Исследование согласованного фильтра
ИССЛЕДОВАНИЕ СОГЛАСОВАННОГО ФИЛЬТРА
Основные теоретические положения
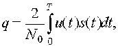
Из теории оптимальных методов радиоприема известно, что в условиях действия гауссовской помехи типа белого шума оптимальный приемник должен вычислять интеграл вида

где N>0>> >- односторонняя спектральная плотность шума ; Т - длительность сигнала; u(t) - принятый сигнал; s(t) - полезный сигнал;
Интеграл (1) можно рассматривать как меру взаимной корреляции принятого сигнала u(t) и полезного сигнала s(t) сигналов. Чтобы осуществить реализацию выражения (1), используют корреляционный приемник. С другой стороны, интеграл (1) можно рассматривать как свертку сигнала u(t) с импульсной характеристикой некоторого фильтра. В этом случае необходимо использовать согласованный фильтр.
Рассмотрим задачу синтеза оптимального фильтра в условиях действия аддитивной помехи.
Пусть принятый сигнал имеет вид

где s(t) - полезный сигнал известной формы со спектральной плотностью F>s>(jw); n(t)стационарный случайный процесс со спектральной плотностью мощности F>n>(w).
Будем отыскивать оптимальный фильтр в классе линейных фильтров. Тогда сигнал на входе фильтра с учетом принципа суперпозиции можно представить как

Найдем отношение р мощности полезного сигнала к мощности помехи на выходе фильтра в некоторый момент времени t>0>.

где K(jw) - комплексно-частная характеристика фильтра.
Соответственно в момент времени t>0>

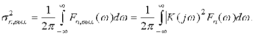
Мощность помехи на выходе фильтра

В формулах (4) и (6) через F>s>>,вых>(jw) и F>n>>,вых>(w) обозначены спектральная плотность полезного сигнала и спектральная плотность мощности помехи на выходе фильтра.
С учетом (5) и (6) выражение для р в момент времени t>0> запишется как

Понятно, что чем больше величина р, тем выше помехоустойчивость приема. Поэтому определим фильтр, который обеспечивал бы на выходе максимальное соотношение сигнал/помеха.
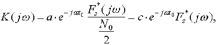
Воспользуемся неравенством Буняковского - Шварца

справедливым для любых функций А(w) и В(w), для которых интегралы в (8) имеют смысл. Заметим, что неравенство (8) превращается в строгое равенство, если

где а- постоянная; В* (w) - функция, комплексно-сопряженная с функцией В(w). С учетом (8) можно записать

и, соответственно,

где F>s>*(jw) - комплексно-сопряженный сигнал.
Таким образом фильтр с комплексно - частотной характеристикой, определяемой формулой (12), является наилучшим в классе линейных фильтров, а при гауссовских помехах также наилучшим образцом и в классе нелинейных фильтров.
Из выражения (12) следует, что коэффициент передачи фильтра зависит от отношения спектральной плотности сигнала к спектральной плотности мощности помехи: коэффициент передачи тем больше, чем больше это отношение. Таким образом, оптимальный фильтр избирательно пропускает те или иные частотные составляющие. Очевидно, что отношение сигнал/помеха будет тем больше, чем сильнее отличается спектр сигнала от спектра помехи.
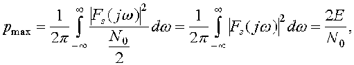
Рассмотрим случай, когда помеха представляет собой белый шум со спектральной плотностью мощности N>0>/2. В этом случае комплексно - частотная характеристика оптимального фильтра

а соотношение сигнал/помеха

где Е - энергия сигнала.
Фильтр с характеристикой (13), оптимальный для помехи типа белого шума называется согласованным.
Максимальное отношение сигнал/помеха (14) на выходе такого фильтра определяется только энергией сигнала и спектральной плотностью мощности помехи и не зависит от формы сигнала. По значению это отношение совпадает с максимальным отношением сигнал/ помеха на выходе корреляционного приемника. Отсюда, в частности, следует, что в условиях действия помехи типа белого шума помехоустойчивость корреляционного приемника и согласованного фильтра одинаковы.
Рассмотрим более подробно комплексно - частотную спектральную плотность полезного сигнала в виде

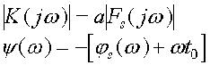
где |F>s>(jw)| и j(w) - амплитудный и фазовый спектр сигнала соответственно.
Тогда

С другой стороны,

где |K(jw)| - амплитудно-частотная характеристика фильтра; Y(w) - фазовая характеристика фильтра.
Сравнивая (15) и (16) находим

