - температуре метастабильного превращения расплава;
E - максимальному тепловому эффекту процесса кристаллизации эвтектики;
F - температуре солидуса расплава;
G – максимальному изменению скорости охлаждения в период кристаллизации эвтектики;
H - температуре окончания кристаллизации эвтектики;
J - моменту времени, при котором температура расплава становится равной T = 1050 град С.

Рис.7. Термограмма и ее первая производная
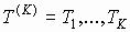
Для каждой из указанных девяти точек
определялась тройка величин
,
(
),
представляющих собой момент времени,
при которой она появилась, а также
значение температуры и оценка ее первой
производной в этот момент времени. Тем
самым осуществлялся переход от исходного
пространства наблюдений размерности
к
экономному пространству признаков
размерности
(
таблица 2).
Таблица 2. Потенциально полезные признаки термограммы
|
ЗНАЧЕНИЯ ПризнакОВ |
ХАРАКТЕРНЫЕ ТОЧКИ ТЕРМОГРАММЫ |
||||||||
|
A |
B |
C |
D |
E |
F |
G |
H |
J |
|
|
|
22 |
43 |
101 |
159 |
178 |
209 |
267 |
286 |
307 |
|
|
1200 |
1186 |
1138 |
1116 |
1119 |
1125 |
1108 |
1083 |
1050 |
|
|
-0.20 |
-1.11 |
-0.59 |
0.00 |
0.27 |
0.00 |
-0.75 |
-2.02 |
-1.30 |
Именно эти признаки предложено использовать в качестве аргументов моделей для косвенной оценки химического состава и прогнозирования механических характеристик литейного чугуна.
Структурная и параметрическая идентификация таких моделей проводилось на основе использования двух выборок термограмм (обучающей и контрольной) с известными значениями технологических параметров. Построенные таким образом модели для условий Купянского литейного завода имели вид:



где
-
среднеквадратическое отклонение
модельных и точных значений соответствующего
параметра для наблюдений контрольной
выборки.
Аналогичная схема была положена в основу синтеза других ИТ обработки сигналов, в частности, медицинских ИТ для диагностики заболеваний человека по кривым биохемилюминисценсии (БХЛ), электрокардиограмме (ЭКГ) и магнитокардиограмме (МКГ).
В отличие от принятого в кардиологической практике амплитудно-временного анализа был предложен новый подход к обработке ЭКГ [13-16], основанный на ее представлении в фазовом пространстве координат. Применение этого подхода для обработки ЭКГ в 12 стандартных отведениях позволило обнаружить новые диагностические признаки для распознавания больных ревматоидным артритом с неизмененными параметрами ЭКГ согласно традиционным представлениям [17].
Одна из задач исследований, проводимых в рамках международного контракта № 01 KX 96115/1 с германской фирмой L.U.M. GmbH (г. Берлин), была направлена на изучение взаимосвязи параметров ЭКГ (во временной области и в фазовом пространстве) с параметрами крови, отражающими активность воспалительного процесса. Для изучения этих зависимостей был привлечен комбинаторный алгоритм МГУА [3]. В качестве потенциальных регрессоров использовались 33 показателя результатов анализа венозной крови испытуемых - развернутый общий анализ, коагулограмма, печеночные пробы и ревмопробы (таблица 3).
Таблица 3. Потенциальные регрессоры
|
Обозначение |
Наименование |
|
ERY |
Эритроциты, x10e12 |
|
HGB |
Гемоглобин, г/л |
|
COL |
Цветной показатель |
|
RET |
Ретикулоциты, % |
|
LEU |
Лейкоциты, x10e9 |
|
BAS |
Базофилы, % |
|
EOS |
Эозинофилы, % |
|
PLN |
Палочкоядерные нейтрофилы, % |
|
SGN |
Сегментоядерные нейтрофилы,% |
|
LYM |
Лимфоциты, % |
|
MON |
Моноциты, % |
|
SOE |
Скорость оседания эритроцитов, мм/г |
|
PTI |
Протомбиновый индекс, % |
|
REC |
Время рекальцификации,сек. |
|
FIB |
Фибрин, мг |
|
FBG |
Фибриноген, мг/л |
|
BNA |
Бета-нафтоловый тест |
|
ETH |
Етаноловый тест |
|
BIL |
Биллирубин общий, микромол/л |
|
TIM |
Тимоловая проба |
|
FRM |
Фермоловая проба |
|
ALT |
Аланиновая трансфераза |
|
AST |
Аспаргиновая трансфераза |
|
MUK |
Мукопротеины |
|
BEL |
Общий белок, г/л |
|
ALB |
Альбумины, % |
|
GLB |
Глобулины, % |
|
A1G |
Aльфа-1 глобулин, % |
|
A2G |
Aльфа-2 глобулин, % |
|
BGL |
Бета-глобулин, % |
|
GGL |
Гамма-глобулин, % |
|
ASL |
Антистрептомицин-O, МВ/мл |
|
CRP |
C-реактивный протеин |
В результате селекции построены модели,
связывающие показатели ЭКГ (отклики) с
указанными регрессорами в виде линейных
уравнений множественной регрессии
оптимальной сложности. Так, например,
установлено, что существуют надежные
статистические связи относительных
углов ориентации усредненной фазовой
траектории ЭКГ во втором стандартном
(отклик
)
и в пятом грудном (отклик
)
отведениях с параметрами крови. Эти
модели имеют вид:

где
-
коэффициентом множественной корреляции,
а
-
число наблюдений.
Заключение. В статье показано, что вульгаризация идеи метода самоорганизации моделей, вызванная недопонимания его основной сути, может приводить к необоснованному пессимизму в оценке практической ценности алгоритмов МГУА.
Показано, что реалистичный подход к использованию алгоритмов самоорганизации в задаче синтеза ИТ обработки сигналов, основан на двухэтапном решении задачи. Первый этап предусматривает переход от исходного пространства наблюдений к обоснованному набору потенциально полезных признаков (потенциальных регрессоров) на основе имеющейся априорной информации или разумных эвристик. В результате на втором этапе применение алгоритмов МГУА позволяет сконструировать модели оптимальной сложности, позволяющие косвенно оценивать параметры объекта и диагностировать его функциональное состояние.
Приведены практические результаты применения такого подхода, которые еще раз подтверждают эффективность разумного использования алгоритмов самоорганизации для решения сложных прикладных задач.
Список литературы
Ивахненко А.Г. Индуктивный метод самоорганизации моделей сложных систем. – К.: Наук. думка, 1982. – 360 с.
Ивахненко А.Г., Мюллер И.А. Самоорганизация прогнозирующих моделей .- К.: Техника, 1984.- 350 с.
Ивахненко А.Г., Степашко В.С. Помехоустойчивое моделирование. – К.: Наук. Думка, 1985.- 300 с.
Ивахненко А.Г., Юрачковский Ю.П. Моделирование сложных систем по экспериментальным данным .- М.: Радио и связь, 1987.- 120 с.
Файнзильберг Л.С. Синтез информационных технологий обработки сигналов в задачах косвенного контроля и диагностики // УСиМ . – 1998. - № 2 .- С. 40-47.
Белкин А.В., Левин М.Ш. Принятие решений: комбинаторные модели аппроксимации информации. - М.: Наука, 1990.- 160 с.
Мурашко В.В., Струтинский А.В. Электрокардиография .- М.: Медицина, 1991.- 288 с.
Иванцов Г.П. Теплообмен между слитком и изложницей .- М.: Металлургиздат, 1951.- 39 с.
Технология // Советский энциклопедический словарь .- М.: Советская энциклопедия, 1988.- С. 1330.
Гуляев А.П. Металловедение .- М.: Металлургия, 1966.- 478 с.
Скурихин В.И., Файнзильберг Л.С., Потапова Т.П. , Шелковый. Э.А. Система компьютерной обработки термограмм .- УСиМ .- 1990.- № 4.- С.82-88.
Скурихин В.И., Файнзильберг Л.С., Потапова Т.П. Инструментальная система “СИДИГРАФ” для синтеза информационных технологий обработки сигналов // УСиМ.- 1996.- № 6.- С. 36-45.
Спосіб інтегральної оцінки поточного стану серцево-судинної системи людини. Патент 24517 (Украина).- МКИ А 61 В 5/024/ Л.С. Файнзільберг .- Заявл. 21.05.98; опубл. 30.10.98.- Бюл. № 5. - 4 с. ил.
Файнзильберг Л.С. Информационная технология для диагностики функционального состояния оператора // УСиМ. - 1998, N 4 - С. 40-45.
Fainzilberg L., Potapova T. Computer Analysis and Recognition of Cognitive Phase Space Electro-Cardio Graphic Image// Proc.of the 6-th Int. Conf. on Computer Analysis of Images and Patterns (Prague, Sept. 1995). - Prague: Springer, 1995. p. 668-673.
Fainzilberg L.S. Heart Functional State Diagnostic Using Pattern Recognition of Phase Space ECG-Images.- Proceeding of The 6th European Congress on Intelligent Techniques and Soft Computing (EUFIT '98, Aachen, Germany, September 7 - 10, 1998).- Nr: B-27, Vol. 3, p.p. 1878-1882.
Файнзильберг Л.С., Клубова А.Ф. , Стаднюк Л.А., Чайковский И.А., Дитмар Лерхе Новый метод анализа ЭКГ больных ревматоидным артритом // Украинский ревматологический журнал. – 2001, № 2 (4).- С.48-51.
Для подготовки данной применялись материалы сети Интернет из общего доступа
,
c
,
град C
,
град /c