Из (17) следует, что амплитудно частотная характеристика согласованного фильтра с точностью до постоянной совпадает с амплитудным спектром сигнала.
Фазовая характеристика согласованного фильтра определяется двумя слагаемыми. Первое из них - j(w) равно фазовому спектру сигнала, взятому с противоположным знаком. Назначение его в том чтобы компенсировать фазовые сдвиги различных составляющих сигнала. В результате в некоторый момент времени t=t>0> все составляющие выходного сигнала будут совпадать по фазе и, складываясь, давать максимум выходного сигнала. Если бы фазовая характеристика фильтра не компенсировала фазовые сдвиги составляющих сигнала, то максимумы гармонических составляющих сигнала не совпадали бы во времени, а это привело бы к уменьшению выходного напряжения.
Второе слагаемое - wt>0> обеспечивает задержку момента совпадения фаз составляющих сигнала на величину t>0>. Понятно, что значение t>0> не может быть меньше длительности обрабатываемого сигнала.
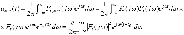
Напряжение на выходе согласованного фильтра

Из (19) следует, что выходное напряжение определяется только амплитудным спектром сигнала и не зависит от фазового спектра. Это объясняется тем, что взаимные фазовые сдвиги составляющего сигнала скомпенсированы фазовой характеристикой фильтра.
Максимальное значение u>вых>(t) принимает в момент времени t=t>0>.. Еще раз подчеркнем, что значение t>0> должно быть больше или равно длительности сигнала, т.е. максимум u>вых>(t) достигается только после обработки всего принятого сигнала.
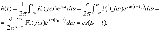
Рассмотрим импульсную характеристику h(t) согласованного фильтра. Учитывая, что h(t) любого фильтра связано K(jw) преобразованием Фурье, находим

Из выражения (20) следует, что импульсная характеристика согласованного фильтра является зеркальным отображением сигнала ts(t) относительно прямой t=t>0>/2 (рис.1).

Рисунок 4
Учитывая условие физической реализуемости фильтра h(t)=0 при t<0, обнаруживаем, что
-
s(t>0>-t)=0
при t<0
(21)
s(t)=0
при t>t>0>
Условие (21) показывает, что значение t>0> надо выбирать большим или равным длительности сигнала t>c>. На практике обычно для уменьшения реакции фильтра берут t>0>=t>c>.
Найдем формулу напряжения на выходе фильтра, для этого воспользуемся интегралом Дюамеля:

С учетом (20) получаем

В момент времени t=t>0>

Видно, что выражение (24) совпадает с выражением (1), т.е. согласованный фильтр, как и корреляционный приемник, вычисляет взаимную корреляцию принятого и полезного сигналов. Если при корреляционном приеме копия ожидаемого сигнала вырабатывается на приемной стороне с помощью специального генератора, то при согласованной фильтрации информация о сигнале заключена в комплексно-частотной характеристике.
Если перенести начало отсчета времени в точку t=t>0>, то из (23)

т.е. напряжение на входе согласованного фильтра в отсутствии помех совпадает с корреляционной функцией полезного сигнала.
В заключение отметим, что согласованный фильтр, в отличии от корреляционного приемника обладает свойствами инвариантности относительно момента прихода сигнала. Фильтр, согласованный с некоторым сигналом s(t), имеет импульсную характеристику, определенную выражением (20), Очевидно, что этот же фильтр будет согласованным с сигналом s(t-t>1>), сдвинутым по времени относительно s(t) на t>1>. Изменение времени прихода сигнала приводит только к смещению момента достижения выходным сигналом его максимального значения.
Согласованный фильтр для М-сигналов
Формирование М-сигналов. В последнее время в радиолокации и связи все более широко применяются сложные широкополосные сигналы. Одним из способов получения таких сигналов является изменение фазы высокочастотных колебаний по закону М-последовательностей, строящихся , в свою очередь на основе линейных рекуррентных последовательностей.
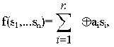
Линейной рекуррентной последовательностью называется периодическая последовательность символов x>1>?x>2>...x>n>,...x>i>,...x>L>, удовлетворяющая рекуррентному правилу

где символы последовательности и коэффициенты a>i> принимают значения из области G(0,1....p-1), сложение и умножение производится по модулю р. Здесь число n - память последовательности, число р - основание последовательности, а наименьшее число L, при котором x>L+i>=x>i> - период, или длинна последовательности. Коэффициент а в дальнейшем будем считать равным нулю.
Соотношение (25) называется правилом кодирования. В случае двоичной последовательности значения символов последовательности и коэффициентов a>i> равны либо нулю, либо единице, а суммирование ведется по MOD 2, которое определяется так
-
0Å0=0
0Å1=1
1Å0=1
1Å1=0
Из определения линейной зависимости рекуррентной последовательности вытекает, что для ее построения необходимо знать первые n членов последовательности и правило кодирования ,т.е. уравнение (25)
Пример. Пусть р=2, n=4, начальное слово 1111, правило кодирования x>1>=x>i-3>Åx>i-4>. Тогда x>5>=x>2>Åx>1>=1Å1=0, x>6>=x>3>Åx>2>=1Å1=0.
По уравнению (25) нетрудно представить и схемную реализацию устройства, генерирующего последовательность. Оно должно содержать блок памяти предназначенный, для запоминания n последних выбранных членов последовательности, и комбинационную схему, работа которой определяется заданным правилом кодирования.
На рис. 2 представлена функциональная схема генератора линейной рекуррентной последовательности.

Рисунок 4
Генератор состоит из n триггеров, выполняющих роль элементов памяти и устройства обратной связи, описываемого некоторой булевой функцией

где s>i> - состояние i-й ячейки памяти (i-го триггера), принимающего значение 0 или 1. Триггеры соединены между собой таким образом, что образуют регистр сдвига.
Генератор работает от внешних запускающих импульсов, называемых тактовыми.
Рассмотрим процесс генерирования последовательности символов. Пусть в исходном состоянии ячеек регистра сдвига s>n>, s>n-1>,...s>1> совпадают соответственно с символами x>1>, x>2>,...x>n>. С приходом тактового импульса записанная в регистре информация сдвигается в сторону старшего разряда. Символ x>1> выходит из регистра, а в освободившуюся первую ячейку записывается символ с выхода устройства обратной связи. Теперь состояние ячеек регистра сдвига s>n>, s>n-1,...>s>1> будет определятся как x>2>, x>3>, x>4>,... x>n+1>, где

При этом состояние ячеек памяти s>n>, s>n-1>,...s>1> будет совпадать соответственно с символами x>3>, x>4>,...x>n+2>. Появляющиеся на выходе регистра последовательность являются линейной рекуррентной.
Период генерируемой последовательности зависит от выбранного правила кодирования и начального состояния регистра. s>n>, s>n-1>,...s>1>. В частности, если все ячейки регистра сдвига находятся в нулевом состоянии, то независимо от правила кодирования на его выходе получается последовательность, состоящая из одних нулей. Поэтому максимальный период линейной рекуррентной последовательности равен 2n-1 где n - память последовательности. Последовательности с периодом 2n-1 называются линейными рекуррентными последовательностями максимального периода, или МО-последовательностями. Для их получения необходимо выбрать правило кодирования x>i>=a>i>x>i>->1>Å...Åa>n>x>i-n> таким образом, чтобы многочлен f(x)=a>n>xnÅa>n-1>xn-1Å...Åa>1>xÅ1были примитивными
можно показать, что для любого
n
числа примитивных
многочленов определяется как
,
где j(L)
- функция Эйлера, равная для любого L>0
числу целых положительных чисел, меньших
L
и взаимно простых с L,
включая и единицу.
В качестве примера приведем все примитивные многочлены для n=5:
f>1>(x)=x5Åx3Å1,
f>2>(x)=x5Åx2Å1,
f>3>(x)=x5Åx4Åx3Åx2Å1,
f>4>(x)=x5Åx4Åx3Å1,
f>5>(x)=x5Åx4Åx2Å1,
f>6>(x)=x5Åx3Åx2Å1.
Любой из них может быть использован для получения М-последовательности.
Так, для многочлена f(x)=x5Åx3Å1 правило кодирования x>i>=x>i-3>Åx>i-5>.
Заметим, что чем больше членов содержится в многочлене f(x), тем сложнее генератор.
Учитывая, что М-последовательности нашли наиболее широкое применение в технике связи, укажем их основные свойства.
М-последовательность с периодом 2n-1 содержит все возможные комбинации n - значных двоичных чисел, за исключением нулевой.
Число единиц в последовательности на единицу больше числа нулей, причем появление единицы и нуля для постороннего наблюдателя, не знающего закон формирования последовательностей, случайно во времени. В частности, этому свойству М-последовательности обязаны и другим названиям - псевдослучайные последовательности.
Результат почленного суммирования М-последовательности с этой же последовательностью, но сдвинутой на i символов, где i=1,2,...L-2, представляет собой исходную последовательность, но сдвинутую на некоторое другое число символов,
Описание лабораторной установки
Функциональная схема установки приведена на рис. 3

Рисунок 4
Она состоит из генераторов ГМП, вырабатывающего М-последовательность 111100010011010, 111..., смесителя СМ, согласованного фильтра СФ и решающего устройства РУ.
Согласованный фильтр (рис. 4) состоит из линии задержки с отводами, совокупности инверторов, суммирующего устройства и фильтра, согласованного с одиночным видеоимпульсом (ОВИ) длительностью, равной длительности t>0> элементарного импулься М - сигнала.

Рисунок 4
Шаг задержки между двумя соседними отводами рамен t>0>. Инверторы подключены таким образом, что при появлении последующего импульса М - сигнала на входе согласованного фильтра все импульсы на входе суммирующего устройства оказываются положительными.
При этом напряжение на выходе фильтра достигает максимального значения, а импульсная характеристика описанного фильтра является зеркальным отображением сигнала.
Решающее устройство представляет собой спусковую схему, которая в момент отсчета может принимать одно из двух состояний.
В лабораторной установке предусмотрена подача на вход согласованного фильтра двух полезных сигналов (противоположных по знаку), подключение генератора шума и генераторов помеховых сигналов, имеющих структуру, подобно структуре полезного сигнала.